Основы построения систем и сетей передачи данных
Содержание
Введение
. МОДЕЛИ СТРУКТУР МНОГОПОЛЮСНЫХ ИНФОРМАЦИОННЫХ СЕТЕЙ
1.1 Построение кратчайшесвязной сети и расчет общей длины
сети
.2 Построение полносвязной, кольцевой и всех вариантов
радиальной сети
. ПАРАМЕТРЫ И ХАРАКТЕРИСТИКИ ДИСКРЕТНОГО КАНАЛА
.1 Использование сигнала с двумя боковыми полосами
.2Использование сигнала с одной боковой полосой
. ПАРАМЕТРЫ ПРОВОДНЫХ ЛИНИЙ СВЯЗИ
.1 Первичные параметры линий связи
.2 Вторичные параметры линий связи
. ПОМЕХОУСТОЙЧИВОСТЬ ПРИЕМА ЕДИНИЧНЫХ ЭЛЕМЕНТОВ ПРИ РАЗЛИЧНЫХ
ВИДАХ МОДУЛЯЦИИ
.1 Расчет зависимости вероятности ошибочной регистрации от
среднеквадратического напряжения помехи
.2 Исследование влияния величины остаточного затухания канала
на вероятность ошибочной регистрации
. КРАЕВЫЕ ИСКАЖЕНИЯ В ДИСКРЕТНЫХ КАНАЛАХ
.1 Расчет полосы пропускания каналов при воздействии
флуктуационной помехи
.2Расчет полосы пропускания каналов при воздействии
гармонической помехи
. МЕТОДЫ СИНТЕЗА КОДЕРОВ И ДЕКОДЕРОВ СИСТЕМАТИЧЕСКИХ
ПОМЕХОУСТОЙЧИВЫХ КОДОВ
.1 Возможные описания систематического кода
.2 Синтез функциональной схемы кодера
.3 Синтез функциональной схемы декодера
.4 Синтез принципиальной схемы декодера максимального
правдоподобия с исправлением одиночной ошибки
ЗАКЛЮЧЕНИЕ
Библиографический список
ПРИЛОЖЕНИЕ А
Введение
информационная сеть
дискретный модуляция
С ростом масштаба применения ЭВМ стало необходимо объединение
разрозненных систем обработки данных. Для этого нужно, во-первых, обеспечить
возможность обмена данными между системами, связав соответствующие ЭВМ каналами
передачи данных, и, во-вторых, оснастить системы программными средствами,
позволяющими пользователям одной системы обращаться к информационным,
программным и техническим ресурсам других систем.
Создание современных информационных систем невозможно без использования
общих подходов к их разработке без унификации характеристик и параметров их
компонентов. Результатом работ в этом направлении стало появление
информационных сетей.
Теоретической основой общего подхода является базовая эталонная
7-уровненвая модель взаимодействия открытых систем, принятая организацией ISO и описанная в стандарте ISO 7498. Модель является международным
стандартом для передачи данных.
Данная работа представляет собой комплекс из шести расчетных задач,
связанных с проектированием информационных сетей.
Целью курсовой работы является изучение основ передачи данных.
Для достижений поставленной цели требуется решить следующие задачи:
- ознакомиться с моделями структур многополюсных информационных сетей;
- изучить параметры и характеристики дискретного канала;
- рассчитать параметры проводных линий связи;
- выполнить анализ помехоустойчивости приема единичных
элементов при различных видах модуляции;
- определить влияние типа помехи на величину краевых искажений
в дискретных каналах;
- изучить методы синтеза кодеров и декодеров систематических
помехоустойчивых кодов.
В первой главе данной курсовой работы рассматриваются модели структур
многополюсных информационных сетей.
Вторая глава посвящена параметрам и характеристикам дискретного канала.
Расчет и построение зависимостей параметров проводных линий связи
выполнены в третий главе.
Четвертая глава освещает вопросы помехоустойчивости приема единичных
элементов при различных видах модуляции.
В пятой главе внимание уделяется краевым искажениям в дискретных каналах.
Методы синтеза кодеров и декодеров систематических помехоустойчивых кодов
рассмотрены в шестой главе.
В приложении А представлен список сокращений, используемый в
пояснительной записке.
Приложение Б содержит библиографический список, который использовался для
написания пояснительной записки.
1. Модели
структур многополюсных информационных сетей
Конфигурация сети передачи данных в значительной степени определяется
топологией сети, пространственным распределением источников и потребителей
информации.
Каждая ветвь сети характеризуется таким параметром, как длина lij. Длина
ветви определяется расстоянием между узлами αi и αj или другими параметрами ветви
(например, стоимостью).
Таблица 1.1 - Координаты узлов коммутации
|
№ вар.
|
Номер оконечного пункта и
его координаты
|
|
1
|
2
|
3
|
4
|
5
|
6
|
7
|
8
|
9
|
10
|
|
x
|
y
|
x
|
y
|
x
|
y
|
x
|
y
|
x
|
y
|
x
|
y
|
x
|
y
|
x
|
y
|
x
|
y
|
x
|
y
|
|
2
|
2
|
5
|
6
|
7
|
2
|
11
|
8
|
13
|
14
|
13
|
13
|
10
|
20
|
10
|
18
|
7
|
24
|
7
|
16
|
1
|
Рисунок 1.1 - Координаты узлов коммутации
В данном разделе требуется:
1) Для заданных в таблице 1.1 условных координат 10 оконечных пунктов
(узлов коммутации) построить кратчайшесвязную сеть и рассчитать общую длину сети;
2) При том же расположении оконечных пунктов рассчитать длины
полносвязной, кольцевой и всех вариантов радиальной сети.
.1 Построение кратчайшесвязной сети и расчет общей длины сети
Структура сети, оптимизированная по критерию длины линий, называется
кратчайшесвязной сетью. В этом случае считается заданным число оконечных
пунктов, их местоположение и расстояние между ними. Требуется соединить эти
пункты таким образом, чтобы суммарная длина линий была минимальной.
Для построения кратчайшесвязной сети и расчета общей длины сети составим
матрицу расстояний L, построим по
алгоритму Прима кратчайшесвязную сеть и найдем её длину путем сложения длин
между узлами.
Таблица 1.2 - Матрица расстояний между узлами
|
|
1
|
2
|
3
|
4
|
5
|
6
|
7
|
8
|
9
|
10
|
|
1
|
0,000
|
4,472
|
6,000
|
10,000
|
14,422
|
12,083
|
18,682
|
16,125
|
22,091
|
14,560
|
|
2
|
4,472
|
0,000
|
5,657
|
6,325
|
10,000
|
7,616
|
14,318
|
12,000
|
18,000
|
11,662
|
|
3
|
6,000
|
5,657
|
0,000
|
6,325
|
12,166
|
11,045
|
18,028
|
16,492
|
22,361
|
17,205
|
|
4
|
10,000
|
6,325
|
6,325
|
0,000
|
6,000
|
5,831
|
12,369
|
11,662
|
17,088
|
14,422
|
|
5
|
14,422
|
10,000
|
12,166
|
6,000
|
0,000
|
3,162
|
6,708
|
7,211
|
11,662
|
12,166
|
|
6
|
12,083
|
7,616
|
11,045
|
5,831
|
3,162
|
0,000
|
7,000
|
5,831
|
11,402
|
9,487
|
|
7
|
18,682
|
14,318
|
18,028
|
12,369
|
6,708
|
7,000
|
0,000
|
3,606
|
5,000
|
9,849
|
|
8
|
16,125
|
12,000
|
16,492
|
11,662
|
7,211
|
5,831
|
3,606
|
0,000
|
6,000
|
6,325
|
|
9
|
22,091
|
18,000
|
22,361
|
17,088
|
11,662
|
11,402
|
5,000
|
6,000
|
0,000
|
10,000
|
|
10
|
14,560
|
11,662
|
17,205
|
14,422
|
12,166
|
9,487
|
9,849
|
6,325
|
10,000
|
0,000
|
Минимальным элементом матрицы является элемент l6,5 = l5,6 =
3,162.
В соответствии с алгоритмом Прима выписываем пятую и шестую строки,
вычеркнув пятый и шестой столбцы (таблица 1.3).
Таблица 1.3
|
|
1
|
2
|
3
|
4
|
7
|
8
|
9
|
10
|
|
5
|
14,422
|
10,000
|
12,166
|
6,000
|
6,708
|
7,211
|
11,662
|
12,166
|
|
6
|
12,083
|
7,616
|
11,045
|
5,831
|
7,000
|
5,831
|
11,402
|
9,487
|
Формируем из этих строк вспомогательную строку, записывая в каждом ее
столбце наименьший из двух элементов столбца предыдущей таблицы (таблица 1.4).
Таблица 1.4
|
1
|
2
|
3
|
4
|
7
|
8
|
9
|
10
|
|
12,083 (6)
|
7,616 (6)
|
11,045 (6)
|
5,831 (6)
|
6,708 (5)
|
5,831 (6)
|
11,402 (6)
|
9,487 (6)
|
Цифрой в скобках указывается, из какой строки взят тот или иной элемент
Минимальный элемент первой вспомогательной строки l4,6 = l6,4 = 5.831.
С учетом этого выписываем первую вспомогательную строку и четвертую
строку матрицы, предварительно вычеркнув из неё пятый, шестой и четвертый
столбцы (таблица 1.5).
Таблица 1.5
|
1
|
2
|
3
|
7
|
8
|
9
|
10
|
|
12,083 (6)
|
7,616 (6)
|
11,045 (6)
|
6,708 (5)
|
5,831 (6)
|
11,402 (6)
|
9,487 (6)
|
|
4
|
10,000
|
6,325
|
6,325
|
12,369
|
11,662
|
17,088
|
14,422
|
Формируем вторую вспомогательную строку (таблица 1.6)
Таблица 1.6
|
1
|
2
|
3
|
7
|
8
|
9
|
10
|
|
10,000 (4)
|
6,325 (4)
|
6,325 (4)
|
6,708 (5)
|
5,831 (6)
|
11,402 (6)
|
9,487 (6)
|
Минимальный элемент l8,6 =
l6,8 =5.831.
Продолжая аналогичным образом, получим остальные ветви кратчайшесвязной
сети.
Таблица 1.7
|
1
|
2
|
3
|
7
|
9
|
10
|
|
10,000 (4)
|
6,325 (4)
|
6,325 (4)
|
6,708 (5)
|
11,402 (6)
|
9,487 (6)
|
|
8
|
16,125
|
12,000
|
16,492
|
3,606
|
6,000
|
6,325
|
Таблица 1.8
|
1
|
2
|
3
|
9
|
10
|
|
10,000 (4)
|
6,325 (4)
|
6,325 (4)
|
3,606 (8)
|
6,000 (8)
|
6,325 (8)
|
Минимальный элемент l7,8 =
l8,7 = 3.606.
Таблица 1.9
|
1
|
2
|
3
|
9
|
10
|
|
10,000 (4)
|
6,325 (4)
|
6,325 (4)
|
6,000 (8)
|
6,325 (8)
|
|
7
|
18,682
|
14,318
|
18,028
|
5,000
|
9,849
|
Таблица 1.10
|
1
|
2
|
3
|
9
|
10
|
|
10,000 (4)
|
6,325 (4)
|
6,325 (4)
|
5,000 (7)
|
6,325 (8)
|
Минимальный элемент l9,7 =
l7,9 = 5,000.
Таблица 1.11
|
1
|
2
|
3
|
10
|
|
10,000 (4)
|
6,325 (4)
|
6,325 (4)
|
6,325 (8)
|
|
9
|
22,091
|
18,000
|
22,361
|
10,000
|
Таблица 1.12
|
1
|
2
|
3
|
10
|
|
10,000 (4)
|
6,325 (4)
|
6,325 (4)
|
6,325 (8)
|
Минимальный элемент l2,4 =
l4,2 = 6.325.
Таблица 1.13
|
1
|
3
|
10
|
|
10,000 (4)
|
6,325 (4)
|
6,325 (8)
|
|
2
|
4.472
|
5.657
|
11.662
|
Таблица 1.14
|
1
|
3
|
10
|
|
4.472 (2)
|
5.657 (2)
|
6,325 (8)
|
Минимальный элемент l1,2 =
l2,1 = 4.472.
Таблица 1.15
|
3
|
10
|
|
5.657 (2)
|
6.325 (8)
|
|
1
|
6
|
14.560
|
Таблица 1.16
Минимальный элемент l3,2 =
l2,3 = 5.657.
Таблица 1.17
Таблица 1.18
Минимальный элемент l10,8
= l8,10 = 6.325.
Полученные ветви кратчайшесвязной сети:
¾ l12= l21= 4.472;
¾ l23= l32= 5.657;
¾ l24= l42 = 6.325;
¾ l46 = l64 = 5.831;
¾ l65= l56=3,162;
¾ l78= l87= 3.606;
¾ l86= l68=5.831;
¾ l97 = l79 =5,000;
¾ l80 = l08 = 6,325.
Соединив узлы согласно полученным данным, построим кратчайшесвязную сеть
(см. рисунок. 1.2).
Рисунок 1.2 - Кратчайшесвязная сеть
Общая длина сети будет составлять:
L =
4.472+5.657+6.325+5.831+3.162 +3.606+5.831 + 5.000 +6.325= 46.209.
1.2
Построение полносвязной, кольцевой и всех вариантов радиальной сети
1.2.1
Построение полносвязной сети и расчет ее длины
Полносвязная сеть - это сеть, в которой каждый узел связан со всеми
остальными напрямую.
По таблице расстояний длина такой сети вычисляется как сумма элементов
всех ячеек снизу или сверху от главной диагонали.
Длина полученной полносвязной сети:
Lполн.
= 4.472 + 6.000 + 10.000 + 14.422 + 12.083 + 18.682 + 16.125 + 22.091 + 14.560
+ 5.657 + 6.325 + 10.000 + 7.616 + 14.318 + 12.000 + 18.000 + 11.662 + 6.325 +
12.166 + 11.045 + 18.028 + 16.492 + 22.361 + 17.205 + 6.000 + 5.831 + 12.369 +
11.662 + 17.088 + 14.422 + 3.162 + 6.708 + 7.211 + 11.662 + 12.166 + 7.000 +
5.831 + 11.402 + 9.487 + 3.606 + 5.000 + 9.849 + 6.000 + 6.325 + 10.000 =
490.416.
1.2.2
Построение кольцевой сети и расчет ее длины
Кольцевая сеть изображена на рисунке 1.3. Каждый узел кольцевой сети
связан ровно с двумя другими.
Для набора из N узлов возможны N! вариантов соединения их в кольцевую
сеть. Для примера вычислим длину кольцевой сети, узлы которой соединены в
следующем порядке: 1-2-3-4-5-6-7-9-8-10-1.
Длина полученной кольцевой сети:
Lкольц.
= l12 + l23 + l34 + l45 + l56 + l67 + l79 + l98 + l80 + l01 =
.472 + 5.657 + 6.325 + 6.000 + 3.162 + 7.000 + 5.000 + 6.000 + 6.325 +
14.560 = 64.501.
Рисунок 1.3 - Кольцевая сеть
1.2.3
Построение радиальной сети и расчет ее длины
Радиальная сеть имеет один центральный узел, с которым связаны все
остальные. В зависимости от того, какой из узлов выбран центральным, возможно
несколько вариантов построения радиальной сети.
В нашем случае, для 10 узлов коммутации возможно 10 вариантов
представления радиальной сети.
1)
Первый узел связан с остальными (рисунок 2.2) L1=
=118.439
Рисунок
1.4 - Структура радиальной сети (первый узел связан со всеми остальными)
)
Второй узел связан с остальными L2 =
= 90.050
)
Третий узел связан с остальными L3 =
=
115.279
)
Четвертый узел связан с остальными L4 =
= 90.022
)
Пятый узел связан с остальными L5 =
= 83.497
)
Шестой узел связан с остальными L6 =
= 73.457
)
Седьмой узел связан с остальными L7 =
= 95.564
)
Восьмой узел связан с остальными L8 =
= 85.252
)
Девятый узел связан с остальными L9 =
=
123.604
)
Десятый узел связан с остальными L10 =
=
105.676
2. Параметры
и характеристики дискретного канала
Качество передачи дискретной информации зависит от частотных
характеристик канала, причем тем в большей степени, чем выше скорость передачи.
К частотным характеристикам канала относятся амплитудно-частотная (АЧХ) и
фазо-частотная (ФЧХ) характеристики.
АЧХ канала задают обычно частотной характеристикой остаточного затухания,
которое оценивается отклонением ∆aост остаточного затуханияаостканалаот величины, определенной
для сигнала с некоторой фиксированной для данного канала частотой. АЧХ и допустимые
пределы ее отклонений могут задаваться таблично, либо графически в виде, так
называемого шаблона.
Для оценки фазочастотных искажений в канале используется характеристика
группового времени прохождения (ГВП), которое представляет собой производную ФЧХ
по частоте:
Частотная зависимость изменения ГВП ∆τгр=Ψ(f) нормируется относительно ГВП на
некоторой фиксированной для данного канала частоте.
Допустимая неравномерность ГВП зависит от характера кривой ∆τгр=Ψ(f), скорости и способа модуляции.
Для повышения эффективности использования полосы частот, занимаемой
каналом связи, спектр частот сигнала ограничивают, т.е. передают лишь ту часть
спектра, в которой сосредоточена основная энергия сигнала. Ограничение спектров
сигналов при передаче по реальным каналам вызывает искажение формы сигналов и
появления переходных процессов, которые приводят к взаимному перекрытию
соседних посылок, так называемым межсимвольным помехам, затрудняющим прием
единичных элементов.
Основная часть энергии при передаче импульсов постоянного тока
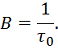
сосредоточена в полосе частот от 0 до 1/(2τ0) Гц.
Если в канал передавать лишь частотные составляющие этого диапазона, то
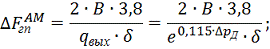
минимально необходимая полоса частот определяется:
где В - скорость модуляции, определяемая для двухпозиционных сигналов как
При передаче модулированных сигналов (АМ, ЧМ, ФМ) минимально необходимая
полоса частот увеличивается вдвое в связи с необходимостью передавать верхнюю и
нижнюю полосы частот:
Предельная скорость передачи в этом случае:
Для сохранения удовлетворительной формы посылок на выходе канала на
практике скорость модуляции выбирают несколько меньше, чем предельно
допустимая, а именно:
При использовании сигналов АМ, ЧМ, ФМ с двумя боковыми полосами она
уменьшается вдвое:
Передача сигналов с одной боковой позволяет почти удвоить скорость
передачи. В реальных условиях скорость Bпр определяется выражением
2.1
Использование сигнала с двумя боковыми полосами
По заданным амплитудно-частотной характеристике (АЧХ) и фазо-частотной
характеристике (ФЧХ) канала определить эффективно передаваемую полосу частот ΔF и оптимальную скорость модуляции Bопт при использовании сигналов АМ, ЧМ
и ФМ с двумя боковыми полосами, после чего выбрать еезначениеВиз стандартного
ряда (ГОСТ 17422-72).
Таблица 2.1 - Исходные данные
|
f,кГц
|
Δa, дБ
|
Δτ,
мс
|
|
5
|
5,53
|
0,50
|
|
6
|
4,12
|
0,382
|
|
7
|
2,55
|
0,24
|
|
8
|
0,7
|
0,12
|
|
9
|
0,5
|
0,07
|
|
10
|
0,9
|
0,36
|
|
11
|
0,4
|
0,3
|
|
12
|
0,8
|
0,1
|
|
13
|
0,5
|
0,1
|
|
14
|
0,06
|
0
|
|
15
|
0,1
|
0,1
|
|
16
|
0,2
|
0,1
|
|
17
|
0,28
|
0,06
|
|
18
|
0,4
|
0,06
|
|
19
|
0,2
|
0,1
|
|
20
|
0,4
|
0,20
|
|
21
|
0,2
|
0,26
|
|
22
|
0,8
|
0,36
|
|
23
|
0,9
|
0,32
|
|
24
|
1,6
|
0,16
|
|
25
|
2,2
|
0,22
|
|
26
|
2,84
|
0,26
|
|
27
|
3,88
|
0,32
|
|
28
|
4,7
|
0,37
|
|
29
|
5,33
|
0,472
|
Построим АЧХ (см. рисунок 2.1) и ФЧХ (см. рисунок 2.2).
Рисунок 2.1 - АЧХ канала
Так как в полосе пропускания имеются нечетно-симметричные и колебательные
отклонения затухания, то граница полосы пропускания не должны превосходить 1,75
- 2,6 дБ.
Возьмем границу 1,75, тогда ширина полосы пропускания будет равна:
ΔF=24,22-7,45=16,77кГц.
Предельная скорость модуляции для сигнала с двумя боковыми полосами:
По виду ФЧХ найдем:
Рисунок 2.2 - ФЧХ канала
Следовательно,
с учётом приведённого ограничения, при расчёте скорости модуляции или выборе
полосы пропускания канала необходимо проверить, удовлетворяет ли
неравномерность характеристики группового времени прохождения (ГВП) в выбранной
полосе
условию
. Если не
удовлетворяет, то необходимо уменьшить скорость передачи или откорректировать
частотную характеристику ГВП.
Для
нахождения оптимальной скорости передачи
необходимо
решить графически систему двух уравнений, одно из которых задано зависимостью
вида
, а второе представлено графиком
, построенном на основе характеристики ГВП при
выполнении условия
. Выбирая несколько значений
, при каждом из них по ФЧХ определяется
соответствующее значение
и, полагая
,
строится зависимость
.
Построим
два графика зависимостей
и
Таблица 2.2
|
Δτгр, мс
|
0,08
|
0,07
|
0,06
|
0,05
|
0,04
|
0,02
|
0,01
|
|
Bпр, Бит/с
|
12,5
|
14,29
|
16,67
|
20
|
25
|
50
|
100
|
|
ΔFк,
кГц
|
9,7
|
9,3
|
4,6
|
1
|
0,8
|
0,4
|
0,2
|
Рисунок
2.3 - График зависимостей
и
Из
рисунка 2.3 видно, что графики зависимостей
и
не пересекаются, т.е.
,
следовательно, необходимо уменьшить скорость передачи или откорректировать
частотную характеристику ГВП.
Из
двух способов решения этой проблемы лучшим является корректировка характеристики
ГВП, т.к. при этом скорость модуляции не снижается.
Рисунок
2.4 -Скорректированная ФЧХ канала
Таблица 2.3
|
Δτгр, мс
|
0,08
|
0,07
|
0,06
|
0,05
|
0,04
|
0,02
|
0,01
|
|
Bпр, Бит/с
|
12,5
|
14,29
|
16,67
|
20
|
25
|
50
|
100
|
|
ΔFк,
кГц
|
14,4
|
14
|
12,7
|
11,4
|
9,4
|
5
|
2
|
Теперь графики B = φ(∆F) и B = 0,7·∆F будут выглядеть так:
Рисунок
2.5 -График зависимостей
и
Корректировка ФЧХ не дала желаемого результата, поэтому понизим скорость
передачи: B=10000 c-1.
Тогда
мс.
В вышеприведенную таблицу добавляем еще две точки:
Таблица 2.4
|
Δτгр, мс
|
0,08
|
0,07
|
0,06
|
0,05
|
0,04
|
0,02
|
0,01
|
0,09
|
0,1
|
|
Bпр, Бит/с
|
12,5
|
14,29
|
16,67
|
20
|
25
|
50
|
100
|
11,11
|
10
|
|
ΔFк,
кГц
|
14,4
|
14
|
12,7
|
9,4
|
5
|
2
|
14,6
|
15,4
|
Рисунок
2.6 -Зависимость
после понижения скорости передачи
Рисунок
2.7 -Зависимость
Точка
пересечения этих зависимостей и будет Bопт=10360 Бит/c. По
ГОСТ 17422-82 выбираем значение скорости передачи из стандартного ряда:
Встанд
= 9600 Б/с.
.2
Использование сигнала с одной боковой полосой
По заданным АЧХ и ФЧХ канала определить эффективно передаваемую полосу
частот ΔF и оптимальную скорость модуляции Bопт при использовании сигналов АМ, ЧМ
и ФМ с одной боковой полосой, после чего выбрать еезначениеВиз стандартного
ряда (ГОСТ 17422-72).
Ширина полосы пропускания при передаче сигналов с одной боковой полосой
не изменится ΔF=16,77
кГц.
Для сигналов с одной боковой полосой в реальных условиях практическая
скорость определяется выражением:
B=1,25·ΔF=20962 c-1
Необходимо
также скорректировать ГВП, чтобы при допустимом уровне
ширина полосы пропускания
была не менее 16,77кГц. Понизим скорость передачи до
10000 c-1 . Характеристика ГВП после коррекции представлена
ниже.
Таблица 2.5
|
Δτ,мс
|
0,08
|
0,07
|
0,06
|
0,05
|
0,04
|
0,02
|
0,01
|
0,09
|
0,1
|
|
B, с-1
|
12,5
|
14,29
|
16,66
|
20
|
25
|
50
|
100
|
11,11
|
10
|
|
ΔF,кГц
|
14,3
|
13,9
|
12,8
|
11,5
|
9,3
|
6,6
|
1,3
|
14,8
|
15,6
|
Рисунок
2.8 - График зависимостей
и
Рисунок
2.9 - График зависимостей
и
Передача
сигнала с одной боковой полосой позволяет значительно увеличить оптимальную
скорость передачи: Вопт=16200 с-1. Стандартное значение: Встанд=16000 с-1
3. Параметры
проводных линий связи
В проводной связи для передачи энергии сигналов используются воздушные и
кабельные линии. Передача ведется в основном по двухпроводным цепям.
Значительно реже применяются однопроводные цепи (для телеграфной связи).
При протекании по цепи электрического тока на активном и индуктивном
сопротивлениях проводов падает напряжение, а через емкость и проводимость
изоляции между проводами или между проводом и землей происходит утечка
(ответвление) тока.
Активное сопротивление, индуктивность, емкость и проводимость изоляции
распределены равномерно вдоль цепи, поэтому ее принято называть цепью с
распределенными параметрами. Участок такой цепи нельзя представить в виде
эквивалентной схемы, но опыт показывает, что элементарно короткие участки цепей
с достаточной точностью можно представить в виде эквивалентных схем, простейшая
из которых приведена на рис.3.1.
Рисунок 3.1 - Эквивалентная схема электрической цепи
Схему электрической цепи можно представить в виде ряда таких
эквивалентных схем или звеньев, включенных последовательно. Если бы требовалось
получить схему, точно соответствующую действительной цепи, то необходимо было
бы взять звенья, эквивалентные бесконечно малой длине цепи.
Величины активного сопротивления, индуктивности, емкости и проводимости
изоляции 1 км цепи принято называть ее первичными параметрами. Первичными их
называют потому, что они влияют на передачу энергии по цепи и от них зависят
все остальные характеристики цепи. Первичные параметры имеют
следующиеобозначения: R - активное сопротивление проводов цепи в омах на
километр; L - индуктивность проводов цепи в генри на километр; С - емкость между
проводами цепи в фарадах на километр; G - проводимость изоляции между проводами
цепи в сименсах на километр.
3.1 Первичные
параметры линий связи
Требуется рассчитать и построить зависимости первичных параметров линии
связи от частоты, изменяя ее в заданном диапазоне (от fнижндо fверх) с заданным
шагом (∆f). Требуемые для расчета характеристики линии и частотный
диапазон приведены в таблице 3.1.
Таблица 3.1 - Исходные данные
|
Частотный диапазон, кГц
|
Характеристики линии
|
|
fнижн
|
fверх
|
∆f
|
материал
|
d, мм
|
a, мм
|
ε
|
tgδ, 10-4
|
|
0,1
|
4,7
|
0,2
|
медн. симм. каб.
|
1,2
|
4
|
2,2
|
2
|
3.1.1
Активное сопротивление
Активное сопротивление проводов цепи с учетом поверхностного эффекта
определяется по формуле
где k1коэффициент, учитывающий увеличение
активного сопротивления вследствие поверхностного эффекта. Коэффициент k1
определяется по таблицам в зависимости от вспомогательной величины X(см.
таблицу 3.2).
Таблица 3.2 - Зависимость коэффициента k1 от Х
|
Х
|
k1
|
Х
|
k1
|
Х
|
k1
|
Х
|
k1
|
|
0,25
|
1
|
3
|
1,318
|
9
|
3,446
|
20
|
7,328
|
|
0,5
|
1
|
3,5
|
1,492
|
9,5
|
3,63
|
25
|
9,094
|
|
1
|
1,005
|
4
|
1,687
|
10
|
3,8
|
30
|
10,86
|
|
1,2
|
1,011
|
4,5
|
1,863
|
11
|
4,151
|
35
|
12,63
|
|
1,4
|
1,02
|
5
|
2,043
|
12
|
4,504
|
40
|
14,39
|
|
1,6
|
1,033
|
5,5
|
2,22
|
13
|
4,856
|
45
|
16,16
|
|
1,8
|
1,052
|
6
|
2,394
|
14
|
5,209
|
50
|
17,93
|
|
2
|
1,078
|
6,5
|
2,58
|
15
|
5,562
|
60
|
20,46
|
|
2,2
|
1,111
|
7
|
2,743
|
16
|
5,915
|
70
|
25,00
|
|
2,4
|
1,152
|
7,5
|
2,92
|
17
|
6,268
|
80
|
28,54
|
|
2,6
|
1,2
|
8
|
3,094
|
18
|
6,621
|
90
|
32,07
|
|
2,8
|
1,256
|
8,5
|
3,28
|
19
|
6,974
|
100
|
35,61
|
Вспомогательная величина Хдля кабельных цепей с медными жилами находится
поформуле:
Сопротивление проводника при постоянном токе определяется по формуле
где
ρ
- удельное сопротивление материала
проводов при 20оС, (
); l -
длина проводника, (м); s - сечение проводника, (мм2).
Формулу
для сопротивления 1кмпроводов двухпроводной цепи при постоянном токе получим,
если подставим l=2000м, s=
:
ρ = 0,0175·10-6Ом·м,(для медных проводов при 20оС).
По данным формулам построим зависимость активного сопротивления от
частоты (см. рисунок3.2).
Рисунок 3.2 - Зависимость активного сопротивления от частоты
3.1.2
Индуктивность проводов цепей связи
Двухпроводную цепь, по которой проходит переменный ток, создающий
магнитное поле вокруг каждого провода цепи, можно рассматривать как длинную
прямоугольную петлю.
Ее индуктивность является суммой двух величин - внутренней индуктивности
и внешней индуктивности. Внутренняя индуктивность связана с магнитным потоком,
пересекающим провода цепи, и зависит от материала проводов и от частотытока.
Внешняя индуктивность связана с магнитным потоком, находящимся в пространстве
между проводами, и не зависит от материала проводов и частоты тока, а зависит
только от диаметра проводов и расстояния между ними.
Индуктивность двухпроводной кабельной цепи определяется по формуле:
где а - расстояние между проводами;- радиус провода (r=0,6 мм);

-
относительная магнитная проницаемость (для меди 
=1).
Коэффициент
k2, входящий в эту формулу, характеризует влияние поверхностного эффекта на
индуктивность цепи и, как коэффициент k1, определяется по вспомогательной
величине Х с помощью таблиц (см. таблицу 3.2).
Таблица 3.3 - Зависимость коэффициента k2 от Х
|
Х
|
k2
|
Х
|
k2
|
Х
|
k2
|
Х
|
k2
|
|
0,25
|
1,000
|
3
|
0,845
|
9
|
0,313
|
20
|
0,141
|
|
0,5
|
1,000
|
3,5
|
0,766
|
9,5
|
0,296
|
25
|
0,113
|
|
1
|
0,997
|
4
|
0,688
|
10
|
0,282
|
30
|
0,094
|
|
1,2
|
0,995
|
4,5
|
0,616
|
11
|
0,256
|
35
|
0,081
|
|
1,4
|
0,990
|
5
|
0,556
|
12
|
0,235
|
40
|
0,071
|
|
1,6
|
0,983
|
5,5
|
0,500
|
13
|
0,217
|
45
|
0,063
|
|
1,8
|
0,974
|
6
|
0,465
|
14
|
0,202
|
50
|
0,057
|
|
2
|
0,961
|
6,5
|
0,430
|
15
|
0,195
|
60
|
0,047
|
|
2,2
|
0,945
|
7
|
0,400
|
16
|
0,176
|
70
|
0,040
|
|
2,4
|
0,925
|
7,5
|
0,375
|
17
|
0,166
|
80
|
0,035
|
|
2,6
|
0,901
|
8
|
0,351
|
18
|
0,157
|
90
|
0,031
|
|
2,8
|
0,874
|
8,5
|
0,332
|
19
|
0,149
|
100
|
0,028
|
Построим зависимость индуктивности от частоты (см. рисунок 3.3).
Рисунок 3.3 - Зависимость индуктивности от частоты
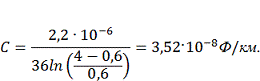
3.1.3 Емкость
проводов цепей связи
Провода двухпроводной цепи можно рассматривать как обкладки конденсатора,
между которыми расположен диэлектрик (воздух, стирофлекс, полиэтилен и т.п.),
поэтому емкостьС находится как отношение заряда, приходящегося на длину в 1 км,
к напряжению между проводами цепи.
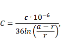
Емкость 1 км двухпроводной цепи определяется по формуле:
где а - расстояние между проводами;- радиус проводов;
ε - относительная диэлектрическая
проницаемость.
Емкость проводов цепей связи не зависит от частоты.
Рисунок 3.4 - Зависимость емкости от частоты
.1.4
Проводимость изоляции цепей связи
При передаче электрических сигналов по цепям связи ток от одного провода
к другому или от провода к земле переходит не только через емкость, но и через
проводимость изоляции.
Проводимость изоляции рассчитаем по формуле:
где ω=2πf, С- емкость.
Для данной цепи зависимость проводимости изоляции от частоты будет иметь
вид:
Зависимость
проводимости изоляции от частоты изображена на рисунке 3.4.
Рисунок 3.4 - Зависимость проводимости изоляции от частоты
3.2 Вторичные
параметры линий связи
Требуется рассчитать и построить зависимости вторичных (|ZB|, φB, α, β) параметров линии связи от частоты.
Рассчитать и построить зависимость l10 = ξ(f),
где l10 - длина линии, в конце которой
сигнал ослабляется в 10 раз.
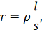
3.2.1 Модуль
волнового сопротивления
По известным первичным параметрам могут быть найдены вторичные параметры,
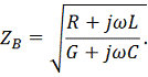
к которым относится волновое сопротивление, определяемое по формуле:
Модуль волнового сопротивления |ZB| находится по формуле:
Зная первичные параметры линии связи и пользуясь последней формулой,
построим зависимость |ZB| от
частоты (см. рисунок 3.5).
Рисунок 3.5 - Зависимость модуля волнового сопротивления от частоты
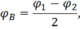
.2.2 Фазовый
угол волнового сопротивления
Фазовый угол волнового сопротивления можно найти по формуле:
где

Зная
первичные параметры линии связи и пользуясь приведенной формулой, построим
зависимость φ
от частоты (см. рисунок 3.6).
Рисунок 3.6 - Зависимость фазового угла волнового сопротивления от
частоты
.2.3
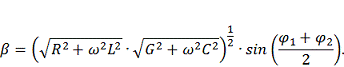
Коэффициент затухания
Коэффициент затуханияопределяется по формуле:
По данной формуле построим зависимость коэффициента затухания от частоты
(см. рисунок3.7).
Рисунок 3.7 - Зависимость коэффициента затухания от частоты
3.2.4
Коэффициент фазы
Коэффициент фазы рассчитывается по формуле:
Зависимость коэффициента фазы от частоты приведена на рисунке 3.8.
Рисунок 3.8 - Зависимость коэффициента фазы от частоты
3.2.5
Зависимость l10=x(f)
Если известна величина напряжения Uн в начале линии и найден коэффициент
затухания α, то можно определить напряжение в любой точке линии на
расстоянии l от ее начала по формуле
Величина αl, входящая в выражение, называется волновым затуханием
линии.
где Uн - напряжение в начале линии,
U -
напряжение в линии на расстоянии l10 от
начала.
Из формулы последней формулы выводится формула для определения длины
линии l10, в конце которой сигнал
ослабляется в 10 раз:
Построим зависимость длины линии связи от частоты (см. рисунок 3.9).
Рисунок 3.9 - Зависимость длины линии связи от частоты
4.
Помехоустойчивость приема единичных элементов при различных видах модуляции
Основное назначение устройств преобразования сигнала (УПС), существенно
влияющих на характеристики дискретного канала и помехозащищенность систем
передачи дискретных сообщений, состоит в преобразовании кодированной двоичной
последовательности в дискретные сигналы, пригодные для передачи по каналу
связи, а также в обратном преобразовании при приеме. При этом необходимо
обеспечить согласование сигнала по мощности и спектру с характеристиками канала
связи, учитывая наличие значительных фазовых искажений, сдвига частот и фазовых
дрожаний.
В УПС преобразование осуществляется путем воздействия на такие
модулируемые параметры несущего колебания, как амплитуда (АМ), частота (ЧМ),
фаза (ФМ), а также одновременно на несколько параметров (комбинированные
методы).
Помехоустойчивость систем передачи дискретных сообщений оценивается
вероятностью ошибки РОШ при заданном отношении сигнал/помеха.
При оптимальном приеме полностью известных двоичных сигналов,
передаваемых по каналу с постоянными параметрами и аддитивнойфлуктуационной
помехой, выражение для вероятности ошибки имеет вид
где E1 и E0 - энергии единичных сигналов; r - коэффициент корреляции между ними; N0 - спектральная плотность помехи;
Фк(х) - табулированная функция Крампа
Для сигналов равных энергий (E1=E0=EC) при использовании амплитудной, частотной и фазовой
модуляции вероятность ошибки зависит от параметра h2=EC/N0:
Данные выражения определяют так называемую потенциальную
помехоустойчивость. Под потенциальной помехоустойчивостью по Котельникову
понимается максимум вероятности правильного приема символа при заданном виде
модуляции. Для реализации потенциальной помехоустойчивости необходимо
обеспечить когерентный прием и идеальное согласование АЧХ и ФЧХ канала со
структурой и параметрами сигнала.
Когерентными называются все методы приема, для реализации которых
необходимо точное априорное знание начальных фаз принимаемых сигналов. В тех
случаях, когда сведения о начальных фазах ожидаемых посылок извлекаются из
самого принимаемого сигнала (например, если фаза флуктуирует, но настолько
медленно, что может быть предсказана по предыдущим элементам сигнала), прием
называется квазикогерентным. Однако нередко фаза флуктуирует довольно быстро, и
точную ее оценку получить не удается. Кроме того, оценка фаз требует применения
сложных устройств. Поэтому даже в тех случаях, когда принципиально можно
оценить начальную фазу приходящего сигнала, от этого отказываются и используют
алгоритм приема, построенный на предположении, что начальная фаза приходящего
сигнала неизвестна и может принимать любое значение на интервале от 0 до 2π. Такой метод приема называется
некогерентным.
4.1 Расчет
зависимости вероятности ошибочной регистрации от среднеквадратического
напряжения помехи
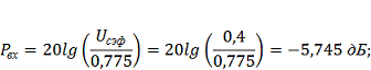
По каналу, имеющему остаточное затухание аост= 22,3 дБ, передаются
данные. Эффективное значение напряжения сигнала на входе каналас эф = 0,4 В.
Рассчитать зависимости вероятности ошибочной регистрации при приеме от
среднеквадратического напряжения флуктуационной помехи, действующей в полосе
канала при различных видах модуляции (АМ, ЧМ, ФМ при когерентном и
некогерентном приеме, ОФМ-1, ОФМ-2, ДОФМ-1, ДОФМ-2, ТОФМ, КАМ-16). Произвести
сравнительный анализ помехоустойчивости различных видов модуляции.
Найдем эффективное значение напряжения на выходе канала, через абсолютные
уровни. В качестве Uисх принимается напряжение равное абсолютному уровню Uисх =
0,775 В.
Найдем значение аргумента q,
используемого для определения табулированной функции Крампа:
где s - это
среднеквадратическое напряжение флуктуационной помехи.
4.1.1 Когерентный прием
Формулы вероятности ошибки для амплитудной, частотной и фазовой
модуляции:
По данным формулам построим зависимости.
Рисунок
4.4 - Зависимость 
( ), 
( ), 
( )отs
4.1.2
Некогерентный прием
На практике вследствие трудностей реализации когерентного приема большее
распространение получил некогерентный прием. Вероятность ошибки при амплитудной
манипуляции при некогерентном приеме находится в соответствии с выражением
а для частотной манипуляции
Рисунок
4.7 - Зависимость 
( ), 
( )отs
4.1.3
Относительная фазовая модуляция
Более широкое распространение приобрели методы относительной фазовой
модуляции (ОФМ). Для демодуляции ОФМ-сигналов применяются 2 способа: способ
сравнения фаз (ОФМ-1) и способ сравнения полярностей (ОФМ-2).
При ОФМ-1 в фазовом детекторе сравниваются фазы (n-1)-го и n-го элементов посылки. Полярность напряжения на
выходе детектора определяется соотношением фаз сравниваемых элементов. Способ
ОФМ-2 является когерентным, поскольку предполагает наличие на приеме синфазного
(противофазного) с сигналом опорного напряжения. Демодуляция осуществляется
путем сравнения полярностей (n-1)-го
и n-го детектированных элементов. Если
полярности совпадают, считается принятым нуль, несовпадению полярностей
соответствует прием единицы. Таким образом, демодуляция принятых сигналов
сводится к выявлению знакоперемен при переходе от одного элемента посылки к
другому.
Вероятности ошибочной регистрации при использовании этих методов
определяются по следующим формулам:
Рисунок
4.10 - Зависимость 
( ), 
( ) от s
4.1.4
Двукратная относительная фазовая модуляция
Формулы вероятности ошибки для двух методов двукратной относительной
фазовой модуляции:
Рисунок
4.13 - Зависимость 
( ), 
( ) от s
4.1.5
Трехкратная относительная фазовая модуляция
Формула вероятности ошибки для методатрехкратной относительной фазовой
модуляции:
Рисунок
4.14 - Зависимость 
отs
4.1.6
Квадратурная амплитудная модуляция
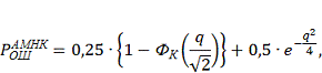
Вероятность ошибочной регистрации при использовании такого
комбинированного метода модуляции, каким является квадратурная амплитудная
модуляция (КАМ), определяется в соответствии с выражением:
Рисунок
4.15 - Зависимость 
отs
4.1.7
Сравнительный анализ помехоустойчивости различных видов модуляции
Чтобы произвести сравнительный анализ помехоустойчивости различных видов
модуляции, выберем постоянный уровень флуктуационной помехи s и вычислим вероятность ошибки для
всех вышеприведенных видов модуляции.
Возьмем s1=0,02.Тогда
вероятность ошибки для всех рассмотренных видов модуляции:
Таблица 4.1
|
s
|
АМК
|
ЧМК
|
ФМК
|
АМНК
|
ЧМНК
|
|
0,02
|
0,136
|
0,052
|
0,011
|
0,342
|
0,15
|
|
s
|
ОФМ-1
|
ОФМ-2
|
ДОФМ-1
|
ДОФМ-2
|
ТОФМ
|
КАМ16
|
|
0,02
|
0,045
|
0,028
|
0,15
|
0,113
|
0,27
|
0,183
|
Из данной таблицы видно, что среди когерентных приемов наиболее
помехоустойчива ФМК, а из некогерентных - относительная фазовая модуляция -
второй способ. Наименее помехоустойчива - трехкратная относительная фазовая
модуляция (ТОФМ). Самой помехоустойчивой является когерентная фазовая модуляция
(ФМК).
4.2
Исследование влияния величины остаточного затухания канала на вероятность
ошибочной регистрации
Требуется исследовать влияние величины остаточного затухания канала на
вероятность ошибочной регистрации при прочих равных условиях.
На данном этапе исследования меняем аостпри неизменном Uп эф = 0.01 В.
При когерентном приеме:
Рисунок 4.16 - Вероятность ошибочной регистрации при когерентном приёме
При некогерентном приеме:
Рисунок
4.17 - Вероятность ошибочной регистрации при некогерентном приёме
При
относительной фазовой модуляции:
Рисунок
4.18 - Вероятность ошибочной регистрации при ОФМ.
При
двойной относительной фазовой модуляции:
Рисунок
4.19 - Вероятность ошибочной регистрации при ДОФМ.
При
тройной относительной фазовой модуляции:
Рисунок
4.20 - Вероятность ошибочной регистрации при ТОФМ.
При
квадратурно-амплитудной модуляции:
Рисунок
4.21 - Вероятность ошибочной регистрации при КАМ16.
Из
графиков четко прослеживается зависимость влияния величины остаточного
затухания канала на вероятность ошибочной регистрации. Чем больше остаточное
затухание, тем больше вероятность ошибочной регистрации. Это объясняется тем,
что чем больше остаточное затухание, тем соответственно меньше выходное
напряжение сигнала.
5. Краевые
искажения в дискретных каналах
Импульсы постоянного тока (посылки), полученные в приемнике на выходе
демодулятора, всегда в той или иной степени искажены по сравнению с
переданными.
Краевые искажения - это изменение длительности принятых значащих
интервалов относительно переданных.
Одним из основных мешающих факторов, приводящих к искажениям, являются
действующие в канале помехи. В зависимости от характера помехи можно разделить
на гармонические, импульсные и флуктуационные.
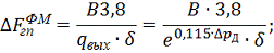
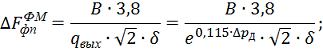
5.1 Расчет
полосы пропускания каналов при воздействии флуктуационной помехи
Требуется определить величины полос пропускания ∆F каналов с амплитудной, частотной и
фазовой манипуляцией, которые необходимы для того, чтобы при передаче данных со
скоростью модуляции B по этим каналам
краевые искажения вследствие воздействия флуктуационной помехи не превосходили
величины δ с вероятностью р при условии, что разность уровней сигнала и
флуктуационной помехи равна ∆рД. Из найденных значений ∆F выбрать минимальное и, зафиксировав
его, исследовать влияние ∆рД на величину вероятностир.
Данные для расчета приведены в табл. 5.1.
Таблица 5.1
|
В, Бод
|
δ,%
|
р
|
∆рД, дБ
|
|
1200
|
10
|
0,999855
|
4
|
Т.к.

то 
Флуктуационная
помеха представляет собой колебание, мгновенное значение которого является
случайной величиной. Ее можно представить также в виде случайной
последовательности коротких импульсов, следующих с такой большой частотой, что
возмущения от каждого из них взаимно перекрываются. Тогда в каждый момент
времени флуктуационную помеху можно представить в виде вектора со случайной
амплитудой и случайной фазой.
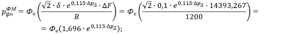
Среднеквадратическая
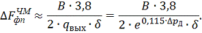
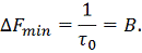
величина краевых искажений при флуктуационной помехе вычисляется по формулам:
где

-
отношение сигнал/помеха.
Тогда
ширина полосы пропускания канала для амплитудной, частотной и фазовой
манипуляции определяется следующим образом:
Подставляя
в формулы соответствующие значения, получим:
Из
найденных значений зафиксируем минимальное значение
∆F
=14393,267Гц и исследуем влияние ∆рДна величину вероятности р.
Построим графики полученных зависимостей:
Рисунок
5.1 - Зависимость вероятности р от величины ΔpД при
воздействии флуктуационной помехи
Как
видно из графиков, чем больше разность уровней сигнала и помехи, тем больше
вероятность того, что краевые искажения вследствие воздействия флуктуационной
помехи не превзойдут величины 10 %. Начиная с некоторого
вероятность стремится к единице. Причем наименьшей
вероятностью обладает АМ, наибольшей - ЧМ.
5.2 Расчет
полосы пропускания каналов при воздействии гармонической помехи
Повторим решение задачи при действии в канале гармонической помехи с тем
же уровнем. Произведем сравнительный анализ полученных результатов с целью
определения влияния типа помехи на величину краевых искажений. Данные для
расчета приведены в табл. 5.1.
Воспользуемся формулами:
где

-
отношение сигнал/помеха.
Ширина полосы пропускания канала для амплитудной, частотной и фазовой
манипуляции определятся следующим образом:
Подставляя в формулы соответствующие значения, получим:
Из найденных значений зафиксируем минимальное значение
∆F =28786,534Гц и исследуем влияние ∆рДна
величину вероятности р.
Построим графики полученных зависимостей:
Рисунок
5.2 - Зависимость вероятности р от величины ΔpД при
воздействии гармонической помех
Как
видно из рисунка , чем больше разность уровней сигнала и помехи, тем больше
вероятность того, что краевые искажения вследствие воздействия гармонической
помехи не превзойдут величины 10%. Начиная с некоторого
вероятность стремится к единице. Причём наименьшей
вероятностью обладает АМ, а вероятности для ФМ и ЧМ - полностью совпадают.
Теперь найдем краевые искажения для амплитудной, частотной и фазовой
манипуляции при действии в канале флуктуационной и гармонической помех по
отдельности и сравним результаты с целью определения влияния типа помехи на
величину краевых искажений (DF=25000 Гц):
В результате можно сделать вывод, что наименьшие краевые искажения будут
при частотной манипуляции при действии в канале флуктуационной помехи, а
наибольшие краевые искажения присутствуют при амплитудной манипуляции при
действии в канале гармонической помехи. Таким образомфлуктуационная помеха в
меньшей степени влияет на величину краевых искажений, чем гармоническая.
6. Методы
синтеза кодеров и декодеров систематических помехоустойчивых кодов
Систематический (7,4)-код задан следующими проверочными уравнениями:
Требуется
выполнить:
а)
все другие возможные описания кода;
б)синтез
функциональной схемы кодера на основе k-разрядного регистра сдвига.
Отобразить в виде таблицы состояний или временной диаграммы кодирование
комбинаций, совпадающей с двоичным эквивалентом номера варианта;
в)
синтез функциональной схемы декодера с исправлением одиночной ошибки.
Отобразить в виде таблицы состояний или временной диаграммы декодирование
комбинаций из пункта "б" с ошибкой в любом информационном разряде;
г)
синтезировать принципиальную схему декодера максимального правдоподобия,
исправляющего одиночную ошибку.
6.1 Возможные
описания кода
. Каноническая матрица:
2.
Проверочнаяматрица:
или
6.2 Синтез
функциональной схемы кодера
Функциональная схема кодера систематического кода на основе k-разрядного
регистра сдвига, построенного в соответствии с образующим полиномом, изображена
на рисунке 6.1.
Работа кодера начинается с того, что в регистр с отключенной обратной
связью заносятся k информационных символов. Затем обратная связь включается, и
регистр сдвигается n раз. Первые k символов, поступающие с выхода кодера,
являются информационными, следующие за ними (n-k) символов -
контрольными.
Отобразим работу кодера в таблице состояний (см. табл. 6.1) триггеров
регистра при последовательной подаче на вход кодера кодовой комбинации 0011
(двоичный эквивалент 3 варианта).
Рисунок
6.1 - Функциональная схема кодера на основе k-разрядного регистра сдвига
Проверим
полученную схему:
Таблица
6.1
|
Вход
|
Выход
|
|
a4
|
0
|
0
|
|
a3
|
0
|
0
|
|
a2
|
1
|
1
|
|
a1
|
1
|
1
|
|
b3
|
|
0
|
|
b2
|
|
0
|
|
b1
|
|
1
|
Таким образом, на выходе: 0011001.
6.3 Синтез
функциональной схемы декодера
Для построения декодера с исправлением ошибки в него необходимо включить
дешифратор остатка (синдрома), построенный в соответствии с образующей матрицей,
и схему исправления ошибок.
Устройство исправления ошибок реализуется в виде совокупности четырех
сумматоров по модулю два, каждый из которых имеет по два входа. Первые входы
сумматоров соединяются с выходами информационных разрядов буферного регистра, а
вторые входы подключаются к соответствующим выходам дешифратора синдрома.
Синтезированная на основе этих рассуждений функциональная схема декодера
приведена на рисунке 6.2.
Рисунок
6.2 - Функциональная схема декодера
Отобразим
работу декодера в таблице состояний (см. табл. 6.2) триггеров при
последовательном приеме кодовой комбинации с ошибкой вa3.
Таблица
6.2 - Таблица состояний
|
Входд
|
Выход
|
|
а4
|
0
|
0
|
|
а3
|
1
|
0
|
|
а2
|
1
|
1
|
|
а1
|
1
|
1
|
|
b3
|
0
|
|
|
b2
|
0
|
|
|
b1
|
1
|
|
Ошибка в первом разряде обнаружена и исправлена.
.4 Синтез
принципиальной схемы декодера максимального правдоподобия с исправлением
одиночной ошибки
Синтезированная принципиальная схема декодера максимального
правдоподобия, исправляющего одиночную ошибку, изображена на рисунке 6.3.
Рисунок 6.3 - Принципиальная схема декодера максимального правдоподобия с
исправлением одиночной ошибки
В ПЗУ во всех ячейках, адреса которых содержат только по одной единице
(для одиночной ошибки в принятой комбинации) и по адресу 0000000 (для верно
принятой комбинации), запрограммирована комбинация с единицей в старшем разряде
(например: 10000000), для формирования строба для регистра на выходе декодера.
Счётчик в кодере последовательно выставляет все возможные комбинации
информационных разрядов, поэтому тактовые импульсы STR0 должны подаваться в 16 раз реже STR1.
Для подсчёта числа единиц (числа ошибок) в каждом из векторов ошибок
используется ПЗУ. Это ПЗУ запрограммировано в соответствии с таблицей 6.3.
Таблица 6.3 - Программа PROM
|
А0
|
А1
|
А2
|
А3
|
А4
|
А5
|
А6
|
D7
|
|
0
|
0
|
0
|
0
|
0
|
0
|
0
|
1
|
|
0
|
0
|
0
|
0
|
0
|
0
|
1
|
1
|
|
0
|
0
|
0
|
0
|
0
|
1
|
0
|
1
|
|
0
|
0
|
0
|
0
|
1
|
0
|
0
|
1
|
|
0
|
0
|
0
|
1
|
0
|
0
|
0
|
1
|
|
0
|
0
|
1
|
0
|
0
|
0
|
0
|
1
|
|
0
|
1
|
0
|
0
|
0
|
0
|
0
|
1
|
|
1
|
0
|
0
|
0
|
0
|
0
|
0
|
1
|
|
x
|
x
|
x
|
x
|
x
|
x
|
x
|
0
|
Если вектор ошибки содержит нулевую комбинацию, это говорит о том, что
переданная и одна из разрешённых комбинаций совпали, т.е. в переданной
комбинации нет ошибок. Если вектор ошибки содержит единицу в одном каком-то
разряде, значит, в переданной комбинации содержится одиночная ошибка. Таким
образом, если ПЗУ распознаёт менее двух ошибок, то на выходе ПЗУ присутствует
логическая единица, иначе логический ноль. Этот сигнал является оповещающим о
наличии или отсутствии неисправимых ошибок.
Заключение
Целью курсовой работыявлялось изучение основ передачи данных посредством
решения шести задач.
При выполнении курсовой работы получены следующие результаты:
- рассмотрены различные модели структур многополюсных информационных сетей;
- рассчитаны длины информационных сетей с различными видами
топологий;
- исследованы параметры дискретного канала, по заданным АЧХ и
ФЧХ определена эффективная передаваемая полоса частот и оптимальная скорость
модуляции при передаче сигналов с одной и двумя боковыми полосами;
- по заданным характеристикам проводной линии были рассчитаны
ее первичные, а затем вторичные параметры. Также было исследовано влияние
частоты на эти параметры;
- выполнен анализ помехоустойчивости приема единичных элементов
при различных видах модуляции;
- исследовано влияние флуктуационных и гармонических помех на
величину краевых искажений;
- для заданного систематического кода были построены
функциональные схемы кодера и декодера, а также принципиальная схема декодера
максимального правдоподобия, исправляющего одиночную ошибку.
Библиографический
список
1. Ланских В.Г. Основы построения систем и сетей
передачи данных: Учебное пособие. - Киров: Изд-во ВятГУ, 2009. - 185 с.
Приложение А
(обязательное)
Перечень принятых сокращений
|
АМ
|
амплитудная модуляция
|
|
АЧХ
|
амплитудно-частотная
характеристика
|
|
ДОФМ
|
двукратная относительная
фазовая модуляция
|
|
КАМ
|
квадратурная амплитудная
модуляция
|
|
ОФМ
|
относительная фазовая
модуляция
|
|
ПЗУ
|
постоянное запоминающее
устройство
|
|
ТОФМ
|
трехкратная относительная
фазовая модуляция
|
|
УПС
|
устройство преобразования
сигналов
|
|
ФМ
|
фазовая модуляция
|
|
ФЧХ
|
фазо-частотная
характеристика
|
|
ЧМ
|
частотная модуляция
|