Фундамент для двухпролетного одноэтажного промышленного здания II класса ответственности

  • Вид работы:
    Дипломная (ВКР)
  • Предмет:
    Строительство
  • Язык:
    Русский
    ,
    Формат файла:
    MS Word
    445,52 Кб
  • Опубликовано:
    2016-02-13
Вы можете узнать стоимость помощи в написании студенческой работы.
Помощь в написании работы, которую точно примут!

Фундамент для двухпролетного одноэтажного промышленного здания II класса ответственности













Фундамент для двухпролетного одноэтажного промышленного здания II класса ответственности

Введение

Опорной частью строящегося объекта является фундамент. Фундамент - специальная заглубленная в грунт конструкция, подземная часть здания, предназначенная для передачи и распределения заданной нагрузки от сооружения на грунты основания. Фундамент - важнейшая часть любого сооружения, так как устойчивость сооружения обеспечивается благодаря расположению его фундаментов на прочных грунтах, которые в свою очередь обладают пористостью и дисперсностью. Для того, чтобы предотвратить выпучивание, фундаменты закладывают ниже фактической глубины промерзания грунта. Поэтому при проектировании фундаментов необходимо пользоваться регламентациями СНиП.

Фундаменты стаканного типа предназначены для установки колонн одноэтажных промышленных зданий. Сечение колонн бывает от 300×300 до 700×500 мм. По глубине заложения фундаменты условно разделяют на две основные группы - мелкого и глубокого заложения.

Для изготовления фундаментов применяются бетоны низких классов с прочностью на сжатие не более 20 МПа, от В12,5 до В20. От величин постоянных и временных нагрузок, действующих на обрез, зависят конструктивные особенности фундаментов стаканного типа. Фундамент может иметь одну или несколько ступеней. В растянутую зону стакана устанавливается арматурный каркас, предназначенный для восприятия растягивающих напряжений, которые в результате передачи нагрузок от колонн возникают в дне стакана.

Фундаменты стаканного типа имеют высокую экономическую эффективность, в связи с тем, что относятся к ответственным строительным конструкциям, позволяющим снижать материалоёмкость сооружений.

. Анализ местных условий строительства

Расчет физико-механических свойств наслоений грунта

Таблица 1. Физико-механические свойства грунтов на площадке строительства

Наименование свойств

Расчетные уравнения

Наименование слоя грунта




 Глина

 Песок средний

Глина

1

2

3

 4

5

6

1

Удельный вес твердых частиц грунта (γs), кН/м3

γs

 27,0

26,6

27,4

2

Удельный вес скелета грунта в состоянии естественной влажности (γd), кН/м3

γd = γ:(1+W)

15,56

15,67

16,47

3

Коэффициент пористости (e)

е = (γs /γd)-1

0,74

0,69

0,63

4

Степень влажности (Sr)

 -0,77-




5

Число пластичности (Jр)

 0,18 -0,19




6

Показатель текучести (JL)

 0,22 -0,11





Условное сопротивление грунта сжатию (R0), кПа

R0

 0,25

0,25

0,32

 

Обозначения:

γ - удельный вес грунта в сухом состоянии;

 - удельный вес воды, равный 10 кН/м3;

W - естественная влажность;

 - влажность на границе текучести;

 - влажность на границе раскатывания.

Расчет значений:

1.      Удельный вес скелета грунта в состоянии естественной влажности:

 

γd = γ:(1+W), кН/м3

где γ - удельный вес грунта в сухом состоянии;

W - естественная влажность

Глина: γd = 19,3:(1+0,24) = 15,56 кН/м3

Песок средний: γd = 18,8:(1+0,20) = 15,67 кН/м3

Глина: γd = 19,6:(1+0,19) = 16,47 кН/м3

2.      Коэффициент пористости:

 

е = (γsd)-1,

где  - удельный вес твердых частиц грунта;

Глина: е = (27,0 /15,56)-1 = 0,74

Песок средний: е = (26,6 /15,67)-1 = 0,69

Глина: е = (27,4 /16,47)-1 = 0,63

3.      Степень влажности для песка:

 

Sr = (γ·W)/(γw),

где  - удельный вес воды, равный 10 кН/м3;

е - коэффициент пористости.

Sr = (26,6·0,20)/(0,69·10) = 0,77

4.      Число пластичности для глинистых грунтов:

,

где  - влажность на границе текучести;

 - влажность на границе раскатывания.

Jp = 0,38- 0,20 = 0,18

Jp = 0,36 - 0,17 = 0,19

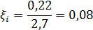
5.      Показатель текучести для глинистых грунтов:

 

JL = (0,24 - 0,20)/0,18 = 0,22

JL = (0,19 - 0,17)/0,19=0,11

6.      Условное сопротивление сжатию (R0):

На основе рассчитанных значений физических свойств грунтов, устанавливаем величину условного сопротивления сжатию (R0) каждого пласта. Для промежуточных значений показателя текучести (JL) и коэффициента пористости (e) условное сопротивление сжатию (R) определяем интерполяцией.

Для глины:

При Jp=0,18 следует, что величина условного сопротивления сжатию принимается средней между суглинками и глинами, имеющими соответствующий коэффициент пористости.

е =0,74

JL=0,22

)        Интерполяция по суглинку

JL

0,20

0,22

0,30

0,70

0,25

0,24

0,20

0,74


0,23


 1,0

0,20

0,19

0,15

 

2)      Интерполяция по глине

 

JL

0,20

0,22

0,30

0,60

0,30

0,265

0,25

0,74


0,25


0,80

0,25

0,215

0,20


Находим среднее арифметическое значение между суглинками и глинами:

Для глины:

Jp=0,19

е =0,66

JL=0,11

)        Интерполяция по суглинку

JL

0,10

0,11

0,20

0,50

0,35

0,31

0,30

0,66


0,305


 0,70

0,30

0,26

0,25


2)Интерполяция по глинам

JL

0,10

0,11

0,20

0,60

0,35

0,335

0,30

0,66


0,33


 0,80

0,30

0,285

0,25


Находим среднее арифметическое значение между суглинками и глинами:

Поскольку на данном участке грунты обладают условным сопротивлением сжатию (R0) больше 150 кПа и модулем деформации E больше 5МПа, то напластования грунтов данной строительной площадки могут служить в качестве естественного основания для проектируемого промышленного здания.

Согласно СНиП 2.02.01-83*:

) обрез фундамента рекомендуется назначать ниже поверхности грунта не менее чем на 0,25 м; 128,8 - 0,5 = 128,3 ОФ;

) подошва фундамента должна опираться на прочный грунт; смогу установить после учёта особенностей климатического региона, температуры воздуха в проектируемом объекте, конструктивных особенностей колонны;

) подошва фундамента заглубляется ниже расчетной глубины промерзания не менее чем на 0,5 м в прочный грунт.

2. Анализ технологического назначения здания и его конструктивного решения

Проводя анализ технологического назначения здания, устанавливаем:

класс ответственности здания и его технологическое назначение - II класс ответственности;

температурный режим внутри него - среднесуточная температура в цехе 200С;

величины нагрузок, действующих на полы, примыкающие к фундаментам - ΣN = 1817 кН;

наличие, расположение и размеры заглубленных помещений и фундаментов под оборудование - таковых не имеется;

группы режимов работы мостовых и подвесных кранов - переменные, их грузоподъемность - 12 т.

Анализ конструктивной схемы здания позволяет уяснить:

размеры, планово-высотную привязку конструкций здания и вид материалов, из которых проектируется изготовление фундаментов - высота здания 12 м, стены выполнены из керамзитбетона, толщина стены 0,40 м;

схема конструктивных особенностей здания - гибкая;

конструктивные особенности полов - бетонные, сплошные.

чувствительность здания к деформациям основания - проектируемое промышленное здание имеет железобетонный каркас.

Предельная осадка такого здания Su = 8 см, предельный крен не нормируется;

величину и направление нагрузок, действующих на фундамент на уровне его обреза или уровне планировки поверхности - ΣN = 1817 кН

Оптимальный вариант, фундаментов выбирается по технико-экономическим показателям.

3. Выбор глубины заложения фундамента

Глубина заложения фундамента (d)- это расстояние от поверхности планировки или пола подвала до подошвы фундамента. Подошва фундамента должна опираться на прочные слои грунта, о6еспечивающие восприятие нагрузки от фундамента и долговременную эксплуатационную надежность здания.

Одним из важнейших факторов, предопределяющих заглубление подошвы фундамента, является глубина сезонного промерзания грунта. Для районов, где глубина промерзания на незастроенной территории не превышает 2,5 м, ее нормативное значение () определяют по формуле:


где  - безразмерный коэффициент, численно равный сумме абсолютных значений среднемесячных отрицательных температур за зиму в данном районе, принимаемых по СНиП 2.01.01 «Строительная климатология и геофизика»;

 - эмпирический коэффициент, величина которого зависит от вида грунта. Для суглинков и глин  = 0,23 м; супесей, песков мелких и пылеватых  = 0,28 м; песков гравелистых, крупных и средней крупности  = 0,30 м; крупнообломочных грунтов  = 0,34 м.

Для песков: выбираем  = 0,23 м.

 


Далее находим расчетное значение глубины сезонного промерзания грунта (), которое определяем по формуле:


где  - коэффициент, учитывающий влияние температуры воздуха внутри помещений, примыкающих к наружным фундаментам, учитывающий наличие подвала или технического подполья, а также состав полов (табл.1 в МУ). Принимается по СНиП 2.02.01 «Строительная климатология и геофизика».

Находим из таблицы в МУ «Коэффициенты  для расчета глубины промерзания грунта под зданиями» для сооружения без подвала с полами по грунту при расчетной среднесуточной температуре воздуха в помещениях, примыкающих к наружным фундаментам 200 С.

На глубину заложения подошвы фундамента оказывают влияние следующие особенности проектируемого сооружения:

наличие и размеры подвалов, каналов, тоннелей, фундаментов под оборудование;

глубина прокладки инженерных коммуникаций;

глубина заложения фундаментов, примыкающих сооружений;

конструктивные требования, предъявляемые к высоте фундамента () и т.п.

Высота фундамента () - это расстояние от его обреза до подошвы. Высота фундамента должна быть достаточной для надежного крепления к нему надземных конструкций (например, колонн).

Подбор колонн.

Из «Пособия по проектированию фундаментов на естественном основании под колонны зданий и сооружений» по заданным параметрам выбираю подходящие колонны.

Временная вертикальная нагрузка 120 кН = 12 т

Высота здания 12 м

Крайняя колонна:

4КК120

Средняя колонна:

9КК120


 

Рисунок 1 - подбор колонн

 

Крайняя колонна:

При стаканном сопряжении фундамента с железобетонной колонной глубина заделки колонны в фундамент () в том случае, когда колонна имеет сплошное прямоугольное сечение, должна быть не менее величины длинной стороны сечения ():

 

 мм

Высота фундамента () из условия надежной заделки колонны в стакан должна быть не менее:


где  - расстояние от дна стакана до подошвы фундамента, принимаемое не менее 0,2 м;

,05 - расстояние между торцом колонны и дном стакана, назначаемое для обеспечения рихтовки колонны при монтаже, м.

Расчетная высота фундамента для крайних колонн:

Высота фундамента, вычисленная по условию, округляется до ближайшего большего размера, кратного 0,3 м.

Но, в промышленных зданиях минимальная высота фундамента стаканного типа не может быть менее 1,5 м. Следовательно, принимаем высоту фундамента .

Средняя колонна:

Аналогично рассчитываем высоту фундамента для средних колонн.

Для двухветвевых колонн:

Если м, то

 расчетная высота фундамента для средних колонн

Так же как и в случае с крайними колоннами принимаем высоту фундамента

4. Определение размеров подошвы фундамента

В первом приближении площадь подошвы фундамента (А) определяют по конструктивным соображениям и вычисляют по формуле:

где  сумма всех вертикальных нагрузок в обрезе фундамента для расчетов по II группе предельных состояний, кН;

 - расчетное значение сопротивления грунта сжатию, кПа;

 кПа (из таблицы 1);

- среднее значение удельного веса материала фундамента и грунта на его уступах, принимаемое в инженерных расчетах равным 20 кН/м3;

 глубина заложения фундамента, м.

Значение определяют как сумму наибольшей вертикальной нагрузки NIImax из всех заданных сочетаний нагрузок от колонны для расчетов по II группе предельных состояний и дополнительных нагрузок в обрезе фундамента в виде, например, веса фундаментной балки, веса стены и т.д.

+

 

максимальное значение нагрузок из задания

- вес стены, кН;


- высота здания (), м;

- толщина стены (), м;

- шаг колонн (=6), м;

- удельный вес материала стены (керамзитбетона ), ;

- коэффициент проемности (0,75);

- коэффициент надежности по назначению (=0,9).

Вес стены:

Итак, сумма всех вертикальных нагрузок в обрезе фундамента для расчетов по II группе предельных состояний:

Площадь подошвы фундамента:

Поскольку шаг колонн 6 м, то максимально возможная ширина фундамента стаканного типа не может превышать 3 м. Поэтому можно задать произвольно величину  в диапазоне значений от 0,9 м до 2,7 м.

Принимаем возможные размеры подошвы фундамента:

Расчетное сопротивление грунта основания сжатию для бесподвальных зданий определяем по формуле:


где  - коэффициенты условий работы приведены в табл 5.1 МУ (СНиП 2.02.0I-83*, табл.3);

 - коэффициент, принимаемый:  если свойства грунта () определены экспериментально;  если они приняты по таблицам СНиП;

 - коэффициенты, принимаемые по табл. 4 СНиП 2.02.0l-83 в зависимости от угла внутреннего трения

 - коэффициент, принимаемый равным: при  

ширина подошвы фундамента, м;

осредненное расчетное значение удельного веса грунтов, залегающих ниже подошвы фундамента (при наличии подземных вод определяется с учетом взвешивающего действия воды),;

то же, залегающих выше подошвы;

расчетное значение удельного сцепления грунта, залегающего непосредственно под подошвой фундамента, ;

 глубина заложения фундамента, м.

Для заданного промышленного сооружения выбираем следующие параметры:

из табл.5.1 МУ для грунтов крупнообломочных с песчаным заполнителем и песчаных, кроме мелких и пылеватых;

 для зданий с гибкой конструктивной схемой;

так как свойства грунта () приняты по таблицам СНиП;

 из табл.5.2 МУ при величине угла внутреннего трения (из табл.1.2 - свойства грунтов)

ниже подошвы фундамента расположены грунты песок и суглинок;

так как выше подошвы фундамента находится только слой песка;

из табл.1.2. - свойства грунтов.

Расчетное сопротивление грунта основания сжатию для бесподвальных зданий:

Первой проверкой найденных размеров подошвы является установление формы эпюры давлений в подошве фундамента (контактных давлений) и сравнение ее с допустимой.

Форма эпюры контактных давлений обусловлена значениями эксцентриситетов, и проверка сводится к выполнению условия:

(i=1, 2 , ……n)

где расчетное значение относительных эксцентриситетов для каждого i-го сочетания нагрузок при расчетах по II группе предельных состояний;

число сочетаний нагрузок при расчетах по II группе предельных состояний;

предельный эксцентриситет для остальных производственных зданий с мостовыми кранами и открытых крановых эстакад;

Относительный эксцентриситет вертикальной нагрузки в подошве фундамента для каждого сочетания определяется по формуле:


 длинная сторона подошвы фундамента,

 эксцентриситет вертикальной нагрузки


где  - сумма всех вертикальных сил приложенных к подошве фундамента, определяемая по формуле:

+

ориентировочный вес фундамента, грунта на его уступах и подготовки под полы, определяемый по формуле:

 

+264,384

 сумма всех моментов, относительно выбранных координатных осей в подошве фундамента.


где - максимальное сочетание моментов из табл.1.1 МУ - исходные данные для проектирования;

 максимальное сочетание горизонтальных нагрузок из табл.1.1 МУ - исходные данные для проектирования;

 длина стены, равная 1 м;

толщина стены, м.

Итак, эксцентриситет приложения равнодействующей вертикальной нагрузки и относительный эксцентриситет в подошве фундамента равен:

Относительный эксцентриситет удовлетворяет условию:


(

В соответствии со СНиП 2.02.01-83* среднее давление под подошвой фундамента (), не должно превышать расчетное сопротивление грунта (), краевое давление при действии изгибающего момента вдоль каждой оси фундамента () не должно превышать .

При действии момента только в одной плоскости должны выполняться два условия:

 

Давления под подошвой определяют по формулам:

Cреднее

 

 

максимальное краевое давление

 

 

Размеры подошвы фундамента считаются подобранными удачно, если хотя бы в одном из условий отклонения составляют: перенапряжение не более 5%, недонапряжение - до 10%.

В связи с тем, что давление под подошвой фундамента почти вдвое меньше несущей способности грунтов, необходимо откорректировать размеры фундамента в меньшую сторону.

Вторая проверка

Принимаем возможные размеры подошвы фундамента:

Расчетное сопротивление грунта основания сжатию для бесподвальных зданий:

Ориентировочный вес фундамента определяется по формуле:

+264,384

Итак, эксцентриситет приложения равнодействующей вертикальной нагрузки и относительный эксцентриситет в подошве фундамента равен:

Относительный эксцентриситет удовлетворяет условию:


(

Давления под подошвой определяют по формулам:

Cреднее

максимальное краевое давление

В связи с тем, что краевое давление поп подошве фундамента не соответствует допустимым значениям, вынужден увеличить длину фундамента на 0,3.

Третья проверка

Принимаем возможные размеры подошвы фундамента:

Расчетное сопротивление грунта основания сжатию для бесподвальных зданий:

Ориентировочный вес фундамента определяется по формуле:

+264,384

Итак, эксцентриситет приложения равнодействующей вертикальной нагрузки и относительный эксцентриситет в подошве фундамента равен:

Относительный эксцентриситет удовлетворяет условию:


(

Давления под подошвой определяют по формулам:

cреднее

максимальное краевое давление

357,49

Перенапряжение по подошве фундамента составляет  , поэтому принятые размеры фундамента считаем корректно назначенными.

Дальнейшие расчеты по проектированию фундамента будут вестись по размерам:


5. Расчет осадок подошвы фундамента

Сжимаемую толщину грунтов, расположенную ниже подошвы фундамента, разбивают на элементарные слои толщиной

где ширина подошвы фундамента (1,5 м).

Границы элементарных слоев должны совпадать с границами слоев грунтов. Глубина разбивки должна быть примерно равна

Определяем значения вертикальных напряжений от собственного веса грунта  на уровне подошвы фундамента


где сумма вертикальных нагрузок, от собственного веса грунта выше подошвы фундамента.

Определяем значения вертикальных напряжений от собственного веса грунта  на уровне подошвы фундамента и на границе каждого слоя


где вертикальное напряжение от собственного веса грунта на уровне подошвы фундамента;

удельный вес грунта i-го слоя;

толщина i-го слоя грунта.

слой: песок

1)

)

)

)

)

)

)

)

Результаты расчета заносим в табл. 2 и по ним строим эпюру вертикальных напряжений от собственного веса грунта.

Определяем значения ординат эпюры распределения дополнительных вертикальных напряжений в грунте по формуле:


где коэффициент, принимаемый в зависимости от формы подошвы фундамента, соотношения сторон прямоугольного фундамента  и относительной глубины, равной . Значения  находим интерполяцией из табл. 6.1 в МУ.

Производим расчет коэффициентов для расчета осадки:

Слой:

 

 

1,8

3.2

0,251

3,46

0,224

 

3,6

0,209

 

Слой: при z=3,2

 

 

1,8

4,0

0,176

4,26

0,166

4,4

0,160

 

Слой: при z=3,8

 

 

1,8

4,8

0,130

5,06

0,118

5,2

0,112

 

Слой: при z=4,4

 

 

1,8

5,6

0,099

5,86

0,091

6,0

0,087

 

Слой: при z=5

 

 

1,8

6,4

0,077

6,66

0,071

6,8

0,069

 

Слой : при z=5,6

 

 

1,8

7,20

0,062

7,46

0,058

7,60

0,056

 

Слой: при z= 6,2

 

 

1,8

8,0

0,051

8,26

0,048

8,4

0,046

 

Слой: при z=6,8

 

 

1,8

8,8

0,042

9,06

0,040

9,2

0,039

 

Слой : при z=7,1

 

 

1,8

9,2

0,039

9,46

0,037

9,6

0,036

 

Определяем дополнительное (к природному) вертикальное напряжение в грунте под подошвой фундамента по формуле:


Среднее давление на грунт от нормативных постоянных нагрузок


Итак, дополнительное вертикальное напряжение:

Итак, высчитываем и заносим в табл. 2 значения ординат эпюры распределения дополнительных вертикальных напряжений в грунте по формуле:


Определяем нижнюю границу сжимаемой толщи (В.С.). Она находится на горизонтальной плоскости, где соблюдается условие:


Границу сжимаемой толщи можно установить графически, построив, справа эпюру В точке пересечения этой эпюры с эпюрой  получим границу нижнюю границу сжимаемой толщи грунта (В.С).

Осадку каждого слоя основания определяют по формуле:

где безразмерный коэффициент, равный 0,8;

среднее вертикальное (дополнительное) напряжение в i-м слое грунта;

соответственно толщина и модуль деформации i-го слоя грунта,

Находим осадку каждого слоя основания:

) 2)3)4)5)6)7)8)По СНиП 2. 02.01-83 предельное значение совместной деформации  для промышленных и гражданских одноэтажных, и многоэтажных зданий равно 8 см. Исходя, из расчетов осадок подошвы фундамента получаем совместные деформации.

Подобранные ранее размеры подошвы фундамента должны быть достаточными, чтобы удовлетворялось условие расчета основания по деформациям:

Условие расчета основания по деформациям удовлетворено. Следовательно, подобранные ранее размеры подошвы фундамента сохраняются.

Результаты расчета заносим в таблицу 2 и по данным строим эпюры соответствующих напряжений.

Таблица 2. - Результаты расчетов при определении осадки фундамента

№ слоя

Вертикальное напряжение от собственного веса грунта на границе слоя, кПа

Ордината эпюры распределения дополнительных вертикальных напряжений кПа

Осадка слоя  




верхней

Нижней




0

2,6

0

-

26,51

0,224

178,76

-

1

3,2

0,6

26,51

35,91

0,166

29,67

0,00037

2

3,8

0,6

35,91

45,31

0,118

21,09

0,00026

3

4,4

0,6

45,31

54,71

0,091

16,27

0,00021

4

5,0

0,6

54,71

64,11

0,071

12,69

0,00016

5

5,6

0,6

64,11

73,51

0,058

10,37

0,00013

6

6,2

0,6

73,51

82,91

0,048

8,58

0,00011

7

6,8

0,6

82,91

92,31

7,15

0,00009

8

7,1

0,3

92,31

97,01

0,037

6,61

0,00008


6. Расчет прочности конструктивных элементов

 

Конструирование фундамента

Фундамент включает плитную часть, которая состоит из одной-трех ступеней, и подколонник, в котором формируют стакан для заделки колонны. Все размеры фундамента должны быть кратны 300 мм из условия их изготовления с применением инвентарной щитовой опалубки. Рекомендуемые размеры сечений подколонника (dg), высот фундаментов (hf) и плитной части, а также подошвы приведены в табл.7.1. МУ

Вначале определим размеры подколонника в плане, используя следующие конструктивные требования. Толщина стенки (dg) армированного стакана должна быть не менее 150 мм и иметь толщину в плоскости действия изгибающего момента:


Зазоры между стенками стакана и колонной принимаются 75 мм по верху и 50 мм по низу стакана с каждой стороны колонны (рис. 2)

Следовательно, толщина стенки армированного стакана:

С учетом размеров колонны, внешних габаритов стенок стакана и принятых зазоров сторон подколонника в плане buc и luc должны составлять в м:


Расчетные размеры buc и luc округляют до размеров, кратных 300 мм.

 

Рисунок 2 - схема к формированию габаритов фундамента

Затем осуществляют конструирование плитной части фундамента. В соответствии с требованиями пособия по проектированию фундаментов, исходя из результатов расчета на продавливание, последовательно вычисляют высоту плитной части фундамента и по табл.7.1 МУ назначают количество ступеней, максимальные вылеты (С) нижней и остальных ступеней. При этом вылет нижней ступени С1 принимается не более размеров, указанных в табл.7.1. МУ

Определяют (h01) рабочую высоту нижней ступени (рис. 2):


где  расстояние от равнодействующей усилий в арматуре до подошвы фундамента, т.е. сумма толщин защитного слоя бетона и половины диаметра рабочей арматуры. При наличии бетонной подготовки под подошвой фундамента толщина защитного слоя равна 35 мм.

Примем диаметр рабочей арматуры 20 мм (по ГОСТ 6727-80), тогда

Вначале полагаем, что плитная часть фундамента состоит из одной ступени высотой h1=300 мм.

Итак, рабочая высота нижней ступени:

Наибольший допускаемый вынос нижней ступени (С1) определяют по формуле:


где k - коэффициент, принимаемый по табл.7.2 МУ в зависимости от конфигурации фундамента, класса бетона по прочности на сжатие и наибольшего краевого давления под подошвой. Сначала в расчете принимаем бетон класса В 15.

Но, чтобы определить k из табл.7.2. МУ нужно вычислить краевое давление

Краевое давление (P1max) вычисляют в зависимости от расчетных нагрузок (1 группа предельных состояний), приложенных на уровне верхнего обреза фундамента (для вертикальных сил N1) и в подошве фундамента (для моментов М1) без учета веса фундамента и грунта на его уступах.

При расчете внецентренно нагруженного фундамента в плоскости действия момента (вдоль стороны l) краевое давление (P1maxi) вычисляют следующим образом:


Применительно к курсовому проекту, в котором два сочетания нагрузок для расчетов по II группе предельных состояний имеют номера 3 и 4:


где  коэффициент надежности по нагрузке (γf =1,1 из МУ);

 вес стены;

см. рис.

М и Q принимают со своими знаками из задания.

Расчёт значений:

Для расчета максимального краевого давления используем максимальную вертикальную нагрузку  и максимальный момент

Итак, максимальное краевое давление (P1maxi) равно:

Определяем k из табл.7.2. МУ при классе бетона по прочности В15, краевом давлении

Выполняется условие, где


Следовательно, k = 2,4

Итак, наибольший допускаемый вынос нижней ступени:

Определяем максимальный фактический выносы ступени вдоль стороны l:


Определяем максимальный фактический выносы ступени вдоль стороны l:

 

Т.к. вычисленное значение С1 превышает фактические выносы ступени C1l вдоль стороны l и C1b вдоль стороны b, определяемые расстояниями от грани подошвы фундамента до подколонника (рис. 2), то оставляем одну ступень.

Расчет фундамента на продавливание колонной дна стакана

Этот расчет производится на действие только от расчетной вертикальной силы N1c, действующей в уровне торца колонны, если удовлетворяется условие (рис.), что расстояние от обреза фундамента до поверхности первой ступени (huc) за минусом расстояния до дна стакана (dс) меньше половины разницы между внешними габаритами стакана (luc) и длинной стороной колонны (lc):

 

Проверка фундамента по прочности на продавливание колонной дна стакана при действии продольной силы N1c производится исходя из условия:

 

где Rbt - расчетное сопротивление бетона осевому растяжению, в соответствии со СНиП 2.03.01-84* как для железобетонных сечений в кПа; (т.к. В15, то Rbt=150 кПа)

A0 - площадь многоугольника abcdeg в м2, равная:

 

 


Схема к расчетам фундамента на продавливание дна стакана показывает, что боковая поверхность пирамиды, меньшим основанием которого является площадь дна стакана, является незначительной. Принимаем решение на уменьшение толщины дна стакана до величины равной 0,3 м.


где рабочая высота пирамиды продавливания от дна стакана до плотности расположения растянутой арматуры, м;

глубина и размеры по низу меньшей и большей сторон стакана, м.

Условие не соблюдается, следовательно, увеличим толщину дна стакана до 0,45 м (hg)

Условие проверки фундамента по прочности на продавливание колонной дна стакана при действии продольной силы соблюдено. Следовательно, используем бетон класса прочности В15, а толщину дна стакана принимаем равной 0,45м.

Определение сечений арматуры в плитной части фундамента

Подбор арматуры рекомендуется вести на всю ширину (длину) фундамента. Площадь сечения рабочей арматуры, расположенной параллельно стороне l (b), в i-ом сечении на всю ширину (длину) подошвы фундамента вычисляют в м2 по формуле:


где расчетное сопротивление арматуры растяжению, принимаемое по СНиП 2.03.01-84* для класса А400

расчетный момент в расчетном сечении j, кНм;

рабочая высота рассматриваемого сечения, м;

коэффициент, зависящий от расчетного момента, расчетного сопротивления бетона на сжатие, размера (ширины) сжатой зоны в рассматриваемом сечении, рабочей высоты. Это значение допускается принимать равным

Из пункта 6.1 ПЗ:

 


Выбираем максимальное

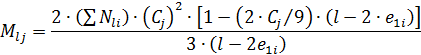
В зависимости от вида эпюры контактных давлений грунта от расчетных нагрузок для I предельного состояния изгибающие моменты в j-ом сечении на расстоянии Cj от наиболее нагруженного края фундамента при действии внешних моментов ΣM1j только вдоль одной стороны (вдоль длины подошвы l ) вычисляют по формуле:

При


условие выполняется.

где номер невыгодного сочетания нагрузок;

номер рассматриваемого сечения;

расстояние от боковой поверхности фундамента до рассматриваемого сечения, м.

За расстояние C1 примем расстояние между серединой сечения фундамента и началом выступа первой ступени, вдоль стороны l.

Вычисляем площадь сечения всей арматуры:


Меньшая из сторон b следует применять сетку с рабочей арматурой в 2-х направлениях. Шаг рабочих стержней принимаем равный 200 мм.

Определяем длину рабочей арматуры по сторонам по

по

Так как арматура должна быть прикрыта с каждого края на 15мм.

Количество рабочих стержней:

вдоль

вдоль

Площадь сечения одного стержня:

Минимальный диаметр одного стержня:

Диаметр стержня принимаем равный 6мм.

Так как СНиП регламентирует минимальный диаметр рабочей арматуры вдоль стороны принимать 10мм. Следовательно, принимаем диаметр рабочей арматуры 10мм.

7. Определение количества материала, необходимого для изготовления одного фундамента

Определяем массу бетона, необходимого на один фундамент


Масса бетона для одного фундамента:

 

Определяем массу арматуры, необходимой на один фундамент

Масса арматуры для одного фундамента:

 


Определим массу бетона, учитывая массу арматуры:


Результаты расчетов заносим в сводную таблицу расхода материала на изготовление фундамента.

фундамент здание конструктивный

Заключение

Запроектирован фундамент для двухпролетного одноэтажного промышленного здания II класса ответственности.

Высота фундамента hf =2,1 м, глубина заложения d = 2,6 м, за ПФ принята отметка 126,2; ПФ расположена в слое грунта -средний песок.

Размеры подошвы фундамента

Длина и ширина подколонника 1,5 и 1,2 м соответственно, толщина стенки подколонника dg = 225 мм, глубина стакана подколонника dс = 1,0 м.

Для армирования фундамента принимаем сетку, скрепленную во взаимоперпендикулярных направлениях (арматура класса А400), расположенную в плитной части фундамента с рабочей арматурой сечением d =10 мм.

Масса запроектированного фундамента составляет .

Список использованной литературы

1. Методические указания к выполнению курсового (и дипломного) проекта по дисциплине «Основания и фундаменты». ». - Ростов н/Д: Рост. гос. ун-т путей сообщения, 2011. - 36 с.

З. Справочник проектировщика. Основания, фундаменты и подземные сооружения. Под ред. Е.А. Сорочана и Ю.Г. Трофименкова.-М.: Стройиздат, 2009.- 480 с.

. Далматов Б.И. и др. Основания и фундаменты. - М.: Изд-во АСВ; СПбГАСУ, 2012. - 392 с.

. Берлинов М.В. Основания и фундаменты. - М.: ВШ, 2008. - 319 с.

Похожие работы на - Фундамент для двухпролетного одноэтажного промышленного здания II класса ответственности

 

Не нашли материал для своей работы?
Поможем написать уникальную работу
Без плагиата!
Без нейросетей!