|
№ з/п
|
Найменування,
марка, вантажопідйомність
|
Принципова
схема пристосування
|
Вага,
кг
|
Висота
над конструкцією, м
|
Потрібна
кількість
|
Примітки,
посилання на літературу
|
|
1
|
Строп
чотирьохвітковий 4СК-5.0/4000 вантажопідйомністю 5 т 1 - ланка Рт2-10; 2 -
гак К1-4; 3 - строп ВК-4.0/4000
|
|
89,9
|
4
|
2
|
Розвантаження
конструкцій, монтаж плит покриттів.
|
|
2
|
Строп
двовитковий 2СК-4.0/4000 у комплекті вантажопідйомністю 4 т 1 - ланка Рт1-5;
2 - строп ВК-4.0/3000; 3-гак К1-4
|
|
32,5
|
2,2
|
2
|
Розвантаження
конструкцій, монтаж підкранових балок
|
|
3
|
Траверса
Тр-12-0.5 вантажопідйомністю до 12,5 т 1 - строп 2СТ6.0/4000; 2 - траверса; 3
- строп СКК1-6.2/2000-12000
|
|
345
|
1,7
|
1
|
Монтаж
прямокутних консольних колон та фахверкових колон
|
|
4
|
Траверса,
ПІ Промсталь-конструкція, 15946Р-10
|
|
450
|
1,8
|
1
|
Монтаж
стінових панелей довжиною 6 і 12 м, масою до 5 т
|
|
5
|
Клиновий
вкладиш, ЦНИИОМТП, №7
|
|
10
|
-
|
20
|
Вивірка
й тимчасове кріплення колон-фахверк при установці їх у стаканах фундаментів
|
|
6
|
Кондуктор,
ПІ Промсталь-конструкція, 546а
|
|
120
|
-
|
2
|
Тимчасове
кріплення колон консольного типу масою до 8 т у стаканах фундаментів
|
|
7
|
Розчалювання
з карабіном і гвинтовою стяжкою 1 - струбцина; 2 - розчалювання; 3 - якір
|
|
13
|
-
|
2
|
Тимчасове
кріплення колон, ферм, балок
|
|
8
|
Інвентарна
розпірка 1 - струбцина; 2 - розпірка; 3 - плита покриття
|
|
83
|
-
|
1
|
Тимчасове
кріплення ферм
|
|
9
|
Драбина
секційна приставна монтажна
|
|
853
|
-
|
2
|
Забезпечення
робочого місця на висоті від 6 до 18 м
|
|
10
|
Люлька
підвісна, вантажопідйомністю 0,5 т
|
|
300
|
-
|
1
|
Підйом
робітників, інструментів і матеріалів при установці панелей стін довжиною 6 м
|
|
11
|
Підмості
монтажні колона; підмості
|
|
39
|
-
|
2
|
Забезпечення
робочого місця на висоті
|
|
12
|
Підмості
пересувні, вантажопідйом-ністю 0,5 т
|
|
2300
|
-
|
1
|
Монтаж
стінових панелей
|
|
13
|
Тимчасове
огородження
|
|
|
-
|
60
|
Забезпе-чення
безпечних умов роботи на висоті
|
3.2
Розрахунок довжини стропів і добір діаметрів тросів
Розрахунок довжини
обраних стропів і добір діаметра тросів робимо для найбільшого по масі й
габаритам конструктивного елемента із групи конструкцій, для підйому якого
будемо використовувати стропи, наприклад, таким елементом є підкранова балка
довжиною 6 м і масою 3,5 т. Розрахунок стропів виконуємо на розривне зусилля.
Для зручності розрахунків
приведемо схему підйому підкранової балки двохвітковими стропами (Рисунок 3.1).
Рисунок 3.1 - Схема підйому плити покриття
двовітковими стропами
Зусилля, що виникає в
одній вітці стропи, визначаємо по формулі:

(1)
де - зусилля, що виникає в одній нитці, кН;
а - кут відхилення від вертикалі, допускається
не більш 45° (приймаємо 30);
Q - вага конструкції, що піднімається, т;- кількість
віток стропа (m=2).
Потім визначаємо розривне зусилля у вітці стропа по
формулі:

(2)
де Р - розривне зусилля у вітці стропа, кН;
k - коефіцієнт запасу міцності (для
Q<500 кН k = 8).
,
Визначивши розривне зусилля, підбираємо тип і діаметр
канату:
канат типу 2СК-4,0 (6х19); розривне зусилля - 200 кН;
діаметр канату - 20.0 мм; [1, прил. Н, с.46].
Добір нормокомплекту для монтажу конструкцій проводимо
згідно додатка № 2 і заносимо в таблицю 3.
4.
Вибір монтажних кранів за технічними параметрами
Монтажний кран
вибирається по наступних технічних характеристиках:
· довжина стріли крана;
· виліт стріли крана;
· необхідна висота підйому
гака;
· величина вантажного
моменту крана на максимальному вильоті;
· величина вантажного
моменту крана при максимальній вазі;
· величина необхідної
вантажопідйомності.
Параметри крана повинні
задовольняти наступній вимозі:
· кран повинен установити
саму далеку конструкцію в її проектне положення не залежно від її ваги.
Для стрілових самохідних
кранів на гусеничному або пневмоколісному ході визначають висоту підйому гака Нкр,
довжину стріли Lc і виліт гака Lг.
Шукані технічні параметри
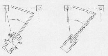
визначають, використовуючи схему стрілового крана (Рисунок 4.1).
Визначаємо параметри
крану для найважчої конструкції - колони середньої L=8200м вагою 5.3т, та при
максимальному вильоті - монтажу плити покриття.
Рисунок 4.1 - Схема
стрілового крана
Визначаємо оптимальний
кут нахилу стріли крана до обрію:
(3)
де
hст - висота стропування елемента, м (hст
при монтажі плити=5.2 м).
hП - висота поліспаста, зазвичай ухвалюється
від 2 до 5 м (hП = 2 м);
l1 - довжина монтажного елемента, м.
S - відстань по горизонталі від вісі стріли
до найбільше близько розташованої до стріли точки на елементі в його монтажному
положенні, не менш 1,0 м (S =1.5м).
Необхідна висота підйому гака визначається з умов монтажу
найбільше високо розташованого елемента (плита покриття) і розраховується по
формулі:
Нкр = Н0+Н1+Н2+Н3,
(4)
де
Но - перевищення опори монтажного елемента
над рівнем стоянки баштового крана, м;
Н1 - запас по висоті між низом елемента й верху
опори, не менш 0,5м (Н1=1м);
Н2 - висота елемента в його монтажнім
положенні, м (Н2=0,3м);
Н3 - висота стропування елемента, м;
Виходячи з оптимального кута нахилу стріли крана
розраховуємо довжину стріли крана по формулі:
(5)
де Нкр - необхідна висота підйому гака, м;
hn - висота поліспаста, приймається в межах від
2 до 5 м;
h ш - висота шарніра п'яти стріли від рівня
стоянки крана, приблизно приймають 1,5 м;
α - оптимальний кут нахилу стріли крана (α = 56°).
Далі визначаємо виліт гака по формулі:
(6)
де Lc - довжина стріли крана, м;
а - оптимальний кут нахилу стріли крана;
с - відстань по горизонталі від вісі стріли до
найбільше близько розташованої до стріли точки на елементі в його монтажному
положенні, не менш 1 м.
Необхідна вантажопідйомність крана визначається з умови
монтажу найбільш масивного елемента по формулі:
потр = Pтах+ Qстр+ Q монт. прист. (7)
де
- маса найбільш масивного елемента, т;
- маса строповочного пристрою й оснащення, т (приймаємо 0,513 т).
т
Вантажний момент при:
1) максимальному
вильоті (плита перекриття);
(8)
1) максимальній вазі
(середня колона);
де L - довжина
обраного монтажного елемента, м;
Р - вага вибраного
монтажного елемента, кН.
На підставі аналітично знайдених параметрів кранів:
,
,
, по таблицям і по графіках
вантажопідйомності, вильоту й висоті підйому гака обираємо крани КС
55733-17 та Дек-321. Техніко-економічні показники підйомних кранів заносимо в
таблицю 4.
Таблиця 4. Техніко-економічні показники підйомних
кранів
|
Марка
крана
|
КС
45719-5А
|
ДЕК 321
|
|
Вантажопідйомність
Q, т
|
320
|
320
|
|
Висота
підйому гака Нкр, м
|
28
|
36
|
|
Виліт
стріли Lkp, max-min, м
|
2-19,7
|
3,7-29
|
|
Швидкість
підйому-опускання υП, м/хв.
|
11
|
10
|
|
Швидкість
посадки v пос
|
5,5
|
5
|
|
Швидкість
пересування υrop, км/год.
|
60
|
0.85
|
|
Швидкість
повороту навколо своєї осі, об/хв.
|
1,5
|
1
|
102,4
|
128
|
5.
Вибір параметрів схем монтажу конструкцій будівлі
Для кожного елементу визначаємо схему його
монтажу з визначенням мінімальних і максимальних кутів повороту з однієї
стоянки, віддалі між стоянками та швидкості переміщення крана. Визначені дані
наводимо на схемах монтажу конструкцій.
Рис. 5 Схема монтажу
колон
Рис. 6 Схема монтажу
підкранових балок
Рис. 7 Схема монтажу ферм
покриття
Рис. 8 Схема монтажу
панелей покриття
Рис. 9 Схема монтажу
стінових панелей
6.
Порівняння обраних монтажних кранів на основі формування процесу монтажу
конструкції й роботи крана
Порівняння характеристик
монтажних кранів здійснюється на основі формування ув'язування роботи крана й
виконання монтажних операцій робітниками.
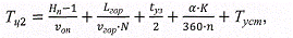
Для цього обчислимо час,
за який монтажна конструкція повинна бути застропована й подана на монтаж
(операції переміщення, наведення й установки), по формулі:
(9)
де Тц1 - перший півперіод роботи крана,
що включає операції стропування, переміщення, орієнтування та установки
конструкції на монтажний горизонт;
Тц2 - другий півперіод роботи крана, що включає
операції повернення крана у вихідне положення для монтажу наступної
конструкції;
Тр - час виконання ручних операцій по монтажу
конструкції монтажниками (береться за гармонограмою трудового процесу [2,
мал.2, с.33]);
(10)
(11)
де Нп - висота підйому гака при монтажі
даної конструкції, м;
υn - швидкість підйому гака, м/хв
(приймаємо по табл.4);
υon - швидкість опускання гака, м/хв
(приймаємо по табл.4);
υnoc - посадкова (мінімальна) швидкість опускання
гака, м/хв (приймаємо по табл.4);
tyз - час прискорення (затримки) роботи крана
при підйомі (опусканні) гака, хв (tуз =1 хв.);
а - кут повороту стріли крана від точки
стропування до точки установки конструкції (приймається в залежності від схеми
монтажу);
п - швидкість повороту крана навколо своєї
вісі, об/хв (приймаємо по табл.4);
К - коефіцієнт, що враховує поєднання часу
підйому гака й повороту стріли (К = 0,75);
Lгор - відстань горизонтального
переміщення крана між стоянками, м;
υгор - швидкість пересування крана, км/год.
(приймаємо по табл.4);
N - кількість конструкцій, монтуємих з одної
стоянки, шт;
Туст - час установки шасі для
пневмоколісного монтажного крана, мін (Туст = 5 хв.).
Необхідні дані беремо з таблиці 4, схем монтажу (рис.5-9),
враховуючи конструктивні особливості монтажних елементів. Дані зводимо у
таблицю 5 (дані для пневмоколісного крана вказуються у чисельнику, для
гусеничного - у знаменнику).
Час монтажу вертикальних в’язей приймаємо рівним тривалості
монтажу стінових панелей.
Таблиця 5 - Зведена таблиця даних для розрахунку
|
Монтажний
елемент
|
Кран
|
Колона
|
Підкранова
балка
|
Ферма
покриття
|
Плита
покриття
|
Стінова
панель
|
|
Нп,
м
|
КС
55733-17
|
12,2
|
8,1
|
12,7
|
13
|
13
|
|
|
ДЕК -
321
|
|
|
|
|
|
|
υn, м/хв.
|
КС
55733-17
|
11
|
11
|
11
|
11
|
11
|
|
|
ДЕК -
321
|
10
|
10
|
10
|
10
|
10
|
|
υon, м/хв.
|
КС
55733-17
|
11
|
11
|
11
|
11
|
11
|
|
|
ДЕК -
321
|
10
|
10
|
10
|
10
|
10
|
|
υnoc м/хв.
|
КС
55733-17
|
5,5
|
5,5
|
5,5
|
5,5
|
5,5
|
|
|
ДЕК -
321
|
5
|
5
|
5
|
5
|
5
|
|
tyз,
хв.
|
КС
55733-17
|
1
|
1
|
1
|
1
|
1
|
|
|
ДЕК -
321
|
|
|
|
|
|
|
α
|
КС
55733-17
|
45,00
|
0,00
|
90,0
|
90,0
|
45,00
|
|
|
ДЕК -
321
|
|
|
|
|
|
|
n,
об/хв.
|
КС
55733-17
|
1,5
|
1,5
|
1,5
|
1,5
|
1,5
|
|
|
ДЕК -
321
|
1
|
1
|
1
|
1
|
1
|
|
К
|
КС
55733-17
|
0,75
|
0,75
|
0,75
|
0,75
|
0,75
|
|
|
ДЕК -
321
|
0,75
|
0,75
|
0,75
|
0,75
|
0,75
|
|
Lгор,
м
|
КС
55733-17
|
9
|
9
|
9
|
9
|
9
|
|
|
ДЕК -
321
|
9
|
9
|
9
|
9
|
9
|
|
υгор, км/год
|
КС
55733-17
|
60
|
60
|
60
|
60
|
60
|
|
|
ДЕК -
321
|
1
|
1
|
1
|
1
|
1
|
|
N, шт.
|
КС
55733-17
|
2
|
1
|
1
|
6
|
5
|
|
|
ДЕК -
321
|
2
|
1
|
1
|
6
|
5
|
|
Туст,
хв.
|
КС
55733-17
|
5,00
|
5,00
|
5,00
|
5,00
|
5,00
|
|
|
ДЕК -
321
|
5,00
|
5,00
|
5,00
|
5,00
|
5,00
|
Таблиця 6 - Час монтажу
конструкцій при використанні різних кранів
|
Марка
крана
|
КС
55733-17
|
ДЕК -
321
|
|
Тип
крана
|
Пневмоколісний
|
Гусеничний
|
|
конструкція,
що монтується
|
Тц1
хв.
|
Тц2,
хв.
|
хв.
|
Тц
хв.
|
Тц1
хв.
|
Тц2,
хв.
|
Т хв.
|
Тц
хв.
|
|
колони
|
1,85
|
6,66
|
65
|
73,51
|
2,85
|
6,79
|
65
|
74,64
|
|
підкранові
балки
|
1,42
|
6,3
|
75
|
82,72
|
1,51
|
15,21
|
75
|
91,72
|
|
ферми
покриття
|
1,96
|
6,84
|
120
|
128,8
|
2,16
|
15,86
|
120
|
138,02
|
|
плити
покриття
|
2
|
6,74
|
26
|
34,74
|
2, 19
|
7,89
|
26
|
36,08
|
|
стінові
панелі
|
2
|
6,75
|
60
|
68,75
|
2, 19
|
8,69
|
60
|
68,69
|
|
вязі
|
|
|
|
90
|
|
|
|
90
|
Таблиця 6* - Тривалість
робіт на монтажі конструкцій
|
Марка
крана
|
КС
55733-17
|
ДЕК -
321
|
|
Тип
крана
|
Пневмоколісний
|
Гусеничний
|
|
конструкція,
що монтується
|
К-сть,
Ni
|
Тц,
хв
|
Ті
днів
|
Тц,
хв
|
Ti;
днів
|
|
колони
|
36
|
73,51
|
5,5
|
74,64
|
5,6
|
|
підкранові
балки
|
42
|
82,72
|
7,24
|
91,72
|
8,03
|
|
ферми
покриття
|
21
|
128,8
|
5,64
|
138,02
|
6,05
|
|
плити
покриття
|
108
|
34,74
|
7,81
|
36,08
|
8,12
|
|
стінові
панелі
|
70
|
68,75
|
10,02
|
68,69
|
10,02
|
|
вертикальні
в’язі
|
11,6 6
|
90
|
2,175
|
90
|
2,175
|
|
Загалом
кількість днів
|
38,4
|
40н
|
Приймаємо кран КС 55733-17, як більш
ефективний.
6.
Формування й розрахунок календарного плану
Розглядаємо монтаж
конструкцій кожним з обраних кранів при організації робіт послідовним методом,
тобто в один момент часу виконується тільки одна робота.
Розбиваємо будівлю на
захватки й складаємо організаційні схеми монтажу конструкцій (рисунок 6.1-6.4).
Приймаємо робочий
восьмигодинний день в одну зміну. Підрахувавши кількість днів, які необхідно
для монтажу кожної конструкції, ми можемо скласти календарний план виконання робіт
по монтажу конструкцій.
Рисунок 6.1 -
Організаційна схема монтажу колон
Рисунок 6.2 -
Організаційна схема монтажу підкранових балок
Рисунок 6.3 -
Організаційна схема монтажу ферм та плит покриття
Рисунок 6.4 - Організаційна
схема монтажу стінових панелей
На основі визначеного
часу монтажу конструкцій та організаційних схем їх монтажу складається
календарний графік виконання робіт на основі об’єму робіт приведених в в таб.2
Календарний графік монтажу конструкцій розміщується
на листі формату А - 1.
Формування й розрахунок погодинного графіка
монтажу з коліс
Перевезення конструкцій
із заводу ЗБВ на будівництво здійснюється на звичайних бортових машинах і
причепах і базується на двох схемах:
. Конструкції
перевозяться з використанням вантажних машин незмінюваними причепами.
Час циклу однієї машини
розраховується по формулі:
(12)
де Тц1 - час циклу однієї машини з
незмінюваним причепом;
Тпогр - час навантажування всіх конструкцій у
кузов машини на заводі (Тпогр= 4 хв);
Lгp - відстань переміщення машини з вантажем
із заводу до будмайдана;
Vгp - середня швидкість переміщення машини з
вантажем від заводу до будмайдана;
Lпop - відстань переміщення порожньої машини
від будмайдана до заводу;.
Vпор - середня швидкість переміщення порожньої
машини від будмайдана до заводу;
Тманвр - час маневрів на будмайдані, на шляху й
на заводі (Тманвр= 5хв.);
Т1кмонт - час монтажу однієї з привезених цим
рейсом конструкцій (приймається по табл.6);
Nк - кількість конструкцій, доставлених під
монтаж даним рейсом (ухвалюється в залежності від вантажопідйомності обраного
транспортного засобу).
Таблиця 8 - Вибір транспортних засобів
|
Найменування
конструкції й габарити
|
Маса 1
елем., т
|
Транспортний
засіб
|
Ванта-жопід-йомність,
т
|
К-сть
елементів
|
|
Колонна
крайня L=8,2м
|
3,7
|
КрАЗ-221
із причепом
|
6
|
|
Колона
середня L=8,2 м
|
3,7
|
|
|
6
|
|
Колонна
фахверка L=8,2 м
|
2,4
|
|
|
8
|
|
Підкранова
балка L=9 м
|
0,423
|
КрАЗ-221
сУМЗАП-5203
|
20
|
42
|
|
Ферма
покриття L= 9 м
|
5,1
|
Фермовоз
20 бази
|
10
|
1
|
|
Плита
покриття 1,5x9м
|
4,25
|
Напівприціп
платформа
|
20
|
4
|
|
Стінова
панель 1,2х1.5м
|
0,45
|
Трубчастий
панелевіз
|
10
|
20
|
|
Стінова
панель 1,2х9м
|
1,08
|
|
|
9
|
Для розрахунку необхідно
вибрати транспортні засоби для перевезення кожного виду конструкції (таблиця 8)
[6, т.217, с.579-581].
Розрахунок часу циклу для
однієї машини з незмінюваним причепом за першою схемою зведемо в таблицю 9.
Таблиця 9 - Розрахунок
часу циклу однієї машини з незмінюваним причепом
|
Найменування
конструкції
|
Колона
|
Підкранова
балка
|
Ферма
покриття
|
Плита
покриття
|
Стінова
панель
|
|
Т погр,
хв.
|
24
|
168
|
4
|
16
|
36
|
|
Lгp,
м
|
10000
|
10000
|
10000
|
10000
|
10000
|
|
Vrp, м/хв
|
500
|
500
|
500
|
500
|
500
|
|
Lпор,
м
|
10000
|
10000
|
10000
|
10000
|
10000
|
|
Vпop,
м/хв.
|
830
|
830
|
830
|
830
|
830
|
|
Тманевр
хв.
|
5
|
5
|
5
|
5
|
5
|
|
Т1кмонт,
хв.
|
73,51
|
82,72
|
128,8
|
34,74
|
68,75
|
|
NK,
шт.
|
6
|
42
|
1
|
4
|
9
|
|
Тц1,
хв.
|
502,11
|
3679.3
|
169,9
|
192
|
691,8
|
|
Кмашин,
шт
|
2
|
2
|
2
|
2
|
2
|
. Конструкції
перевозяться з використанням тягачів з причіпами, що відчіплюються.
Час циклу однієї машини
розраховується по формулі:
(13)
де Тц2 - час циклу одного сідельного
тягача зі змінюваними причепами;
Тпоррасц - час розчеплення сідельного тягача й
порожнього причепа на заводі - 4 хв.;
Тсц - час зчеплення сідельного тягача й
навантаженого причепа на заводі - 5 хв.;
Lгp - відстань переміщення тягача з
навантаженим причепом із заводу до будмайдана;
Vгр - середня швидкість переміщення тягача з
навантаженим причепом від заводу до будмайдана;
Lпop - відстань переміщення тягача з порожнім
причепом від будмайдана до заводу;
Vпор - середня швидкість переміщення тягача з
порожнім причепом від будмайдана до заводу;
Тманвр - час маневрів на будмайдані, на шляху й
на заводі - 5 хв.;
Трасц - час розчеплення сідельного тягача
навантаженого причепа на будмайдані - 4хв;
Тсцпор - час зчеплення сідельного тягача й
порожнього причепа на заводі - 5 хв.
Тц2 - для всіх конструкцій
буде однакова.
.
Для доставки конструкцій по кожній зі схем після вибору
транспортних засобів і визначення часу циклу, розраховується необхідна
кількість машин (для першої схеми) і машин і причепів (для другої схеми)
(14)
де Тц - час
циклу одного сідельного тягача зі змінюваними причепами або машини;
Т монт1к
- час монтажу однієї із привезених цим рейсом конструкцій;
NK - кількість
конструкцій, доставлених під монтаж даним рейсом;
Кмашин -
кількість машин (сідельних тягачів) необхідна для безперервної доставки
конструкцій під монтаж;
Кпричепів -
кількість причепів необхідна для безперервної доставки конструкцій під монтаж
сідельними тягачами.
Розрахунок необхідної
кількості тягачів і причепів за другою схемою записуємо у таблицю 10.
Таблиця 10 - Розрахунок
необхідного числа тягачів і причепів
|
Найменування
конструкції
|
Колона
|
Підкранова
балка
|
Ферма
покриття
|
Плита
покриття
|
Стінова
панель
|
|
Тпоррасц
|
4
|
4
|
4
|
4
|
4
|
|
Тсцгр
|
5
|
5
|
5
|
5
|
5
|
|
Трасцгр
|
4
|
4
|
4
|
4
|
4
|
|
Тсцпор
|
5
|
5
|
5
|
5
|
5
|
|
Тц2,
хв.
|
55
|
55
|
55
|
55
|
55
|
|
Т1кмонт,
хв.
|
73,51
|
82,72
|
128,8
|
34,74
|
68,75
|
|
NK,
шт.
|
6
|
42
|
1
|
4
|
9
|
|
Кмашин,
шт.
|
2
|
1
|
2
|
2
|
2
|
|
Кмашин,
шт.
|
4
|
1
|
4
|
4
|
4
|
Складемо погодинний
графік доставки й монтажу плит покриттів по другій схемі з використанням
сідельних тягачів з відчіпними причепами (табл.11).
Таблица
|
Зміна
|
Номер
рейсу
|
Номер і
тип автомашини
|
Час
перевезення
|
Число
елементів перевезених за рейс
|
Марка
конструкції
|
Час
|
Період,
год.
|
|
|
|
|
Прибуття
на завод
|
Виїзд
із заводу
|
Прибуття
на майданчик
|
Виїзд
із майданчика
|
|
|
Початок
|
Кінець
|
Монтажу
|
Стоянки
під розвантаженням
|
Цикло
машини
|
|
1
|
1
|
1
|
1-1
|
7-00
|
7-10
|
7-30
|
7-35
|
4
|
ПП
|
7-35
|
9-46
|
0,58*4
|
|
1.77
|
|
|
2
|
1-2
|
8-59
|
9-09
|
9-29
|
9-34
|
4
|
ПП
|
9-46
|
12-05
|
0,58*4
|
|
1.77
|
|
|
3
|
1-3
|
11-30
|
11-40
|
12-00
|
12-05
|
4
|
ПП
|
12-05
|
14-24
|
0,58*4
|
|
1.77
|
Розрахунок потреби в матеріалах, напівфабрикатах
і виробах за нормативними показниками витрати матеріалів
Потреба в основних
матеріалах і напівфабрикатах розраховується на основі даних нормативних
показників витрати матеріалів (НПВМ) за наступною формулою:
(15)
де Мі - потреба в даному будівельному
матеріалі при виконанні технологічного процесу;
Vі - обсяг виду робіт в одиницях виміру
продукції i технологічного процесу, нормованого в НПВМ;
Hpm (i,j) - норма витрати матеріалу на j
одиницю об'єму робіт i технологічного процесу, прийнята по НПВМ.
При складанні таблиці 11 використовувалися наступні
Нормативні Показники Витрати Матеріалів:
збірник Е4 Випуск 1. Монтаж збірних і влаштування
монолітних залізобетонних конструкцій. Випуск 1. Будинки і промислові споруди.
НПВМ Збірник 7. Монтаж бетонних і залізобетонних
конструкцій збірних;
НПВМ Збірник 9. Металеві конструкції
Таблиця 11 - Розрахунок
потреби в матеріалах, напівфабрикатах і виробах
|
№ п/п
|
Найменування
технологічного процесу
|
Од.
вимір. НПВМ
|
Обсяг
робіт
|
Найменування
матеріалу
|
Норма
витр. матер. на од. НПВМ
|
Кількість
матеріалу
|
|
1
|
Установка
колон прямокутного перерізу в стакани фундаментів:
|
|
будинків
при глибині закладення колон до 0,7 м і масі колон до 4 т
|
100 шт.
зб. конст.
|
0,36
|
Бетон
дрібно-зернистий (клас по проекту), ДСТ 7473-85 (мЗ)
|
9,2
|
3,312
|
|
|
|
|
Клини
дерев'яні (м3)
|
0,4
|
0,144
|
|
2
|
Е9-18.3
Монтаж блоків підкранових балок повної заводської готовності на оцінці до 25
м прольотом 6 м, масою більш 2 т
|
1 т
конст.
|
17,77
|
Електроди
Э-42А, УОНИ 13/45, ДСТ 9466 75 (кг)
|
2,3
|
40,871
|
|
3
|
Е7-12.10
Монтаж кроквяних ферм на висоті до 25 м: прольотом 9
|
1т
конст
|
107,1
|
Електроди
Э-42А, УОНИ 13/45, ДСТ 9466 75 (кг)
|
2,7
|
289,17
|
|
4
|
Е7-45.8
Установка плит пориття площею до 20 м2
|
100 шт.
сб. конст.
|
1,26
|
Електроди
Э-42, АНО-6 диам.6 мм, ДСТ 9466 75 (кг)
|
120
|
151,2
|
|
|
|
|
Розчин
цементний (марка по проекту), ДСТ 28013-89 (м3)
|
2,3
|
2,898
|
|
5
|
Е7-16.1
Установка стінових панелей довжиною до 9 м площею до 20 м2 при висоті до 25 м
|
100 шт.
сб. конст
|
1,1
|
Електроди
Э-42, АНО-6 діам.6 мм, ГОСТ 9466-75 (кг)
|
100
|
110
|
|
|
|
|
Вироби
монтажні (по проекту) (т)
|
0,2
|
0,22
|
|
|
|
|
Розчин
цементний (марка по проекту), ГОСТ 28013-89 (м3)
|
1,52
|
1,672
|
|
|
|
|
Прокладки
ущільнюючі 30 мм (м)
|
13,8
|
15,18
|
|
|
|
|
Мастика
будівельна ущільнююча УМС-50,ГОСТ 14791-79 (кг)
|
360
|
396
|
|
6
|
Е9-23.1
Монтаж вертикальних в'язей у вигляді ферм
|
1 т
конст.
|
0,576
|
Електроди
Э-42А, УОНИ 13/45, ДСТ 9466 75 (кг)
|
0,3
|
0,1728
|
|
|
|
|
|
|
|
|
|
|
|
9.
Допуски й посадки
Допуски й посадки
конструктивних елементів одноповерхового промислового будинку описуємо на
основі СНіП 3.03.01-87 "Несучі і захисні конструкції". Допуски для
кожного монтажного елемента вибираємо з додатку №4 і заносимо в таблицю.
Таблиця 9.1 - Допуски й
посадки залізобетонних колон
|
Параметр
|
Граничні
відхилення, мм
|
Контроль
(метод, обсяг, вид реєстрації)
|
Джерело
|
|
Відхилення
від сполучення орієнтирів у нижньому перетині з настановними орієнтирами
колон
|
8
|
Вимірювальний,
кожний елемент, журнал робіт
|
[4,
т.12,п.3, с.36]
|
|
Відхилення
осей колон одноповерхових будинків у верхньому перетині від вертикалі при
довжині колон св.8 до 16 м
|
30
|
Вимірювальний,
кожний елемент, геодезична виконавча схема
|
[4,
т.12,п.4, с.36]
|
|
Різниця
позначок верху колон або опорних майданчиків одноповерхових будинків і
споруджень при довжині колон св.8 до 16 м
|
20
|
Вимірювальний,
кожний елемент, геодезична виконавча схема
|
[4,
т.12,п.6, с.36]
|
|
Проектне
положення колон необхідно вивіряти за двома взаємно перпендикулярними
напрямками. Низ колон необхідно вивіряти, сполучаючи риски, що позначають
їхні геометричні осі в нижньому перетині, з рисками розмічальних осей. Спосіб
спирання колон на дно стакана повинен забезпечувати закріплення низу колони
від горизонтального переміщення на період до замонолічування вузла. Верх
колон необхідно вивіряти, сполучаючи геометричні осі колон у верхньому
перерізі з геометричними осями в нижньому перерізі. Застосування
непередбачуваних проектом прокладок у стиках колон для вирівнювання висотних
позначок і приведення їх у вертикальне положення без узгодження із проектною
організацією не допускається. Орієнтири для вивірки верху й низу колон і рам
повинні бути зазначені в ППР.
|
[4,
п.3.12-3.17, с.41]
|
Таблиця 9.2 - Допуски й
посадки сталевих підкранових балок
|
Параметр
|
Граничні
відхилення, мм
|
Контроль
(метод, обсяг, вид реєстрації)
|
Джерело
|
|
Зсув
вісі підкранової балки з повздовжньої осі розплановування
|
5
|
Вимірювальний,
кожний елемент, журнал робіт
|
[4,
т.14,п.14, с.60]
|
|
Зсув
опорного ребра балки з осі колони
|
Вимірювальний,
кожний елемент, журнал робіт
|
[4,
т.14,п.15, с.60]
|
|
Перегин
стінки у зварному стику
|
5
|
Вимірювальний,
кожний елемент, журнал робіт
|
[4,
т.14,п.16, с.60]
|
|
Граничні
відхилення фактичного положення змонтованих конструкцій не повинні
перевищувати при прийманні значень, наведених вище. Зварні з'єднання, якість
яких потрібно згідно із проектом перевіряти при монтажі фізичними методами,
слід контролювати одним з наступних методів: радіографічним або
ультразвуковим в обсязі 5 % - при ручному або механізованому зварюванні й 2 %
- при автоматизованому зварюванні.
|
[4,
п.4.65-4.66, с.58]
|
Таблиця 9.3 -
Допуски й посадки
сталевих ферм покриття
|
Параметр
|
Граничні
відхилення, мм
|
Контроль
(метод, обсяг, вид реєстрації)
|
Джерело
|
|
Позначки
опорних вузлів
|
10
|
Вимірювальний,
кожний елемент, журнал робіт
|
[4,
т.14,п.7, с.60]
|
|
Зсув
ферм із осей на оголовках колон
|
15
|
Вимірювальний,
кожний елемент, геодезична виконавча схема
|
[4,
т.14,п.8, с.60]
|
|
Кривизна
між точками закріплення стиснутих ділянок поясу ферми
|
0,0013
довжини закріпленої ділянки, але не більш 15
|
Вимірювальний,
кожний елемент, журнал робіт
|
[4,
т.14,п.9, с.60]
|
|
Відстань
між осями ферм по верхніх поясах між точками закріплення
|
15
|
Вимірювальний,
кожний елемент, журнал робіт
|
[4,
т.14,п.10, с.60]
|
|
Суміщення
осей нижнього й верхнього поясів ферм відносно один одного (у плані)
|
0,004
висоти ферми
|
Вимірювальний,
кожний елемент, журнал робіт
|
[4,
т.14,п.11, с.60]
|
|
Граничні
відхилення фактичного положення змонтованих конструкцій не повинні
перевищувати при прийманні значень, наведених вище. Зварні з'єднання, якість
яких потрібно згідно із проектом перевіряти при монтажі фізичними методами,
слід контролювати одним з наступних методів: радіографічним або
ультразвуковим в обсязі 5 % - при ручному або механізованому зварюванні й 2 %
- при автоматизованому зварюванні.
|
[4,
п.4.65-4.66, с.58]
|
Таблиця 9.4 - Допуски й
посадки залізобетонних плит покриття
|
Параметр
|
Граничні
відхилення, мм
|
Контроль
(метод, обсяг, вид реєстрації)
|
Джерело
|
|
Відхилення
від симетричності при установці плит покриттів у напрямку прольоту, що
перекривається, при довжині елемента від 8 до 16 м
|
8
|
Вимірювальний,
кожний елемент, журнал робіт
|
[4,
т.12,п.9, с.38]
|
|
Укладання
елементів у напрямку прольоту, що перекривається, слід виконати з дотриманням
установлених проектом розмірів глибини обпирання їх на опорні конструкції або
зазорів між елементами, що з'єднуються. У всіх випадках кроквяні ферми слід
установлювати з дотриманням однобічної спрямованості відхилень від
прямолінійності їх верхніх поясів: плит покриттів по фермах - симетрично щодо
центрів вузлів ферм уздовж їхніх верхніх поясів.
|
[4,
п.3.18,3.19, с.41]
|
Таблиця 9.5 - Допуски й
посадки залізобетонних стінових панелей
|
Параметр
|
Граничні
відхилення, мм
|
Контроль
(метод, обсяг, вид реєстрації)
|
Джерело
|
|
Відхилення
від суміщення орієнтирів у нижньому перерізі встановлених елементів з
настановними орієнтирами панелей стін
|
10
|
Вимірювальний,
кожний елемент, журнал робіт
|
[4,
т.12,п.3, с.36]
|
|
Відхилення
від вертикалі верху площинних панелей стін
|
10
|
Вимірювальний,
кожний елемент, геодезична виконавча схема
|
[4,
т.14,п.11, с.39]
|
|
Установку
панелей зовнішніх стін слід робити, обпираючи їх на вивірені щодо монтажного
горизонту маяки. Міцність матеріалу, з якого виготовляють маяки, не повинна
бути вище встановленої проектом міцності на стиск розчину, який
застосовується для улаштування постелі.
|
[4,
п.3.25,с.42]
|
10.
Заходи з охорони праці
Головні заходи по охороні
праці базуються на вимогах СНіП 12.03. - 2002 "Безпека праці в
будівництві" [5], Закону України "Про охорону праці".
При монтажі
залізобетонних і сталевих елементів конструкцій необхідно передбачати заходи
щодо попередження впливу на працівників наступних небезпечних і шкідливих
виробничих факторів, пов'язаних з характером роботи:
розташування
робочих місць поблизу перепаду по висоті 1,3 м і більше (вірогідність падіння
людини з висоти);
- конструкції, що
пересуваються, вантажі;
обвалення
незакріплених елементів конструкцій будівель і споруд;
- падіння вище
розміщених матеріалів, інструментів;
- перекидання
машин, падіння їх частин;
повертання
негабаритних частин підйомних кранів;
пересування
транспорту на будівельному майдані;
- підвищена
напруга в електричній лінії, замикання якої може трапитися через тіло людини.
До виконання монтажних
робіт допускаються робітники не молодше 18 років, що пройшли медичний огляд і
допущені до виконання даного виду робіт, які отримали всі інструктажі (вступний
- при прийнятті на роботу і первинний - безпосередньо на робочому місці) щодо
дотримання правил безпеки праці та мають відповідні посвідчення. Робітник
повинен бути навчений безпечним прийомам праці по затвердженій програмі;
щорічно його знання перевіряються.
На ділянці, де ведуться
монтажні роботи, не допускається виконання інших робіт і знаходження
сторонніх осіб.
При виконанні вантажно-розвантажувальних
і монтажних робіт, робітники повинні бути одягненими у спецодяг, носити захисні
каски, використовувати робочі рукавиці.
У процесі монтажу
конструкцій будівель або споруд монтажники повинні перебувати на заздалегідь
встановлених й надійно закріплених конструкціях або засобах підмощування.
Забороняється перебування людей на елементах
конструкцій і встаткування під час їх підйому й переміщення.
Начіпні монтажні
майданчики, сходи й інші пристосування, необхідні для роботи монтажників на висоті,
слід установлювати на монтажних конструкціях до їхнього підйому.
Для переходу монтажників
з однієї конструкції на іншу слід застосовувати сходи, перехідні містки й
трапи, що мають огородження. Забороняється перехід монтажників по встановлених
конструкціях і їх елементам (фермам і т.п.), на яких неможливо забезпечити
необхідну ширину проходу при встановлених огородженнях, без застосування
спеціальних запобіжних пристосувань (натягнутого уздовж ферми канату для
закріплення карабіна запобіжного пояса).
Не допускається
знаходження людей під монтажними елементами конструкцій і встаткування до
установки їх у проектне положення.
Елементи монтажних
конструкцій або встаткування під час переміщення повинні втримуватися від
розгойдування й обертання гнучкими відтяжками.
До початку виконання
монтажних робіт необхідно встановити порядок обміну сигналами між особою, що
керує монтажем і виконавцем - машиністом.
Стропування монтажних
елементів слід робити в місцях, зазначених у робочих кресленнях, і забезпечити
їхній підйом і подачу до місця установки в положенні, близькому до проектного.
Забороняється підйом
елементів будівельних конструкцій, що не мають монтажних петель, отворів або
маркування й міток, що забезпечують їхнє правильне стропування й монтаж.
Монтажні елементи слід
піднімати плавно, без ривків, розгойдування й обертання.
При переміщенні
конструкцій відстань між ними й виступаючими частинами других конструкцій
повинна бути по горизонталі не менш 1м, по вертикалі - не менш 0,5 м.
Під час перерв у роботі
не допускається залишати підняті елементи конструкцій і встаткування у висячому
положенні.
Встановлені в проектне
положення елементи конструкцій або встаткування повинні бути закріплені так,
щоб забезпечувалася їхня стійкість і геометрична незмінюваність.
Забороняється виконувати монтажні роботи на
висоті у відкритих місцях при швидкості вітру 15 м/с і більш, при
ожеледі, грозі або тумані у межах, що виключають видимість фронту робіт.
Література
1. Технологія
будівельного виробництва / За ред. М.Г. Ярмоленка. - 2-ге вид., переробл. і
допов. - К.: Вища шк., 2005.
2. Стаценко
А.С. Технология строительного производства / А.С. Стаценко. - Изд.2-е. - Ростов
н/Д: Феникс, 2008. - 415 с.
. Снежко
А.П., Батура Г.М. Технология строительного производства курсовое и дипломное
проектированием. Киев. Высшая школа, 1991, 200с.
. СНиП
3.03.01-87 Несущие и ограждающие конструкции.: Государственный строительный
комитет СССР, 1983. - 189с.
. СНиП
12.03-2002 Безопасность труда в строительстве. ч2. Строительное производство.
"Центр охраны труда в строительстве".
. Строительное
производство. Справочник строителя, под ред. И.А. Онуфриева, Т.2. Организация и
технология работ. М.: Стройиздат, 1989, 527с.
. Хамзин
С. К, Карасев А.К. Технология строительного производства курсовое и дипломное
проектирование. М.: Высшая школа, 1989, 216с.
. Збірник
Е4. Монтаж збірних і влаштування монолітних залізобетонних конструкцій. Випуск
1. Будинки і промислові споруди.
. НПВМ
Збірник 7. Монтаж бетонних і залізобетонних конструкцій збірних.
. НПВМ
Збірник 9. Металеві конструкції.