Имидж салона красоты '4hands'

  • Вид работы:
    Курсовая работа (т)
  • Предмет:
    Маркетинг
  • Язык:
    Русский
    ,
    Формат файла:
    MS Word
    59,52 Кб
  • Опубликовано:
    2016-03-03
Вы можете узнать стоимость помощи в написании студенческой работы.
Помощь в написании работы, которую точно примут!

Имидж салона красоты '4hands'

Введение

Для чего нужно формирование положительного образа и поддержание его на должном уровне? Как известно имидж в концентрированной форме задаёт суть организации. Отталкиваясь от имиджа, мы можем формировать свое отношение к данной организации. Отсюда следует простая истина: чем точнее организация сформирует свой имидж, тем эффективнее будет ее коммуникация с клиентами. Формирование положительного образа является основной целью PR и всякой PR-кампании. Исследовать состояние имиджа, прослеживать отношение клиентов к той или иной организации необходимо для влияния на образ, корректировки имиджа в соответствии с требованиями имиджа организации.

Современный этап развития рыночных отношений характеризуется обострением конкурентной борьбы за лидерство на том или ином сегменте рынка. Одними из наиболее важных факторов обусловливающих успешную рыночную деятельность в подобных условиях являются имидж и репутация, как самой фирмы, так и товаров или услуг, которые она предоставляет. Именно имидж и репутация оказывают наибольшее воздействие на потенциальных покупателей и клиентов, что позволяет рассматривать их как важнейшие конкурентные преимущества в рыночной борьбе. В данной курсовой работе на примере салона красоты «4hands» мы проанализируем феномен имиджа организации, а также выявим степень сформированности её имиджа среди целевых общественных групп.

В рамках написания данной курсовой работы среди посетителей салона красоты 4hands было проведено исследование, целью которого было выявление имиджа салона красоты 4hands.

Методами исследования были анкетный опрос и контент-анализ. Метод анкетного опроса был выбран, поскольку он позволяет довольно точно выявить ценностные ориентации и предпочтения клиентов, а также их мнение о салоне. Это в свою очередь дает возможность получить представление о сформированности имиджа салона у его клиентов, что их устраивает в их услугах и есть ли у них предложения и пожелания по поводу улучшения их работы, и тем самым повышения имиджа организации.

Контент-анализ позволит проанализировать все отзывы клиентов салона 4hands, ведь многие из них не являются постоянными клиентами данного салона, это позволит выяснить, почему они предпочитают другой салон красоты, а не салон 4hands, что не устроило их в работе данного салона и выяснить их мнение по поводу имиджа данного салона красоты, насколько это престижно и актуально на сегодняшний день. Также с помощью контент-анализа мы сможем увидеть отношение каждого отдельного клиента к данному салону, как они настроены по отношению к нему, какие ассоциации возникают у них в отношении организации, и положительные ли эмоции вызывает у них салон красоты 4hands. Цель контент анализа: определение имиджа салона красоты 4hands.

В качестве объекта исследования выступают все отзывы клиентов о салоне красоты 4hands, предоставленные на сайтах:

·        Flamp.ru

·        Мой Барнаул

На данных сайтах предоставлены отзывы в период с 18.04.14г по 14.04.15г

Для анализа были отобраны именно эти сайты, потому что они являются наиболее популярными и на них находятся отзывы о данном салоне.

Комбинирование двух вышеуказанных методов в рамках исследования даёт возможность выявить с одной стороны характер сознательного отношения респондентов к салону красоты 4hands, а с другой - ассоциации, возникающие у них к организации на уровне подсознания, что в свою очередь позволяет очертить имидж организации максимально точно.

Цель: Выявление имиджа салона красоты 4hands

Объект: имидж салона красоты 4hands.

Предмет: основные составляющие в создании имиджа салона.

Задачи:

сбор и анализ данных об имидже салона красоты 4hands;

проведение исследования с целью выявления имиджа салона красоты 4hands

Практическая значимость данной курсовой работы определяется тем, что салон красоты 4hands является относительно новой организацией в Барнауле, следовательно они еще не проводили подобных исследований, поэтому данные этого исследования будут способствовать достижению более эффективного функционирования организации, и формулировке рекомендаций по улучшению имиджа, если это потребуется.

Структурно курсовая работа представлена введением, двумя главами, заключением, библиографическим списком и приложениями.

Глава 1. Имидж как характеристика организации

 

.1 Понятие имиджа организации


В последнее время в связи с развитием рыночных отношений, инновационными процессами в экономике, науке, образовании, культуре особый интерес вызывает специфика содержания и формирования имиджа организации. Рост внимания к проблеме формирования сильного имиджа организации не случаен. Сильный корпоративный имидж становится необходимым условием достижения фирмой устойчивого и продолжительного делового успеха. И этому есть вполне разумное объяснение. Во-первых, сильный имидж организации дает эффект приобретения организацией определенной рыночной силы, в том смысле, что приводит к снижению чувствительности к цене. Во-вторых, сильный имидж уменьшает заменяемость товаров, а значит, защищает организацию от атак конкурентов и укрепляет позиции относительно товаров-заменителей. И, в-третьих, сильный имидж облегчает доступ фирмы к ресурсам разного рода: финансовым, информационным, человеческим и т.д.

Имидж организации есть целостное восприятие организации различными группами общественности, формирующееся на основе, хранящейся в их памяти информации о различных сторонах деятельности организации. По мнению Е.Б. Перелыгиной, автора книги "Психология имиджа", источниками такой информации могут быть слухи об организации, циркулирующие в обществе; сообщения средств массовой информации, а так же личные контакты человека с организацией(23).

Таким образом, корпоративный имидж имеет две составляющие - образ и оценку, которые поддаются лишь условному концептуальному различию, в реальном существовании они неразрывно связаны:

Описательная составляющая представляет собой образ конкретной организации;

Оценочная составляющая существует в силу того, что любая информация об организации заключает в себе оценку, вызывает определённые эмоции, обладающие различной интенсивностью; оценка имиджа организации осуществляется окружающими людьми через призму собственного опыта, ценностные ориентации личности, общепринятые нормы, принципы, стандарты. Степень истинности оценок, составленных человеком на основании образов, прямо пропорциональна глубине его познаний в той области жизни, в той сфере, где они формируются.

Довольно интересен ряд признаков корпоративного имиджа, которые, по мнению американского исследователя Д. Бурстина, реально складываются на практике:

Во-первых, имидж должен быть синтетическим, т.е. планироваться, чтобы производить определённое впечатление с помощью фирменного знака, торговой марки и сорта товара.

Во-вторых, образ организации должен быть правдоподобным, достоверным, чтобы вызвать доверие у людей, идентифицироваться с конкретным лицом или корпорацией.

В-третьих, он должен быть пассивным. Поскольку имидж в определённой мере отвечает реальности, то создающий его в определённой мере стремится скорее уподобиться имиджу, нежели сделать имидж своим подобием.

В-четвёртых, имидж должен быть ярким и конкретным, чтобы взывать к человеческим чувствам.

В-пятых, он должен быть простым и запоминающимся.

В-шестых, важным признаком имиджа является неопределённость, он должен обретаться где-то между чувствами и рассудком, ожиданиями и реальностью, чтобы устоять перед непредвиденными событиями, изменениями во вкусах.

По мнению В.М. Шепель автора книги "Имидж. Как нравиться людям"(36), структура имиджа корпорации может включать до восьми основных компонентов:

)        Имидж товаров или услуг отражает представления людей относительно уникальных характеристик, которыми, по их мнению, они обладают; при этом функциональная ценность товара или услуги является основной, дополнительная ценность обеспечивает товару или услуге отличительные свойства;

)        Имидж потребителя товаров или услуг включает представления о стиле жизни, общественном положении, статусе некоторых личностных, в частности психологических характеристиках клиентов. Большое значение играет способность сотрудников организации устанавливать обширные долговременные деловые контакты. Всех партнёров и постоянных клиентов желательно знать лично;

)        Внутренний имидж организации содержит представления сотрудников о своём учреждении, при этом основными его детерминантами являются культура организации и социально-психологический климат;

)        Имидж лидера организации или основных руководителей включает представления о способностях, установках, ценностных ориентациях, социально-психологических характеристиках, имидже руководителя;

)        Имидж персонала представляет собой собирательный, обобщенный образ всех сотрудников, раскрывающий наиболее характерные для него черты. Он формируется на основе прямого контакта с работниками организации.

)        Визуальный имидж организации заключает представления о ней общественности, которые возникают на основе зрительных ощущений, фиксирующих информацию об интерьере офиса, демонстрационных помещениях, фирменной символике;

)        Социальный имидж организации содержит представления широкой общественности о социальных целях, роли организации в экономической, социальной, культурной жизни города, региона, страны;

)        Бизнес-имидж организации заключает в себе представления об организации с точки зрения деловой активности.

Комбинируя вышеуказанные элементы, можно получить отклик индивида, представляющий оценку им полного впечатления об организации. Е.Б. Перелыгина автор книги "Психология имиджа" делает довольно важное замечание, что корпоративный имидж должен базироваться на единстве внутреннего и внешнего имиджей организации. Подобно тому, как индивидуальный имидж, ориентированный на восприятие, будет, при всех прочих равных условиях, тем эффективнее, чем прочнее он опирается на самоощущение индивида, и образ организации у внешних респондентов является более устойчивым, если он находится в соответствии с образом этой же организации у её рядовых членов(23).

О.В. Лысикова отмечает, что корпоративный имидж не так динамичен, как имидж человека, однако, с изменением условий и конъюнктуры в социокультурной сфере он должен корректироваться, а для этого следует постоянно проводить мониторинг. Немаловажным также является тот факт, что каждый элемент структуры корпоративного имиджа должен быть информационно заполненным самой организацией. В противном случае массовое сознание в силу своей стереотипности самостоятельно заполнит недостающие элементы содержанием, которое не всегда идёт на пользу организации(20).

Подходя к анализируемому понятию с психологической точки зрения, Е.Б. Перелыгина говорит, что при создании и восприятии корпоративного имиджа его прообразу-организации приписываются такие свойства, какими она по своей природе не обладает, а именно свойства, характеризующие её как психологический субъект, в том числе мышление, способность испытывать и вызывать эмоции, характер, а также личностные свойства, присущие только человеку. Однако, в отличие от индивидуального имиджа, который может быть ориентирован как на самоощущение, так и на восприятие, имидж организации всегда ориентирован на восприятие. Цель его создания состоит в том, чтобы у субъектов, находящихся вне и внутри организации, сложился образ данной организации, способствующий достижению тех внешних целей и задач, которые ставит её руководство(23).

Также корпоративный имидж имеет общие черты и с групповым имиджем. Поскольку всякая организация состоит из людей, её можно представить как группу, для которой категоризационным признаком является принадлежность к данной организации, членство в ней. Имидж организации всегда содержит те или иные символы, относимые к обобщенному образу члена данной группы, и в этом смысле является собирательным образом людей, составляющих организацию. Однако в отличие от группового имиджа, корпоративный имидж, как правило, активно управляется "изнутри" организации-прообраза.

Говоря о функциях имиджа организации, Е.В. Харитонова, автор статьи "Имидж организации - миссия выполнима"(34), выделяет следующие:

Позиционирование организации предполагает соотнесение миссии организации с потребностями её потенциальных клиентов. То есть чем более чётко определены цели и задачи организации с точки зрения потребностей клиентов, тем проще транслировать необходимый образ организации вовне, тем самым, создавая имидж.

Побуждать к действиям. Выполнение данной функции подразумевает формирование у аудитории готовности действовать в определённом направлении, то есть установки.

В дополнение к вышеуказанным О.В. Лысикова выделяет функцию корпоративного имиджа, заключающуюся в объединении сотрудников, а также формировании у них командного духа(20).

Обобщая вышесказанное, следует отметить, что имидж организации - это совокупное общественное восприятие организации многими людьми, впечатление о ней, сформировавшееся на основе личных контактов с организацией, слухов и сообщений средств массовой информации. В структуре анализируемого понятия выделяют 8 элементов - имидж товаров или услуг, имидж потребителей, внутренний имидж организации, имидж лидера, имидж персонала, визуальный имидж, социальный имидж, бизнес-имидж - комбинируя которые можно воздействовать на аудиторию. К числу основных функций имиджа организации относятся позиционирование её на рынке, побуждение аудитории к действию, а также объединение сотрудников и формирование у них командного духа. Эффективно выполняя данные функции, имидж становится одним из ключевых факторов, обуславливающих успешное функционирование организации в современных условиях.

 

.2 Механизмы формирования имиджа организации


Как уже было сказано выше, имидж на сегодняшний день является важнейшей характеристикой организации, играя значимую роль в повышении её конкурентоспособности и привлечении к ней потребителей и партнёров. Имидж выступает как средство, инструмент для решения задач. Но главная его особенность в том, что он сам является объектом управления.

И.В. Алешина, автор статьи "Корпоративный имидж: стратегический аспект"(1), говорит, что управление корпоративным имиджем как направление теории и практики появилось в США более полувека назад. К настоящему времени в этой сфере уже сложился понятийный аппарат. Далее приводятся его основные элементы:

)        Видение - представление об окружающей действительности - настоящей или будущей. Формирование видения - одна из главных обязанностей руководителя организации. Для того чтобы вести корабль через рыночную стихию нестабильности и неопределенности в верном направлении, капитан обязан знать, где он плавает;

)        Корпоративная миссия - общественно-значимый статус, социально значимая роль организации. Миссию можно рассматривать как стратегический инструмент, идентифицирующий целевой рынок и широко определяющий бизнес, или основную деятельность предприятия;

)        Корпоративная индивидуальность - ценности, суждения и нормы поведения, разделяемые в компании и определяющие сущность индивидуальной корпоративной культуры. Корпоративная индивидуальность - это то, что компания есть на самом деле, аналог личности, индивидуальности человека;

)        Корпоративная идентичность - это то, что организация сообщает о себе, о своей индивидуальности. Все, что организация говорит, делает и создает, формирует ее идентичность;

)        Корпоративный имидж - это восприятие организации группами общественности. Достижение благоприятного корпоративного имиджа и лояльности потребителей - основная цель управления корпоративной идентичностью.

Таким образом, исходя из представлений об окружающей действительности и основываясь на миссии организации, имиджмейкер акцентирует отдельные черты корпоративной индивидуальности, тем самым создавая корпоративную идентичность. Корпоративная идентичность в свою очередь является основой корпоративного имиджа. Очень важное значение в данном процессе имеет обратная связь, обусловливающая соответствие имиджа организации её миссии.

Касаясь темы формирования имиджа и управления им, известный теоретик и практик PR Г.Г. Почепцов предлагает четырёхтактную модель имиджевой кампании, отражающую разнообразные требования к ряду необходимых операций:

)        Каждая задача требует опоры на тот или иной сегмент аудитории, каждая из которых обладает своими представлениями, что такое хорошо и что плохо. Точкой отсчёта является именно этот момент, поскольку он задаёт эффективность любой кампании;

)        Определение сильных и слабых сторон объекта. Следует реально знать не только позитивные, но и негативные стороны объекта, поскольку именно туда будет направлен основной удар противника;

)        Конструирование образа и подведение характеристик объекта под требование аудитории. Здесь следует работать не столько над слабыми сторонами чтобы их прикрыть, сколько усиливать имеющиеся положительные моменты, поскольку именно такая стратегия наиболее эффективна;

)        Перевод требуемых характеристик объекта в вербальную, визуальную и событийную формы. Поскольку визуальные и событийные сообщения более достоверно оцениваются аудиторией, то отдельный весьма важный блок любой программы связан с переводом характеристик в "вещный" вариант выражения.

Г.Г. Почепцов отмечает, что основным этапом является конструирование образа и говорит, что при этом следует учитывать определённую инертность и консервативность массового сознания, которое не позволяет резких изменений и старается держаться раз и навсегда введённого типа образа. По этой причине исходный вариант образа является весьма важным.

И.В. Алёшина говорит, что имидж может быть несколько различным для различных групп общественности, поскольку желаемое поведение этих групп в отношении организации может различаться.

В данном случае имеет место синтез представлений об организации различных групп общественности, в результате которого создается более общее и емкое представление об организации.

На сегодняшний день имиджеология располагает обширным арсеналом средств формирования имиджа. В книге "Имиджеология и паблик рилейшнз в социокультурной сфере" О.В. Лысиковой перечислены основные из них(20):

)        Позиционирование. Данная технология является наиболее значимой для имиджирования и представляет собой помещение объекта в благоприятную информационную среду;

)        Манипулирование. Достаточно распространённый способ коммуникативного воздействия, выполняющий функцию "легенды" или "мифа", маскирующего истинные намерения;

)        Эмоционализация. Данный метод связан с переводом какой либо информации с рационального языка на язык эмоциональный;

)        Формат. Под ним понимают процессы создания заданных для формирования необходимого имиджа контекстов;

)        Вербализация. Данный приём основан на умении имиджмейкера общаться на языке аудитории, направлять вербализацию в нужную сторону, когда необходимо скрыть реальное положение вещей;

)        Детализация. Данный приём повышает уровень воздействия информации, поскольку детали, являясь опорными сигналами, дольше сохраняются в памяти;

)        Дистанцирование. Данный метод связан с искусственным снятием всего негативного, отрицательного, что разрушает позитивный имидж, снижает его рейтинг;

)        Визуализация. Данный приём подразумевает воздействие на аудиторию сразу по нескольким каналам восприятия.

Резюмируя вышесказанное, следует отметить, что корпоративный имидж формируется на основе миссии организации, корпоративной индивидуальности и корпоративной идентичности, а сам процесс формирования имиджа организации включает в себя четыре этапа: определение требований целевой аудитории, выявление сильных и слабых сторон объекта, подведение характеристик объекта под требования аудитории и перевод требуемых характеристик объекта в вербальную, визуальную и событийную формы. К числу основных инструментов формирования имиджа организации относятся позиционирование, манипулирование, мифологизация, эмоционализация, формат, вербализация, детализация, дистанцирование и визуализация.

Глава 2. Исследование имиджа салона красоты 4hands

 

.1 История салона красоты 4hands

корпоративный имидж салон красота

Салон красоты 4hands существует на рынке Барнаула 3 года. За столь недолгое время он успел привлечь к себе внимание своей целевой аудитории и заработать постоянных клиентов. Главным атрибутом компании и составляющей имиджа является их слоган - «А вам когда-нибудь делали это в 4 руки?». Идея этого слогана заключается в том, что процедуры маникюра и педикюра делает не один мастер, как это происходит в традиционном способе, а два мастера выполняют эту работу. Тем самым времени на данные процедуры уходит в два раза меньше, а если быть точнее, то всего один час. Это огромный плюс компании, потому что сегодняшняя динамичная жизнь не всегда позволяет находить время для себя.

Салон красоты профессионально оборудован последними новинками техники, а также в интерьере учтены все удобства для клиентов. Данный салон использует только качественные материалы для наращивания. Интерьер выполнен в единой цветовой гамме бело розового цвета, фирменного цвета салона красоты 4hands.

В салоне имеется большой ассортимент услуг: аппаратный педикюр, spa-программы, моделирование и дизайн ногтей, покрытие гельлаком Shellac, наращивание ногтей, французский маникюр, короткий маникюр на коротких ногтях, маникюр для девочек и др.

 

2.2 Исследование имиджа салона красоты 4hands


Первым этапом исследования было анкетирование. Респонденты были отобраны методом снежного кома. В результате объем выборки был равен 44 из 50 человек. Выборка была посчитана через приложение «Калькулятор выборки» (Приложение 1).

Респондентам, попавшим в выборку по электронной почте были отправлены анкеты (Приложение 2).

В результате проведения анкетирования были получены следующие результаты:

Большинство респондентов составили девушки в возрасте от 20 до 27 лет.

Все респонденты знают чем занимается данный салон красоты, все ответили, что данный салон оказывает услуги по маникюру и педикюру. Это говорит о том, что клиенты осведомлены о сфере услуг салона. У респондентов сложилось следующее мнение о салоне (Приложение 3): 60% опрашиваемых считают, что это отличный салон с креативной идеей; 30% респондентов считают его обычным салоном; оставшиеся 10% затрудняются ответить на данный вопрос. Следовательно данный салон все же притягивает клиентов своей необычной и креативной идеей. Не смотря на то, что респонденты больше всего отмечают необычную идею салона, они с легкостью определяют их фирменный стиль и цвет, это говорит о том, что фирменный стиль салона простой, современный, с легкостью запоминается клиентами и остается в их памяти надолго. Большинство опрашиваемых девушек считает, что данный салон красоты известен определенным группам потребителей. (Приложение 4) Возможно это в силу того, что данный салон красоты находится на рынке услуг не столь продолжительное время. Для 50% опрашиваемых данный салон является престижной организацией; 32% респондентов не считают его престижным; и оставшиеся 18 % затрудняются ответить на данный вопрос (Приложение 5). Из этих данных следует то, что салон красоты является престижной организацией. Из числа всех респондентов 72,5% считают, что салон красоты 4hands является достойным конкурентом для других салонов красоты. Остальные 27,5% считают данный салон незначительным конкурентом (Приложение 6). Результаты показывают, что несмотря на не высокую осведомленность целевой аудитории о салоне, он является престижной организацией и составляет достойную конкуренцию другим салонам красоты и также как и любой другой салон может занять лидирующие позиции на рынке услуг. 90% респондентов доверяют данному салону и рекомендуют его своим подругам. В результате проведенного анкетирования можно сделать вывод о том, что салон красоты 4hands является престижной организацией и по мнению его целевой аудитории составляет большую конкуренцию другим салонам красоты, самое главное девушки рекомендуют данный салон своим подругам, следовательно они доверяют данному салону, а это одна из составляющих имиджа организации. Из всего вышесказанного следует, что данный салон красоты является организацией с уже сформированным имиджем и уже успел завоевать доверие своей целевой аудитории.

На следующем этапе исследования был проведен контент-анализ отзывов посетителей салона красоты 4hands.(Приложение 7)

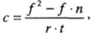
В результате анализа полученных данных следует отметить, что преобладает положительная оценка имиджа и образа компании в глазах клиентов. (Приложение 8). Из диаграммы видно, что преобладают положительные оценки организации. Посчитаем удельный вес положительных оценок по коэффициенту Яниса (Приложение 9), в результате получилось, что удельный вес положительных оценок равен 0,141. Из этого можно сделать следующий вывод, что имидж салона полностью сформирован и число положительных оценок превышает число отрицательных оценок, что говорит о положительном имидже салона.

Если говорить о единице контекста, то практически все отзывы на сайте Flamp.ru сопровождаются фотографиями и под каждым отзывом оставляет свой комментарий салон красоты 4hands, это говорит о том, что они следят за формированием своего имиджа. Говоря об имидже салона, клиенты выделяют, что данный салон является престижной организацией и входит в число студий высокого уровня, этому соответствует удовлетворенность клиентов работой данного салона, также ими отмечается интерьер салона, выполненный в фирменном стиле салона красоты 4hands.

Таким образом, обобщая данные, полученные из результатов исследования, можно сказать следующее, салон красоты 4hands имеет положительный имидж и является престижной организацией, клиенты относятся к данной организации, как к салону с креативной идеей, а самое лавное доверяют данному салону и советуют его своим подругам. Фирменный стиль салона легко запоминается целевой аудиторией. Идея этого салона очень не обычна с точки зрения того, что одну работу выполняют сразу два мастера, это привлекает внимание их целевой аудитории. Современных людей сложно удивить, поэтому их привлекает все необычное, отклоняющееся от нормы, а данный салон красоты является неким экспериментом на нашем рынке товаров и услуг. Не смотря на то, что салон красоты находится на рынке товаров и услуг Барнаула относительно недавно, его имидж уже сформирован и имеет положительную оценку клиентов.

Заключение

В заключении хотелось бы отметить значимость формирования имиджа организации. Этот основной элемент успешной деятельности не возможно заменить. Важно также помнить о том, что имидж не заканчивается на рекламе и PR. Имидж - это сложное понятие, включающее в себя фундамент, внешний, внутренний и не осязаемый имиджи, в которые в свою очередь входят: репутация, торговые марки, логотипы, качество продукции, общественное мнение и многое другое. На данный момент не найдет ни одной фирмы которая в той или иной степени не пользовалась бы тем или иным элементом формирования имиджа.

Имидж организации складывается и существует независимо от того, занимается ли организация его созданием или не придаёт ему никакого значения. Однако то или иное мнение об организации, фирме, салоне красоты, их совокупный образ в глазах клиентов, оказывает влияние как на положение людей, работающих в этой организации, так и на судьбу организации в целом. Поэтому создание имиджа является важной составляющей успешного функционирования любой организации, салона и фирмы, независимо от того, к какой форме собственности и к какой сфере деятельности они относятся.

Следует отметить, что имиджу в салоне красоты 4hands придается большое значение, работники салона следят за отзывами клиентов в интернете и дают полные ответы на все вопросы и если клиент не доволен чем-либо, они стараются разъяснить ситуацию, чтобы небыло недопониманий как со стороны клиентов, так и со стороны работников салона.

Салон красоты 4hands с первого взгляда строит свой имидж исключительно на рекламе, но после проведенного исследования стало очевидным, то что компания стареется формировать свой имидж практически на всех составляющих, они пользуются только качественными материалами, следят за отзывами в интернете.

Резюмируя всё вышесказанное, можно сделать вывод о том, что салон красоты 4hands имеет уже сформировавшийся имидж и положительную оценку компании ее клиентами. Также отмечается, что у данного салона есть некоторые недочеты, по которым можно сформулировать следующие рекомендации по улучшению имиджа салона:

В связи с тем, что многие клиенты отмечают не профессионализм мастеров, салону нужно тщательнее отбирать своих работников и проводить для них специальную подготовку для улучшения качества работы сотрудников. Этот нюанс повысит доверие клиентов к салону и тем самым увеличит количество постоянных клиентов, за счет этого повысится престиж салона и улучшится имидж организации.

Список использованной литературы

1. Алешина И.В. Корпоративный имидж // Маркетинг, 1998, № 1 - 94 с.

2. Ахтямов Т.М., Шкардун В.Д. Оценка и формирование корпоративного имиджа предприятия. - Маркетинг в россии и за рубежом, 2001, №3

3. Бортник Е.М.,Коротков Э.М.,Никитаева А.Ю. Управление связями с общественностью.-М.:ИД ФБК-ПРЕСС,2002. - 128 с.

4. Брайс Д. Природа общественного мнения //http:www.nscs.ru/kovodstvo/126/

5. Важенина И.С. Имидж и репутация организации: экономическое содержание, формирование и оценка // Маркетинг в России и за рубежом. - 2010. - № 2. - С. 136-142.

6. Варакута С.А. Связи с общественностью. - М.: ИНФРА-М.2001.

7. Викентьев И.Л. Приемы рекламы и PR. - СПб.: «Издательский дом «Бизнес-Пресса». 1999.

8. Виханский О.С., Наумов А.И. Менеджмент. - М.: Высшая школа, 1994.

9. Галумов Э.А. Имидж против имиджа. - М.:Известия, 2005. - 552с.

10.   Гуревич П.С. Приключения имиджа: технология создания телевизионного образа и парадоксы его восприятия. - М.: Искусство, 1991.

11.   Джи Б. Имидж фирмы. Планирование, формирование, продвижение. - СПб.: Издательство «Питер», 2000. - 224 с.

12.   Добренько В.И., Кравченко А.И. Методы социологического исследования. - М.:ИНФРА-М, 2006. - 768 с.

13.   Доти Д. Паблисити и паблик рилейшнз М.: Информационно-издательский дом "Филинъ",1996 -237с

14.   Жировских О.А. Имидж и его составляющие, - Мн.: Веды, - 2007. - 654с.

15.   Зверинцев А.Б. Формирование имиджа. - СПб.: 2007. С. 193.

16.   Кабардинская И.С. Имидж в системе маркетинга. 2006.

17.   Ковальчук А.С. Основы имиджелогии и делового общения. - Ростов-на-Дону: Феникс, 2004.

18.   Козлова Н.П.. Формирование положительного имиджа и деловой репутации компании // Вестн. Астраханского гос. техн. ун-та. Сер.: Экономика. - 2011. - № 1. - С. 67-71

19.   Котлер Ф. Маркетинг. - М.: Олма-Пресс, 2003.

20.   Лысикова О.В. Имиджеология и паблик рилейшнз в социокультурной сфере: учеб. пособие/О.В. Лысикова, Н.П. Лысикова. - М.: Флинта: МПСИ, 2006 - 168 с.

21.   Муромкина И.А. Особенности использования брендинга на российском потребительском рынке. - СПб.: Питер, 2003.

22.   Мухина М.В. Оценка как способ формирования имиджа организации // Вестн. Волгоградского гос. ун-та. Сер. 2. Языкознание. - 2011. - № 1 (13). - С. 33-37

23.   Перелыгина Е.Б. Психология имиджа: учебное пособие. - М.: Аспект Пресс, 2002 - 223с.

24.   Почепцов Г.Г. Имиджеология. - М.: Рефл-Бук, К.: Ваклер, 2001 - 704 с.

25.   Поченцов Г.Г. Паблик Рилейшнз или как успешно управлять общественным мнением. - М.: Издательский Центр. 2003.

26.   Рогов В. Реклама в сети-новое направление в бизнесе // Экономика и жизнь. -2007. -N21. - 35 с.

27.   Связи с общественностью: учеб. пособие для вузов / Э. В. Кондратьев, Р. Н. Абрамов; под общ. ред. С. Д. Резника.- 3-е изд.,.- М.: Академ. Проект, 2005. - 432 с.

28.   Томилова М.В. Модель имиджа организации // Маркетинг в России и за рубежом, 1998, №1 - 160 с.

29.   Угрюмова А.А. Оценка и формирование корпоративного имиджа малых предприятий / А. А. Угрюмова, Д. В. Агапов // Экон. анализ: теория и практика. - 2010. - № 15. - С. 23-29

30.   Утлик Э.П. Практическая психология имиджа // Вестник университета. Серия: социология и психология управления. М.: ГУУ, 1999.

31.   Федько Н.Г., Федько В.П. Маркетинговые исследования. - Ростов н/Д: Феникс, 2002. - 384с.

32.   Феофанов О.А. Стереотип и имидж в буржуазной пропаганде // Вопросы философии. - 1980. - № 6. - С.95.

33.   Фрайзер П.Сайтэл. Современные паблик релейшнз. -М.: Издательский Дом «Инфра - М», 2002 - 592с.

34.   Харитонова Е.В. "Имидж организации - миссия выполнима" // Со-Общение. 2001, № 11 - 88 с.

35.   Шарков Ф.И. Имидж фирмы: технологии управления. -М.:Омена-Л, 2006. - 272 с.

36.   Шепель В.М. Имидж. Как нравиться людям. М.: Народное образование, 2002 - 249 с.

37.   На данном сайте предоставлена основная информация о салоне, об их предложениях и услугах #"888638.files/image001.jpg">

Приложение 2

Анкета

. Возраст

2. Что вы знаете о салоне красоты 4hands?

ü  Они оказывают услуги по маникюру и педикюру

ü  Они оказывают оздоровительные услуги

3. Как вы считаете салон красоты 4hands:

ü  Известен всем

ü  Известен определенной группе потребителей

ü  Практически не известен

4. Какое мнение у вас сложилось о деятельности компании?

ü  Отличный салон с креативной идеей

ü  Обычный салон красоты

ü  Несерьезная организация

ü  Затрудняюсь ответить

5. Можете ли вы вспомнить какая цветовая гамма используется в фирменном стиле салона 4hands?

ü  преобладают желтый и синий

ü  преобладают розовый и белый

ü  преобладают желтый и коричневый

ü  другое сочетание цветов

6. Оцените конкурентный статус компании

ü  Является достойным конкурентом для других салонов красоты

ü  Является незначительным конкурентом

ü  Вообще не является конкурентом для других салонов

7. Является ли для вас это место престижным?

ü  Да

ü  Нет

ü  Затрудняюсь ответить

8. Испытываете ли вы доверие к салону красоты 4hands?

ü  Да

ü  Нет

9. Советуете ли вы подругам салон красоты 4hands?

ü  да

ü  нет

Приложение 3

Мнение о деятельности салона красоты 4hands


Приложение 4

Известность салона красоты

Приложение 5

Престижность салона красоты

Приложение 6

Конкурентность салона

Приложение 7

Контент-анализ

Анализ и интерпретация результатов:

В результате контент анализа двух сайтов, на которых предоставлены отзывы клиентов о салоне, за период с 18.04.14г по 14.04.15г было выявлено 20 отзывов клиентов. Из них 5 так или иначе затрагивают имидж салона, 4 отзыва говорят о его интерьере, 7 об удовлетворенности работой салона и 4 о доверии к салону. В тех отзывах где затронуты имидж, интерьер, удовлетворенность работой салона и доверие к салону, примерный объем упоминания о них составляет одно предложение либо одно суждение.

Таблица. Количество упоминаний смысловых единиц в текстах

Смысловые единицы

Единицы анализа

Количество единиц на сайтах:



«Flamp.ru»

«Мой Барнаул»

Имидж салона красоты 4hands

Престижная компания

1

0


Студия высокого уровня

1

0


Не очень популярный салон

1

0

Интерьер салона

Очень понравился

2

0


Выполнен в едином стиле

1

0


Дешевый ремонт помещения

0


Напоминает советские парикмахерские

1

0

Доверие к салону

Следующий поход сюда уже назначен

1

0


В следующий раз специально точно не пойду

1

0


Чистота и стерильность доверия не внушает

1

0


Больше туда ни ногой

1

0

Удовлетворенность результатом

Довольна результатом

3

1


Быстро

3

0


Качественно

3

0


Не качественно

1

0


Оставляет желать лучшего

1

0


Аккуратно

2

1


Не аккуратно

1

0


Ужасно

4

0


Отличный результат

1

0


Профессиональные сотрудники

1

0


Не профессионализм мастеров

2

0


Низкий сервис

1

0


Приложение 8

Соотношение числа положительных и отрицательных единиц анализа

Приложение 9

Расчет соотношения положительных и отрицательных оценок по коэффициенту Яниса

число положительных оценок (21)число отрицательных оценок (16)объем единиц информации (37)общий объем анализируемого текста (20)

С=21^2-21*16/37*20=0,141

Похожие работы на - Имидж салона красоты '4hands'

 

Не нашли материал для своей работы?
Поможем написать уникальную работу
Без плагиата!
Без нейросетей!