Разработка плана строительства лабораторного здания
ФЕДЕРАЛЬНОЕ АГЕНТСТВО ПО РЫБОЛОВСТВУ
ФЕДЕРАЛЬНОЕ ГОСУДАРСТВЕННОЕ БЮДЖЕТНОЕ
ОБРАЗОВАТЕЛЬНОЕ УЧРЕЖДЕНИЕ ВЫСШЕГО ПРОФЕССИОНАЛЬНОГО ОБРАЗОВАНИЯ
«МУРМАНСКИЙ ГОСУДАРСТВЕННЫЙ
ТЕХНИЧЕСКИЙ УНИВЕРСИТЕТ»
Кафедра промышленного и гражданского
строительства
Курсовая работа
по курсу
«технические
процессы в строительстве»
Выполнил:
Группа:
Ст(б)-311(2)
Студент:
Звонарева А.А.
Проверил:
преподаватель кафедры ПГС:
Ханзин Г.Л.
Мурманск 2015
СОДЕРЖАНИЕ
I. ИСХОДНЫЕ ДАННЫЕ ДЛЯ ВЫПОЛНЕНИЯ КУРСОВОГО ПРОЕКТА.. ПОДСЧЕТ
ОБЪЕМОВ РАБОТ
. Определение объемов подготовительных работ по площадке
застройки.
. Определение объемов земляных работ по котловану.
. Общий объем обратной засыпки.. Выбор грузоподъемного
механизма.. ПОДСЧЕТ ОБЪЕМОВ РАБОТ ПО ФУНДАМЕНТУ.
. Определение объема бетонных работ .
. Объемы опалубочных работ.. ВЕДОМОСТЬ ПОДСЧЕТА ОБЪЕМОВ
РАБОТ.. ОПРЕДЕЛЕНИЕ ТРУДОЁМКОСТИ РАБОТ.. контроль качества выполненных работ..
ВЕДОМОСТЬ МАШИН, МЕХАНИЗМОВ, ПРИСПОСОБЛЕНИЙ.. ОРГАНИЗАЦИЯ И ТЕХНОЛОГИЯ
СТРОИТЕЛЬНОГО ПРОЦЕССА.. СТРОИТЕЛЬНЫЙ ГЕНЕРАЛЬНЫЙ ПЛАН.
. Расчёт складских помещений.
. Определение потребности во временных зданиях.
. Расчет потребностей в воде на период строительства.
. Расчет потребности в электроэнергии.
ХI. РЕШЕНИЯ ПО ТЕХНИКЕ БЕЗОПАСНОСТИ, ОХРАНЕ ОКРУЖАЮЩЕЙ СРЕДЫ
И ПРОТИВОПОЖАРНОЙ ЗАЩИТЕ.
ХII. СПИСОК ЛИТЕРАТУРЫ.
I. Исходные данные для выполнения курсового проекта
. Конструктивные характеристики здания
Фундамент ленточный монолитный из железобетонной плиты, бетонная стена
подвала, глубина заложения 3,9 м, высота плиты h = 0,3 м, ширина плиты b = 1,5 м, ширина стены подвала 0,5 м, высота подвала 3,38 м
(на 52 см меньше глубины заложения). Длина здания 30м, ширина 12м (2 пролета по
6 м).
. Основные элементы здания.
Стены кирпичные толщиной 510 мм (для наружных стен) и 380 мм (для
внутренних стен).
Количество этажей: 2, высота этажа - 4 м, общая высота здания - 8 м (от
отметки ±0,00).
Перекрытия-покрытия: пустотные сборные железобетонные толщиной 220 мм,
ширина внутренней плиты 1м, крайние 0,8м.
Кровля плоская с одним водостоком из четырех слоев рубероида по
армоцементной стяжке толщиной 3 см с утеплителем и пароизоляцией.
Окна и двери деревянные (2*1 м, 4 двери в подвальной части). Общее
количество дверей 8, окон = шаг осей (3м), количество окон подбирается в зависимости
от расстояния от осей.
Стены из кирпича оштукатуриваются и окрашиваются водоэмульсионными
составами.
Потолки: покраска водоэмульсионными составами.
Полы из линолеума.
Лестничные марши и площадка из металла с масляной краской.
За отметку ±0,00 принимаем отметку пола первого этажа.
. Основные назначения объекта и требования к нему.
Лабораторный комплекс:
) По долговечности: II степень.
) По пожароопасности: II степень.
) Инженерное обеспечение:
- водопровод от индивидуальной скважины;
- отопление за счет газогенератора с резервом газового хранения
- вентиляция естественная;
- горячее водоснабжение за счет функции газогенератора;
- электроснабжение от ветрогенератора.
. Перечень разделов курсового проекта .
II. Подсчет объемов работ
1. Определение объемов подготовительных работ по площадке застройки
В соответствии с заданными высотными отметками по картограмме земляных
работ производим подсчет баланса земляных масс для целей последующего
размещения на территории объекта строительства. Земляные работы по площадке
выполняют следующие механизмы:
· экскаватор обратная лопата ЭО-4321
- объем ковша Vк =
1,2 м3
- данный тип ковша предназначен для срезки части грунта с
погрузкой в автотранспорт (2 ед.);
· бульдозер С-130 (2 ед.)
- предназначен для срезки грунта и грубой планировки площадки ,
а также для проведения работ по устройству временных автоподъездов и проезда
экскаваторов;
· "КАМАЗ" (2 ед.)
- согласно расчету, грузоподъемностью 12 т и объемом кузова 8
м3.
В соответствии с расчетами по картограмме установим следующие физические
объемы:
а. объем выемки Vв =
12700 м3
б. объем насыпи Vн =
2689 м3
в. недостающий объем грунтаV"-"
= -
г. излишний объем грунта вывозимый в кавальер V"+" =10011 м3
2.Определение
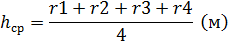
объемов земляных работ по котловану.
а. Средняя глубина котлована:
0 = 25,0 м
r1 =
25,10
r2 =
25,06
r3 =
25,04
r4 =
25,08
hср = 
= 25,07
м
Абсолютная отметка дна котлована:
В соответствии с ( СНиП 12.04-2002, п. 5.2.6) относительным значением
глубины заложения котлована принимаем величину заложения откоса котлована в
песчаном грунте 3,9м.
Расстояние от подошвы откоса до внутренней грани подошвы фундамента
принимаем равной 0,5 м.
Объем выемки грунта:
расчет по соотношению:
б.

, где 
;
в. 
- глубина
котлована;
г. 
-
коэффициент разрыхления (значение принято для песчаного грунта)

S1 =
898,69 м2
S2 =
471,25 м2
Vk = 
м3
1)Объем грунта, необходимый для обратной засыпки котлована:

- пазух
фундамента,
где

- объем
фундамента;

= 254,93
м3

=
(28,5*4,5*0,3)*2+(29,5*3,6*5,5)*2 = 1245,15 м3

= 2885,1
- 254,93 - 1245,15 = 1304,87 м3
)
Объем засыпки под полы:

= 76,95
м3
3.Общий объем
обратной засыпки.

=
1304,87 + 76,95 = 1381,82 м3
III. Выбор грузоподъемного механизма
Основные данные для выбора крана:
) Принимаем расстояние от оси крана до вертикального створа
подошвы крана 5,6 м.
) Максимальный груз, поднимаемый краном - 2,8 т.
) Длина здания - 30 м.
) Ширина здания - 12м.
) Расстояние от оси крана до центральной буквенной оси - 12,85 м.
) Расстояние от оси крана до створа I четверти пролета - 9,85 м.
Принимаем кран марки КС 65711
Длина стрелы: lстрелы = 27 м
Грузоподъемность крана: 40т
IV. Подсчет объемов работ по фундаменту
1. Определение объема бетонных работ
|
Nп/п
|
Ось здания
|
Высота фундамента
|
Длина фундамента
|
Площадь, м2
|
Толщина стены фунд.и фунд.
плиты, м
|
Объем V
бетонной смеси по фунд. , м3
|
|
|
|
|
Боковой повер. Фунд.
|
Проемы
|
Стены фунд. С уч. проемов
|
|
|
|
1
|
2
|
3
|
4
|
5
|
6
|
7
|
8
|
9
|
|
1
|
А
|
3,38
|
30,5
|
202,8
|
0
|
202,8
|
0,5
|
51,54
|
|
2
|
Б
|
3,38
|
29,5
|
199,42
|
2
|
195,42
|
0,5
|
49,85
|
|
3
|
В
|
3,38
|
30,5
|
202,8
|
0
|
202,8
|
0,5
|
51,54
|
|
4
|
1
|
3,38
|
12,5
|
84,05
|
1
|
82,05
|
0,5
|
21,12
|
|
5
|
10
|
3,38
|
12,5
|
84,05
|
1
|
82,05
|
0,5
|
21,12
|
|
6
|
А
|
0,3
|
31,5
|
18
|
0
|
18
|
1,5
|
14,17
|
|
7
|
Б
|
0,3
|
28,5
|
17,1
|
0
|
17,1
|
1,5
|
12,82
|
|
8
|
В
|
0,3
|
31,5
|
18
|
0
|
18
|
1,5
|
14,17
|
|
9
|
1
|
0,3
|
13,5
|
6,75
|
0
|
6,75
|
1,5
|
6,07
|
|
10
|
10
|
0,3
|
13,5
|
6,75
|
0
|
6,75
|
1,5
|
6,07
|
По оси Б - два дверных проема по 2 м2 (стена - по оси), по осям 1 и 10 -
по одному проему по 2 м2.
Итого: общий объем товарного бетона по фундаменту = 240,14 м3
2. Объемы опалубочных работ
Площадь опалубки, соприкасающейся с бетоном:
а) для фундаментных плит - 66,6 м2
б) для стен подвала - 773,12 м2
в) количество арматуры для фундамента из расчета ее расхода на 1 м3
бетонной смеси в количестве 42 кг , что составляет 10,09 т
V. Ведомость подсчета объемов работ
застройка засыпка бетонный земляной
|
Nп/п
|
Вид работ
|
Ед. изм.
|
Кол-во
|
Порядок расчета
|
|
1
|
2
|
3
|
4
|
5
|
|
I. Подготовительные работы
|
|
1
|
Разработка грунта
экскаватором
|
100 м3
|
153,89
|
объем насыпи
|
|
2
|
Разработка грунта
бульдозером
|
1000 м2
|
12,8
|
объем срезки
|
|
II. Земляные работы по котловану
|
|
1
|
Разработка грунта
экскаватором (1% от объема)
|
100 м3
|
28,85
|
Vк -1%
|
|
2
|
Разработка грунта вручную
(1% от объема)
|
1м3
|
28,85
|
1% Vк
|
|
3
|
Уплотнение грунта
трамбовками
|
100 м2
|
12,37
|
|
|
4
|
Обратная засыпка пазух
фундамента бульдозером
|
100 м3
|
13,08
|
Vо.з.паз. -10%
|
|
5
|
Обратная засыпка под полы
(грейфер)
|
100 м3
|
0,77
|
Vо.з.под полы-10%
|
|
6
|
Обратная засыпка пазух
фундамента вручную (10%)
|
м3
|
138,18
|
10% (Vр
+ Vп.п )
|
|
III. Бетонные работы по фундаменту
|
|
1
|
Установка арматурных сеток
|
т
|
10,09
|
42* Vф
|
|
2
|
Установка щитовой опалубки
вручную
|
м2
|
925,98
|
Sопал.
|
|
3
|
Прием бетонной смеси из
автобетоновозов в поворотные бункеры с укладкой стреловым краном
|
м3
|
240,14
|
Vф - Vпроемов
|
|
4
|
Разборка щитов опалубки
|
м2
|
925,98
|
Геометрические размеры
|
|
5
|
Устройство гидроизоляции
стен, соприкасающихся с грунтом
|
100 м2
|
4,025
|
S наружн. и внут. частей фунд.
|
|
IV. Монтажные работы
|
|
1
|
Каменная кладка из кирпича
(для стен 510 мм)
|
м3
|
342,64
|
|
|
2
|
Каменная кладка из кирпича
(для стен 380 мм)
|
м3
|
100,03
|
|
|
3
|
Монтаж сборных ж/б
перемычек над проемами с объемом 0,2м3 на один проем
|
м3
|
8
|
(36+4)*0,2
|
|
4
|
Монтаж плит перекрытий и
покрытий ПТК 60-10
|
шт
|
173
|
|
|
5
|
Установка оконных блоков
(проем 2х2 м) Марка окон: О 20-20
|
100 м2
|
1,44
|
36*2*2
|
|
6
|
Установка дверных блоков
(размер дверного блока 2,05х1,5м) Марка: ДВ121-15 (проем 2,1х1,5)
|
100 м2
|
0,123
|
4*2,05*1,5
|
|
V. Устройство кровли
|
|
1
|
Пароизоляция (обмазочная)
|
100 м2
|
3,6
|
Площадь кровли
|
|
2
|
Утеплитель из жесткой
минеральной ваты
|
100 м2
|
3,6
|
|
|
3
|
Армированная цементная
стяжка толщиной 3 см
|
100 м2
|
0,108
|
|
|
4
|
Рулонный ковер из 4-х слоев
рубероида
|
100 м2
|
3,6
|
|
|
VI. Отделочные работы
|
|
1
|
Наружная штукатурка
|
100 м2
|
Площадь наружной
поверхности стен
|
|
2
|
Внутренняя штукатурка стен
|
100 м2
|
9,64
|
Площадь внутренней
поверхности стен
|
|
3
|
Подготовка стен под окраску
(наружная)
|
100 м2
|
6,14
|
Площадь наружной
поверхности стен
|
|
4
|
Окраска наружных стен
водоэмульсионными составами
|
100 м2
|
9,64
|
Площадь наружной
поверхности стен
|
|
5
|
Подготовка стен под окраску
(внутренняя поверхность)
|
100 м2
|
9,64
|
Площадь внутренней
поверхности стен
|
|
6
|
Окраска внутренних стен
водоэмульсионными составами
|
100 м2
|
9,64
|
Площадь внутренней
поверхности стен
|
|
7
|
Подготовка потолков под
окраску
|
100 м2
|
7,06
|
Площадь потолков
|
|
8
|
Окраска потолков
|
100 м2
|
7,06
|
Площадь потолков
|
|
9
|
Устройство полов из
линолеума
|
м2
|
705,72
|
Площадь потолков
|
|
10
|
Масляная окраска оконных и
дверных блоков, лестниц и площадок
|
м2
|
141
|
Принимаем S
окраски окон - 30% от S светового проема, S лестниц и
площадок принять равной 30 м2
|
|
11
|
Сантехнические работы (10%
от работы календарного периода)
|
|
|
Включаются в календарный
план как совмещаемый процесс
|
|
12
|
Электромонтажные работы (5%
от общего объема календарного периода)
|
|
|
Включаются в календарный
план как совмещаемый процесс
|
|
13
|
Благоустройство территории
(15% от работы календарного периода)
|
|
|
Включаются в календарный
план как совмещаемый процесс
|
VI. Определение трудоёмкости работ
Составляем калькуляцию трудовых затрат и машинного времени для
определения трудоёмкости и продолжительности рабочего времени в табличном
варианте (для составления календарного плана).
|
Nп/п
|
Обоснование
|
Наименование работ
|
Ед. изм.
|
Объем работ
|
Норма времени
|
Трудоемкость
|
Кол-во рабочих в смену
|
|
|
|
|
|
Рабочих на ед., ч/час
|
Машин на ед., ч/час
|
Рабочих общ., ч/час
|
Машин общ., ч/час
|
|
|
1
|
2
|
3
|
4
|
5
|
6
|
7
|
8
|
9
|
10
|
|
I. Подготовительные работы
|
|
1
|
Е2-1-9
|
Разработка грунта
экскаватором
|
100 м3
|
153,89
|
|
3,95
|
|
608
|
2
|
|
2
|
Е2-1-25
|
Разработка грунта
бульдозером
|
1000 м3
|
12,8
|
|
47,5
|
|
608
|
2
|
|
II. Земляные работы по котловану
|
|
1
|
Е2-1-11
|
Разработка грунта
экскаватором
|
100 м3
|
28,85
|
|
3,05
|
|
88
|
1
|
|
2
|
Е2-1-47
|
Разработка грунта вручную
|
м3
|
28,85
|
4,99
|
|
144
|
|
2
|
|
3
|
Е2-1-59
|
Уплотнение грунта
трамбовками
|
100 м2
|
12,37
|
20,71
|
|
256
|
|
2
|
|
4
|
Е2-4-34
|
Обратная засыпка пазух
фундамента бульдозером
|
100 м3
|
13,85
|
|
18,48
|
|
256
|
1
|
|
5
|
Е2-1-58
|
Обратная засыпка пазух
фундамента вручную
|
м3
|
146,3
|
3,49
|
|
512
|
|
2
|
|
III. Бетонные работы по фундаменту
|
|
1
|
Е4-1-44
|
Установка арматурных сеток
|
т
|
10,09
|
|
44,40
|
|
448
|
4
|
|
2
|
Е4-1-34
|
Установка щитов опалубки
вручную
|
м2
|
925,98
|
0,48
|
|
448
|
|
4
|
|
3
|
Е4-1-49
|
Прием бетонной смеси из
автобетоновозов в поворотные бункеры с укладкой стреловым краном
|
м3
|
240,14
|
0,53
|
|
128
|
|
2
|
|
4
|
Е4-1-34
|
Разборка щитов опалубки
|
м2
|
925,98
|
0,24
|
|
224
|
|
4
|
|
5
|
Е7-3
|
Устройство гидроизоляции
стен, соприкасающихся с грунтом
|
100 м2
|
4,025
|
55,65
|
|
224
|
|
2
|
|
IV. Монтажные работы
|
|
1
|
Е3-3
|
Каменная кладка из кирпича
(для стен 510 мм)
|
м3
|
342,64
|
5,60
|
|
1920
|
|
8
|
|
Е3-3
|
Каменная кладка из кирпича
(для стен 380 мм)
|
м3
|
100,03
|
7,86
|
|
768
|
|
8
|
|
3
|
Е3-17
|
Монтаж сборных ж/б
перемычек над проемами с объемом 0,2 м3 на один проем
|
шт
|
40
|
0,57
|
|
22,8
|
|
2
|
|
4
|
Е4-1-7
|
Монтаж плит перекрытий и
покрытий 1ПК60.10
|
шт
|
173
|
0,72
|
0,18
|
125
|
31
|
3
|
|
5
|
Е6-13
|
Установка оконных блоков
Марка окон: О 20-20
|
100 м2
|
1,44
|
66,67
|
|
96
|
|
2
|
|
6
|
Е6-13
|
Установка дверных блоков
Марка: ДВ121-15
|
100 м2
|
0,123
|
520,33
|
|
64
|
|
2
|
|
7
|
Е5-1-10
|
Металлические лестницы и
площадки
|
т
|
3,1
|
20,65
|
10,32
|
64
|
32
|
3
|
|
V. Устройство кровли
|
|
1
|
Е7-13
|
Пароизоляция
|
100 м2
|
3,604
|
13,32
|
|
48
|
|
2
|
|
2
|
Е7-14
|
Утеплитель из жесткой
минеральной ваты
|
100 м2
|
3,604
|
8,88
|
|
32
|
|
2
|
|
3
|
Е7-15
|
Армированная цементная
стяжка толщиной 3 см
|
100 м2
|
0,108
|
444,44
|
|
48
|
|
2
|
|
4
|
Е7-2
|
Рулонный ковер из 4-х слоев
рубероида
|
100 м2
|
3,604
|
8,88
|
|
32
|
|
2
|
|
VI. Отделочные работы
|
|
1
|
|
Устройство лесов для
штукатурных работ
|
100 м2
|
7,703
|
103,86
|
|
800
|
|
12
|
|
2
|
Е8-1-2
|
Наружная штукатурка
|
100 м2
|
6,14
|
52,12
|
|
320
|
|
4
|
|
3
|
Е8-1-2
|
Внутренняя штукатурка стен
|
100 м2
|
9,64
|
26,56
|
|
256
|
|
4
|
|
4
|
Е8-1-15
|
Подготовка стен под окраску
(наружная)
|
100 м2
|
6,14
|
15,64
|
|
96
|
|
4
|
|
5
|
Е8-1-15
|
Окраска наружных стен
водоэмульсионными составами
|
100 м2
|
9,64
|
9,96
|
|
96
|
|
4
|
|
6
|
|
Демонтаж лесов
|
100м2
|
7,703
|
49,85
|
|
384
|
|
4
|
|
7
|
Е8-1-15
|
Подготовка стен под окраску
(внутренняя поверхность)
|
100 м2
|
9,64
|
9,96
|
|
96
|
|
4
|
|
8
|
Е8-1-15
|
Окраска внутренних стен
водоэмульсионными составами
|
100 м2
|
9,64
|
9,96
|
|
96
|
|
4
|
|
9
|
Е8-1-15
|
Подготовка потолков под
окраску
|
100 м2
|
7,06
|
6,27
|
|
44
|
|
2
|
|
10
|
Е8-1-15
|
Окраска потолков
|
100 м2
|
7,06
|
6,00
|
|
42,36
|
|
2
|
|
11
|
Устройство полов из
линолеума
|
м2
|
706
|
0,23
|
|
162
|
|
2
|
|
12
|
Е3-3
|
Масляная окраска оконных и
дверных заполнений, лестниц и площадок
|
100м2
|
1,55
|
15,33
|
|
23,76
|
|
2
|
VII. Контроль качества выполненных работ
Операционный контроль качества для монолитного железобетонного
фундамента.
|
№ п/п
|
Наименование операций,
подлежащих контролю
|
Наименование операций,
подлежащих контролю
|
|
Вып. рабочим
|
Вып. мастером
|
Состав
|
Способы
|
Время
|
Привлекаемые службы
|
|
1.
|
приёмка арматуры
|
|
соответствие арматурных
стержней и сеток проекту
|
визуальный
|
до начала установки сеток
|
|
|
2.
|
|
приёмка арматуры
|
диаметр и расстояние между
рабочими стержнями
|
ШЦ, измерительная линейка
|
до начала установки сеток
|
|
|
3.
|
|
установка сеток
фунда-ментных плит
|
соответствие проекту
|
визуально
|
в процессе установки
|
|
|
4.
|
приёмка опалубки и
сортировка
|
|
наличие комплектов
элементов опалубки, маркировка элементов
|
визуально
|
в процессе установки
|
|
|
5.
|
|
монтаж опалубки
|
соответствие проекту
|
Нивелир, рулетка, отвес
|
после установки опалубки
|
геодези-ческая служба
|
|
6.
|
|
разборка опалубки
|
технологическая
последовательность
|
визуально
|
после набора прочности
бетона
|
строи-тельная лабора-тория
|
|
7.
|
|
подготовка опалубки
|
очистка элементов опалубки
от бетонных наплывов
|
визуально
|
после разборки опалубки
|
|
|
8.
|
|
укладка бетонной смеси
|
качество бетонной смеси
|
Осадка конуса
|
до бетониро-вания
|
строи-тельная лабора-тория
|
|
9.
|
|
уплотнение бетонной смеси
|
шаг перестановки и глубина
погружения вибраторов,
|
визуально, стальной
линейкой
|
в процессе уплотнения
|
|
|
10.
|
|
уход за бетоном при наборе
прочности
|
Обеспечение
температурно-влажностного режима
|
термометр, влагометр
|
в процессе набора прочности
|
строительная лаборатория
|
Результаты осмотров и исследования бетонной смеси и бетона заносят в
журнал бетонных работ.
VIII. Ведомость машин, механизмов, приспособлений
|
№ п/п
|
Наименование
|
Тип марки, ГОСТ
|
Кол-во
|
Техническая характеристика
|
Назначение
|
|
1.
|
кран
|
КС 65711
|
1
|
марка грузоподъёмности
22,5т.
|
|
|
2.
|
бункер поворотный
|
БП-2.0, ГОСТ 21807-76
|
2
|
вместимость 2м3, масса
900кг
|
подача бетонной смеси
|
|
3.
|
вибратор глубинный
|
НВ-47А, ТУ 22-4666-80
|
1
|
масса 35,5 кг
|
уплотнение бетонной смеси
|
|
4.
|
строп двухветвевой
|
ГОСТ 25573-82, 2СК-5.0
|
1
|
грузоподъёмность 5т, масса
36кг
|
подача бетонной смеси,
монтаж железобетонных перемычек
|
|
5.
|
строп четырёх-ветвевой
|
ГОСТ 25573-82, 4СК-5.0
|
1
|
грузоподъёмность 5т, масса
50кг
|
монтаж плит перекрытий
|
|
6.
|
трансформатор понижающий
|
ИВ-9
|
1
|
мощность 1,5кВ
|
|
|
7.
|
трансформатор сварочный
|
ТД-300, ГОСТ 95-77
|
1
|
мощность 19,4кВ
|
|
|
8.
|
Термометр стеклянный
|
ГОСТ 2825-73
|
1
|
|
контрольно-измерительные
работы
|
|
9.
|
влагомер
|
ГОСТ 15528-70
|
1
|
|
контрольно-измерительные
работы
|
|
10.
|
отвес строительный
|
ОТ-400, ГОСТ 7948-80
|
1
|
масса 400г (100-150г)
|
|
|
11.
|
рулетка стальная
|
РС-50
|
1
|
|
контрольно-измерительные
работы
|
|
12.
|
уровень строительный
|
УС-6, ГОСТ 9416-83
|
1
|
|
контроль горизонталь-ности
рядов кладки
|
|
13.
|
нивелир
|
НВ-1
|
1
|
|
контрольно-измеритель-ные
работы
|
|
14.
|
щётка стальная
|
|
10
|
|
очистка опалубки
|
|
15.
|
окрасочный агрегат
|
СО-75
|
1
|
расход воздуха 15-20 м3/ч
|
нанесение эмульсии на
опалубку
|
|
16.
|
лом стальной
|
ЛМ-24
|
4
|
|
разборка опалубки
|
|
17.
|
строительный подъёмник
|
С-598Л
|
1
|
высота подъёма 17-100м,
грузоподъёмность 500кг. скорость подъёма 1м/с
|
для кровельных и поэтажных
специальных работ
|
|
18.
|
подмость-конверт
|
|
4
|
|
для работ по бетонированию
фундамента, каменной кладке, монтажу плит перекрытий,покрытий
|
|
19.
|
грейферный захват (ковш)
|
|
1
|
|
для обратной засыпки
|
|
20.
|
Леса строительные
приставные
|
|
1
|
|
Для оштукатуривания и
молярных работ по фосаду
|
|
21.
|
Штукатурная станция
|
|
1
|
Комплексное оборудование
|
Оштукатуривание кирпичных
стен
|
|
22.
|
Инвентарно-молярные
подмости
|
|
6
|
|
Оштукатуривание и молярные
работы внутри помещения
|
|
23.
|
Площадочный электровибратор
|
|
2
|
|
Уплотнение грунтов обратной
засыпки
|
IX. Организация и технология строительного процесса
Строительство зданий лабораторного корпуса представляет собой комплексный
процесс, включающий подготовительные земляные работы по котловану, устройство
монолитного железобетонного фундамента, гидроизоляционные работы стен
фундамента, обратную засыпку пазух и посыпку под полы технического подполья,
соприкосновение с грунтом, обратную засыпку пазух и засыпку под полы
технического подполья, монтаж пустотных плит перекрытия и покрытий, каменную
кладку стен под штукатурку, оформление проемов (заполнение), отделку фасада и интерьеров.
Для выполнения подготовительных работ в целях приведения территории
строительства к заданной планировочной отметки в соответствии с картограммой,
используются 2 экскаватора с базовой характеристикой ЭО 43-21 с ковшом ёмкостью
1,25м3 , 2 автомобиля самосвала КАМАЗ и 2 бульдозера марки С-130.
После выполнения подготовительных работ к работам по разработке грунта
котлована приступает экскаватор ЭО 43-21 обратная лопата с погрузкой грунта в
автотранспорт и вывозом его в резерв на расстояние до 5 км. Работы по
монолитному фундаменту включают себя следующую техническую последовательность:
. Подготовка, перемещение и укладка арматурной сетки для
монолитной плиты.
. Установка опалубки для монтажа плиты с постоянным креплением.
. Установка пространственного каркаса, армирующего стеновую часть
монолитного фундамента.
. Установка опалубки стеновой части фундамента с постоянным
закреплением.
. Укладка бетонной смеси принятой автокраном КС 65711 в
конструкцию фундамента; с послойным виброуплотнением.
. Через 7 суток после лабораторного подтверждения 75% прочности
фундамента приступаем к разборке опалубки, ее укладки в штабели, ее погрузки в
автотранспорт и вывозка за пределы территории.
. Работы по обмазочной гидроизоляции горячим битумом из смеси
марки БМ-3, БМ-4 за два раза; выполняется через двое суток после разбора
опалубки.
. Обратная засыпка пазух фундамента выполняется механическим
способом с помощью бульдозера С130, грунты завозят из резерва, где погрузку
осуществляет экскаватор, а транспортировку автотранспорт. Послойное уплотнение
выполняется электро-виброплощадкой при ручном корректирование горизонта грунта
перед виброуплотнением (уплотняемый слой от30-50 см).
. Производим подсыпку грунта под полы (из общего объема грунта для
обратной засыпки). Для этого из резерва завозится требуемое количество грунта
на площадку и с помощью грейферного захвата, подвешенного на тросе к основному
крюку крана осуществляет подачу грунта для подсыпки под полы с ручным
разравниванием и послойным уплотнением с помощью электро-виброплощадки при
толщине уплотняемого слоя 30 см.
. После выполнения работ по обратной засыпке на внутриобъектные
складские площадки приемку плит перекрытия, поддона с кирпичами и
железобетонных перемычек из расчета использования материалов в течении 5 рабочих
смен. В закрытый склад завозим материалы для дверных и оконных проемов,
облицовочные материалы, кровельные материалы.
. Приступаем к монтажу пустотных плит перекрытий после выверки
монтажного горизонта верха железобетонных монолитных фундаментов, использование
подкладных маяков, вырезанных из дуба или сосны, толщиной не более 2 см. монтаж
осуществляется на растворе подвижностью 8 см на крупном растворном песке.
Продольные швы между плитами по периметру здания ( 2 параллельные продольные
оси) закладывают Т-образные анкера последний по средней оси соединения плит.
Осуществляется на диагональной скрутке из проволоки диаметром 6 мм, зачеканка
швов производится растворной смесью.
. Приступаем к расстановке по перекрытию поддона с кирпичом и
ящиков с раствором для организационных работ на первом полуярусном пространстве
по высоте 1,1м.
. Каменная кладка наружных и внутренних стен выполняется по
захватам, длина которых 10м.
. Установка подмостей-конвертов ( 4 единицы) производится по
железобетонному перекрытию в местах завершения работ первого полуяруса после
уборки территории плит, где производились работы предыдущего периода ,раскрытие
подмость-конверта на всю высоту за счет откидных стоек шарнирного типа
производим после завершения работ по первому ярусу (2м). на подмость
устанавливаем кирпич на поддоне не более двух и ящик с раствором не более
одного. Обязательно предусматриваем соблюдение расстояния для нормальных
проходов между выставленными материалами.
. Завершение работы по второму ярусу до отметки низа плиты
перекрытия на первом этаже осуществляем с раскрытыми подмости-конверт с
дополнительной установкой на них обычных подмостей. После зачистки площадки
подмости-конверт от остатков строительных материалов. Подъем рабочих на
средство подмащивания производится по приставным лестницам.
. Монтаж мелоллоконструкций и лестничных площадок с материалами
производится в крайнем пролете при ширине плиты не менее 1 м. с отметкой ±0,00
до отметки+4,00.
. Комплекс работ с ±0,00 до +8,00 аналогичен работам от ±0,00 до +4,00
. Подача материалов для гидроизоляции кровли с устройством
пароизоляции, утеплителем, армированной стяжкой толщиной 3 см, 4 слоев
рубероида по горячей битумной мастике производится за счет использования
приставного электро-подъемника.
. Выполнение работ по установке столярных изделий (оконных,
дверных блоков) производится после завершения предыдущих работ таких как:
перекрытия над подвалом, над первым этажом, покрытие над вторым этажом,
устройством гидроизоляции.
. До начала отделочных работ внутри помещения выполняются
сантехнические и электромонтажные работы.
. Работы по благоустройству производятся одновременно с
общественными и специальными работами.
X. Строительный генеральный план
Строительный генеральный план на период возведения здания лабораторного
корпуса от отметки ±0,00 до отметки +8,00 (на основании СНиП 12-01-2004
«Организация строительства»). Для выполнения монтажных работ используются
локальные склады материалов, располагающихся в зоне монтажа. На складе
размещаются: строительные материалы, инвентарь грузозахватные приспособления.
Бетонная смесь доставляется к месту работ автобетоновозом, арматурная сетка
завозится в бортовых машинах и к месту сборки подается краном. В качестве
монтажного механизма выбран автокран КС35719-5 грузоподъемностью 22,5т.
Стрелками на строительном генеральном плане показать движение автомобилей
в период завоза материалов и конструкций. Въезд и выезд организуется от
примыкающих к объекту существующих автодорог. На строительном генеральном плане
показано: организация строительной площадки, рабочие позиции монтажного крана,
площадки складирования материалов и конструкций в зоне работы крана, бытовые
помещения располагаются в неопасной зоне.
В тёмное время суток строительная площадка и рабочие места освещены
согласно СН 81-80. Общее равномерное освещение площадки составляет 2 люкса.
Освещённость рабочих мест должна быть не менее 50 люксов.
Основные привязочные характеристики по объектам на территории
строительной площадки:
а). Расстояние от бытовых и вспомогательных помещений до рабочего места
должно быть не более 150 м.
б). Ширина автодорог для однополосного движения транспорта - 3,5м. с
уширением до 6,5м. под разгрузочные площадки.
в) Расстояние от края проезжей части дороги до стен здания по требованию
пожарной безопасности должно быть не более 25 м.
г). Скорость движения транспорта на прямых участках дорог должна быть не
более 10 км/ч и на поворотах 5 км/ч.
На строительном генеральном плане указывается взаимоперпендикулярное
размещение линий расположения наземного оборудования.
1. Расчёт складских помещений
Количество материалов подлежащих хранению:
Qзап = К1
К2
Qобщ
,
где
Q - общее количество материалов требуемое для
строительства;
Т
- продолжительность потребления в днях;
Тн
- норма запаса материала в днях;
К1
- 1,3 - коэффициент неравномерности потребления материала;
К2
- 1,1 - неравномерность поступления материалов.
Требуемая
площадь склада:
=
,
Где
q - количество материала укладываемого на 1 м2 склада;
Ксн
- коэффициент использования складской площади учитывающий наличие проходов и
проездов.
Расчёт
площадей под складирование строительных конструкций выполняют в табличной
форме:
|
N п/п
|
Материалы и изделия
|
Ед. изм.
|
Qобщ
|
Т, дн.
|
Тн, дн.
|
Коэф. Неравно мерности
|
Qзап
|
Норма складирования на 1
м2, q
|
Ксн
|
S
|
Высота укладки в штабель
|
Характеристика склада
|
|
|
|
|
|
|
К1
|
К2
|
|
|
|
|
|
|
|
1
|
2
|
3
|
4
|
5
|
6
|
7
|
8
|
9
|
10
|
11
|
12
|
13
|
14
|
|
1
|
кирпич
|
Тыс. шт.
|
226,99
|
55
|
5
|
1,3
|
1,1
|
28,98
|
0,7
|
1,3
|
31,84
|
2,2 м
|
Открытый склад
|
|
2
|
Плиты перекрытий
|
м3
|
229,68
|
16
|
5
|
1,3
|
1,1
|
102,64
|
2
|
1,3
|
39,47
|
2,5 м
|
|
|
3
|
Перемычки ж/б
|
м3
|
8
|
4
|
5
|
1,3
|
1,1
|
14,3
|
0,5
|
1,3
|
22,0
|
1,5 м
|
|
|
4
|
Металл. лестн. пл-ки и
марши
|
т
|
3,1
|
4
|
5
|
1,3
|
1,1
|
5,541
|
1,0
|
1,3
|
4,26
|
2,5 м
|
|
|
5
|
дверные блоки
|
м2
|
20,6
|
4
|
5
|
1,3
|
1,1
|
36,82
|
40
|
1,3
|
0,708
|
8-10 шт.
|
Крытый склад
|
|
6
|
оконные блоки
|
м2
|
144
|
6
|
5
|
1,3
|
1,1
|
171,6
|
1,3
|
2,93
|
8-10 шт.
|
|
|
7
|
линолеум
|
м2
|
706
|
10
|
5
|
1,3
|
1,1
|
504,79
|
100
|
1,3
|
3,88
|
0,8 м
|
|
2. Определение потребности во временных зданиях
Бытовые и вспомогательные помещения располагаем в виде сгруппированых по
1 линии помещений. Расчёт потребностей связан с количеством работающих в
наиболее многочисленную смену и определяется по формуле:
общ = К*(Nраб + Nитр + Nслуж + Nоб.пер. +N),
где К=1,05 - учитывает отпуска, болезни и т.д., т.е. неравномерность
выхода рабочих на объект.
Принимаем следующее соотношение численности работников 29 человек:
ИТР - 8%(2ч.)
Служащих - 5%(1ч.)
Младший обслуживающий персонал - 2%(1ч.)
По графику численность рабочих составляет 29 . Определяем общее
количество рабочих на объекте Nобщ .
Расчет площадей временных зданий сводим в таблицу.
Nобщ =
1,05 * (29+1+1+2 ) = 35 чел.
Расчет площадей временных зданий сводим в таблицу:
|
Наименование помещения
|
Ед. изм.
|
Площадь по норме
|
Кол-во работающих
|
Площадь помещения
|
Тип временного здания
|
Размеры здания в плане, м
|
Полезная площадь
|
Шифр проекта временного
здания
|
Кол-во, шт
|
|
1
|
2
|
3
|
4
|
5
|
6
|
7
|
8
|
9
|
10
|
|
Прорабская
|
м2/чел.
|
3
|
2
|
6
|
передвижной вагончик
|
3х2
|
6
|
ИК3Э-5
|
1
|
|
Гардеробное помещение
|
м2/10 чел.
|
7
|
33
|
18,9
|
передвижной вагончик
|
6,3х2
|
12,6
|
1127-К
|
1
|
|
Туалет
|
м2/10 чел.
|
1
|
35
|
2,7
|
биотуалет
|
1,5х1,8
|
1,8
|
5055-7-2
|
1
|
|
Столовая
|
м2/10 чел.
|
10
|
35
|
27
|
передвижной вагончик
|
9х3
|
27
|
ГОССС-20
|
1
|
|
Помещение для сушки одежды
|
м2/10 чел.
|
2
|
33
|
5,4
|
передвижной вагончик
|
1,8х3
|
5,4
|
Э-420-01
|
1
|
3. Расчет потребностей в воде на период строительства
Водоснабжение объекта принято от водозаборной скважины, расположенной на
расстоянии 5 м от ограждающего территорию забора. Временный подающий водопровод
должен учитывать следующие расчетные параметры:
) диаметр трубопровода
) расход на производственные нужды
) хозяйственно-бытовые нужды
) пожаротушение
Общая потребность определяется по следующей формуле:
Расход воды на производственные нужды определяется с учетом сроков
производства работ по календарному плану и нормам расходов воды.
Секундный расход определяется:
где

-
максимальный расход воды

= 1,5 -
неравномерное потребление воды

-
количество часов работы
Потребность
воды на производственные нужды:
|
Nп/п
|
Потребление воды
|
Ед. изм.
|
Кол-во в смену
|
Норма расхода на ед., л
|
Общий расход воды в смену
|
|
1
|
2
|
3
|
4
|
5
|
6
|
|
1
|
Штукатурные работы
|
м2
|
87,67
|
8
|
701,36
|
|
2
|
Малярные работы
|
м2
|
263,4
|
1
|
263,4
|
|
3
|
Кровельные работы
|
м2
|
91
|
5
|
455
|

=
701,36*1,5/(8*3600) + 263,4*1,5/(8*3600) + 455*1,5/(8*3600) =0,073946 л/с
Расход
воды на хозяйственно-бытовые нужды определяется по следующей формуле:

Потребность
воды представляем в табличной форме:
|
Nп/п
|
Потребле-ние воды
|
Ед. изм.
|
Норма расхода, л
|
Коэф-т неравно-мерности
потребления
|
Продолжи-тельность
потребления
|
Общий расход, л/с
|
|
1
|
Хозяйствен-но - бытовые
нужды
|
л/час
|
15
|
3
|
8
|
525
|

=
525*3/(8*3600) = 0,0547л/с
Qпожаротушения =
10 л/с

=10+
0,5(0,073946+0,0547) =10,0643 л/с
Диаметр
трубопровода от скважины до потребителя:
d = 35,69

= 

-
скорость движения воды

0,0547 +
0,073946 = 0,12865 л/с
d = 35,69 * 
=10,45
мм
Принимаем
d = 25 мм.
4. Расчет потребности в электроэнергии
Расчет должен включать следующие расходы:
) производственные нужды
) на наружное и внутреннее освещение
) технологические цели
Расчет вычисляется по формуле:

)

- к-т
мощности

-к-т
спроса

- общая
мощность установка в Вт.
Мощность
установки для производственных нужд сводим в таблицу.
|
Механизмы
|
Тип, марка
|
Ед. изм.
|
Кол-во.
|
 , кВт ,кВт
|
|
|
|
|
1
|
2
|
3
|
4
|
5
|
6
|
7
|
8
|
|
Штукатурный агрегат
(станция)
|
СО-57А
|
шт.
|
1
|
5,25
|
5,25
|
0,1
|
0,4
|
|
Машина для нанесения
битумной мастики (эмульсии для опалубки)
|
СО-122А
|
шт.
|
1
|
4,9
|
4,9
|
0,1
|
0,4
|
|
Вибратор глубинный
|
НВ-47А
|
шт.
|
1
|
1
|
1
|
0,1
|
0,4
|
|
Понижающий трансформатор
|
ИВ-9
|
шт.
|
1
|
1,5
|
1,5
|
0,1
|
0,4
|
|
Сварочный трансформатор
|
ТД-300
|
шт.
|
1
|
19,4
|
19,4
|
0,5
|
0,4
|
|
Строительный подъёмник
|
С-598 Л
|
шт.
|
1
|
4
|
4
|
0,3
|
0,7
|
|
Площадочный электровибратор
|
ИВ-98
|
шт.
|
2
|
0,9
|
1,8
|
0,1
|
0,4
|
Из таблицы получаем:

= 
Мощность
сети наружного освещения:
н.о.=kc*
с=1-к-т
неравномерности потребления.
Определение
мощности: открытые склады, охранное освещение(целевое), внутренние дороги.
Определение
мощности сводим в таблицу
|
Потреб.
|
Ед.изм.
|
Кол-во
|
Норма освещ., кВт
|
Мощность, кВт
|
|
1
|
2
|
3
|
4
|
5
|
|
Открытые склады
|
1000м2
|
0,105
|
1,2
|
0,126
|
|
Внут.автодороги
|
Км
|
1
|
2,5
|
2,5
|
|
Общее освещ.(прожектор)
|
шт
|
4
|
0,5
|
2
|
Wн.о.=0,126+2,5+2=4,626
кВт
5 кВт
Принимаем
мощность для освещения рабочих мест равную: кВт
Мощность
сети бытовых помещений равной: кВт
Общая
мощность электропотребителей вычисляем по формуле:
общ.+Wпр.+Wр.м.+Wбыт. = 30+5+6=41 кВт
ХI. Решения по технике безопасности, охране
окружающей среды и противопожарной защите
При разработке календарного плана необходимо предусмотреть такую
последовательность выполняемых работ, чтобы любая из них не являлась источником
производственной опасности для одновременно выполняемых или последующих работ.