Расчет водоснабжения жилого дома

  • Вид работы:
    Курсовая работа (т)
  • Предмет:
    Строительство
  • Язык:
    Русский
    ,
    Формат файла:
    MS Word
    66,59 Кб
  • Опубликовано:
    2015-12-10
Вы можете узнать стоимость помощи в написании студенческой работы.
Помощь в написании работы, которую точно примут!

Расчет водоснабжения жилого дома

ЦЕЛЬ РАБОТЫ

водоснабжение здание канализация

Цель данной курсовой работы - проектирование системы внутреннего холодного водопровода и системы водоотведения жилого дома, в ходе которого производится: гидравлический расчет систем холодного водопровода, подбор калибра водомера, расчет насосных установок, подбор марки насоса в зависимости от электродвигателя и мощности, построения профиля дворовой канализации, поверочный расчет дворовой канализационной сети.

1.ПРОЕКТИРОВАНИЕ СИСТЕМЫ ВНУТРЕННЕГО ХОЛОДНОГО ВОДОПРОВОДА

.1 ВЫБОР ПРИНЦИПИАЛЬНОЙ СХЕМЫ ВНУТРЕННЕГО ВОДОПРОВОДА

При выборе схемы учитываем: степень благоустройства, назначение и конструктивные особенности здания, величины максимального и минимального напоров в наружной водопроводной сети, качество внутренней отделки здания.

По конструктивному выполнению могут быть применены: системы водопровода с верхней и нижней разводками, системы с местными установками для повышения напора, зонные системы с открытой прокладкой трубопроводов, системы со скрытой прокладкой трубопроводов.

Выбираю схему водопровода с нижней разводкой, с местными установками для повышения напора, с открытой прокладкой трубопроводов.

.2 КОНСТРУИРОВАНИЕ СИСТЕМЫ ВНУТРЕННЕГО ВОДОПРОВОДА

Конструирование системы внутреннего водопровода заключается в выборе мест расположения стояков, подводок, разводящих магистралей, вводов с водомерными узлами, повысительных установок.

Для внутренних трубопроводов холодной воды следует принимать пластмассовые трубы и фасонные изделия из полиэтилена, полипропилена, поливинилхлорида, полибутилена, металлополимерные, из стеклопластика, и других пластмассовых материалов. Для всех сетей допускается применять медные, бронзовые и латунные трубы и фасонные изделия, а также стальные с внутренним и наружным защитным антикоррозионным покрытием.

Необходимо стремится к тому, чтобы длина проводок к приборам была минимальной. Стояки хозяйственно-питьевого водопровода - в туалетах.

Стояки обозначают:

хозяйственно-питьевого водопровода: СтВ1-1, СтВ1-2, СтВ1-3, СтВ1-4. Подводки от стояков к водопроводной арматуре прокладываются вдоль стен и перегородок:

.4-0.5 м ниже пола этажа с отпуском труб к водозаборной арматуре;

.0 м от уровня пола;

.2-0.3 м выше пола с подъемом труб к водозаборной арматуре.

В жилых зданиях - на уровне санитарных приборов и над полом этажа.

Прокладка пластмассовых труб должна предусматривать преимущественно скрытой: в плинтусах, шахтах, каналах. Допускается открытая прокладка подводок к санитарно-техническим приборам в местах, где исключается механическое повреждение пластмассовых трубопроводов.

Разводящие магистрали прокладывают вдоль капитальных стен в подвале или технического подполье на 0.4-0.5 м потолка.

Ввод устраивают симметрично относительно раздачи воды в здании и под прямым углом к фасаду здания в подвал. Он прокладывается с уклоном 0.002-0.005 в сторону уличной водопроводной сети на глубине её заложения или на 0.5 м ниже глубины промерзания грунта. В точке подключения ввода к уличной сети устраивают колодец с задвижкой. Ввод заканчивается в здании водомерным узлом.

Водозаборная арматура устанавливается над санитарными приборами на высоте, считая от уровня чистого пола до её оси:

,1 м - кран кухонной раковины;

,0 м - смеситель умывальника или кухонной мойки;

,7 м - смеситель ванны;

.6 м - шаровой клапан низко располагаемого бачка унитаза;

.0 м - то же высоко располагаемого бачка унитаза;

.1 м - сетка душевой установки.

Запорная арматура устанавливается: на подключение ввода уличной сети; у основания стояков в зданиях в три этажа и более; на ответвлениях, питающих пять и более водозаборных точек; на подводках в каждую квартиру: на подводках к сливным бачкам; в водомерном узле.

.3 ГИДРАВЛИЧЕСКИЙ РАСЧЕТ СИСТЕМЫ ВНУТРЕННЕГО ВОДОПРОВОДА

Целью гидравлического расчета является определение экономических диаметров труб и потерь напора в них при пропуске расчетных расходов воды, а также требуемого напора в системе внутреннего водопровода.

Для систем хозяйственно-питьевого, производственного и противопожарного водопровода выполняют гидравлический расчет на пропуск максимального секундного расхода воды на соответствующие нужды.

Внутренний хозяйственно-питьевой водопровод рассчитывается в следующем порядке:

а) выбирается расчетный прибор;

б) выбирается расчетная магистраль, которая разбивается на расчетные участки;

в) определяются нормы потребления, кол-во потребителей и санитарных приборов и вероятность их действия;

г) определяются расчетные расходы воды на каждом участке, диаметры труб, скорости движения воды, потери напора;

д) выбирается тип размер водомера, определяются потери напора в нем;

е) определяется требуемый напор в системе, решается вопрос о необходимости устройства установки повышения напора.

1.4 ВЫБОР РАСЧЕТНОЙ МАГИСТРАЛИ

Проектируемая система внутреннего водопровода должна обеспечивать подачу расчетного расхода воды с необходимым свободным напором к самому высокорасположенному и наиболее удаленному от ввода санитарному прибору, который называется расчетным.

Трубопровод, соединяющий расчетный прибор с уличной водопроводной сетью, называется магистралью, в которую входят: подводка к расчетному прибору, стояк, часть или вся разводящая магистраль, водомерный узел или ввод. Расчетная магистраль разбивается на расчетные участки, концами которых являются точки, где меняется расход воды, диаметр или материал стенок труб.

.5 ОПРЕДЕЛЕНИЕ РАСЧЕТНЫХ РАСХОДОВ ВОДЫ

В жилых зданиях кол-во потребителей U ориентировочно можно определить из выражения:

U=(F/f)*k (1.1)

где F - полезная жилая площадь в здании, 2209,45 м2, f- норма жилой площади на человека, 12 м2, k~ коэффициент перенаселения квартир (принимаем 1,2),U=221 (чел.)

Вероятность действия приборов Р для зданий с холодным водопроводом и местными водонагревателями определяется по формуле:

 

P=(qс hr.u *U)/(3600*qo*N) (1.2)

Где qс hr.u - норма расхода холодной и горячей воды одним потребителем в час максимального недопотребления (10,5 л/ч), U- кол-во потребителей 221(чел);- кол-во приборов 252(шт);o - расход воды одним прибором (0,3 л/с).

Р=0,009

Расчетный расход q л/с, на каждом расчетном участке определяется по формуле:

q=5*α*qo (1.3)

где α - величина, определяемая в зависимости от N или N*P на расчетном участке схемы.

.6 ОПРЕДЕЛЕНИЕ ДИАМЕТРОВ ТРУБ И ПОТЕРЬ НАПОРА

При расчете предварительно намечают диаметры подводок к приборам при этом скорости воды не должны превышать 2,5 м/с, а в магистральных и распределительных трубопроводов не более 2,0 л/с, то же в производственных водопроводах не более 1,2л/ с. Наиболее экономичные скорости находятся в пределах 0,9-1,2 м/с.

Потери напора в трубах определяют по таблицам в которых приведены значение удельных потерь напора - l000*i и скорости движения воды в зависимости от расхода и принятого диаметра трубопровода.

Величина потери напора определяется по формуле:

h=i*l*km (1.4)

где i - удельные потери напора на трение,

- длина расчетного участка трубопровода, мm - коэффициент в сетях хозяйственно-питьевых водопроводов жилых зданиях, km=l,3.

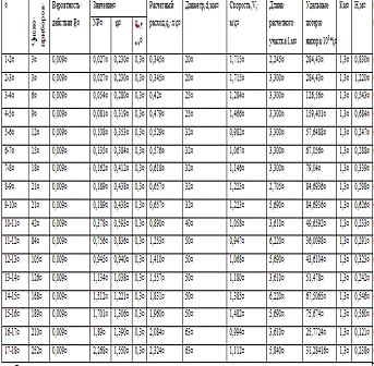
Результаты вычислений приведены в таблице 1. на странице 9.

.7 ГИДРАВЛИЧЕСКИЙ РАСЧЕТ СИСТЕМЫ ХОЛОДНОГО ВОДОПРОВОДА

Гидравлический расчет системы холодного водопровода участка 1-2:

Число приборов N= 3

Вероятность действия приборов: P=0,009

Используя таблицу значения коэффициентов a по произведению N на Р Определяем значение коэффициента a:

NP=0.027 -> a=0.230

Норма расхода воды потребителями с ваннами длинной от 1500 до 1700 мм

оборудованных душами: q0=0.3 л/с

Расчетный расход: q = 5α q0 =5*0.230*0.3=0.345 л/с

Принимаем диаметр d=20 мм, тогда скорость V =1.715 м/с и удельные потери напора i =284.43*10-3

Коэффициент учитывающий местные потери напора в сетях хозяйственно-

питьевых водопроводов жилых зданий k=1.3

Общие потери напора: =0.28443*2.245*1.3=0.830 м

Результаты гидравлического расчета сведем в таблицу 1.

Таблица 1


∑h=7,629

2. ПОДБОР ВОДОМЕРА И ВЫБОР МЕСТА ЕГО УСТАНОВКИ

.1 ВЫБОР КАЛИБРА ВОДОМЕРА

Водомер подбирается так, чтобы обеспечить учет расходуемой воды через систему внутреннего водопровода.

Диаметр условного прохода счетчика воды следует выбирать исходя из среднечасового расхода воды за период потребления (сутки, смену), который не должен превышать эксплутационный.

,

гдеU - норма расхода воды потребителем в сутки наибольшего водопотребления, л/сут

U - число потребителей;

Т - расчетное время потребления воды (сутки, смена), ч;

i - порядковый номер водопотребителя или санитарно-технического прибора.


.2 ОПРЕДЛЕНИЕ ПОТЕРЬ НАПОРА В ВОДОМЕРЕ

После выбора калибра водомера проверяют водомер на пропуск расчетного расхода воды. Для этого необходимо определить потери напора в водомере:

hсч=S*q2 (2.1)

где S - гидравлическое сопротивление водомера, 0,5 м/(л/c) 2;

q - максимальный секундный расход воды на вводе в здание, 2,32434 л/с

hсч= 2,7 м.

Необходимо чтобы выполнялось условие:

hcч<hд

где hд - допустимые потери напора в водомере, м.

hд -принимают в крыльчатых водомерах - 5 м.

В соответствии с расчетом принимаем водомер ВСХ-40.

.3 УСТАНОВКА ВОДОМЕРА

Счетчики следует устанавливать в удобном для снятия показаний и обслуживания месте с искусственным или естественным освещением и температурой внутреннего воздуха не ниже 5°С.

Крыльчатые водомеры устанавливают только на горизонтальных участках, турбинные - на горизонтальных, наклонных, вертикальных участках трубопроводов. С каждой стороны счетчиков следует предусматривать прямые участки трубопроводов, обеспечивающие точность измерений. На концах этих участков, считая от водомера, размещаются задвижки.

3.ОПРЕДЕЛЕНИЕ ТРЕБУЕМОГО НАПОРА ДЛЯ СИСТЕМЫ ВНУТРЕННЕГО ВОДОПРОВОДА

Требуемый напор определяется как сумма следующих величин:

Нтрг + hл +hм + hсч + Нf, (2.3)

где Нг - геодезическая высота оси расчетного водозаборного крана над поверхностью земли, л;

hм- местные потери напора в системе, м

hл - линейные потери напора в системе, м;

hсч -потери напора в водомере, м;

Нf - рабочий напор у расчетного прибора, м, который принимается: 3м;

Нтр=21,8+7,629+2,7+3=35,129 м;

Величина требуемого напора сравнивается со свободным наименьшим напором в уличной сети:

Нсвтр=27,0-35,129=-8,129 м;

Так как Нсвтр >2,0 требуется повысительная установка для увеличения действующего напора.

.1 НАСОСНЫЕ УСТАНОВКИ

Насосные установки внутренних хозяйственно- питьевых, производственных и противопожарных водопроводов могут применяться как при кратковременных снижениях напора в уличной сети, так и при постоянной недостаточности напора. В первом случае насос работает с перерывами, а во втором - круглосуточно. При подборе насоса должны соблюдаться следующие основные требования.

Величина требуемого напора на вводе Нтр сравнивается с величиной наименьшего гарантированного напора в сети наружного водопровода, Нгар

Если Нгартр, то могут применяться следующие типы насосных установок:

периодически действующие насосы, работающие совместно с водонапорными или гидропневматическими баками;

непрерывно или периодически действующие насосы при отсутствии регулирующих емкостей;

пожарные насосы, работающие только при тушении пожара внутри здания.

Максимальный напор насосов при подаче воды из наружной водопроводной сети определяют по наименьшему гарантированному напору в этой сети, если насос забирает воду непосредственно из трубопровода уличной сети:

Нртр- Нгар (3.1)

При устройстве промежуточного регулирующего резервуара между городской сетью и внутренней системой водопровода полный напор насоса должен быть равен сумме требуемого напора, геометрической высоты всасывания и потерь напора во всасывающих трубопроводах.

Промежуточный регулирующий резервуар предусматривается в случае, когда напор в уличной сети менее 5 м.

При определении величины требуемого напора следует дополнительно принимать на неучтенные потери напора в обвязке насосов 1,5 - 2,0 м, суммируя их с Ннас.

Для подбора насоса нужно знать его производительность, которая определяется в зависимости от принятой схемы водоснабжения: с регулирующей емкостью или без нее.

При отсутствии регулирующей емкости (водонапорного или гидропневматического бака) производительность насосов равна максимальному секундному расходу воды в здании, . При наличии водонапорного или гидропневматического бака и насосов, работающих в повторно-кратковременном режиме, производительность насосов принимается по совмещенному графику водопотребления и водоподачи. Требуемая мощность на валу насоса, Nнас Вт, определяется по формуле:

Nнас =ρ*g* Нр * q sr /1000*η (3.2)

Где qc - производительность насоса, определяемая в зависимости от схемы водопровода, л/с;

Nнас - напор, развиваемый насосом, м;

 η - кпд насоса (0,85);

 ρ - плотность перекачиваемой воды, кг/ м2 ;

g - ускорение силы тяжести, м/ с2 .

Nнас =1000*9,81*10,129*2,32434/1000*0.85=271,7 Вт (3.3)

К насосам подбирается электродвигатель, число оборотов которого согласуют с числом оборотов рабочего колеса насоса. При подборе электродвигателя мощность его должна быть увеличена для покрытия дополнительных возможных перегрузок:

Nдв = Кп * Nнас (3.4)

Где Кп - коэффициент, учитывающий возможную перегрузку электродвигателя и зависящий от мощности насоса.

Nдв =2*0,2717 =0,5434 кВт

Согласно выполненному расчету подбирается насос марки

К8/18 А

Напор 15м

Мощность э/двиг 1,5 кВт

Об/мин 2900

4. ВНУТРЕННЯЯ КАНАЛИЗАЦИЯ

.1 ВЫБОР СХЕМЫ ВНУТРЕННЕЙ КАНАЛИЗАЦИИ

В жилых и общественных зданиях обычно предусматривается только сеть канализации. Типы санитарных приборов, принимаемых к установке, должны обеспечивать удобство пользования ими, отвечать требованиям санитарии и гигиены в соответствии с нормами. Способ прокладки канализационных труб принимается скрытый.

.2 КОНСТРУИРОВАНИЕ СИСТЕМ ВНУТРЕННЕЙ КАНАЛИЗАЦИИ

Разработку конструкции системы канализации рекомендуется проводить в такой последовательности:

на планах подвала и этажей здания наносятся условными знаками санитарные приборы

наносятся стояки системы канализации;

наносятся канализационные выпуски;

вычерчиваются развертка или аксонометрическая схема по заданному канализационному стояку.

При вычерчивании трубопроводов на планах здания нужно учитывать их взаимное расположение и увязывать их со строительными конструкциями. Санитарные приборы и стояки располагаются так, чтобы длина отводных линий была наименьшей. Диаметры отводных линий принимают 50 или 100 мм. Стояки размещают в санузлах.

Канализационные стояки на всех схемах и планах помечаются условными обозначениями СтК1-1, СтК1-2, СтК1-3, СтК1-4,а все санитарные приборы обозначаются порядковыми номерами.

Для ликвидации засоров на стояках устанавливаются ревизии. Ревизии установлены на первом и на пятом этаже.

Сети бытовой и производственной канализации должны вентилироваться через вытяжки, выводимые на 0,5 м не эксплуатируемой кровли здания, заканчивающиеся обрезом трубы без установки флюгарки. Диаметр вытяжной трубы от одного канализационного стояка должен быть равен диаметру этого стояка.

Канализационный стояк заканчивается выпуском. Переход стояков в выпуск осуществляется установкой последовательно двух отводов под углом 1350

Канализационные выпуски по возможности должны быть прямолинейными и выходить наружу под углом 90° к наружной стене. Выпуски следует присоединять к дворовой сети под углом не менее 90°, считая против движения сточных вод в дворовой сети, способом «шелыга в шелыгу».

Глубину выпуска принимают на 0,3 м выше глубины промерзания грунта, но не меньше 0,7 м. Выпуски целесообразно устраивать с одной стороны здания.

Выпуски прокладывают с уклоном не менее 0,02 , длинной не более 8 м при диаметре 50 мм и не более 12-15 м при диаметре 100-150 мм, измеренной от стояка или прочистки до оси смотрового колодца, который должен быть размещен от фундамента здания не менее чем на 3 м. Выпуски прокладываются на чугунных раструбных канализационных труб.

Развертку канализационного стояка или аксонометрическая схема выполняется в условных знаках с указанием всех фасонных частей, необходимых для монтажа стояка. Развертка включает в себя внутриквартирные трубопроводы и выпуск с дворовым канализационным колодцем.

На развертке или аксонометрической схеме по заданному канализационному стояку показывают:

номер стояка с указанием диаметра;

вытяжку с указанием диаметра и длины;

отводные линии с указанием диаметров, уклонов, длин и отметок лотков трубопроводов в местах пересечения с осями наружных стен здания колодцах дворовой канализации;колодца.

.3 КОНСТРУИРОВАНИЕ ДВОРОВОЙ КАНАЛИЗАЦИОННОЙ СЕТИ

Дворовая канализационная сеть прокладывается параллельно дворовому фасаду здания на расстоянии не менее 3 м, считая от наружных стен здания до оси траншеи. Глубина заложения лотка трубопровода дворовой сети принимается на 0,3 м меньше глубины промерзания грунта в данной местности.

На дворовой канализационной сети предусматриваются смотровые колодцы в точках подключения выпусков, поворотов, подключения к уличной сети, смене уклонов или диаметров, также на длинных прямолинейных участках. Диаметр колодцев принимается 0,7 м. Колодцы выполняются сборными железобетонными.

Для прокладки дворовых канализационных сетей применяются чугунные трубы. Сеть дворовой канализации на генплане должна быть нанесена со всеми смотровыми, поворотными и контрольными колодцами, которые должны быть отмечены условными обозначениями: KКl, KК2, ККЗ, КК4, ККА. При проектировании дворовой сети следует стремиться к сокращению ее длины с учетом места присоединения к городской сети и расположения канализационных выпусков из здания.

4.4 ОПРЕДЕЛЕНИЕ РАСЧЕТНЫХ ПАРАМЕТРОВ И РАСЧЕТ ВНУТРЕННЕЙ КАНАЛИЗАЦИИ

Суточные и часовые нормы водоотведения близки к нормам водопотребления без учета безвозвратно потерянной водопроводной воды.

При общем расчете расходе холодной и горячей воды q tot < 8 л/с расчетный расход сточных вод составит, л/с:

q s = q tot + q0 s (4.1)

qs = q tot (4.2)

где q tot - общий расчетный расход холодной и горячей воды на расчетном участке канализации ,л/с,

q0 s - удельный нормативный расход сточных вод от приемника с наибольшим водоотведением ,л/с;

q s -максимальный расчетный расход сточных вод, л/с;

По найденным расходам сточных вод выполняют расчет вертикальных и горизонтальных трубопроводов.

Расчет выпусков из здания сводится к выбору диаметра выпуска на соответствующий расчетный расход сточных вод, таким образом, чтобы было выполнено условие:

V *√H/d > 0,6

Наполнение трубопровода при этом должно быть H/d > 0,3, а скорость течения V > 0,7 м/с.

Гидравлический расчет дворовой канализационной сети заключается в определении способности трубопровода на пропуск расчетных расходов сточных вод, диаметров трубопроводов на расчетных участках основного направления, уклонов, скоростей движения сточных вод и наполнения в трубах. В результате расчета определяют отметки лотков труб в колодцах и глубину колодцев. Уклон - 0,008-0,15; наполнение - 0,3-0,6; скорость течения стоков 0,7-4 м/с.

Перед гидравлическим расчетом выполняют трассировку дворовой канализационной сети и намечают расчетные участки.

Расчетные расходы определяют в зависимости от общего числа приемников сточных вод, присоединенных к выпускам, с учетом поступлений холодной воды.

Отметки последующих точек определяют по результатам гидравлического расчета сети, м.

hк,j = hн,j + (i*l)j, (4.3)

где hк,j - отметка предыдущей точки, л/с;

i - уклон трубопровода;

i+l - длина участка между расчетными точками, м.

Отметка лотка трубы в диктующей точке определяется выполнением минимальной глубины заложения трубопровода от отметки поверхности земли в этой точке. Отметки лотка трубы в конце расчетных участков выполняется по формуле:

Zkл,j=Zнл,j - (i*l)j, (4.4)

где zhл - отметка лотка трубы в начале участка;

Отметки лотка трубы в начале второго и последующего участков определяются по формуле:

Zн,j =Zk,j+Δh, (4.5)

где Zkл- отметка лотка трубы в конце предыдущего расчетного участка;

Δh - разница в диаметрах труб рассчитываемого и предыдущего участков. Конечная глубина заложения трубопроводов уличной сети:

hк,j = hн,j + (i*l)j, (4.6)

где hk - начальная глубина заложения;

hн - заложение канализационного коллектора.

Поверочный расчет дворовой канализационной сети.

Таблица 2. РАСЧЕТ ДВОРОВОЙ КАНАЛИЗАЦИОННОЙ СЕТИ

N расчётного участка

Для холодного водопровода

Общий расход, л/с

Диаметр, D, мм

Ско- рость стоков, V,м/с


N

P

NP

α

q, л/с

2

3

4

5

6

7

8

9

1-2

84

0,009

0,756

0,8356

1,2534

2,8534

150

0,71

2-3

168

0,009

1,512

1,2205

1,8308

3,4308

150

0,75

3-КК1

252

0,009

2,268

1,5496

2,3243

3,9243

150

0,78

КК1-КК2

252

0,009

2,268

1,5496

2,3243

3,9243

150

0,78

КК2-ККА

252

0,009

2,268

1,5496

2,3243

3,9243

150

0,78

Наполнение V* *√H/d

Уклон  i

Длина,   l,  м

Падение  i*l

Отметки

Глубина заложения труб





Поверхности земл

Лотка трубы






zн, м

zк, м

zнл, м

zкл, м

hн

hк

10

11

12

14

15

16

17

18

19

1,42

0,014

15,52

0,217

80

80





1,5

0,014

15,52

0,217

80

80





1,56

0,014

7,645

0,107

80

80





1,56

0,014

16,5

0,231

80

80




 

1,56

0,014

16,5

0,231

80

80




3,3


4.5 ПОСТРОЕНИЕ ПРОФИЛЯ ДВОРОВОЙ КАНАЛИЗАЦИИ

Построение профиля ведется в двух масштабах: вертикальном 1:100 и горизонтальном 1:200. на профиле дворовой канализации представлены: чёрные отметки, планировочные отметки, отметки лотка труб, уклоны, диаметры, расчетные расходы и величины скорости течения сточной воды, степень наполнения труб, длины участков, номера смотровых колодцев, и глубины, материалы труб и ГОСТ на них.

Пример расчета.

Расчет участка К1-К2

Количество приборов: N=96 шт.

Вероятность действия приборов: P=0,0169

По произведению N*P определяем коэффициент: a=1,261

Значения q0 и q определяются аналогично системе холодного водоснабжения.

По таблицам определяем диаметр, уклон, скорость движения сточных вод и наполнение труб (при этом они должны удовлетворять заданным условиям).

Принимаем d=150мм, уклон i = 12*10-3, скорость V=0.8 м/с, наполнение 0.4.

Длинна участка: l= 12.5 м

Падение: I*l=12.5*0.012=0.15

Отметки поверхности земли: Zн=Zк=81 м

Глубина заложения: hн=1.74 м, hк=1.89 м

Отметки лотка трубы: Zнл=Zн-hн=81-1.74=79.26м, Zкл=Zк-hк=81-1.89=79.11

Остальные участки рассчитываются аналогично.

Результаты расчета пропускной способности труб водоотводящей сети представляют в табл. 2.

ЗАКЛЮЧЕНИЕ

В ходе курсовой работы мы спроектировали систему водоснабжения и водоотведения жилого здания. Был произведен гидравлический расчет системы холодного водопровода (рассчитали расход, диаметр, скорость, длину, удельные потери расчетных участков и ряд других величин).

Для холодного водоснабжения применены полиэтиленовые трубы ГОСТ 18599-83.

В турбинных счетчиках воды марки ВСХ 32 диаметр условного прохода равен d=32мм.

Для поддержания необходимого напора в системе применен насос марки К20/30.

На чертежах приложения показаны: аксонометрические схемы холодного водопровода и канализации, расположение водопроводных стояков на плане типового этажа, расположение магистрали и отводов с привязкой стояков к координационным осям стен на плане подвала, генеральный план.

В ходе расчета канализации были выбраны следующие диаметры труб: 50мм - на отводных линиях, 100мм - для стояков и внутренней канализации, 150мм - для дворовой канализации. Асбестоцементные трубы ГОСТ 1839-80*. Дворовая канализация проложена с уклоном 0.01- 0.025.

На профиле дворовой канализационной сети наглядно показаны следующие величины: расстояния между колодцами, уклоны лотков, абсолютные отметки лотков и земли, марки колодцев; на плане подвала: расположение магистрали с привязкой стояков к координационным осям стен; на аксонометрической схеме: уклоны отводов, диаметры труб.

БИБЛИОГРАФИЧЕСКИЙ СПИСОК

1) СНиП 2.04.01 - 85*. Внутренний водопровод канализация зданий. (Госстрой СССР - М.: Стройиздат, 1998 - 56 с.)

) Шевелев Ф.А. Шевелев А.Ф. Таблицы для гидравлического расчета водопроводных труб: Справочное пособие - М: Стройиздат, 1995 - 176 с.

) СНиП 2.04.02. - 84*. Водоснабжение. Наружные сети и сооружения. (Госстрой СССР. - М.: Стройиздат 1985 - 136).

) СНиП 2.04.03. - 85*. Канализация. Наружные сети и сооружения. (Госстрой СССР. - М.: ЦИТЛ Госстрой СССР, 1986 - 72с)

5) Лукиных А.А., Лукиных Н.А. таблицы для гидравлического расчета канализационных сетей и дюкеров по формуле Н.Н. Павловского: справочное пособие. - М.: Стр-м. 1986 - 152с.

6) Санитарно-техническое оборудование зданий: Методическое указание для курсового и дипломного проектирования / Иванов. Гос. Архит.-строит. Акад.;Е. А. Пикунова, Н.В. Виноградова, Е. Р. Кормашова. Иваново, 2001.-42с.

) Проектирование систем водоснабжения и водоотведения зданий:

Иваново, 2005.-143с.

Похожие работы на - Расчет водоснабжения жилого дома

 

Не нашли материал для своей работы?
Поможем написать уникальную работу
Без плагиата!
Без нейросетей!