Проектирование опор и фундамента путепровода
Министерство
образования и науки РФ
Федеральное
агентство по образованию
Государственное
образовательное учреждение
высшего
профессионального образования
Воронежский
государственный архитектурно-строительный университет
Кафедра
проектирования автомобильных дорог и мостов
Курсовая
работа
по
дисциплине: "Основания и фундаменты"
Выполнил студент:
курса, группы 3931
Столповский Михаил Сергеевич
Руководитель:
асс. Поляков Роман Сергеевич
Воронеж
2015
Содержание
путепровод опора фундамент свайный
1.
Характеристика геологических условий
.
Назначение типа опоры
.
Определение нагрузок, действующих на опору
.1
Схема нагрузок
.2
Собственный вес опоры
.3
Реакции от собственного веса пролетных строений
.4
Вертикальные реакции от временных подвижных нагрузок
.5
Горизонтальная реакция от временной подвижной нагрузки
.6
Ветровые нагрузки на опору
.
Сочетания нагрузок и приведение их к обрезу фундамента
.1
Сочетания нагрузок
.2
Приведение нагрузок к обрезу
5. Конструирование и расчет фундамента
мелкого заложения
.1
Определение глубины заложения подошвы фундамента
.2
Определение площади подошвы и размеров уступов фундаментов
.3
Определение расчетного сопротивления грунта под подошвой фундамента
.4
Проверка несущей способности грунтового основания
.5
Расчет на устойчивость положения фундамента
.5.1
Проверка устойчивости против опрокидывания
.5.2
Проверка устойчивости против сдвига
.6
Определение осадки
.7
Определение кренов и горизонтальных смещений верха опоры
.
Проектирование свайного фундамента
.1
Определение глубины заложения и предварительное назначение размеров ростверка
.2
Длина и поперечное сечение свай
.3
Определение расчетной несущей способности сваи
.4
Определение числа свай, их размещение и уточнение размеров ростверка
.5
Проверка максимальной нагрузки, приходящейся на сваю
.6
Проверка несущей способности по грунту свайного фундамента как условного
массивного
.7
Определение осадки и кренов
.
Технология производства работ
.1
Основные положения
.2
Устройство крепления
.3
Разработка котлована
.4
Погружение свай
.5
Устройство ростверка
.6
Техника безопасности
Библиографический
список литературы
1. Характеристика геологических условий
1) Вид сооружения: Путепровод
2) Размер пролетов: 2 x 24 м
) Габарит: Г - 11.5 м
) Ширина тротуаров: 2 x 1.0 м
) Временные подвижные нагрузки: А14, Н14
) Класс пересекаемой дороги: 3
) Тип опоры: Стоечная,
) Грунты (Рис. 1.1)
· № скважины 3
· № варианта толщины 4
9) Особые условия: насыпь 1.9 м
Глубина промерзания 1.2 м
2. Назначение типа опоры
Стоечные опоры применяются преимущественно при
строительстве путепроводов и эстакад. В таких опорах сваи в надземной части
заменяют стойками, заделанными в фундамент, который может быть двух типов:
объединенным (рис. 2.1,а) или раздельным (рис. 2.1,б). В первом случае стойки
опираются на объединяющую гибкую железобетонную плиту, а во втором - каждая
стойка имеет свой фундамент в виде железобетонного башмака стаканного типа.
Рис. 2.1. Стоечные опоры: а -
на общем фундаменте, б - на раздельных фундаментах; 1 - стойка, 2 - насадка, 3
- фундаментная плита, 4 - башмак
3. Определение нагрузок, действующих на опору
.1 Схема нагрузок
Схема действия нагрузки на опору представлена на
Рис. 3.1.
На рисунке представлены следующие нагрузки:
1. Вертикальные
нагрузки:
вес опоры - Роп - собственный вес
надфундаментной части опоры (без учета веса фундамента);
вес пролетных строений - РП, Л(П) -
соответствующих давлению от примыкающих к данной опоре двух одинаковых
пролетных строений слева (справа);
сила воздействия на опору - РВП, Л (П) - от
временной подвижной вертикальной нагрузки слева (справа).
2. Горизонтальные
поперечные нагрузки:
сила давления ветра - W2 - на опору;
сила давления ветра - W3 - на пролетные
строения;
. Горизонтальные продольные нагрузки:
силы торможения или тяги - Fh;
сила давления ветра - W1 - на опору
3.2 Собственный вес опоры
Нормативная вертикальная нагрузка от
собственного веса опоры определяется по формуле:
оп - объем элементов опоры;
-соответствующий удельный вес,
оn
=5,472*6*0,4*0,4+12*0,7*0,15*0,6+0,5*12,5*1,8=17,96м³;
- расчетное значение постоянных нагрузок
с учетом коэффициента надежности по нагрузки
.3 Реакции от собственного веса
пролетных строений
Нормативную реакцию от собственного
веса пролетных строений левого Рнпл и правого Рнпп полетов допускается
определять в виде суммы реакции от главных балок и ездового полотна.
Реакция от главных балок слева
(справа):
РнГБ,л(п) = 0,5*Vл(п) * Lл(п)
*(Г+2*T)*
,
РнГБ,л(п) =
0,5*0,346*24*(11,5+2*1)*24,5=1343,78 кН,
Реакция от ездового полотна слева (справа):
РнЕП,л(п) = 0,5*Г * Lл(п) *∑hi*
,
РнЕП,л(п) =
0,5*11.5*24*(0,03*24,5+0,01*15+0,04*24,5+0,07*23)=460,69 кН,
= 24 м - длинна пролета, Г =11.5 м -
габарит моста,
Т =1 м - ширина тротуара,
- удельный вес железобетона (24,5
кН/м3),- толщина слоев ездового полотна:
) - выравнивающий бетонный слой 0,03
м,
=24,5 кН/м3
) - гидроизоляция 0,01м,
=15 кН/м3
) - защитный ж.б. слой 0,04 м,
=24,5 кН/м3
) - асфальтобетонное покрытие 0,07
м,
=23 кН/м3
Вес пролетных строений слева
(справа):
РнП,л(п)=РнГБ,л(п)+
РнЕП,л(п)=1804,47 кН
Расчетные значения реакции от веса
главных балок:
РГБ,л(п) = Рнгб,л(п)*
РГБ,л(п) = 1343,78*1,1=1478,16 кН
Расчетные значения реакции от
ездового полотна:
РЕП,л(п) = 0,5*Г * Lл(п) *∑hi*
*
,
РЕП,л(п)=0,5*11,5*24*(0,07*23*1,5+0,04*24,5*1,3+0,01*15*1,3+0,03*24,5*1,3)
=773,08 кН
Расчетные значения веса пролетных строений слева
(справа):
РП,л(п) =РГБ,л(п)+
РЕП,л(п)=1478,16+773,08=2251,25 кН
.4 Вертикальные
реакции от временных подвижных нагрузок
Вертикальные реакции от временных подвижных
нагрузок определяются при загружении одного пролета и при двух загруженных
пролетах. В обоих случаях реакции определяются для двух схемах загружения:
нагрузка А14 и пешеходная, нагрузка Н14.
Вначале строится линии влияния опорных реакции
для примыкающих балочных пролетов. Далее они загружаются нагрузками А14 и пешеходной
и одиночной Н14 справа. И, наконец, загружаются оба примыкающих пролета.
Вычисление опорных реакций с использованием
линий влияния производится по известным правилам строительной механики.
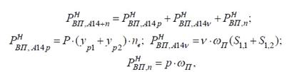
Нормативной реакция от нагрузки А14 и пешеходной.
Расчетная длина пролета принимается по формуле:
где L - длина пролета; е1~0,4м - эксцентриситеты
приложения нагрузки вдоль моста (рис. 3.1 а).
п(л)= 24-2*(0,4-0,025)=23,25 м
Нормативная реакция от нагрузки Н14 (рис.3.2 б):
РВП,Н14 = РН14 * (УНП1 + УНП2 + УНП3 + УНП4),
где УНП1; УНП2; УНП3; УНП4 - ординаты
соответствующей линии влиянии
РВП,Н14 = 252*(1+0,958+0,907+0,857) = 845,42 кН
Из двух расчетных значений реакций для
дальнейшего использования выбирается максимальное:
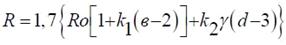
Рвп=max{Рвп,А14+n=541,94*1,5+260,4*1,2+46,5*1,2=1181,19
кН,
Рвп,H14=845,42*1=845,42 кН.
Рвпmax=1181,19кН
Аналогично подсчитывается и выбирается
максимальное значение реакции на два примыкающих пролета (Рвл+Рвп) (рис.3.2 г,
3.2 д). При этом пешеходная нагрузка имеет интенсивность (рис.3.2 г); в формулы
вводится суммарная площадь (ωП+ωЛ);
в формуле для реакции от Н14
(РВП+ РВЛ)НН14 = РН14 * (УНЛ1 + УНП1 + УНП2 +
УНП3)
(РВП+ РВЛ)НН14=252*(0,993+1+0,958+0,907)=964,645
кН
Рвп=max{Рвп,А14+n=551,57*1,5+624,96+111,6=1563,92
кН,
Рвп,H14=845,42*1=845,42 кН
Рвпmax=1563,92кН.
.5 Горизонтальная реакция от временной подвижной
нагрузки
Реакция от нормативной горизонтальной силы
торможения или тяги нагрузки А14 вдоль моста
(рис.
3.1 а) определяется отдельно для правого и обоих пролетов:
=0.5*
=260,4*0,5=130,2кН
=0.5*(РВП+РВЛ)НА14,v=260,4*0,5=130,2кН
Коэффициент надежности по нагрузки
.
=130,2*1,2=156,24 кН
=260,4*1,2=312,48 кН
Плечо: hFh =h0+hПС; hПС=(L/20)+ ∑hi;ПС=(33/20)+0,03+0,04+0,01+0,07=1,35м;
ПС - высота пролетного строения;
∑hi - суммарная толщина одежды
ездового полотна.
3.6 Ветровые нагрузки
на опору
Нормативные величины ветровой нагрузки вдоль
и
поперек
и
вычисляются
по формуле:
Аi - площадь рабочей ветровой поверхности опоры
поперёк или вдоль,
Коэффициента надежности по нагрузке
,i -
интенсивность статической составляющей горизонтальной вертикальной
нагрузки;=0,69 КПа- скоростной напор ветра ;=1,45 - коэффициент изменения
скоростного напора по высоте;
cw1 =2,10, cw2 =1,8 и cw3 =2,10 -
аэродинамические коэффициенты
=
(0,4*4,7*6+0,5*14,4)*0,69*1,45*2,1=39,86кН
=
39,858*1,5=59,787кН
=
(0,4*4,7*6+0,5*1,8)*0,69*1,45*1,8=5,838кН
= 5,838*1,5=8,757кН
=
2,101(1,2+0,15)*24*2=136,145кН
=
136,145*1,5=204,217кН
4. Сочетания нагрузок и приведение их к обрезу
фундамента
.1 Сочетания нагрузок
В курсовой работе допускается рассматривать лишь
6 сочетаний, приведенных в первом столбце табл. 1.
Временные нагрузки пронумерованы:
№7 - вертикальная;
№11 - горизонтальная;
№12 - ветровая;
Таблица 1
Сочетание нагрузок и воздействий
|
№
соче-тания
|
№
нагрузки + № сочетания
|
Постоянные
|
Временные
подвижные
|
Временные
прочие
|
|
|
Роп
|
Рпл+Рпп
|
Вертикальные
|
Горизонтальные
|
W
|
Fл
|
|
|
|
|
Рвп
|
Рвп+Рвл
|
Fhп
|
Fh(п+л)
|
|
|
|
При
расчетах вдоль моста
|
|
1
|
7
и 8+9
|
593,88
653,27
|
1804,27
2251,25
|
|
964,65
1446,97
|
|
|
|
|
|
2
|
11+7-9,12,15
|
593,88
653,27
|
1804,27
2251,25
|
944,25
952,29
|
|
104,16
124,99
|
|
9,96
14,95
|
|
|
3
|
11+7-9,12,15
|
593,88
653,27
|
1804,27
2251,25
|
|
712,96
921,72
|
|
208,32
249,98
|
1,46
2,19
|
|
|
При
расчетах поперек моста
|
|
4
|
7
и 8+9
|
593,88
653,27
|
1804,27
2251,25
|
|
964,65
1446,97
|
|
|
|
|
|
5
|
7и8+12,13,15
|
593,88
653,27
|
1804,27
2251,25
|
944,25
952,29
|
|
|
|
35,50
53,24
|
|
|
6
|
13+12,15,17
|
593,88
653,27
|
1804,27
2251,25
|
|
|
|
|
71,00
106,48
|
|
В числителе нормативное значение нагрузок, в
знаменателе расчетное значение нагрузок.
.2 Приведение нагрузок к обрезу
Все внешние нагрузки приводится к центру обреза
фундамента в виде проекций на вертикальную ось у (Ро), горизонтальные х или Z
(Fо) и суммы моментов относительно точки О вдоль и поперек (Mo).
Таблица 2
Приведенные к обрезу фундамента нагрузки
|
Вид
расчета
|
Номер
сочетания (по таб. 1)
|
Группа
предельных состояний
|
|
|
II
|
I
|
|
|
Pно
|
Fно
|
Мно
|
Ро
|
Fо
|
Мо
|
|
При
расчете вдоль моста
|
|
Несущая
способность основания
|
1
2
|
-
-
|
-
-
|
-
-
|
6602,74
6108,06
|
-
139,94
|
-
1050,49
|
|
Устойчивость
против опрокидывания Устойчивость против сдвига
|
3
3
|
-
-
|
-
-
|
-
-
|
6313,34
6313,34
|
252,17
252,17
|
1719,47
1719,47
|
|
Определение
осадка Определение крена
|
3
3
|
5167,47
5167,47
|
209,78
209,78
|
4,745
4,475
|
-
-
|
-
-
|
-
-
|
|
При
расчете поперек моста
|
|
Несущая
способность основания
|
4
5
|
-
-
|
-
-
|
-
-
|
6602,74
6108,06
|
-
53,24
|
5787,88
4458,34
|
|
Устойчивость
против опрокидывания Устойчивость против сдвига
|
6
6
|
-
-
|
-
-
|
-
-
|
5155,57
5155,57
|
106,48
106,48
|
346,06
346,06
|
|
Определение
крена
|
6
|
4202,82
|
71,00
|
475,78
|
-
|
-
|
-
|
5. Конструирование и расчет фундамента мелкого
заложения
.1 Определение глубины заложения подошвы
фундамента
Глубина заложения подошвы фундамента d зависит
от инженерно-геологических условий местности. Назначенная конструкция
представляет трехступенчатый фундамент глубиной заложения 2,8 м
При строительстве на суходоле минимальная
глубина заложения подошвы фундамента принимаем:
>
df + 0,25м = 1,2+0,25=1,45 м
где
df - глубина промерзания.
Подошва фундамента
располагается выше кровли опорного пласта на 5,8 м.
Толщина опорного пласта под
подошвой фундамента (5,8 м) больше ширины фундамента по подошве (2,8м).
Длина и ширина обреза
фундамента на 0,5 м шире размеров опоры в каждую сторону.
Размеры подошвы фундамента:
ширина (вдоль моста) равна 2,8 м, а ширина (поперек моста) равна 14,8 м. Линия
уступов или наклон граней фундамента не отклоняются от вертикали на угол более
30° (см. рис. 5.1), отсюда:
.2 Определение площади подошвы и размеров
уступов фундаментов
Подошва фундамента
располагается выше кровли опорного пласта на 4,7 м.
Толщина опорного пласта под
подошвой фундамента (4,7 м) больше ширины фундамента по подошве (3,4м).
Длина и ширина обреза
фундамента на 0,5 м шире размеров опоры в каждую сторону.
Рис.5.1. Конструкция фундамента
мелкого заложения.
Минимальная площадь подошвы
фундамента:
=
(0,4+2*0,5)*(10,4+2*0,5)=15,96 м2
Линия уступов или наклон граней
фундамента не отклоняются от вертикали на угол более 30° (см. рис. 5.1),
отсюда:
=
(0,4+1,16*2,4)*(10,4+1,16*2,4)=41,97 м2
Размеры подошвы фундамента:
ширина (вдоль моста) равна 2,8 м, а ширина (поперек моста) равна 14,8 м.
5.3 Определение расчетного сопротивления грунта
под подошвой фундамента
Расчетное сопротивление
основания осевому сжатию:
где R0 - условное сопротивление
грунта (R0 =270 кПа); к1 и к2 - коэффициенты - принимаются по (прил. 1). k1=0,1
и k2 =3,0.
=1,7*(245*(1+0,06*(1,8-2))+2*20*(2,8-3))
= 442,892 кПа
.4 Проверка несущей способности
грунтового основания
Предварительно вычисляем силы N и момент М,
приложенный к середине подошвы в четырех сочетаниях №1 и №2 - вдоль, №4 и №5 -
поперек моста:
= Ро + G;= Mо +Fо * hф;
G = GH*
;Н= Vф*
;
где Ро - Mо - Fо - нагрузка из соответствующих
строк табл. 2;
Vф и
- объем и удельный вес фундамента;
коэффициента надежности по нагрузке
.
ф=2,8*14,8*0,7+0,7*2,2*14,2+0,7*1,6*13,6+0,7*1*13=75,208
м3
G=75,208*24,5*1,1 =2026,856 кН
Вдоль путепровода сочетание №1
N =6602,74+2026,856=8629,6 кН;
M = 0 кН*м;
Вдоль путепровода сочетание №2
=6108,06+2026,856=8134,916 кН;=
1050,49+139,94*2,8=1442,32 кН*м;
Поперек путепровода сочетание №4
= 6602,74+2026,856=8629,596 кН;= 5787,88 кН*м;
Поперек путепровода сочетание №5
= 6108,06+2026,856=8134,916 кН;=
4458,34+53,24*2,8= 4607,412 кН*м;
Несущая способность должна удовлетворять
условиям:
р=
рmax=
,
где р и рmax - среднее и
максимальное давление под подошвой;
А=а*в - площадь подошвы
A=2,8*14,8=41,44 м2;=а*в2/6 (вдоль моста) W=19,339 м³;
W=а2*в/6 (поперек моста) W= 92,93 м³, - момент
сопротивления подошвы; коэффициента надежности по назначению
,
(в сочетаниях №1 и №2), и
(в
сочетаниях №4 и №5) - коэффициент условии работы.
Вдоль путепровода сочетание №2
Поперек путепровода сочетание №4
Поперек путепровода сочетание №5
5.5 Расчет на устойчивость положения фундамента
Расчет на устойчивость фундамента обычно
производят для устоев мостов и в случаях, когда равнодействующая сил по подошве
фундамента выходит за пределы ядра сечения. В курсовой работе с
методологической целью выполняют расчет на опрокидывание и на сдвиг по подошве.
.5.1 Проверка устойчивости против опрокидывания
Устойчивость против опрокидывания проверяется
вдоль и поперек моста в сочетаниях нагрузок №№3 и 6 (табл. 2). За ось
возможного поворота принимается наиболее нагруженная сторона подошвы Рис. 5.2.
Моменты опрокидывающих Мu и удерживающих Мz сил
вычисляются относительно осей поворота в соответствующих сочетаниях.
Условие равновесия:
где Мu- момент опрокидывающих сил относительно
оси возможного поворота конструкции;- момент удерживающих сил относительно той
же оси;
γc=1 - коэффициент
условий работы
γn=1,1 - коэффициент
надежности по назначению
Mu=Мо+Fо*hф;
Мz=(Po+G)*(в или а)/2
Вдоль путепровода сочетание №3
Мz= (6313,34+2026,856)*1,4=11676,274 кН*м=
1719,48+252,17*2,8=2425,556 кН*м
=
8491,835 кН*м
Поперек путепровода сочетание №6
Мz= (5155,77+2026,856)*7,4=53151,43 кН*м=
346,06+106,48*2,8=644,204 кН*м
= 38655,585 кН*м
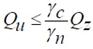
.5.2 Проверка устойчивости против сдвига
Устойчивость против сдвига (скольжения) по
подошве следует рассчитывать в сочетаниях №№3 и 6.
При расчете фундаментов опор мостов на
устойчивость против сдвига по основанию сила Qu стремится сдвинуть фундамент, а
сила его трения о грунт Qz (по подошве фундамента) сопротивляется сдвигу.
Устойчивость фундамента против сдвига следует
проверять по формуле:
где Qu=Fо - сдвигающая сила;=µ(Po+G) -
удерживающая сила;
µ=0,4 -коэффициент трения бетонной кладки по
поверхность грунта основания,
γc =0,9 - коэффициент
условий работы,
- коэффициент надежности по
назначению.
Вдоль путепровода сочетание №3
=0,4*(6313,34+2026,856)= 3336,078 кН= 257,17 кН
= 2729,519 кН
Поперек путепровода сочетание №6
=0,4*(5155,77+2026,856)= 2873,05 кН= 106,48 кН
= 2350,677 кН
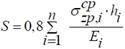
.6 Определение осадки
Осадка фундамента зависит от деформаций
основания, которые в обычных нескальных грунтах с модулем деформации Е<100
МПа определяются методом послойного суммирования с использованием схемы
линейно-деформируемого полупространства.
Последовательность расчета:
. Сжимаемую толщу грунта, расположенную ниже
подошвы фундамента, разбивают на элементарные слои толщиной hi<0,4b=1,36,
где b - ширина подошвы фундамента. Границы элементарных слоев должны совпадать
с границами слоев грунтов и уровнем подземных вод.
. Определение вертикальных напряжений от
собственного веса грунта на уровне подошвы фундамента и на границе каждого
подслоя:
где γw и
γ’
-
удельный вес воды в русле реки и грунта, лежащий выше подошвы;и d’ - глубина
воды и толщина грунта, лежащий выше подошвы
σzg0=20*2,3+0,5*19,2 кПа
σzg1=55,6+0,8*19,2=70,96
кПа
σzg2=90,16 кПа
σzg3=109,36кПа
σzg4=128,56 кПа
σzg5=147,76 кПа
σzg6=166,96 кПа
σzg7=166,96+0,8*20=182,96 кПа
σzg8=182,96+20=202,96 кПа
σzg9=222,96 кПа
σzg10=242,96 кПа
σzg11=262,96 кПа
σzg12=282,96 кПа
. Вычисление дополнительных вертикальных
напряжений на границах слоев
где Р0 - дополнительные напряжения
на основание (в сочетании №3 по табл.2); А=41,44 м2 - площадь подошвы;
-
напряжение от собственного веса; α - коэффициент, принимаемый по (прил.
6) в зависимости от формы подошвы η=a/b=13,2 /
3,2=4,13 и координаты границы слоя zi, (
=2*zi/в,).
Таблица 3.
Послойное определение осадки фундамента.
|
hi
|
z,
м
|
     Еi *10-3
|
|
|
|
|
|
|
|
|
0,0
|
0,0
|
0
|
1
|
145,66
|
55,6
|
11,12
|
141,00
|
37
|
2,61
|
|
1,22
|
1,22
|
0,57
|
0,936
|
136,34
|
70,96
|
14,92
|
|
|
|
|
|
|
|
|
|
|
121,19
|
37
|
2,55
|
|
1,22
|
2,44
|
1,29
|
0,728
|
106,04
|
90,16
|
18,03
|
|
|
|
|
|
|
|
|
|
|
92,17
|
37
|
1,95
|
|
1,22
|
3,66
|
2,00
|
0,545
|
79,38
|
109,36
|
21,87
|
|
|
|
|
|
|
|
|
|
|
70,64
|
37
|
1,53
|
|
1,22
|
4,88
|
2,71
|
0,425
|
61,90
|
128,56
|
25,71
|
|
|
|
|
1,22
|
6,10
|
3,43
|
0,336
|
48,94
|
147,76
|
29,55
|
44,43
|
37
|
1,23
|
|
1,22
|
7,32
|
4,14
|
0,274
|
39,91
|
166,96
|
33,39
|
|
37
|
1,04
|
|
1,22
|
7,54
|
4,71
|
0,242
|
32,25
|
182,96
|
36,59
|
|
42
|
1,00
|
. Нижняя граница сжимаемой толщи ("граница
активной зоны" - ГАЗ) принимается на глубине Нс, где выполняется условия
. Определение осадки основания:
S=0,8*(0,00261+0,00255+0,00195+0,00153+0,00123+0,00104)=0,0261
м
где hi и Ei - толщина и модуль
деформации, i - ого слоя;
- среднее
значение дополнительного вертикального напряжения в i-ом, слое грунта;
Осадка фундамента не должна превышать предельно
допустимого Sn
В предположении отсутствия осадок соседних опор:
= 1,5
= 7,35 см
где Su - предельно допустимая осадка, см;- длина
меньшего примыкающего к опоре пролета, м.
Выполняется проверка:
Su
В случае невыполнения условия необходимо
изменить размеры фундамента в плане или глубину его заложения.
По вычисленным значениям σz
строится
схема распределения вертикальных напряжений (Рис. 5.3).
5.7 Определение кренов и горизонтальных смещений
верха опоры
Расчет кренов фундамента и опоры вдоль iв и
поперек iп моста производится при действии нормативных нагрузок в сочетаниях №3
и №6 (см. табл. 2).
где Е=37*10³ кПа,
и v =0,3 - средние значения модуля деформации и коэффициент Пуассона в пределах
сжимаемой толщи;н и lн = MH/NH - нормативная вертикальная сила и эксцентриситет
сил, приложенных к подошве ;
а=14,8м, в=2,8 м - длина и ширина подошвы;
Ке =0,94 вдоль;
Ке =0,13 поперек.
Вдоль путепровода сочетание №3
Поперек путепровода сочетание №6
Горизонтальные смещения верха опоры вдоль и
поперек моста равны:
в(п)=iв(п)*(hф+ho);
где ho=6,5 м - высота опоры, hф =2,8м - глубина
фундамента.
Найденные значения должны быть не больше
предельного:
Cв(п) < Cu=0.005*
=0,005*
= 0,024
где lmin=24 м - длина наименьшего
примыкающего пролета.
Вдоль путепровода:
в=0,00097*(2,8+6,5) = 0,009021
0,024
Поперек путепровода:
п=0,00028(2,8+6,5) = 0,002604
0,025
6. Проектирование свайного фундамента
.1 Определение глубины заложения и
предварительное назначение размеров ростверка
Свайный фундамент может проектироваться с низким
и с высоким ростверком.
На суходоле и в водотоке при глубине воды менее
3 м следует проектировать свайные фундамент с низким ростверком. Обрез низкого
ростверка располагается так же, как обрез фундамента мелкого заложения на
естественном основании. - (Плита, объединяющая группу свай в единую
конструкцию, называется ростверком).
Подошва низкого ростверка располагается:
а) в непучинистых грунтах - на любом уровне;
б) в пучинистых - на глубине не менее dfn+0,25
м;
в) в русле реки - может быть расположена на
любом уровне.
Минимальная высота ростверка определяется
условием жесткой
заделки свай hр=1,0-1,5 м. При этом длина
заделки h должна быть не менее половины периметра сваи - без разделки и 30 ds -
с разделкой головы сваи (где ds - диаметр периодической арматуры). В обоих
случаях толщина ростверка увеличивается на 0,25 или 0,1 м.
Размеры обреза в плане принимаются больше
размеров опоры не менее чем на с=0,25...0,5 м с каждой стороны.
Сборные железобетонные ростверки фундаментов
мостов проектируются из бетона марки не ниже В25, монолитные - не ниже В15.
+0,25 м = 1,2+0,25=1,45 м
6.2 Длина и поперечное сечение свай
В курсовом проекте рекомендуется применять
забивные железобетонные сваи сплошного квадратного сечения.
Длина сваи определяется положением подошвы
ростверка и кровли прочного грунта, в который целесообразно заделывать сваю.
Слабые грунты должны прорезаться сваями.
Заглубление свай в грунте, принятом за
основание, должно быть: