Роль современного урока химии в формировании научного мировоззрения учащихся
Минобрнауки
россии
ФЕДЕРАЛЬНОЕ
ГОСУДАРСТВЕННОЕ БЮДЖЕТНОЕ ОБРАЗОВАТЕЛЬНОЕ УЧРЕЖДЕНИЕ
ВЫСШЕГО
ПРОФЕССИОНАЛЬНОГО ОБРАЗОВАНИЯ
“ВОРОНЕЖСКИЙ
ГОСУДАРСТВЕННЫЙ УНИВЕРСИТЕТ”
Химический
факультет
Кафедра
физической химии
Роль
современного урока химии в формировании научного мировоззрения учащихся
Дипломная
работа
по
программе профессиональной переподготовки с присвоением квалификации
«Преподаватель» по направлению 020100 «Химия»
Воронеж
2015
Реферат
Научная работа школьника как вариант
педагогической инновации: Дипломная работа / Свиридова В.Е. Руководитель
к.х.н., доц. Кондрашин В.Ю. - Воронеж. ун-т. Химический ф-т. Кафедра физической
химии. 2015. 45с.
Ключевые слова: научные представления,
математический подход, задачи нового поколения, демонстрационный эксперимент.
Цель работы: разработка методических
рекомендаций для развития научных представлений школьников на уроках химии
старших классов.
Объект исследования: научные представления
школьников старших классов. химии как о науке в целом.
Предметы исследования: возможности урока химии в
формировании научных представлений учащихся.
Методы исследования: моделирование, разработка.
Илл.2. Библ.31.
Оглавление
Введение
Глава
1. Обзор литературы
.1Общие
требования к современному уроку
.2
Основные пути совершенствования урока в современной школе
.2.1
Инновационная направленность педагогической деятельности
.2.2
Инновации в химическом образовании
.3
Заключение к обзору литературы
Глава
2. Экспериментальная часть
.1
Развитие математических методов в химии
.2
Разработка задач нового поколения
.3
Развитие демонстрационного эксперимента
.4
Интерпретация некоторых положений химии
Заключение
Список
литературы
урок химия инновационная демонстрационная
Введение
Кардинальные изменения во всех областях
социальной жизни, прогресс в науке и культуре, новые потребности в сфере
педагогической деятельности привели к необходимости модернизации системы
образования.
От общих проблем модернизации образования
перейдем к проблемам собственно химического образования. Для того чтобы
определить его основные задачи, достаточно ответить на простой вопрос: «Что
должно остаться в голове у школьников от уроков химии?». Если речь не идет о
школьниках, ориентированных на будущую профессиональную работу в области химии,
то ответ может быть такой: задача школьного химического образования - дать
детям грамотное представление о свойствах веществ и их превращениях в природе.
Ученики должны знать, из чего состоят предметы вокруг них, и что с этими
предметами может происходить при различных воздействиях: как горят дрова, из
чего состоит воздух.
Теоретические модели, структуры и терминология
современной химии стремительно развиваются и усложняются. Современная химия,
конечно же, должна находить отражение и на школьном уровне. Теоретическую химию
уже нельзя излагать на уровне середины прошлого века.
В последние годы научный уровень школьных
программ и учебников несколько вырос, однако ясного и четкого изложения
теоретической химии никому еще добиться не удалось
Химия - это самостоятельная научная дисциплина,
имеющая четкий предмет и систему законов и правил. Интеграция химии с физикой,
биологией и математикой не сводит ее к этим наукам. Одни и те же объекты,
например атомы или нуклеиновые кислоты, изучаются разными науками по-разному.
Безусловно, химия как предмет должна сохранить свою индивидуальность. В то же
время учебные планы по химии, физике и математике должны быть элементарно
согласованы.
Важная задача профильного химического
образования - подготовка учеников к высшей школе. Успешному переходу от средней
школы к высшей должна способствовать грамотная программа для поступающих в
вузы. Существующая программа, предложенная Министерством образования [1] и
обязательная для всех вузов, включая университеты, имеет существенные
недостатки. В ней отсутствует целый ряд важных разделов и понятий. Поэтому
необходимо создать новую программу, которая объединяла бы в себе
научно-методические идеи, уже апробированные в программах для поступающих в
Российские университеты [2], химико-технологические и медицинские вузы.
Целью данной работы являлось разработка
методических рекомендаций для развития научных представлений у школьника
старших классов.
Для достижения поставленной цели решались
следующие задачи:
Развитие математических методов в химии.
Разработка нового класса химических задач для
усиления межпредметных связей химии, физики и математики.
Разработка методический рекомендаций для
развития демонстрационного эксперимента.
Интерпретация некоторых положений химии.
Глава 1. Обзор литературы
Формирование у школьников основ научного
мировоззрения в учебно-воспитательном процессе. Формирование мировоззрения -
это долговременный и сложный процесс развития в органическом единстве и
одновременно научного сознания, базирующегося на научных знаниях, культуры мышления,
чувств и эмоциональных отношений, целеустремленности и культуры волевых
действий[3].
Педагогика исходит из научно-философских основ
учебного плана, которыми обусловливается отбор основных предметов, способных в
совокупности достаточно полно раскрыть перед учениками мировоззренческую
картину мира и обеспечить научной базой их практическую деятельность. Этим
обеспечивается внутренняя логика взаимосвязи и взаимозависимости подлежащих
изучению школьниками наук. Все учебные предметы имеют две педагогические
задачи:
раскрытие законов и изучение фактов конкретной
науки (прямая педагогическая задача);
включение фактов и законов изучаемого учебного
материала в целостную систему научного мировоззрения школьника(косвенная
педагогическая задача). Косвенная задача педагогического процесса и
профессиональной деятельности учителя, воспитателя является не менее важной,
чем прямая, можно утверждать, что она предстает как одна из важнейших для
учителя.
Научное мировоззрение формируется, прежде всего,
в процессе изучения учащимися предметов естественно-математического цикла.
Учитывая возрастные особенности детей, учителя математики, физики, информатики,
химии и т.д. имеют возможности раскрыть перед ними идею материальности мира
природы. На основе учета принципа межпредметных связей в процессе обучения
можно показать единство материальной действительности, взаимосвязь и
взаимозависимость различных форм существования и движения материи. Необходимо
теоретически и на практике показать учащимся непреложный факт постоянного развития,
движения и изменения материи и бесконечность процесс познания ее человеком[4].
В ходе научного познания естественного мира как
диалектически развивающейся, целостной материальной системы у школьников
формируется диалектическое мышление, совершенствуются познавательные процессы,
развивается интеллект.
Огромную роль в формировании мировоззрения
школьников играет собственная практическая, творческая деятельность в различных
видах искусства, поэтому необходимо не только развивать у школьников
способность восприятия художественных произведений, но и учить детей овладевать
языком искусства, вооружать творческими умениями и навыками в соответствии с их
склонностями и способностями.
Необходимо отметить большую роль в формировании
научного мировоззрения школьников внеклассной учебно-воспитательной
деятельности, в процессе организации которой учитываются принципы добровольного
участия в ней, учета индивидуальных особенностей учащихся[5].
Педагогу необходимо знать о специфике
формирования научного мировоззрения школьников в учебно-воспитательном процессе
в соответствии с их возрастными особенностями. Уже в начальных классах
существует принципиальная возможность раскрывать идеи, дающие знания общих
законов, которым подчинено движение и развитие. Пониманию младших школьников
вполне доступны некоторые существенные связи и зависимости в явлениях природы и
общества, носящие мировоззренческий характер. К ним относятся начальные
представления о жизни природы, в частности, о сезонных изменениях, о
материальном единстве мира и его постоянном развитии и т.д.
Интенсивное формирование личности в подростковом
возрастеделает учебно-воспитательный процесс достаточно благоприятным для
овладения диалектико-материалистической концепцией мира.
Основным средством формирования научного мировоззрения
в учебно-воспитательном процессе является создание условий для усвоения
учащимися системы знаний, которая отражает, насколько это возможно, структуру
современного научного знания, организуется вокруг и на основе методологических
идей, теорий и принципов.
Чтобы знания переросли во взгляды и убеждения,
нужно, чтобы они проникли в сферу чувств и переживаний учащихся. В этом смысле
важным средством формирования научного мировоззрения предстает создание в
педагогическом процессе положительного эмоционального состояния учащегося и
воспитание его воли для преодоления препятствий и трудностей, возникающих в
учении.
Наряду с интеллектуальным и эмоционально-волевым
компонентом в состав мировоззрения входит практическо-действенный. В связи с
этим значимым средством формирования научного мировоззрения школьника можно
назвать организацию разнообразной воспитательной и учебной деятельности, причем
сфера практических действий учащихся должна быть достаточно широкой.
Наиболее общими критериями сформированности научного
мировоззрения школьника являются:
наличие фактических учебных знаний, их глубина и
объединенность в целостную систему, объясняющую сущность и закономерности
явлений природы, общества, мышления;
развитая способность диалектического
осмыслениядействительности, обнаруживающаяся в умениях учащихся анализировать
природные и общественные явления, обобщать их, делать выводы на основе
познанного;
проявление социальной активностишкольников,
сформированность гражданской позиции, экономического и экологического мышления.
.1 Общие требования к современному уроку
Подготовка учащихся к жизни, труду и творчеству
закладывается в общеобразовательной школе. Для этого процесс обучения и
организационная методика урока должна быть построена так, чтобы широко
вовлекать учащихся в самостоятельную творческую деятельность по усвоению новых
знаний и успешному применению их на практике[6]
Общие требования кратко можно сформулировать
так:
вооружать учащихся сознательными, глубокими и
прочными знаниями;
формировать у учащихся прочные навыки и умения,
способствующие подготовке их к жизни;
осуществлять всестороннее развитие учащихся,
развивать их общие и специальные особенности;
формировать у учащихся самостоятельность,
творческую активность, инициативу, как устойчивые качества личности, умения
творчески решать задачи, которые встречаются в жизни.
вырабатывать умения самостоятельно учиться,
приобретать и углублять или пополнять знания, работать с книгой, овладевать
навыками и умениями и творчески применять их на практике;
формировать у учеников положительные мотивы
учебной деятельности, познавательный интерес, желание учиться, потребность в
расширении и приобретении знаний, положительное отношение к учению [7].
1.2 Основные пути совершенствования урока в
современной школе
Педагогическая наука и школьная практика
направляют свои усилия на поиски путей совершенствования урока. Основные
направления следующие.
) Усиление целенаправленности деятельности
учителя и учащихся на уроке. Одна из важных задач учителя - мобилизовать
учащихся на выполнение поставленных задач, достижение целей непосредственно на
уроке. Для этого необходимо спланировать каждый урок, чтобы в нем были предусмотрены
самые короткие пути к поставленной цели, и в первую очередь намечены структура,
методика и средства обучения в строгом соответствии с поставленной целью.
) Осуществление организационной четкости каждого
урока от первой до последней минуты. Заранее на перемене готовятся необходимые
для урока наглядные пособия, технические средства, ученические принадлежности,
справочная и дополнительная литература, раскладывается все необходимое на
каждое рабочее место. Также для этого возможно поставить перед учениками
интересное задание, включающее их в работу с первой минуты урока. Вместо
домашних заданий применяются различные способы фронтальной ускоренной проверки
- тестовые письменные работы, программирование, перфокарты и др.
) Повышение познавательной самостоятельности и
творческой активности учащихся. Наиболее интересное направление связано с
вопросами применения на уроке методов и приемов проблемного обучения и создания
проблемных ситуаций как средства повышения познавательной активности учащихся,
это способствует повышению качества знаний и выработке необходимых навыков и
умений. Также предусматривается самостоятельная работа учащихся с учебной и
научной литературой, словарями, справочниками и энциклопедиями, таблицами,
диаграммами, графиками, картами.
) Оптимизация учебно-воспитательного процесса.
Целенаправленный выбор наилучшего варианта построения процесса, который
обеспечивает за определенное время максимальную эффективность решения задач
образования в данных конкретных условиях школы, определенного класса.
) Осуществление межпредметных и внутрипредметных
связей. При переходе к новому материалу, ставятся задачи и вопросы для
воспроизведения и последующей коррекции, опорных для усвоения нового материала
знаний и практических навыков и умений. Эти знания получены учащимися в
процессе обучения или на основе личных наблюдений, при изучении данного
предмета или родственных дисциплин. Это могут быть представления, понятия,
законы, формулы, числовые данные, создающие опору, фундамент для полноценного
восприятия и понимания новых знаний. Но воспроизведение опорных знаний должно
сопровождаться их совершенствованием: дополнением неполных, углублением
поверхностных, расширением узких, исправлением ошибочных знаний.
Внутрипредметные в межпредметные связи также осуществляются с целью достижения
обобщения и систематизации широкого круга знаний. Межпредметные связи
способствуют усвоению системы знаний об объектах, которые отдельными элементами
изучаются по различным учебным дисциплинам.
) Особенности инноваций на уроке.
Урок - традиционная ячейка образовательного
процесса. Поскольку урок отражает всю систему обучения, включающую её
философские, педагогические и дидактические основания, то принципы инноваций
подходят к проектированию и реализации педагогических новшеств по отношению к
уроку так же, как и к системе образования в целом.
В то же время, урок имеет особенности, которые
определяют характер инноваций. Инновационным изменениям подлежат:
само понятие «урок», его изменение по отношению
к современной ситуации;
типология урока (новые типы уроков способны
перевести его в качественно иной вид, например, уроки-проекты,
уроки-погружения);
методологические элементы урока: смысл, цели,
роль в общем образовании;
методические структурные элементы урока: задачи,
содержание, средства, формы и методы обучения, система контроля, оценки,
рефлексии;
форма подготовки и проведения урока учителем,
например, с помощью ресурсов и технологий Интернет.
Перечислим педагогические новшества, относящиеся
к изменению урока, которые лежат в русле парадигмы человекосообразного
образования.
Смена целевой установки урока «дать образование»
на установку «образование как самореализация».
Смена принципа репродуктивного усвоения
материала на принцип продуктивности, предполагающего основную задачу учителя: определить
при подготовке урока, что именно, какой образовательный продукт создадут
ученики в ходе урока.
Переход от общего образования для всех к
реализации индивидуальной образовательной траектории каждого ученика. Для этого
применяется ряд педагогических новшеств: индивидуальное целеполагание учеников,
индивидуальные образовательные программы и их утверждение, личностная
диагностика и мониторинг учебной деятельности каждого, индивидуализированная
система диагностики и оценки образовательных результатов.
Переход от ЗУНовских ориентиров подготовки и
проведения урока к компетентностному. Включение в план проведения урока
выявление личностной и социальной значимости темы, организацию реального
практического опыта учеников.
Переход от логической структуры урока к
ситуационной. Внедрение в урок или в систему уроков технологии образовательной
ситуации. В результате реализуется внутренняя логика развития учащихся по
отношению к изучаемым вопросам.
Вместо заданий, не предполагающих их
индивидуального решения, вводятся эвристические - открытые задания. Такие
задания не имеют однозначных «правильных» ответов. Любой ответ всегда уникален
и отражает степень творческого самовыражения ученика. Средством инновационного
продвижения данного новшества выступают дистанционные эвристические олимпиады.
Ограниченность содержания урока рамками классных
стен преодолевается с помощью телекоммуникаций и ресурсов Интернет. Участие в
дистанционных курсах, проектах, конференциях - и подготовка к ним - средства
для перехода к открытому, распределенному образованию.
Моноориентированное образование (учеба у одного
учителя в рамках одной методической системы) преодолевается путем введения
технологий распределенного обучения. Очный учитель меняет свои функции в
сторону функций тьютора, координатора образовательного процесса.
Вместо обобщения материала и заранее готовых
выводов урока - внедряется система индивидуальной и коллективной рефлексии -
осознание выполненной деятельности.
Оценке подлежат не столько результаты сравнения
достижений ученика с едиными нормами и критериями, сколько выявление его
собственного образовательного приращения, сравнение его с самим собой [8].
.2.1 Инновационная направленность педагогической
деятельности
Педагогическая инновация - это целенаправленное
нововведение, изменение в сфере образования, вносящее в педагогическую систему
любого уровня новые стабильные элементы (новшества), вызывающие переход системы
в качественно новое состояние.
Нововведение неверно отождествлять с внедрением.
Нововведение - это не просто реализация кем-то и где-то созданного новшества,
но и создание, разработка этого новшества до его реализации или непосредственно
в процессе реализации.
Педагогическая инноватика, в отличие от
педагогики, - молодая наука, сформировавшаяся на стыке философии, психологии,
педагогики, социологии, теории управления, экономики и культурологи. Она
начиналась с движения учителей-новаторов и сегодня ещё находится на стадии
становления и эмпирического поиска. Интерес к проблеме инноваций в сфере
образования получил отражение в создании соответствующих организаций и центров
[9,10].
Стимулирует инновационную направленность
педагогической деятельности в первую очередь, конечно, теми
социально-экономическими преобразованиями, которые происходят в обществе и в
самой системе образования, той обновленной образовательной политикой, которая
заявлена в Конституции РФ и Законе «Об образовании». Суть этой политики
заключается в усилении гуманитаризации содержания образования, непрерывном
изменении объема, состава учебных дисциплин, введении новых учебных предметов;
изменении характера отношений учителей к самому факту освоения педагогических
новшеств, проявлении ими избирательного, исследовательского характера к
появлению и созданию педагогических новшеств, воплощении их в повседневную
практическую работу с учениками [11]. В школьной практике чаще всего
встречаются такие пути обновления школы, как:
развитие своего собственного опыта;
заимствование опыта, созданного другими;
освоение научных разработок;
метод проб и ошибок (на уровне осмысленном,
целеустремленном);
собственно эксперимент.
От момента зарождения идеи до ее воплощения в
практику проходит ряд этапов: обоснованное предложение о путях решения
образовательной или воспитательной задачи; широкое испытание данной методики;
ограниченная или массовая реализация; полное освоение. На этом процесс не
кончается. Разработки и развитие инноваций идут до тех пор, пока не будет
найден новый принципиальный подход к решению проблемы. Такой подход позволяет
отслеживать развитие выдвинутых идей и предложений, судить об их практической
эффективности, масштабах нововведения. Первоначальный вариант нередко
забывается, потом вновь возрождается, приобретает новые черты, соответствующие
новым целям и требованиям времени. Для освоения новых форм работы требуются
определенное время, соответствующее научное обеспечение, подготовка учителей,
адаптация коллектива к работе в новых условиях[12].
Характер применения новшества в различных
условиях зависит от квалификации учителей, уровня обученности и воспитанности
школьников, образа жизни. При одинаковых психолого-педагогических целях
реализация идеи требует разных подходов, методов, нередко дополнительных
исследований. Необходимо приспособить данное новшество к конкретной среде,
преодолеть известную инерционность существующих организационных структур.
Особенно сложно реализовать инновации, затрагивающие взаимоотношения между
людьми. Возникает сопротивление, появляется стремление свести возможные
изменения к минимуму. Мало шансов на успешное использование в практике
нововведений, которые существенно затрагивают сложившуюся систему управления
наукой и народным образованием. Значительно, большие перспективы у тех, кто
хочет лишь частично заменить старые методы и подходы, усовершенствовать
отдельные стороны учебно-воспитательного процесса [13].
Следует отметить, что сами по себе инновации
важны в тех случаях, когда традиционные способы решения проблемы не дают
положительного эффекта вне зависимости от квалификации учителей. Проверенный
опыт, дающий постоянные положительные результаты, надо сохранять, а не заменять
на новый только потому, что он был ранее известен [14].
.2.2 Инновации в химическом образовании
Становление химии связано с борьбой двух
подходов к пониманию целей образования. Даже сейчас ещё не исчерпана аргументация
у противников преподавания химии в школе как отдельного предмета.
Первый, который С. И. Гессен назвал формальным,
считал, что целью образования является развитие ребёнка [15]. Сторонники
формального образования полагают, что его целью не может быть простое
приобретение сведений. Всякая информация, с одной стороны, быстро устаревает, а
с другой - легко утрачивается учащимися. К тому же сведения так разнообразны,
что практически невозможно выделить наиболее значимые из них для ученика, так
как сложно определить, что именно в будущем ему пригодится. Следовательно, как
полагают сторонники формального образования, его задачей должно быть формальное
развитие способностей, мышления, так как развитый человек всегда сможет
самостоятельно приобрести необходимые ему в жизни сведения. В связи с этим
акцент делается на предметах, развивающих логику, как, например, математика, и
дисциплинирующих ум, таких как языки (основа классической гимназии). На
практике этот метод реализуется в заучивании определений понятий, постоянными
упражнениями, решением задач с освоением его алгоритмов и формул.
Согласно другому направлению, получившему
название реального, или материального образования, формальное образование
является в сущности воспитанием послушного ума, мыслящего готовыми схемами по
преподанным ранее правилам. Поскольку знания, по которым формируется живое
мышление, приобретаются из опыта, то школа должна дать ученикам ответ на те
вопросы, которые выдвигает окружающая их жизнь, сообщить необходимые ему
сведения, обладая которыми человек сможет ориентироваться в жизни и быть
полезным членом общества. Поэтому акцент должен быть сделан на изучении
естественнонаучных дисциплин. В центре внимания - учебник как книга для чтения,
которая должна быть хорошо издана, написана живым, интересным языком, снабжена
иллюстрациями, способствующими лучшему запоминанию. Задача учителя состоит в
поиске и использовании специальных приёмов, позволяющих усилить наглядность
материала, содержащегося в учебнике, вести контроль за усвоением сообщённого
знания, глубина которого в этом случае в основном определяется памятью ученика.
По существу эти направления - два взгляда на пути познания: через чувственное
восприятие и с помощью силы мышления. Естественно, что отмеченные дидактические
направления являются крайними и никогда в чистом виде не использовались,
поскольку невозможно отделить восприятие, усвоение и осмысление знаний от
развития мышления. Эти две позиции - лишь условные границы, между которыми
происходили колебания методических исканий универсального метода обучения,
отвечающего требованиям времени [16].
Совершенно естественно, что при медленных темпах
социального развития знаний и способов деятельности, приобретённых в годы
обучения, было достаточно для жизни целого поколения. Однако быстрый рост
производства и науки с середины XIX века поставил перед системой образования
проблему: как обучать тех, кто постоянно должен переучиваться? При этом
возникла дилемма - куда качнуть маятник поиска методики обучения: к развитию
плохо информированного ума или ума, перегруженного информацией? Химия, начиная
с XIX века, вышла на лидирующее место среди естественных наук и вместе с ними
осуществила экспансию своих идеалов во все области человеческого существования,
задала новое видение мира, изменила его. Она стала неотъемлемой частью мировой
культуры, необходимым условием её существования и воспроизводства. Этим
определилась и её роль в формировании современного человека, его мировоззрения
и стереотипов поведения. Поэтому стало очевидным, что без усвоения химической
культуры нельзя обладать статусом члена современного общества. Школа опытных
наук, к которой относится и химия, благодаря своему научному методу даёт
прекрасное средство для развития внешних чувств и активной логики (способности
расчленять и группировать факты, умение восходить от подмеченных связей к
закону явлений, объяснять новую форму явлений с помощью ранее открытых
закономерностей), дисциплинирует ум в выработке правильных навыков умственной
работы, позволяющих верно воспринимать и обобщать окружающую действительность.
В рамках обучения химии родился совершенно новый
подход к методике преподавания. Его стиль был предложен лидерами химической
науки. Чтобы современному преподавателю было легче понять этот факт, следует
напомнить, что на протяжении большей части развития истории химии научная
работа учёных не отрывалась от их преподавательской деятельности. Более того,
научные искания в данном случае лишь дополняли в свободное время работу
химиков-преподавателей. Достаточно вспомнить Д. И. Менделеева, который
разработал периодический закон не как следствие специально поставленного
научного исследования, а в результате совершенствования логики преподавания
курса химии, работая над учебником «Основы химии».
Кратко рассмотрим методические инновации,
возникшие в практике преподавательской деятельности великих химиков, о которых
свидетельствуют как написанные ими учебники, так и работы, посвящённые изучению
их творчества [17].
М. В. Ломоносов (19.11.1711 - 15.04.1765),
по-видимому, был первым, кто в истории преподавания химии положил в основу
методики преподавания принцип единства исследования и преподавания. В 1748 году
он создал научную химическую лабораторию, в которой проводил занятия. Подобную
идею - совмещать научное исследование и преподавание химии - в 1825 году смог
реализовать Ю. Либих, чем заложил новый подход к университетскому образованию,
который сейчас называется обучающе-исследовательским принципом [18].
Инновационным в методической системе Ломоносова был и междисциплинарный подход:
соединение физики и химии в едином предмете. Учёный первым прочитал курс
«Введение в истинную физическую химию». Он был одним из первых, кто
придерживался точки зрения, что в изучении химических явлений надо использовать
количественный подход и применял для объяснения физико-химических явлений
атомистические представления. Ещё одной важной ломоносовской инновацией было
указание на неразрывную связь науки с производством. Особенно ярко эта мысль
выражена им в «Слове о пользе химии»: «Науки художествам путь показывают;
художества происхождение наук ускоряют» [19].
С именем Антуана Лавуазье (26.08.1743 -
8.05.1794) связана первая научная революция, в результате которой в химии
утвердился количественный метод исследования, появился первый фундаментальный
закон - закон сохранения массы веществ, была создана рациональная химическая
номенклатура, которая по существу сохранилась до настоящего времени. А.
Лавуазье написал «Учебник элементарной химии» (1784), в котором были закреплены
новые преобразования в химической науке. Во введении он объяснил важность
разработанной химической номенклатуры: «Слово должно рождать представление,
представление должно изображать факт… как бы ни были достоверны факты, как бы
ни были правильны представления, вы_ званные последними, они будут выражать
лишь ошибочные впечатления, если у нас не будет точных выражений для их
передачи» [20]. В этом учебнике своё начало берёт ряд важнейших методический
принципов. В 1784 году А. Лавуазье декларирует их следующим образом: «...идти
от известного к неизвестному и располагать химические факты и истины в том по
рядке, который наиболее способствует их пониманию для начинающих»[21]. План
построения такого курса носит определённо выраженный логический характер:
преподавание начинается с наблюдений и опытов, накопление фактов предшествует
знакомству с выводами из них, восхождение начинается с простых элементов к
более сложным, не делаются никакие выводы, которые бы не вытекали бы из
непосредственного опыта и наблюдения. Сначала создаются представления о
веществах и явлениях, а потом им даются названия и определения, химические
факты и истины сопоставляются в таком порядке, который был бы способен как
можно более облегчить начинающим ознакомление с ними. Основное требование к
преподаванию - добиваться доступности и ясности и избегать всего, что могло бы
и отвлекать внимание.
Будучи последовательным сторонником
эмпирического индуктивного подхода как в науке, так и в обучении, Лавуазье не
использовал в своём учебнике теоретических схем для объяснения фактов. Он
избежал и атомистических представлений и не дал спорных определений химического
элемента. Это была дань научным традициям того времени - избегать схоластики,
всякого рода гипотетических утверждений, не подтверждённых фактами.
Английский учитель физики Дж. Дальтон (6.09.1766
- 27.07.1844) в плане умозрительных гипотез был гораздо смелее. Создавая
химическую атомистику, он не видел самих атомов и не мог измерить их массы, но
он предложил язык - систему понятий и терминов, - на котором, стало возможно вести
обсуждение вновь установленных фактов, закономерностей, обобщённых
стехиометрическими законами. Только после того как химический элемент приобрёл
структурную индивидуальность в виде ограниченного в пространстве атома,
наделённого определённой массой, химическое соединение представилось как
упорядоченная специальным образом комбинация определённого и всегда постоянного
числа атомов. При таком условии состав соединения можно было уже моделировать,
изображая на бумаге символы элементов атомов. Дж. Дальтон предложил первые
рациональные химические формулы, отражающие химический качественный и
количественный состав соединений (заметим, что первые формулы веществ
использовались ещё в эпоху алхимии, но они не основывались не на какой-либо
теории, а были лишь символами определённых веществ).
Следующий шаг в развитии языка химии, на котором
не только можно хранить, но и транслировать химическую информацию в учебной
деятельности был сделан Й. Я. Берцелиусом (20.08.1779 - 7.08.1848). В 1818 г.
он предложил обозначать символы химических элементов первыми буквами их
латинских названий. Этой символикой мы пользуемся до сих пор. Учёный впервые
применил для определения классов химических соединений приставки, суффиксы и
окончания. Уточнённые им значения атомных масс элементов позволили правильно
отражать в формулах их стехиометрические отношения. Для этого Берцелиус ввёл
числовые индексы. Всё это позволило не только отражать состав вещества, но и
перейти к моделированию химических реакции в виде уравнений.
В истории учебного предмета «Химия», к
сожалению, не нашла должного отражения роль, которую сыграл как в становлении
химической науки, так и в её преподавании итальянский профессор химии Станисло
Канниццаро (13.07.1826 - 10.05.1910). А между тем его заслуга состоит в том,
что в химии появился закон Авогадро, произошло чёткое разграничение основных
понятий химии и в учебниках химии появилось атомно-молекулярное учение.
Проанализировав в своей работе «Конспект курса химической философии» развитие
атомно-молекулярных воззрений от Дж. Дальтона и А. Авогадро до Ш. Жерара и О.
Лорана, Канниццаро на основе закона Авогадро, чётко разграничил понятия «атом»,
«молекула» и «эквивалент» и сделал рекомендации, как определять атомные веса
элементов и как составлять формулы веществ, зная их молекулярный вес
(основываясь на данных о теплоёмкостях металлов и на плотности пара, а частично
и на химических соображениях). Свой подход Канниццаро изложил в брошюре,
которую лично раздал всем участникам Международного конгресса химиков в Карлсруэ,
открывшегося 3 сентября 1860 года. На этом конгрессе все его предложения были
приняты единодушно. С этого времени атомно-молекулярное учение и
соответствующий ему химический язык получили всеобщее признание. На заседании
Лондонского химического общества 30 мая 1872 года С. Канниццаро прочёл лекцию в
честь Фарадея на тему «О пределах и о форме теоретического преподавания химии»
[19]. В ней он доказал, что атомно-молекулярное учение должно быть предметом
изучения и по химическим, и по педагогическим соображениям, которые заключаются
в следующем:
) атомно-молекулярная теория есть «введение,
подготовление, основание изучения превращений веществ», что составляет
«настоящий предмет нашей науки»;
) химические законы (законы определённых и
кратных пропорций, законы простых и сложных эквивалентов и объёмов газов) могут
быть поняты надлежащим образом только с помощью атомно-молекулярной теории;
) атомно-молекулярная теория необходима для
уяснения происхождения «значения, смысла и употребления химических знаков, формул
и уравнений»; 4) атомно-молекулярная теория способствует развитию умственных
сил учащихся;
) усвоение атомно-молекулярной теории позволит
учащимся следить за развитием науки.
Сейчас, даже сложно представить, как следует
построить методику изучения химического языка, обучения писать формулы и
уравнения, не сформулировав основные положения атомно-молекулярного учения. Тем
не менее, даже в первом издании «Основ химии» Д. И. Менделеева об атомах
упоминается только в десятой главе в связи с рассмотрением атомистической
гипотезы строения вещества, рассмотрев до этого без атомистических
представлений и основные явления, и основные законы химии, и свойства
растворов, и свойства водорода, кислорода и их соединений.
О важной методической роли атомно-молекулярного
учения на этапе начального изучения химии указывал и В. Оствальд, который хотя
и был противником атомистических представлений в науке (экспериментально в то
время не подтверждённых), однако, в своём учебнике для школьников «Школа химии»
(1904) он использует представление об атоме, «без которого хотя и можно
обойтись, но которое удобное средство, для того чтобы облегчить понимание
эмпирических данных» [22].
.3 Заключение к обзору литературы
В процессе обучения химии у учащихся могут
формироваться устойчивые стереотипы мышления, что можно объяснить
необходимостью использовать на этапе совершенствования знаний репродуктивных
заданий, а также широким применением тестовых форм контроля, требующих
стандартизированных ответов на стандартизированные задания. Таким образом,
формирование у школьников стереотипов мышления - процесс естественный. Основная
проблема заключается в обучении их осмыслению и переосмыслению сформированных
стереотипов.
Одной из причин неспособности школьников к
осмыслению и переосмыслению стереотипов мышления можно считать плохо развитые
способности к рефлексии вообще. Обучение школьников решению творческих
экспериментальных задач по химии позволит развить у них способности к рефлексии
и, как следствие, сформировать критическое мышление [23].
В учебных программах не используется
научно-практический потенциал химической науки. В результате выпускники школ
получают мозаичное представление о природе, не умеют интегрировать разрозненную
информацию, применять полученные знания в повседневной жизни и профессиональной
деятельности.
Химическое образование необходимо для создания у
школьников отчетливых представлений о роли химии в решении сырьевых,
энергетических, продовольственных, медицинских проблем человечества.
По современным требованиям теперь необходимо
иметь не только сами знания, но и знание о том, где и как их применять. Но еще
важнее умение добывать, интегрировать или создавать новую информацию. И то, и
другое, и третье - результат деятельности, а деятельность - это решение задач
[24].
При использовании межпредметных заданий
химико-физического содержания способствует формированию у учащихся
интегративных умений проводить сравнительный анализ, устанавливать
причинно-следственную связь, синтезировать и обобщать знания, решать задачи
различными способами, грамотно пользоваться химическим и физическим языками [
25 - 27].
Глава 2. Экспериментальная часть
В специализированных химических классах
приемлемо шире использовать графические методы. Они наглядно демонстрируют,
почему предлагаемая задача имеет единственное решение, в каком случае этих
решений будет множество или, наоборот, решение невозможно.
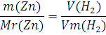
Пример 2.1.1. Смесь магния с цинком массой 10 г
растворили в соляной кислоте. В реакции выделилось 5,51 л водорода (н.у.).
Сколько г цинка содержала смесь?
Решение:
Запишем уравнения реакций взаимодействия
металлов с кислотой:
+2HCl→MgCl2+H2 (2.1);+2HCl→MgCl2+H2
(2.2).
Предположим, что в смеси содержится 10 г Mg,
тогда в данной смеси веществ будет протекать только реакция (2.1). Зная
молярную массу металла и значение молярного объема одного моль вещества,
находим объем водорода выделившегося в результате этой реакции. Составим
пропорцию:
Или
Решив, пропорцию получается ответ 9,33 л
водорода выделилось бы в том случает если бы в смеси металлов было 10 г магния.
Это противоречит данному условию задачи, так как объем выделившегося газа
меньше чем 9,33 литра.
Предположим, что в смеси содержится 10 г цинка,
тогда в данной смеси веществ будет протекать только реакция (2.2). Аналогично
предыдущему примеру рассчитаем объём выделившегося водорода в результате
протекания реакции (2.2). Составим пропорцию:
Или
Проведя расчеты, мы получаем следующий ответ:
3,45 л водорода выделиться, если в смеси будет содержаться 10 г цинка и 0 г
магния. Данный ответ снова противоречит условию задачи.
Объём выделившегося газа по условию задачи это
среднее значение между двумя крайними случаями рассмотренными выше:
,45л(10г Zn+0г Mg)<5,51(xг Zn+ у г
Mg)<9,33(0г Zn+ 10г Mg).
Данную задачу можно решить следующим графическим
способом:
Рис.2.1. Диаграмма зависимости смеси металлов от
объёма выделявшегося газа
Горизонтальную линию диаграммы обозначаем как
шкалу массы металла цинка, а вертикальная линия - шкала объёма выделявшегося
газа. Точка на левой шкале объёма выделившегося водорода отвечает такому
составу смеси, в которой содержаться 10 г магния и 0 г цинка, а точка на правой
шкале - отвечает противоположному составу смеси. Соединив эти точки, мы получим
прямую, которая указывает на зависимость состава смеси металлов от объема
выделившегося газа в данной системе. В областях находящихся выше и ниже данной
прямой данная задача физического смысла не имеет, а наклон прямой указывает на
то, что данная зада имеет только одно решение.
По условию задачи известно, что объём газа
составляет 5,51 л, найдя на вертикальной шкале данное значение, проводим
перпендикуляр от точки до пересечения с кривой, а затем опускаем перпендикуляр
на шкалу масс.
Ответ: 6,5 г.
Мы предлагаем при решении некоторых задач
использовать метод ненормированных массовых, молярных и объемных долей. Этот
метод может быть успешно использован в математических классах. Нормированные
доли в сумме равны единице. Однако иногда удобно использовать и ненормированные
доли, сумма которых единице не равна.
Пример 2.1.2. В смеси веществ А, В и С массой 50
г массовые доли равны: wА = 0,250, wВ
= 0,450 и wС = 0,300. К смеси прибавили 15 г вещества D.
Каковы массовые доли компонентов в образовавшейся смеси?
Решение:
В условии задачи указаны нормированные массовые
доли:
,250 + 0,450 + 0,300 = 1.
Прибавление вещества D уменьшает wА,
wВ
и wС,
поэтому доли теряют свойство нормированности, однако отношение между долями
остается прежним.
Массовая доля вещества D равна wD
= 15/65 = 0,231. Учитывая, что отношение чисел 0,250, 0,450 и 0,300 в новой
смеси остается прежним, запишем условие нормировки старых долей:
wD + k(wА + wВ
+ wС)
= 1,
Или
,231 + k(0,250 + 0,450 + 0,300) = 1.
Из уравнения находим нормировочный коэффициент:
k = 0,769. Умножая его на wА, wВ
и wС,
получим нормированные искомые величины: wА = 0,192; wВ
= 0,346; wС = 0,231; wD = 0,231. Легко
проверить, что вычисленные wi являются нормированными
долями.
Ответ: wА = 0,192; wВ
= 0,346; wС = 0,231; wD = 0,231.
Школьная химия практически не использует
квадратные уравнения. Однако химические задачи, решаемые с помощью квадратных
уравнений, весьма необычны. Составление же квадратных уравнений требует от
ученика определенной математической культуры.
На кафедре физической химии сделано несколько
шагов в этом направлении [28].
Пример 2.1.3. При взаимодействии 25,7 г металла
с кислотой выделился водород, объем которого при н.у., измеренный в литрах,
оказался численно равным молярной массе этого металла, выраженной в г/моль.
Определите этот металл.
Решение:
Запишем схему реакции:
Ме + НА → МеА + Н2.
По закону эквивалентов можно записать следующую
пропорцию:
Молярная масса металла, из условия, и объёма
выделившегося водорода в результате взаимодействия веществ численно равны.
Обозначим эти величины за x и выразим неизвестное:
Находим значение x=23,99. Объем выделившегося
водорода приблизительно равен 24 л. Металл имеющий молярную массу равной 24
г/моль - магний.
Ответ: металл Mg.
Возможно использование аппарата алгебраических
неравенств. Задачи, решение которых требует обращения к аппарату неравенств,
под силу ученикам с высоким уровнем математической культуры. Особенна и
интерпретация решения этих задач, т. к. решение обычно заключено в определенных
числовых пределах.
Пример 2.1.4. В оболочку воздушного шарика
массой 1 г поместили 4 г гидрида лития и воду. Шарик немедленно
герметизировали. Какова должна быть масса воды, чтобы шарик полетел? Опыт
проводится при н. у. Считать, что давление внутри шарика равно атмосферному.
Решение:
Запишем реакцию взаимодействия воды и гидрида
натрия:
+ H2O = LiOH + H2↑.
Пусть вода взята в недостаточном количестве, то
есть полностью реагирует с гидридом лития. Поскольку n(LiH) = 0,5 моль, то и
n(H2O) < 0,5 моль, или m(H2O) < 9 гр. При этом
где х - масса взятой воды (х<9 гр). Объем
шарика при н. у.:
Масса воздуха вытолкнутого шариком:
Условие полета шарика (закон Архимеда):
Или

,
Откуда х > 8,26 гр. Поскольку х
> 9 гр, первое условие выглядит корректным.
Пусть вода взята в избытке, тогда
весь гидрид лития реагирует. При этом
(H2)= n(LiH) = 0,5 моль. объем шарика
при н. у.:
Масса воздуха, вытолкнутого шариком:
Условие полета шарика:


,
Масса воды больше 9 гр, то есть и
второе условие корректное.
Ответ: 8,26 гр < m(H2O) < 9,45
гр.
.2 Разработка задач нового поколения
Большие возможности для разработки
задач нового поколения дает направление, связанное с расчетом масс и массовых
долей электронов в веществе. Несколько шагов на этом пути уже сделано [29].
Построение такого класса задач основано на том, что массовая доля электронов наибольшая
в водороде (главный изотопный нуклид 1Н не содержит нейтронов) и она постепенно
уменьшается по мере увеличения порядкового номера химического элемента из-за
прогрессирующего роста числа нейтронов в ядре. Например, в ядре атома фтора - 9
протонов и 10 нейтронов, поэтому массовая доля электронов здесь намного ниже,
чем в атомах 1Н.
Рис. 2.2. Иллюстрация зависимости для смеси двух
веществ заданного состава.
Те же возможности предоставляет набор изотопов
водорода. Понятно, что переход от протия 1Н к дейтерию 2Н, а тем более к тритию
3Н снижает массовую долю электронов соответственно в 2 и в 3 раза.
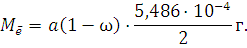
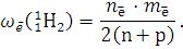
Пример2.2.1. Массовая доля
электронов в смеси газообразных протия 
и дейтерия 
составляет 4,064.10-4. Какова
молярная масса этой смеси? Каково содержание протия в смеси?
Решение:
Выберем массу смеси, равную, а г.
Пусть массовая доля 
будет ω, тогда доля 
будет (1-ω). Следовательно,
масса 
равна, аω г, а масса 
- а(1-ω) г. Формула
для расчета массовой доли электронов в молекуле протия имеет следующий вид:

5,486·10-4 - относительная
электронная масса.
Рассчитаем массовую долю электронов
в молекуле протия:
Массовая доля электронов в молекуле
дейтерия:
Масса электрона в 

г;
масса электрона в 
:
Массовая доля электронов в смеси
газов будет рассчитываться по формуле:
Или
Из последнего уравнения находим ω=0,48. Вычислим
молярную долю 
в смеси:

= 0,65.
Молярная масса смеси газов:
Или
Ответ: 2,7 г/моль; 0,65 (мольная
доля).
Как вариант развития предлагаемого
направления могут быть разработаны задачи, требующие расчета массовых долей
нейтронов или протонов в веществе. Идея конструкции условия задачи та же: по
мере роста порядкового номера химического элемента массовая доля протонов
падает, а нейтронов повышается.
Другое направление - развитие
заданий, основа которых состоит в расчете дефекта массы по уравнению Эйнштейна
E = mc2. Понятно, что здесь должны рассматриваться ядерные реакции и
зависимость энергии упаковки нуклонов от массового числа нуклида. Последняя
информация доступна, она может быть найдена в соответствующих справочниках. Шаг
в этом направлении сделан в [30].
Пример 2.2.2. Рассчитайте точное
значение атомной единицы массы на основе значений масс протона, нейтрона,
электрона и энергии упаковки нуклонов в ядро углерода-12. Сравните полученную
величину с точным значением: 1 а.е.м. = 1,66056.10-27 кг. Какая величина не
учтена нами при вычислениях?
Решение:
По определению
Это табличное значение.
Для того, чтобы решить эту задачу
необходимы некоторые справочные данные, такие как:
Масса протона: mp = 1,672622·10-27
кг;
Масса нейтрона: mn = 1,674927·10-27
кг;
Масса электрона: me = 9,10938·10-31
кг.
Масса атома углерода без учета
дефекта массы:
Энергия упаковки нуклонов в ядро
атома углерода приблизительно равна:
Полная энергия упаковки в ядре атома
углерода равна:
Дефекты массы ядра:
Масса атома углерода с учетом
дефекта массы:
Отсюда можем найти 1а.е.м.:
Это несколько больше табличного
значения. Причинами этого служат:
Приближенное значение энергии
упаковки нуклонов;
Не учтено, что при соединении 6e- с
ядрами тоже происходит дефект массы.
Ответ: 1,66086·10-27кг.
В школьном курсе физики изучается
понятие теплоемкости вещества. Есть на эту тему и некоторое количество
физических задач. Однако школьная химия этим понятием не пользуется. Для
развития межпредметных связей есть возможность и целесообразность включения
этого понятия и в химические задачи. В этом направлении тоже сделан один шаг
[31].
Удельная теплоемкость - физическая
величина, численно равная количеству теплоты, которое необходимо сообщить телу для
того, чтобы изменить его температуру на 10С, при том, что масса этого тела 1
кг.
Пример 3.2.3. Растворимость бромата
серебра AgBrO3 (в г на 100 г воды) в интервале температур от 5 - 800С
подчиняется уравнению:

. (2.3.)
К насыщенному раствору AgBrO3,
массой m1 = 1кг, взятому при температуре t1 = 800C прибавили чистого льда
массой m2 = 100 г и температурой t2 = 00C. Будет ли образовываться осадок
AgBrO3 после выравнивания температуры? Теплоемкостью сосуда, где проводится
опыт, пренебречь.
Решение:
Рассчитываем массу AgBrO3 в
растворе.
Подставляя в уравнение (2.3.)
температуру раствора найдем его растворимость: S1 = 0,93 (г на 100 г воды).
Отсюда находим содержание растворенного вещества в исходном растворе по
уравнению 
.
Составим уравнение теплового баланса
для данной системы:
учтем, что tл = 00С и решим
уравнение относительно tx, получаем:
По формуле (2.3.) находим
растворимость AgBrO3 при данной температуре. Sx = 0,641 (г на 100 г воды).
Тогда mx’ = 7,05 (г).
Заключаем, что m’1 > m’x.
Следовательно, осадок выпадет.
Ответ: осадок выпадет.
Пример 2.2.4. Растворимость
карбоната лития Li2CO3 (в г на 100 г воды) в интервале температур от 0 - 750С
подчиняется уравнению

(2.4)
К насыщенному раствору Li2CO3, масса
которого равна m1=500 г взятому при температуре t1 = 700C прибавили чистого
льда массой m2 = 100 г и температурой t2 = 00C. Будет ли образовываться осадок
Li2CO3 после выравнивания температуры? Теплоемкостью сосуда, где проводится
опыт, пренебречь.
Решение аналогичное примеру 3.3.
Ответ: осадок выпадет.
Пример 2.2.5. Растворимость
гидроксида кальция Ca(OH)2 (в г на 100 г воды) в интервале температур от 15 -
800С подчиняется уравнению:

(2.5.)
К насыщенному раствору, масса
которого равна m1=700 г, взятому при температуре t1 = 800C прибавили чистого
льда массой m2 = 50 г и температурой t2 = 00C. Возможно ли образование осадка
Ca(OH)2 после выравнивания температуры? Теплоемкостью сосуда, где проводится опыт,
пренебречь.
Решение аналогичное примеру 3.3.
Ответ: осадок выпадет.
Немалые возможности может дать
«Электролиз водных растворов и расплавов», тем более что в школьном курсе эта
тема представлена слабо. Варианты развития темы: вывод формулы вещества, подвергнувшегося
электролизу; расчеты масс веществ образовавшихся (разложившихся) при
электролизе, если на аноде или катоде протекало сразу две реакции.
Пример 2.2.6. Синтез Кольбе - это анодное окисление аниона
карбоновой кислоты на инертном материале, в результате чего образуется
предельный углеводород; например,
CH3COO- ® C2H6 + 2CO2 + 2e-.
Раствор ацетата натрия подвергли
электролизу током 2 А в течение 4 час. На инертном аноде выделилось смесь газов
объем, которой при р = 1 бар и t = 30оС, составил 4,25 л. Какая часть анодного
заряда затрачена на окисление воды?
Решение:
Общее количество вещества газов:
= pV/RT = 0,169 моль.
Электрический заряд, участвующий в
электролизе:
= It = 2,88.104 Кл.
Помимо синтеза Кольбе, на аноде
протекало окисление воды:
H2O → O2 + 4H+ + 4e-.
Пусть на этот процесс затрачено х
Кл, тогда на синтез Кольбе будет израсходовано (2,88·104 - х) Кл. Перейдем от
электрических зарядов к количеству вещества e-, поделив заряды на постоянную
Фарадея:
υ1 = x/F моль
и
υ2 = (2,88·104 - х)/F моль.
Из стехиометрии анодных процессов
следует, что
υ(О2) = 1/4υ1 = x/4F
моль,
υ(С2Н6) +υ(СО2) = 3/2υ2 = 3.
(2,88·104 - х)/2F моль.
Уравнение на х: /4F + 3. (2,88·104 -
х)/2F = 0,169,
откуда х = 2,15.104 Кл.
Искомая величина:/Q = 0,75.
Ответ: 75 %.
.3 Развитие демонстрационного
эксперимента
Широкие возможности для развития
школьного демонстрационного эксперимента предоставляет электрический ток. С его
помощью можно:
а) Получать в микроколичествах
простые вещества: водород, кислород, хлор, бром, йод, некоторые металлы;
б) Наблюдать миграцию окрашенных
ионов в тонких слоях растворов электролитов или на фильтровальной бумаге,
смоченной «фоновым» раствором;
в) Используя универсальную
индикаторную бумагу, демонстрировать реакцию нейтрализации кислоты щелочью;
г) При целенаправленной встрече
определенных ионов наблюдать ряд цветных реакций;
е) Показывать отличие
вещества-электролита от неэлектролита, сильного электролита от слабого (по
электропроводности);
ж) Демонстрировать изменение рН
прикатодной и прианодной областей раствора электролита в процессе его
электролиза.
Фоточувствительный слой черно-белой
негативной фотопленки может стать удобным материалом для демонстрации:
а) Зависимости скорости химической
реакции от концентрации реагента (на примере процесса проявления или
фиксирования фотослоя);
б) Зависимости скорости реакции от
температуры (на примере тех же процессов);
в) Влияние кислотности среды на
скорость реакции (на примере проявления фотослоя).
Порошковая сера, добавленная в
реакционную среду «металл/ кислота», может дать информацию о том, какой водород
выделяется при саморастворении металла: атомарный или молекулярный (по запаху).
.4 Интерпретация некоторых положений
химии
Развитие темы «Почему «царская
водка» растворяет золото». Хорошо известно, что компоненты «царской водки» -
НСl и НNO3 - на него не действуют. Основа развития - окислительная способность
ионов NO3- и комплексообразование ионов Au3+ c ионами Сl-.
Развитие темы «Растворение металлов
в азотной кислоте». Можно сделать попытку интерпретировать восстановление
азотной кислоты до NO2, NO, N2O, N2, NH3,… на основе коррозионных диаграмм.
Глубина восстановления HNO3 будет тем больше, чем ниже потенциал
саморастворения металла. На основе этого принципа, быть может, удастся
объяснить связь природы металла, концентрации кислоты и температуры с
продуктами восстановления азотной кислоты. Есть основания предполагать, что при
определенных условиях азотная кислота может окислять металл ионами водорода.
Развитие темы «Влияние температуры
на скорость реакции». Основа развития - распределение Максвелла-Больцмана для
скоростей молекул идеального газа. С повышением температуры доля «горячих»
молекул быстро растет, что способствует ускорению химического процесса.
Развитие темы (с привлечением
эксперимента) «Растворение меди в соляной кислоте». Медь растворяется в
«дымящей» HCl, хотя в ряду напряжений металлов она расположена за водородом.
Основа интерпретации - комплексообразование ионов Cu+ с ионами Сl-.
Заключение
В ходе данной работы были разработаны
методические рекомендации, использование которых, в школьном курсе химии,
способствует более полному представлению у учащихся химии как науки.
Предполагается что предоставленные научно-методические идеи способствуют
профессиональной ориентации школьного поколения.
Предложены задачи нового класса,
применение которых помогает решить проблему межпредметных связей. Разработанный
класс задач рекомендуется использовать при обучении в профильных классах или
для индивидуального обучения учащимся с повышенным интересом к химии.
При отсутствии химического
эксперимента на уроках химии знания учащихся могут приобрести формальный
оттенок - резко падает интерес к предмету. Предложенные в работе
демонстрационные эксперименты являются простыми в аппаратурном оформлении и
безопасными, могут быть использованы в широком спектре тем.
В работе предложены интерпретации
некоторых положений в химии с целью возбуждения интереса у учащихся к
химической науке. Данные методики можно использовать в проблемном обучении.
Список литературы
Габрусева
Н.И. Примерные программы вступительных испытаний в высшие учебные заведения
Российской Федерации / Н.И. Габрусева, С.В. Суматохин. - М.: Минобразования РФ,
2000. - 247 с.
Лунин
В.В. Профессиональная ориентация школьника / В.В. Лунин, Н.Е. Кузьменко, В.В.
Еремин [и др.] // Химия в школе - 1995. - № 2. - С. 76-80.
Шуртаков
К.П. Мировоззрение и методы его формирования. / К.П. Шуртаков. - Казань, 1989.
- С 36.
Иванов
В.П. Мировоззренческая культура личности (философские проблемы формирования) /
В.П. Иванов. - Киев: Наукова думка, 1986. - С.292.
Кукушкина
Е.И. Мировоззрение, понятие, практика / Е.И. Кукушкина, Е.Б. Логунова - М.,
1989. - 235 с.
Зотов
Ю.Б. Организация современного урока / Ю.Б. Зотов, П.И. Пидкасистый. - М., 1984.
- 167 с.
Дьяченко
В. К. Организационная структура учебного процесса и его развитие / В.К.
Дьяченко. - М.,1989. - 304 с.
Бургин
М.С. Инновации и новизна в педагогике / М.С. Бургин // Журн. Педагогика.
М.,1998. - № 1. - С. 46-54.
Хуторской
А. В. Педагогическая инновация: учебное пособие для студентов высших учебных
заведений, обучающихся по педагогической специальности / А. В. Хуторской. - М.
: Академия, 2008. - 256 с.
Капранова
В. А. Центры педагогических инноваций за рубежом: опыт и направления
деятельности / В. А. Капранова // Педагогические инновации: традиции, опыт,
перспективы : материалы II Международной научнопрактической конференции,
Витебск, 12-13 мая 2011 г. - редкол.: Н. А. Ракова (отв. ред.) [и др.]. -
Витебск: УО «ВГУ им. П. М. Машерова», 2011. - С. 241-243.
Поляков
С.Ф. В поисках педагогической инноватики / С.Ф Поляков. - М., 1989. - 369 с.
Сластенин
В.А. Педагогика: инновационная деятельность / В.А Сластенин, Л.С. Подымова -
М., 1997. - 349 с.
Юсуфбекова
Н.Р. Общие основы педагогических инноваций: опыт разработки теории
инновационного процесса в образовании / Н.Р Юсуфбекова. - М., 1991. - 223 с.
Гессен
С.И. Основы педагогики. Введение в прикладную философию / С.И. Гессен. - М. :
Школа Пресс, 1995. - 448 с.
Мычко
Д.И. Инновационные подходы к обучению в химическом образовании / Д.И. Мычко //
Журн. Хiмiя. - 2011. - № 9. - С. 30-37.
Шаповаленко,
С.Г. Методика обучения в восьмилетней и средней школе / С.Г. Шаповаленко. - М.
: Учпедгиз, 1963. - 668 с.
Дынич
В.И. Обучающей исследовательский принцип в системе многоуровнего
университетского образования / В.И. Дынич [и др.] // Вышэйшая школа, 1997. - С.
38-46.
Ломоносов
М. В. Сочинения: в 2 т. / М. В. Ломоносов. - М., 1951. - Т. 2 : Сочинения. - С.
351.
Лавуазье,
А. Л. Предварительные рассуждения из «начального учебника химии» / А. Л.
Лавуазье // Успехи химии. - 1943. - Т. 12, № 5. - С. 359-367.
Канниццаро
С.О О пределах и форме теоретического преподавания химии / С.О. Канниццаро. -
Киев., 1873. - 282 с.
Оствальд
В. Школа химии / В. Оствальд. - М., 1907. - 209 с.
Денисова
А.В. Решение творческих задач как способ преодоления стереотипов мышления /
А.В. Денисова, П.А. Оржековский // Химия в школе. - 2011. - №6. - С. 32-36.
Кузнецова
Н.Е. Проблемы и тенденция развития общего химического образования / Н.Е.
Кузнецова // Химия в школе. - 2009. - №3. - С. 10-16.
Казарина
Н.И. Профориентация при обучении химии / Н.И. Казарина // Химия в школе. -
2010. - №5. - С. 39-40.
Лямин
А.Н. Использование познавательных заданий в современной школе / А.Н. Лямин,
М.К. Толетов // Химия в школе. - 2009. - №2. - С. 15-19.
Кондрашин
В.Ю. Исследовательский компонент при обучении химии как вариант педагогической
инновации / В.Ю. Кондрашин, А.В. Паршина // Инновационные процессы в области
химико-педагогического и естественного образования: материалы II Всерос. Конф.,
Оренбург, 15-16 нояб. 2012г. - Оренбург, 2012. - 364 с.
Мартыненко
А.Ю. Химические задачи, решаемые с помощью квадратных уравнений: Выпускная
квалификационная работа / А.Ю. Мартыненко; Воронеж. гос. ун-т. - Воронеж, 2014.
- 28 с.
Кузьменко
Н.Е. Химия. 2400 задач для студентов и поступающих в вузы / Е.Н. Кузьменко,
В.В. Еремин // М. : Дрофа, 1999. - 560с.
Златоустовская
Е.О. Методика изучения темы "относительная атомная масса" в
химико-биологическом классе: Выпускная квалификационная работа / Е.О.
Златоустовская; Воронеж. гос. ун-т. - Воронеж, 2014. - 50 с.
Мещерякова
К.А. Новый класс химических задач, использующих понятие теплоёмкость: Выпускная
квалификационная работа / К.А. Мещеряковой; Воронеж. гос. ун-т. - Воронеж,
2012. - 44 с.