Организация производства силикатного кирпича
Реферат
Данный комплексный курсовой
проект состоит из расчетно-пояснительной записки и графической части.
Расчетно-пояснительная записка
состоит из 38 страниц. В расчетно-пояснительной записке описаны технология
производства силикатного кирпича, конструкция инерционного виброгрохота,
произведен расчет технологических и эксплутационных параметров, расчет узлов и
деталей на прочность, расчет и выбор элементов привода, также описаны
организация ремонта и экономический расчет.
Графическая часть проекта
включает 4 листа формата А1.
На первом листе представлена
технологическая схема производства силикатного кирпича. На втором листе
представлен общий вид инерционного грохота. На третьем листе - приводной вал в
сборе. На 4-ом - общий вид привода грохота, вал, шкив ременной передачи и
дебаланс.
Введение
Силикатный кирпич представляет
собой искусственный безобжиговый стеновой строительный материал, изготовленный
методом прессования увлажненной смеси из песка и других мелких заполнителей,
извести с применением добавок или без них и отвердевший под давлением пара в
автоклаве.
По виду изготовления кирпич
подразделяют на пустотелый, пористый, пористо-пустотелый и полнотелый.
В зависимости от предела
прочности при сжатии и изгибе кирпич подразделяют на марки: 300, 250, 200, 150,
125, 100, 75. Марка лицевого кирпича должна быть не менее 125.
Силикатный кирпич применяют для
кладки каменных и армированно-каменных наружных и внутренних конструкций в
наземной части зданий с нормальным и влажным режимами эксплуатации, для изготовления
стеновых панелей и блоков в соответствии со СНиПом.
Изготовление на заводе прочного
и долговечного силикатного кирпича в основном зависит от качества сырьевых
компонентов, из которых производится кирпич (песка и извести). Поэтому всем
работникам завода необходимо знать, каким основным свойствами (химическими,
физическими и механическими) должны обладать сырьевые материалы, применяемые
при производстве силикатного кирпича.
Технические требования на эти
материалы изложены в соответствующих ДСТУ и ТУ, и являются обязательными для
выполнения. Применение сырьевых материалов, не соответствующих требованиям ДСТУ
и ТУ недопустимо, т.к. это вызывает выпуск бракованной продукции.
Основным сырьём для
производства силикатного кирпича являются кварцевый песок и известь.
Кварцевым песком называется
песок, основной частью, которого является кремнезём (Si02) в виде зёрен кварца.
Известь является второй
составной частью сырьевой смеси, необходимой для изготовления силикатного
кирпича.
При изготовлении силикатного
кирпича могут применяться добавки: железный сурик, пористый песок, окись хрома.
Введение молотых добавок
позволяет сократить общий цикл запаривания кирпича без снижения его прочности.
При гидротермальной обработке добавки рано вступают в реакцию с известью, быстрее
ее связывают, образуя гидросиликаты в кирпиче
1. Технологическая часть
Проведя анализ, была принята
технологическая линия производства силикатного кирпича методом полусухого
прессования. Схема технологической линии представлена на чертеже
Всю технологическую линию можно
разделить на 7 участков:
1.
Участок
подготовки извести.
2.
Участок
подготовки песка.
3.
Участок
подготовки вяжущего.
4.
Участок
подготовки формовочной смеси.
5.
Участок
прессования.
6.
Участок
тепло-влажностной обработки.
7.
Участок
готовой продукции.
1. Участок подготовки извести
включает в себя: отделение первичного дробления известняка, его грохочения,
обжиг, вторичное дробление обожженного известняка.
Участок работает следующим
образом: грейферным краном 2 известняк (30-100мм) загружается в приемный бункер
4. Из которого ленточным конвейером 3 известняк транспортируется в грохот 17.
Грохот фракционирует сырье на
куски 40-70мм,70-90 мм.
Куски размером меньше 40 мм
попадают в бункер отсева, а из него в транспорт вывоза 6.
Необходимая фракция попадает в
бункер 7, из которого ленточным конвейером 3 подается в промежуточный бункер 8.
Из него качающимся питателем 9 известняк загружается в скиповый подъемник 10,
порцией соответствующей размеру ковша.
Скиповый подъёмник 10 загружает
известняк в шахтную печь 11. В шахтной печи известняк обжигается при
температуре 900...13000. После обжига, в зоне охлаждения, известняк имеет
температуру
С. С помощью
устройства выгрузки, обожженный известняк подается на пластинчатый конвейер
43.С помощью этого конвейера, обожженная известь подаётся в щековую дробилку
13, которая имеет сложное качание щеки. Степень измельчения которой составляет
3-5. Выходные куски имеют размер до 40 мм.
После дробления обожженная известь,
ленточным конвейером 3, подаётся в одно-цепной ковшовый элеватор 14. Из
которого обожженная известь накапливается в бункере 15
2. Участок подготовки песка
включает: отделения грохочения подачи в накопительный бункер.
Песок доставляется
пневмотранспортом 20 и сгружается в накопительный бункер 19. Из бункера
ленточным конвейером 18, он подается на грохот 17, где происходит сортировка и
очистка сырья. Далее ленточным конвейером песок подается в накопительный бункер
16, в размере около 20 % от всего объема просеивания, остальная часть, 80%,
поступает и накапливаются в бункере 22. Крупные включения и мусор подаются в
бункер 21, а затем вывозятся.
3. Участок подготовки вяжущего
включает в себя: смесительное отделение, отделение гашения, отделение
доувлажнения.
Из бункера молотой извести 24
известково-силикатная смесь при помощи объемного дозатора 26, подается на
ленточный конвейер, и транспортируется в смеситель лопастной двухвальный 23. В
этот же смеситель подается остальная часть песка, из бункера 22 при дозировании
объёмным дозатором 26 и транспортировании ленточным конвейером. В смеситель
подается также вода. По выходу из смесителя перемешанная смесь конвейером
транспортируется во вторичный смеситель 23, где происходит вторичное
перемешивание и частичное гашение с добавлением воды. После этого наклонным
ленточным конвейером смесь подается на конвейер, расположенный над силосами 30.
С этого конвейера плужковыми сбрасывателями смесь равномерно поступает в
силоса, где и происходит окончательное гашение извести. После гашения вяжущее
при помощи тарельчатого питателя 31 подается на конвейер, который подает смесь
в смеситель 23, где происходит доувлажнение массы до формовочной влажности.
4. Участок подготовки
формовочной смеси включает в себя: помольное отделение и отделение очистки и
транспортировки.
Участок работает следующим
образом: из бункеров 15 и 16 , при помощи объемного 26 и весового 27 дозаторов,
компоненты подаются в приемную цапфу шаровой мельницы 29. После помола, вяжущее
при помощи винтового питателя 44, подается в пневмокамеру и по пневмотранспорту
в циклон. 25. В нем происходит очистка воздуха от вяжущего, которое осаждается
и наполняет бункер 24.
5. Участок прессования
работает следующим образом:
Формовочная смесь при помощи
плужковых сбрасывателей, с ленточного конвейера 3, загружается в приемные
бункера прессов 32. Из них смесь попадает на пресса 33. После формования сырец
при помощи автомата-укладчика 34 укладывается на пропарочные вагонетки 35.
6. Участок тепло-влажностной
обработки состоит автоклавного отделения и толкателей с электропередаточными
тележками.
Участок работает так:
пропарочная вагонетка 35, с уложенным на неё кирпичём-сырцом, толкателем 39
загружается на электропередаточную тележку 36 и транспортируется к автоклавам
38. В автоклаве происходит пропаривание сырцп, и обратная реакция гидротации
Са(ОН)2 и известь приобретает твердую структуру. Давление в автоклаве около 8
атмосфер, при температуре около 200 °С. Процесс обработки длится 8-10 часов.
. Участок готовой продукции.
После пропарки, вагонетки
вытаскиваются лебедкой на площадку выстоя. С этой площадки кирпич складывают на
поддон, образуя тем самым клетки, которые предназначены для более удобной
погрузки на транспорт.
2. Назначение и сущность
процесса сортировки материалов
Сырье, используемое для
изготовления различных строительных изделий и конструкций, в большинстве
случаев неоднородно. Оно состоит из различных по величине и форме кусков, зерен
или пылевидных частиц. При обработке материалов возникает необходимость
разделения (сортировки) смеси на отдельные фракции, в каждой из которых размеры
кусков (зерен, частиц) не выходили бы за определенные пределы. В ряде случаев
необходимо так же выделить из обрабатываемого материала посторонние примеси или
включения.
Сортировка может быть
грохочением, сепарацией и классификацией материалов. Эти процессы, в свою
очередь, могут осуществляться механическим, воздушным, гидравлическим и
магнитным способами.
Механическая сортировка
(грохочение) осуществляется при помощи машин, снабженных ситами, решетками,
колосниками.
Применяют грохочение для
получения двух или нескольких фракций материалов, отличающихся по крупности.
Воздушная сепарация материала
основана на сортировке материала в воздушном потоке; частицы разделяются под
влиянием сил тяжести или центробежных сил, или совместного действия тех и
других. Для воздушной сепарации применяются воздушные сепараторы различных
конструкций.
Гидравлическая сортировка
(классификация) материалов по крупности основана на различных скоростях падения
частиц неодинаковой величины и удельного веса, находящихся во взвешенном
состоянии в водной среде. Для гидравлической сортировки применяются
гидроклассификаторы и гидроциклоны.
Магнитная сортировка позволяет
выделить из обрабатываемого материала железосодержащие примеси или отделить
металлические предметы, случайно попавшие в перерабатываемое сырье. Магнитная
сортировка основана на притяжении к магниту металлических частиц, попавших в
его магнитное поле.
Машины для грохочения и сортировки,
применяемые в промышленности строительных материалов, классифицируются
следующим образом:
Грохоты: а) плоские
неподвижные; б) плоские подвижные, которые в свою очередь разделяются на
качающиеся и вибрационные; в) вращающиеся -барабанные или призматические.
Воздушные сепараторы: а) с
горизонтальной струей воздуха; б) с вертикальной струей воздуха; в) с движением
частиц под действием восходящей струи воздуха и центробежной силы.
Машины и аппараты для
гидравлической классификации: а) классификаторы конусные, камерные,
гидромеханические; б) сотрясательные столы.
Магнитные сепараторы: а)
электромагнитные сухие; б) электромагнитные мокрые.
силикатный кирпич
грохот оборудование
2.1 Описание конструкции и
принципа работы грохота
Широкое распространение в настоящее
время получили вибрационные грохоты, которые в зависимости от принципа работы
вибратора делятся на инерционные и электромагнитные.
На рис. 2.1. показана схема
инерционного вибрационного грохота. Вибрация корпуса 1 происходит вследствие
неуравновешенности масс вращающихся дебалансов 2 (двигатель через клиноременную
передачу вращает вал, который способствует появлению окружной силы дебалансов
(вынуждающая сила), от которой происходят колебания короба). Сортируемый
материал непрерывно подбрасывается на сите 3, при этом мелкие куски
проваливаются через отверстия сит, крупные - перемещаются нижнему концу короба.
Амплитуда колебаний грохота
зависит от количества материала на сите, поэтому вал 4 в процессе работы
смещается от своего первоначального положения. Равномерное питание материалом
вибрационных грохотов - основное условие их нормальной работы.
Рис. 2.1 - Схема вибрационного
грохота
- корпус; 2 - дебалансы; 3 -
сито; 4 - вал
3. Расчётная часть
.1 Расчет параметров колебаний
короба грохота
К основным параметрам,
определяющим эффективность грохочения и производительность грохотов, относятся
размеры просеивающих поверхностей, частота и амплитуда колебаний, угол наклона
грохота, направление вращения вибровозбудителя и траектория движения сита.
Эффективность грохочения
зависит и от соотношения ширины и длины просеивающей поверхности, толщины слоя
материала, характера колебаний.
Экспериментально установлено,
что наилучшая эффективность грохочения происходит при соотношении ширины и
длины просеивающей поверхности равной B:2,5L. При этом же соотношении
производительность грохота прямо пропорциональна площади сита.
Оптимальные значения амплитуды
и частоты колебаний сита зависят от формы траектории его движения.
Их совокупность влияет на
производительность, эффективность грохочения и способность грохота к
самоочищению отверстий сит от застрявших в них зерен.Исходные данные к расчету:
1.
Материал
- известняк.
Производительность - 60м
/час
Фракционный состав:
|
Крупность
материала
|
Размер
фракции (мм)
|
Деление
продукта (известняка)
|
|
0-2.5
|
2.5-5
|
5-10
|
10-20
|
20-40
|
40-70
|
70
90
|
|
|
0-90
|
Содержание
фракции (%)
|
1-е
сито
|
2-е
сито
|
|
1
|
4
|
5
|
10
|
10
|
20
|
50
|
70-90
|
40-70
|
6 15 15 40
-5 40-60 60-90 60-90 20-60
1.Определяю процентное
содержание подситного продукта по каждому ситу:
Сн1=50% Сн2=30%
. В соответствии с
граничными размерами фракций (надситных), по табл. 2.5 [3] определяю размеры
отверстий сит; учитывая рекомендации стандартов.
Дотв. 1 сита = 70 мм;
Дотв.2сита =40 мм
3. По номограмме рис.20 [2]
определяю процентное содержание в нижнем классе зерен размером менее половины
отверстия сита по каждой просеивающей поверхности, угол ее наклона и
эффективность просеивания.
Получаю: j
= 92,7 %; j2
= 71,3 %
а
=19,2; а2 = 23
Е
= 95,4%; Е2 =81,6%
4. Уточняю эффективность
грохочения по формуле
Е=е
к1
к2
к3
где: е - 87% - эталонное значение
эффективности беру по [4] стр. 96,
к1 k2, k3 - коэффициенты, зависящие
от параметра грохота и состава материала. Значения коэффициентов определяю по
табл. 2.3 [3] для каждого сита:
Для 1-го сита К1`= 1,0;
К2'=0,97; К3'= 1,00
Для 2-го сита К1` =0,88; К2' =
0,95; К3'= 0,98
=87- 1 -0,97- 1,0 =84% Е2 =
87-0,88-0,95-0,88 = 71 %
Проверяю угол наклона a
и а 2 по
формуле(42)
Принимаю угол наклона грохота a
= 20°.
. Определим площадь сит по
заданной производительности по формуле:
Где m=0,5-коэффициент неровности питания
определяю в зависимости от типа грохотаи материала[1] табл. 20.удельная
производительность с отверстиями квадратного сечения
По таблице 2.4[3] нахожу значения коэффициентов
К и q для каждого сита:
|
№
|
К1
|
К2
|
К3
|
q
|
|
Для
1-го сита
|
1,18
|
1,08
|
1,37
|
56
|
|
Для
2-го сита
|
1,54
|
0,76
|
1.18
|
40
|
Производительность по 2-му ситу П2 =
П
0,5. 0,95 -
процент подситного продукта по 1-му ситу (1). Определяю длину и ширину сит по
формулам:
Принимаю размер просеивающей
поверхности по обеим ситам, объединенных одним коробом L= 2м, В = 1м, S =1.25
м2
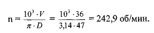
.Определяю динамические параметры
грохочения (амплитуду и частоту). Принимаю амплитуду А = 4 мм. Определяю
угловую скорость
w=(p×n)/30=(3,14×838)/30=87,7
рад/с
где n=265
=265
=838 об/мин
Проверяю амплитуду по формуле:
A=K
g
cos a = 3,29
9,81
cos 20
=0,004м

sin
87,7
sin90
где а - угол наклона сит к
горизонту.
- угол между плоскостью сита и
направлением колебаний: для наклонных грохотов с круговыми колебаниями
=90°.-
динамический коэффициент, определяю по формуле:
1.
Расчет
дебалансов.
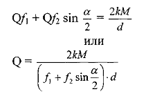
Вынуждающую силу определяю по формуле:
где m в - масса
колеблющихся частей, кг :
- масса короба с ситами, кг:
К - коэффициент присоединения
сортируемого материала; К=0,15-0,25- масса материала находящегося на ситах, для
двухситных грохотов:
силикатный кирпич
грохот оборудование
где р - плотность просеиваемого
материала;- длинна ситовой поверхности;
Кn
Кn2 поправочные коэффициенты,
учитывающие производительность на 1 м рабочей ширины грохота по верхнему и
нижнему ситам, табл. 2.7, 2.8 [3]:
при: П,:В
= 60:1 Кn
=0,85
П2:В2 =57:1 Кn
=1,05; К
=6,5;-
скорость движения материала, м/с :
Принимаю VM=0,49 м/с.
Из уравнения колебаний системы
грохота массу дебалансов определяю по формуле:
где г - расстояние от центра
тяжести до центра вращения дебаланса, м:
Для определения г принимаю:
гg 0,1м; Rg=0,25м;
=180
- число
дебалансов
Определяю ширину дебаланса при р =
7800 кг/м :
3.2 Расчет пружин
Упругость опор в за резонансном
режиме определяю по формуле:
C
=m

=751,6
3,5
=9207,1 Н/М
где w
- собственная частота колебаний w
= (2-3,5)Гц
Число рабочих витков пружины
определяю по формуле:
где
Gnp - модуль упругости на сдвиг материала пружины (для пружинной стали
Gnp.=8-1010 н/м2);пр=12мм - диаметр проволоки пружины;пр-12 мм диаметр
проволоки пружины;
Дпр-диметр
пружины
Дпр
(6-8)dпр=6
12=72мм
С1=упругость одной пружины;
С1=С/nпр=9207/8=3332 Н/М
принимаю 14 витков.
Полное число витков:
Шаг витков пружины в свободном
состоянии:
Высоту пружины в свободном
состоянии определю по формуле:
Нзагр- высота пружины при
полной загрузке;
.3 Расчет привода
Мощность, потребляемая
виброгрохотом, определяю по формуле:
где N1-мощность на грохочение
для двух сит:
N 2 - мощность на трение в
подшипниках:
где:
-
вынуждающая сила дебалансов:
С учетом потерь и запасом на непредвиденные
понижения, мощность двигателя равна:
По [5т.3]выбираю трехфазный
асинхронный двигатель 4А80В6УЗ: N = 1,1 кВт; п = 920 об/мин.
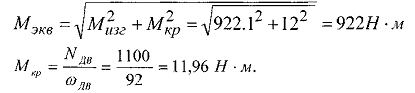
3.4 Расчет вала
Определяю опорные реакции:
а-b-80 мм -принимаю
конструктивно=l 000 мм - ширина сита грохота.
Определяю максимальный
изгибающий момент:
Определяю эквивалентный момент:
Определяю диаметр вала:
где W - сумарный момент сопротивления;
[
]-100 H/mmz - допустимое напряжение
на изгиб для стали 45. Принимаю диаметр вала dB=50 мм.
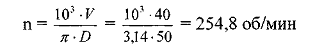
.5 Расчет ременной передачи
Определяю необходимое передаточное
число ременной передачи
Беру
ремень типа „Б"1-100мм диаметр ведущего шкива.
Определяю
скорость ремня
ш..к.=(
nд.в)/30=(3,14
920)/30=96,3(
)
Определяю необходимое
количество ремней
где N0=l,33 кВт - мощность,
передаваемая одним ремнем, табл.29=0,9 - коэффициент, зависящий от угла
обхвата;
к2=0,8 - коэффициент,
учитывающий характер нагрузки и режим работы
Принимаю z=2 шт.
Нахожу диаметр ведомого
Принимаю d2=l 10 мм.
Определяю межосевое расстояние.
Принимаю l = 300 мм. Определяю
расчетную длину ремня.
По таб. 17[5т.2] выбираю
стандартную длину ремня.
Рассчитываю фактическое
межосевое расстояние:
Для компенсации возможных
отклонении длины ремня от номинала, вытяжки его в процессе эксплуатации, а
также для свободного надевания новых ремней, предусматриваю регулировочный
механизм межцентрового расстояния шкивов в сторону уменьшения на 2%, и в
сторону увеличения на 5,5% от длинны ремня. В качестве регулировочного
механизма использую салазки.
Определяю общую ширину шкива.
.6 Расчет и выбор подшипников
Определяю эквивалентную
нагрузку на подшипник:
где V=l - коэффициент, учитывающий
какое кольцо вращается; кб=1,3 - коэффициент безопасности; кт=1 - температурный
коэффициент; F - радиальная сила; F0 - осевая сила. Определяю динамическую
грузоподъемность:
=3500*4=
14000ч.-время работы в часах
Выбираю подшипник роликовый
радиальный двухрядный сферический с короткими роликами: Подшипник 3610 ГОСТ
8328-75, у которого d=50мм,=110,B=40,C=150000H.
Па [5т.2 стр.520] для диаметра вала
d1 = 40 мм вибираем призматичную шпонку с размерами: 12x8x28 ГОСТ 23360-78
Ь= 12 мм;h= 8 мм;t1= 5 мм;t2= 3
мм;l= 28 мм .
4. Эксплуатация и ремонт
оборудования
.1 Система
планово-предупредительного ремонта оборудования
представляет комплекс организационно-технических
мероприятий предупредительного профилактического характера, проводимых
периодически в плановом порядке для поддержания оборудования в работоспособном
состоянии, улучшения качества и снижения продолжительности и стоимости ремонта,
обеспечения надежности и долговечности работы оборудования. Эта система
предусматривает техническое обслуживание и уход за машинами в период их
эксплуатации, а также систематический плановый ремонт по графикам, увязанным с
нуждами производства и технологическими возможностями ремонтных предприятий.
Система технического
обслуживания и ремонта (СТОИР) технологического оборудования предприятий
промышленности строительных материалов направленная на решение важной задачи в
реализации эффективного функционирования оборудования - обеспечение высокой
эксплуатации надежности оборудования при наименьших затратах трудовых и
материальных ресурсов.
СТОИР предусматривает комплекс
профилактических мероприятий по обеспечению надзора за оборудованием и
восстановление деталей, которые исключают возможность их работы в условиях
прогрессирующего сноса. Она предусматривает также предыдущее изготовление
деталей и узлов, планирование ремонтных работ, необходимость в трудовых и
материальных ресурсах, определение нормативов трудовых затрат на все виды
плановых ремонтов, структуры ремонтного цикла и перечней типичных и
специфических работ, которые выполняются при плановых ремонтах.
Основа СТОИР - соединение
технического обслуживания (ТО) и планово-предупредительных ремонтов (Р)
оборудование.
Пути совершенствования СТОИР:
· повышение качества
технического обслуживания, усиление ответственности эксплуатационного,
обслуживающего очередного и ремонтного персонала цехов в обеспечении эффектной,
ритмической работы агрегатов и машин, а также разработка и внедрения
мероприятий по совершенствованию оборудования;
· рациональная
централизация текущих и капитальных ремонтов оборудования с целью оптимального
соотношения слога и объема работ, выполняемых персоналом производственных и
ремонтных цехов предприятий, специализированными ремонтными организациями
области;
· повышение четкости
планирования и выполнение ремонтов оборудования, внедрение
экономико-математических методов при планировании ремонтов и анализе
эффективности ремонтного производства;
· максимальное
применение узлового и агрегатного методов ремонта оборудования, технологий
которые повышают прочность деталей, и других прогрессивных средств
восстановления изношенных деталей и узлов;
· улучшение учета и
систематического анализа причин сверхплановых простоев оборудования, низкой
стойкости узлов и деталей машин и разработка мероприятий по их устранению;
повышение уровня работ по модернизации агрегатов и машин;
· совершенствование
учета и снижение уровня трудовых и материальных затрат на ремонты оборудования;
· централизация и
специализация производства запасных частей; разработка и внедрения типичных
технологических процессов ремонта оборудования;
· улучшение
технической вооруженности ремонтного персонала средствами механизации трудных и
трудоемких работ, внедрение специализированных инструментов и приспособлений
при производстве ремонтно-восстанавливающих и монтажных работ;
· повышение
квалификации и уровня специализации ремонтного персонала, а также
усовершенствование системы оплаты его работы.
Ремонтный цикл - это время в
часах работы машины между двумя капитальными ремонтами, или от начала ее
эксплуатации до первого капитального ремонта.
Структура ремонтного цикла -
порядок чередования выполнения всех видов технического обслуживания и ремонтов
в период между двумя капитальными ремонтами. Для разных типов машин структура
ремонтного цикла различна, и зависит от конструкции, сложности и назначения
машины.
Межремонтный период - это время
работы машины между двумя очередными ремонтами.
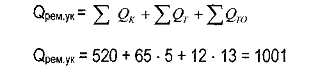
Определяем трудоемкость
выполнения ремонтных работ по видам ремонтов и обслуживание по видам работ:
Q = К
R, чел
час, где
К-трудоемкость единицы ремонтной
сложности;единица ремонтной сложности оборудования, принимаем = 13 ед.
ремонтной сложности;
|
Виды
работ
|
Слесарные
|
Станочные
|
Прочие
|
|
ТО
|
0,55
|
0,05
|
0,4
|
|
ТР
|
2,8
|
1
|
1,2
|
|
КР
|
24
|
7,2
|
8,8
|
Трудоемкость выполнения
слесарных работ. QT0 = 0,55 • 13 = 7,15 чел. час= 2,8- 13 = 36,4 чел. час= 24-
13-= 312 чел. час
Трудоемкость выполнения
станочных работ.= 0,05- 13 = 0,65 чел. частр =1 • 13 = 13 чел. час= 7,2 • 13 =
93,6 чел. час
Трудоемкость выполнения прочих
ремонтных работ= 0,4-13 = 5,2 чел. частр = 1,2 • 13 = 15,6 чел. час= 8,8- 13 =
114,4 чел. час
Плановая продолжительность
нахождения оборудования в ремонте ТО в зависимости от сменности проведения
ремонтных работ:
п0 = N
R,дней , где
- норма нахождения в ремонте на
единицу ремонтной сложности= 0,12 дней, NTp = 0,47 дней, NKp = нетто = 0,12- 13
= 1,56 днятр = 0,47- 13 = 6,11 дней
|
Вид
ремонта
|
Кол-во
|
Виды
работ и трудоемкость, чел .час
|
ВСЕГО
|
Нахождение
в ремонте, суток
|
|
|
Слесарные
|
Станочные
|
Прочие
|
|
Норма
на 1 рем.
|
Всего
|
|
|
К
|
ТР-ТО
|
К
|
ТР-ТО
|
К
|
ТР-ТО
|
|
Стоимость
|
|
|
ТО
|
12
|
0,55
|
7,15
|
0,05
|
0,65
|
0,4
|
5,2
|
156
|
-
|
-
|
|
ТР
|
5
|
2,8
|
36,4
|
1
|
13
|
1,2
|
15,6
|
325
|
0,12
|
7,1
|
|
КР
|
1
|
24
|
312
|
7,2
|
93,6
|
8,8
|
114,4
|
520
|
0,47
|
6,11
|
18
|
|
|
|
|
|
|
1001
|
|
13,91
|
Структуры ремонтного цикла.
К-5Т-12ТО-К
Продолжительность ремонтного цикла-10560
Продолжительность межремонтного
периода, Т - 1760 ч
Количество ТО -12 ч
Продолжительность между ТО
-510ч
Группы ремонтной сложности, R -
13 ед. рем. Сложности
Нормы нахождения в ремонте
Т, N = 0,12 суток/ед. рем.
сложности
К, N = 0,47 суток/ед. рем.
сложности
ТО N = нет
.2 Составление схемы сборки
узла
Сборка узла - это процесс
соединения деталей в пары, узлы и агрегаты в соответствии с заданной
кинематической схемой и техническими условиями в машину. В качестве узла сборки
принимаю дебалансный вал.
Узел состоит из: вала, который
опирается через подшипники на раму, тем самым обеспечивает жесткую связь
дебалансного вала с силовыми поверхностями и передачу усилия развиваемого
дебалансами на них. На конце вала установлены дебалансы. Все это закрыто в
корпуса, обеспечивая защиту вращающихся элементов и безопасную эксплуатацию.
Вращение дебалансного вала
осуществляется через клиноременную передачу от привода. Клиноременная передача
позволяет демпфировать колебания грохота, не передавая их на привод. Детали, из
которых состоит узел, при ремонте в основном восстанавливают индивидуальным
методом.
Подгонка деталей по посадкам,
после их восстановления, осуществляется подгонкой. Перед сборкой узла
осуществляется контроль деталей по размерам, а дебалансы контролируются по
массе, в случае необходимости осуществляется корректировка масс дебалансов с
таким расчетом, чтобы они были годны.
Сборку узла начинаем с
установки вала в кожух. Затем их устанавливают в корпус грохота и уже после этого,
предварительно собранные корпуса с подшипниками, устанавливают на валу и в
корпус грохота. Далее сборка продолжается в соответствии со схемой. При сборке
применяется мерительный инструмент: штангенциркуль, нутромер с индикаторной
головкой, линейки, специальные ключи для завинчивания корончатых гаек и обычные
накладные, и торцевые ключи. При наличии воздушной магистрали можно
использовать пневмоинструмент.
4.3 Особенности эксплуатации
машины и ее основных узлов
Грохот предназначен для
сортировки щебня по фракциям: 40-70;70-90.
Грохоту сообщаются колебания
частотой и амплитудой 4мм от дебалансного вала. Для совершения колебаний грохот
установлен на четырех пружинах опирающихся на фундамент. При работе грохота
происходит выделение мелких частиц «пыли», необходимо обеспечить защиту узлов
трения от их попадания в подшипниковые узлы.
Подшипниковые узлы имеют
лабиринтные уплотнения и манжеты. Также защите от вредных воздействий
абразивных частиц, способствует жидкая смазка, которая заливается в
подшипниковые узлы. Смазка в узлах трения одновременно регулирует температуру,
которая должна быть меньше 60 С. Защиту вращающихся дебалансов обеспечивают
ограждения. Ограждение имеется также имеется на клиноременной передаче. Смазка
подшипников осуществляется согласно таблице 4.2.
|
№
Точки
|
Сборочные
единицы
|
Количество
Смазываемых точек
|
Смазываем
ая деталь
|
Способ
смазки
|
Режим
смазки
|
Марка
смазки
|
ГОСТ
|
|
1
|
Приводной
вал
|
4
|
Подшипник
|
Набивка
|
Периодич.
|
Смазка
1-13 жировая
|
1631-61
|
|
2
|
Электродви
гатель
|
2
|
Подшипник
|
Набивка
|
Замена
1 раз в месяц
|
Пресс
солидол
|
4366-64
|
Рис. 4.2 Схема смазки грохота
Порядок технического
обслуживания.
Принятая система ППР
предусматривает выполнение следующих видов работ:
ежедневная проверка правильной
эксплуатации и технического состояния; ремонтные осмотры;
плановые ремонты, текущие
ремонты, капитальные ремонты. Ремонт грохота, смазка подшипников, натяжка
ремней производится только во время полной останки машины. Мероприятия
ежедневного ТО:
проверка на нагрев подшипников
по нагреву корпуса;проверка натяжки ремней; проверка подсоединения заземления
грохота. Мероприятия ТО проводятся один раз в месяц.
Ежемесячное ТО: замена смазки
подшипников; проверка надежности болтовых соединений; проверка надежности
крепления ограждения клиноременной передачи. Текущий ремонт проводится один раз
в год. При нем производятся такие же работы, как и при ТО, кроме того, заменить
или реставрировать детали, срок службы которых меньше чем до очередного
текущего ремонта. Капитальный ремонт проводится раз в три года. При нем проводятся
мероприятия предыдущих обслуживании и текущего ремонта, а также производится
полная разборка грохота, восстанавливаются детали и составные части вышедшего
из пределов точности установленных чертежами. Налаживается и испытывается
грохот на холостом ходу и под нагрузкой.
. Изготовление детали
. Выбор заготовки.
Тип производства: массовый.
В качестве заготовки выбираю
прокат горячекатаный из стали 45. Так как диаметр наибольшей ступени вала 55 мм
не обрабатывается и не контактирует с другими металлическими поверхностями, то
диаметр заготовки принимаю 55 мм без припуска на обработку [9, табл. 22]. В
связи с большой длиной вала выполняю правку его на прессе с целью уменьшения
кривизны оси вала.
Учитывая указанные на чертеже
классы шероховатости и квалитеты, намечаю следующий технологический маршрут
механической обработки вала для условий мелкосерийного производства.
|
№
п/п
|
Наименование
операций, базы
|
Станок
|
Оснастка
|
|
005
|
Отрезная,
базирование по наружной поверхности. Патрон 3-х кулачковый
|
Токарный
станок
|
Патрон
3-х кулачковый
|
|
010
|
Торцевально-центровочная,
базирование по наружной поверхности
|
горизонтально-фрезерный
|
призмы,
прихваты
|
|
015
|
Черновое
точение пов. 8, 9, 10, 11. Получистовое точение пов. 8, 9, 10, 11. 3-х
кулачковый патрон с подпором задней бабки.
|
универсальный
токарно- винторезный
|
Патрон
3-х кулачковый, центр, люнет
|
|
020
|
Черновое
точение пов. 6, 5, 4, 3. Получистовое точение пов. 6, 5, 4, 3. Центра.
|
универсальный
токарно-винторезный
|
Хомутик,
центра, люнет
|
|
025
|
Фрезерование
шпоночных пазов, базирование по наружной пов
|
вертикально-ферезерный
|
призмы,
прихваты
|
|
030
|
Закалка
ТВИ индуктором пов. 6 8 . Базирование в центрах
|
-
«-
|
индуктор,
тиски
|
|
035
|
Шлифование
пов. 6 8 . Базирование в центрах
|
кругло-шлифовальный
|
центры
|
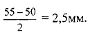
Определяю длину заготовки L
с учетом
припусков на разрезку Z
механической ножовкой и Zп- на подрезку торцов. Из табл. 24 с. 183 [1] Zр =2 мм
и Zп = 3 мм.
Тогда
Lp = LH + Zp+2Zп= 1060 + 2
+ 6= 1068 мм
. Определение режимов резания.
Обработку начинаем с отрезания
. Глубина резания t = 2,7 мм.
2.
Подача
S = 0,5 мм/об
3.
Тогда
частота вращения шпинделя:
А время резания
Операция 010
Торцевально-центровочная
Торцевание.
1. Глубина резания t = 3 мм.
. Подача S = 0,16 мм/об
3.
Подбираем
скорость резания V = 219 м/мин
4.
Частота
вращения:
Время резания:
Общее время обработки
где
- поправочный коэффициент, для
фрезерных работ составляет 2,14
Черновое точение пов. 8 . Припуск z0
равен на сторону
Так как пов. 8 обрабатывается по 6
классу шероховатости, то общий припуск разбиваю на черновой zи = 4 мм,
получистовой zn = 0,7 мм и на шлифование zш=0,3 мм. Обработка однопроходная.
Поэтому глубина резания t равна припуску. Из табл. 42 с.370 [11] нахожу подачу
S для сечения держалки резца 25x20 мм и диаметра обработки 50 мм. S = 0,4-0,5
мм/об, а по табл. 25 с.359 [12] по t и S нахожу скорость резания V для резца из
твердого сплава V = 40 м/мин.
Тогда частота вращения шпинделя
А время резания
Так как обработка
однопроходная, то число проходов i= 1. Расчетная длина резания
где 5 мм - на врезание и
перебег резца. Штучное время составит
где
- поправочный коэффициент [с.173,
12].
Черновое точение пов.9, 10 и 11
ведем к разным диаметрам но с одинаковыми припусками, оставляя припуск под
получистовое точение на сторону zn = 0,7 мм, так как эти поверхности
обрабатываются по 4 классу шероховатости:о.пов.9=
=2,8 мм; Zо пов.10=
=2,5 мм;о
пов.11=
=2,5мм
Обработка однопроходная, т.е. t
= z.
По табл. 42 с.370 [11] находим
S в зависимости от t ориентируясь на больший диаметр, так как там наибольшая
глубина резания и будет наибольшая скорость резания.=0,4-0,5 мм/об.Скорость
резания V из табл.25 с.359[11]в зависимости от t и S для резца из твердого
сплава равна 36м/мин.
Частота вращения шпинделя
Время резания
где расчетная длина Lp с
величиной врезания и перебега в 5 мм.= (65+52+32)+(65+52)+(65)+ 5 = 331 мм.
Штучное время составляет
Тшт=
Тр=2,14
2,73=5,85
мин.
Получистовое точение пов. 8, 9,
10, 11.
Глубина резания t = 0,7 мм.
Подача S = 0,3 мм/об (табл. 16 с.364 [11], по t и S находим скорость резания V
= 222 м/мин (табл. 30 с.360 [11]. Частота вращения
Время резания
Штучное время
где
для токарных работ равняется 2,14
(с. 173 [12].
Обработку второй половины вала ведем
аналогичным способом, так как размеры и классы обработки одинаковы.
Шлифование пов. 6 и 8 выполняется
после закалки. Ведем на круглошлифовальном станке методом врезания. Припуск на
обработку - не более 0,5 мм (табл. 10 с.725 [11]). Оттуда находим подачу S =
1,2 мм/мин, скорость вращения заготовки 35 м/мин. Время шлифовки 2-х пов 6,8.
Тш = (0,0001dl) • 2 = 0,0001 • 45 •
62 • 2 = 0,6 мин.
Определение сил прижима заготовки,
рассмотрим на примере фрезерования шпоночного паза размером 20x7,5 мм. Так как
шпонка призматическая, то паз изготавливаем за 1 проход концевой фрезой 020 мм
но так как диаметр фрезы больше 12 мм то необходимо произвести засверливание
шпоночного паза диаметром 20 мм для захода фрезы, тогда глубина резания будет
Д/2- t = 10 мм, подачу находим по табл. 15 с.444 [11] для сверла из
быстрорежущей стали S = 0,48-0,66 мм/об. По t и
находим скорость резания (табл. 22
с.446 [11]) V = 20-15 м/мин.
Частота вращения шпинделя
Время резания
Тр = 0,00052dl = 0,0005 • 20 •
7,5 = 0,075 мин.
Крутящий момент от силы резания
при сверлении (с.435 [13])
Для фрезерования шпоночных
пазов вал устанавливают в призмы и
прижимают прихватом. Сила
зажима Q без учета силы подачи определяется из условия:
где f1 и f2 - коэффициенты
трения заготовки в местах
зажима и на опорах; d - диаметр
сверла; а - угол при вершине призмы; к - коэффициент запаса. Принимая f1 = f2=
0,2; а = 90°; к = 1,5 , получаем
Осевая сила резания позволит
снизить силу зажима на величину
Итак, сила зажима составит
Как видим из-за сверления
сверлом большого диаметра (10 мм и глубины резания t = D/2 = 10 мм) возникает
значительная сила резания, что требует соответственно больших сил прижима
заготовки. Поэтому с целью их снижения сверление ведем сверлом малого диаметра
0 5 мм, а затем последовательным рассверливанием достигаем требуемого конечного
диаметра. Это увеличивает время обработки, но снижает силу резания и силу
прижима. Тогда
Так как вал прижимается двумя
накладками к граням призмы, а каждая накладка притягивается двумя болтами,
поэтому на один болт сила затяжки Р равна:
что вполне приемлемо.
6. Экономика
Определение себестоимости
изготовления на детали
Цель экономической части
проекта - определение себестоимости детали (Сд). Она состоит из себестоимости
заготовки Сз и технологической себестоимости механической обработки детали Ст
Сд = Сз + Ст
Стоимость заготовки с учетом
транспортно-заготовительных затрат (Сз) за отчислением реализованных отходов
можно определить по формуле:
СЗ=МЗЦО(1+
)-(Мз-Мд)Цв=19,6
2,822(1+
)-(19,6-15,3)
0,73= 59,18-3,14=56,04грн
где Сз - стоимость заготовки, грн
Мз - масса заготовки, кг
Цо - оптовая цена за 1 кг заготовки,
грн
Тз - транспортно-заготовительн
затраты (табл. 2,3), 5-7 %
Мд - чистая масса детали, кг
Цв - цена 1 кг отходов, грн (табл.
4) С допустимой точностью оптовые цены 1 кг (Цо) заготовки можно подсчитать по
формуле:
Цо=
Мз
Кс
Когр/m
Цо=
0,84
1
1=2,82грн
Где Ц1 - исходная для расчета
оптовая цена тонны заготовок, грн (табл. 1, 2,3);
Мз - коэффициент, который
учитывает массу заготовки (1,04 - при массе к 1.6 кг);
,84 - при массе больше 16 кг;
Кс - коэффициент, который
учитывает группу сложности заготовки (табл. 5,6);
К - коэффициент, который
учитывает объем производства заготовок, для одиночного производства - 1; (табл.
7,8);
Амортизационные отчисления по
оснащению, отнесенные выполненных операций
Ав=
=
=
=50,58грн
Де Sв - балансовая стоимость
станков (с учетом доставки и монтажи), грн.
Берется 50 грн за кг веса
станков,какая дан. в табл. 16
Sb= 50
5000 =250000 грн
Нав - норма амортизационных
отчислений, % (табл. 13)
- коэффициент использования
станков.эb - летний эффективный фонд времени станка, ч. Для станков весом
до10т, и при работе в одно изменение, Fэb = 2040 ч.
Амортизационные отчисления(10400) и
затраты на содержание дома(общая затрат. на аморт. 10,94+50,58=61,52грн) на
площади которую занимают станки, определяем за формулой:
Аб=
/60Fэв
100=(2,6+4)78/60
2040
0,4
100=
207979,2/4896000=10,94 грн
Де S6 -стоимость здания по площади
которую занимают станки, грн (табл. 16) Наб - норма амортизационных отчислений
на здания, % (табл. 13) Сб - летние затраты на содержание дома (3-4% от его
стоимости)
Технологическая себестоимость
состоит из следующих затрат:
где Ззиз - основная и
дополнительная зарплата станочника , грн. (табл. 9);
Зн. об - затраты на отладку
оборудования, гр (для одиночного производства не учитывается);
Зр. р - затраты на текущий
ремонт и техническое обслуживание оборудования, грн.;
Э - стоимость силовой
электроэнергии, грн.;
И - затраты на эксплуатацию
режущего инструмента, грн.;
П - затраты по эксплуатации
приспособлений, грн.;
Ав - амортизационные отчисления
по оборудованию,которое относится на выполнение операций;
Аб - амортизационные отчисления
и затраты на содержаниезданий и сооружений, грн.
Заработная плата (Зр. с)
Зр.с=
,грн; Зр.с=
=18,1грн
где Т- суммарная норма времени,
мин.; Единый социальный налог: Отч=0,3892*5,85=2,277 грн Для однопроходной
обработки:
Т - суммарное время резания
- часа тарифный ставка, коп.
(табл. 9)
Кп - коэффициент, который
учитывает премиальные доплаты (1 ( 1.4);
Кд - коэффициент, который
учитывает дополнительную зарплату (1 ( 1.2);
Затраты на текущий ремонт и
техническое обслуживание станков, грн.
Зр=
=
=
==1,17грн
где Нм и Нэ - нормы годовых
затрат на одиночную сложности ремонта соответственно механической и электронной
части, грн (табл. 13);и Яэ - категория сложности ремонта механической и
электрической части станка (табл. 12).
Стоимость силовой
электроэнергии
Э=
=
=
=6,62 грн;
где: N3 - установленная
мощность электродвигателей, квт, [7];
Тр - суммарное основное
машинное время, мин
Тд -суммарное вспомогательное время,
мин
Кп. э - коэффициент, который
учитывает потерь электроэнергии в сети 91,05)
(- коэффициент полезного
действия электродвигателя (0,65)
Цэл - средняя стоимость 1 квт(и
электроэнергии, 60 коп.
Затраты на эксплуатацию
инструмента
n=
=
=4,77грн
где - Зир - очередные затраты,
коп (табл. 14)
Затраты, связанные с
эксплуатацией приспособлений (П) определяются по формуле:
П=
=
=4,7грн
где Спр -стоимость
приспособлений, [7], грн определяют по паспортным данной,
приблизительно ли 10-25 грн за
кг массы устройства в зависимости от группы сложности устройства (количества
деталей по спецификации):
Таким образом технологическая
себе стоимость равняется
Ст = 18,15 + 6,99 + 1,17 +
61,52 + 6,62 + 4,77 + 4,7 = 103,92 грн.
Полная равняется себестоимость
детали
Сд = 41.7+ 49.956 = 91.7 грн.
Табл. 6.1 Расчет себестоимости
детали
|
Показатель
|
Условное
обозначь.
|
Расчет
|
Результат
|
|
1.
Себестоимость заготовки
|
С3
|
|
56,04
|
|
2.
Технологическая себестоимость
|
Ст
|
|
103,92
|
|
2.1.
Основная и дополнительная зарплата станочника
|
ЗПосн.д.
|
|
18,15
|
|
2.2.
Отчисление на соц. мероприятия
|
Отч
|
|
6,99
|
|
2.3.
Затраты на отладку оборудования
|
Зн.об
|
Для
единичного производства не учитываются
|
0
|
|
2.4.
Затраты на тек. ремонт и ТО оборудование
|
Зто.тр
|
|
1,17
|
|
2.5.
Амортизационные отчисления
|
Аотч.
|
|
61,52
|
|
2.6.
Стоимость силовой эл. энергии
|
Эс
|
|
6,62
|
|
2.7.
Затраты на эксплуатацию режущего инструмента
|
З
инстр
|
|
4,77
|
|
2.8.
Затраты на эксплуатацию приспособлений
|
Зприсп
|
|
4,7
|
|
Всего:
себестоимость детали
|
Сд
|
|
159,96
|
Список используемой литературы
1.
Сапожников
М.Я. Механическое оборудование предприятий строительных материалов, изделий и
конструкций. М.: «Высшая школа». 1971.
2.
Анализ
методов расчета производительности и качественных показателей виброгрохотов
(обзор). В.А. Бауман, П.С. Ермолаев. ВНИИстройдормаш. М: 1970.
3.
Кузнецов
В.В., Гордиенко А.Т., Шевченко И.Н. Организация ремонта оборудования на
предприятиях строительных материалов. Учебное пособие. -Киев, 1991
4.
Сергеев
В.П. Строительные машины. М.:1987.
5.
Анурьев
В.И. Справочник конструктора-машиностроителя. М.-.1978.
6.
Краткий
справочник металлиста. Под ред. П.Н. Орлова. М.: 1986.
7.
Бауман
В.А. и др. механическое оборудование предприятий строительных материалов,
изделий и конструкций. М.: «Машиностроение», 1981.
8.
Косилова
А.Г. и др. Точность обработки, заготовки и припуски в машиностроении.
Справочник технолога. -М.: Машиностроение, 1976
9. Методические указания по выполнению раздела
дипломного проекта «Технология изготовления детали». Сост. Иванов А.Н. Харьков,
ХГТУСА, 1996.