Организация работ по благоустройству и озеленению территории центральной площади
Введение
Курсовой проект разработан с целью организации работ по благоустройству и
озеленению территории центральной площади. Территория, отведенная под
строительство располагается в ПГТ Матвеево Курган. К главной площади прилегает
сквер, который предназначен, главным образом, для транзитного движения
пешеходов и их кратковременного отдыха.
В расчетно-технологической части выполнен календарный план-график
производства работ по ландшафтному строительству с определением потребности в
рабочей силе, материалах, машинах и механизмах в соответствии с нормативными
документами ГЭСН 2001-27.Озеленение. защитные лесонасаждения. ГЭСН 11-15
Благоустройство. Выполнена технологическая карта ухода за зелеными
насаждениями, обоснован выбор технологии устройства конструкций и подбор
материалов.
ПГТ Матвеево Курган имеет недостаточно благоустроенный центр, поэтому
данный проект позволит расширить возможности использования современных
плоскостных конструкций, инженерных сооружений, подобрать ассортимент растений,
интродуцированных на данную территорию.
1. Общая
часть
.1 Анализ
природно-климатических условий объекта
В
соответствии с ситуационным планом участок имеет форму прямоугольника, ширина
90метров, длина 185 метров, общая площадь 1,6 га.(16650
).
Участок выбран в направлении юго-восточных, северо-западных ветров. Данный
объект подвержен воздействию в основном северо-западных ветров.
В ходе предпроектных исследований проанализированы исходные данные и
комплексные обследования территории объекта. Выявлены и определены размеры
территории, климатический район, особенности почвенных условий, характер
осадков, уровень инсоляции, направление господствующих ветров. Были выявлены
особенности окружающей территории. В ходе работы по инвентаризации была
составлена инвентарная ведомость, определено количество существующих
насаждений, их размещение на участке и мероприятия по удалению, санитарной
обрезки, омолаживанию, лечению.
По характеру поверхности территория проектирования представляет собой
равнину, с невысокими возвышенностями. Годовое количество осадков составляет
530-550 мм на юго-западе области, 320-360 мм - на юго-востоке. Наибольшее
количество осадков за месяц выпадает в июне - июле (50-70мм). Снежный покров на
территории области появляется в конце ноября - начале декабря, а устойчивый
снежный покров образуется в конце декабря - начале января. Пыльные бури
отмечаются 3-7 дней в году, на юго-востоке области - 20-25 дней, в отдельные
годы - до 60 дней. К атмосферным явлениям, отрицательно влияющим на
хозяйственную деятельность, относятся также туманы, изморозевые явления, грозы,
град.
1.2
Характеристика градостроительной ситуации рельефа почв
архитектурный
планировочный зеленый посадочный
На территории
проектирования был произведен почвенный разрез, на глубину 1м., почвенный
разрез показал преобладание такого вида почв как чернозем. Тип почв на участке:
темно-каштановые суглинистые.
Профиль почв
имеет следующее морфологическое строение:
А - гумусовый
горизонт мощностью (20) 25-40 см, буроватый или коричневато-темно-серый,
пороховато-мелкозернистой структуры;- переходный гумусовый горизонт, общая
мощность А+B1 - (35) 40-60 см, более яркого бурого или коричневого цвета, чем
предыдущий, уплотненный, комковатой структуры;
В2 -
переходный горизонт, неравномерно окрашенный, с пятнами и потеками гумуса,
плотный, призмовидно-комковатой структуры
ВСК -
иллювиально-карбонатный горизонт, желто-бурый или желтый, призматической
структуры, плотный, с обильными выделениями карбонатов в виде белоглазки, с
окончанием в этом горизонте темных гумусовых затеков;
СC -
материнская порода с выделениями гипса, чаще всего с глубины 150-170 см, иногда
170-200 см.
Темно-каштановые
глинистые, тяжелосуглинистые и суглинистые почвы содержат в верхних 15 см до
3,5-5% гумуса, легкосуглинистые и супесчаные разности - 2,5-3%. Реакция почв
нейтральная в верхнем горизонте и слабощелочная и щелочная ниже по профилю,
емкость обмена - 25-35 мг-экв на 100 г почвы; в составе обменных оснований
преобладают кальций и магний. Валовой химический состав однороден по профилю.
Почвы отличаются довольно высоким естественным плодородием.
Почвы на
участке относятся ко второй группе по плодородию, следовательно, на участке
имеется плодородный грунт толщиной 15см. Этого недостаточно для нормального
роста и развития растений, поэтому при проектировании озеленения участка
необходимо будет предусмотреть добавление плодородной земли.
На территории
участка присутствует бытовой мусор - 0,6м³, который необходимо удалить для
поддержания оптимального санитарно-гигиенического состояния. Степень
засоренности - малая (менее 0,5 м³ мусора на 100м² территории).
.3
Характеристика существующих насаждений
На участке
проведена инвентаризация существующих насаждений. Во время полевых наблюдений было
выявлено наличие массивов, смешанный из хвойников и лиственных пород. Имеются
одиночно растущие деревья и кустарники.
· Клен
полевой 3шт. состояние неудовлетворительное. Листва сохранилась лишь частично,
мелкие веточки и часть ветвей опали, кора опала на большей части ствола. На
стволе и ветвях имеются вылетные отверстия насекомых, под корой - обильная
буровая мука и грибница дереворазрушающих грибов. Требуется полная замена
деревьев.
· клен
татарский 5шт. состояние удовлетворительное. Листва светлее обычного, крона
слабоажурная, прирост ослаблен, в кроне менее 25% сухих ветвей. Возможны
признаки местного повреждения ствола и корневых лап, ветвей, механические
повреждения, единичные водяные побеги. Требуется обрезка сухих ветвей, и
санитарная обработка ствола.
· вяз
гладкий 7шт. Состояние хорошее. Листва зеленая, нормальных размеров, крона
густая, нормальной формы и развития, прирост текущего года нормальный для
данного вида, возраста, условий произрастания деревьев и сезонного периода,
повреждения вредителями и поражение болезнями единичны. Требуется только
санитарная обрезка маловыраженных сухих ветвей.
· ясень
зеленый 3шт. состояние сильноослабленное. Листва мельче или светлее обычной,
крона изрежена, сухих ветвей от 25 до50%, прирост уменьшен более чем наполовину
по сравнению с нормальным. Часто имеются признаки повреждения болезнями и
вредителями ствола, корневых лап, ветвей, хвои и листвы, в том числе попытки
или местные поселения стволовых вредителей, у лиственных деревьев часто водяные
побеги на стволе и ветвях. Требуется санитарная обрезка сухих ветвей. Борьба с
вредителями.
· дуб
черешчатый 6шт. состояние удовлетворительное. Листва мельче, светлее или желтее
обычной, часто преждевременно опадает или усыхает, крона сильно изрежена, в
кроне более 50% сухих ветвей, прирост текущего года сильно уменьшен или
отсутствует. На стволе и ветвях часто имеются признаки заселения стволовыми
вредителями (входные отверстия, насечки, сокотечение, буровая мука и опилки,
насекомые на коре,под корой и в древесине). Требуется санитарная обрезка, а так
же борьба с вредителями.
· каштан
конский 10шт, состояние хорошее, без признаков ослабления. Листва или хвоя
зеленые, нормальных размеров, крона густая, нормальной формы и развития,
прирост текущего года нормальный для данного вида, возраста, условий
произрастания деревьев и сезонного периода, повреждения вредителями и поражение
болезнями единичны или отсутствуют.
· бирючина
обыкновенная 2шт. состояние хорошее, без признаков ослабления. Кустарники
здоровые (признаков заболеваний и повреждений вредителями нет);
· жимолость
татарская 2шт. состояние удовлетворительное, кустарники ослабленные. Кустарники
с признаками замедленного роста, с наличием усыхающих ветвей (до 10-15%),
изменением формы кроны, имеются повреждения вредителями. Требуется подкормка
удобрениями, а так же санитарная и формовочная обрезки.
· смородина
золотистая 2шт. состояние удовлетворительное, растения сильно ослаблены.
Кустарники с признаками замедленного роста, с наличием усыхающих ветвей (от 25
до 50%), крона изрежена, форма кроны изменена, прирост уменьшен более чем
наполовину по сравнению с нормальным. Требуется подкормка удобрениями, а так же
санитарная и формовочная обрезки
Инвентаризация
насаждений включает в себя ряд мероприятий по определению и сохранению
существующих ценных насаждений - деревьев, кустарников; проведению систем
ухода, лечения, рубок, обрезки. Согласно инвентарной ведомости качественного
учета существующих насаждений, они имеют удовлетворительное состояние.
2. Специальная часть
.1 Архитектурно-планировочное решение участка
Территория проектирования представляет собой центральную площадь с
прилегающим к ней сквером. Является объектом общего пользования. Согласно
ситуационного плана территория разбита на следующие зоны: входная зона,
центральная, зрелищная, прогулочная, хозяйственная и несколько зон тихого
отдыха. Все эти зоны соединяет дорожно-тропиночная сеть, она является
неотъемлемым элементом архитектурно-планировочного решения территории.
Проектируемая дорожная сеть обеспечит необходимую связь входов с
функциональными зонами и площадками. На главной площади в центре расположен
памятник В.И.Ленина, вокруг него разбит круглый цветник. Вход на площадь
осуществляется по лестницам. Вокруг площади, с каждой стороны по две рабатки.
С северо-западной стороны проектируется стриженная живая изгородь из
кизильника блестящего. Учитывая парадность цветников, на них предлагается
сезонное оформление: весной - двулетники (виола), а на летне-осенний период -
многолетники (хоста, флокс). Края цветников обрамляются плиточным покрытием.
Площадка имеет покрытие из декоративного камня, и оснащена скамьями, урнами и
фонарями.
Зрелищная зона имеет полукруглую форму. Самый декоративный элемент этой
зоны - не большой розарий в форме буквы Т. Здесь размещены скамьи, урны и
светильники.
Скамьи сделаны, сиденья из дерева, ножки из металла. На участке их 48
штук, в основном они расположены в прогулочных зонах и зонах отдыха. Расстояние
между ними 4-5м. Урны сделаны из бетона, с декоративным узором. Расположены у
каждой скамьи. (32 штуки) Основа светильников металлическая, плафон из прочного
стекла. Они расположены во всех зонах(115 штук)
Зрелищная зона предназначена в основном для семейных прогулок, катания на
велосипедах, роликах, а так же активного отдыха. В настоящее время при
строительстве и обустройстве таких зон активного отдыха уделяется большое
внимание покрытию площадки, позволяющие значительно снизить количество случаев
травматизма. С центральной главной зоны мы выходим на главную аллею, которая
ведет в зону тихого отдыха. Зона отдыха круглой формы, в центре располагается
не большой фонтан. По краям аллеи расположены скамьи и урны. Вдоль этой дорожки
по обе стороны планируется высадить аллейную двурядную посадку из деревьев и
кустарников. От этой части территории отходят извилистые дорожки, которые ведут
в другие зоны отдыха. Основную площадь занимает газон, по сторонам можно
наблюдать пейзажные картины из древесно-кустарниковых групп, а также
существующие, не большие смешанные массивы и куртины.
Баланс территории фрагмента центральной зоны
|
№П/п
|
Наименование зоны
|
Площадь
|
|
|
|
м
|
%
|
|
|
1
|
Входная
|
150
|
0,9
|
|
2
|
Зрелищная
|
100
|
0,7
|
|
3
|
Активного отдыха
|
120
|
0,8
|
|
4
|
Тихого отдыха
|
60
|
0,3
|
|
5
|
Хозяйственная
|
150
|
0,9
|
|
6
|
Прогулочная
|
1000
|
10
|
|
Итого:
|
1580
|
13,6
|
|
|
|
|
|
|
Баланс территории центральной площади по конструктивным элементам
|
№ п/п
|
Наименование
|
Площадь
|
|
|
м
|
%
|
|
1
|
Плоскостные элементы
|
|
2
|
· Дорожки I класса · Дорожки II класса
· Дорожки III класса
|
1000 245 780
|
6 1,47 4,68
|
|
3
|
· Хоз. площадка
|
228
|
1,3
|
|
4
|
· Главная
|
100
|
0,60
|
|
5
|
МАФ
|
|
6
|
· Фонтан
|
18,84
|
0,11
|
|
7
|
· Скульптуры
|
16
|
0,90
|
|
Оборудования
|
|
8
|
· Скамьи
|
170
|
1,2
|
|
9
|
· Фонари
|
273
|
1,63
|
|
10
|
· Урны
|
85
|
0,51
|
|
11
|
Насаждения: -существующие
-проектируемые
|
367
|
2.20
|
|
12
|
· Аллейные посадки
|
5987
|
35,95
|
|
13
|
· Групповые посадки
|
607
|
3,64
|
|
14
|
· Куртины
|
2019
|
12,12
|
|
15
|
· Солитеры
|
1570
|
9,42
|
|
16
|
· Цветники
|
1016
|
6,10
|
|
17
|
· Живая изгородь
|
440
|
2,64
|
|
18
|
· Газон
|
2514
|
15,09
|
|
Итого:
|
16650
|
100
|
.2 Инженерная подготовка территории объекта
Инженерная подготовка территорий - это комплекс работ по созданию условий
для проведения основных работ по благоустройству и озеленению. В зависимости от
размеров объекта, его значимости, выполняемых функций, а также с учетом влияния
природных факторов среды, степени антропогенных нагрузок состав и содержание
работ по инженерной подготовке территорий может быть разнообразным. Поверхностный
сток образуют ливни, дожди, талые воды. В естественных условиях они стекают по
склонам, накапливаются в низинах, образуя бессточные места. Поверхностные воды
способствуют процессу эрозии почв являются причиной образования оврагов,
оползней, повышения уровня грунтовых вод и затопления парковых дорог, площадок,
сооружений. На объекте озеленения, дорожно-тропиночная сеть, площадки для
отдыха и занятий спортом должны быть всегда в сухом состоянии.
В проекте используется закрытая система организации стока воды с
территории - это когда сток воды отводят с помощью подземной системы
трубопроводов - водосточной сети. Трубы проходят по периметру всей территории
участка. Вода отводится в городскую водосточную сеть.
На территории сквера поверхностный сток можно организовать на участки
самих насаждений - на газоны, растительные группировки - путём поднятия дорог
над рельефом примыкающих газонов. Такой приём особенно целесообразен в условиях
с засушливым климатом.
Также подземная коммуникация это прокладка электросети. Электросети
территорий общего пользования предназначены для обеспечения освещения всей в
вечернее и ночное время. Это обеспечивает безопасное движение пешеходов и
создаёт комфортные условия для вечерних прогулок. Освещению следует отводить
одну из важных ролей в создании ландшафтно-архитектурного облика вечернего
сквера. При этом все элементы освещения должны быть эстетически
привлекательными в дневное время. Все виды осветительных установок должны
работать во взаимодействии друг с другом с учетом задач по освещению разных
элементов объекта.
Система освещения подводится к светильникам с помощью электрических
кабелей, проложенных в траншее. Опоры для парковых светильников бывают
металлическими или железобетонными. Их устанавливают на газонах в одном ряду с
деревьями. Осветительную сеть прокладывает, подключает к источнику питания и
сдает на включение заказчику специальная строительно-монтажная организация.
Была проведена вертикальная планировка рельефа с расчетом картограммы
земляных масс и объемов перемещения грунта, методом интерполяции рассчитаны
точки существующего рельефа, в соответствии с горизонталями установлен уклон
поверхности, ведомость выемки - насыпи, общее количество объема выемки и насыпи
грунта.
Расчетная часть:
. Находим опорные точки методом интерполяции.
. Определяем среднюю абсолютную отметку по формуле :
h
=(4∑ai+2∑bi+∑ci):4n=
∑а=(47,6+48,0+48,3+48,6+48,9+47,8+48,16+48,47+48,75+49,05)*4=1934,52м.
∑b=(47,34+47,7+48,05+48,4+48,7+49,2+49,5+49,28+48,92+48,65+48,37+48,06+47,6+47,32)*2=1354,18м.
∑с=47+48,94+47,85+49,6=193,4м.
.
Находим рабочие отметки по формуле
h=hi-h

=47.6-48.36=-0.76м.

=48.0-48.36=-0.36м.

=48.3-48.36=-0.06м.

=48.6-48.36=0.24м.

=48.9-48.36=0.54м.

=47.8-48.36=-0.56м.

=48.16-48.36=-0.2м.

=48.47-48.36=0.11м.

=48.75-48.36=0.39м.

=49.05-48.36=0.69м.

=47.34-48.36=-1.02м.

=47.7-48.36=-0.66м.

=48.05-48.36=-0.31м.

=48.4-48.36=0.04м.

=48.7-48.36=0.34м.

=49.2-48.36=0.84м.

=49.39-48.36=1.03м.

=49.28-48.36=0.02м.

=48.92-48.36=0.56м.

=48.65-48.36=0.29м.

=48.37-48.36=0.01м.

=48.06-48.36=-0.03м.

=47.6-48.36=-0.76м.

=47.32-48.36=-1.04м.

=47.0-48.36=-1.36м.

=48.94-48.36=0.58м.

=49.6-48.36=1.24м.

=47.85-48.36=-0.51м.
.
Находим путем интерполирования нулевые точки по формуле
х=(Hраб/hраб+hраб2)*20/0,5

=
мм.

=
мм.

=
мм.

=
мм.

=
мм.

=
мм.
.
Проводим линию нулевых работ.
.Проводим
подсчет объемов земляных работ по геометрическим формулам
Vкв=а²(h1+h2+h3+h4)/4треуг= 1/2а²(h1+h2+h3)/3

=0.001
.
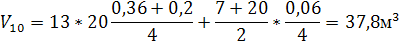
Находим баланс земляных масс по формуле
∑½V-½=
418+280+139+312+188+213+107+19.88+37.8+0.28+8.23=1723.2
∑½V+½=
116+230+186+310+135+256+388+12.95+1.67+52.215+14+34=1702.22
Z = 
|
Выемки
|
-418
|
-280
|
-139
|
-312
|
-188
|
-213
|
-107
|
-19,88
|
-37,8
|
-0,28
|
-8,23
|
|
Насыпь
|
+116
|
+230
|
+186
|
+310
|
+135
|
256+
|
+388
|
+12,95
|
+1,67
|
+52,215
|
+14+34
|
|
Итого
|
+1702,22
|
|
|
|
|
|
|
|
|
|
|
|
-1723,2
|
|
|
|
|
|
|
|
|
|
|
.3 Обоснование выбора ассортимента растений
Зеленые насаждения являются важной и неотъемлемой частью ландшафтного
дизайна всей территории. Элементами озеленения являются: газоны, цветники,
деревья и кустарники.
В данной курсовой работе проектируется центральная площадь, с прилегающей
к ней сквером, предназначенный для прохода пешеходов, прогулок и
кратковременного отдыха. При проектировании озеленения территории учитывались
следующие требования:
применение наиболее простых и легко осуществимых приемов озеленения;
высокая декоративность проектируемых посадок;
использование существующих зеленых насаждении;
удобство пользования зелеными насаждениями и их обслуживания.
В проекте предусмотрены следующие виды насаждений: древесно-кустарниковые
группы, деревья-солитеры, аллеи, живые изгороди, газоны и цветочные композиции.
В сквере наиболее оптимальным средством озеленения является газон,
подчеркивающий простоту архитектуры. На этом фоне размещаются другие виды
озеленения: групповые, одиночные, аллейные посадки, живые изгороди, цветники. В
создании пейзажей основная роль принадлежит групповым посадкам, так как они
оживляют газон. Для проектирования сквера в данной курсовой работе используются
древесные группы, деревья, солитеры, рядовые посадки, газоны.
Газон является фоном для размещения других видов озеленения, таких как
групповые и одиночные посадки, аллейные посадки, живые изгороди, цветники. В
проекте применён садово парковый газон обыкновенный. Процентное соотношение
смеси газона: овсяница красная (40 %), мятлик луговой (30 %), райграс
пастбищный (30 %) или овсяница луговая (50 %), мятлик луговой (25 %), полевица
белая (25 %) привлекательных и совместимых друг с другом в экологическом и эстетическом
отношении.
Группы это главный элемент озеленительных построений, основная
конструкция садово-парковой архитектуры при различных стилях планировки. При
проектировании данного сквера используются как сквозные (стволы деревьев
открыты и просматриваются другие группы), так и плотные группы деревьев.
Растения применяются в группах такие как: клен полевой, черемуха обыкновенная,
липа мелколистная, снежноягодник белый.
На дендроплане изображена схема древесно-кустарниковой группы из
чубушника венечного, ели колючей, ивы белой и тополя белого. Они очень хорошо
дополняют друг друга своей декоративностью, и все подходят под данные
климатические условия.
Солитерные посадки представляют собой изолированные посадки одиночных
растений, притягивающих взгляды и являющихся акцентом всей композиции.
Солитерами могут быть обладающие декоративной ценностью кустарники, деревья и
крупные цветущие растения, длительное время сохраняющие свои декоративные
свойства. В проекте использованы такие солитерные посадки как: дуб красный,
черемуха обыкновенная, вяз гладкий, тополь берлинский. Все они имеют
декоративный внешний вид, который привлекает внимание.
Дуб красный.
Аллейные посадки можно сопровождать ритмичной последовательностью
небольших групп лиственно-декоративных или красиво цветущих кустарников.
Для создания аллеи шириною более 12 м были применены широколиственные
деревья (дуб красный, белый тополь, клен остролистный, граб обыкновенный и
др.). Если аллея формируется небольшой ширины, имеющие яйцевидную и овальную
форму кроны (каштан конский, липа мелколистная, крупнолистная, крымская и
серебристая).
Своеобразную парадность и стройность аллее придадут пирамидальные кроны
деревьев (тополь берлинский)
Граб обыкновенный.
Особенно нарядны аллеи из хвойных деревьев не только летом, но и зимой
(ель колючая, туя, сосна Веймутова, обыкновенная и др.).
Если для аллейной посадки используются однотипные деревья с ажурной
кроной (тополь берлинский.), они размещены по обе стороны дорожки , что даст
возможность создать нужное затенение, а также фон для группируемой
растительности на прилегающих участках. Особенно декоративны аллеи при
двухрядной посадке. В такой посадке используется ель колючая и чубушник
венечный.
В центральной зоне предусматривается живая изгородь из кизильника блестящего
Тополь берлинский.
Цветочное оформление.
В данном проекте применяются различные цветники, по форме, времени
цветения, размерам, и подбора элементов насаждений.
Рабатки, длиной 7 метров, шириной 2 метра. Поверхность рабатки всегда
ровная. На данном участке рабатки размещены вокруг площади, это двусторонние
рабатки, поэтому высокие растения сажают посередине, а более низкие располагают
по обе стороны от них.
Для оформления рабаток используется самый разнообразный растительный
материал, но предпочтение отдается использованию луковичных (нарциссы,
тюльпаны, гиацинты - цветут весной) или корневищных (хоста, астильбы, люпин,
пионы и и других, цветущих в течении лета) растений, а так же всевозможным
однолетникам с длительными периодами цветения. В проекте в рабатках размещены
бегония вечноцветущая, тагетес мексиканский, маргаритки однолетние.
В зрелищной, зоне активного отдыха, в середине площадки расположен не
большой розарий. Фоном служит газон. Применяется роза гибридная, красного и
нежно-розового цвета.
Подбор растений осуществлялся с учетом климатический особенностей данного
района. Также подбирались наиболее декоративные формы растений, формой кроны,
фактурой коры и листьев, так же разные растения декоративны в разные сезоны
например чубушник венечный и гортензия метельчатая наиболее привлекательна
весной, а дуб красный осенью. Парк привлекает своей красотой круглый год. И
никто не останется равнодушен к его красоте и зимой и летом.
Ведомость ассортимента растений
|
№
|
Наименование (русское и
латинское)
|
Количество
|
Примечание
|
|
11
|
Ель колючая (Pícea)
|
23
|
Хвойное вечнозеленое
дерево, до 20м
|
|
12
|
Тополь берлинский (Populus ×berolinensis)
|
12
|
Лиственное, листопадное
дерево, до 20м
|
|
13
|
Туя западная (Thúja occidentális)
|
2
|
Вечнозеленое хвойное
деревце, до 5м
|
|
14
|
Клен полевой (Ácer campéstre)
|
10
|
Лиственное дерево, высотой
25-30м.
|
|
15
|
Сосна веймутова (Pínus stróbus)
|
9
|
Хвойное , вечнозеленое
дерево, до 30м.
|
|
16
|
Тополь серебристый (Pópulus álba)
|
19
|
Листопадное дерево, 30-35м.
|
|
17
|
Ольха белая (Álnus incána)
|
2
|
Листопадное дерево, высотой
20м
|
|
19
|
Черемуха обыкновенная (Prúnus pádus)
|
17
|
Деревце, дерево или крупный
кустарник высотой 0,6-10 м,
|
|
19
|
Дуб красный (Quercus rubra)
|
2
|
Листопадное дерево, 25-30м.
|
|
110
|
Липа мелколистная (Tília cordáta)
|
5
|
Листопадное дерево, высотой
20-25м.
|
|
111
|
Кизильник блестящий (Cotoneáster lucídus)
|
44
|
Листопадный кустарник, до
2м.
|
|
112
|
Роза гибридная
|
20
|
Красивоцветущий кустарник,
до 1,5м.
|
|
113
|
Айва японская (Cydonia
oblonga)
|
1
|
Листопадное травянистое
дерево, 1,5-3м.
|
|
114
|
Снежноягодник белый
(Symphoricarpos albus)
|
7
|
Листопадный, кустарник,
1,5-2м.
|
|
115
|
Бузина красная (Sambúcus racemósa)
|
3
|
Листопадный кустарник,
высотой 1,5-3м..
|
|
116
|
Можжевельник казацкий (Juníperus sabína)
|
6
|
Хвойный кустарник, высотой
1-1,5м.
|
|
217
|
Калина обыкновенная (Vibúrnum ópulus)
|
10
|
Листопадный кустарник,
1-1,5м
|
|
218
|
Чубушник венечный
(Philadelphus coronarius)
|
6
|
Лиственный красивоцветущий
кустарник, до 2,5м
|
|
219
|
Ирис
бородатый(флорентийский) (Ir. florentina Ker-Gawl.)
|
30
|
Многолетнее травянистое
растение, 30-50см.
|
|
220
|
Колокольчик персиколистный
(Campánula persicifólia)
|
36
|
Двулетнее, травянистое
растение, 20-30см.
|
|
221
|
Лилейник (Hemerocállis)
|
16
|
Многолетнее ,
кустарничковое растение, до 1м.
|
|
|
|
Деревьев
|
92
|
|
|
Кустарников
|
98
|
|
|
Травянистые растения
|
72
|
|
3. Расчетно-технологическая часть
.1 Агротехнические мероприятия
Уход за газоном. Газон требует ежедневного полива, при этом нужно
соблюдать некоторые условия: глубина увлажнения почвы должна быть не менее
15-20 см. полив проводить лучше рано утром или вечером. Ранней весной газон
косить как только трава пойдет в рост. В середине весны вносим удобрения, если
появились сорняки обрабатывать гербицидом. Подкормка поводится с интервалом 6-8
недель. Высота травы должна быть 1,25 см. летом косить газон два раза в неделю.
Ранней осенью удаляем с газона мох и органические остатки, и продолжаем
ухаживать за ним таким же методом что и раньше, подкормка , удаление сорняков,
мусора, и стрижка до остановления роста травы.
Удаление сорняков. Важным противоядием от сорняков на газоне является его
регулярная стрижка. Она не только поддерживает его внешний вид, но и служит
прекрасным средством борьбы с паразитическими растениями. Наиболее живучие
сорняки-многолетники выкапывают при помощи узкого совка или ножа. При этом
необходимо по возможности глубже подкопать и удалить корни сорняков.
Мульчирование почвы, покрываем почву различными мульчирующими материалами
в целях предохранения ее от высыхания, потери плодородия и роста сорняков.
После ранневесеннего рыхления поверхности почвы приствольный круг покрывают
торфом, соломистым навозом, мхом, лесной подстилкой, древесными опилками.
Толщина слоя покрытия составляет 8-12 см, мох и торф настилают слоем около 4
см.
Рыхление почвы. Глубина рыхления не должна превышать 5-10 см - у деревьев
и 3-4 см у кустарников. Первое рыхление необходимо проводить весной, сразу же
после таяния снега, как только поверхностный слой почвы, достаточно просохнет,
последующие - в зависимости от уплотнения почвы, но не раже 2-3 раз за
вегетационный период. Лучше это делать после дождя или полива.
Обрезка деревьев и кустарников. Правильно проведенная обрезка существенно
влияет на долговечность и декоративность растений, позволяет улучшить общий
рост и развитие растения, повысить его приживаемость при пересадке, улучшить форму
кроны растения. Обрезка также необходима для дальнейшего формирования штамба
растения, регулирования его размеров, улучшения качества и обилия цветения,
плодоношения, а также омоложения и общего оздоровления.
В проекте используется санитарная и формовочная обрезка, опишем их.
Санитарная обрезка, это вырезка мертвых, заболевших и сломанных ветвей. Эту
обрезку проводят в течение всего вегетационного периода по мере обнаружения
таковых побегов. Их обрезают на кольцо косым срезом у основания ветви над здоровой
почкой, а место среза смазывают садовой замазкой или масляной краской.
Формовочная обрезка - проводится с целью придания кроне заданной формы и
поддержания ее, выравнивания высоты растений, достижения равномерного
расположения скелетных ветвей, формирования оптимального светового режима в
кронах и под ними.
Уход за цветниками. Полив. Норма полива для однолетников составляет 15-20
л, многолетников - 30-40 л/м² цветника.
Ранневесенние и весенние луковичные растения требуют обильного полива
40-60 л/м². В жаркий период рекомендуется проводить опрыскивание
растений в вечернее время, норма опрыскивания составляет 2-3 л/м².
Уход за надземной частью растений. Ранней весной в цветниках из
многолетников необходимо удалить отмершие побеги и листья. Это следует делать
регулярно. При этом, чем раньше будут удалены завязи, тем быстрее отрастут
боковые побеги и начнется второе цветение осенью. Осенью, до наступления
морозов следует удалить надземные части у растений с незимующими побегами. Для
защиты растений с зимующими побегами желательно проводить укрытие на зиму
еловым или сосновым лапником, а в бесснежные зимы сверху лапника добавлять слой
листьев 10-12 см. Укрытие из листьев и лапника следует снимать ранней весной, с
тем, чтобы предохранить растения от выпревания и не повредить молодые побеги.
Улучшение плодородия почвы. В целях улучшения плодородия почвы используют
минеральные и органические удобрения.
Птичий помет - полное органическое удобрение. По содержанию питательных
веществ превосходит навоз; по быстроте действия на плодовые деревья не уступает
минеральным удобрениям. Птичий помет в чистом виде вносят осенью или ранней
весной под перекопку из расчета 0,2-0,3 кг на 1 м2. Однако чаще всего его
используют для подкормок в жидком виде. Бочку или другую емкость на '/з
наполняют птичьим пометом и до самого верха заливают водой. Содержимое
несколько раз перемешивают и оставляют на 2-4 дня. Болтушку разбавляют
3-4-кратно водой и вносят в лунки под деревья из расчета 1 - 1,5 ведра на 1 м2.
Подкормку можно выполнить иначе: 1-2 кг помета разводят в ведре воды и вносят в
количестве 1,5 л на 1 м2 в канавки, которые засыпают почвой.
Азотные - удобрения необходимо вносить ежегодно в один (весной) или лучше
в два приема: половину дозы весной, половину в начале лета. На глинистых почвах
азотные удобрения можно вносить и поздно осенью, но только в форме сульфата
аммония. Во всех случаях удобрения вносят поверхностно, равномерно рассевая их
по участку. Из-за возможных потерь азота обязательным условием рационального
использования азотных удобрений является немедленная заделка их во влажную
почву на небольшую глубину. Если почва сухая, то сразу же после заделки
удобрений необходимо провести полив.
.2 Производство работ. Расчёт стоимости посадочного материала
Согласно ГЭСН 2001-27.Озеленение. защитные лесонасаждения. ГЭСН 2001-68
Благоустройство на участке были выполнены следующие виды работ
- Планировка участка
- Разбивка участка
- Очистка участка от мусора
- Подготовка посадочных мест для деревьев-саженцев(с комом
земли)
- Подготовка посадочных мест для кустарников
- Подготовка посадочных мест для живой изгороди (посадка
однорядная)
- Посадка деревьев-саженцев(с комом земли)
- Посадка кустарников в живую изгородь
- Подготовка почвы для устройства обыкновенного газона(с
внесением растительной земли)
- Посев газона
- Устройство корыта под цветники
- Подготовка почвы под цветники
- Посадка многолетников
- Уход за саженцами деревьев
- Уход за саженцами кустарников
- Уход за цветниками
- Уход за газоном
- Прополка газона
- Прополка цветников
- Рыхление цветников
- Выкашивание газонов
- Полив
- Прочие не учтенные работы
Расчет потребностей в посадочном материале.
Зависит от площади отведенной для определенного вида насаждений, а так же
норматива посадок на м2 , погонный метр. Для расчета условно принимаем диаметр
проекции кроны, отдельно стоящих деревьев 5-6м., S в группах и массивах
рассчитывается по их изображению на плане , S газона определяется путем
вычитания суммы площадей всех планировочных элементов из общей площади сада.
Участки газонов под кронам деревьев в состав площадь не входят, т.к. здесь
должна быть показана площадь открытого пространства.
Нормативы по цветникам
- для ковровых посадок 25-30шт. на 1м2 (однолетники)
- для многолетников, крупных - 3-4 шт. на 1 м2
- средних 5-7 шт.(9) на 1 м2
- для мелких многолетников 12-15 шт. на 1 м2
- для газона 30г. на 1 м2 травяной смеси
- живая изгородь: длина изгороди в реальных метрах делим на
расстояние между кустарниками дл низкорослых 0,3-0,4м., для среднерослых
0,5-0,6м., для высокорослых 0,8-1м.
.3 Система полива на участке. Расчет в потребности воде
На данном участке используется самая распространенная система полива:
Дождевание - наиболее совершенный и перспективный способ полива. Оно
имеет следующие преимущества по сравнению с поверхностным орошением: полная
механизация работ; поливная норма регулируется более точно и в широких пределах
(от 30…50 до 300…800 м3/га и более), что позволяет создавать водно-воздушный
режим почвы, близкий к оптимальному, и регулировать глубину промачивания почвы;
можно поливать участки с большими уклонами и со сложным микрорельефом. Забор
воды производится от проложенной системы полива. Затраты воды меньше чем при
поверхностном орошении. одновременно с орошением в почву вносились минеральные
удобрения. Дождевальные установки размещены в аллейных посадках и на газоне.
Расход воды на полив растений.
Норма расхода воды для пролива, при посадке растений-30-50 л на растение,
глубина промачивания-60-80 см.
Нормы расхода воды для полива деревьев.
Тяжёлые почвы - 75л/кв.м - однократный полив.
Лёгкие почвы - 50л/кв.м - однократный полив. Кратность полива - 3 - 5 раз
в сезон.
Нормы расхода воды для полива кустарников.
Тяжёлые почвы - 20- 25л/кв.м - однократный полив.
Лёгкие почвы -20л/кв.м - однократный полив.
Кратность полива - 7-10 раз в сезон.
Норма расхода воды для полива газона.
-20л/кв.м - кратность полива - 2-3раза в неделю в засушливый период, 1-2
раза в период умеренной температуры воздуха.
Норма полива цветников.
-16л/кв.м - кратность полива - 2 раза в неделю.
.4 Технологическая карта ухода за зелеными насаждениями
Уход елью колючей
|
Уход за корневой системой
|
|
приемы
|
Инструменты
|
Примечание.
|
|
рыхление
|
Мотыги, разрыхлители,
культиваторы
|
2-3 раза в неделю перед
поливом
|
|
прополка
|
Мотыги с различной насадкой
|
По мере необходимости, 2-3
раза в неделю
|
|
полив
|
Шланг с распылителем,
Ведро, лейка
|
20-40 литров на дерево
10-15 литров на кустарник
|
|
подкормка
|
Органические и минеральные
удобрения
|
сенью под зябь,
органические-2-3кг.на м2 минеральные- несколько раз за сезон, г/ м2
|
|
Мульчирование
|
Торфяная крошка, галька,
щебень
|
весной
|
|
Борьба с болезням и
вредителями
|
Инсектициды
|
По мере необходимости
|
|
Уход за штамбом
|
|
приемы
|
Инструменты
|
Примечание
|
|
Очистка коры от мха и
грибов
|
Деревянный нож,
металлическая щетка
|
По мере необходимости
очищать ствол от мха, грибов, грязи
|
|
Лечение
|
Масляная краска, садовая
замазка
|
По мере необходимости
|
|
Борьба с болезнями и
вредителями
|
|
По мере необходимости
|
|
Уход за кроной
|
|
приемы
|
Инструменты
|
Примечание
|
|
дождевание
|
Пулевизатор. 10л.воды,
50г.хоз.мыла
|
по мере необходимости
|
|
Внекорневая подкормка
|
Комплексные и минеральные
удобрения, микроудобрения. пулевизатор
|
Весной перед цветением
|
|
Обезка
|
Садовые ножницы, садовая
пила, секатор.
|
Санитарная обезка-по мере
необходимости. Формовочная - если требуется. несколько раз за вегетационный
период. Омолаживающая- под пень, если дерево старое.
|
|
Удаление сухих листьев и
ветвей
|
Садовые ножницы, секатор
|
По мере необходимости
|
|
Уход за газоном
обыкновенным.
|
|
Косьба
|
Газонокосилка, ручная
косилка
|
6-8 раз за вегетационный период
|
|
Полив
|
Разбрызгиватель
|
Ежедневно , до полного
увлажнения почвы
|
|
Подкормка
|
Комплексные удобрения
(аммофос, диаммофос, нитрофос )
|
Ранней весной
|
|
Аэрация
|
Аэратор
|
Несколько раз за
вегетационный период
|
|
Борьба с сорняками
|
Мотыги , культиватор
|
Проводят систематически
|
|
Отчистка от листвы и мусора
|
Веерные грабли
|
По мере необходимости
|
|
Борьба с болезнями и
вредителями
|
Инсектециды
|
По мере необходимости
|
|
|
|
|
Уход за кустарниками
|
Уход за корневой системой
|
Уход за надземной частью
|
|
Приемы
|
Инструменты
|
Примечание
|
Приемы
|
Инструменты
|
Примечание
|
|
Рыхление вокруг чубушника
венечного
|
Мотыга, разрыхлители
|
По мере необходимости
|
Дождевание
|
Дождевальная установка
|
По мере необходимости
|
|
Прополка Розы гибридной
|
Мотыга, разрыхлители
|
По мере необходимости
|
Внекорневая подкормка
|
Комплексные и минеральные
удобрения
|
Ранней весной, перед
цветением
|
|
Полив гортензии метельчатой
|
Шланг с распылителем
|
10л. на куст
|
Формовочная стрижка,
прищипка
|
Садовые ножницы, секатор
|
Май-август
|
|
Подкормка Растений в
цветниках
|
1.Органические удобрения
2.удобрения
|
1.Осенью под зябь 2-3 кг на
5 м² 2. 15-20 г на м²
|
|
|
|
|
Мульчирование
|
Торфяная крошка, галька
|
Весной
|
|
|
|
|
Борьба с болезнями и
вредителям
|
Инсектициды
|
По мере необходимости
|
|
|
|
4. Охрана труда и рациональное природопользование
Наличие в городах зеленых насаждений является одним из наиболее
благоприятных экологических факторов. Зеленые насаждения активно очищают
атмосферу, кондиционируют воздух, снижают уровень шумов, препятствуют
возникновению неблагоприятных ветровых режимов, кроме того, зелень в городах
благотворно действует на эмоциональное состояние человека. При этом зеленые
насаждения должны быть максимально приближены к месту жительства человека,
только тогда они могут оказывать максимальный положительный экологический
эффект.
В данном проекте учитывали экологическую ситуацию территории. На всех
открытых для посещения объектах в любое время года должны поддерживаться
чистота и порядок.
Обеспечение работников средствами индивидуальной защиты.
Конституционному праву гражданина на труд в условиях, отвечающих
требованиям безопасности и гигиены, корреспондирует обязанность работодателя
обеспечить надлежащее техническое оборудование всех рабочих мест и создать на
них условия работы, исключающие воздействие вредных или опасных
производственных факторов и возможность получения производственной травмы,
профессионального заболевания или инвалидности. В этих целях работодатель
обязан принять меры к тому, чтобы производственные здания, сооружения,
оборудование отвечали требованиям, обеспечивающим здоровые и безопасные условия
труда.
Структура и численность работников службы охраны труда организаций
определяются работодателем с учетом рекомендаций государственного органа
управления охраной труда . Основные функции службы охраны труда: выявление
опасных и вредных производственных факторов на рабочих местах; проведение
анализа состояния и причин производственного травматизма, профессиональных и
производственно-обусловленных заболеваний; участие в подготовке предложений к
плану мероприятий по охране труда, а также в подготовке раздела
""охрана труда"" в коллективных договорах; согласование
разрабатываемой в организации проектной документации в части соблюдения в ней
требований по охране труда и т.д.
Контроль за расходованием средств на охрану труда, предусмотренных соглашением
по охране труда, осуществляется непосредственно сторонами или уполномоченными
ими представителями. При осуществлении контроля стороны обязаны предоставлять
всю необходимую для этого информацию. В целях повышения ответственности
работодателей за надлежащее оборудование рабочих мест Правительством РФ
предусмотрено проведение обязательной сертификации постоянных рабочих мест на
производственных объектах, средств производства, оборудования для средств
коллективной и индивидуальной защиты, т.е. определение пригодности рабочих мест
и соответствующих средств производства с точки зрения их безопасности для
работников. Проведение сертификации постоянных рабочих мест на производственных
объектах должно проводиться исходя из результатов аттестации рабочих мест по
условиям труда. Ежегодная разработка перечней постоянных рабочих мест на
производственных объектах, подлежащих обязательной сертификации, и
представление их на утверждение Минтруду России возложены на территориальные
органы государственной экспертизы условий труда. Помимо рабочих мест и
оборудования сертификации подлежат также используемые сырье и материалы.
Применение новых материалов, сырья, не прошедших специальную экспертизу их
влияния на организм и здоровье человека и не получивших гигиенический сертификат,
не допускается. Виды продукции, на которые должен выдаваться такой сертификат,
утверждены Госкомсанэпиднадзором России. К таким видам продукции относятся,
например: химическая и нефтехимическая продукция производственного назначения;
товары бытовой химии; средства химизации сельского хозяйства, в том числе
минеральные удобрения; полимерные и синтетические материалы, предназначенные
для применения в строительстве, на транспорте, а также для изготовления мебели
и других предметов домашнего обихода. В организациях, деятельность которых
связана с производством и применением вредных веществ, должны проводиться
соответствующие организационно-технические, санитарно-гигиенические,
лечебно-профилактические и другие мероприятия, предотвращающие воздействие вредных
веществ на работников, а также выдаваться средства индивидуальной защиты.
Заключение
Все актуальнее и сложнее становится задача планировки населенных пунктов.
При этом требуют решения вопросы формирования и охраны среды, благоустройства и
озеленения городских территорий, организации движения транспорта, обеспечения
все более высокого уровня комфорта в труде, быте и отдыхе горожан. Их решает
наука о планировке и создании городов - градостроительство, цель которого -
решение комплекса социально-экономических, строительно-технических,
архитектурно-художественных, санитарно-гигиенических вопросов.
Градостроительство затрагивает многие стороны жизни, оно синтезирует в
себе последние достижения науки и техники в разнообразных отраслях народного
хозяйства. Градостроительные процессы непрерывно связаны с развитием экономики
и культуры страны. Современное градостроительство не только включает в себя
исследования по строительству, но и требует участия специалистов в областях
социологии, демографии, статистики, медицины, биологии, химии, экологии. Только
комплексный подход к градостроительным задачам дает теоретически обоснованные,
правильные решения.
Поиски путей оздоровления и сохранения окружающей среды, водного и
воздушного бассейнов - одно из важнейших направлений развития
градостроительства современности.
Данный проект был выполнен с применением современных технологий в области
ландшафтного дизайна и может быть использован при благоустройстве и озеленении
территории города.
Литература
1. ГЭСН
47-01-039. Внесение удобрений при посадке деревьев и кустарников.
. ГЭСН
47-01-072. Уход за растениями в альпинариях и рокариях.
. ГЭСН
47-01-084 . Полив зеленых насаждений.
. ГЭСН
47-01-085. Открытие и закрытие, прополка и рыхление приствольных лунок и
канавок.
. ГЭСН
47-02-039. Механизированная копка ям.
. ГОСТ
25100-95. Грунты. Классификация.
. ГОСТ
21.508-93. Правила выполнения рабочей документации генеральных планов
предприятий, сооружений и жилищно-гражданских объектов.
. СНиП
III-10-75. Благоустройство территории.
. СНиП
2.07.01-89. Градостроительство. Планировка и застройка городских и сельских
поселений.
. Боговая,
И.О. Озеленение населённых мест. [Текст]: учебник для вузов / И.О. Боговая,
В.С. Теодоронский - М.: Агропромиздат, 2010. - 280с.
. Булыгин
Н.Е. Дендрология. [Текст]: учебник / Н.Е. Боговая. - Л.: Агропромиздат, 2-е
изд., перераб и доп. Ленинград. отделение, 1991. - 352 с., ил.
. Калмыкова,
А.Л., Решетников, Ю.С. Строительство и эксплуатация объектов ландшафтной
архитектуры. [Текст]: методические указания к выполнению курсового проекта для
студентов V курса специальности 250203 Садово-парковое и ландшафтное
строительство А.Л. Калмыкова, Ю.С. Решетников. - Саратов, 2012. - 16с.
. Калмыкова,
А.Л., Решетников, Ю.С. Строительство и эксплуатация объектов ландшафтной
архитектуры. [Текст]: методические указания к выполнению лабораторных работ для
студентов V курса специальности 250203 - "Садово-парковое и ландшафтное
строительство" / А.Л. Калмыкова, Ю.С. Решетников. - Саратов, 2010. - 26с.
. Соколова,
Т.А. Декоративное растениеводство: Цветоводство. [Текст]: учебник для вузов /
Т.А. Соколова, И.Ю. Бочкова. - М.: Издательский центр "Академия",
2014. - 432с., [16] с. цв. ил.: ил.