Проект производства работ по сооружению земляного полотна
Введение
Железнодорожное строительство планомерно увеличивает основные фонды
железнодорожного транспорта. Сфера ЖД строительства столь обширна, что её
изучают постепенно в ряде курсов, к которым относится и дисциплина
"Технология и механизация железнодорожного строительства". Технология
- наука о способах и средствах рационального ведения производственного процесса
- занимается изучением целесообразных отношений предмета труда (строительных
материалов, изделий, конструкций и т.п.) с орудиями и средствами труда
(машинами, оборудованием, приспособлениями, устройствами и т.д.), в результате
чего достигается намеченный результат производственного процесса.
Задача технологии состоит в том, чтобы обеспечить наилучшее соответствие
применяемой техники способу производства работ, что может быть достигнуто при
детально отработанной, стабильной, определённой по времени, затратой ресурсов и
достигаемому эффекту последовательности операций. Такие последовательности
называют технологическими процессами.
Дисциплина "Технология и механизация железнодорожного
строительства" освещает основные способы и средства производства массовых
строительных работ, выполняемых при сооружении основных объектов железной
дороги.
Железнодорожное земляное полотно - инженерное сооружение, состоящее из
насыпей и выемок, со всеми относящимися к ним устройствами - резервами,
канавами, кюветами, банкетами и пр.
Железнодорожное земляное полотно является одним из важнейших элементов ЖД
пути и должно обладать прочностью и неизменяемостью формы под действием
нагрузок, атмосферных явлений и происходящих в самом земляном полотне
процессов.
Работы по сооружению земляного полотна должны быть комплексно
механизированы и осуществляться на основе проектных документов.
Целью курсового проекта "Проект производства работ по сооружению
земляного полотна" является закрепление теоретических знаний и их
практическое применение в производстве работ по сооружению 3-х километров
участка земляного полотна ЖД.
Проект производства работ (ППР) выполняется на основании рабочих чертежей
- продольного профиля и типовых чертежей - поперечных профилей земляного
полотна.
1. Краткая характеристика участка работ
Протяженность трассы - 3000 м. Участок проектируемой трассы представлен 2
насыпью и 3 выемкой. Протяженность выемок примерно 1700 м., с наибольшими
глубинами 9,72 м. Насыпей соответственно1300 м. Наибольшие глубины насыпи
наблюдаются на отметки 10,81 м. Крутизна поперечного уклона местности на
протяжении всей трассы 1:6.
Часть трассы протяженностью 700 м. проходит через кустарник, 1400 м.
проходит через хвойный лес, 600 м. проходит через луг и 300 м. проходит через
берёзовый лес. 85% участка - прямые, на ПК 142+69 и ПК 160+20 расположены две
кривые с радиусом 1000 и 600 метров, длиной 369 и 427 м соответственно. Так же
имеется пересечение с шоссе на пикете "162"
Грунты на пикетах "0+00" - "15+00" - песок, далее до
конца трассы глина мягкопластичная без примесей.
Срок выполнения всего комплекса работ установлен 55 суток с учетом
времени на подготовительный и отделочный периоды (данные приведены в таблице
2.3).
2. Производство подготовительных работ
Работы подготовительного периода предшествуют началу возведения насыпи
или выемки на конкретном участке работ.
Их состав:
геодезическая подготовка (восстановление и закрепление на
местности оси трассы, границ полосы отвода);
удаление с площади работ леса, кустарника, пней, крупных камней
и других посторонних предметов;
разбивка земляного полотна;
устройство водоотводов для перехвата поступающей к земляному
полотну воды (нагорные канавы с верховой стороны выемок и водоотводные канавы с
верховой стороны насыпей);
срезка растительного слоя грунта (20 см) и заготовка материалов
для закрепительных работ;
срезка плодородного слоя (20 см) с пахотных земель и вывоз его в
предусмотренные рабочей документацией места;
нарезка уступов в основании насыпи в пределах косогоров
крутизной от 1:5 до 1:3 высотой до 2 м и шириной 1-4 м, но не менее ширины
рабочего органа выбранной уплотнительной машины;
устройство землевозных дорог.
Расчистка трассы от леса, кустарника, корчевка пней.
Ширина полосы расчистки (просеки) определяется по поперечным профилям на
участках самой глубокой выемки и самой высокой насыпи.
Ширина просеки для выемки с Hmax. = 9,72 м.пр = 6,3 +(0,4+0,6∙2∙1,5)
∙2+ 2∙2+ 9,72∙2∙1,5+2+0,6+0,6∙1,5∙2+
+9,6+14+1,5+2,4 =75,76 м. ≈ 76 м.
Ширина просеки для насыпи с Нmax. = 8,57 м.
Впр = 6,3 + 6 ∙2 ∙ 1,5 + 2,57 ∙ 2 ∙ 1,75 +
8+0,6+0,6∙1,5∙2+3+10+2∙1,5∙2= 62.695 м ≈ 63 м.
Расчистку площади просеки определяем по формуле:
(табл. 4.1)
Где: Sпр - площадь просеки, Bпр - ширина просеки в метрах, L - длина
расчищаемого участка в метрах.
Общее количество деревьев на участке определяем по формуле:
, шт., (табл. 4.2)
Где: N - общее количество деревьев на участке, n - число деревьев на 1 га
по заданию, Sпр - площадь просеки (табл. 2.2).
На участке возведения земляного полотна, расположен кустарник (700
метров), хвойный лес (1400 метров), луг (600 метров) и березовый лес (300 метров).
На 1 га расположено 340 деревьев (данные приведены в таблице 2.2).
Площадь лесорасчистных работ определим по формуле:
где: Впр - ширина просеки, L - длина расчищенного участка.
Кустарника:
Хвойный лес:
Берёзовы лес:
Объём лесорасчистных работ определяем по формуле:
= n ∙ Sпр,
где: n = 340 число деревьев на 1 га по заданию,
Хвойный лес:= 10,46 ∙340 = 3557 деревьев;
Берёзовы лес:= 2,28 ∙ 340= 776 деревьев;
Объем хлыста 0,39 м3. Кустарник срезаются кусторезами с
двигателями мощностью 79,4 кВт. Затраты труда и машин при срезке кустов на 1га.
приведены в табл. 4.1. Затраты труда и машин на 100 деревьев приведены в табл.
4.2.
Используя данные из таблиц 4.1 и 4.2 определяем потребность трудозатрат
(чел.-ч) и машин (маш.-ч) для вырезки кустарника объемом хлыста 0,39 м3
и корчевки деревьев, разделки и трелевки древесины при диаметре дерева 24-31 см
Расчёт потребности трудозатрат:
Для кустарника:
Для хвойного леса:
Для берёзового леса:
Расчёт потребности машин:
Для кустарника:
Для хвойного леса:
Для берёзового леса:
Всего должно быть занято:
для кустарника 3/2 = 2 человек (машинист 6 разряда и рабочий 4 разряда),
работа выполняется за 1смены.;
для хвойного леса 3070/360 = 8,5 ≈ 9 человек (2 машиниста 6 разряда
и 7 рабочих 4 разряда), работа выполняется за 7смены;
для березового леса 670/79 = 8,48 ≈ 9 человек (2 машиниста 6
разряда и 7 рабочих 4 разряда) , работа выполняется за 2 смены.
Итого трудозатраты в целом по участку составляют 10 маш.-смен.
Валка деревьев с одновременной корчёвкой пней ведётся корчевателями
мощностью 222 кВт. Кустарник и мелколесье срезаются кусторезами с двигателями
мощностью 79,4.
Количество машин и бригад следует определять с учетом того, что
продолжительность подготовительного периода на участке проектирования
ориентировочно должна составлять 15-20% от директивного, но не более 10 суток.
Из условий техники безопасности лесорасчистные работы следует выполнять только
в светлое время суток.
3. Определение объемов земляных работ
.1 Определение границ элементарных участков
Рассматривая продольный профиль участка выданный в составе задания,
фиксируем всех характерных точек, совместно с заполнением граф 1, 2 и 3 в
таблице:
. Целые значения пикетов (кратные 100 метрам).
. Места изменения продольных уклонов существующей поверхности земли.
. Места перелома проектной профильной линии.
. Нулевые места.
. Места изменения крутизны откосов насыпей.
. Начала и концы кривых участков.
Определение положения нулевых мест.
Рис. 1. Определение положения нулевой точки на продольном профиле.
Нулевые точки рассчитываются по формуле:
где: h1и h2 - отметки высот, L - длина пикета (м.).
Нулевое место для пикетов 140-141.
Нулевое место для пикетов 148-149.
Нулевое место для пикетов 155-156.
Нулевое место для пикетов 159-160.
Определение положения мест изменения крутизны откоса насыпи.
Рис. 2. Определение положения мест изменения крутизны откоса насыпи на
продольном профиле.
Положения мест изменения крутизны откоса насыпи рассчитываются по
формуле:
где: h1, h2, h6 и h7 - отметки высот, L - длина пикета (м.), h0 = 6,0
(высота нормальной насыпи).
Положения мест изменения крутизны откоса насыпи, для пикетов 149-150:
Положения мест изменения крутизны откоса насыпи, для пикетов 149-150:
Положения мест изменения крутизны откоса насыпи, для пикетов 154-155:
Положения мест изменения крутизны откоса насыпи, для пикетов 160-161:
Положения мест изменения крутизны откоса насыпи, для пикетов 163-164:
3.2 Определение профильных объёмов земляных работ
В состав профильных объёмов работ входят основные объёмы и
дополнительные:
поправка на косогорность местности,
кюветы в выемках,
объёмы, вызванные уширением основной площадки земполотна в кривых
участках пути и на подходах к большим мостам,
компенсация срезки растительного слоя.
Определение основных объёмов работ.
Объём тела насыпи высотой до 12 м определяется по формуле:
где:
- высота рабочей отметки насыпи на уровне бровки основной
площадки земляного полотна, L -длина участка, m1 - крутизна откосов 1,75, m2 -
крутизна откосов 1,15,
Пример расчета для насыпи ПК150+00 - ПК 151+00:
Объём тела насыпи смежной с нулевым местом определяется по формуле:
Пример расчета для насыпи ПК148+32 - ПК 149+00:
Аналогично определяется объём выемки смежной с нулевым местом:
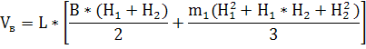
Объём тела выемки глубиной до 6 м определяется по формуле:
Рис. 3. Поперечные профили насыпи и выемки.
Объём тела выемки глубиной до 12 м определяется по формуле:
Пример расчета для выемки ПК146+00 - ПК 147+00:
Где: B - суммарная величина ширины основной площадки и ширины обоих
кюветов поверху. Данная величина выбирается из таблицы [1,12] по ширине
основной площадки. И принимается 10,7 м. Полученные результаты заносим в
таблицу графы 4-5.
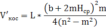
Дополнительный объём из-за косогорности участка.
Он главным образом зависит от сочетания величин крутизны их откосов и
поперечного уклона пересекаемой местности.
На поперечном профиле насыпи, расположенной на косогоре , дополнительный
объём образуется за счет площади заштрихованной части и в общем виде
определяется по формуле:
где: 1:n - крутизна местности, 1:m - крутизна откосов. L - длина участка,
b - ширина основной площадки земляного полотна, Нср. - средняя величина рабочих
отметок насыпи.
При постоянной крутизне откосов:
Пример расчета для насыпи ПК148+32 - ПК 149+00:
Рис. 4. Поперечные профили насыпи на косогоре
Аналогично определяются дополнительные объёмы земляных работ и для выемки
по формуле:
Нср - средняя величина рабочих отметок насыпи.
Пример расчета для выемки ПК148+00 - ПК 148+32:
Полученные результаты заносим в таблицу графы 6-7.
Объём кюветов в выемках и дополнительный объём вызванный уширением
земляного полотна в кривых.
Площадь поперечного сечения кювета определяется шириной его дна и высотой
и крутизной откосов, равной крутизне прилегающего откоса выемки. После
подстановки значений объём кюветов с обеих сторон выемки:
, где m - крутизна откосов. L - длина участка.
Пример расчета для выемки ПК 148+00 - ПК 148+32:
Дополнительный объём работ возникает из-за возвышения наружной рельсовой
нити в кривой:
Нср - средняя величина рабочих отметок насыпи, ∆ - поправка на
уширение L - длина участка. Полученные значения заносим в графы 8,9,10 таблицы.
Пример расчета для выемки ПК 169+52 и ПК 170+00.
Полученные данные заносим в графы 8 ,9 и 10соответственно для насыпей и
выемок.
Поправки на уширение земляного полотна (Δ) в кривых участках, м3/100
м.
Таблица №1.
|
Радиус кривой, м
|
Δ, м
|
Средние рабочие отметки насыпи (выемки), м
|
|
|
1
|
2
|
3
|
4
|
5
|
6
|
7
|
8
|
9
|
10
|
11
|
12
|
|
≥3000
|
0,20
|
20
|
40
|
60
|
80
|
100
|
120
|
140
|
160
|
180
|
200
|
220
|
240
|
|
2500-1800
|
0,30
|
30
|
60
|
90
|
120
|
150
|
180
|
210
|
240
|
270
|
300
|
330
|
360
|
|
1500-700
|
0,40
|
40
|
80
|
120
|
160
|
200
|
240
|
280
|
320
|
360
|
400
|
440
|
480
|
|
≤ 600
|
0,50
|
50
|
100
|
150
|
200
|
250
|
300
|
350
|
400
|
450
|
500
|
550
|
600
|
На подходах к большим мостам.
Рис. 5. Схема определения пикетного положения, границ отсыпки насыпи.
Определение границ отсыпки земляного полотна на
подходах к большому мосту.- отверстие моста, Lk - расстояние между вершинами
конусов, L- полная длина моста, Нл и Нпр - рабочие отметки конусов, ал, апр при
Н<6 м равны 0,75 при Н > 6 м равны 1 м, 1 : т = 1:1,5
Середина моста с отверстием 50 м расположена на ПК 162 + 58. Рабочие
отметки на правой и левой границах соответственно 10,81 м и 10,81 м.
Длина половины длины моста 25 метров, слева от его середины, составит:
лев = L/2+Нлев х 1,5+ алев = 25 + 10,81 х 1,5 + 1,0 = 41,96 м
Пикетное значение границы отсыпки земляного полотна слева будет равна:
(162 + 58) - 41,96 = 162 + 16.
Длина правой половины моста будет равна:
прав = L/2+Нлев х 1,5+ аправ = 25 + 10,81 х 1,5 + 1,0 = 41,96 м,
Пикетное значение границы отсыпки земляного полотна слева будет равна:
(162 + 58) + 41,96 = 163 + 00.
Рис. 6. Схема уширения земляного полотна на подходах к большим мостам.
На подходах к мостам, основную площадку земляного полотна (В), необходимо
уширить на 0,5 м в каждую сторону на протяжении 10 м от задней грани устоев, а
на последующих 25 м равномерно свести до заданной ширины.
Определим пикетажное положение границ отсыпки насыпи:
Определим рабочую отметку в начале и в конце моста отверстием 50м. ПК
162+58.
Объем дополнительных работ при этом составит для одного подхода
Пример расчета для выемки ПК 163+00, 163+10 и ПК 163+25.
=162,1
где H1, H2 и H3 рабочие отметки соответственно у задней грани устоя, в 10
и 25 м от него. Аналогично рассчитываем рабочую отметку конца моста. Полученные
данные заносим в графу.
Растительный и плодородный слой.
Растительный и плодородный слой 0,2 м необходимо снять на площади,
ограниченной размерами основания насыпи или верха выемки, а также верха резерва
(в случае его закладки для отсыпки насыпи).
Протяженность таких участков принимается ориентировочно по ситуационной
схеме на продольном профиле (в составе задания).
Ширина основания насыпи определяется по ее поперечному профилю и
рассчитывается по формуле при постоянной крутизне откосов:
;
Аналогично определяется и ширина выемки поверху с заменой "b"
на "В", равное сумме размеров выемки на уровне основной площадки.
B = b + 0,4 +1,2m
Объем растительного и плодородного слоя определяем по формуле:
= 0,2 ∙ Sосн ∙L;
где b - ширина основания насыпи или ширина выемки поверху, L - длина
участка.
Пример расчета для насыпи ПК 149+00 - ПК 149+88:
= 21,856 м= 0,2∙21,856 ∙88
= 384,665 м3
Аналогично рассчитываются объемы для выемки. После определения объемов
работ по снятию растительного слоя (м), полученные данные заносят в таблицу - в
графы 14 (для насыпи и резерва) со знаком "+" и 15 (для выемки) со
знаком "-".
Таблица №2. Формулы для определения ширины основания насыпи
|
№ рисунков
|
Общий вид насыпи
|
Ширина основания насыпи, м
|
|
Насыпь расположена на площадке
|
|
|
Насыпь на косогоре. Крутизна откосов постоянная
|
|
|
Насыпь на косогоре. Крутизна откосов с одной стороны
переменная
|
|
|
Насыпь на косогоре. Крутизна откосов переменная с обеих
сторон
|
|
Объём сливной призмы.
Определяется по формуле:
Пример расчета пикеты 148+00 148+32:
Данные заносятся в таблицу в графы 12 и 13 и учитываются с
соответствующими знаками.
После заполнения всех граф, подсчитываем общие объёмы на каждом участке и
по пикетное и сведём в таблицу 4, которая представлена ниже.
4. Распределение объемов земляных масс
Назначение способов производства работ на рабочих участках.
Определение средней дальности перемещения грунта.
Распределение земляных масс производится непосредственно после
составления графика попикетных объемов работ.
При выполнении этой части проекта следует руководствоваться следующими
принципами:
а) весь объем пригодного грунта в выемке должен быть по возможности
использован для отсыпки насыпи, а при его излишке избыточная часть подлежит
перемещению в отвал;
б) при недостатке грунта в выемках или непригодности для возведения
насыпи следует предусмотреть доставку грунта из действующих или вновь
открываемых карьеров, удаленность которых составляет не более 3 км от участка
строительства;
в) использование грунтов из резервов для отсыпки насыпей, а также
устройство кавальеров должно применяться в исключительных случаях.
Такое решение требует дополнительного обоснования (отсутствие условий для
открытия карьеров, большие затраты на строительство землевозных дорог, нецелесообразность
открытия карьеров или строительства землевозных дорог к отвалам из-за
незначительного объема грунта, необходимость использования кавальеров или
резервов в качестве водоотводных сооружений и т.д.), поскольку помимо нанесения
ущерба окружающей среде возникают дополнительные затраты как при подготовке
территории строительства, так и в процессе эксплуатации построенного участка
железной дороги.
Объемы выемок и насыпей на нашем участке не равнозначны (насыпей 157678 м3,
выемок 220654 м3), также будет целесообразно отсыпать непригодный
для возведения насыпи грунт (99809 м3) в отвал.
Выемка с ПК 140+43 по ПК 148+32 объемом 120845 м3 состоит из
грунта пригодного для возведения насыпей (П). Разрабатывается с перемещением
грунта в насыпь с ПК 148+32 по ПК 155+44 объемом 90429 м3, остальной
грунт перемещается в насыпь с ПК 159+50 по ПК 165+00 объемом 30416 м3,
недостающий грунта в объеме 37172 м3 берем из карьера.
Грунт из выемок с ПК 155+44 по ПК 160+00 объемом 14239 м3 и с
ПК 165+00 по ПК 170+00 объемом 85570 м3 состоит из грунта не
пригодного для возведения насыпей (Гм). Непригодный грунт разрабатывается
перемещением его в отвал.
Схема для определения расстояния между центрами тяжести земляных масс.
При продольной схеме перемещения грунта средняя дальность возки (Lср)
определяется как расстояние между центрами тяжести перемещаемых объемов грунта
(L) с добавлением 50-100 м на повороты и маневрирование машин (lп - lм).
Lср.= L + lп + lм
Расстояние между центрами тяжести массивов определяется графическим способом
по графику попикетных объемов земляных работ.
Центр тяжести земляной массы выемки расположен в месте, пикетное
положение которого ПК 144+90 соответствует равным объёмам её грунта 60422,5 м3
слева и справа. Аналогично определяется это место и для насыпей ПК 151+90 и ПК
162+40. Расстояние между этими пикетными значениями и будет средневзвешенным
расстоянием.
4.1 Выбор ведущих и вспомогательных машин и назначение рабочих участков
Участок 1.
Грунт V = 359 м3 на участке с ПК 140+43 по ПК 148+32 вывозится
для возведения насыпи с ПК 140+00 по ПК 140+43. Выбираем ведущей машиной
экскаватор с обратной лопатой ЭО-3222, I группы грунта.
Характеристики: вместимостью ковша - 0, 5 м3, наибольшая
высота копания - 6,6 м, наибольший радиус копания - 7,9 м, наибольшая высота
выгрузки - 4,6 м.
Объем для вывозки в насыпь составляет 359 м3.осн = 55*0,8 = 44 дня
где: Vраб - полный объем грунта на рабочем участке, Tосн
-продолжительность основного периода рекомендуется принимать в размере 70-80%
от заданного дирекционного срока, n -количество смен.
Необходимая часовая производительность:
При односменном режиме работы:
Для первой группы грунта при погрузке в автотранспорт экскаватором с
обратной лопатой при односменной работе - необходим 1 экскаватор с емкостью
ковша 0,5 м3 (47,6*1 = 47,6 м3/ч)
При работе в 1 смену Lср = 468+50+100 = 618 м - дальность перевозки в
насыпь.
Участок 2.
Грунт V = 90429 м3 на участке с ПК 140+43 по ПК 148+32
вывозится для возведения насыпи с ПК 148+32 по ПК 155+44. Выбираем ведущей
машиной экскаватор с обратной лопатой ЭО-5124, I группы грунта.
Характеристики: вместимостью ковша - 1,6 м3, наибольшая высота
копания - 6,55 м, наибольший радиус копания - 9,4 м, наибольшая высота выгрузки
- 5,1 м.
Объем для вывозки в насыпь составляет 90429 м3.
Tосн = 55*0,8 = 44 дня
где: Vраб - полный объем грунта на рабочем участке, Tосн -
продолжительность основного периода рекомендуется принимать в размере 70-80% от
заданного дирекционного срока.
Необходимая часовая производительность:
При односменном режиме работы:
Для первой группы грунта при погрузке в автотранспорт экскаватором с
обратной лопатой при односменной работе - необходим 2 экскаватор с емкостью
ковша 1,6 м3 (144,9*2 = 289,8 м3/ч)
При работе в 1 смену Lср = 700+50+100 = 850 м - дальность перевозки в
насыпь.
Участок 3.
Характеристики: вместимостью ковша - 0,65 м3, наибольшая
высота копания - 7,1 м, наибольший радиус копания - 7,8 м, наибольшая высота
выгрузки - 4,5 м.
Объем для вывозки в насыпь составляет 14239 м3.
Tосн = 55*0,8 = 44 дня
где: Vраб - полный объем грунта на рабочем участке, Tосн
-продолжительность основного периода рекомендуется принимать в размере 70-80%
от заданного дирекционного срока.
Необходимая часовая производительность:
При односменном режиме работы:
Для первой группы грунта при погрузке в автотранспорт экскаватором -
прямой лопатой при двухсменной работе - необходим 1 экскаватор с емкостью ковша
0,65 м3 (47,6*1 =47,6 м3/ч)
При работе в 1 смену Lср = 1000 м - дальность перевозки в отвал.
Участок 4.
Грунт V = 30057 м3 на участке с ПК 140+43 по ПК 148+32
вывозится для возведения насыпи с ПК 159+50 по ПК 165+00. Выбираем ведущей
машиной экскаватор с обратной лопатой ЭО-4112 с прямой лопатой, I группы
грунта.
Характеристики: вместимостью ковша - 0,65 м3, наибольшая
высота копания - 7,1 м, наибольший радиус копания - 7,8 м, наибольшая высота
выгрузки - 4,5 м.
Объем для вывозки в насыпь составляет 30057 м3.
Tосн = 55*0,8 = 44 дня
где: Vраб - полный объем грунта на рабочем участке, Tосн -
продолжительность основного периода рекомендуется принимать в размере 70-80% от
заданного дирекционного срока.
Необходимая часовая производительность:
При односменном режиме работы:
Для первой группы грунта при погрузке в автотранспорт экскаватором -
прямой лопатой при двухсменной работе - необходим 2 экскаватор с емкостью ковша
0,65 м3 (58,8*2 = 117,6 м3/ч)
При работе в 1 смену Lср = 1750+50+100 = 1900 м - дальность перевозки в
насыпь.
Участок 4.1.
Недостающий объем грунта в V = 37172 м3 на участке с ПК 159+50
по ПК 165+00 берем из карьера. Выбираем ведущей машиной экскаватор с обратной
лопатой ЭО-4112 с прямой лопатой, I группы грунта.
Характеристики: вместимостью ковша - 0,65 м3, наибольшая
высота копания - 7,1 м, наибольший радиус копания - 7,8 м, наибольшая высота
выгрузки - 4,5 м.
Объем для вывозки в насыпь составляет 37172 м3.
Tосн = 55*0,8 = 44 дня
где: Vраб - полный объем грунта на рабочем участке, Tосн -
продолжительность основного периода рекомендуется принимать в размере 70-80% от
заданного дирекционного срока.
Необходимая часовая производительность:
При односменном режиме работы:
Для первой группы грунта при погрузке в автотранспорт экскаватором -
прямой лопатой при односменной работе - необходим 2 экскаватор с емкостью ковша
0,65 м3 (58,8*2 = 117,6 м3/ч)
При работе в 1 смену Lср = 1000 м - дальность перевозки в насыпь.
Участок 5.
Грунт V = 85570 м3 с ПК 155+44 по ПК 160+00 м3 не
пригоден для возведения насыпей и вывозится в отвал. Выбираем ведущей машиной
экскаватор ЭО-5124, II группы грунта.
Характеристики: вместимостью ковша - 1,6 м3, наибольшая высота
копания - 9,65 м, наибольший радиус копания - 8,93 м, наибольшая высота
выгрузки - 5,1 м.
Объем для вывозки в насыпь составляет 85570 м3.
Tосн = 55*0,8 = 44 дня
где: Vраб - полный объем грунта на рабочем участке, Tосн -
продолжительность основного периода рекомендуется принимать в размере 70-80% от
заданного дирекционного срока.
Необходимая часовая производительность:
При односменном режиме работы:
Для первой группы грунта при погрузке в автотранспорт экскаватором -
прямой лопатой при двухсменной работе - необходим 1 экскаватор с емкостью ковша
1,6 м3 (119,1*1 = 119,1 м3/ч)
При работе в 3 смены Lср = 1000 м - дальность перевозки в отвал.
4.2 Подбор вспомогательных машин экскаваторного комплекса
В качестве вспомогательных машин включаются автомобили-самосвалы для
перевозки грунта, бульдозеры для разравнивания выгруженного грунта и средства
его послойного уплотнения.
. Расчет количества и подбор марки самосвалов.
Участок 1.
По объёму ковша экскаватора выбираем примерную грузоподъёмность
самосвала, а по ней уже из таблицы [2, прил. 2] и марку самосвала данного
участка подходит: ЗИЛ-ММЗ-555 с грузоподъемностью 4,5 т. и объёмом кузова 3,1 м3
со скоростью движения 15 км/ч или 4,1 м/с.
Продолжительность цикла работы самосвала:
Vк и Vа - вместимости ковша экскаватора и кузова автосамосвала; Пэ -
производительность экскаватора; L - дальность возки грунта; tвм - время на
выгрузку и маневрирование 1,5-2 мин.
При расчете времени цикла самосвала добавляется расстояние на
маневрирование равное 100 м.
Необходимое количество самосвалов на один экскаватор:
Общее количество самосвалов: ЗИЛ-ММЗ-555 для данного участка - 3 шт.
Участок 2.
По объёму ковша экскаватора выбираем примерную грузоподъёмность
самосвала, а по ней уже из таблицы [2, прил.2] и марку самосвала.
Для данного участка подходит: КАМАЗ-5511 с грузоподъемностью 10 т. и
объёмом кузова 7,2 м3 со скоростью движения 15 км/ч или 4,1 м/с.
Продолжительность цикла работы самосвала:
к и Vа - вместимости ковша экскаватора и кузова автосамосвала; Пэ -
производительность экскаватора; L - дальность возки грунта; tвм - время на
выгрузку и маневрирование 1,5-2 мин. При расчете времени цикла самосвала
добавляется расстояние на маневрирование равное 100 м.
Необходимое количество самосвалов на один экскаватор:

Общее количество самосвалов КАМАЗ-5511 для данного участка - 5 шт.
Участок 3.
По объёму ковша экскаватора выбираем примерную грузоподъёмность
самосвала, а по ней уже из таблицы [2, прил.2] и марку самосвала.
Для данного участка подходит: МАЗ-503 с грузоподъемностью 7 т. и объёмом
кузова 4,5 м3 со скоростью движения 15 км/ч или 4,1 м/с.
Продолжительность цикла работы самосвала:
к и Vа - вместимости ковша экскаватора и кузова автосамосвала; Пэ -
производительность экскаватора; L - дальность возки грунта; tвм - время на
выгрузку и маневрирование 1,5-2 мин. При расчете времени цикла самосвала
добавляется расстояние на маневрирование равное 100 м.
Необходимое количество самосвалов на один экскаватор:
Общее количество самосвалов МАЗ-503 для данного участка - 4 шт.
Участок 4.
По объёму ковша экскаватора выбираем примерную грузоподъёмность
самосвала, а по ней уже из таблицы [2, прил.2] и марку самосвала.
Для данного участка подходит: МАЗ-503 с грузоподъемностью 7 т. и объёмом
кузова 4,5 м3 со скоростью движения 15 км/ч или 4,1 м/с.
Продолжительность цикла работы самосвала:
к и Vа - вместимости ковша экскаватора и кузова автосамосвала; Пэ -
производительность экскаватора; L - дальность возки грунта; tвм - время на
выгрузку и маневрирование 1,5-2 мин.
При расчете времени цикла самосвала добавляется расстояние на
маневрирование равное 100 м.
Необходимое количество самосвалов на один экскаватор:
Общее количество самосвалов МАЗ-503 для данного участка - 5 шт.
Участок 4.1.
По объёму ковша экскаватора выбираем примерную грузоподъёмность
самосвала, а по ней уже из таблицы [2, прил. 2] и марку самосвала.
Для данного участка подходит: МАЗ-503 с грузоподъемностью 7 т. и объёмом
кузова 4,5 м3 со скоростью движения 15 км/ч или 4,1 м/с.
Продолжительность цикла работы самосвала:
к и Vа - вместимости ковша экскаватора и кузова автосамосвала; Пэ -
производительность экскаватора; L - дальность возки грунта; tвм - время на
выгрузку и маневрирование 1,5-2 мин.
При расчете времени цикла самосвала добавляется расстояние на
маневрирование равное 100 м.
Необходимое количество самосвалов на один экскаватор:
Общее количество самосвалов МАЗ-503 для данного участка - 4 шт.
Участок 5.
По объёму ковша экскаватора выбираем примерную грузоподъёмность
самосвала, а по ней уже из таблицы [2, прил. 2] и марку самосвала.
Для данного участка подходит: КАМАЗ-5511 с грузоподъемностью 10 т. и
объёмом кузова 7,2 м3 со скоростью движения 15 км/ч или 4,1 м/с.
Продолжительность цикла работы самосвала:
к и Vа - вместимости ковша экскаватора и кузова автосамосвала; Пэ -
производительность экскаватора; L - дальность возки грунта; tвм - время на
выгрузку и маневрирование 1,5-2 мин.
При расчете времени цикла самосвала добавляется расстояние на
маневрирование равное 100 м.
Необходимое количество самосвалов на один экскаватор:
Общее количество самосвалов КАМАЗ-5511 для данного участка - 7 шт.
. Расчет количества и подбор
бульдозеров.
Участок 1.
Род грунта - сыпучий грунт; объём работ - 359; режим работы - односменный;
продолжительность работы - 1 дней; длина пути перемещения грунта - 30 м;
Тогда, требуемая производительность бульдозера:
Объём призмы волочения:
Исходя из этих данных табл. 6.2 выбираем бульдозер: ДЗ - 18. Общее
количество машин на участке - 1.
Участок 2.
Род грунта - сыпучий грунт; объём работ - 90429; режим работы -
односменный; продолжительность работы - 21 дней; длина пути перемещения грунта
- 30 м;
Тогда, требуемая производительность бульдозера:
Объём призмы волочения:
Исходя из данных табл. 6.2 выбираем совместную работу бульдозеров марок
ДЗ-385 и ДЗ-25 (7,64 + 3,95 = 11,59 м3). Общее количество машин на
участке - 2.
Участок 3.
Род грунта - сыпучий грунт; объём работ - 67229; режим работы -
односменный; продолжительность работы - 20 дней; длина пути перемещения грунта
- 30 м;
Тогда, требуемая производительность бульдозера:
Объём призмы волочения:
Исходя из данных табл. 6.2 выбираем совместную работу бульдозеров марок
ДЗ-385 и ДЗ-18 (7,64 + 1,66 = 9,3 м3). Общее количество машин на
участке - 2.
3. Расчет количества грунтоуплотняющих машин.
Участок 1.
Для уплотнения, исходя из типа грунта и протяженности участков, выбираем
- Грунтоуплотняющую машину ДУ-12Б.
Протяженность насыпи - 43 м; масса - 24,5 тон; ширина рабочей полосы -
1,9 метра; толщина слоя - 1,2 метра; число проходов - 1; средняя скорость машины
- 0,08 км/ч; средняя рабочая отметка - 1,73 м.
H следует принимать на 0,15 м больше рабочей отметки (толщина сливной
призмы) в среднем для отсыпаемого участка;
где: k - количество проходов машины по одному следу; L - протяженность
насыпи, м; t - толщина уплотняемого слоя, м; c - ширина рабочего органа машины,
м; Vср - средняя скорость движения механизма (км/ч).
Тогда необходимое время работы:
При постоянной крутизне откосов (т.е. m1 = m2 = m).
Участок 2.
Для уплотнения, исходя из типа грунта и протяженности участков, выбираем
- Грунтоуплотняющую машину ДУ-12Б.
Протяженность насыпи - 712 м; масса - 24,5 тон; ширина рабочей полосы -
1,9 метра; толщина слоя - 1,2 метра; число проходов - 1; средняя скорость
машины - 0,2 км/ч; средняя рабочая отметка - 6,55 м.
H следует принимать на 0,15 м больше рабочей отметки (толщина сливной
призмы) в среднем для отсыпаемого участка;
где: k - количество проходов машины по одному следу; L - протяженность
насыпи, м; t - толщина уплотняемого слоя, м; c - ширина рабочего органа машины,
м; Vср - средняя скорость движения механизма (км/ч).
Тогда необходимое время работы:
При переменной крутизной откосов.
Участок 3.
Для уплотнения, исходя из типа грунта и протяженности участков, выбираем
- Грунтоуплотняющую машину ДУ-12Б.
Протяженность насыпи - 550 м; масса- 24,5 тон; ширина рабочей полосы -
1,9 метра; толщина слоя - 1,2 метра; число проходов - 1; средняя скорость
машины - 0,2 км/ч; средняя рабочая отметка - 4,36 м.
H следует принимать на 0,15 м больше рабочей отметки (толщина сливной
призмы) в среднем для отсыпаемого участка;
где: k - количество проходов машины по одному следу; L - протяженность
насыпи, м; t - толщина уплотняемого слоя, м; c - ширина рабочего органа машины,
м; Vср - средняя скорость движения механизма (км/ч).
Тогда необходимое время работы:
При постоянной крутизне откосов (т.е. m1 = m2 = m).
5. Производство отделочных работ
Отделка земляного полотна ведется в последовательности:
в насыпях нарезается сливная призма с планировкой основной
площадки, затем производится планировка откосов;
в выемках вначале планируются откосы, после чего нарезаются
сливная призма (с планировкой основной площадки) и кюветы.
Объём работ по планировке основной площадки и нарезке сливной призмы
равен произведению ширины основной площадки земляного полотна и протяженности
насыпей и выемок.
Перерыв между завершением основных и началом отделочных работ на захватке
не должен превышать 3-5 суток.
.1 Объём работ по планировке основной площадки и нарезке сливной призмы
Объём работ по планировке основной площадки и нарезке сливной призмы
равен произведению ширины основной площадки земляного полотна и протяжённости
насыпей и выемок.
Работы выполняются автогрейдером ДЗ-105с автоматически управляемым
отвалом (см. прил. 2). Состав бригады при работе в насыпях: машинист 6-го
разряда и два рабочих 3-го разряда на разбивке. При работе в выемках состав
бригады: машинист 6-го разряда и три землекопа 3-го разряда.
Производительность машин при планировке основной площадки и нарезке
сливной призмы (м2 в смену)
Таблица №3.
|
Наименование.
|
Группы грунтов.
|
|
I
|
II
|
III
|
|
Работа в насыпях
|
5525
|
5200
|
3900
|
|
Работа в выемках
|
3900
|
3640
|
3055
|
Объем работ по нарезке сливной призмы (Sсп) вычисляют по формуле:
сп = bL, м2,
где: b - ширина основной площадки земляного полотна, L - протяженность
насыпей и выемок в метрах.
Для определения объёмов работ составим таблицу 4.
Таблица №4
|
Протяженность
|
Объём работ м2
|
Группа грунта
|
Производительность комплекса, м2/смена
|
Расчетное количество
|
Состав бригады
|
Затраты труда
|
|
43
|
271
|
II
|
5200
|
0,06
|
машинист 6-го разряда
|
4,49*8*21
|
|
|
|
|
|
два рабочих 3-го разряда на разбивке
|
|
|
789
|
4971
|
II
|
3640
|
1,37
|
машинист 6-го разряда
|
|
|
|
|
|
|
три землекопа 3-го
|
|
|
712
|
4486
|
II
|
5200
|
0,87
|
машинист 6-го разряда
|
|
|
|
|
|
|
два рабочих 3-го разряда на разбивке
|
|
|
406
|
2558
|
II
|
3640
|
0,71
|
машинист 6-го разряда
|
|
|
|
|
|
|
три землекопа 3-го
|
|
|
500
|
3150
|
II
|
5200
|
0,61
|
машинист 6-го разряда
|
|
|
|
|
|
|
два рабочих 3-го разряда на разбивке
|
|
|
500
|
3150
|
II
|
3640
|
0,87
|
машинист 6-го разряда
|
|
|
|
|
|
|
три землекопа 3-го
|
|
|
Итого: 26520
|
4,49
|
21
|
755 чел-ч
|
.2 Определение объемов работ по планировке откосов насыпей и выемок
Планировка откосов выполняется экскаватором ЭО-4112 . Бригада планирует
за смену в грунтах I и II группы 1100
. Объёмы работ по планировке откосов
земляного полотна (Sпл) определяются по формулам:
при изменяющейся крутизне откосов:
, м2
при постоянной крутизне откосов:
, м2
где: L - протяженность участка в метрах;
Нср - среднее значение рабочих отметок в массиве в метрах;- показатель
крутизны откосов земляного полотна, m2= 1,5.
Для определения объёмов работ составим таблицу 5.
Таблица №5
|
Протяженность
|
Объём работ м2
|
Группа грунта
|
Производительность комплекса, м2/смена
|
Расчетное количество
|
Состав бригады
|
Затраты труда
|
|
43
|
210
|
II
|
1100
|
0,20
|
машинист 6-го разряда
|
33,28*8*12 33,28*2
|
|
|
|
|
|
помощник машиниста 5-го разряда
|
|
|
789
|
15429
|
II
|
1100
|
14,02
|
машинист 6-го разряда
|
|
|
|
|
|
|
помощник машиниста 5-го разряда
|
|
|
712
|
16756
|
II
|
1100
|
15,23
|
машинист 6-го разряда
|
|
|
|
|
|
|
помощник машиниста 5-го разряда
|
|
|
406
|
3233
|
II
|
1100
|
2,93
|
машинист 6-го разряда
|
|
|
|
|
|
|
помощник машиниста 5-го разряда
|
|
|
500
|
13433
|
II
|
1100
|
0,45
|
машинист 6-го разряда
|
|
|
|
|
|
|
помощник машиниста 5-го разряда
|
|
|
500
|
10302
|
II
|
1100
|
0,45
|
машинист 6-го разряда
|
|
|
|
|
|
|
помощник машиниста 5-го разряда
|
|
|
Итого: 59363
|
33,28
|
12
|
3195 чел-ч 67 м-смен
|
5.3 Устройство кюветов
Разработанный грунт перевозится к оси основной площадки насыпи
автомобилями-самосвалами грузоподъёмностью 4-5 т в насыпь или отвал.
В соответствии с принятым решением по размещению грунта из кюветов
возможны варианты комплектования бригад с соответствующей производительностью.
Устройство кюветов выполняет кюветокопатель (экскаватор-планировщик
ЭО-3333) и 2 автосамосвала (МАЗ-503).
Состав бригады - машинист кюветокопателя 6-го разряда, помощник машиниста
5-го разряда и два водителя автосамосвала.
где: F - площадь поперечного сечения одного кювета; Vк - объем разработки
кюветов, м3; h - глубина кювета, м (принимаем = 0,6 м); b - ширина
кювета по дну, м (принимаем = 0,4 м); m - заложение откосов = 1,5; L - длина
кюветов в выемках, м.
Объем кюветов определим по формуле:
трасса насыпь земляной кювет
Vк = 2∙F∙L;
Для определения объёмов работ составим таблицу 6.
Таблица №6
|
Протяженность
|
Объём работ м2
|
Группа грунта
|
Производительность комплекса, м2/смена
|
Расчетное количество
|
Состав бригады
|
Затраты труда
|
|
789
|
1231
|
I
|
170
|
7,24
|
машинист кюветокопателя 6-го разряда
|
15,54*8*12 15,54*2
|
|
|
|
|
|
помощник машиниста 5-го разряда и два водителя
автосамосвала
|
|
|
406
|
634
|
II
|
170
|
3,72
|
машинист кюветокопателя 6-го разряда
|
|
|
|
|
|
|
помощник машиниста 5-го разряда и два водителя
автосамосвала
|
|
|
500
|
780
|
II
|
170
|
4,58
|
машинист кюветокопателя 6-го разряда
|
|
|
|
|
|
|
помощник машиниста 5-го разряда и два водителя
автосамосвала
|
|
|
Итого: 2645
|
15,54
|
1492 чел-ч 32 м-смен
|
6. Составление календарного графика. Сводные ведомости потребности машин
и рабочей силы
Зная время необходимое каждому комплексу для осуществления заданного
объёма работ, мы можем составить календарный график работ. Выбираем однолучевую
схему организации строительства железной дороги. Календарный график приведен в
прил. 1.
Так же составим сводные ведомости потребности машина и рабочей силы.
Таблица 7. Сводная ведомость потребности машин на сооружение участка
земляного полотна.
|
Наименование машин и периода
|
Тип
|
Кол-во
|
Продолжительность работы см.
|
Итого маш.-смен
|
|
Подготовительный период
|
|
1.Кусторез
|
79,4 кВт.
|
1
|
1
|
1
|
|
2. Корчеватель
|
222 кВт
|
1
|
7
|
1
|
|
3. Корчеватель
|
222 кВт
|
1
|
2
|
1
|
|
Итого
|
|
3
|
10
|
30
|
|
Основной период
|
|
1. Экскаватор
|
ЭО-3222
|
1
|
1
|
1
|
|
2. Экскаватор
|
ЭО-5124
|
2
|
40
|
80
|
|
3. Экскаватор
|
ЭО-4112
|
1
|
31
|
31
|
|
4. Экскаватор
|
ЭО-4112
|
2
|
32
|
64
|
|
5. Экскаватор
|
ЭО-4112
|
2
|
40
|
80
|
|
6. Экскаватор
|
ЭО-5124
|
1
|
30
|
30
|
|
7. Самосвал
|
ЗИЛ-ММЗ-555
|
3
|
1
|
3
|
|
8. Самосвал
|
КАМАЗ-5511
|
5
|
40
|
200
|
|
9. Самосвал
|
МАЗ-503
|
4
|
31
|
124
|
|
10. Самосвал
|
МАЗ-503
|
5
|
32
|
160
|
|
11. Самосвал
|
МАЗ-503
|
4
|
40
|
160
|
|
12. Самосвал
|
КАМАЗ-5511
|
7
|
30
|
210
|
|
13. Бульдозер
|
ДЗ-18
|
1
|
1
|
1
|
|
14. Бульдозер
|
ДЗ-385 ДЗ-25
|
2
|
21
|
42
|
|
15. Бульдозер
|
ДЗ-385 ДЗ-18
|
2
|
20
|
40
|
|
16. Грунтоуплотняющая машина
|
ДУ-12Б
|
1
|
1
|
1
|
|
17. Грунтоуплотняющая машина
|
ДУ-12Б
|
1
|
21
|
21
|
|
18. Грунтоуплотняющая машина
|
ДУ-12Б
|
1
|
9
|
9
|
|
Итого
|
|
46
|
421
|
1257
|
|
Отделочный период
|
|
1. Автогрейдер
|
ДЗ-105
|
5
|
5
|
15
|
|
2.Экскаватор-планировщик
|
ЭО-4121
|
9
|
5
|
72
|
|
3. Экскаватор-кюветокопатель
|
ЭО-3333
|
6
|
5
|
30
|
|
4. Самосвал
|
МАЗ-503
|
12
|
6
|
72
|
|
Итого
|
|
32
|
21
|
189
|
Таблица 8. Сводная ведомость потребности рабочей силы.
|
Наименование рабочих по профессиям
|
Разряд
|
Количество чел.
|
Продолжительность работы, смен
|
Затраты труда, чел.-ч.
|
|
Подготовительный период
|
|
1.Машинист кустореза
|
6
|
1
|
1
|
8
|
|
2. Рабочий
|
4
|
1
|
1
|
8
|
|
3.Машинист корчевателя
|
6
|
2
|
7
|
112
|
|
4. Рабочий
|
4
|
7
|
7
|
392
|
|
5.Машинист корчевателя
|
6
|
2
|
2
|
32
|
|
6. Рабочий
|
6
|
7
|
2
|
112
|
|
Итого
|
|
20
|
20
|
664
|
|
Основной период
|
|
1. Машинист экскаватора
|
6
|
1
|
1
|
8
|
|
2. Помощник машиниста
|
5
|
1
|
1
|
8
|
|
3. Машинист экскаватора
|
6
|
2
|
40
|
640
|
|
4. Помощник машиниста
|
5
|
2
|
40
|
640
|
|
5. Машинист экскаватора
|
6
|
1
|
31
|
248
|
|
6. Помощник машиниста
|
5
|
1
|
31
|
248
|
|
7. Машинист экскаватора
|
6
|
2
|
32
|
512
|
|
8. Помощник машиниста
|
5
|
2
|
32
|
512
|
|
9. Машинист экскаватора
|
6
|
2
|
40
|
640
|
|
10. Помощник машиниста
|
5
|
2
|
40
|
640
|
|
11. Машинист экскаватора
|
6
|
1
|
30
|
240
|
|
12. Помощник машиниста
|
5
|
1
|
30
|
240
|
|
13. Водитель автосамосвала
|
|
3
|
1
|
24
|
|
14. Водитель автосамосвала
|
|
9
|
40
|
2880
|
|
15. Водитель автосамосвала
|
|
4
|
31
|
992
|
|
16. Водитель автосамосвала
|
|
5
|
32
|
1280
|
|
17. Водитель автосамосвала
|
|
7
|
38
|
2128
|
|
18. Машинист бульдозера
|
6
|
1
|
1
|
8
|
|
19. Машинист бульдозера
|
6
|
2
|
21
|
336
|
|
20. Машинист бульдозера
|
6
|
2
|
20
|
320
|
|
21. Машинист виброкатка
|
5
|
1
|
1
|
8
|
|
22. Машинист виброкатка
|
5
|
1
|
21
|
168
|
|
23. Машинист виброкатка
|
5
|
1
|
9
|
72
|
|
Итого
|
|
54
|
563
|
12792
|
|
Отделочный период
|
|
1. Машинист автогрейдера
|
6
|
6
|
5
|
240
|
|
2. Рабочие на разбивке
|
3
|
6
|
2
|
96
|
|
3.Землекопы
|
3
|
9
|
3
|
216
|
|
4. Машинист экскаватора-планировщика
|
6
|
6
|
6
|
288
|
|
5. Помощник машиниста
|
5
|
6
|
6
|
288
|
|
6.Экскаватор-кюветокопатель
|
6
|
3
|
5
|
120
|
|
7. Помощник машиниста
|
5
|
3
|
5
|
120
|
|
8. Водитель автосамосвала
|
|
6
|
5
|
120
|
|
Итого
|
|
57
|
|
1488
|
Рассчитаем удельные показатели затрат труда и машин на единицу физических
объёмов и сведём их в таблицу.
|
Наименование
|
Единица измерения
|
Кол-во
|
Трудозатраты, чел-дн.
|
Затраты маш.-см.
|
|
|
|
всего
|
на изм.
|
на 1 км
|
всего
|
на изм.
|
на 1 км
|
|
Подготовительные работы
|
га
|
19
|
664
|
35
|
222
|
30
|
1,57
|
10
|
|
Работы основного периода
|
тыс.м3
|
220
|
12792
|
59
|
4264
|
1257
|
58
|
419
|
|
Отделочные работы
|
км
|
3
|
1488
|
496
|
496
|
189
|
63
|
63
|
|
Итого:
|
|
|
13549
|
590
|
4982
|
1473
|
123
|
492
|
7. Техника безопасности при производстве работ
Нормы и правила техники безопасности требуют защиты работающих от
неблагоприятного воздействия предметов и средств труда, оснащения рабочего
места на объекте, в машине или при операциях с оборудованием и инструментом,
гарантирующими полную безопасность труда. Рабочие места здесь часто организуют
непосредственно перед началом работы.
На железнодорожном строительстве добавляются правила соблюдения личной
безопасности в условиях поездного движения, а также безопасности движения
поездов.
Санитарные нормы и правила предписывают устройство специальных
производственных и гигиенических бытовых помещений и указывают нормы содержания
в воздухе пыли, газов, паров; степени освещенности и т.д. Работы по вырубке
леса, корчевке пней и расчистке полосы отвода древесины и порубочных остатков
должны выполняться механизированными способами. Отсыпку насыпей следует вести
от краев насыпи к середине
Постройка водопропускных труб, устоев мостов и подпорных стен должна
опережать возведение земляного полотна, чтобы засыпка их грунтом производилась
одновременно с обеих ее сторон на одинаковую высоту и уплотнялась послойно.
В зоне работы землеройных машин механизмов не допускается выполнение
других работ и нахождение людей на путях движения машин.
Во время работы экскаваторов рабочим не разрешается находиться под
стрелой и ковшом, а посторонним лицам - в зоне, определяемой радиусом действия
экскаватора плюс 5м.
При работе прямой лопатой высота забоя в связных грунтах (глинах, тяжелых
суглинках) не должна превышать наибольшей высоты резания, т.е. подъема ковша
при полном вылете. В слабосвязанных (супесках, легких суглинках) и несвязных
(песках) грунтах возможно превышение высоты резания, если это не угрожает
массовым обрушением грунта в забое. Не допускается ведение земляных работ
подкопом.
Нельзя разрабатывать грунт скреперами при продольном уклоне более 7 и
поперечном уклоне более 11.
Во время набора грунта и перемещения нескольких скреперов один за другим
расстояние между агрегатами не должно быть менее: днем - 20, а ночью - 30 м.
В темное время суток места работы скреперов должны быть освещены, а места
поворотов агрегатов и бровки насыпей и выемок, вблизи которых перемещаются
скреперы, обозначены световыми сигналами.
Запрещается разрабатывать и перемещать грунт бульдозерами на подъем или
под уклон более 30 , а также при поперечном уклоне местности более 30.
Не допускается работа тягачей, бульдозеров, скреперов, автомобилей-самосвалов
при расстоянии менее 0,5 м от края гусеницы или колеса до бровки сооружаемой
насыпи.
При уплотнении грунтов в насыпи разворачивание катков для движения в
обратном направлении может производиться на полосе шириной не менее 8м. При
меньшей ширине насыпи развороты катка на насыпи запрещены. В этом случае
развороты катка следует произ-водить на нулевых местах.
Не разрешается уплотнение грунтов катками на поперечных уклонах более 15.
Запрещается катками приближаться к бровке насыпи ближе чем на 1,5 м.
В случае возникновения во время работы каких-либо неожиданных препятствий
(подземных сооружений, трубопроводов…) работы должны
быть прекращены до получения специального разрешения на их производство.
Разработка грунта в непосредственной близости от подземных коммуникаций
может производиться только вручную лопатами без резких ударов.
Котлованы и траншеи, разрабатываемые в местах передвижения людей и
транспорта, должны быть ограждены.
8. Экологические требования при выполнении земляных работ
В ходе выполнения земляных работ предстоит решить вопросы охраны
окружающей среды на период строительства и на последующую эксплуатацию железной
дороги.
Во время строительства следует предпринять меры по минимизации ущерба
окружающей среде, в частности, в наименьшей степени наносить урон территории;
грунтам, естественным ландшафтам.
Для сокращения площади отводимых территорий следует стремиться к
исключению отвалов грунта и карьеров. Это достигается при продольной схеме
распределения земляных масс, когда выемки служат источником грунта для
возведения насыпей. В случае непригодности грунта из выемок для возведения
насыпи целесообразно по соображениям охраны окружающей среды транспортировать
такие грунты в карьеры, откуда берется грунт для отсыпки насыпей. Другим возможным
местом для складирования грунтов, непригодных для использования в насыпях,
могут быть овраги и другие геологические неблагоприятные для хозяйственной
деятельности и в отношении опасности для окружающей среды.
С целью уменьшения урона окружающей среде, необходимо уделять серьезное
внимание устройству строительных и притрассовых автомобильных дорог. Эти работы
подлежат первоначальному выполнению в подготовительный период и постоянному
повторению в ходе строительства.
Все нарушенные и вновь созданные откосы подлежат рекультивации во
избежание и для предупреждения эрозии почв. Защита откосов должна выполняться в
соответствии с проектом, без необоснованных задержек, чтобы исключить появление
неблагоприятных поверхностных явлений.
Большое внимание следует уделять устройству водоотвода (дренажу) как
фактору, препятствующему возникновению опасных процессов и явлений.
9. Схемы разработки участков
.1 Схема разработки выемки экскаваторно-транспортным комплектом и отсыпки
насыпи с кольцевой ездой автомобилей самосвалов
Схема работы экскаватора на участках 2, 4, 5.
- автомобиль-самосвал; 2 - бульдозер; 3 - каток; 4 - экскаватор; I - зона
отсыпки и уплотнения насыпи; II - зона движения груженых автомобилей-самосвалов
9.2 Схема уплотнения грунта на участках 1, 3, 4.1 (при это уплотняемый
грунт разравнивает бульдозер).
Список
использованной литературы
1. Сотников
Л.С. Проектирование производства земляных работ на участке строительства
железной дороги: Учебное пособие. - М.: РГОТУПС, 2002. - 76 с.
. Технология,
механизация и автоматизация железнодорожного строительства: Мет. указания. -
М.: РГОТУПС, 2004. - 76 с.
. Технология
железнодорожного строительства. Учебник. Под ред. А.М. Призмазонова и Э.С.
Спиридонов. - М.: Желдориздат, 2002.
. Железные
дороги колеи 1520 мм СНиП 32-01-95 / Минстрой России, М., 1995.
. Железнодорожное
строительство. Технология и механизация. / Под ред. С.П. Першина. М.: Транспорт,
1991.
. Шабалина
Л.А. Организация и технология строительства железных дорог. - М.: Маршрут,
2001.