Изменение инвестиционной привлекательности акций российских нефтегазовых компаний на современном этапе развития российского фондового рынка
Федеральное государственное
автономное образовательное учреждение
Высшего профессионального образования
"Национальный исследовательский
университет "Высшая школа экономики""
Факультет экономики
Кафедра финансовых рынков
и финансового менеджмента
БАКАЛАВРСКАЯ РАБОТА
На тему: "Изменение
инвестиционной привлекательности акций российских нефтегазовых компаний на
современном этапе развития российского фондового рынка"
Направление 080100.62
"экономика"
Студент группы №144
Худолеев А.О.
Научный руководитель
кандидат экономических наук
доцент, Мотуз С.А.
Санкт-Петербург 2014
Оглавление
Введение
Глава 1. Теоретические аспекты определения инвестиционной
привлекательности акций
Глава 2. Анализ факторов изменения инвестиционной привлекательности
нефтяных компаний
2.1 апмиВнешние факторы инвестиционной привлекательности нефтяных
компаний
2.2 Внутренние факторы инвестиционной привлекательности нефтяных
компаний
Глава 3. Оценка инвестиционной привлекательности акций ведущих
российских нефтяных компаний
Заключение
Список литературы
Приложения
Введение
В последнее время всё больше людей начинают задумываться об
успешных инвестициях. Наиболее удобным способом для инвестиций является
фондовый рынок, на котором можно купить акции многих компаний и не только. Но,
цены на фондовом рынке подвержены сильным колебаниям, да и сам фондовый рынок
имеет много особенностей. Поэтому для успешного инвестирования на фондовом
рынке следует ознакомиться с методами оценки стоимости акций отдельных компаний
и с факторами, оказывающими влияние на изменение привлекательности и стоимости
финансовых инструментов.
Актуальность данной работы состоит в том, что здесь
рассматриваются факторы, которые влияют на изменение привлекательности акций
отдельных компаний, помимо этого изучаются методы оценки инвестиционной
привлекательности и приводится пример оценки компаний и сравнения их между
собой. За анализ берётся нефтяная отрасль, крайне важная в 21 веке.
Объектом данной исследовательской работы являются акции
российских нефтяных компаний. Предметом исследования служат изменения в
инвестиционной привлекательности акций нефтяных компаний.
Целью работы является, во-первых, рассмотрение факторов,
влияющих на изменение инвестиционной привлекательности акций нефтяных компаний,
во-вторых, оценка и сравнение акций некоторых нефтяных компаний. Для достижения
поставленных целей, соответственно, требуется выполнение следующих задач:
проанализировать внешние и внутренние факторы изменения инвестиционной
привлекательности нефтяных компаний, изучение методов оценки инвестиционной
привлекательности акций компаний, с помощью фундаментального анализа оценить
инвестиционную привлекательность акций российских вертикально-интегрированных
нефтяных компаний, а именно "Лукойл" и "Роснефть", рассмотреть
динамику изменения привлекательности компаний, сравнить привлекательность акций
между собой.
Работа включает в себя анализ литературы, связанной с
фондовым рынком и нефтяной отраслью, изучение и обобщение отечественной и
зарубежной практики оценки инвестиционной привлекательности акций, сравнение
нефтяных компаний.
Структура выпускной квалификационной работы включает в себя 3
главы. В первой главе описываются методы оценки инвестиционной
привлекательности акций компаний, комплексный алгоритм оценки. Во второй главе
анализируются внешние и внутренние факторы изменения инвестиционной
привлекательности нефтяных компаний. В третьей, практической части, оцениваются
акций компаний "Лукойл" и "Роснефть", их изменения
сравниваются между собой. В заключении подводятся итоги работы, формулируются
окончательные выводы по изучаемой теме.
Глава 1.
Теоретические аспекты определения инвестиционной привлекательности акций
Инвестиционную привлекательность акций можно оценить
несколькими методами (Параграф 1.1). Для оценки рыночной стоимости акций
используют два принципиально различных метода: фундаментальный (Параграф 1.2) и
технический (Параграф 1.3). Наглядно как оценивается инвестиционная
привлекательность акций можно посмотреть на рисунке "Содержание подходов к
оценке стоимости компании и её акций" (Приложение 1). В конце описан
комплексный алгоритм анализа инвестиционной привлекательности (Параграф 1.4).
Параграф 1.1 Современная парадигма определения
инвестиционной привлекательности акций.
Для того чтобы узнать об инвестиционной привлекательности
акции существуют два метода: фундаментальный и технический методы оценки.
Фундаментальный анализ - способ прогнозирования поведения цен на фондовом
рынке, основанный на анализе внешних и внутренних производственных и финансовых
показателей деятельности предприятия. Фундаментальный анализ исследует причины
изменения курсов акций. Существенными факторами, которые влияют на исход
фундаментального метода оценки, могут быть такие как законодательство,
экономическая политика государства, деятельность конкурентов, эффективность
менеджмента, рынок, финансовое положение компании и тому подобные.
Западные исследователи выделяют два основополагающих подхода
проведения фундаментального анализа: "сверху-вниз" и
"снизу-вверх". Традиционно анализ предусматривает подход
"сверху-вниз", который состоит из нескольких стадий: анализ экономики
страны, отраслевой анализ и анализ отдельных компаний. Этот подход считается
более удобным для инвесторов, так как сначала анализируется страна более
пригодная для инвестирования, в ней выбирается наиболее перспективная отрасль и
уже внутри конкретной отрасли проводится анализ отдельных фирм, наиболее
подходящих для инвестирования. При другом подходе фундаментального анализа в
первую очередь определяется конкретная фирма, а затем только рассматривается
отрасль и экономика страны. В этом случае есть вероятность, что отраслевой или
страновой анализ покажет не перспективность отрасли (страны), тогда потребуется
проводить анализ заново, но, уже выбрав другую компанию, что займёт дополнительное
время и нервы у инвесторов.
Фундаментальный анализ направлен на оценку стоимости компании
и её финансового положения. Для достижения целей компании, а именно для
прогнозирования цен, построения системы рейтингов и оценки рыночных стоимостей
действительной (MV) и справедливой (FMV) используется расчёт и анализ основных
финансовых коэффициентов двух этапов. На первом этапе анализируются
коэффициенты по стране, отрасли и региону, на втором этапе - анализируются
активы, прибыль и денежные потоки предприятия. С показателями, рассматриваемыми
и рассчитываемыми для фундаментального метода оценки, познакомимся в следующих
параграфах.
Думаю необходимо рассмотреть постулаты фундаментального
анализа для большего восприятия самого анализа. Ведь постулат - это положение,
принимаемое в рамках научной теории за истинное в силу очевидности, и поэтому,
играющее в данной теории роль аксиомы. Постулаты фундаментального анализа:
· Цена изменяется только под воздействием
конкретных причин, но никак не сама по себе;
· Динамика цены зависит от многих факторов.
Если стараться предугадать их, то можно и спрогнозировать грядущее движение цен
на рынке;
· В том случае, если мы правильно
предсказываем поведение экономических факторов и разбираемся в сложном влиянии
этих факторов на цену, то можем выявить достоверные ожидаемые курсовые
стоимости финансовых инструментов.
Технический анализ - способ прогнозирования цен на финансовые
инструменты в будущем на основе анализа прошлых цен. Технический метод оценки
основан на изучении изменении цен на акции, объём их продаж, спрэдов, уровня
риска и иных рыночных показателей, ориентированных на принятие инвестиционных
решений. Далее, с использованием этих показателей, строят графики и диаграммы,
с помощью которых прогнозируют цены на финансовые инструменты, обращающихся на
фондовых биржах.
Всё разнообразие методов оценки технического анализа можно
классифицировать в две большие группы: графические и аналитические. Графический
технический анализ - анализ графических рыночных моделей, которые образуются
определёнными закономерностями поведения цен на финансовые инструменты в
прошлом, с целью прогнозирования дальнейшего поведения цен или изменений
тренда, новых уровней рыночной поддержки и сопротивления, уровня коррекции
текущего тренда, выявления линии тенденции. Характерным методом графического
анализа является метод "Японских свечей". К аналитическим методам
относят такие методы, которые используют математическую аппроксимацию временных
рядов (ряд значений цен, объёмов торгов, количества открытых позиций за
промежуток времени) или фильтрацию. Типичными методами аналитического анализа
являются метод осцилляторов и метод скользящих средних.
Таким образом, технический анализ направлен на оценку
доходности и риска акций. Для достижения целей компании, а именно для оценки
курса акций, оценки рисков, прогнозирования значений фондовых индексов и
индикаторов используется анализ графиков и диаграмм. Упомянутые графики
показывают динамику цен и объёмов продаж акций, динамику основных рыночных
индикаторов.
инвестиционная привлекательность акция нефтяная
Сформулируем три постулата, на которые опирается технический
анализ:
. Курс (цена) учитывает всё. Любой фактор, влияющий на
цену (экономический, политический или психологический), уже учтён рынком и
включён в цену. Поэтому всё, что требуется для прогнозирования, - изучать
график цены.
2. Движение цен подчинено тенденциям (тенденция - это
направление движения цены). Основная цель составления графиков динамики цены
заключается в том, чтобы выявить эти тенденции на ранних стадиях их развития и
торговать в соответствии с их направлением.
. История повторяется. Аксиома базируется на
неизменности основ человеческой психики, а отсюда и на применимости анализа,
помогавшего в прошлом, к событиям настоящего.
Технический и фундаментальный методы анализа в большей
степени различны в подходах к анализу рынка. Но, несмотря на это, оба типа
анализа настолько основательны и эффективны, что большое количество участников
рынка используют их совместно. Это характеризуется тем, что каждый из анализов
имеет свои преимущества и недостатки, которых можно избежать путём применения
методов одновременно. Одновременное использование технического и
фундаментального методов может помочь инвестору нарисовать наглядную и
основательную картину восприятия текущего и прошлого состояния акции, что
позволит инвестору оценить инвестиционную привлекательность акции с большей
вероятностью. Чаще всего целью одновременного использования анализов служит то,
что с помощью фундаментального анализа можно определить наиболее
предпочтительный актив для инвестирования, а с помощью технического анализа
подобрать наиболее подходящий момент для входа на рынок.
Конечно, у одновременного использования обоих методов есть и
недостатки. Во-первых, фундаментальный анализ используется для выявления
долгосрочных трендов, поэтому он будет неэффективен при краткосрочной торговле.
Во-вторых, расхождения в показаниях двух методов могут быть существенными, что
приведёт к заблуждению инвестора. В-третьих, применение нескольких видов
анализа приведёт к росту количества информации, что, в свою очередь, усложнит
анализ и отнимет у инвестора достаточно времени.
Для инвестора, в первую очередь, инвестиционная
привлекательность акций зависит от финансового положения компании, которое, в
большинстве случаев, является главенствующим принципом в определении стоимости
акции и от дивидендной политики этой компании. Но на этом количество влияющих
факторов не ограничивается.
В следующих параграфах рассмотрим подробнее фундаментальный и
технический анализы.
Параграф 1.2 Использование фундаментального
анализа в определении инвестиционной привлекательности акций нефтяных компаний.
Фундаментальный анализ - способ прогнозирования поведения цен
на фондовом рынке, основанный на анализе внешних и внутренних производственных
и финансовых показателей деятельности предприятия. Фундаментальный анализ
согласно традиционному подходу включает в себя макроанализ (анализ экономики
страны), отраслевой анализ и анализ отдельных компаний.
Вначале рассмотрим анализ ситуации в стране, как он влияет на
привлекательность акций нефтяных компаний. На самом деле, макроанализ страны
имеет много отрицательных сторон, что делает инвестиционную привлекательность
акций не слишком благоприятной. На это показывает отсутствие крупных
инвестиционных проектов, к тому же крупнейшие мировые нефтяные компании
неохотно вкладываются в нефтяной бизнес России. Рассмотрим причины
неуверенности инвесторов:
· Налоги в России могут вырасти внезапно на
неопределённую заранее величину вследствие либо повышения ставок вывозных
пошлин, акцизов на ресурсы, либо введения дополнительных налогов, которые
назначаются свыше без учёта макроэкономической обстановки, возможностей
нефтедобывающих предприятий и так далее. Для уменьшения налоговой нагрузки в
России очень популярно использование трансфертного ценообразования, с помощью
которых финансовый результат компании становиться значительно ниже. Согласно
этому методу, компания продаёт продукцию дочерним компаниям (себе же) по ценам,
покрывающим лишь текущие затраты предприятия. Дальше дочерняя компания отражает
эту продукцию по таким счетам бухгалтерского учёта, по которым отчисления
государству будут минимальными. Этот способ также удобно применять
международным компаниям, когда в странах разные налоги на аналогичную
продукцию. И здесь предприятие может отражать деятельность в той стране, в
которой отчисления в бюджет будут меньше;
· Неопределённой является политика, которая
устанавливает квотирование экспорта;
· Курс рубля ведёт себя очень нестабильно;
· Постоянно увеличиваются расходы на услуги
монополистов.
Все перечисленные факторы объясняют слабое макроэкономическое
состояние страны для нефтяной отрасли. Эти факторы уменьшают инвестиционную
привлекательность акций нефтяных компаний.
На стадии макроанализа будет не правильно не рассмотреть два
важных показателя, которые относятся напрямую к нефтяной отрасли: цена на нефть
и курс валют. Курс валют важен потому, что мировые цены на нефть рассчитываются
в долларах за баррель, поэтому, чем крепче курс рубля по отношению к доллару,
тем меньше будут стоить вырученные деньги за экспорт нефти, что не есть хорошо
для Правительства России и конечно для самих компаний. Если рассматривать
прогнозы будущих мировых цен на нефть, то в ближайшие годы намечается только спад.
На XII Московском международном
энергетическом форуме был представлен доклад о том, что, по словам академика
РАН Алексея Макарова, на нефтяном рынке появляются всё новые игроки - Ирак,
Бразилия, Иран, Туркменистан. Поэтому ожидается избыток предложения нефти на
мировом рынке, что потеснит на нём объём российской нефти. Что касается курса
доллара, следующего важного фактора, то по прогнозам Минэкономразвития России
доллар по отношению к рублю в ближайшие годы будет только повышаться. В 2017
году ожидается курс 39 рублей за 1 американский доллар, что существенно выше
нынешнего курса. Это означает, что на фоне снижающихся мировых цен на нефтяные
ресурсы курс доллара будет укрепляться, покупательная способность вырученных
денег возрастёт, что, в свою очередь, покроет убытки от снижения цен на сырьё.
В среднесрочной перспективе макроэкономический анализ нефтяного сектора внушает
доверие и стабильность, а значит, можно переходить к следующим уровням анализа.
Теперь рассмотрим нефтяную отрасль. Нефтяной комплекс
включает в себя подготовку, добычу, транспортировку нефти и её дальнейшую
переработку.
Для транспортировки нефти используются в основном
трубопроводы (99,3%) и железнодорожный транспорт компаний АК
"Транснефтьпродукт" и АК "Транснефть". Большая протяжённость
нефтепроводов (48,5 тыс. км) дают возможность осуществлять трансконтинентальные
потоки нефти. Переработкой же нефти занимаются 28 нефтеперерабатывающих
комплексов с пропускной способностью 269 млн. т. в год. Это означает, что для
функционирования нефтяного комплекса существует вся необходимая инфраструктура,
отрасли есть куда развиваться. Это хорошо отражается на привлекательности
акций.
Нефтяные ресурсы Российской Федерации составляют более 12% от
общемировых, что немалая доля. Из них более 50% идёт на экспорт, поэтому акции
нефтяного комплекса России считаются особо привлекательными.
Говоря об инвестициях в нефтяной комплекс, то они на 77%
состоят из собственного капитала компаний. С 1999 года прибыль компаний в этом
секторе начала резко возрастать. Увеличение произошло с 19,5 млрд. руб. в 1998
году до 87,8 млрд. руб. в 2007 году. За этот период стремительного роста,
нефтяные компании имели возможность хорошо обновить свои производственные фонды
и выплатить большие отчисления в государственный бюджет, который на 54% состоит
как раз из этих отчислений. Этот факт является гарантией того, что в
"плохие времена" государство будет поддерживать именно нефтяной
сектор, тем самым давая гарантию акционерам, что компании не обанкротятся и не
сильно пострадают в период рецессии. Очень большой плюс к инвестиционной
привлекательности таких акций.
Если говорить о состоянии основных производственных фондов
нефтяного комплекса, то для него характерна весомая доля износа, а
технологический уровень не поспевает за уровнем других развитых стран. В
среднем, в нефтедобывающей сфере износ составляет 55%, но по некоторым
компаниям он достигает 70%, доля полностью изношенных фондов (уже без
амортизационных отчислений) - 22%.
Износ в сфере нефтепереработки основных фондов составляет
60%, из них 39% полностью изношенных. Таким образом, ситуация в
нефтеперерабатывающем комплексе хуже, чем в нефтедобывающем. Это, в свою
очередь, может констатироваться высокой техногенной опасностью и низкой
эффективностью. Главной причиной является тот факт, что финансирование
нефтеперерабатывающей сферы в России многие годы происходило по остаточному
принципу. К примеру, в 90-е годы вложения в нефтеперерабатывающую сферу
составляли всего 3-5% от вложений в нефтедобывающую отрасль. Это всё отрицательные
факторы, которые понижают привлекательность нефтяного сектора и,
соответственно, курс акций нефтяных компаний.
Необходимо ввести некоторые вычислительные показатели, с
помощью которых можно говорить об инвестиционной привлекательности нефтяной
отрасли. Показатели бывают как общие, универсальные показатели, подходящие для
сравнения отраслей между собой, так и специальные, которые специализируются, в
нашем случае, на нефтяном секторе экономики.
Перечень основный общих отраслевых показателей:
EBITDA - финансовый показатель, равный прибыли до
налогов и сборов плюс амортизация;
Р (капитализация) - рыночная стоимость компании;

- 
;

- 
;

- 
;

- 
;

- 
;

- 
;

- 
;

- 
;
ROE - рентабельность собственного капитала;
ROA - рентабельность активов.
Среди специальных показателей по нефтегазовой отрасли, во-первых,
это доля вклада отрасли в Валовой Внутренний Продукт страны. Если сравнивать
доли отраслей, то соотношение между ними неравномерное, а именно, доля лесной
отрасли в ВВП России составляет чуть более 1%, металлургической промышленности
- около 5%, а вот доля сырой нефти, нефтепродуктов и газа в экономике России -
34%, что превышает одну треть ВВП страны (статистические данные взяты за 2013
год). На основе приведённой данных можно считать нефтяную отрасль стабильной, к
тому же её доля с каждым годом только увеличивается.
Группа специальных отраслевых показателей включает показатели, относящиеся
к специфике деятельности отрасли, в которой находится рассматриваемая компания.
Сюда входят показатель запаса нефти на единицу собственного капитала, который
раскрывает, сколько баррелей запасов нефти приходится на один рубль
собственного капитала компании. Показатель 
говорит, сколько рублей приходится на добычу одного барреля нефти.
Также к специальным показателям можно отнести количество
произведённой продукции на одного рабочего, количество запасов нефти на рубль
капитала. Производственными мультипликаторами, которые дают возможность
сравнить нефтяные предприятия на фондовой бирже, выступают: 
и 
.
А теперь перейдём к самим нефтяным компаниям. Комплекс в России
охватывает 10 больших вертикально-интегрированных нефтяных компаний, которые
добывают 87,7% сырьевых ресурсов, и 113 небольших компаний, на чью долю
приходится 9,2% добычи. Наверняка, акции этих 10 крупных компаний являются
намного привлекательнее, чем акции всех остальных 113 компаний вместе взятых.
Вот десятка крупнейших нефтяных компаний России: Роснефть, ЛУКОЙЛ, ТНК-ВР, ОАО "Сургутнефтегаз",
"Газпром нефть", Татнефть, Славнефть, Башнефть, ОАО
"Газпром", Русснефть. Данные компании расположены по мере убывания их
добычи нефти.
Для полного фундаментально анализа отдельных компаний существует
несколько вычислительных показателей, с помощью которых можно оценить
привлекательность той или иной акции (компании). Показатели можно разделить на
две группы, которые оценивают финансовое положение компании и стоимость акций.
Показатели, которые оценивают финансовое положение компании, представлены ниже:
1. Расчёт стоимости чистых активов. Данный показатель
характеризует величину собственного капитала компании. Падение уровня чистых
активов уменьшает финансовую устойчивость компании, в то время как рост
величины чистых активов определяет финансовую устойчивость и рост курса акций
компании.
2. Темп роста рыночной стоимости компании. Темп роста и
цена акций компании положительно связаны между собой и определяются двумя
факторами: нормы прибыли на акционерный капитал и прироста прибыли компании.
где 
- чистая прибыль в текущем году; 
- размер акционерного капитала за аналогичный период.
3. Формула Гордона. Спрос на фондовые инвестиции
определяется альтернативными источниками вложения средств, главным образом
банковскими процентными ставками. В этом случае рыночная стоимость акции
рассчитывается:
где 
- номинал акции.
Эта формула не очень популярна, так как она учитывает только один
важный элемент привлекательности акции - доходность.
4. Прибыль на одну обыкновенную акцию. Прирост капитала
ведёт к повышению его стоимости, который приходится на одну акцию. Базовая
прибыль на одну акцию рассчитывается:
где 
- базовая прибыль на акцию; 
- чистая прибыль (убыток) компании; 
- сумма дивидендов по привилегированным акциям; 
- средневзвешенное число обыкновенных акций компании, которые
находятся в обращении.
Чистая прибыль компании - это доход за отчётный период, который
остаётся после налогообложения и других обязательных вычетов у акционерного
общества, кроме суммы дивидендов по привилегированным акциям. Данный показатель
рассчитывается и в случае, когда компания несёт убытки.
Главным по отрасли, обычно, является показатель темпа роста
рыночной стоимости компании, так как в финансовых новостях показывают именно
динамику изменения стоимости отдельных компаний, на основании которой можно
сделать вывод о дальнейшем тренде развития событий. Следом идут показатели
прибыль на одну акцию и доходный метод оценки.
. Соотношение 
рыночной цены акции к прибыли. Данный показатель характеризует
отношения между компанией и её акционерами и рассчитывается:
где 
- рыночная стоимость акции; 
- базовая прибыль на одну обыкновенную акцию.
Интерпретация этого показателя такова: какую сумму согласны
заплатить акционеры за один рубль чистой прибыли компании. Коэффициент особо
интересен инвесторам, которые рассматривают долгосрочный аспект инвестирования.
Когда 
< 1, то рыночная стоимость общества ниже суммы капитала,
являющегося собственностью акционеров. В данной ситуации возможности развития
компании ограничены. Если 
> 1, то инвесторы, скорее всего, ожидают значительный рост
дивидендов в следующих периодах. Но нередко бывает сочетание обоих факторов.
Например, обычно общество имеет низкий показатель 
при относительно высокой прибыли. Здесь инвесторы ожидают плавное
снижение дохода и. соответственно, снижения своих доходов в следующих периодах.
. Показатели доходности акции. Доходность акции очень сильно
влияет на цену акции, так как инвестор (покупатель) приобретает возможность на
получение дивидендов в виде части чистой прибыли акционерного общества. Но и
эмитент (продавец) должен быть уверен, что отдавая долю будущих дивидендов по
цене за акцию, предложенной покупателем, эта цена должна покрывать ему эту
упущенную выгоду. Если предложенная цена не достаточна для покрытия убытков, а
продавец имеет много акций этой компании, то более выгодно ликвидировать
общество и продать активы по частям. Поэтому, и для инвестора и для эмитента
цена акции должна зависеть от ожидаемого дохода (убытка) в следующих периодах
времени. Для оценки ожидаемой прибыли учитываются прошедшие события о выплате
дивидендов.
При расчёте показателя оценки текущей доходности акций (
учитываются дивиденды, выплаченные ранее:
где 
- величина дивиденда, выплаченного в i-м году; 
- рыночная стоимость акции.
Конечная доходность акции (
учитывает цены продажи и покупки:
где

- суммарные дивиденды, полученные инвестором во время владения
акцией; 
- цена покупки; 
- цена продажи акции.
. Доля выплаченных дивидендов ?. Коэффициент показывает какую часть чистой прибыли компания
потратила на выплату дивидендов:
? =di/Esi
где 
- дивиденд в i-м году; 
- базовая прибыль на одну обыкновенную акцию за аналогичный
период.
Компании могут варьировать выплатой дивидендов (применять
различную дивидендную политику). Либо выплачиваются небольшие дивиденды, здесь
руководство принимает курс на дальнейшее развитие компании, либо выплачиваются
большие дивиденды и в качестве источников финансирования используются кредиты.
К показателям, оценивающим стоимость акции, относятся следующие:
. Бухгалтерская (балансовая) стоимость одной акции (
). Коэффициент показывает стоимость чистых активов (
), которая относится на одну обыкновенную акцию:
где 
А - активы; ЗК - обязательства компании и заёмный капитал (и
стоимость привилегированных акций); 
- средневзвешенное число обыкновенных акций. Чем величина
бухгалтерской стоимости выше, тем лучше и для компании и для инвесторов, так
как акции данного акционерного общества покрыты собственным капиталом,
вследствие чего курс акций будет иметь положительную тенденцию.
. Отношение (?). Это отношение рыночной цены акции (
) к её бухгалтерской стоимости (
).
? =Sрын/Sбал
Коэффициент показывает степень спроса на акцию на фондовом
рынке. Если значение коэффициента большое, то и спрос на данную акцию тоже
велик.
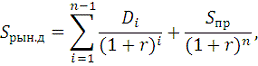
. Доходный метод оценки. Инвестор, в момент покупки,
ожидает получить дисконтированный доход будущих прибылей от владения акцией.
Значит:
где 
- рыночная цена акции по доходному методу; 
- будущие дивиденды в i-м
отчётном периоде; 
- цена продажи в момент 
, i = 1, 2, …; n - число периодов дисконтирования; r - ставка дивиденда (норма дохода на инвестированный рубль).
. Ликвидационная стоимость акции (
). Это величина выплаты владельцу акции, если акционерное общество
будет ликвидировано, а активы проданы.
где 
; 
- суммарная стоимость отдельных видов активов, выраженных в
рыночной стоимости, которая, как правило, не совпадает с ценой их покупки; ФА -
финансовые активы (краткосрочные и долгосрочные финансовые инвестирования, за
исключением собственных акций; ФО - все финансовые обязательства (краткосрочные
и долгосрочные финансовые займы и кредиты, кредиторская задолженность); 
- затраты на ликвидацию компании; 
- сумма обыкновенных акций.
Параграф 1.3 Использование технического анализа в определении
инвестиционной привлекательности акций нефтяных компаний.
Технический метод оценки основан на изучении изменения цен на
акции, степени их продаж, спрэдов, уровня риска и иных рыночных показателей,
ориентированных на принятие инвестиционных решений. Далее, с использованием
этих показателей, строят графики и диаграммы, с помощью которых прогнозируют
цены на финансовые инструменты, обращающихся на фондовых биржах. Технический
анализ включает в себя методы "Японских свечей", метод осцилляторов и
метод скользящих средних. Некоторые из этих методов будут рассмотрены в
следующих параграфах данной работы.
Технический анализ даёт возможность предугадать поведение рынка,
ведь он основывается на выявлении тенденций в изменении цен предыдущих периодов
и делает выводы относительно будущих периодов. Для этого не требуется учитывать
множество факторов, которые влияют на курс акций, так как цена уже учитывает
все эти факторы. Можно сосредоточиться только на результатах торговли. Таким
образом, технический анализ может является более эффективным по сравнению с
другими типами прогнозирования, так как не требует большого объёма данных и
несколько лет на накопление этих данных.
Существуют два способа проведения технического анализа:
графический и аналитический. К графическому способу относят разные виды
графиков: линейные, гистограммы, диаграммы, "крестики-нолики", метод
"Японских свечей" и так далее. К аналитическому способу относят
методы скользящих средних и осцилляторов. Некоторые из упомянутых методов будут
изложены в настоящем пункте.
Технический анализ хорошо подходит трейдерам, которые не хотят
углубляться в детали фундаментального анализа, строить непростые модели и
изучать статистическую информацию о предложении и спросе. Технический анализ
также подходит частным инвесторам, которым требуется спрогнозировать развитие
цен. Это можно сделать на основе имеющихся графиков, а не искать в
опубликованных данных необходимую информацию, которая, в свою очередь, может
быть некорректно отражена или вовсе недоступна. В добавление ко всему, анализ
графических данных достаточного количества акций не занимает столько времени,
сколько бы пришлось потратить на фундаментальный анализ и вычисления цены этих
же акций. Это доказывает тот факт, что технический анализ графической
информации можно назвать необходимым инструментом для частных инвесторов,
консультантов в кредитных учреждениях и трейдеров.
У графического метода технического анализа самым распространённым
и простым в использовании является линейный чарт. На горизонтальной оси
линейного чарта отмечаются промежутки времени, на вертикальной - курс
оцениваемой ценной бумаги. Преимущества линейных чартов следующие: простота их
построения (исходные данные доступны за предыдущий период времени) и
наглядность для исследователя. Есть также ключевой недостаток - потеря важной
информации, так как он не показывает колебания внутри периодов. В связи с этим,
линейные чарты обычно идут в комбинации с объёмом и открытыми интересами. Объём
- это совокупная стоимость совершённых сделок по конкретной акции в денежном
выражении за период конкретной биржевой сессии. Открытый интерес - сумма всех
незавершённых контрактов на срочной бирже в конкретный момент биржевой сессии.
Рассмотрим ещё один наиболее доступный графический метод
технического анализа - метод "Японских свечей, или фонариков". Для
построения свечей достаточно знать цену открытия и цену закрытия для каждой
торговой сессии, входящую в рассмотрение. Метод базируется на записи
соотношения цен открытия и закрытия одной торговой сессии и записи цен закрытия
и открытия между соседними торговыми сессиями.
Японская свеча включает тело (остов) и тени. Тело - прямоугольник,
тени - вертикальные линии.
Рисунок 1.
В том случае, когда цена закрытия больше, чем цена открытия -
прямоугольник будет белым, если наоборот - то чёрным и цена открытия и закрытия
меняются местами. "Длинная белая свеча" - сессия быков; "длинная
чёрная свеча" - медвежья сессия; "дожди линии" - у свечи почти
нет тела, участники рынка нерешительны в своём поведении; "скачки" -
неожиданный рывок, подтверждающий текущий тренд; "волчки" - торговые
сессии с маленькими амплитудами; "звёзды" - комбинация "длинных
свечей" и "волчков"; "утренняя звезда" - повышательная
тенденция; "вечерняя звезда" - понижательная тенденция.
Если наблюдать за формированием свечи длительное время, то можно
будет научиться определять будущее движение тренда, что крайне важно для
фондового рынка. Например, очень интересная фигура - волчок. При спокойном
движении рынка волчок лишь подтвердит нерешительность участников рынка в
заключении сделок. Но если волчок появляется после длительного нисходящего или
восходящего тренда, то стоит задуматься. Возможно это сигнал о начале разворота
тренда.
Следующий тип свечи - это Марубозу - свеча, целиком состоящая из
тела, почти без теней. Марубозу встречается редко, но это мощный сигнал, что в
данный период времени достаточно преобладают быки/медведи (белая свеча - быки,
чёрная - медведи). Тип свечи доджи - это свечи, у которых значения цен открытия
и закрытия находятся близко друг к другу. Доджи сигнализируют о нерешительности
покупателей и продавцов. Цена менялась за рассматриваемый период времени, но к
концу периода вернулась к своему исходному значению. К примеру, если свечи
доджи появляются после трёх или больше длинных чёрных свечей, то, скорее всего
это означает, что рынок перепродан и в скором времени может развернуться. Но не
стоит сразу реагировать на изменения. Лучше подождать, когда выдвигаемая
гипотеза найдёт своё подтверждение.
Применим данный метод для рынка акций ОАО НК
"Сургутнефтегаз" (Приложение 2). Первый взор на график позволяет
сделать вывод, что за период рассмотрения изменения цены акций больше
"длинных свечей", чем "дождей", то есть на рынке
неопределённостей почти не было. В период с февраля по апрель присутствовали
незначительные колебания 3-4%. "Дожди" за эти месяцы встречались чаще
всего в комбинации "звезды", а именно 3 февраля, 4 марта, 10 апреля,
когда менялся тренд. С 4 февраля - "утренняя звезда", с 26 марта -
"вечерняя звезда".
В общем, анализируя этот график "Японских подсвечников",
в краткосрочном периоде формируется "бычий тренд".
Теперь ознакомимся с методом осцилляторов. Это один из лучших
способов прогнозирования на рынке ценных бумаг. Этот метод можно употреблять и
в том случае, если рынок не имеет трендовых характеристик. В связи с
отсутствием тренда, цены на рынке часто меняются, что делает невозможным понять
их намерения. Обычно, в такой период специалисты отказываются от заключения
сделок купли-продажи. Чтобы избежать эти временные потери, используют
осцилляторы. Они прогнозируют будущие события, подавая сигнал об изменениях
заранее. К тому же, осцилляторы можно использовать и на рынках с существующим
трендом, здесь они заблаговременно сигнализируют о развороте цены.
Существуют несколько типов осцилляторов: индекс относительной
силы, метод конвергенции - дивергенции, момент, стохастические линии.
1. Индекс относительной силы (RSI). Формула для построения
осцилляторной кривой:
где x - количество дней; AU - среднее значение закрывшихся выше предыдущих
цен за х дней; АД - среднее значение закрывшихся ниже предыдущих цен за х дней.
Индекс фигурирует в пределах от 0 до 100 и в экстремумах
лучше работает. Для оценки индекса требуются 2 линии: на уровне 30 и 70. Зоной
перекупленности называется всё, что выше 70-ти (вероятность спада цен), а зоной
перепроданности - ниже 30-ти (вероятность скорого подъёма).
Рассматривая рисунок (Приложение 3) можно заметить, что
график RSI за 14-тидневный период достигает уровня 66. Анализ изменения
относительной силы говорит нам о том, что где-то при значениях 66-67 лежит
линия сопротивления, достигнув которую движение наверняка пойдёт вниз. Для
графика данной акции, индекс относительной силы редко принимает значения выше
70-ти, что означает, что дальнейший рост маловероятен.
. Метод конвергенции - дивергенции. Это осциллятор
разницы значений двух скользящих средних. В этом случае на графике изображены 2
кривые. Первая кривая - разница рядов значений двух скользящих средних с
разными периодами усреднения. Вторая - сглаживание первой линии (сигнальная).
Точки пересечения данных линий являются сигналами проведения операций. При
пересечении первой кривой вторую снизу, то в таком случае фиксируют сигнал
покупки, и наоборот.
3. Момент. Значения моментов находятся вычитанием цены
несколько дней назад от сегодняшней цены:
где Р - цена закрытия; t -
сегодняшний день; 
- n дней тому назад.
Для лучшего понимания значений моментов приведём пример. Для вычисления
трёхдневного момента вычитаем из цены закрытия текущего дня цену закрытия три
дня назад. Все полученные значения отмечаем точками на графике относительно
нулевой линии. Обычно график лежит в пределах от - 1 до 1. Пересечение линии
осциллятора с нулевой линией даёт сигнал об изменении тренда: если
повышательный - операция покупки, если понижательный - то продажи.
В случае, когда линия осциллятора подходит к нулевой снизу, а
потом снова удаляется, фиксируют сигнал продажи без покрытия. В случае приближения
сверху - сигнал покупки. Пересечение линии осциллятора нижней или верхней
ограничительной линии даёт сигнал о том, что ожидается изменение тенденции.
Затухание старой тенденции за последние два месяца служит причиной
нарастания неопределённости об ожиданиях изменения цены.
4. Стохастические линии (%К и Д). Смысл стохастических
линий в том, что при изменении цен в сторону повышения в течение торгового дня,
при закрытии торгового дня цены устанавливаются на уровнях ближе к высшим
значениям в течение этого дня. В обратном случае - наоборот. Для этого формула
построения стохастических линий показывает уровень текущей цены закрытия по
отношению к выбранному периоду времени. Кривую %К чаще всего вычисляют за
период пяти дней, кривую %Д - за период трёх дней.
где 
- текущая цена закрытия; 
- самый низкий уровень за последние 5 дней; 
- самый высокий уровень за последние 5 дней.
где 
- трёхдневная сумма (
; 
- трёхдневная сумма (
На верхнем рисунке (Приложение 4) линии показывают смену
краткосрочной тенденции. Кривая %Д отдалилась от графика цены и перегнулась, впоследствии
пересеклась с кривой %К, но смены тенденции не намечается. Рисунок доводит до
сведения, что на рынке этой акции значения больше 80-ти, значит, рынок
находится в состоянии "перекупленности". На нижнем рисунке
(Приложение 4) тоже показано состояние "перекупленности". Кривая %К
развернулась и пересекла %Д, что говорит о вероятности смены тенденции.
Теперь разберём метод скользящих средних. Данный способ основан на
аксиоме: "цены на акции движутся за трендом". Поэтому линия тренда,
построенная с помощью скользящей средней, делает возможным выявить тенденции,
действующие на рынке. Смысл метода в том, чтобы сгладить ряд показателей,
вследствие усреднения их значений за взятый период времени. Метод скользящей
средней, как правило, характеризует выбираемый отрезок времени, а объектом
выступает значение цены.
Скользящие средние различны между собой по методам сглаживания.
Рассмотрим 2 из них: простые скользящие средние и линейно взвешенные скользящие
средние.
Метод простой скользящей средней.
где 
- а каждого дня; n - порядок
скользящей средней.
Чтобы заметить тренд на рынке, нужно иметь большой период времени.
На самом деле это метод очень простой, но главный недостаток его в том, что при
вычислении коэффициента, все цены берутся с одинаковыми весами, поэтому,
наверно, более логично пользоваться следующим методом.
Метод взвешенной скользящей средней. При вычислении этого
коэффициента цена каждого дня умножается на принадлежащий ему ценовой
показатель. За первый день вес равен единице, каждый последующий день - на
единицу больше.
Исходя из дано метода, более поздним ценам придаётся более весомое
значение. Этот факт ускоряет подачу сигналов, что немаловажно для трэйдеров.
Ещё существует метод экспоненциальных скользящих средних. Отличие
этого метода от остальных состоит в том, что цены умножаются не на линейно, а
на экспоненциально убывающие веса.
Для более глубокого исследования аналитического технического
анализа используются следующие показатели:
В вышеуказанном перечне одним из основных показателей для
инвесторов является показатель доходности акции, так как прибыль для него, в
большинстве случаев, является ключевой целью инвестирования.
Параграф 1.4 Комплексный алгоритм анализа инвестиционной
привлекательности акций нефтяных компаний.
Для анализа инвестиционной привлекательности акций нефтяных
компаний требуется провести анализ акций самого нефтяного предприятия,
находящихся в обращении. Для анализа будем использовать фундаментальный метод
анализа акций этого предприятия.
Для работы будет использован традиционный подход фундаментального
анализа "сверху-вниз", так как об инвестиционной привлекательности
проще судить от общего к частному. Первая стадия - анализ экономической
ситуации страны - уже описана в параграфе 1.2 и не меняется при рассмотрении
конкретных компаний.
В ходе дальнейшего проведения фундаментального анализа нефтяных
компаний, будет рассчитано множество показателей, которые будут разбиты на
разные группы. Для проведения отраслевого анализа будут рассчитаны две группы
показателей: общие отраслевые и специальные. В общие отраслевые показатели
войдут: EBITDA, 
, 
. В группе специальных отраслевых показателей будут рассчитаны:
Запас нефти на единицу капитала, 
, 
.
Финансовый анализ отдельных компаний будет состоять из пяти групп.
Первая группа - показатели ликвидности, которые оценивают надёжность эмитента
акций: Коэффициент текущей ликвидности, Быстрой ликвидности, Абсолютной
ликвидности, Рабочего капитала. Вторая группа - показатели деловой активности,
для анализа эффективности управления активами: Оборачиваемость активов,
Длительность оборота дебиторской задолженности, Длительность оборота запасов,
Производительность труда, Фондоотдача. Третья группа - показатели соотношения
заёмного и собственного капитала, которые анализируют способность компании
обслуживать долг: Финансовый рычаг, Коэффициент покрытия. Четвёртая группа -
показатели прибыльности, оценивают надёжность вложений в акции компании:
Показатель рентабельности, ROA, ROE. Пятая группа показателей - рыночные
показатели, оценивают эффективность вложений в акции эмитента: Дивиденд на
акцию, Коэффициент выплаты дивидендов, 
, 
, 
.
Существуют два основных метода проведения фундаментального
анализа: сравнительный анализ и анализ на основе чистой текущей стоимости.
Сравнительный анализ, который будет использован для оценки изменения
инвестиционной привлекательности нефтяных предприятий в дальнейшем, базируется
на сопоставлении некоторых мультипликаторов оцениваемого предприятия, как
финансовых, так и производственных, со средними мультипликаторами по стране,
отрасли или рынку или с мультипликаторами отдельных организаций-аналогов.
Главной задачей сравнительного анализа выступает определение переоценённости
или недооценённости акций предприятия. С помощью сравнительного анализа будут
сравнены нефтяные компании и их акции между собой для выявления предпочтений
для инвестирования в конкретную компанию.
В конце проведения фундаментального анализа необходимо обосновать,
привлекательны ли ценные бумаги конкретной компании и по каким критериям они
отличаются от других. Следует ли инвестировать в конкретную компанию.
В заключение изменения оценки инвестиционной привлекательности
акций ведущих российских нефтяных компаний подлежат сравнению.
Глава 2. Анализ
факторов изменения инвестиционной привлекательности нефтяных компаний
На инвестиционную привлекательность компании могут оказывать
воздействие как внешние (Глава 2.1.), так и внутренние (Глава 2.2.) факторы.
Рассмотрим их в следующих главах. К внешним относятся: деятельность Организации
стран-экспортёров нефти, темпы развития азиатских стран, курс рубля к доллару и
мировые цены на нефть. К внутренним можно отнести: количество месторождений у
нефтяной компании, качество добываемой нефти, используемый метод подсчёта
разведанных запасов нефти компанией и корпоративные факторы (финансовая
отчётность, дивидендная политика, отношения компании с инвесторами, её имидж и
репутация, финансовая прозрачность, прошлая деятельность организации и
компетенция генерального директора.
2.1 Внешние
факторы инвестиционной привлекательности нефтяных компаний
Параграф 2.1.1 Деятельность Организации
стран-экспортёров нефти, как фактор инвестиционной привлекательности российских
вертикально-интегрированных нефтяных компаний.
ОПЕК - Организация стран-экспортёров нефти возникла в 1960-х
годах из-за необходимости борьбы стран-экспортёров нефти за получение контроля
над своими природными богатствами, а именно за нефтяными ресурсами и увеличение
своей власти над нефтяным рынком. Эта борьба в первую очередь была направлена
против Международного объединения нефтяных монополий, который на тот момент
держал под своим контролем 65% добычи нефти, 70% запасов и 55% переработки
нефти и её сбыта. В объединение входили 7 монополий: 1 англо-голландская, 1
английская и 5 американских. Главной целью объединения было обеспечить
бесперебойное снабжение нефтяными ресурсами империалистических государств
посредством владения концессиями над источниками нефти в нефтеэкспортирующих
странах. Поэтому основной задачей ОПЕК была разработка методов защиты от
хищнической эксплуатации их национальных ресурсов как на коллективной, так и на
индивидуальной основе. Но, несмотря на общность целей, из-за больших
разногласий страны-члены ОПЕК длительное время не могли скооперироваться. Это
объяснялось в различиях у отдельных стран экономического уровня развития и
политического устройства. Кроме того они отличаются по таким важным показателям
как величина валового национального продукта, национального дохода, размер разведанных
запасов нефти, уровень её добычи, доходы нефтяных ресурсов на душу населения и
так далее. Естественно, каждая страна стремилась проводить политику, наиболее
отвечающую своим интересам, что не позволяло прийти странам к согласию.
Наконец, в 1968 году, у ОПЕК появилась единая программа действий.
На данный момент ОПЕК - это межгосударственный картель,
состоящий из 12 стран-участниц (изначально было 13 стран-участниц: Эквадор
выходил из состава ОПЕК с 1992 по 2007 года, а Габон покинул организацию в 1994
году). Организация контролирует около 80% доказанных мировых запасов нефти.
Кроме того, на неё приходится 40% от всей мировой добычи нефти, что равняется
половине мирового экспорта нефти. Россия входит в ОПЕК в качестве наблюдателя.
Но, в последнее время, позиции ОПЕК ослабли. Дело в том, что
до основания Организации стран-экспортёров нефти цены на нефть устанавливались
монополиями, а именно картелем нефтеперерабатывающих корпораций "Семь
сестёр". С появлением организации ОПЕК положение на рынке изменилось, и
цены начали устанавливать 13 стран-членов организации, уменьшив добычу для
поддержания цены на более высоком уровне. Однако, затем, с ростом цен на нефть
картель стал терять свою привлекательность, ведь в картеле нет особого смысла,
если цены на нефть завышены, а большинство стран и так держат свою добычу на
максимуме (кроме Саудовской Аравии и нескольких соседних с нею стран). Хотя в
настоящее время цены устанавливает именно биржа, но отдельные институты, такие
как ОПЕК, могут существенно повлиять на формирование мировых цен на нефть, если
это потребуется.
Итак, ОПЕК может повлиять на инвестиционную привлекательность
российских нефтяных компаний посредством влияния мировых цен на нефть, что, в
свою очередь, скажется на финансовом положении самих компаний. Главный
инструмент картеля - регулирование добычи стран-участниц, с помощью которого
можно изменять предложение нефтяных ресурсов на рынке, тем самым оказывая
влияние на цену. Например, при снижающихся мировых цен на нефть, ОПЕК, обычно,
понижает квоты по добыче стран-участниц, чтобы ограничить предложение. При
понижающимся предложении, упавшие цены начинают подниматься.
Параграф 2.1.2 Конъюнктура мировых цен на нефть,
как фактор инвестиционной привлекательности российских
вертикально-интегрированных нефтяных компаний.
Приобретая акции именно нефтяных компаний, не следует
забывать, что у них есть некоторые свои особенности. Эти акции, во-первых,
имеют взаимосвязь с ресурсным фактором. Это значит, что привлекательность акций
очень сильно зависит от мировых цен на нефть, а другие факторы как финансовый
отчёт компании, например, мало могут повлиять на стоимость акций компании
нефтяной отрасли при существенном изменении мировых цен на сырую нефть. Кроме
того цены на нефть немного с запозданием реагируют на изменчивую ситуацию в
мире, поэтому цены на акции нефтяных компаний опережают цены на нефть, так как
они предвидят грядущие изменения.
Мировые цены на нефть напрямую влияют на привлекательность
нефтяной отрасли и на компании этой отрасли. Ведь высокая цена продукта - это
залог высокой выручки и хорошей прибыли компании. Поведение цен на нефтяные
продукты мало чем отличается от поведения цен на другие сырьевые товары:
значительные скачки цен в период избытка поставок или дефицита. Нестабильность
цен может продолжаться несколько лет. Это зависит от колебаний спроса на сырьё,
а также от квот, определяемых либо странами ОПЕК, либо независимыми
странами-производителями. В качестве примера можно привести мировой финансовый
кризис 2008-2009 годов. В период кризиса у населения упало благосостояние
вследствие немногих факторов: банки не выдают кредиты, недвижимость (реальные
активы) понижаются в цене и так далее. Поэтому потребление населения снижается,
а фирмы не могут сбывать свою продукцию в достаточных количествах, они
сокращают производство и рабочий персонал или вовсе становятся банкротами.
Застой в производственной сфере, понижает спрос на энергоресурсы, в том числе
на нефть, из-за чего цена на неё падает. До периода рецессии цены на нефть
стремительно росли, и в 2008 году был пик в цене - 147 долл. за баррель (11
июля 2008). После, мировые цены на нефть стали падать. На 23 декабря 2008 года
цена 1 барреля нефти оценивалась в 36,5 долл. США, что показывает обвал цены в
4 раза.
Нефть классифицируют на несколько сортов: лёгкая, утяжелённая и
тяжёлая. Лёгкая нефть имеет низкую удельную плотность (0,64-0,87 
) - упрощённый процесс переработки, высокое качество продукта. В
России это Siberian Light, Sokol, Vityaz, в США - Light
Sweet и WTI, в Великобритании - Brent. К
утяжелённым сортам нефти относится российская Urals, которую производят такие вертикально-интегрированные нефтяные
компании как Лукойл, Татнефть, Газпром Нефть, Сургутнефтегаз и Роснефть. К
тяжёлым сортам можно отнести иракскую Kirkuk,
иранскую Iran Heavy и другие. Введение классификации нефти было необходимо в связи с
различиями в её составе, так как сырая нефть добывается в разных местах с
различными природными данными. Химический состав тяжёлой нефти может включать
серу, группы алканов, примеси, что делает её менее качественной. Логично, что
стоимость лёгкой сырой нефти выше, чем стоимость тяжёлой. Кроме того, из лёгкой
нефти производится более высокий процент дизельного топлива и бензина.
Стандартом для цен для стран ОПЕК и рынков Европы, да и вообще
ориентиром для других сортов нефти является Brent, для западного полушария - сорта Light Sweet и WTI. Цена утяжелённой нефти российской марки Urals рассчитывается на базе образцовой марки Brent за вычетом некоторой скидки или дисконта,
так как химический состав российской марки несколько хуже, чем состава Brent. Лёгкая же сырая нефть российской марки Siberian Light схожа по качеству с образцовой маркой WTI, что определяет их стоимость примерно на одном уровне.
Но не на все компании нефтяного сектора колебания цен на нефть
оказывают одинаковое влияние. Некоторые нефтяные компании занимаются добычей
только сырой нефти и ничего больше не производят. К таким компаниям относится в
первую очередь ОАО "Сургутнефтегаз". Их благополучие определяется
только ценами на сырую нефть и соответствует их динамике, в то время как такая
вертикально-интегрированная нефтяная компания, к примеру, ЛУКОЙЛ не так крепко
навязана на динамику мировых цен на нефть. Это можно объяснить тем, что
компания ЛУКОЙЛ диверсифицирована, то есть не только добывает сырую нефть, но и
производит смежные с нефтью продукцию такую как моторные масла. ЛУКОЙЛ
производит высококачественные масла для широкого спектра двигателей: для судов,
двухтактных, четырёхтактных, двигателей на дизельном топливе, гидравлические
масла, трансмиссионные масла, для компрессоров, антикоррозионные смазки и так
далее. Хоть нефть и содержится в данной продукции, но она не является
единственной составляющей, поэтому динамика мировых цен на сырую нефть не
сильно крепко влияет на благополучие данной компании.
Помимо всего сказанного, на цену на нефть влияет и спрос на неё.
Если в большинстве стран мира он постоянен, то страны Азиатско-Тихоокеанского
региона имеют высокие темпы развития, для которых требуется большее потребление
нефтяных продуктов. Вот, например, за сорок лет потребление нефти в Китае
увеличилось в 25 раз.
Рисунок 2.
Данный график показывает прогнозы потребления Китаем
нефтепродуктов до 2025 года. Например, в 2009 году импорт нефти в Китае вырос
на 15%, в 2010 году - ещё на 17%. Потребление же нефти в Индии безусловно уступает
Китаю и США, но темпы экономического развития роста в Дели одни из самых
высоких в мире.
2.2
Внутренние факторы инвестиционной привлекательности нефтяных компаний
Параграф 2.2.1 Анализ ресурсной базы, как фактор
инвестиционной привлекательности российских вертикально-интегрированных
нефтяных компаний.
Непременно, основой развития любой нефтяной компании является
ресурсная база. Поэтому, инвестиционная привлекательность акций таких компаний
всецело зависит от количества месторождений, качества добываемой нефти и метода
анализа их ресурсной базы. Чем выше оценка запасов ресурсов у компании, тем
привлекательней считаются акции такой компании у инвесторов. Для эффективной
оценки запасов требуется применение геоинформационных систем. Использование
таких технологий даёт возможность не только повысить достоверность прогноза, но
и решить ряд других проблем, таких как отслеживание состояния ресурсной базы на
территории деятельности нефтяной компании, оценить экономическую эффективность
и запланировать геологоразведочные работы, проверить пространственную
корректность данных и другие.
Существует несколько методов для подсчёта разведанных запасов
нефти: объёмный метод, метод материального баланса и статистический метод.
Смысл этих методов будет кратко описан, чтобы понять, на что каждый их них
опирается.
Объёмный метод - самый распространённый метод подсчёта
запасов нефти. Он основан на "определении геометрических размеров залежи,
ёмкости пустотного пространства, степени насыщения его нефтью и параметров,
учитывающих перевод нефти из пластовых условий в поверхностные". Иными
словами, данный метод специализируется на определении размера пространства
залежи, пустотного пространства. Основным недостатком является то, что
полученные значения запасов не характеризуют возможной продуктивности скважины.
Метод материального баланса опирается на "изучении
изменений физического состояния нефти и газа и их фазового соотношения в пласте
в зависимости от изменения пластового давления в процессе разработки". Для
проведения этого метода требуется много информации, такой как: учёт точного
отбора газа, воды и нефти; систематические замеры глубинными манометрами
пластовых давлений в скважинах; исследования глубинных проб нефти и кернов и
так далее.
Статистический метод базируется на "изучении
статистических сведений о добыче нефти за прошлые годы и построения
соответствующих кривых, характеризующих закономерность изменения дебита в
зависимости от тех или иных факторов". Проблема метода в том, что строя
кривые на основе прошлых данных, это не позволяет рационализировать
эксплуатацию скважин в дальнейшем.
Нефтяные компании сами решают, каким из трёх методов подсчёта
разведанных запасов нефти пользоваться: измерить объём размеров залежи,
измерить пластовое давление в процессе разработки или изучить статистические
сведения о добыче за прошлые годы. Важно помнить, насколько нефтяная компания
эффективнее оценит разведанные запасы нефти, настолько привлекательнее будут
считаться акции этой компании у инвесторов.
Параграф 2.2.2 Анализ экономических корпоративных
факторов и показателей, как фактор инвестиционной привлекательности российских
вертикально-интегрированных нефтяных компаний
Корпоративных факторов, влияющих на инвестиционную
привлекательность акций организации достаточно много. В данной работе
рассмотрены самые главные из них, а именно как финансовая отчётность,
дивидендная политика и отношения с инвесторами предприятия влияют на
инвестиционную привлекательность акций данной организации.
Первый фактор - корпоративная финансовая отчётность. Главный
вопрос, который в первую очередь интересует потенциальных инвесторов, при
размещении их капитала в рассматриваемое предприятие, это степень выгодности их
инвестиций в компанию, кроме того, это ещё потенциальный риск потери своих
вложений. Финансовое положение предприятия показывает, насколько компания
устойчива. Чем лучше финансовое положение компании, тем менее рискованны и
более прибыльны вложения в неё. Поэтому экономические интересы потенциальных
инвесторов сводятся к оценке доходности и риска инвестиционных проектов
компании, её способности генерировать прибыль и перечислять дивиденды. Хорошая
инвестиционная привлекательность компании является важным условием для
расширения круга инвесторов, а также уже имеющиеся инвесторы предприятия могут
размещать дополнительные финансовые ресурсы. Это значит, что финансовая
устойчивость компании даёт возможность дополнительно привлекать финансовые
средства, что положительно сказывается на развитии компании.
Потенциальные инвесторы при оценке финансового состояния и
инвестиционной привлекательности предприятия смотрят следующую информацию:
· Структуру капитала компании;
· Прогноз цен на акции компании и схожих
компаний во взаимосвязи с тенденциями на фондовом рынке в целом;
· Причины, которые привели предприятие к
успеху и прогноз получения прибыли в дальнейшем;
· Нынешнее финансовое положение компании и
факторы, которые могут повлиять на него в перспективе;
· Преимущества и риски инвестиций;
· Тенденции колебания прибыли и изменения
рентабельности имущества и продукции;
· Рейтинг компании в отрасли.
Чтобы можно было полноценно оценить инвестиционную
привлекательность, требуется владеть качественной информацией о компании. Такую
информацию можно получить из различных источников, но в целом их можно
разделить на три группы:
. Сведения, добытые непосредственно от компании, в том
числе данные отчётности, бизнес-планов и инвестиционных проектов;
2. Данные о компании, хранящиеся в архивах банка;
. Материалы, которые можно получить от деловых
партнёров компании.
К сведениям, добытым непосредственно от компании, можно
отнести документы:
· Бухгалтерская (финансовая) отчётность за
период в несколько лет. В отчётность входят баланс и отчёт о прибылях и
убытках, кроме того, отчёты о движении денежных средств, капитала и приложения
к финансовому балансу.
Баланс составляется за год (квартал) и выявляет структуру
капитала, обязательств и активов компании. При анализе финансового баланса
раскрываются данные о стоимости незавершённого строительства, собственном
капитале, остаточной стоимости основных средств и кредиторской задолженности.
На основе данных финансового баланса можно прийти к выводам об инвестиционной
привлекательности и инвестиционной деятельности компании.
Данные о прибылях и убытках охватывают квартальный (годичный)
диапазон времени и раскрывают информацию о расходах и доходах компании, чистой
прибыли и отчислений из неё в резервы, на выплату дивидендов и так далее. Из
этих данных можно получить информацию о стоимости и динамике стоимости
произведённой продукции, её себестоимости и о финансовом состоянии деятельности
компании за предыдущий и за отчётный периоды времени.
Данные об изменении структуры капитала свидетельствует о том,
сколько собственного капитала присутствует в разрезе его отдельных
составляющих. Данные о движении денежных средств охватывают информацию о
времени высвобождения фондов, использовании ресурсов и образования кассового
дефицита. Потоки денежных средств рассматриваются по таким направлениям
деятельности, как инвестиционная, производственная (текущая) и финансовая. С
помощью данной информации складывается представление о размерах инвестиционной
деятельности компании.
Приложение к финансовому балансу включает данные о получении,
остатках, погашении и наличии краткосрочных и долгосрочных займов, кроме того,
данные о движении заёмных и собственных средств, необходимых для финансирования
инвестиционных проектов, объектах основных средств, необходимых для передачи в
лизинг и для собственного использования.
· Внутрифирменные финансовые отчёты,
характеризующие финансовое состояние компании и его изменение в потребности в
ресурсах более глубоко в течение квартала, месяца, года и так далее.
· Внутрифирменные управленческие отчёты. Для
составления баланса компании необходимо достаточно времени, поэтому инвестору
могут быть полезны данные оперативного учёта, содержащиеся в отчётах и записках
для руководства компании. В этих документах можно найти данные об операциях и
инвестициях, изменении величины производственных запасов, величины продаж,
кредиторской и дебиторской задолженности и так далее.
· Планы финансирования, включающие прогнозы
будущих расходов, дебиторской задолженности, продаж, оборачиваемости запасов,
издержек на производство продукции, потребности в капиталовложениях, в наличных
денежных средствах и так далее. Существует два вида прогноза: кассовый бюджет и
оценочный баланс. Первый включает прогноз поступлений и расходов наличных
средств, второй - прогноз балансовых отчётов, отчётов прибылей и убытков на
следующий период времени.
· Бизнес-планы, содержащие информацию о
целях, намечающихся инвестиционных проектов, методах ведения операций и так
далее. В бизнес-план должны входить следующие элементы: план производства
(необходимость в производственных мощностях, рабочем персонале, оборудовании и
так далее); финансовый план (оценённый прогноз движения денежных средств,
инвестиционного и операционного бюджетов, тенденция баланса на ближайшие
несколько лет); планы маркетинга (реклама, цели, оценка предприятия по
продвижению продукции на рынок и так далее); структура менеджмента (руководящие
органы, структура компании, консультанты и тому подобное).
· Налоговые декларации. Это немаловажный
источник информации о данных, которые могут не содержаться в других документах.
Помимо этого, данная информация может давать оценку фискальной
добропорядочности компании. Если случайно станет ясным, что компания уклоняется
от уплаты налогов, тогда инвестиционная привлекательность такого предприятия
упадёт.
Важную информацию можно добыть и в архивах банков и иных
финансовых организациях, с которыми рассматриваемая для вложения компания имела
отношения. Банки, финансовые и инвестиционные организации могут дать важную
информацию о размерах непогашенной задолженности у компании, депозитах
компании, возвращении предыдущих кредитов, аккуратности и регулярности оплаты,
информацию об операциях компании, филиалов, истории компании, дать
характеристику деловой активности, связям с поставщиками, с потребителями
продукции, стабильности компании, составе её учредителей и тому подобное. Банки
длительное время сохраняют сведения о произведённых операциях со своими
клиентами, поэтому архив банка даёт возможность выяснить, брала ли организация
кредит у банка в прошлом, и если брала, то не было ли нарушений условий
договора со стороны компании, задержек с платежами и прочего.
От деловых партнёров компании можно получить информацию о
размерах предоставленных предприятию коммерческих кредитов. По этим сведениям
можно судить эффективно ли компания использует заёмные средства для
финансирования нехватки оборотного капитала.
Следующий фактор - влияние дивидендной политики. Существуют
несколько типов компаний, которые различаются между собой по типам дивидендной
политики. Некоторые компании, которые считаются убыточными, предпочитают не
выплачивать дивиденды по своим акциям. Но существуют компании, которые
принимают решение о выделении части прибыли на выплату дивидендов даже в
трудных финансовых и экономических условиях. Причины для этого следующие:
формирование конкретного имиджа компании для восприятия у потенциальных
инвесторов, профессионалов фондового рынка, кредиторов; желание сохранить
работников компании, способствующих её развитию; желание сохранить контрольный
пакет акций у работников компании. Таким образом, компания пытается поддержать
инвестиционную привлекательность своих акций на приемлемом уровне, иначе, если
руководство этого не сделает, возможно, настанут худшие последствия.
Обычно, если предприятие приносит доход, доходы по ценным
бумагам своим акционерам выплачиваются в обязательном порядке, но в таком
случае используется остаточный принцип. Сначала анализируются направления в
развитии компании, для которых необходимы денежные ресурсы, и только потом,
если останутся какие-либо средства, то выплачиваются доходы по ценным бумагам
акционерам и инвесторам. Оптимизация уровня дивидендов в этом случае не
производится.
Как показывает практика, работу по выплатам прибылей по
акциям выполняют специалисты бухгалтерии, но было бы эффективнее, чтобы к этой
работе подключились также финансисты организации, работники фондовых отделов и
консалтинговые компании. В ходе совместной работы им следовало бы приходить к
выводу о том: как выплаты дивидендов сочетаются с интересами акционерного
общества и его акционерами; как изменится рейтинг компании в аналитических
агентствах; как воспримет фондовый рынок данную кооперативную работу; изменится
ли структура крупных и мелких инвесторов компании, на которую повлияет решение
о выплате дивидендов; как в средствах массовой информации отзовутся о новой
дивидендной политике.
Особую роль при принятии решения о выплате дивидендов играют
интересы акционеров, которые, к тому же, могут быть совершенно не похожими
между собой. Как известно, прибыль от акций можно получить в качестве
дивидендов или от изменения их курсовой стоимости. Обычно, интересы мелких
инвесторов направлены на получение максимальной прибыли от собственных
вложений, поэтому они ожидают максимальных дивидендов независимо от того, что
после выплаты дивидендов у компании не останется средств для финансирования
внутреннего развития. Крупные же инвесторы в первую очередь заинтересованы в
развитии предприятия, в повышении показателей внутренних темпов роста. В этом
случае, финансовое положение компании улучшается, что, в свою очередь,
подталкивает к росту курсовой стоимости акций даже при незначительных
дивидендных выплатах. В итоге, крупные инвесторы имеют повышенные доходы от
дальнейшей продажи этих акций на рынке ценных бумаг.
На основании информации реестра о распределении пакетов
ценных бумаг, можно понять каких инвесторов у предприятия больше,
следовательно, чаще стоит придерживаться стратегии выплат, которая
удовлетворяет данный тип акционеров.
Нельзя забывать, что сам факт, что предприятие будет
выплачивать дивиденды, уже положительно влияет на рынок акций этого
предприятия. В этом случае даже минимальная величина дивидендных выплат
выглядит привлекательней, если бы их не было совсем. Здесь хорошо подходит
принцип "постоянных во времени дивидендных выплат" или "принцип
постоянного роста дивидендов", хоть и на небольшую величину, главное,
чтобы эта величина покрывала инфляционные потери. Популярной дивидендной
политикой является также принцип "постоянные выплаты +
экстрадивиденды". При соблюдении данного принципа инвестор всегда знает,
что получит известный ему минимум, но, в случае успешной финансовой
деятельности предприятия, инвестор может получить и дополнительную прибыль.
Главная особенность этого принципа заключается в том, что момент выплаты
экстрадивидендов руководством должен быть неожиданностью для акционеров.
Надо отметить, что на решение о выплате дивидендов может
оказывать влияние и государство посредством установления налога на прибыль
акционеров. Логично, что при высоком налоге на дивиденды предприятие предпочтёт
большую часть полученной прибыли вложить в развитие компании, чтобы не потерять
достаточное количество средств на налоговые отчисления. Здесь интересы
инвесторов мало учитываются.
Помимо всего, важным показателем для фирмы является величина
прибыли на одну акцию. Повышая её, естественно будет повышаться и сама
привлекательность акции на фондовом рынке, но повышать эту величину бесконечно
невозможно, ибо на внутреннее развитие тоже нужно откладывать немало финансовых
ресурсов. Эту проблему и решает руководство компании путём нахождения компромисса
между выплатой дивидендов и финансированием внутреннего развития компании.
Ещё один фактор - отношения компании с инвесторами. Для
успешных отношений с инвесторами организации необходимо заслужить их
стратегическое доверие. Стратегическое доверие формируется из восприятия
сторон, которые заинтересованы в положительных результатах деятельности
организации. Кроме того, формируется из восприятия клиентов организации, у
которых складывается своя собственная оценка результатов компании и уровень
доверия к ней, который, в свою очередь, формируется из собственного понимания
обоснованности стратегий организации, её целей и деятельности. Насколько
стратегическое направление организации осмысленно? Вызывает ли оно доверие и
надёжно ли оно? В стратегическое доверие входят не только имидж организации и
её репутация, но и финансовая прозрачность и качество менеджмента организации.
Стратегическое доверие является системой большого ряда факторов, наиболее
важными из них являются: эффективность деятельности организации в прошлом;
информированность инвесторов и клиентов компании о стратегиях организации;
стратегический потенциал организации; уровень доверия к руководству
организации, в первую очередь к генеральному директору.
Прошлая деятельность организации может косвенно влиять на
текущее восприятие инвесторов об эффективной стратегии компании. Многие
исследования показали, что существует как положительная, так и отрицательная
связь между результатами деятельности компании и её планированием. Во многом
это связано с текучестью руководящего персонала. Если состав руководителей и
топ менеджеров претерпел существенные изменения, то инвесторам не следует с
уверенностью ожидать таких же действий руководителей компании, что и в прошлом.
Следующий фактор, способный влиять на стратегический
потенциал компании и на формирование у инвесторов благоприятного отношения к
компании это информированность заинтересованных лиц о стратегии компании.
Несомненно, это один из ключевых факторов. Несмотря на то, что доверие к
организации это нематериальная ценность, инвесторы охотнее покупают ценные
бумаги таких компаний, у которых чётко прослеживается стратегия развития и
ответственности. В организации, которая старается обеспечить потенциальных
инвесторов чёткими и ясными данными о стратегических методах, заданиях и целях,
выигрывают не только инвесторы, но и руководство компании (от поступлений
денежных ресурсов от инвесторов) и даже аналитики. В детальной и содержательной
корпоративной отчётности тоже кроется выгода, так как бухгалтерские отчёты
просматривают не только инвесторы, но и клиенты организации и её работники (от
успешной деятельности компании может повышаться мотивация к работе).
Во многих работах, в которых затрагивалась проблема
информированности инвесторов, вычленяют три существенных элемента:
своевременность информации, её открытость и конкретность. Открыто ли
организация заявляет о важных стратегических данных? Конкретна ли информация о
деятельности организации, которая предоставляется наиболее заинтересованным
сторонам? В случае, когда требуется оперативное раскрытие материалов, насколько
быстро организация это сделает? В дополнение ко всему важна также самооценка
организации. Открыто ли обсуждает компания свои успехи и неудачи? Не сильно ли
хвалит себя компания за успехи и не относит ли неудачи к неконтролируемым
внешним критериям? Для многих инвесторов главным в отчётности компании
являются: последовательность изложения информации; достоверность и искренность
данных; ясность в том, что есть сейчас и что будет происходить потом.
Стратегический потенциал организации в восприятии клиентов
можно отнести к основному фактору стратегического доверия к этой организации.
Но в том числе, стратегическое доверие зависит от того, насколько глубоко
спланированы и проработаны стратегии такой организации, насколько эффективен
процесс стратегического планирования. В стратегию компании должны входить
конкурентоспособный план развития и перспективные взгляды на достижение
стратегических целей. Стратегическая концепция должна охватывать как внешние,
так и внутренние потенциальные возможности и резервы самой организации. В
настоящее время транснациональные корпорации имеют больший потенциал, чем
многонациональные. Поэтому эффективность стратегии такой корпорации будет
оцениваться насколько хорошо найден компромисс между двумя противоречащими друг
другу условиями: добиваться эффекта от масштаба и не оставлять без внимания
особенности региональных рынков.
Результативность стратегического планирования получается
вследствие локальности и последовательности этого процесса, для которого
необходимо вести наблюдение за поведением главных конкурентов. В устройстве
процесса планирования должны быть как финансовый, так и оперативный планы
организации, в которых содержатся общие стратегические задачи. Такой процесс
увеличивает вероятность принятия оправданных решений в будущем.
Стратегическое доверие к организации повышается, в том числе
из-за имиджа и достаточной компетенции генерального директора такой
организации. В случае, когда генеральный директор широко известен, всегда на
виду, ведёт эффективную информационную политику, пользуется уважением, тогда
эти факторы могут гарантировать вспомогательную помощь в оценке стратегической
репутации организации. Но встаёт вопрос, переносится ли стратегический статус
генерального директора при переходе в другую организацию? На практике это не
всегда так. Имидж директора передаётся компании и при смене руководителя
стратегический статус компании не сразу изменяется в краткосрочном промежутке
времени, но в дальнейшем её статус будет однозначно зависеть от навыков нового
руководителя. Можно с уверенностью утверждать, что будет намного сложнее
убедить потенциальных инвесторов в эффективном планировании и стратегии данной
организации, если новый генеральный директор не имеет достаточно компетенции.
Помимо рассмотренных выше факторов об инвестиционной
привлекательности компании говорят ещё и показатели - анализ финансового
состояния отдельной компании эмитента, который базируется на рассмотрении групп
финансовых коэффициентов. Данный анализ позволяет вычислить не только их
количественные значения, но и узнать о взаимосвязи и взаимозависимости между
собой.
. Первой группой показателей являются показатели ликвидности.
Ликвидность это способность компании платить по счетам, причём проверяется
способность покрывать как текущие платежи, так и текущие краткосрочные
обязательства: сколько рублей текущих активов приходится на один рубль текущих
обязательств. Показатели группы ликвидности требуются для оценки надёжности
эмитента акций. Чем выше значения всех показателей данной группы, тем выше
надёжность вложений и меньше риск неплатежа компании.
Коэффициент (промежуточной) быстрой ликвидности схож по
показателю текущей ликвидности. Главное различие между ними в том, что
коэффициент промежуточной ликвидности вычисляется по более узкому кругу
активов, а именно без наименее ликвидной их части - производственных запасов.
Показатель абсолютной ликвидности означает, сколько процентов срочных
обязательств могут быть оплачены каждый день. Показатель оборотного (рабочего)
капитала показывает, есть ли у компании возможности и в каком размере для
финансирования других потребностей.
. Вторая группа показателей направлена на анализ
эффективности управления активами. В основе расчета данных показателей находится
соотношение выручки от продаж к конкретной группе активов. Значения показателей
данной группы используются для оценки эффективности вложений в акции компании.
Коэффициент оборачиваемости активов (базовый в данной группе)
позволяет оценить способность компании к возмещению стоимости находящихся в её
распоряжении активов. Коэффициент длительности оборота дебиторской
задолженности показывает среднее количество дней, требуемых для погашения
дебиторской задолженности. Коэффициент оборачиваемости запасов - оценка
эффективности использования запасов в производстве. Коэффициент длительности
оборота запасов - количество дней, требуемых для реализации запасов. Также сюда
входят показатели производительности труда и фондоотдачи.
. Третья группа показателей направлена на изучение
соотношения заёмного капитала компании и собственного. Коэффициент финансового
рычага предназначен как раз для этого. Коэффициент покрытия показывает, какая
часть прибыли направляется на выплаты по текущим процентам по заёмному
капиталу.
. Четвёртая группа показателей прибыльности компании, куда
входят показатели рентабельности. Показатели четвёртой группы являются базовыми
при оценке надёжности вложений в ценные бумаги рассматриваемой компании.
Коэффициент рентабельности является основополагающим
коэффициентом в данной группе показателей и показывает итоговую эффективность
деятельности организации и характеризует уровень эффективности управления
затратами в организации. Коэффициент рентабельности активов показывает
эффективность использования всех активов организации, сколько на них получено
прибыли. Коэффициент рентабельности собственного капитала показывает, сколько
прибыли приходится на собственный капитал компании, эффективность его
применения.
. В пятую группу показателей входят показатели, которые
оценивают результат деятельности компании в расчете на одну акцию. Они
позволяют оценить эффективность вложений инвесторов в акции компании, кроме
того, дают представление об оценке этих акций рынком.
Дивиденд на акцию показывает доход, который может получить
инвестор от владения одной акцией данной компании в год. Коэффициент выплаты
дивидендов показывает, какую долю от чистой прибыли выплачивается акционерам в
качестве дивидендов. Коэффициент балансовой стоимости акции показывает, сколько
рублей собственного капитала приходится на 1 обыкновенную акцию. Этот
коэффициент необходим для вычисления следующего показателя. Коэффициент
"балансовая стоимость/рыночная стоимость" позволяет определить
степень оценённости акции на фондовом рынке. Коэффициент "кратное
прибыли" показывает перспективы развития данной компании, выявить
недооценённые или переоценённые акции. Иногда компания имеет небольшую прибыль,
что делает данный показатель бессмысленным, поэтому на помощь приходит
следующий показатель. Коэффициент "кратное выручки" соотносит
рыночный курс акции с прибылью от продаж на одну акцию. Чем выше значение
коэффициента, тем меньше вероятность роста рыночного курса данной бумаги.
Глава 3.
Оценка инвестиционной привлекательности акций ведущих российских нефтяных
компаний
Параграф 3.1 Оценка инвестиционной
привлекательности акций вертикально-интегрированной нефтяной компании
"Лукойл".
Инвестиционная привлекательность нефтяной компании
"Лукойл" будет оцениваться с помощью фундаментального анализа, который
включает три стадии: макроэкономический анализ, отраслевой анализ и финансовый
анализ конкретной фирмы. Про макроэкономический анализ уже было описано в
Параграфе 1.2 настоящей работы. На основании этого параграфа были сделаны
выводы, что макроэкономическая обстановка в нашей стране не очень благоприятна:
неопределённая политика квотирования экспорта, увеличивающиеся расходы на
услуги монополистов и так далее. Но по прогнозам, курс валюты будет только
повышаться по отношению к российскому рублю, поэтому отрасли, ориентированные
на экспорт продукции, а к этим как раз относится нефтяная отрасль, имеют
потенциал роста.
Отраслевой анализ тоже был частично описан в Параграфе 1.2
настоящей работы, но здесь требуется добавить ещё вычислительные отраслевые
показатели, которые в свою очередь, бывают общие и специальные (для конкретного
предприятия). Перейдём к рассмотрению общих отраслевых показателей, которые
присутствуют во всех отраслях.
Показатель EBITDA - для НК "Лукойл" в 2007 составлял 377
775 млн. руб., а в 2013 году - 530 876 млн. руб. Показатель находится на
высоком уровне и, что самое важное, имеет положительную динамику.
Коэффициент 
- для нашей компании в 2007 году составлял 4,65 лет, в 2013 -
3,27 лет. Как можно заметить срок окупаемости инвестиций не большой, к тому же
период окупаемости снижается.
В целом, данная группа показателей свидетельствует о возрастающей
стоимости компании и росте прибыли, что положительно влияет на инвестиционную
привлекательность акций данного эмитента.
Группа специальных отраслевых показателей. Показатель запаса нефти
на единицу собственного капитала для компании "Лукойл" в 2007 году
составил 0,02 барр., в 2013 году - 0,01 барр. Убывающие значения показателя
свидетельствуют о том, что за последние несколько лет были открыты несколько
новых крупных месторождений нефти. Количество запасов для компании увеличилось,
но капитализация компании не поспевает за увеличением запасов, поэтому
показатель снижается.
Показатель 
для НК "Лукойл" в 2007 году составлял 2 465,92 руб., в
2013 году - 2 158, 30 руб. В динамике показатель почти не изменился. Это
означает, что добыча нефти компании изменилась пропорционально её
капитализации. Отдача от капитала - пропорциональная.
Показатель 
у компании тоже изменился незначительно: в 2007 - 111,88 руб., в
2013 - 99,70 руб. Небольшая отрицательная динамика связана с увеличением
разведанных запасов нефти. Но капитализация компании не поспевает за
увеличением запасов, поэтому показатель снижается.
В целом, все показатели данной группы остались на прежнем
достойном уровне.
Анализ третьей стадии фундаментального анализа включает пять групп
показателей:
. Коэффициент покрытия (текущей ликвидности) для компании
"Лукойл" на конец 2007 года составлял 1,83, а на конец 2013 года -
1,79. Оптимальное значение данного показателя должно быть >1,5, поэтому полученные
показатели по компании гласят, что НК "Лукойл" способна покрывать
текущие выплаты. За временной промежуток времени значения коэффициентов почти
не изменились.
Для компании значение коэффициента быстрой (промежуточной)
ликвидности в 2007 году составляло 0,86, а в 2013 году - 0,76. Динамика
показателей опять же находится почти на схожем уровне.
Коэффициент абсолютной ликвидности в 2007 году для компании
составлял 0,09, в 2013 году - 0,16. Оптимальное значение для показателя
>0,2, поэтому мы видим, что компания не достаточно ликвидная по данному
показателю, хоть и стремительно наращивает свою абсолютную ликвидность.
Показатель оборотного (рабочего) капитала для "Лукойл" в
2007 году составляло 197 млрд. руб., а в 2013 - 328 млрд. руб. Следовательно,
есть средства для финансирования других потребностей.
Чем выше значения всех показателей данной группы, тем выше
надёжность вложений и меньше риск неплатежа компании, что и происходит с
компанией "Лукойл". Почти все показатели данной группы имеют
положительную динамику.
. Коэффициент оборачиваемости активов (базовый в данной группе)
для компании в 2007 году составил 1,37, а в 2013 году - 1,29. Динамика значений
за временной период почти не изменилась. Большое значение показателя говорит об
эффективном управлении активами компании, что даёт возможность иметь больше
прибыли от инвестиций.
Коэффициент оборачиваемости дебиторской задолженности показывает
отношения компании со своими покупателями. В НК "Лукойл" в 2007 году
показатель составил 10,97, в 2013 году - 17,81. Чем больше значение показателя,
тем меньше времени требуется для получения денежных средств от покупателя с
момента отгрузки ему готовой продукции. Возрастающие значения данного
показателя показывают эффективное управление компанией дебиторской задолженностью.
Коэффициент длительности оборота дебиторской задолженности в 2007
году имел значение 33,27 дня, в 2013 году стало - 20,49 дней. Сокращение
количества дней в динамике показывает, что счета дебиторов исполняются быстрее.
Коэффициент оборачиваемости запасов для компании в 2007 году
составляет 17,77, в 2013 году - 16,07.
Коэффициент длительности оборота запасов в 2007 году - 20,54 дней,
в 2013 году - 22,71 дня. Числовые значения показателей за 6 лет не изменились
настолько, чтобы судить об изменении эффективности управления активами
компании.
Показатель производительности труда в 2007 году для компании
составлял 13,3 млн. руб. на рабочего, в 2013 году - 30 млн. руб. на одного
рабочего, что характеризует повышающуюся эффективность данного показателя.
Показатель фондоотдачи для НК "Лукойл" в 2007 году
составил 2,15, а в 2013 году - 1,80.
На основании данных компании "Лукойл" можно сделать
вывод, что компания не очень эффективно управляет своими активами.
Оборачиваемость активов уменьшилась, как и фондоотдача, а длительность оборота
запасов увеличилась, что негативно сказывается на финансовой деятельности
компании. Сравнение же показателей деловой активности нескольких компаний
позволяет выделить фирму, деятельность которой наиболее эффективна и вложения в
акции этой компании сопряжены с меньшим риском.
. Коэффициент финансового рычага для компании "Лукойл" в
2007 году составил 0,45, в 2013 - 0,39. Значения низкие, что означает, что
возврат заёмных средств гарантирован величиной собственного капитала в организации.
В динамике концентрация заёмного капитала в компании снижается.
Коэффициент покрытия для "Лукойл" в 2007 году - 28,56, в
2013 - 16,05. Оба коэффициента достаточно высоки, компания может обеспечить
платежи по заёмному капиталу, риск минимален. Но наблюдает снижение данного
показателя в динамике.
. Четвёртая группа показателей прибыльности компании, куда входят
показатели рентабельности. Коэффициент рентабельности для НК "Лукойл"
в 2007 году составил 12%, в 2013 году - 6%. Данные значения малы, значит в
структуре цены продукции компании очень много производственных затрат.
Коэффициент рентабельности активов для нашей компании в 2007 году
составлял 16%, в 2013 году - 7%.
Коэффициент рентабельности собственного капитала для компании в
2007 году составлял 23%, в 2013 году - 10%.
На фоне понижающейся тенденции всех показателей рентабельности
данной группы показателей, можно сделать вывод, что акции компании
"Лукойл" утрачивают свою надёжность.
. Дивиденд на акцию для компании "Лукойл" составил в
2007 году 38 руб., в 2013 году - 100 руб. на акцию. Компания старается
увеличивать дивиденд на акцию с каждым годом. Чем выше доход на акцию, тем
лучше, но этот доход зависит в первую очередь от самой стоимости акции.
Коэффициент выплаты дивидендов для "Лукой" в 2007 году
составил 14%, в 2013 году - 34%. Значения показателей находятся на достаточно
высоком уровне, к тому же компания существенно увеличивает процент выплаты.
Коэффициент балансовой стоимости для компании в 2007 году - 1
189,54 руб., в 2013 году - 2 942, 41 руб. Компания эффективно развивается за
счёт собственных средств, так как значения показателя растут. Коэффициент
"балансовая стоимость/рыночная стоимость" для "Лукойл" в
2007 году 0,58, в 2013 году - 1,44. Это означает, что раньше акции
"Лукойл" позиционировались рынком как устойчивые, так как балансовая
стоимость одной акции была существенно ниже её рыночной цены. Но в последние
годы акции перешли в разряд быстрорастущих, так как рыночный курс стал
значительно меньше балансовой стоимости, что придаёт акциям "Лукойл"
потенциал роста.
Коэффициент "кратное прибыли" для нашей компании в 2007
составляет 7,53, в 2013 году - 6,95. Значения коэффициента не на очень высоком
уровне, то есть рынок оценивает перспективы развития компании не в полной мере.
А снижающееся значение показателя доказывает, что у акции существует рост
рыночного курса.
Коэффициент "кратное выручки" в 2007 году составил 0,87,
в 2013 году - 0,39. Чем выше значение коэффициента, тем меньше вероятность
роста рыночного курса данной бумаги, поэтому понижающееся значение показателя
делает акцию более инвестиционно привлекательной.
Все показатели пятой группы выросли/улучшились за последние
несколько лет. Это означает, что вкладывать в акции НК "Лукойл"
достаточно эффективно.
Если рассматривать НК "Лукойл" в целом, то у компании
больше положительных сторон, чем отрицательных. С помощью рассчитанных
показателей можно сделать вывод, что эмитент надёжен с точки зрения
осуществления текущих выплат, способен обеспечивать платежи по заёмному
капиталу и вложение в акции компании эффективно. Но компания "Лукойл"
показала себя как ненадёжную для вложения в свои акции, на это повлияли
показатели 2-ой группы - показатели рентабельности.
В основном, у компании за последние несколько лет изменились
показатели 3-ей группы: уменьшился заёмный капитал, а вот часть прибыли,
направляемая на выплаты по текущим процентам, существенно увеличилась.
Показатели 4-ой группы (рентабельности) говорят, что прибыль компании
изменяется меньшими темпами, чем выручка от реализации, стоимость активов
компании и собственного капитала. Изменения показателей 5-ой группы в лучшую
сторону показывают, что числовое значение выплачиваемых дивидендов и их
процентная доля существенно увеличились, поэтому срок окупаемости акций
уменьшился.
Параграф 3.2 Оценка инвестиционной привлекательности акций
вертикально-интегрированной нефтяной компании "Роснефть".
Начнём оценку компании с общих отраслевых показателей.
Рассчитанные значения представлены в таблице 1:
Таблица 1.
|
Роснефть
|
EBITDA, млн. руб.
|
|
|
2007
|
346 000
|
6,63
|
|
2013
|
947 000
|
2,74
|
Показатель EBITDA за последние несколько лет увеличился, что
говорит о возрастающей годовой прибыли у предприятия, а период окупаемости
инвестиций, необходимый для возврата вложенных средств уменьшился как раз в
силу большей прибыли от деятельности компании.
Специальные отраслевые показатели представлены в таблице 2:
Таблица 2.
|
Роснефть
|
Запас нефти на
ед. капитала, барр
|
 , руб.  , руб.
|
|
|
2007
|
0,03
|
3 096,95
|
105,61
|
|
2013
|
0,01
|
1 855,75
|
62,07
|
Показатель запаса нефти на единицу капитала уменьшился, так как
компании были переданы новые нефтяные месторождения для разработки. Коэффициент

уменьшился, так как компаний "Роснефть" стала намного
больше добывать нефтяных ресурсов из недр земли по сравнению с 2007 годом, а
коэффициент 
уменьшился потому, что после переоценки запасов нефти,
принадлежащих компании, запасов стало значительно больше. Несмотря на то, что
все показатели в динамике снижаются, это не означает, что финансовое положение
НК "Роснефть" становится хуже. Наоборот, это показывает возросшие
значения добычи и запасов нефти, что, несомненно, положительно сказывается на
инвестиционной привлекательности акций такой компании.
) Для анализа отдельных компаний требуется оценить коэффициенты
пяти групп. 1-ая группа показателей это показатели ликвидности. Значения
показателей приведены в таблице 3:
Таблица 3.
|
Роснефть
|
Текущей
ликвидности
|
Быстрой
ликвидности
|
Абсолютной
ликвидности
|
Рабочего
капитала, млн. руб.
|
|
2007 г.
|
0,68
|
0,50
|
0,06
|
-175 680
|
|
2013 г.
|
1,05
|
0,67
|
0,37
|
68 000
|
Коэффициенты текущей ликвидности у компании
"Роснефть" достаточно низкие, если сравнивать, что оптимальное
значение для данного показателя находится в диапазоне от 1,5 до 2,5. Низкие
значения показывают, что компания не может в полной мере погашать текущую
задолженность и оплачивать текущие затраты. Но динамика у значений
положительная.
Коэффициенты абсолютной ликвидности характеризуют, что в 2007
году компания каждый день может оплачивать только 6% срочных обязательств. Это
значение мало при оптимальном >0,2, но в 2013 году данный показатель
составил уже 37% покрытия быстроликвидными активами, что свидетельствует о
положительной динамике показателя.
Показатель рабочего капитала показывает, что в 2007 году у
компании не было средств для реального денежного финансирования компании
(отрицательное значение) и имело определённые трудности с управлением запасами
и денежными средствами компании. Но в 2013 году значение показателя изменило
свой знак, что свидетельствует о положительной динамике управления компании.
В целом все показатели 1-ой группы имеют положительную
динамику, значит, эмитент акций за последние несколько лет стал существенно
надёжнее в плане ликвидности.
) 2-ая группа показателей это показатели деловой активности.
Значения показателей приведены в таблице 4:
Таблица 4.
|
Роснефть
|
Оборачиваемость
активов
|
Оборачиваемость
дебиторской задолженности
|
Оборачиваемость
запасов
|
|
2007
|
0,66
|
5,03
|
72,56
|
25,55
|
|
2013
|
0,62
|
11,31
|
32,27
|
23,24
|
|
Роснефть
|
Длительность
оборота запасов
|
Производительность
труда, млн. руб.
|
Фондоотдача
|
|
2007
|
14,29
|
2,8
|
0,95
|
|
2013
|
15,71
|
28,9
|
1,98
|
|
|
|
|
|
|
|
Базовый показатель в данной группе показателей -
оборачиваемость активов для компании "Роснефть" находится на низком
уровне. Это означает, что у компании есть мало возможности возмещать стоимость
имеющихся в её распоряжении активов посредством объёма выручки. Следующие
показатели, производные от оборачиваемости активов, тоже показывают не высокие
значения. Например, длительность оборота дебиторской задолженности в 2007 году
составляла 73 дня, то есть больше 2-х месяцев в среднем приходилось ждать
денежные средства за поставленную покупателям продукцию. В 2013 году этот
показатель опустился до 32 дней, что существенно лучше, но всё равно ждать
приходится больше 1-го месяца. Коэффициент оборачиваемости запасов находится на
приемлемом уровне - 15 дней в среднем продукция компании ожидает своего
покупателя.
Динамика последних двух коэффициентов показывает о резком
возрастании эффективности использования данных факторов производства, а именно
производительность труда (на одного рабочего) и фондоотдачи.
В общем, по показателям 2-ой группы, эффективность вложений в
акции компании за последние несколько лет сильно возросла, за исключением
показателя оборачиваемости активов и длительности оборота запасов, которые
остались на том же уровне.
) 3-я группа показателей это показатели соотношения заёмного
и собственного капитала. Значения показателей приведены в таблице 5:
Таблица 5.
|
Роснефть
|
Финансовый
рычаг
|
Покрытия
|
|
2007
|
1,62
|
8,75
|
|
2013
|
1,37
|
8,75
|
Основной коэффициент в группе - коэффициент финансового
рычага показывает, что у компании очень много заёмных средств. Хоть показатель
в динамике снижается (улучшается), всё равно доля заёмного капитала превышает
долю собственного капитала в компании "Роснефть".
Коэффициент покрытия тоже находится в плохом состоянии, так
как вследствие большой доли заёмного капитала приходится выплачивать большие
проценты за его обслуживание.
З-я группа коэффициентов показала, что компания подвержена
большому риску, так как у неё есть мало возможности обеспечить платежи по
заёмному капиталу.
) 4-ая группа показателей это показатели прибыльности
(рентабельности. Значения приведены в таблице 6:
Таблица 6.
|
Роснефть
|
Рентабельность,
%
|
ROA, %
|
ROE, %
|
|
2007
|
26
|
17
|
45
|
|
2013
|
18
|
7
|
17
|
Все коэффициенты данной группы показывают отрицательную
динамику. Это связано, в первую очередь с тем, что прибыль у НК
"Роснефть" растёт с меньшими темпами, чем выручка компании, активы и
собственный капитал. Данный факт означает, что компания стала менее надёжна для
вложения в её финансовые инструменты, в том числе в акции.
) 5-ая группа показателей это рыночные показатели. Значения
показателей представлены в таблице 7:
Таблица 7.
|
Роснефть
|
Дивиденд на
акцию, руб.
|
Выплата
дивидендов, %
|
Балансовая
стоимость акции, руб.
|
|
|
|
|
2007
|
1,6
|
5
|
70,59
|
0,30
|
7,26
|
1,90
|
|
2013
|
8,25
|
15
|
307,16
|
1,22
|
4,71
|
0,55
|
По первым двум показателям в этой группе мы видим, что доход,
получаемый от вложений в акции компании, в динамике имеет существенную
положительную тенденцию. Если в 2007 году только 5% от чистой прибыли компании
направлялось на выплату дивидендов, то в 2013 году это значение уже составляет
15%.
Коэффициент "балансовая стоимость/рыночная
стоимость" свидетельствует о том, что в 2013 году акции данной компании
стали недооценёнными рынком и характеризуются как быстрорастущие (в 2007 году
было наоборот). Это делает вероятным, что рыночный курс акции будет расти.
Один из основных показателей "кратное прибыли" (
) имеет отрицательную динамику. Малое значение коэффициента в 2013
году означает о недооценённости финансового инструмента на фондовом рынке, что
делает акцию привлекательной для инвестирования. Коэффициент "кратное
выручке" (
) так же как и 
убывает, что доказывает правильность выводов предыдущих двух
показателей. В целом, показатели 5-ой группы показывают эффективность вложений
в акции компании.
В итоге, НК "Роснефть" также, как и "Лукойл"
имеет больше положительных, чем отрицательных сторон. Компания способна
осуществлять текущие платежи, эффективна с точки зрения управления активами и
для инвесторов оказывается эффективным вкладывать в акции такой компании. Но
"Роснефть" слабо может обслуживать свой долг, так как у неё много
заёмных средств, кроме того надёжность вложений в акции компании низка.
В динамике компания сильно изменилась в лучшую сторону. Показатели
ликвидности выросли вдвое (Приложение 5). Существенно изменились/возросли
производительность и фондоотдача компании (Приложение 6). К тому же, у компании
изменилась дивидендная политика, при которой процентная выплата дивидендов
увеличилась в три раза, а балансовая стоимость акции - в четыре (Приложение 7).
Параграф 3.3 Сравнительный анализ инвестиционной привлекательности
акций ведущих российских вертикально-интегрированных нефтяных компаний.
Сравнение нефтяных компании будет по нескольким группам
показателей, которые были рассчитаны для компаний "Лукойл" и
"Роснефть" по отдельности. По итогам каждой группы показателей был
сделан вывод о привлекательности компании и, в том числе её акций. Результаты
сравнительного анализа двух компаний по группам показателей представлены в
таблице 8:
Таблица 8.
|
"Лукойл"
|
"Роснефть"
|
|
Общие
отраслевые показатели
|
+
|
+
|
|
Специальные
отраслевые показатели
|
+
|
+
|
|
1-я группа
Показатели ликвидности - для оценки надёжности акций компании
|
+
|
+
|
|
2-ая группа
Показатели деловой активности - анализ эффективности управления активами
|
+
|
+
|
|
3-я группа Показатели
соотношения заёмного и собственного капитала - способность компании
обслуживать долг
|
+
|
-
|
|
4-я группа
Показатели прибыльности (рентабельности) - оценка надёжности вложений в акции
компании
|
-
|
-
|
|
5-я группа
Рыночные показатели - для оценки эффективности вложений в акции компании
|
+
|
+
|
Как можно заметить из таблицы, НК "Лукойл"
показывает свою непривлекательность по 4-ой группе показателей - показателям
рентабельности, которые оценивают надёжность вложений в ценные бумаги эмитента.
НК "Роснефть" непривлекательна не только по 4-ой группе показателей,
но и по 3-ей, которая оценивает способность компании обслуживать свой долг, так
как имеет большую долю заёмного капитала.
Несомненно, при сравнении компаний между собой было бы
интересно сравнить их с некими средними показателями по отрасли. Теоретически
это возможно, но практически это не имеет значимости. Инвесторы не могут
ориентироваться на среднее по отрасли, так как вкладывают в конкретную или
группу компаний. "Лукойл" и "Роснефть" - 2 лидера нефтяной
отрасли, поэтому их показатели будут выше, чем средние по отрасли. Большее
значение имеет выявить, какая из компаний будет эффективнее по конкретной
группе показателей, ведь для разных типов инвесторов главным в оценке
инвестиционной привлекательности компании являются разные её стороны.
Но нельзя при сравнении компаний ограничиваться только
расчетными показателями. Требуется также рассмотреть состав акционеров
предприятия и реализацию их продукции. Если говорить о
вертикально-интегрированной нефтяной компании "Роснефть", то на
данный момент (2 квартал 2014 года) 69,50% акций принадлежит ОАО
"Роснефтегаз", которая находится полностью в государственной
собственности.30,07% компании находятся в номинальном держании, остальные 0,42%
принадлежат физическим лицам. Судя по данному распределению долей, можно
сделать вывод, что "Роснефть" - государственная компания. Хотя
Правительство РФ планирует в ближайшее время продать 19,5% своей доли для
финансирования дефицита бюджета, компания всё равно останется государственной
(с долей государства 50% + 1 акция).
Если рассматривать структуру капитала НК "Лукойл",
то крупнейший пакет акций принадлежит высшим менеджерам компании, в том числе
20,6% Вагиту Алекперову - нынешнему президенту компании и 9,08% Леониду Федуну
- вице-президенту. Остальные акции находятся в свободном обращении на
Франкфуртской и Лондонских биржах, а также на РТС и ММВБ. До февраля 2011 года
19,21% акций принадлежал американской нефтяной компании ConocoPhillips, но, в связи с трудным
финансовым положением американской компании, она полностью вышла из состава
акционеров. Доля государства НК "Лукойл" - 0%.
Раз НК "Роснефть" - государственная компания, то
она обладает рядом преимуществ над НК "Лукойл". У
"Роснефти" есть административный ресурс - ресурс влияния
государственных институций и отдельных чиновников. Это может проявляться в
финансовой поддержке предприятия в период экономического спада или в упрощённом
получении прав на разработку привлекательных месторождений. В таком случае,
акции "Роснефть" будут цениться выше, чем акции других
негосударственных нефтяных компаний.
Рассмотрим потребителей данных нефтяных компаний. У НК
"Роснефть" большая сеть реализации своих продуктов как в России, так
и за рубежом, примерно в одинаковых пропорциях.63% от общего экспорта компании
направлено на Северо-Западную, Восточную и Центральную Европу, а также в страны
Средиземноморья.27% экспорта направлены на страны Азиатско-Тихоокеанского
региона, в том числе 23% по трубопроводу в Китай. Остальные 10% экспорта идут в
страны СНГ.
У "Роснефти" за последние несколько лет состоялись
подписания нескольких важных соглашений. В 2007 году значительные активы
компании ЮКОС перешли "Роснефти", сделав её лидером российской
нефтяной отрасли по добыче и переработке, обогнав тем самым предыдущего лидера
- "Лукойл".
В январе 2011 года компанией "Роснефть" был
подписан долгосрочное соглашение с американским гигантом ExxonMobil о совместном освоении
углеводородных запасов на шельфе Чёрного моря и огромных нефтегазовых
месторождений Арктики. Помимо соглашения, российская сторона получит
возможность войти в проекты американской компании, в том числе в Техасе и
Мексиканском заливе.
В 2012 году "Роснефть" купила ТНК-ВР - одну из
крупнейших частных нефтяных компаний. В июне 2013 года нефтяной компанией
"Роснефть" на международном Петербургском экономическом форуме была
подписана "сделка века" - договор о поставках нефти в КНР сроком на
25 лет. В 2009 году у "Роснефти" уже был подписан договор о поставках
нефти Китаю сроком на 20 лет.
В таблице 9 показано изменение преимущества НК
"Роснефть", без учёта её финансового положения:
Таблица 9.
|
2007 г.
|
Активы, млрд.
руб.
|
Добыча, млн.
барр.
|
Запасы, млн.
барр.
|
|
Роснефть
|
1 836
|
740
|
21 700
|
|
Лукойл
|
1 464
|
713
|
15 715
|
|
2013 г.
|
|
|
|
|
Роснефть
|
7 538
|
1 397
|
41 770
|
|
Лукойл
|
3 486
|
804
|
17 401
|
Кроме того "Роснефть" добывает больше, чем
"Лукойл". По данным из отчётностей компаний за 2013 год, добыча газа
"Лукойл" составила 24,61 млрд. 
, добыча "Роснефть" - 38,17 млрд. 
.
Можно сделать вывод о том, что в краткосрочной перспективе по
показателям финансовой деятельности компании лидирует НК "Лукойл" -
она эффективнее управляет своими активами, но в долгосрочной перспективе
привлекательней считается НК "Роснефть", так как имеет несколько
дорогостоящих соглашений, диверсифицируемую схему реализации своей продукции и
государственную поддержку.
В целом, инвестиционная привлекательность акций нефтяных компаний
будет зависеть также и от геополитической обстановки, ведь экономика и политика
тесно связаны между собой. Как показали последние события, политическая
стабильность и коммерческие соглашения могут быть изменены в очень короткий
промежуток времени. Одной из причин могут послужить наложенные на страну
санкции, тем самым вынудив её своевременно реагировать на изменяющееся
экономическое пространство и искать альтернативные пути реализации продукции,
построения новых дипломатических отношений и тому подобное. Но кризисы
проходят, а ресурсная база у нефтяных компаний остаётся. Поэтому потенциал
роста у таких компаний заключается, в основном, в запасах.
Заключение
При написании данной работы были выполнены задачи, описанные
во введении и цель - рассмотрение факторов, влияющих на изменение
инвестиционной привлекательности акций нефтяных компаний, а также оценка и
сравнение акций некоторых нефтяных компаний. Итогом работы стала классификация
факторов изменения и оценка инвестиционной привлекательности двух
вертикально-интегрированных компаний "Лукойл" и "Роснефть".
Анализ компаний проводился с помощью фундаментального метода оценки.
Для того чтобы узнать об инвестиционной привлекательности
акции существуют два метода: фундаментальный и технический методы оценки.
Технический и фундаментальный методы анализа в большей степени различны в
подходах к анализу рынка. Но, несмотря на это, оба типа анализа настолько основательны
и эффективны, что большое количество участников рынка используют их совместно.
Чаще всего целью одновременного использования анализов служит то, что с помощью
фундаментального анализа можно определить наиболее предпочтительный актив для
инвестирования, а с помощью технического анализа подобрать наиболее подходящий
момент для входа на рынок.
В ходе оценки анализа страны некоторые факторы указали на
слабое макроэкономическое состояние страны. Неопределённой является политика,
которая устанавливает квотирование экспорта, в том числе курс рубля ведёт себя
очень нестабильно, постоянно увеличиваются расходы на услуги монополистов. Эти
факторы отрицательно влияют на инвестиционную привлекательность акций
российских компаний в целом. Но есть и такие факторы, которые положительно
влияют, например, инфляция в РФ держится на приемлемом уровне, да и
экономический рост хоть и небольшой, но всё же имеется.
Если рассматривать конкретно нефтяной сектор, то здесь
важными показателями являются цена на нефть и курс доллара к рублю. Из-за
открытия новых месторождений и появления новых игроков на мировой арене цена на
нефть не имеет тенденции к повышению, но в связи с увеличивающимся потреблением
углеводородного сырья излишки добычи будут компенсированы повышающимся спросом.
Курс доллара к рублю в ближайшие годы по прогнозам будет только повышаться, так
что покупательная способность вырученной валюты за экспорт тоже будет
увеличиваться. Поэтому, в среднесрочной перспективе макроэкономический анализ
нефтяного сектора в РФ внушает доверие и стабильность, а значит, можно
переходить к следующим этапам анализа.
Отраслевой анализ нефтяного сектора показал, что для
функционирования нефтяного комплекса существует вся необходимая инфраструктура.
Нефтяной комплекс включает в себя подготовку, добычу, транспортировку нефти и
её дальнейшую переработку, отрасли есть куда развиваться. Это хорошо отражается
на привлекательности акций. Большой процент нефтегазовых доходов в бюджете РФ и
весомая доля нефтяной отрасли в ВВП страны являются гарантией того, что в
"плохие времена" государство будет поддерживать именно нефтяной
сектор, тем самым давая гарантию акционерам, что компании не обанкротятся и не
сильно пострадают в период рецессии. Очень большой плюс к инвестиционной
привлекательности таких акций.
Если говорить о состоянии основных производственных фондов
нефтяного комплекса, то для него характерна весомая доля износа, а
технологический уровень не поспевает за уровнями других развитых стран. Хуже
дела обстоят в нефтеперерабатывающем комплексе, так как финансирование
нефтеперерабатывающей сферы в России долгие годы происходило по остаточному
принципу. Это, в свою очередь, может констатироваться высокой техногенной
опасностью и низкой эффективностью. Конечно на привлекательность нефтяного сектора
и, соответственно, курс акций нефтяных компаний эти факторы влияют
отрицательно, но в последние годы ситуация начала исправляться.
Анализ факторов изменения инвестиционной привлекательности
нефтяных компаний может быть разделён на 2 большие группы: внешние и
внутренние. Одним из главных внешних факторов является деятельность организации
стран-экспортёров нефти (ОПЕК). ОПЕК, в силу контроля большой доли мировых
запасов и добычи нефти, может существенно влиять на формирование мировых цен на
нефть, если это потребуется, тем самым изменять инвестиционную
привлекательность акций российских нефтяных компаний.
Также внешним фактором изменения ИП является увеличение
спроса на нефтяную продукцию стран азиатско-тихоокеанского региона. Если на
нефтяную продукцию будет увеличивающийся или хотя бы постоянный спрос, то и
привлекательность ВИНК будет повышаться или хотя бы оставаться на высоком
уровне. НК "Роснефть" заключила с КНР 2 крупных долгосрочных
контракта на поставку нефти в 2009 и 2013 годах сроком на 20 и 25 лет
соответственно. Эти соглашения гарантируют сбыт компанией своей продукции в
азиатской части (27% экспорта компании), что делает её акции привлекательней.
Помимо этого, экспорт компании направлен на Европу и страны Средиземноморья
(63%) и на страны СНГ (10%).
Одним из основных внутренних факторов, непременно, является
ресурсная база. Поэтому, инвестиционная привлекательность акций таких компаний
всецело зависит от количества месторождений, качества добываемой нефти и метода
анализа их ресурсной базы. Существует несколько методов оценки разведанных
запасов нефти: насколько нефтяная компания эффективнее/выше произведёт оценку
запасов нефти, настолько привлекательнее будут считаться акции этой компании у
инвесторов. До 2007 года НК "Лукойл" была лидером на российском рынке
нефтепродуктов по количеству добычи и запасов нефти, но положение изменилось.
Теперь этим лидером является "НК "Роснефть", на что повлияли
крупные сделки по получению значительных активов бывшей НК "ЮКОС" (в
2007 году) и покупки НК "ТНК-ВР" (в 2012 году). Кроме того,
"Роснефть" в 2011 году заключила долгосрочное соглашение с
американским нефтяным гигантом "ExxonMobil" о совместном освоении
углеводородных запасов на шельфе Чёрного моря и огромных нефтегазовых
месторождений Арктики, что свидетельствует об существенно увеличивающейся
ресурсной базы компании, изменяя всё выше её ИП. НК "Лукойл" тоже
старается наращивать свою ресурсную базу: в 2009 году был выигран совместно с
норвежской нефтяной компанией "Statoil" тендер на освоение иракского месторождения;
в 2012 году - победа в госаукционе по продаже прав на разведку и добычу
некоторых российских месторождений, но у "Лукойл" наращивание
происходит меньшими темпами, чем у "Роснефть".
Анализ корпоративных экономических факторов показал, что
большую роль на изменение инвестиционной привлекательности акций оказывают
финансовая отчётность компании, выбранная дивидендная политика, отношения
компании с инвесторами, под которым подразумевается доверие инвесторов к
компании, её репутация в финансовых и инвестиционных кругах, финансовая
прозрачность, качество менеджмента, прошлая деятельность компании и компетенция
генерального директора.
Финансовый анализ нефтяной компании "Лукойл"
показал, что эмитент надёжен с точки зрения осуществления текущих выплат, способен
обеспечивать платежи по заёмному капиталу и вложение в акции компании
эффективно, но не совсем надёжно. Если наблюдать за изменением финансового
состояния компании за последние несколько лет, то существенно изменились
следующие показатели: показатели соотношения собственного капитала и заёмного
(уменьшился заёмный капитал, а вот часть прибыли, направляемая на выплаты по
текущим процентам, существенно увеличилась); показатели рентабельности (прибыль
компании изменяется/увеличивается меньшими темпами, чем выручка от реализации,
стоимость активов компании и собственный капитал компании); рыночные показатели
(изменились в лучшую сторону и показывают, что числовое значение выплачиваемых
дивидендов и их процентная доля существенно увеличились, поэтому срок
окупаемости акций уменьшился).
Финансовый анализ нефтяной компании "Роснефть"
показал, что компания способна осуществлять текущие платежи, эффективна с точки
зрения управления активами и для инвесторов оказывается эффективным вкладывать
в акции такой компании. Но "Роснефть" слабо может обслуживать свой
долг, так как у неё много заёмных средств, кроме того надёжность вложений в
акции компании низка. В динамике компания сильно изменилась в лучшую сторону:
показатели ликвидности выросли вдвое; существенно изменились/возросли
производительность и фондоотдача компании; у компании изменилась дивидендная
политика, при которой процент выплаты дивидендов увеличился в три раза, а
балансовая стоимость акции - в четыре.
Сравнивая эти компании между собой и изменение их ИП за
рассматриваемый период, можно прийти к выводу, что несколько лет назад по всем
параметрам были привлекательны акции НК "Лукойл". Теперь же акции
этих двух нефтяных компаний будут считаться привлекательными в зависимости от
срока вложения. В краткосрочной перспективе по показателям финансовой
деятельности компании лидирует НК "Лукойл" - она эффективнее
управляет своими активами, но в долгосрочной перспективе привлекательней
считается НК "Роснефть", так как имеет несколько дорогостоящих и
долгосрочных соглашений, диверсифицируемую схему реализации своей продукции и
государственную поддержку.
В целом же, инвестиционная привлекательность акций нефтяных
компаний будет зависеть от геополитической обстановки, ведь экономика и
политика тесно связаны между собой. Как показали последние события,
политическая стабильность и коммерческие соглашения могут быть изменены в очень
короткий промежуток времени. Одной из причин могут послужить наложенные на
страну санкции, тем самым вынудив её своевременно реагировать на изменяющееся
экономическое пространство и искать альтернативные пути реализации продукции,
построения новых дипломатических отношений. Но кризисы проходят, а ресурсная
база у нефтяных компаний остаётся. Поэтому потенциал роста у таких компаний
заключается, в основном, в запасах.
Список
литературы
1. Абанин,
С.Л. Влияние решений о финансировании на доходность обыкновенных акций. Финансы
и кредит, N. 19, 2009. - С.42-49.
2. Алекперов,
В.Ю. Нефть России.М. Классика, 2001. - 143 с.
. Артамонов,
С.Ю. Вертикальная интеграция нефтегазовых компаний в условиях неопределенности
мировых цен на нефть.М. ГУ-ВШЭ, 2003. - 24 с.
. Бабадаева,
В.М. Манипулятивная сделки и цены на российские акции. Финансы и кредит, N.38, 2010. - С.62-65.
. Гельман,
В.Я. Нефть, газ, модернизация общества. СПб. Ин-т "Экономическая
школа" ГУ-ВШЭ "Экономикус", 2008. - 522 с.
. Гуляев,
К. Публичное размещение акций и повышение инвестиционной привлекательности
компании. Проблемы теории и практики управления, N.5, 2007. - С.100-105.
. Гурилев,
С.М. Цены на нефть и риск национализации: о чем говорят панельные данные?.
Экономический журнал Высшей школы экономики, Т.12, N.2, 2008. - С.151-175
. Евстигнеев,
В.Р. Поведение институциональных портфельных инвесторов на американском и
российском рынках акций: сравнительный анализ. Акад. нар. хозяйства при
Правительстве РФ, 2003. - 46 с.
. Евстигнеев,
В.Р. Прогнозирование доходности на рынке акций. Маросейка, 2009. - 180с.
. Запорожан,
А.Я. Все об акциях. СПб. Питер, 2001. - 251 с.
. Златев,
В. Нефть, газ и геополитика. София "Агроинженеринг-90" ЕООД, 2000. -
185 с.
. Иванов,
А.П. Финансовые инвестиции на рынке ценных бумаг.М. Дашков и К, 2004. - 444 с.
. Казанкина,
В.Ю. Исследование влияния макроэкономических факторов на цены российских
акций.М. ГУ-ВШЭ, 2008. - 47 с.
. Карбовский,
В.Ф. Краткосрочное инвестирование на рынке акций.М. УРСС, 2002. - 125 с.
. Крюкова,
А.И. Факторы доходности акций на примере российских компаний.М. ГУ-ВШЭ, 2008. -
62 с.
. Лобанов,
А.В. Индексы акций на российском фондовом рынке.М. ГУ-ВШЭ, 1995. - 45с.
. Ляшедько,
А.Л. Анализ инвестиционной привлекательности корпоративных ценных бумаг на
примере конкретной отрасли (акции российских региональных компаний связи).М.
ГУ-ВШЭ, 1998. - 57 с.
. Минасов,
О.Ю. Формирование рыночной стоимости акций российских предприятий. Фин.
Академия при Правительстве РФ, 2002. - 24 с.
. Моррис,
Г.Л. Японские свечи. Альпина Паблишер, 2001. - 310 с.
. Муравьев,
А.А. Обыкновенные и привилегированные акции в России. Анализ факторов, влияющих
на разницу цен. Консорциум экон. исслед. и образования, 2004. - 64с.
. Николаев,
Е.В. Цена акций как индикатор воспринимаемой рынком успешности сделки: опыт
развивающегося рынка.М. ГУ-ВШЭ, 2008. - 56 с.
. Рябиченко,
Н.М. Как выплаты дивидендов влияют на оценку акций компании.М. ГУ-ВШЭ, 2009. -
40 с.
. Филиппов,
Д.А. Оценка инвестиционных качеств ценных бумаг (на примере акций
приватизированных предприятий).М. ГУ-ВШЭ, 1995. - 33 с.
. Фишер,
Ф.А. Обыкновенные акции и необыкновенные доходы и другие работы. Альпина
Паблишер, 2003. - 383 с.
. Храмкин,
А.А. Инвестиционная привлекательность нефтегазодобывающих регионов России:
факторы и сравнительная оценка.М. ГУ-ВШЭ, 1996. - 59 с.
. Шаврыгин,
М.С. Влияние мировых цен на нефть на стоимость российских компаний. Финансовый
журнал, N.2, 2012. - С.97-104.
. Энгел,
Л. Как покупать акции. Дело, 1993. - 272 с.
. Юхтмахер,
Ф. Влияние дивидендной политики на стоимость акций компании.М. ГУ-ВШЭ, 2006. -
45 с.
29. Sampson
Anthony. The Seven Sisters: The Great Oil Companies and the World They Shaped.
Bantam, 1991. p.93
. Slaughter
Robert. Who Dictates the Rules of the World, sitting on the Raw Needle.
Bahamas, 2002. p.183
. Walsh
P. S. Anglo-American General Encyclopedias. New York, 2005. - 277p.
. Yergin
Daniel. The Prize: The Epic Quest for Oil, Money, and Power. Minisota:
Simon&Schuster, 1991. p.912
. Walsh
P. S. Anglo-American General Encyclopedias. New York, 2005. - 277p.
. Нефтегазовая
вертикаль: национальный отраслевой журнал, N.14 "Нефтегазовая
вертикаль".
35. Акции нефтяных
компаний как объекты инвестирования [электронный ресурс] URL:
#"885923.files/image099.gif">
Источник: Иванов А.П. Финансовые инвестиции на рынке ценных
бумаг. - М.: Дашков и К, 2007. С.229.
Приложение 2
Источник: Харченко С.А. Введение в технический анализ рынка
ценных бумаг. - СПб.: СПбГУЭФ, 2000. С.12.
Приложение 3
Источник: Харченко С.А. Введение в технический анализ рынка
ценных бумаг. - СПб.: СПбГУЭФ, 2000. С.29.
Приложение 4
Источник: Харченко С.А. Введение в технический анализ рынка
ценных бумаг. - СПб.: СПбГУЭФ, 2000. С.30-31.
Приложение 5
Общие отраслевые показатели
|
Лукойл
|
EBITDA, млн. руб.
|
|
|
|
2007
|
377 775
|
4,65
|
5,48
|
|
2013
|
530 876
|
3,27
|
5,32
|
|
Роснефть
|
|
|
|
|
2007
|
346 000
|
6,63
|
8,71
|
|
2013
|
947 000
|
2,74
|
4,67
|
Специальные отраслевые показатели
|
Лукойл
|
Запас нефти на
ед. капитала, барр
|
 , руб.  , руб.
|
|
|
2007
|
0,02
|
2 465,92
|
111,88
|
|
2013
|
0,01
|
2 158,30
|
99,70
|
|
Роснефть
|
|
|
|
|
2007
|
0,03
|
3 096,95
|
105,61
|
|
2013
|
0,01
|
1 855,75
|
62,07
|
Показатели отдельных компаний
-ая группа
Показатели ликвидности - для оценки надёжности эмитента акций
|
Лукойл
|
Текущей
ликвидности
|
Быстрой
ликвидности
|
Абсолютной
ликвидности
|
Рабочего
капитала, млн. руб.
|
|
2007
|
1,83
|
0,86
|
0,09
|
197 407
|
|
2013
|
1,79
|
0,76
|
0,16
|
327 991
|
|
Роснефть
|
|
|
|
|
|
2007
|
0,68
|
0,50
|
0,06
|
-175 680
|
|
2013
|
1,05
|
0,67
|
0,37
|
68 000
|
Приложение 6
-ая группа
Показатели деловой активности - анализ эффективности
управления активами.
|
Лукойл
|
Оборачиваемость
активов
|
Оборачиваемость
дебиторской задолженности
|
Длительность
оборота дебиторской задолженности
|
Оборачиваемость
запасов
|
Длительность
оборота запасов
|
Производительность
труда, млн. руб.
|
Фондоотдача
|
|
2007
|
1,37
|
10,97
|
33,27
|
17,77
|
20,54
|
13,3
|
2,15
|
|
2013
|
1,29
|
17,81
|
20,49
|
16,07
|
22,71
|
30
|
1,80
|
|
Роснефть
|
|
|
|
|
|
|
|
|
2007
|
0,66
|
5,03
|
72,56
|
25,55
|
14,29
|
2,8
|
0,95
|
|
2013
|
0,62
|
11,31
|
32,27
|
23,24
|
15,71
|
28,9
|
1,98
|
-я группа
Показатели соотношения собственного капитала и заёмного -
способность компании обслуживать долг.
|
Лукойл
|
Финансовый
рычаг
|
Покрытия
|
|
2007
|
0,45
|
28,56
|
|
2013
|
0,39
|
16,05
|
|
Роснефть
|
|
|
|
2007
|
1,62
|
8,75
|
|
2013
|
1,37
|
8,75
|
-ая группа
Показатели прибыльности - оценка надёжности вложений в акции
эмитента.
|
Лукойл
|
Рентабельность,
%
|
ROA, %
|
ROE, %
|
|
2007
|
12
|
16
|
23
|
|
2013
|
6
|
10
|
|
Роснефть
|
|
|
|
|
2007
|
26
|
17
|
45
|
|
2013
|
18
|
7
|
17
|
Приложение 7
-ая группа
Рыночные показатели - для оценки эффективности вложений в
акции компании.
|
Лукойл
|
Дивиденд на
акцию, руб.
|
Выплата
дивидендов, %
|
Балансовая
стоимость акции, руб.
|
|
|
|
|
2007
|
38
|
14
|
1 189,54
|
0,58
|
7,53
|
0,87
|
|
2013
|
100
|
34
|
2 942, 41
|
1,44
|
6,95
|
0,39
|
|
Роснефть
|
|
|
|
|
|
|
|
2007
|
1,6
|
5
|
70,59
|
0,30
|
7,26
|
1,90
|
|
2013
|
8,25
|
15
|
307,16
|
1,22
|
4,71
|
0,55
|
Сравнение компаний "Лукойл" и "Роснефть"
|
"Лукойл"
|
"Роснефть"
|
|
Общие
отраслевые показатели
|
+
|
+
|
|
Специальные
отраслевые показатели
|
+
|
+
|
|
1-я группа
Показатели ликвидности - для оценки надёжности акций компании
|
+
|
+
|
|
2-ая группа
Показатели деловой активности - анализ эффективности управления активами
|
+
|
+
|
|
3-я группа
Показатели соотношения заёмного и собственного капитала - способность
компании обслуживать долг
|
+
|
-
|
|
4-я группа
Показатели прибыльности (рентабельности) - оценка надёжности вложений в акции
компании
|
-
|
-
|
|
5-я группа
Рыночные показатели - для оценки эффективности вложений в акции компании
|
+
|
+
|