Будівництво (реконструкція) осушувальної меліоративної системи
Зміст
Вступ
.
Будівельно-конструктивна характеристика гідромеліоративних споруд та видів
робіт
1.1Характеристика
споруд та умови виконанняробіт
.2Склад
будівельних процесів та обґрунтування обсягів робіт
.2.1
Розрахунок обсягів робіт при будівництві каналів
.2.2
Розрахунок обсягів робіт при будівництві дренажу
.2.3Розрахунок
обсягів культуротехнічних робіт
.2.4
Розрахунок обсягів робіт при будівництві гідротехнічних споруд
.
Комплексна механізація та технологія будівельно-меліоративних робіт
.1
Вибір і обґрунтування способів комплексної механізації
.2
Вибір і обґрунтування будівельної техніки для будівництва каналів
.2.1
Обґрунтування комплектів машин
.2.2
Техніко-економічне порівняння способів виконання робіт
.2.3
Визначення економічного ефекту
.3
Вибір і обґрунтування будівельної техніки для будівництва дренажу
.3.1
Обґрунтування комплектів машин
.4
Вибір і обґрунтування будівельної техніки для виконання культуртехнічних робіт
.4.1
Обґрунтування комплектів машин
.4.2
Техніко-економічне порівняння способів виконання робіт
Література
Вступ
В даному курсовому проекті основна увага повина
бути приділена технологічним питанням з реконструкції осушувальної
меліоративної системи. При реконструкції системи постають питання не тільки
будівництва нових каналів, колекторно-дренажної мережі, а й питання освоєння і
окультурення земель. В 1996 р. було прийнято державну програму зі збереження
природних ресурсів України. Згідно цієї програми здійснювати будь-які
меліоративні заходи на ще не освоєних землях заборонено. Тому нині основним
завданням меліорації є утримання вже побудованих меліоративних систем та
реконструкція існуючих.
В курсовому проекті необхідно розробити
розрахунково -пояснювальну записку та графічну частину роботи. Графічна частина
(технологічна карта №2 на культуртехнічні роботи) приводиться на ватмані
формату А1 (841х594). Аналіз вихідних даних та результатів розрахунків
представляємо в табличній формі, у вигляді паспорту системи.
Паспорт системи
|
№
з.п.
|
Найменування
показників
|
Одиниці
вимір.
|
Кількість
|
|
1
|
Площа
осушувальної системи:
|
|
|
|
|
Брутто
|
га
|
330
|
|
|
Нетто
|
га
|
310
|
|
2
|
Загальна
довжина колекторно-дренажної мережі, в тому числі:
|
м
|
141900
|
|
3.1.
Діаметром 150 мм
|
м
|
3000
|
|
|
3.2.
Діаметром 125 мм
|
м
|
4000
|
|
|
3.3.
Діаметром 100 мм
|
м
|
7800
|
|
|
3.4.
Діаметром 75 мм
|
м
|
10700
|
|
|
3.5.
Діаметром 50 мм
|
м
|
116400
|
|
3
|
Гідротехнічні
споруди:
|
|
|
|
|
4.1.
РТК
|
шт
|
7
|
|
|
4.2.
ТП
|
шт
|
11
|
|
|
4.3.
Колодязів
|
шт
|
21
|
|
|
|
|
|
|
4.4.
Гирл
|
шт
|
56
|
1. Будівельно-конструктивна характеристика
гідромеліоративних споруд та видів робіт
Основною ознакою, що зумовлює вид робіт є
матеріал, з яким доводиться працювати при виробництві будівельної продукції.
Для водогосподарського будівництва найбільш характерні наступні види робіт:
земляні, бетонні і залізобетонні, монтажні, гідроізоляційні, пальові, кам'яні,
дерев'яні, культуртехнічні, транспортні.
.1Характеристика
споруд та умови виконання робіт
Будівництво (реконструкція)
осушувальної меліоративної системи пов'язане з підготовкою території
будівництва та з безпосереднім будівництвом елементів системи. Будівництво
осушувальної системи необхідно виконувати в теплий період року.
До початку дренажних робіт проводиться очистка
території від кущів та дрібнолісся, дерев, пеньків, каміння, а також будується
мережа відкритих осушувальних каналів.Колекторна мережа будується від
каналу-приймача з похилом у бік гирла. Колектор підключається до каналу за
допомогою гирлової споруди. Після прокладання колектора від нього прокладають
дрени. Після закінчення дренажних робіт (в тому числі будівництва колодязів,
трубчатих шлюзів-регуляторів та переїздів) виконується первинний обробіток
осушених земель.
Тип ґрунту на масиві, площі брутто і нетто.
Ґрунт ділянки - суглинок важкий. Площі
,
.Осушувальні
канали на масиві системи будують у земляному руслі. Параметри каналу, необхідні
для визначення обсягів робіт наводяться нижче.
Довжина каналу L=11300 м, глибина каналу h=2,6
м, ширина каналу по дну b=1,8 м, коефіцієнт закладання укосів m=2,0.
Регулююча мережа системи проектується у вигляді
дрен та колекторів. Дрени передбачити з гончарних чи пластмасових трубок Æ50
мм, а колектори - із гончарних трубок Æ75...150 мм. У
місцях поворотів колекторів та під’єднання до колекторів старшого порядку
колекторів молодшого порядку потрібно передбачити будівництво оглядових
колодязів, а в місцевих пониженнях в проекті розробляються заходи із їх
засипки. На окремих ділянках масиву осушення необхідно виконати культуртехнічні
роботи, пов’язані з розчищенням території та її первинним освоєнням.
Для регулювання рівнів води в каналах
осушувальної мережі у випадках попереджувального або зволожувального шлюзування
передбачене будівництво шлюзів-регуляторів типу РТК їх кількість 7
шт.(регулятор трубчастий, з коробчатим затвором).
У місцях, де польові дороги перетинаються з
каналами відкритої мережі, і де нема потреби у встановленні споруд типу РТК,
передбачається будівництво трубчатих переїздів типу ТП їх кількість 11 шт.
Проектом необхідно передбачити засипку ґрунтом мікропонижень з тимчасових
кавальєрів, які утворюються при будівництві каналів. Об’єм рослинного ґрунту,
що знімається з поверхні понижень складає 9700 м3 , перед їх засипкою та
відстань його переміщення, об’єм мінерального ґрунту, який треба забрати для
засипки понижень та відстань його переміщення задаються вихідними даними.
Рослинний ґрунт для рекультивації поверхні понижень використовується той же, що
був знятий з їх поверхні.
.2 Склад
будівельних процесів та обґрунтування обсягів робіт
Визначення обсягів робіт та склад
будівельних процесів і операцій при будівництві елементів об'єкта
встановлюється на основі аналізу конструкції споруд, складових частин
об'єкта.Ці будівельні процеси будуть проаналізовані для конкретних типів
споруд, згідно вихідних даних і на основі цього будуть здійсненні розрахунки
об’ємів робіт, які представлятимуться у табличній формі. При
цьому можна скористатись літературою [7, 12].
.2.1 Розрахунок обсягів робіт при будівництві
каналів
Технологія будівництва осушуваних каналів має
свої особливості через умови їх влаштування, експлуатації, наявність складних
ґрунтових умов.
Технологія будівництва відкритих осушувальних
каналів передбачає виконання наступних процесів і операцій:
зрізку рослинного ґрунту з траси каналів з
переміщенням у тимчасові кавальєри за допомогою бульдозерів;
розробку мінерального ґрунту у виїмці каналів з
вкладанням у тимчасові кавальєри за допомогою одноківшових
екскаваторів-драглайн;
розрівнювання кавальєрів мінерального ґрунту на
приканальних смугах за допомогою бульдозерів;
розрівнювання тимчасових кавальєрів рослинного
ґрунту на поверхні мінерального ґрунту для рекультивації приканальних смуг за
допомогою бульдозерів;
планування укосів каналу за допомогою
одноківшових екскаваторів-драглайн.
До початку будівництва необхідно здійснити виніс
траси каналу в натуру з розбиттям пікетів згідно проектної документації.
Будівництво каналу включає в себе також глибоку
оранку приканальних смуг або їх фрезерування та кріплення укосів каналу, в
основному посівом багаторічних трав, (в курсовому проекті ці процеси не
передбачаються).
На рис. 1.1. приведено схему переміщення
ґрунтових мас при будівництві каналу.
Рис. 1.1. Схема переміщення ґрунтових мас при
будівництві каналу
Залежно від розмірів каналу і наявної
будівельної техніки його будівництво може проводитись за двома схемами:
поперечною і поздовжньою. На даному етапі курсового проектування ми проводимо
обрахунки для поздовжньої схеми при будівництві каналу. На рис. 1.2. наведено
схему до визначення обсягів земляних робіт при будівництві каналу за
повздовжньою схемою.
Розрахунок обсягів робіт та технологічних
параметрів при будівництві каналу виконується у вигляді таблиці 1.1Обов'язково
слід враховувати розпушення ґрунту при розробці і переміщенні його з виїмки в
насип. Коефіцієнти розпушення, залежно від виду ґрунту, наведені в довідковій
літературі [3, 13].
Відстань розрівнювання мінерального
ґрунту визначається виходячи з товщини шару розрівнювання (0,5…0,8 м),
приймаємо - 0,7 м, а для рослинного - з розрахунку, щоб ширина смуги
розрівнювання рослинного ґрунту дорівнювала ширині смуги розрівнювання
мінерального ґрунту
.
Технологічні запаси
,
на
маневрування будівельної техніки приймаємо в межах 3…5 м, при чому
-
конструктивно, приймаємо - 5 м,
- відповідно до розрахунків
залежновід розрахункової ширини розрівнювання мінерального ґрунту.
Обсяги земляних робіт на всю довжину
каналу розраховуються множенням відповідного об'єму 1 п.м. на всю довжину
каналу.
Розрахунок об’ємів робіт та
технологічних параметрів при будівництві каналів виконуємо на основі
поздовжньої розрахункової схеми (рис 1.2).
Розрахунок обсягів робіт та
відстаней преміщення грунту при будівництві каналу за повздовжньою схемою
Глибину розробки мінерального грунту
у виїмці каналу, Нм визначаємо за формулою:
Ширину каналу, Вк по верху
визначаємо за формулою:
м
де b - ширина каналу по дну в м
(згідно вихідних даних b=0,8м);- коефіцієнт закладання укосу каналу (згідно вихідних
даних m=2,0);- глибина каналу в м (згідно вихідних даних h=2,6м);зр - товщина
зрізки рослинного ґрунту 0,3…0,4м;
Об'єм мінерального ґрунту, Vм у
виїмці на 1 п.м визначаємо за формулою:
Об'єм кавальєру мінерального
ґрунту,Vкм на 1 п.м. визначаємо за формулою:
де крм - коефіцієнт початкового
розпушення мінерального ґрунту, який приймається згідно додатку 1 ЕНиР 2.1
стр.206 (оскільки ґрунт на ділянці - суглинок легкий, то крм=1,2);
Висоту кавальєру мінерального ґрунту,hкм
визначаємо за формулою:
Ширина кавальєру мінерального ґрунту, bкм
визначаємо за формулою:
де m1- коефіцієнт закладання укосів кавальєру
мінерального грунту;
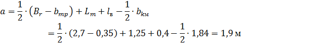
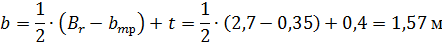
Відстань від початку основи площі поперечного
перерізу мінерального ґрунту до укосу каналу без врахування зрізки рослинного
ґрунту, згідно рекомендацій приймається рівною с=3…5 м. Приймаю с=5 м. Відстань
розрівнювання мінерального ґрунту визначаємо виходячи з товщини шару
розрівнювання, яка приймається рівною hроз. до 1 м. Приймаю hроз.=0,7 м.
Ширина приканальних смуг, Врозр визначається за
формулою:
) Ширина додаткового розрівнювання, а ,м;
де: а - відстань від кінця основи площі
поперечного перерізу кавальєру мінерального ґрунту до початку основи площі
поперечного перерізу відвалу рослинного ґрунту в м.
) Ширину зрізки рослинного ґрунту, Взр
визначаємо за формулою:
10) Об'єм зрізки рослиного грунту,Vзр на 1 п.м.
каналу:
3
11) Об'єм тимчасового кавальєру рослиного
грунту, Vkp на 1п.м . каналу.
3
kрр - коефіцієнт початкового розпушення
рослиного ґрунту, kрр=1,2;
) Висота тимчасового кавальєру рослинного
ґрунту,hkp визначається за формулою:
13) Ширину тимчасового кавальєру рослинного
ґрунту по низу,bkp визначаємо за формулою:
де m1,m3- коефіцієнти закладання укосів
кавальєру рослиного грунту;
) Товщина шару розрівнювання рослинного ґрунту
по мінеральному,hpозр.p визначається за формулою:
15) Довжина планування укосів,ly:
16) Відстань переміщення рослинного ґрунту при
зрізуванні,Lзp визначається за формулою:
) Відстань переміщення мінерального грунту, А
визначаємо за формулою:
А =
к
+ с
bкм
m1
=
11,4
+ 5
6,16
=21,1м
18) Відстань розрівнювання мінерального
грунту,Lpм визначаємо за формулою:
Lрм.=
к
+
=
м
19) Відстань розрівнювання рослиного грунту,Lpp
визначаємо за формулою,м:
Lрек = m2
hкр +
Bроз
= 3
1,08+
13,58
= 10,03 м
20) Загальний обсяг зрізки рослиного грунту,Wp
визначається за формулою:
де Lк - загальна довжина каналів, яка задається
у вихідних даних Lк=11300 м.
) Загальний обсяг розробки мінерального
грунту,Wм визначається за формулою:
22) Загальний обсяг розрівнювання мінерального
грунту,Wкм визначається за формулою:
23) Загальний обсяг розрівнювання рослиного
грунту,Wpр визначається за формулою:
24) Загальна площа планування укосів,Fпл, м2:
Розрахуноки обсягів робіт та відстаней
переміщення грунту при будівництві каналу зводимо в таблицю 1.1
Таблиця 1.1
Розрахунок обсягів робіт та відстаней
переміщення ґрунту при
будівництві каналу
|
№
п/п
|
Найменування
параметрів та обємів робіт
|
Обсяги
робіт
|
Примітка
|
|
|
Од.виміру
|
Кількість
|
|
|
|
|
Повздовжня
схема
|
|
|
1
|
2
|
3
|
4
|
7
|
|
1
|
Глибина
розробки мінерального грунту у виїмці каналу, Нм
|
м
|
2,4
|
hзр=0,2м
|
|
2
|
Ширина
каналу по верху, Вк
|
м
|
11,4
|
|
|
3
|
Об’єм
мінерального грунту у виїмці на 1 п.м., Vм
|
м3
|
15,84
|
|
|
4
|
Об’єм
кавальєру мінерального грунту на 1 п.м., Vкм
|
м3
|
9,504
|
Крм=1,2
|
|
5
|
Висота
кавальєру мінерального грунту, hкм
|
м
|
3,08
|
|
|
6
|
Ширина
кавальєру мінерального грунту,bкм
|
м
|
6,16
|
|
|
7
|
Ширина
смуги розрівнювання грунту, Врозр
|
м
|
13,58
|
hрозр=0,7
|
|
8
|
Ширина
додаткового розрівнювання, а
|
м
|
2,42
|
|
|
9
|
Ширина
зрізки рослиного грунту, Взр
|
м
|
38,56
|
|
|
10
|
Об’єм
зрізки рослинного грунту на 1 п.м., Vзр
|
м3
|
7,712
|
|
|
11
|
Об’єм
кавальєру рослинного грунту, Vкр
|
м3
|
4,63
|
Крр=1,2
|
|
12
|
Висота
кавальєру рослинного грунту, hкр
|
м
|
1,08
|
|
|
13
|
Ширина
кавальєру рослинного грунту, bкр
|
м
|
4,32
|
|
|
14
|
Шар
розрівнювання рослинного грунту, hрр
|
м
|
0,2
|
|
|
15
|
Довжина
планування укосів,lу
|
м
|
6,93
|
|
|
16
|
Відстань
переміщення рослинного грунту при зрізці, Lзр
|
м
|
32,24
|
|
|
17
|
Відстань
розрівнювання мінерального грунту, Lрм
|
м
|
4,29
|
|
|
18
|
Відстань
розрівнювання рослинного грунту, Lрек
|
м
|
10,03
|
|
|
19
|
Загальний
обсяг зрізки рослинного грунту, Wзр
|
м3
|
87146
|
|
|
20
|
Загальний
обсяг розробки мінерального грунту, Wм
|
м3
|
178992
|
|
|
21
|
Загальний
обсяг розрівнювання мінерального грунту, Wкм
|
м3
|
214790
|
|
|
22
|
Загальний
обсяг розрівнювання рослинного грунту, Wрр
|
м3
|
104575
|
|
|
23
|
Загальна
площа планування укосів, Fпл
|
м2
|
78309
|
|
1.2.2 Розрахунок обсягів робіт при будівництві
дренажу
Відстань між дренами
,
яка передбачається проектом виконання гідромеліоративних робіт, може бути
визначена наступним чином. Загальна довжина регулюючої мережі, складає
де:
-
загальна довжина регулюючої мережі (дрен діаметром 50), м;
- площа нетто
системи, га.
Тоді відстань між дренами:
Колекторна мережа, яка представлена дренажними
трубопроводами діаметрами 75 мм, 100 мм, 125 мм, 150 мм, будується траншейним
способом з укладкою керамічних труб. Глибину укладки колекторів приймаємо 1,2
м, однаковою для всіх діаметрів колекторів. Довжина колекторної мережі
:
де:
,
,
,
-
довжини колекторів відповідного діаметру, м.
Регулююча мережа представлена дренами діаметром
50 мм може бути виконана з керамічних або пластмасових труб відповідно
траншейним або без траншейним способом. В КП доцільно зробити
техніко-економічне порівняння цих двох способів будівництва дренажу для
подальшого прийняття оптимального варіанту. Для цього необхідно скласти і
розрахувати схему для визначення обсягів земляних робіт та відстаней
переміщення ґрунтових мас при будівництві дренажу траншейним способом (рис 1.2)
і схему для визначення обсягів земляних робіт при будівництві дренажу
безтраншейним способом, глибину укладки дренажу приймаємо 1,0 м.
Технологія будівництва дренажу траншейним
способом передбачає виконання наступних процесів:
зрізку рослинного ґрунту з траси будівництва
дренажу з переміщенням у тимчасові кавальєри за допомогою бульдозерів;
зворотна засипка траншей дрен мінеральним
ґрунтом за допомогою бульдозерів;
рекультивація траси будівництва дренажу
рослинним ґрунтом з тимчасових кавальєрів за допомогою бульдозерів.
Перед початком будівництва дренажу необхідно
виконати виніс трас будівництва дренажу в натуру, розвезти витратні матеріали:
дренажні трубки, ЗФМ (в КП не включено до основних процесів).
Для обрахунку об'ємів земляних робіт та
відстаней переміщення ґрунту при будівництві дренажу траншейним способом
скористаємось розрахунковою схемою (рис. 1.2) і визначаємо будівельні об'єми на
1 м.п., перемноживши їх на довжину регулюючої мережі отримаємо загальні
обсяги.Розрахунок доцільно вести втабличній формі (таблиця 1.2).
Рис. 1.3. Схема до розрахунку відстані між
траншеєю та тимчасовим кавальєром мінерального ґрунту при будівництві дренажу.
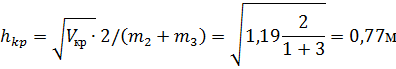
Згідно з рис. 1.2 відстань
від
суміжної бровки траншеї до тимчасового кавальєру мінерального ґрунту, залежить
від переметрів екскаватора-дреноукладача і формується поперечним стрічковим
транспортером, котрий відкидає викопаний ґрунт на бік. Згідно з рис. 1. 3. ця
відстань буде рівною:
де:
- габаритна ширина дреноукладача
(2,7 м);
- ширина траншеї;
- виліт стрічкового транспортера за
розміри дреноукладача ( 1,25 м);
- відстань, що долає земля після
викидання з стрічкового транспортера (залежить від швидкості транспортера,
приймається в межах (0,3-0,5 м).
Відстань
, на рис.
1.2, це технологічний запас необхідний для створення горизонтальної площини під
час руху дреноукладача, згідно із рис. 1.3 він рівний:
де:
- технологічний запас, що
передбачає неточності при виконані технологічних операцій (приймається 0,2…0,5
м).
Розрахунок обсягів робіт та
відстаней переміщення ґрунту при будівництві дренажу траншейним способом:
Глибину виїмки мінерального грунту
Нм, визначаэмо за формулою:
Нм = Н тр - hзр =1,4- 0,2 = 1,2 м
Об’єм виїмки мінерального грунту у траншеї Vм,
визначаємо за формулою:
Vм = Нм
1
п.м. = 1,2
0,5
1
= 0,6 м3
Об'єм тимчасового кавальєру мінерального
ґрунтуVкм, м3,визначаємо за формулою:
Vкм = Vм
р.м=
0,6
1,2=
0,72 м3
Висоту тимчасового кавальєру мінерального грунту
,м,
визначаємо за формулою:
Ширину тимчасового кавальєру мінерального грунту
визначаємо
за формулою:
Ширину зрізки рослинного грунту
м,визначаємо
за формулою:
Об'єм зрізки рослинного шару грунту
,м
,визначаємо за формулою:
Об'єм тимчасового кавальєру рослинного грунту на
1 п.м.
,визначаємо за формулою:
Висоту тимчасового кавальєру рослинного грунту
,м
,визначаємо за формулою:
Ширину тимчасового кавальєру рослинного грунту
,м
,визначаємо за формулою:
Відстань зрізки рослинного шару
,визначаємо
за формулою:
=
+
m2
=
+
1
0,77=
1,97 м
Відстань переміщення мінерального грунту при
зворотній засипці траншей
,м ,визначаємо за
формулою:
Відстань переміщення рослинного грунту при
рекультивації траси будівництва:
Lрек = m1
+
=
1
0,77+0,5
4,95= 3,245 м
Загальний обсяг зрізки рослинного грунту з траси
будівництва дренажної мережі
,
,визначаємо
за формулою:
Загальний обсяг будівництва дренажної мережі,м:
Vдм =
Загальний обсяг зворотної засипки траншей дрен
,
,визначаємо
за формулою:
Загальний об’єм рекультивації траси будівництва
дренажної мережі
,
,визначаємо за формулою:
Розрахунок обсягів робіт та відстаней
переміщення ґрунту при будівництві колекторної мережі траншейним способом:
Глибину виїмки мінерального грунту Нм,
визначаэмо за формулою:
Нм = Н тр - hзр =1,2- 0,2 = 1,0 м
Об’єм виїмки мінерального грунту у траншеї Vм,
визначаємо за формулою:м = Нм
1 п.м. = 1.0
0,35
1
= 0,35 м3
Об'ємтимчасовогокавльєру
мінеральногоґрунтуVкм,м3,визначаємо за формулою:
Vкм = Vм
р.м=
0,35
1,2
= 0,42 м3
Ширину тимчасового кавальєру мінерального грунту
визначаємо
за формулою:1
Ширину зрізки рослинного грунту
м
,визначаємо за формулою:
Об'єм зрізки рослинного шару грунту
,м
,визначаємо за формулою:
Об'єм тимчасового кавальєру рослинного грунту на
1 п.м.
,визначаємо за формулою:
Висоту тимчасового кавальєру рослинного грунту
,м
,визначаємо за формулою:
Ширину тимчасового кавальєру рослинного грунту
,м
,визначаємо за формулою:
Відстань зрізки рослинного шару
,визначаємо
за формулою:
=
+
m2
=
+
3
0,74
= 4,52 м
Відстань переміщення мінерального грунту при
зворотній засипці траншей
, м ,визначаємо за
формулою:
Відстань переміщення рослинного грунту при
рекультивації траси будівництва:
Lрек = m1
+
=
1
0,74 + 0,5
4,6 = 3,04 м
Загальний обсяг зрізки рослинного грунту з траси
будівництва дренажної мережі
,
,визначаємо
за формулою:
4
Загальний обсяг будівництва дренажної мережі,м:
Vдм =
Загальний обсяг зворотної засипки траншей дрен
,
,визначаємо
за формулою:
Загальний об’єм рекультивації траси будівництва
дренажної мережі
,
визначаємо за формулою:
Таблиця 1.2
Розрахунок обсягів робіт та відстаней
переміщення ґрунту при будівництві дренажу траншейним способом
|
п/п
|
Найменування
параметрів та обсягів робіт
|
Обсяги
робіт
|
Примітка
|
|
|
Од.виміру
|
Кількість
|
|
|
|
|
Колекторна
мережа
|
Дренажна
мережа
|
|
|
1
|
2
|
3
|
4
|
5
|
6
|
|
1
|
Глибина
Нм
|
М
|
1,0
|
1,2
|
|
|
2
|
Об'єм
виїмки на 1 п.м.Vм
|
м3
|
0,35
|
0,6
|
hзр=0,2
|
|
3
|
Об'єм
тимчасового кавальєру мінерального ґрунту на 1 п.м., Vкм
|
м3
|
0,42
|
0,72
|
Крм=1,2
|
|
4
|
Висота
тимчасового кавльєру мінерального ґрунту, hкм
|
М
|
0,92
|
1,2
|
|
|
5
|
Ширина
тимчасового кавальєру мінерального ґрунту, bкм
|
М
|
1,84
|
2,4
|
аДМ=1,55м
аКМ=1,9м b=0,5м
|
|
6
|
Ширина
зрізки рослинного ґрунту, Взр
|
М
|
4,6
|
4,95
|
|
|
7
|
Об'єм
зрізки рослиного ґрунту на 1 п.м., Vзр
|
м3
|
0,92
|
0,99
|
|
|
8
|
Об'єм
тимчасового кавльєру рослинного ґрунту на 1 п.м., Vкр
|
м3
|
1,104
|
1,19
|
Крр=1,2
|
|
9
|
Висота
тимчасового кавльєру рослиного ґрунту, hкр
|
М
|
0,74
|
0,77
|
|
|
10
|
Ширина
тимчасового кавльєру рослиного ґрунту, bкр
|
М
|
2,96
|
3,08
|
|
|
11
|
Відстань
переміщення мінерального ґрунту при зворотній засипці траншей дрен, Lзас
|
М
|
4,52
|
3
|
|
|
12
|
Відстань
переміщення рослиного ґрунту при рекультивації траси будівництва дренажної
мережі,Lрек
|
М
|
3,04
|
3,245
|
|
|
13
|
Загальний
обсяг зрізки рослинного грунту з траси будівництва дренажної мережі, Wзр
|
м3
|
9844
|
115236
|
|
|
14
|
Загальний
обсяг будівництва дренажної мережі,Lдр
|
М
|
-
|
116400
|
|
|
15
|
Загальний
обсяг будівництва колекторної мережі,Lкм
|
М
|
10700
|
-
|
|
|
16
|
Загальний
обсяг зворотньої засипки траншей дрен, Wзм
|
м3
|
4494
|
83808
|
|
|
17
|
Загальний
об’єм рекультивації траси будівництва дренажної мережі, Wзр
|
м3
|
11812,8
|
138516
|
|
Перед будівництвом дренажу безтраншейним
способом необхідно аналогічно виконати виніс трас будівництва дренажу в натуру,
розвезти витратні матеріали.
Таблиця 1.3
Розрахунок обсягів робіт та відстаней
переміщення ґрунту при будівництві дренажу безтраншейним способом
|
№
п/п
|
Найменування
параметрів та обємів робіт
|
Об'єми
робіт
|
Примітка
|
|
|
Од.виміру
|
Кількість
|
|
|
|
|
|
|
|
1
|
Ширина
смуги планування при будівництві дренажної мережі, Bпл
|
м
|
4,8
|
t=0,4
|
|
2
|
Загальна
площа планування траси будівництва дренажної мережі, Fпл
|
м2
|
558720
|
Lдр=
116400
|
|
3
|
Об'єм
розробки мінерального ґрунту при влаштуванні одного приямка
|
м3
|
2
|
|
|
4
|
Об'єм
мінерального грунту при влаштуванні всіх приямків
|
м3
|
1117,44
|
nпр=558,72
|
|
5
|
Об'єм
зворотньої засипки приямків
|
м3
|
1340,9
|
Крм=1,2
|
1.2.3 Розрахунок обсягів культуртехнічних робіт
До культуртехнічних робіт відносимо розчищення
територій від дерев, кущів, каміння, купин та первинну обробку розчищених площ.
Основні вимоги до культуртехнічних робіт є максимальне збереження природної
родючості осушуваних земель. Для скорочення сезонності меліоративних робіт і
підвищення рівномірного завантаження меліоративної техніки культуртехнічної
роботи потрібно виконувати протягом року.
Обсяги культуртехнічних робіт визначаються на
основі вихідних даних.
При розчищеннітериторій від дерев передбачається
корчування дерев корчувачами-збирачами, з трелюванням на задану відстань,
обробка отриманої деревини бензопилами та засипку підкорінних ям після
корчування бульдозером.
При розчищенні площ від каміння передбачається
корчування каміння при заданій кількості на гектар корчувачами-збирачами з
наступним вивезенням на металевих сланях за межі поля на задану відстань.
Вивезенняслід передбачати за допомогою тих же машин, що і корчування. Утворені
ями після корчування каміння слід загортати бульдозером. Кількість ям
обраховується в розрахунку, що один камінь має масу 100…..150 кг.
Засипка місцевих понижень включає в себе такі
операції: зрізка рослинного ґрунту, засипка понижень мінеральним ґрунтом,
рекультивація поверхні пониження. Засипку місцевих понижень виконують ґрунтом з
тимчасових кавальєрів, що утворилися внаслідок будівництва каналів відкритої
осушувальної мережі.
Після виконання всіх описаних операцій
передбачають первинний обробіток ґрунту який включає в себе глибоку оранку,
дискування у два проходи, та прикочування.Обсяги культуртехнічних робіт
наводяться в таблиці 1.4.
.2.4 Розрахунок обсягів робіт при будівництві
гідротехнічних споруд
Гідротехнічні споруди на системі представлені
шлюзами-регуляторами та трубчатими переїздами на відкритих каналах, оглядовими
колодязями та гирловими спорудами - на колекторно-дренажній мережі. Оскільки у
вихідних даних присутня тільки кількість і тип споруд, а їх технічні параметри
відсутні, то визначать реальні обсяги робіт по ГТС не має можливості. Кількість
і тип споруд, та обрахунки згідно вихідних даних заносимо в таблицю 1.4.
осушувальна меліоративна
техніка канал
Таблиця 1.4.
Відомість обсягів робіт на об'єкті
|
№
п/п
|
Найменування
робіт
|
Од.вим.
|
К-сть
|
Примітка
|
|
1
|
2
|
3
|
4
|
5
|
|
1.
Корчування чагарнику
|
|
1
|
Корчування
чагарнику
|
га
|
14
|
Тип:
рідкий
|
|
2
|
Згрібання
чагарнику у вали і переміщення на задану відстань
|
га
|
14
|
l=80
м
|
|
3
|
Спалювання
чагарнику
|
га
|
14
|
n=2
рази
|
|
2.Фрезування
купин
|
|
1
|
Фрезування
купин
|
га
|
16
|
L=600
|
|
3.Засипка
місцевих понижень
|
|
1
|
Об’є
зрізки рослинного грунту з поверхневих понижень
|
м3
|
9700
|
Lзр=30
|
|
2
|
Об’єм
засипки місцевих понижень
|
м3
|
36000
|
Lзм
=60
|
|
3
|
Планування
поверхні понижень
|
м2
|
51428,6
|
Hрм=0,7
|
|
4
|
Рекультивація
поверхні понижень
|
м3
|
11640
|
крр=1,2
|
|
4.Первинний
обробіток грунту
|
|
1
|
Глибока
оранка h=30м
|
га
|
310
|
Lг=200
|
|
2
|
Дискування
у 2 проходи по 1 сліду
|
га
|
310
|
Lг=200
|
|
3
|
Прокочування
грунту
|
га
|
310
|
Lг=200
|
|
5.
Будівництво ГТС
|
|
1
|
Шлюзи
регулятори типу РТК
|
шт.
|
7
|
|
|
2
|
Переїзди
трубчастого типу (ТП)
|
шт.
|
11
|
|
|
3
|
Колодязі
|
шт.
|
31
|
|
|
4
|
Гирлові
споруди
|
шт.
|
56
|
|
2. Комплексна механізація та технологія
будівельно-меліоративних робіт
В даному розділі КП повині бути вирішені питання
підбору машин і механізмів для виконання технологічних процесів направлених на
освоєння обсягів робіт, підрахованими в розділі 1.
Підбір машин для виконання робіт на які
передбачено розробку технологічної карти (див. вихідні дані) виконується по
приведеним витратам, для всіх інших робіт - по собівартості.
Також підібрані машини і механізми мають бути
ув'язані між собою так, щоб при повному завантаженні машин забезпечувалась
найменша вартість робіт.
.1 Вибір і обґрунтування способів
комплексної механізації
В цьому розділі курсового проекту вирішуються
два основних завдання: обґрунтовуються методи виконання робіт і підбираються
відповідні засоби механізації для їх здійснення. В нашому курсовому проекті
розробляється технологічна карта на виконання робіт по будівництву відкритої
осушувальної мережі, які було зазначено в цьому процесі беруть участь
екскаватори - драглайн і бульдозери при будівництві каналів екскаватором -
драглайном можна застосовувати в наступних способах:
спосіб повздовжньої розробки ґрунту;
спосіб поперечної розробки ґрунту.
Перший спосіб застосовується для нешироких
каналів коли радіус вивантаження екскаватора може перекрити віддаль від осі
виїмки до зовнішньої бровки кавальєру при цьому способі екскаватор рухається
вздовж вісі каналу залишаючи після себе розроблену виїмку (рис. 2.1).
Поперечну розробку ґрунту застосовують при умові
що вся ширина смуги виїмки і кавальєру ґрунту не може бути перекрита радіусом
вивантаження, та радіусом копання (рис. 2.2).
.2 Вибір і обґрунтування будівельної техніки для
будівництва каналів
За геометричними характеристиками поперечного
перерізу каналу та технічними параметрами екскаваторів-драглайн визначимо схему
влаштування русла каналу.
Спочатку виконуємо підбір екскаватора для
будівництва каналу за повздовжньою схемою, згідно рис. 2.1. При чому підбираємо
варіанти екскаваторів з об'ємом ковша до 1,5 м3, якщо жоден з екскаваторів не
задовольняє всі чотири умови то підбираємо екскаватор для будівництва каналу за
поперечною схемою, згідно рис. 2.2. Необхідно підібрати два екскаватори різних
за типом і розміром ковша. Причому потрібно враховувати, що поздовжня схема
розробки є більш економічно вигідною.
Поздовжння схема підбору ескаватора
Рис. 2.1. Схема для підбору екскаватора для
будівництва каналу за повздовжньою схемою
На рис. 2.1. Rв - найбільший радіус вивантаження
екскаватора; HКОП - найбільша глибина копання екскаватора; Hв - найбільша
висота вивантаження екскаватора;bк - ширина ковша екскаватора. Дані про
технічні характеристики екскаваторів наводяться в довідковій літературі, чи
надаються заводом-виробником.
Поперечна схема підбору ескаватора
Рис. 2.2. Схема для підбору екскаватора для
будівництва каналу за поперечною схемою
На рис. 2.2. Rк - найбільший радіус копання
екскаватора; lк - довжина ковша екскаватора; A1 - максимальна відстань
переміщення ґрунту екскаватором під час розробки виїмки
Підбір ескаватора відбувається за
вище перерахованими параметрами, зупиняємось на ЄО-7111 та ЄО -6111.Отже
керуючись довідковою літературою параметри цих двох ескаваторів повністю
задовольняють наші потреби. Основні технічні параметри
вибраних екскаваторів заносимо в табл. 2. 1.
Таблиця 2.1
Основні технічні параметри вибраних екскаваторів
|
№
п/п
|
Спосіб
розробки
|
Марка
|
Місткість
ковша, м3
|
Потужність,
кВт, (к.с.)
|
Rв,
м
|
Hв,
м
|
Rк,
м
|
HКОП,
м
|
Маса,
т
|
|
1
|
Поздовжня
|
ЄО-7111
|
1,5
|
160(218)
|
23,8
|
15,9
|
27,4
|
14,0
|
94
|
|
2
|
Поперечна
|
ЄО
-6111
|
1,0
|
85(116)
|
10,4
|
6,5
|
12,9
|
5,1
|
39,75
|
До кожного прийнятого екскаватора підбираємо
бульдозер відповідно до потужності базової машини. Залежно від відстані
переміщення ґрунту при зрізці рослинного шару вибираємо схему руху бульдозера
згідно з рис. 2. 3.
а) поперечна розробка грунту на один бік із поверненням
заднім ходом
Рис. 2. 3. Схеми розробки рослинного ґрунту
бульдозером
Основні технічні параметри вибраних бульдозерів
заносимо в табл.. 2. 2.
Таблиця 2.2
Основні технічні параметри вибраних бульдозерів
|
№
п/п
|
Спосіб
розробки
|
Марка
бульдозера
|
Потужність,
кВт, (к.с.)
|
Базова
машина
|
Тип
відвалу
|
Довжина
відвалу, м
|
Висота
відвалу, м
|
Управління
|
Маса,
т
|
|
1
|
Поперечна
|
ДЗ-19
|
79(108)
|
Т-100
|
неповоротний
|
3,03
|
1,3
|
гідравлічне
|
1,53
|
|
2
|
Поперечна
|
ДЗ-17С
|
118(160)
|
неповоротний
|
3,2
|
1,3
|
гідравлічне
|
1,91
|
.2.1 Обґрунтування комплектів машин
Відповідно приведених розрахунків та за
допомогою [8], [4], де подаються рекомендовані варіанти комплектування
комплексних бригад, при яких досягається найвища її продуктивність, та
експлуатаційні характеристики машин, остаточно сформовано два комплекти машин,
що задіяні у розрахунковому процесі і наведено в таблиці 2.3.
Таблиця 2.3
Варіанти комплектів машин
|
Найменування
машини і агрегатів в комплекті
|
Маса
машини, кг
|
Вартість
1 год роботи машини, грн
|
Норма
роботи на рік, Тр,змін
|
Потужність
двигуна, кВт
|
Витрата
пального, л/год
|
Оптова
ціна, грн
|
Шифр
ресурсу
|
|
Комплект
машин №1
|
|
Екскаватор
ЭО-7111
|
94000
|
60,58
|
450
|
160
|
11,3
|
1064625
|
206-0235
|
|
Бульдозер
ДЗ-19
|
1530
|
33,23
|
310
|
79
|
10,12
|
915500
|
207-0134
|
|
Комплект
машин №2
|
|
Екскаватор
ЭО-6111
|
39750
|
18,82
|
450
|
85
|
10,6
|
300000
|
206-0230
|
|
Бульдозер
ДЗ-17С
|
1910
|
50,88
|
310
|
118
|
15,3
|
305252
|
207-0136
|
2.2.2 Техніко-економічне порівняння способів
виконання робіт
Для оцінки варіантів комплексної механізації
робіт використовують такі техніко-економічні показники: приведені витрати;
продуктивність комплекту машин; працемісткість робіт; питому енергоємність
процесу; питомі витрати пального; питому металомісткість. Для того щоб
порівняти комплекти машин за цими показниками, з метою подальшого вибору оптимального
варіанта, необхідно мати вихідні дані до техніко-економічного порівняння (ТЕП)
цих варіантів, згідно форми таблиці 2.4., описані в пункті 1.2.1 процеси.
Приведені витрати, до складу яких входять
собівартість робіт і показник ефективності використання машини на об'єкті,
визначаються за формулою
,грн
де
-
собівартість виконання робіт і-ю машиною, грн (визначається множенням вартості
всієї кількості машино-змін для кожного процесу на коефіцієнт накладних витрат kн=1.145);
0,15
- нормативний коефіцієнт ефективності капіталовкладень;
-
балансова вартість машини, грн., визначається за формулою
, грн
- ціна нової
машини, грн.;
- тривалість
роботи і-ї машини на об'єкті, змін;
-
нормативна тривалість роботи машини за рік, змін.Розрахунок доцільно вести в
табличній формі (таблиця 2.5).
Продуктивність комплекту машин приймається
рівною продуктивності ведучої машини за одиницю часу.
,м3/зміну
де: В-вимірник одиниці кінцевої продукції, на
який у нормативних документах подаються норми часу;
8
год. - тривалість робочої зміни;
-
норма (затрати) часу машини для виконання обсягу робіт на вимірник одиниці
кінцевої продукції.
Таблиця 2.4.
Вихідні дані до розрахунку ТЕП варіантів
комплексної механізації
|
№
п.п.
|
Найменування
робіт і умови їх виконання
|
Марка
машин
|
Обсяг
робіт
|
Норма
часу
|
Обгрунтування
норм часу
|
Кількістьвитра-
чених маш.змін
|
Затрати
праці, люд-дні
|
Вартість
експлуатації машин, грн
|
Собівартість
робіт С, грн
|
|
|
|
|
Од.вим.
|
Кількість
|
Ведучої
машиниНч(м)
|
Маши-
ністів Нчм
|
Робіт-
ників Нчр
|
|
|
Маши-
ністів
|
Робіт-
ників
|
маш./год
|
Всього
|
|
|
|
|
|
|
|
|
|
|
|
|
|
|
|
|
|
|
|
Комплект
машин №1
|
|
|
1
|
Зрізка
рослинного грунту з перемі-щенням його на відстань Lзр=32,24м бульдозером
потужністю 79 кВт, грунт І групи
|
ДЗ-19
|
1000
м3
|
85,15
|
24,47
|
24,47
|
-
|
1-24-5,
1-24-13
|
266,57
|
266,57
|
-
|
265,84
|
70864,97
|
81140,39
|
|
|
2
|
Розробка
мінера-льного ґрунту у виїмці каналу з переміщенням його на відстань
Lрш=4,29м екскаватором драглайн місткістю ковша 1,25-1,6 м3, грунт І групи
|
ЄО-7111
|
1000м3
|
179,0
|
12,34
|
24,68
|
5,93
|
1-11-7
|
276,11
|
552,215
|
132,68
|
484,64
|
133813,95
|
153216,97
|
|
|
3
|
Розрівнювання
тимчасових кава-льєрів мінераль-ного ґрунту за допомогою буль-дозера
потужністю 79 кВт, грунт І групи
|
ДЗ-19
|
1000м3
|
214,79
|
11,24
|
11,24
|
-
|
1-85-4
|
301,78
|
301,78
|
-
|
265,84
|
80225,19
|
91857,8
|
|
|
4
|
Планування
укосів екскаватором драглайн місткістю ковша 1,5 м3, грунт І групи
|
ЄО-7111
|
1000м3
|
78,31
|
19,21
|
19,21
|
9,06
|
1-88-1
|
188,04
|
188,04
|
88,67
|
484,64
|
91131,7
|
104345,79
|
|
|
5
|
Рекультивація
приканальних смуг бульдозером потужністю 79 кВт, грунт І групи, з відстанню
переміщення Lрек= 3,04 м
|
ДЗ-19
|
1000м3
|
104,57
|
11,24
|
11,24
|
-
|
1-85-4
|
146,92
|
146,92
|
-
|
265,84
|
39057,2
|
44720,49
|
|
|
|
Сума
|
|
1179,42
|
1455,52
|
221,35
|
1766,8
|
415093,01
|
475281,44
|
|
|
Комплект
машин №2
|
|
1
|
Загальний
обсяг зрізки рослинного грунту
|
ДЗ-17С
|
м3
|
87,15
|
17,37
|
17,37
|
-
|
1-25-5
1-25-13
|
189,22
|
189,22
|
-
|
407,04
|
77011,97
|
88178,7
|
|
2
|
Загальний
обсяг розробки мінерального ґрунту у виїмці каналу
|
ЕО-6111
|
м3
|
179,0
|
17,68
|
35,36
|
8,13
|
1-12-1,
|
395,59
|
791,18
|
181,91
|
150,56
|
59560,03
|
68196,23
|
|
3
|
Загальний
обсяг розрівнювання мінерального ґрунту
|
ДЗ-17С
|
м3
|
214,79
|
7,24
|
7,24
|
-
|
1-85-7
|
194,38
|
194,38
|
-
|
407,04
|
79120,43
|
90592,9
|
|
4
|
Планування
укосів екскаватором драглайн місткістю ковша 1,0 м3, грунт І групи
|
ЕО-6111
|
м3
|
78,31
|
19,21
|
19,21
|
9,06
|
1-88-1
|
188,04
|
188,04
|
88,69
|
150,56
|
28311,3
|
32416,44
|
|
5
|
Рекультивація
приканальних смуг бульдозером потужністю 118 кВт
|
ДЗ-17С
|
м3
|
104,57
|
7,24
|
7,24
|
-
|
1-85-7
|
94,64
|
94,64
|
-
|
407,04
|
38518,48
|
44103,66
|
|
|
Сума
|
|
1061,87
|
1457,46
|
270,6
|
1522,24
|
282522,21
|
323487,93
|
|
|
|
|
|
|
|
|
|
|
|
|
|
|
|
|
|
|
|
|
|
|
|
|
|
|
|
|
|
Таблиця 2.5
Розрахунок приведених витрат варіантів
комплектів машин
|
Найменуван-ня
будівельних машин в комплекті
|
Собівартість
робіт С, грн
|
Оптова
ціна машини Оц, грн
|
Балансова
вартість, Ф, грн
|
Тривалість
роботи машини на об’єкті, Тоі, зм
|
Тривалість
роботи машини за рік Трі, зм
|
Ф·Тоі/Трі
|
Приведені
витрати Пj, грн
|
|
Комплект
машин №1
|
|
ДЗ-19
|
217718,68
|
915500
|
979585
|
715,27
|
310
|
2260219
|
|
|
|
ЄО-7111
|
257562,76
|
1064625
|
1139148,75
|
464,15
|
450
|
1174969
|
|
|
|
Сума
|
475281,44
|
1980120
|
2118733,75
|
1179,42
|
760
|
3435188
|
990559,64
|
|
|
Комплект
машин №2
|
|
ДЗ-17С
|
222875,26
|
305252
|
326619,64
|
478,24
|
310
|
503879
|
|
|
|
ЄО-6111
|
100612,67
|
300000
|
321000
|
583,63
|
450
|
416358
|
|
|
|
Сума
|
323487,93
|
605252
|
647619,64
|
1061,87
|
760
|
920237
|
3372523,48
|
|
|
|
|
|
|
|
|
|
|
|
|
|
|
|
|
Всі вище перераховані розрахунки виконуємо в
табличній формі таблиця 2.5.
Для забезпечення повного завантаження всіх машин
в комплекті необхідно, щоб виконувалась наступна умова:
де
,
-
кількість машино-змін, яку повинна відпрацювати кожна машина, що входить до
складу комплекту;
,
,
- кількість машин даного типу, що виконують види робіт передбачених в
комплекті, при умові їх повного завантаження.
Для конкретного комплекту машин значення питомих
показників можна визначити за наступними залежностями:
Питома енергоємність процесу:
,
де
- сумарна потужність двигунів,
встановлених на машинах розрахункового комплекту, кВт;
-
коефіцієнт використання потужності двигуна (для більшості землерийних та
землерийно-транспортних машин
).
Питома витрата пального:
де
- питома
витрата пального для дизельних двигунів внутрішнього згорання, кг/кВт-год,
визначається інтерполюванням (залежно від варіації
: від 30 до
250 кВт;
варіюється
в межах від 0,22 до 0,18).
Питома металомісткість:
,
де:
- сумарна
маса машин, що входять в комплект, кг;
- коефіцієнт, що враховує додаткові
витрати металу при експлуатації машин (приймається в межах 1,2 - 1,25);
- річна
продуктивність машин (приймається рівною продуктивності ведучої машини);
- загальний
термін служби ведучої машини, років.
Працемісткість робіт на одиницю
профільного об'єму визначається за формулою:
де:
- загальна працемісткість виконання
всіх будівельних процесів при будівництві каналу комплектом машин в людино-днях
(з таблиці 2.5.);
-
профільний об'єм, визначається згідно з вихідними даними (в даному випадку це
довжина каналу в метрах).
ТЕП комплектів машин приводимо в
таблиці 2.6.
Таблиця 2.6.
Показники для ТЕП комплектів машин
|
Найменування
показників
|
Одиниці
виміру
|
Показники
варіантів
|
|
|
№1
|
№2
|
|
Основні
показники
|
|
1.Продуктивність
комплекту машин
|
м3/зміну
|
648,3
|
452,5
|
|
2.Працемісткість
робіт на весь об’єм
|
людино-дні
|
0,148
|
0,153
|
|
3.
Приведені витрати
|
грн
|
990559,64
|
3372523,48
|
|
Додаткові
показники
|
|
1.
Питома енергомісткість
|
кВт/пм
|
1,814
|
|
2.
Питома металомісткість
|
кг/
м3
|
9,21
|
5,75
|
|
3.
Питома витрата палива
|
кг/
м3
|
0,328
|
0,396
|
На основі даних таблиці 2.6. робимо остаточний
висновок,приймаємо 1-й комплект машин тому,що приведені витрати для першого комплекту
машин нижчі ніж для другого.
Таблиця 2.7
Розрахунок необхідної кількості машин в
комплекті
|
Найменування
будівельних машин, що входять до складу комплекту
|
Кількість
маш-змін на весь об’єм
|
|
|
|
З
урахуванням повного завантаження всіх машин
|
|
|
За
розрахунками
|
Заокруглено
|
|
ДЗ-19
|
715,27
|
1,54
|
1
|
|
ЄО-7111
|
464,15
|
0,614
|
2
|
|
Всього
машин в комплекті
|
3
|
2.3 Вибір і обґрунтування будівельної техніки
для будівництва дренажу
Підбір техніки для будівництва дренажу
виконується залежно від способу укладання дрен. В КП доцільно підібрати техніку
для траншейного і безтраншейного способів укладки дренажу, зробити
техніко-економічне порівняння (ТЕП) двох способів будівництва і прийняти
оптимальний (ТЕП виконується аналогічно до методики порівняння комплектів машин
для будівництва каналів).
При траншейному способі будівництва дренажу
виконують зрізку рослинного шару ґрунту. Залежно від типу робочого обладнання
бульдозера (поворотний відвал чи ні) цей процес може виконуватись за
повздовжньою чи поперечною схемами, в нашому випадку використовуємо поздовжню
схему (рис.2.4).
Рис. 2. 4. Схема зрізки рослинного шару ґрунту
за повздовжньою схемою
Укладання дренажу виконуємо траншейними
екскаваторами-дреноукладачами. Підбирається екскаватор-дреноукладач відповідно
до рис. 2.5., основні технічні характеристики його заносяться в таблицю 2.9.
Рис. 2.5. Схема укладки дренажу траншейним
способом.
Зворотна засипка траншей дрен в основному
виконується за повздовжньою схемою (рис. 2.6.), про те за відсутності в
машинному парку універсальних бульдозерів (з поворотним відвалом) може
виконуватись і за поперечною схемою.
При будівництві дренажу безтраншейним способом
планування траси будівництва дренажу виконується бульдозером з поворотним
відвалом, підбір дреноукладача виконуться згідно рис. 2.7., його технічні
характеристики заносяться в таблицю 2.9.
Рис. 2.6.Схема зворотної засипки траншей дрен за
повздовжньою схемою
2.7 Схема укладки дренажу безтраншейним способом
Таблиця 2.8.
Технічна характеристика дреноукладачів
|
№
п/п
|
Спосіб
вкладання
|
Марка
|
Потужність,
кВт, (к.с.)
|
Базова
машина
|
Максим.глибина
копання,м
|
Ширина
траншеї,м
|
Маса,
т
|
|
1.
|
Траншейний
|
ЕТЦ-252
|
81
|
Д-150
|
3,5
|
0,8
|
19,5
|
|
2.
|
Безтраншейний
|
МД-4
|
117
|
Т-130
|
1,8
|
0,27
|
28,8
|
.3.1 Обґрунтування комплектів машин
Вибрані машини для будівництва дренажу формуємо
в комплекти враховуючи рекомендації [4], [6], [8]. Комплект машин №1, для
будівництва дренажу траншейним способом, буде включати в себе траншейний
екскаватор-дреноукладач і бульдозер. Комплект машин №2 буде складатися з
безтраншейного дреноукладача, екскаватора і бульдозера. Варіанти комплексної
механізації заносимо в таблицю 2.10. (по формі табл. 2.3)
Таблиця 2.9.
Варіанти прийнятих комплектів машин
|
Найменування
машини і агрегатів в комплекті
|
Маса
машини, кг
|
Вартість
1 год роботи машини, грн
|
Норма
роботи на рік, Тр,змін
|
Потужність
двигуна, кВт
|
Витрата
пального, л/год
|
Оптова
ціна, грн
|
Шифр
ресурсу
|
|
Комплект
машин №1
|
|
Бульдозер
ДЗ-35С
|
1440
|
208,73
|
310
|
96
|
13,4
|
150000
|
207-0135
|
|
Дреноукладач
ЕТЦ-202А
|
8500
|
120,72
|
200
|
40
|
4,09
|
120000
|
208-0801
|
|
Комплект
машин №2
|
|
Бульдозер
ДЗ-25
|
1910
|
241,39
|
310
|
117
|
15,3
|
160000
|
207-0136
|
|
Дреноукладач
МД-4
|
28800
|
505,09
|
200
|
117,6
|
25,8
|
420000
|
208-0902
|
|
Екскаватор
ЄО-3311Б
|
12400
|
99,22
|
160
|
37
|
4,3
|
180000
|
206-0231
|
Таблиця
2.10.
Вихідні
дані до розрахунку ТЕП варіантів комплексної механізації
|
№
п.п.
|
Найменування
робіт і умови їх виконання
|
Марка
машин
|
Обсяг
робіт
|
Норма
часу
|
Обгрунтування
норм часу
|
Кількість
витра- чених маш.змін
|
Затрати
праці, люд-дні
|
Вартість
експлуатації машин, грн
|
Собівартість
робіт С, грн
|
|
|
|
Од.
вим.
|
К-ть
|
Ведучої
машини Нч(м)
|
Маши-
ністів Нчм
|
Робіт-
ників Нчр
|
|
|
Маши-
ністів
|
Робіт-
ників
|
маш.зміни
|
Всього
|
|
|
|
|
|
|
|
|
|
|
|
|
|
|
|
|
|
Комплект
машин №1
|
|
1
|
Зрізка
рослинного ґрунту з траси будівництва дренажу з переміщенням у тимчасові
кавальєри
|
ДЗ-19
|
1000
М3
|
115,236
|
9,35
|
9,35
|
-
|
1-24-5
|
134,7
|
134,7
|
-
|
1297,68
|
174797,5
|
200143,1
|
|
2
|
Розробка
мінерального ґрунту у траншеї з вкладанням його у тимчасові кавальєри
|
ЕТЦ-252
|
1000
М3
|
116,4
|
71,4
|
407,28
|
214,2
|
1-112-1
|
1038,9
|
5926
|
3116,61
|
459,44
|
477312,2
|
546522,5
|
|
3
|
Зворотна
засипка траншей дрен мінеральним ґрунтом за допомогою бульдозерів
|
ДЗ-19
|
1000
М3
|
83,81
|
9,13
|
9,13
|
-
|
1-27-4
|
95,65
|
95,65
|
-
|
1297,68
|
124123,1
|
142120,94
|
|
4
|
Рекультивація
траси будівництва дренажу рослинним ґрунтом з тимчасових кавальєрів
|
ДЗ-19
|
1000
М3
|
11,24
|
11,24
|
11,24
|
-
|
1-85-4
|
194,62
|
194,62
|
-
|
459,44
|
89416,2
|
102381,6
|
|
|
Сума
|
|
1463,87
|
9467,58
|
3514,24
|
865649
|
499268,14
|
|
Комплект
машин №2
|
|
1
|
Планування
траси будівництва дренажу за допомогою бульдозерів
|
ДЗ-19
|
1000М3
|
558,72
|
00,39
|
0,39
|
-
|
1-30-2
|
27,24
|
27,24
|
-
|
1297,68
|
35348,8
|
40474,38
|
|
2
|
Розробка
приямків в гирлі дренажних трубопроводів екскаватором
|
ЕО-7111
|
1000М3
|
1,12
|
9,93
|
19,86
|
7,16
|
1-11-7
|
1,39
|
2,78
|
1,00
|
484,64
|
673,65
|
771,33
|
|
3
|
Укладання
дренажу за допомогою безтраншейних дреноуклачів
|
МД-4
|
1000М3
|
116,4
|
12,95
|
93,37
|
24,82
|
1-113-1
|
188,4
|
572,83
|
361,13
|
1003,68
|
189093,3
|
216511,8
|
|
4
|
Зворотна
засипка приямків бульдозером
|
ДЗ-19
|
1000М3
|
1,34
|
9,13
|
9,13
|
-
|
1-27-4
|
1,53
|
1,53
|
-
|
1297,68
|
1985,45
|
2273,34
|
|
|
Сума
|
|
218,56
|
991,53
|
4083,68
|
545240,4
|
260030,85
|
|
|
|
|
|
|
|
|
|
|
|
|
|
|
|
|
|
|
|
|
|
|
|
|
|
|
|
|
|
Для конкретного комплекту машин значення питомих
показників можна визначити за наступними залежностями:
Питома енергоємність процесу:
,
де
- сумарна потужність двигунів,
встановлених на машинах розрахункового комплекту, кВт;
-
коефіцієнт використання потужності двигуна (для більшості землерийних та
землерийно-транспортних машин
).
Питома витрата пального:
де
- питома
витрата пального для дизельних двигунів внутрішнього згорання, кг/кВт-год,
визначається інтерполюванням (залежно від варіації
: від 30 до
250 кВт;
варіюється
в межах від 0,22 до 0,18).
Питома металомісткість:
,
де:
- сумарна
маса машин, що входять в комплект, кг;
- коефіцієнт, що враховує додаткові
витрати металу при експлуатації машин (приймається в межах 1,2 - 1,25);
- річна
продуктивність машин (приймається рівною продуктивності ведучої машини);
- загальний
термін служби ведучої машини, років.
Працемісткість робіт на одиницю
профільного об'єму визначається за формулою:
де:
- загальна працемісткість виконання
всіх будівельних процесів при будівництві каналу комплектом машин в людино-днях
;
-
профільний об'єм, визначається згідно з вихідними даними (в даному випадку це
довжина каналу в метрах).
ТЕП комплектів машин приводимо в
таблиці 2.12.
Таблиця 2.12.
Показники для ТЕП комплектів машин
|
Найменування
показників
|
Одиниці
виміру
|
Показники
варіантів
|
|
|
№1
|
№2
|
|
Основні
показники
|
|
1.Продуктивність
комплекту машин
|
м3/зміну
|
68,73
|
68,73
|
|
2.Працемісткість
робіт на весь об’єм
|
людино-дні
|
0,8
|
0,008
|
|
3.Приведені
витрати
|
грн
|
800746,9
|
337695,64
|
|
Додаткові
показники
|
|
1.Питома
енергомісткість
|
кВт/пм
|
11,17
|
24,86
|
|
2.Питома
металомісткість
|
кг/
м3
|
19,12
|
113,06
|
|
3.Питома
витрата палива
|
кг/
м3
|
2,01
|
4,47
|
На основі даних таблиці 2.12. робимо остаточний
висновок,приймаємо 2-й комплект машин тому,що приведені витрати для першого
комплекту машин нижчі ніж для другого. Розрахунок необхідної кількості машин
знаходимо з таблиці 2.13.
Таблиця 2.13.
Розрахунок необхідної кількості машин в
комплекті
|
Найменування
будівельних машин, що входять до складу комплекту
|
Кількість
маш-змін на весь об’єм
|
|
|
|
З
урахуванням повного завантаження всіх машин
|
|
|
За
розрахунками
|
Заокруглено
|
|
МД-4
|
188,4
|
0,94
|
1
|
|
ДЗ-19
|
28,77
|
0,15
|
1
|
|
ЕО-7111
|
1,39
|
0,007
|
1
|
|
Всього
машин в комплекті
|
3
|
.4 Вибір і обґрунтування будівельної
техніки для виконання культуртехнічних робіт
Будівельна техніка для виконання
культуртехнічних робіт підбирається на процеси описані в п.1.2.3, згідно з
вихідними даними, у відповідності до схем (рис. 2.8, 2.9, 2.10, 2.11). Основні
технічні характеристики вибраних машин заносяться в табл.. 2.11 і 2.12.
Доцільно підібрати два комплекти машин, зробити їх техніко-економічне
порівняння (ТЕП) і вибрати оптимальний комплект, обрахувати для нього
кількісний склад машин
З урахуванням рекомендацій [4], [8], [10]
оостаточно формуємо два комплекти машин і заносимо їх в таблицю по формі табл..
2.3
Таблиця 2.15.
Варіанти прийнятих комплектів машин
|
Найменування
машини і агрегатів в комплекті
|
Маса
машини, кг
|
Вартість
1 год роботи машини, грн
|
Норма
роботи на рік, Тр,змін
|
Потуж-ність
двигуна, кВт
|
Витрата
пального, л/год
|
Оптова
ціна, грн
|
Шифр
ресурсу
|
|
Комплект
машин №1
|
|
Корчувач-збирач
МП-18-6
|
22500
|
38,78
|
250
|
95
|
10,60
|
204000
|
209-05-02
|
|
ФБН-2
|
1680
|
51,79
|
310
|
55
|
11,2
|
45900
|
212-22-01
|
|
Комплект
машин №2
|
|
Корчувач-збирач
МП-2Б
|
16300
|
49,90
|
300
|
117
|
15,90
|
460585
|
209-08-03
|
|
МТП-42А
|
5920
|
51,79
|
310
|
115
|
11,20
|
85450
|
212-22-01
|
Таблиця 2.16.
Основні технічні параметри вибраних фрез
|
№
з/п
|
Марка
фрези
|
Базова
машина
|
Потужність,
кВт
|
Ширина
захвату, м
|
Глиб
ина обробки, м
|
Маса,
т
|
Діаметр
фрези, мм
|
|
1.
|
ФБН-2
|
ДГ-7515
|
55
|
2
|
До
0,25
|
1,68
|
710
|
|
2.
|
МТП-42А
|
Т-130
|
115
|
1,7
|
0,4
|
5,92
|
800
|
.4.2 Техніко-економічне порівняння способів
виконання робіт
Техніко-економічне порівняння виконання
культуртехнічних робіт комплектами машин і знаходження їх кількості в
оптимальному комплекті виконуємо, враховуючи [5], для вибраних в п.2.4.1. машин
і описаних в п.1.2.3. процесів за формою таблиць 2.4, 2.5, 2.6, 2.7.Методичних
вказівок М.В.105-25.
Систему взаємопов’язаних і взаємодіючих машин,
що забезпечують комплексну механізацію виробничого процесу називають
комплектом. Вибір оптимального, найкращого комплекту машин для виконання
культуртехнічних робіт що зв’язуємо з послідовною оцінкою технічної можливості
та економічної доцільності застосування ряду конкуруючих в даних умовах
будівництва комплектів, в даному випадку двох.
Технічну можливість використання комплектів
машин визначаємо їх спроможністю задовольняти обмеженням, які накладаються
природними, конструктивними, господарське- економічними та іншими умовами.
Таблиця 2.17
Розрахунок приведених витрат варіантів
комплектів машин
|
Найменування
будівельних машин в комплекті
|
Собівартість
робіт С, грн
|
Оптова
ціна машини Оц, грн
|
Балансова
вартість, Ф, грн
|
Тривалість
роботи машини на об’єкті, Тоі, зм
|
Тривалість
роботи машини за рік Трі, зм
|
Ф·Тоі/Трі
|
Приведені
витрати Пj, грн
|
|
Комплект
машин №1
|
|
Корчувач-збирач
МП-18-Б
|
680,26
|
204000
|
218280
|
19,15
|
250
|
1672
|
|
|
ФБН-2
|
48,84
|
45900
|
49113
|
0,82
|
310
|
130
|
|
|
Сума
|
6851,44
|
|
19,97
|
560
|
1802
|
7121,74
|
|
Комплект
машин №2
|
|
Корчувач-збирач
МП-2Б
|
20998,4
|
460585
|
492825
|
26,1
|
300
|
75468
|
|
|
МТП-42А
|
3501,04
|
85450
|
91431,5
|
7,38
|
310
|
2177
|
|
|
Сума
|
24499,44
|
|
33,48
|
610
|
77645
|
36146,2
|
Таблиця 2.18..
Вихідні дані до розрахунку ТЕП варіантів
комплексної механізації
|
№
п.п.
|
Найменування
робіт і умови їх виконання
|
Марка
машин
|
Обсяг
робіт
|
Норма
часу
|
Обгрунтування
норм часу
|
Кількість
витра- чених маш.змін
|
Затрати
праці, люд-дні
|
Вартість
експлуатації машин, грн
|
Собівартість
робіт С, грн
|
|
|
|
Од.
вим.
|
К-ть
|
Ведучої
машини Нч(м)
|
Маши-
ністів Нчм
|
Робіт-
ників Нчр
|
|
|
Маши-
ністів
|
Робіт-
ників
|
маш./год
|
Всього
|
|
|
|
|
|
|
|
|
|
|
|
|
|
|
|
|
|
Комплект
машин №1
|
|
1
|
Корчування
рідкого чагарнику корчовучами-збирачами
|
МП-18-Б
|
1
га
|
14
|
9,23
|
9,23
|
---
|
1-205-3
|
16,15
|
16,15
|
---
|
310,24
|
5010,4
|
5736,9
|
|
2
|
Згрібання
чагарнику у вали з переміщенням на задану відстань, L=80м
|
МП-18-Б
|
1
га
|
14
|
18,64
|
18,64
|
---
|
1-208-3
1-208-6
|
0,33
|
0,33
|
---
|
310,24
|
102,38
|
117,22
|
|
3
|
Спалювання
чагарнику
|
МП-18-Б
|
1
га
|
14
|
0,95
|
0,95
|
43,86
|
1-210-6
|
1,66
|
1,66
|
76,76
|
310,24
|
515,0
|
589,7
|
|
4
|
Повторне
спалювання чагарнику
|
МП-18-Б
|
1
га
|
14
|
0,58
|
0,58
|
26,35
|
1-211-6
|
1,01
|
1,01
|
46,11
|
310,24
|
313,34
|
358,78
|
|
5
|
Фрезування
купин
|
ФБН-2
|
1га
|
16
|
0,41
|
4,1
|
---
|
41-110-3
|
0,82
|
8,2
|
-
|
414,32
|
42,47
|
48,84
|
|
|
Сума
|
|
19,97
|
27,35
|
122,87
|
1655,28
|
5983,59
|
6851,44
|
|
Комплект
машин №2
|
|
1
|
Корчування
рідкого чагарнику корчовучами-збирачами
|
МП-2Б
|
1
га
|
14
|
8,62
|
8,62
|
---
|
1-205-6
|
15,08
|
15,08
|
---
|
399,2
|
6020
|
6892,8
|
|
2
|
Згрібання
чагарнику у вали з переміщенням на задану відстань, L=80м
|
МП-2Б
|
1
га
|
14
|
16,22
|
16,22
|
---
|
1-208-9
1-208-12
|
28,38
|
28,38
|
---
|
399,2
|
11329,3
|
12972
|
|
3
|
Спалювання
чагарнику
|
МП-2Б
|
1
га
|
14
|
0,88
|
0,88
|
43,86
|
1-210-9
|
1,54
|
1,54
|
76,76
|
399,2
|
614,8
|
703,9
|
|
4
|
Повторне
спалювання чагарнику
|
МП-2Б
|
1
га
|
14
|
0,54
|
0,54
|
26,35
|
1-211-9
|
0,94
|
0,94
|
46,11
|
399,2
|
375,2
|
429,7
|
|
5
|
Фрезування
купин
|
МТП-42А
|
1
га
|
16
|
3,69
|
4,1
|
---
|
47-110-3
|
7,38
|
8,2
|
-
|
414,32
|
3057,7
|
3501,04
|
|
|
Сума
|
|
53,32
|
54,14
|
122,87
|
2011,12
|
21397
|
24499,44
|
|
|
|
|
|
|
|
|
|
|
|
|
|
|
|
|
|
Таблиця 2.19.
Показники для ТЕП комплектів машин
|
Найменування
показників
|
Одиниці
виміру
|
Показники
варіантів
|
|
|
№1
|
№2
|
|
Основні
показники
|
|
1.Продуктивність
комплекту машин
|
м3/зміну
|
0,87
|
0,93
|
|
2.Працемісткість
робіт на весь об’єм
|
людино-дні
|
4,76
|
5,9
|
|
3.Приведені
витрати
|
грн
|
7121,74
|
36146,2
|
|
Додаткові
показники
|
|
1.Питома
енергомісткість
|
кВт/пм
|
828
|
1197
|
|
2.Питома
металомісткість
|
кг/
м3
|
1737
|
1493
|
|
3.Питома
витрата палива
|
кг/
м3
|
164
|
На основі даних таблиці 2.19. робимо остаточний
висновок,приймаємо 1-й комплект машин тому,що приведені витрати для першого
комплекту машин нижчі ніж для другого. Розрахунок необхідної кількості машин
знаходимо з таблиці 2.20.
Таблиця 2.20
Розрахунок необхідної кількості машин в
комплекті
|
Найменування
будівельних машин, що входять до складу комплекту
|
Кількість
маш-змін на весь об’єм
|
|
|
|
З
урахуванням повного завантаження всіх машин
|
|
|
За
розрахунками
|
Заокруглено
|
|
МП-18-Б
|
19,15
|
|
|
|
ФБН-2
|
0,82
|
|
|
|
Всього
машин в комплекті
|
|
Список рекомендованої літератури
ДБН
А.3.1.-5-96 Організація будівельного виробництва. - К., 1996. - 165 с.
ДБН
В.2.4-1-99 Меліоративні системи та споруди.Ч.1. Норми проектування., Ч.2.
Організація виконання робіт. - К., 1999. - 174с.
ДБН
Д.2.2-1-99 Збірник 1. Земляні роботи. - К., 2000. - 177 с.
ДБН
Д.2.7-2000 Ресурсні кошторисні норми експлуатації будівельних машин та
механізмів. - К., 2001. - 239 с.
ДБН
Д.2.2-47-99 Збірник 47. Озеленення. Захисні лісонасадження. Багаторічні плодові
насадження. - К., 2000. - 137 с.
Комплект
технологических карт на строительство закрытого горизонтального дренажа
экскаватором-дреноукладчиком ЭТЦ-202А дреноукладочным комплексом МД-5 с
лазерным указателем уклона УКЛ-1 в летних и зимних условиях /
Союзоргтехводстрой Минводхоза СССР. - Москва, 1983.
Мелиорация
и водное хозяйство. 2. Строительство: Справочник. Под ред. Л. Г. Балаева. - М.:
Колос, 1984.
Система
машин для комплексной механизации сельскохозяйственного производства на 1986 -
1995 г. Часть III. Мелиорация. - М.: АгроНИИТЭИИТО, 1986.
Строительные
нормы и правила. СНиП ІІІ-4-80. Техника безопасности в строительстве.
Технологические
карты на культуртехнические работы / СевНИИГиМ Минводхоза СССР. - Ленинград,
1980.
Ткачук
М.М. Організація водогосподарського будівельного виробництва. - Рівне, 1998 -
244с.
Ясинецкий
В. Г. и др. Производство гидромелиоративных работ. - М.: Агропромиздат, 1987.