Управление финансовыми потоками
Введение
финансовый рентабельность управление
На современном этапе развития российской экономики одной из
важнейших проблем, стоящих перед отечественными компаниями, является проблема
эффективного и гибкого механизма управления финансовыми потоками.
Наличие необходимого уровня прибыльности компании не всегда
является залогом ее успешного развития в современных условиях рыночной
экономики России. Отсутствие достаточного объема оборотных средств и
эффективного управления финансовыми потоками приводят к ухудшению финансовой
устойчивости, снижению деловой активности, что, в свою очередь, может стать
предпосылкой серьезного финансового кризиса хозяйствующего субъекта.
Эффективное и рациональное управление потоками денежных
средств и их эквивалентов способствует достижению финансовой устойчивости,
прибыльности и положительной динамики развития компании. В условиях постоянно
изменяющейся экономической ситуации достижение данной цели невозможно без
использования теоретических подходов и практических разработок в области
управления финансовыми потоками.
Концепция финансовых потоков возникла в США в середине 50-х
годов XX века, и разработка ее основных положений принадлежит зарубежным
экономистам. Так как концепция финансовых потоков возникла сравнительно
недавно, до сих пор не были сформулированы единые понятия, относящиеся к
финансовым потокам. Недостаточно обоснованы как показатели, характеризующие
финансовые потоки компании, так и факторы, их определяющие.
Все вышеперечисленные пункты снижают практическую значимость имеющихся
методик анализа взаимосвязи между экономическими показателями деятельности
компании. Необходимость адаптации процесса управления финансовыми потоками к
современным условиям отечественной экономики, потребность в исследовании
финансовых потоков предприятий определили актуальность выбора темы данной
дипломной работы и направления исследования.
Среди зарубежных авторов, исследовавших вопросы управления
финансовыми потоками компании, можно выделить таких как Л.А. Бернстайн, Ю.
Бригхем, Д.К. Ван Хорн, Л. Гапенски, Ж. Депалян, Б. Коласс, Ч. Ли, Д. Финнерти
и других. Проблемы управления финансовыми потоками компании были исследованы в
работах следующих отечественных авторов: Балабанова И.Т., Горбунова А.Р.,
Живалова В.Н., Ковалева В.В., Кокина А.С., Колчиной Н.В., Стояновой Е.С.,
Самсонова Н.Ф., Четыркина Е.М. и др. Наиболее полное исследование данного
аспекта финансового менеджмента было проведено Бланком И.А. В трудах указанных
ученых нашли отражение результаты исследований в области теории и практики управления
финансовыми потоками, вопросы повышения эффективности управления на различных
уровнях. Учитывая важность и актуальность проблемы управления финансовыми
потоками компании, отдельные экономисты указывают на необходимость выделения ее
в самостоятельный блок финансового менеджмента для более серьезного изучения и
развития.
Целью дипломной работы является разработка теоретических
подходов и практических рекомендаций по совершенствованию процесса управления
финансовыми потоками группы предприятий.
Выполнение поставленной цели дипломной работы обусловило
необходимость решения следующих основных задач исследования:
1. рассмотреть научные подходы к содержанию понятия
финансовых потоков;
2. исследовать основные теоретические подходы к
содержанию управления финансовыми потоками хозяйствующего субъекта;
. дать организационно-экономическую характеристику
объекта исследования;
. проанализировать управление финансовыми потоками;
. представить направления совершенствования управления
финансовыми потоками анализируемого предприятия.
В качестве объекта исследования выбрана группа компаний
РОСНО, которая является одной из крупнейших страховых групп в России. В нее
входят универсальная страховая компания федерального уровня ОАО СК «РОСНО» и ее
дочерние компании: «РОСНО МС», «РОСНО Центр», СК «Медэкспресс», «Allianz РОСНО
Жизнь», «Альянс РОСНО Управление активами» и «Allianz Украина» с общей
численностью сотрудников на 01.01 2012 года 4,123 человека.
Предметом исследования является процесс управления
финансовыми потоками в группе компаний.
Теоретической и методологической основой исследования
послужили отечественные и зарубежные источники в этoй области; материалы
периодической литературы; материалы учебных семинаров;
справочно-консультационные системы «Консультант» и «Гарант»; данные
анализируемого предприятия; данные сети Internet. В процессе исследования
использовались методы общего и структурного анализа, статистические и
экономико-математические методы.
1. Понятия финансовых потоков и управления
финансовыми потоками
.1 Сущность финансовых потоков
Современный период развития рыночных отношений в России
характеризуется осознанием весомой роли финансов в обеспечении экономического
роста и реализации социальной политики. Кроме того, в существующих условиях
социально-экономические процессы в Российской Федерации во многом определяются
особенностями развития субъектов Федерации (регионов), что существенно повышает
роль предприятияльных финансов. В связи с этим различные аспекты управления
финансовыми потоками, возникающими между предприятияльными субъектами
финансовых отношений, становятся объектами пристального внимания. Однако,
несмотря на активное использование понятия «финансовые потоки» в сферах
государственных и частных финансов, к настоящему моменту нет однозначного восприятия
данного термина. Все это требует исследования сущности финансовых потоков как
обобщающего объекта государственного управления финансами и определения
содержания управления финансовыми потоками на уровне предприятия.
Финансы предприятия являются подсистемой финансов
государства, что позволяет применить в отношении первых синтетический метод
исследования (через идентификацию целого, частью которого является исследуемый
объект).
Исследования финансов как инструмента и объекта управления
должны основываться на адекватном восприятии этой фундаментальной, имеющей
диалектический характер, многозначной категории. В российской финансовой науке
в трактовке сущности, характеристик и функций финансов выделяются три основные
концепции: распределительная, воспроизводственная и экономико-правовая. В
результате многообразия научных взглядов на возникновение и функционирование
финансов концепции финансов по-разному проводят границу между денежными и
финансовыми отношениями, а также между денежными и финансовыми ресурсами
(понятие финансовых ресурсов не имеет устоявшегося определения, за исключением
обобщающего как совокупности фондов денежных средств). Представители
распределительной концепции финансов считают, что денежные отношения шире, чем
финансовые, и определяют содержание финансовых операций как распределение и
перераспределение денежной формы стоимости общественного продукта,
национального дохода. В рамках воспроизводственной концепции денежные операции
фактически совпадают с финансовыми, а финансовые ресурсы - с денежными
средствами. Экономико-правовая концепция относит к финансовым отношениям те
денежные отношения, которые опосредованы правовыми актами.
В процессе исследования разных подходов к определению
сущности финансов было замечено, что сторонники разных концепций финансов так
или иначе отмечают первостепенное значение стадии распределения в
воспроизводственном процессе и выполнения финансами распределительной функции
(для представителей распределительного подхода данное обстоятельство очевидно).
М.В. Романовский, О.В. Врублевская, Б.М. Сабанти считают распределение
важнейшей стадией воспроизводственного процесса, поскольку на этой стадии
наиболее активно проявляются общественные интересы и все их противоречия. А.М.
Бабич, Л.Н. Павлова отмечают, что посредством распределения вновь созданной
стоимости обеспечиваются расширенное воспроизводство и общегосударственные
потребности, создаются источники финансирования общественного сектора
экономики. Наконец, самое главное - от пропорций фонда накопления и фонда потребления,
сформированных в результате распределения национального дохода, зависят
возможности, темпы и пропорции развития экономики, ее структура, а значит, и
удовлетворение потребностей членов общества. То есть с точки зрения управления
значимость финансов заключается в том, что посредством регулирования
распределительных процессов можно изменять объемы производства, темпы
экономического роста и тем самым управлять экономическим и социальным развитием
соответствующей территории. Таким образом, руководствуясь мнением
экономического сообщества и собственными убеждениями, мы делаем важный вывод:
значение финансов как инструмента и объекта управления социальноэкономическими
процессами обеспечивает распределительный характер финансовых отношений.
Достаточно распространенное отождествление финансовых потоков
(движения финансовых ресурсов) с денежными потоками (движением денежных
средств) можно объяснить концептуальными отличиями в определении границ
финансовых отношений и состава финансовых ресурсов. Кроме того, этому
способствует трактовка финансовых потоков в сфере финансового менеджмента. В
отечественной литературе по финансовому менеджменту между финансовыми и
денежными потоками различия практически не проводятся, термин «финансовые
потоки» применяется в отношении потоков денежных средств (платежей). Для
финансового менеджмента - системы управления процессами финансирования
хозяйственной деятельности предприятия - основным объектом управления является
денежный оборот.
Во-первых, он отражает господство денежного хозяйства в
условиях рыночной экономики.
Во-вторых, денежный оборот (показатель, характеризующий
результат движения денежных средств предприятия за определенный период времени)
отражает информацию о фактической платежеспособности хозяйствующего субъекта,
необходимую руководству предприятия, инвесторам и кредиторам. Денежные средства
для осуществления расчетов могут отсутствовать даже у формально прибыльного
предприятия, поддержание платежеспособности предприятия обеспечивается
грамотным управлением его денежными потоками. Если же говорить о движении
финансовых ресурсов хозяйствующего субъекта как о движении средств денежных
фондов целевого назначения, то это скорее плановые («невидимые») процессы, в
отличие от денежных потоков, выражающихся в реальном движении денежных средств
на счетах предприятия. Это является третьей причиной отождествления финансовых
и денежных потоков в рамках финансового менеджмента.
В системе государственного управления финансами,
осуществляемого в целях воздействия на социально-экономические процессы, под
финансовыми ресурсами целесообразно понимать денежные средства, участвующие в
распределительных процессах и организации целевых фондов. Соответственно,
финансовые потоки, по нашему мнению, представляют собой движение финансовых ресурсов
в результате первичного распределения стоимости в сфере материального
производства и последующего распределения и перераспределения между сферами
материального и нематериального производства, внутри каждой сферы, между
социальными группами населения, в том числе с учетом изменения территориального
приложения.
Так как финансовые потоки с момента своего возникновения и до
окончания существования опосредуют процессы формирования, распределения и
использования фондов денежных средств, мы разделяем позицию об идентификации их
как процессных финансовых потоков.
На основе фактора влияния на экономическое поведение и
финансовые отношения всех участников общественного производства ядро процессных
финансовых потоков составляют бюджетные финансовые потоки. К ним относятся
потоки, появление которых определяется решениями органов государственной власти
и органов местного самоуправления. Это поступления налоговых и неналоговых
доходов, межбюджетные трансферты (как получаемые, так и предоставляемые) и
расходование бюджетных средств (помимо предоставления межбюджетных трансфертов,
выделенных отдельно).
Бюджетные расходы обусловлены полномочиями органов публичной
власти и в общем виде представляют собой либо трансфертные выплаты (населению,
экономическим субъектам), либо бюджетные ассигнования на оказание
государственных или муниципальных услуг (что представляет собой
перераспределение ресурсов от частного потребления к общественному), в том
числе на закупку необходимых для этого товаров, работ и услуг.
Предприятияльные финансы включают финансы органов
государственной власти субъекта Российской Федерации и органов местного
самоуправления (ведущая роль среди них принадлежит предприятияльному бюджету и
местным бюджетам), финансы субъектов хозяйствования и финансы населения (домохозяйств)
предприятия. Иерархию уровней управления предприятияльными финансами составляют
органы государственной власти субъекта Российской Федерации и органы местного
самоуправления.
Для того чтобы сформулировать суть управления процессными
финансовыми потоками предприятия, необходимо их идентифицировать.
Рис. 1.1. Процессные финансовые потоки предприятия
В своем труде «Принципы корпоративных финансов» Майерс С. и
Брейли Р. освещают самые актуальные вопросы, встающие перед специалистом в
области финансов в современном мире. Это: бюджетное планирование и управление
рисками при анализе проектов инвестиций, выбор источников финансирования и
определение кратковременной потребности в финансах.
Финансовые ресурсы, относящиеся к сфере распределения,
являются важным элементом воспроизводства и составляют основу системы
управления материальными и денежными потоками предприятия. В свою очередь,
денежные потоки предприятия представляют собой движение (притоки и оттоки
денежных средств на расчетном, валютном и иных счетах и в кассе предприятия) в
процессе его хозяйственной деятельности, в совокупности составляя его денежный
оборот. В связи с этим темпы стратегического развития и финансовая устойчивость
предприятия в значительной мере определяются тем, насколько притоки и оттоки
денежных средств синхронизированы между собой во времени и по объемам и
поскольку высокий уровень такой синхронизации способствует ускоренной
реализации выбранных целей.
Мы предлагаем классифицировать процессные финансовые потоки
предприятия как «внутренние - внешние» по отношению к региону в целом и
«входящие - исходящие» относительно каждого участника финансовых отношений.
Внутренние финансовые потоки образуются между предприятияльными органами власти
(органами государственной власти субъекта Федерации и органами местного
самоуправления), населением предприятия и субъектами хозяйственной
деятельности, находящимися на территории предприятия. Внешние финансовые потоки
поступают из внешней для предприятия среды. Органы власти и управления
предприятия на рисунке обозначены как «бюджет», хозяйствующие субъекты
обозначены как «организации».
Для бюджета основными внутренними входящими финансовыми
потоками являются поступления налогов и сборов от организаций и населения
предприятия. Кроме того, в бюджет поступают неналоговые платежи в виде доходов
от использования имущества, находящегося в предприятияльной или муниципальной
собственности, доходов от оказания платных государственных или муниципальных
услуг, штрафов, иных обязательных платежей, предусмотренных законодательством.
В свою очередь, бюджет осуществляет государственную поддержку
хозяйствующих субъектов посредством предоставления бюджетных инвестиций и
субсидий, производит у них закупку товаров, работ, услуг для государственных
или муниципальных нужд, формируя тем самым для себя внутренние исходящие
финансовые потоки, адресованные субъектам хозяйствования предприятия. В
отношении населения основу внутренних исходящих финансовых потоков бюджета
составляют бюджетные средства предприятия, направляемые на социальные выплаты.
Сюда также можно отнести выплату заработной платы работникам бюджетной сферы. В
бюджетной системе субъекта Федерации между бюджетами предприятий и местными
бюджетами возникают финансовые отношения и финансовые потоки, которые являются
одновременно исходящими и входящими внутренними для бюджетной системы
предприятия. Поэтому данный финансовый поток обозначен на рис. 1 петлей. В
первую очередь, хозяйствующие субъекты оплачивают труд наемных работников.
После оплаты заработной платы и всех обязательных платежей в бюджетные и
внебюджетные фонды, а также налога прибыль, некоторую часть полученной прибыли
распределяют между акционерами в виде дивидендов, указанные выплаты являются
исходящими внутренними финансовыми потоками для хозяйствующих субъектов и
входящими внутренними для населения.
В процессе приобретения материальных ценностей, реализации
продукции, услуг экономические субъекты вступают в финансовые отношения между
собой, формируя финансовые потоки внутри группы, которые образуют еще одну
петлю, являясь исходящими и входящими внутренними потоками для указанной группы
участников финансовых отношений. К исходящему внутреннему потоку населения в
сторону организаций могут быть отнесены средства граждан, направленные
хозяйствующим субъектам в порядке инвестирования, средства, направляемые в
финансово-кредитные организации, которые затем становятся финансовыми ресурсами
субъектов хозяйственной деятельности и бюджета.
Охарактеризуем внешние финансовые потоки. Для бюджета
основными входящими извне финансовыми потоками являются межбюджетные трансферты
из вышестоящего бюджета или бюджета равного уровня.
Понятно, что все указанные выше межбюджетные трансферты с
противоположным вектором являются исходящими внешними финансовыми потоками для
бюджета. Кроме того, исходящий внешний финансовый поток для бюджета формирует
закупка товаров, работ, услуг для государственных или муниципальных нужд у
инопредприятияльных организаций.
Субъекты экономической деятельности предприятия в процессе
взаимодействия с другими экономическими субъектами, находящимися вне границ
предприятия, образуют свои входящие и исходящие внешние финансовые потоки.
Уплата налогов хозяйствующими субъектами в бюджет вышестоящего уровня, выплата
заработной платы работникам-жителям других регионов пополняет внешние исходящие
финансовые потоки
Население может получать социальные выплаты, поступающие не
из предприятияльной бюджетной системы (стандартный пример - государственные
пенсии), федеральные служащие и работники федеральных бюджетных учреждений
предприятия получают заработную плату из федерального бюджета - это внешние
входящие финансовые потоки для населения. При выезде на работу за пределы
предприятия население получает заработную плату от сторонних организаций, это
также внешний входящий финансовый поток.
По аналогии с внутренними исходящими финансовыми потоками в
адрес организаций население может сформировать такие же внешние исходящие
финансовые потоки для инопредприятияльных организаций. Если население
самостоятельно, без участия института налоговых агентов уплачивает налоги,
которые зачисляются в вышестоящий бюджет, то в результате также образуется
внешний исходящий поток финансовых ресурсов.
Цель управления процессными финансовыми потоками заключается
в увеличении объема внутренних финансовых потоков, что предполагает как
генерацию регионом новых финансовых ресурсов, так и превышение объемов входящих
финансовых потоков над исходящими. Это означает, по сути, способность экономики
предприятия удержать на своей территории, то есть включить во внутренний оборот
финансовых потоков в регионе, самостоятельно созданные финансовые ресурсы и
поступившие извне.
Отдельно скажем о регулировании объемов внешних финансовых
потоков предприятия. На основе охарактеризованных нами процессных финансовых
потоков предприятия можно сделать следующий вывод. Для части внешних финансовых
потоков предприятияльные органы власти не могут оказывать влияние на изменение
их объемов (на увеличение объемов входящих и уменьшение объемов исходящих).
Среди таких финансовых потоков, например, поступление дотаций региону из
федерального бюджета или перечисление налогов, собранных на территории
предприятия, в федеральный бюджет (разумеется, мы рассматриваем ситуацию, когда
выполнение социально-экономических функций предприятияльными органами власти
имеет позитивный характер.
В результате, управление процессными финансовыми потоками
предприятия представляет собой воздействие на внутренние финансовые потоки с
целью увеличения их объема посредством управления бюджетными финансовыми
потоками с разделением при этом компетенций по уровням бюджетной системы
предприятия.
1.2
Цели, задачи и методы управления финансовыми потоками
В задачи финансового управления входит политика внешних
заимствований компании. Преследуя цели стратегической устойчивости и
эффективности, компании стремятся к улучшению ее структуры, заменяя текущую
задолженность на долгосрочные обязательства. Решение этой задачи, а также
повышения уровня ликвидности и финансовой автономии можно обеспечить на базе
реализации политики структурного роста компании, которая должна привести к
увеличению масштабов продаж и уровня прибыли.
Рассмотрим важнейшие задачи, которые дают возможность
управлять процессами на разных этапах управления финансовыми потоками группы
предприятий, в качестве которых выступают:
· выявление и реализация резервов,
позволяющих снизить зависимость предприятия от внешних источников привлечения
денежных средств;
· обеспечение полной сбалансированности
положительных и отрицательных финансовых потоков во времени и по объемам;
· обеспечение более тесной взаимосвязи
финансовых потоков по видам хозяйственной деятельности предприятия;
· повышение суммы и качества чистого
денежного потока, генерируемого хозяйственной деятельностью предприятия.
Оптимизация финансовых потоков группы предприятия
представляет собой процесс выбора:
· наилучших форм организации на предприятии
с учетом условий и особенностей осуществления его хозяйственной деятельности.
· Основными целями оптимизации финансовых
потоков предприятия являются:
· обеспечение сбалансированности объемов
финансовых потоков;
· обеспечение синхронности формирования
финансовых потоков во времени;
· обеспечение роста чистого финансового
потока предприятия.
Основу финансовых потоков предприятия составляет обеспечение
сбалансированности объемов положительного и отрицательного видов. На результаты
хозяйственной деятельности предприятия отрицательное воздействие оказывает как
дефицитный, так и избыточный финансовый поток.
Отрицательные последствия дефицитного финансового потока
проявляются в снижении ликвидности и уровня платежеспособности группы
предприятия, росте просроченной кредиторской задолженности поставщикам сырья и
материалов, повышении доли просроченной задолженности по полученным финансовым
кредитам, задержках выплаты заработной платы (с соответствующим снижением
уровня производительности труда персонала), росте продолжительности финансового
цикла.
Отрицательные последствия избыточного денежного потока
проявляются в потере реальной стоимости временно не используемых денежных
средств от инфляции, потере потенциального дохода от неиспользуемой части
денежных активов в сфере краткосрочного их инвестирования, что в конечном итоге
также отрицательно сказывается на уровне рентабельности активов и собственного
капитала предприятия.
Методы дефицитного финансового потока зависят от характера
этой дефицитности: краткосрочной или долгосрочной. От метода финансового потока
зависят мероприятия, которые ускоряют привлечение финансирования группы
предприятия, соответственно они разделяются на мероприятия в краткосрочном
периоде и долгосрочном. Именно из-за мероприятий можна определить характер
метода финансового потока.
Сбалансированность дефицитного финансового потока в
краткосрочном периоде достигается путем использования системы ускорения
(замедления) платежного оборота. Суть этой системы заключается в разработке на
предприятии организационных мероприятий по ускорению привлечения денежных
средств и замедлению их выплат.
Ускорение привлечения денежных средств в краткосрочном
периоде может быть достигнуто за счет следующих мероприятий:
· увеличения размера ценовых скидок за
наличный расчет по реализованной покупателям продукции;
· обеспечения частичной или полной
предоплаты за произведенную продукцию, пользующуюся высоким спросом на рынке;
· сокращения сроков предоставления товарного
(коммерческого) кредита покупателям;
· ускорения инкассации просроченной
дебиторской задолженности;
· использования современных форм
рефинансирования дебиторской задолженности - учета векселей, факторинга,
форфейтинга;
· ускорения инкассации платежных документов
покупателей продукции (времени нахождения их в пути, в процессе регистрации, в
процессе зачисления денег на расчетный счет и т.п.).
Замедление выплат денежных средств в краткосрочном периоде
может быть достигнуто за счет следующих мероприятий:
· использования флоута для замедления
инкассации собственных платежных документов;
· увеличения по согласованию с поставщиками
сроков предоставления предприятию товарного (коммерческого) кредита;
· замены приобретения долгосрочных активов,
требующих обновления, на их аренду (лизинг);
· реструктуризаций портфеля полученных
финансовых кредитов путем перевода их краткосрочных видов в долгосрочные.
Следует отметить, что система ускорения (замедления)
платежного оборота, решая проблему сбалансированности финансирования объемов
дефицитного финансового потока в краткосрочном периоде (и соответственно
повышая уровень абсолютной платежеспособности предприятия), создает определенные
проблемы нарастания дефицитности этого потока в последующих периодах. Поэтому
параллельно с использованием механизма данной системы должны быть разработаны
меры по обеспечению сбалансированности дефицитного денежного потока в
долгосрочном периоде.
Рост объема положительного денежного потока в долгосрочном
периоде может быть достигнут за счет следующих мероприятий:
· привлечения стратегических инвесторов с
целью увеличения объема собственного капитала;
· дополнительной эмиссии акций;
· привлечения долгосрочных финансовых
кредитов;
· продажи части (или всего объема)
финансовых инструментов инвестирования;
· продажи (или сдачи в аренду)
неиспользуемых видов основных средств.
Методы избыточного финансового потока финансирования группы
предприятия связаны с обеспечением роста его инвестиционной активности. В
системе этих методов могут быть использованы:
· увеличение объема расширенного
воспроизводства операционных внеоборотных активов;
· ускорение периода разработки реальных
инвестиционных проектов и начала их реализации;
· осуществление предприятияльной
диверсификации операционной деятельности предприятия;
· активное формирование портфеля финансовых
инвестиций; досрочное погашение долгосрочных финансовых кредитов.
В системе финансовых потоков предприятия важное место
принадлежит их сбалансированности во времени. В процессе используются два
основных метода - выравнивание и синхронизация.
Выравнивание финансовых потоков направлено на сглаживание их
объемов в разрезе отдельных интервалов рассматриваемого периода времени.
Результаты метода оптимизации финансовых потоков во времени оцениваются с
помощью среднеквадратического отклонения или коэффициента вариации, которые в
процессе оптимизации должны снижаться. Синхронизация финансовых потоков
основана на ковариации положительного и отрицательного их видов. В процессе
синхронизации должно быть обеспечено повышение уровня корреляции между этими
двумя видами финансовых потоков. Результаты метода оптимизации финансовых
потоков во времени оцениваются с помощью коэффициента корреляции, который
должен стремиться к значению «+1».
Коэффициент корреляции положительного и отрицательного
финансовых потоков во времени
где РП, О - прогнозируемые вероятности отклонения финансовых
потоков от их среднего значения в плановом периоде;
ПФПi - варианты сумм положительного финансового потока в
отдельных интервалах планового периода;
ПФП - средняя сумма положительного финансового потока в одном
интервале планового периода;
ОФПi - варианты сумм отрицательного финансового потока в
одном интервале планового периода;
ОФП - средняя сумма отрицательного финансового потока в одном
интервале планового периода;
ПФП, ОФП - среднеквадратическое (стандартное) отклонение сумм
финансовых потоков (соответственно - положительного и отрицательного).
Заключительным этапом является создание условий максимизации
чистого финансового потока группы предприятия. Рост чистого финансового потока
обеспечивает повышение темпов экономического развития предприятия на принципах
самофинансирования, снижает зависимость этого развития от внешних источников
формирования финансовых ресурсов, обеспечивает прирост рыночной стоимости
предприятия.
Результаты денежных потоков предприятия получают свое
отражение в системе планов формирования и использования денежных средств в
предстоящем периоде.
1.3
Обеспечение финансовой устойчивости и рентабельности группы предприятий при
помощи управления финансовыми потоками
Российские компании в последние годы стремятся не только
сформировать единую интегрированную производственную цепочку, но и
консолидировать финансовые потоки, обеспечив оптимизацию внутрикорпоративных
связей.
В основе финансовой консолидации лежит развитая бюджетная
система, ориентированная на различные временные интервалы и уровни управления.
Бюджетное планирование базируется на выделении в структуре управления компании
«центров затрат» и центров прибыли» (или «центров финансовой ответственности»).
Наличие таких центров позволяет контролировать все проходящие через них
финансовые потоки. При такой структуре финансового мониторинга центрами
финансовой ответственности становятся крупные инвестиционные проекты и
связанные с ними финансовые потоки включаются в систему консолидированного
финансового планирования.
Бюджеты, составляемые в компании на всех уровнях, должны быть
объектом тщательного контроля в процессе их выполнения. Ключевые аспекты
бюджетного контроля в компании и ее подразделениях сводятся к выполнению
следующих функций:
· должна быть определена «область
ответственности» каждого руководителя;
· в отношении издержек каждый руководитель
должен четко представлять, какие расходы он может контролировать и какие нет;
· следует вовремя определять возникающие
отклонения от планов для принятия мер к исправлению; должны быть тщательно
проанализированы причины этих отклонений;
· анализ колебаний расходов должен включать
также любые выплаты, производимые вне запланированного бюджета;
· на основе проводимого контроля издержек
следует принимать соответствующие меры.
Системы внутрифирменных расчетов являются способом
распределения расходов по всей организации. Одновременно они дают возможность
распределения по «центрам прибыли» всех накладных расходов организации, включая
накладные расходы недоходных подразделений. Система внутренних расчетов
обеспечивает оценки внутренних расходов компании с той же детальностью, что и
внешних. Это является наглядным примером взаимоотношений между внутренними
поставщиками и заказчиками. Компания должна разработать механизм передачи
информации для обсуждения и согласования всех планируемых и уже осуществленных
операций внутри компании. При этом руководители утверждают необходимые расходы,
но ставят преграды для непроизводительных или нереалистических затрат.
При подготовке бюджета / плана компании целесообразно
подключать к этому процессу руководителей и специалистов различных уровней.
Преимущества привлечения руководителей всех уровней заключается в следующем:
· используются знания, инициатива и опыт
каждого менеджера;
· повышается самооценка менеджера как
участника процесса планирования;
· каждый менеджер наблюдает, каким образом
его специфические функции включены в общую картину деятельности;
· усиливается взаимодействий между
подразделениями;
· менеджеры низшего уровня знакомятся с
политикой и задачами организации.
Управление финансовыми потоками компании через
консолидированную финансовую политику позволяет компаниям использовать методы
трансфертных цен, способных снизить налоговое бремя компании, оптимизировать
соотношения безналичных и наличных расчетов, создавать резервные финансовые
фонды, служащие гарантом устойчивого развития при сильных внешних потрясениях,
вызванных неблагоприятной конъюнктурой.
Кроме того, консолидированная финансовая политика вносит
структурную упорядоченность в финансовые потоки за счет внедрения новой системы
консолидированной бухгалтерской отчетности, соответствующей стандартам западной
практики и, следовательно, более прозрачной и более приспособленной для
инвестиционных решений. В этом же направлении действует централизованная
ориентация компаний на общие показатели рентабельности, самофинансирования,
включая прибыль и амортизацию. Это облегчает маневрирование финансовыми
ресурсами и содействует успешному управлению в кризисных ситуациях, приводя в
действие все резервы, использование которых возможно в условиях консолидации
финансовых потоков. Управление финансовыми потоками предполагает развитую
систему внутреннего управленческого учета и аудита, включая непрерывный
мониторинг дебиторской и кредиторской задолженности структурных подразделений
компании и дочерних структур.
Стратегическое управление в первую очередь нацелено на
решение инвестиционных задач: аккумулирование прибыли и амортизационных
отчислений, поиски выгодных условий привлечения акционерного капитала и заемных
средств, развитие форм проектного финансирования. Целью финансового управления
является обеспечение высокой рентабельности собственного и заемного капитала,
позволяющей усилить конкурентные позиции компании в нефтегазовом бизнесе.
Стержнем проводимых финансовых операций является активизация инвестиционной
активности как основного рычага, способного вывести компанию на траекторию
устойчивого развития. Интенсификация инвестиционной деятельности возможна за
счет формирования оптимальной структуры внутренних и внешних источников
финансирования. Компании исходят из того, что размер и структура внутренних
источников финансирования. Компании исходят из того, что размер и структура
внутренних источников являются основным фактором завоевания и сохранения
стратегической устойчивости в условиях резко меняющихся условий внешней среды.
Важное значение в финансовом управлении имеет оптимизация
структуры осуществляемых проектов, решаемая в виде выбора портфеля инвестиций.
Компания должна найти рациональное сочетание быстро окупаемых проектов (в
основном в секторе маркетинга) с долгосрочными, но более доходными
инвестиционными проектами стратегического характера.
Успешное управление финансовыми потоками базируется на
проведении единой амортизационной политики компании, позволяющей осуществлять
обновление производственного аппарата на новой технологической основе.
При управлении финансовыми потоками компании должны
использовать современные финансовые инструменты, распространенные в мировой
практике. Это позволит компании сформировать наилучший инвестиционный портфель
при оптимальном сочетании ценных бумаг с взаимодополняющими характеристиками.
Управление финансовыми потоками требует раскрытия информации, необходимой для
инвесторов при принятии решений о выборе направлений инвестирования и для осуществления
постоянных контактов акционеров с руководством компании. Это предполагает
регулярные меры по привлечению инвесторов и поддержку курса акций.
В задачи финансового управления, нацеленного на
стратегические установки, входит рационализация финансовых потоков на базе
целеустремленной политики управления активами, включающей не только их
модернизацию, но и приобретение новых активов за счет слияний с другими
предприятиями или их поглощения, что способно обеспечивать создание надежного
«стратегического зонтика» для компании. Сами формы приобретения активов могут
быть весьма разнообразны: выкуп пакетов акций, перекрестное владение акциями и
их обмен, слияние, различные смешанные формы.
Очевидно, что важнейшей составной частью эффективного
управления финансовыми потоками является идентификация и управление рисками.
Компании, успешно решающие эти задачи, имеют основания рассчитывать на
увеличение рыночной стоимости и сбалансированную структуру тактических и
стратегических действий.
Бюджетное планирование становится мощным средством
эффективного управления корпорацией, если оно сопровождается постоянными и
четко организованными операциями контроля за результатами деятельности. -
Проведение такого контроля характеризуется следующими особенностями:
· отслеживание результатов деятельности по
бюджетам и планам представляет собой одну из сторон контроля за успехами
деятельности по сравнению с общими задачами;
· каждое подразделение постоянно отслеживает
свои успехи в сравнении с планами, контроль за выполнением поставленных задач
осуществляется через определенные периоды времени, и, кроме того, в практику
внедряется принцип постоянного контроля, контролируется также выполнение задач,
поставленных перед группой и отдельными сотрудниками;
· рассмотрение результатов деятельности
оказывает поддержку менеджменту и ориентировано на будущее, случаи невыполнения
поставленных задач тщательно изучаются;
· обеспечивается показатель эффективности
управления каждого подразделения и возможность проведения сравнительного
анализа;
· гарантируется, что каждое подразделение и
группа / отдельные сотрудники следуют в заданном направлении, внося свой вклад
в достижение целей всей организации;
· позволяет высшему руководству отслеживать
результаты деятельности всей организации;
· позволяет руководителям и персоналу
отслеживать достижения групп и отдельных сотрудников;
· может при правильном проведении быть
инструментом мотивации для подразделений, групп, отдельных сотрудников.
Подведем итоги первой главы. Финансовые потоки с момента
своего возникновения и до окончания существования опосредуют процессы
формирования, распределения и использования фондов денежных средств, мы
разделяем позицию об идентификации их как процессных финансовых потоков.
На основе фактора влияния на экономическое поведение и
финансовые отношения всех участников общественного производства ядро процессных
финансовых потоков составляют бюджетные финансовые потоки группы предприятий.
В первой главе рассмотрены механизмы, позволяющие управлять
процессами на разных этапах управления финансовыми потоками группы предприятий.
Также уделено внимание методам дефицитного финансового
потока, которые зависят от характера этой дефицитности: краткосрочной или
долгосрочной. От метода финансового потока зависят мероприятия, которые ускоряют
привлечение финансирования группы предприятий, соответственно они разделяются
на мероприятия, рассчитанные на краткосрочную и долгосрочную перспективу.
Методы избыточного финансового потока финансирования группы
предприятия связаны с обеспечением роста его инвестиционной активности.
2.
Финансовое положение и управление финансовыми потоками группы предприятий
.1
Организационно-экономическая характеристика группы предприятий
Группа компаний «РОСНО» является одной из крупнейших
страховых групп в России. В нее входят универсальная страховая компания
федерального уровня ОАО СК «РОСНО» и ее дочерние компании: «РОСНО МС», «РОСНО
Центр», СК «Медэкспресс», «Allianz РОСНО Жизнь», «Альянс РОСНО Управление
активами» и «Allianz Украина» с общей численностью сотрудников на 01.01 2012
года 4123 человека.
Акционером РОСНО является ведущий международный страховой
концерн Allianz SE (владеет 99,4% акций).
Главным принципом деятельности Группы компаний РОСНО является
забота о клиентах. Страховые полисы и договоры ГК РОСНО имеют более 17 млн.
человек и свыше 50 тыс. предприятий и организаций.
ОАО СК «РОСНО» создано в 1991 г. и является одной из
крупнейших российских универсальных страховых компаний. В распоряжении ее
клиентов более 130 видов добровольного и обязательного страхования.
Региональная сеть РОСНО насчитывает 100 филиалов, объединенных по
территориальному признаку в 7 дирекций, и 300 агентств во всех субъектах РФ.
Аудиторскую проверку РОСНО по международным стандартам
осуществляет международная аудиторская компания KPMG. РОСНО проводит политику
прозрачности для клиентов, партнеров и акционеров. В 1996 году компания
завершила переход на международные стандарты бухгалтерской и финансовой
отчетности (МСФО). А в 2011 году РОСНО стало первой страховой компанией на российском
рынке, публично представившей результаты своей деятельности на основе
международных стандартов.
РОСНО является одним из лидеров российского страхового рынка
по объему капитализации. Капитал компании на 100% состоит из собственного
акционерного капитала, что обеспечивает дополнительную финансовую надежность и
устойчивость. Уставный капитал - 1 281 200 580 руб. Собственные средства - 8
033 018 тыс. руб., страховые резервы - 20 560 446 тыс. руб. (по состоянию на
30.09.2011).
РОСНО имеет качественную облигаторную перестраховочную защиту
принимаемых рисков. Партнеры компании по перестрахованию - Allianz, Hannover
Re, SCOR, Munich Re, Swiss Re, крупнейшие российские перестраховочные компании.
РОСНО также сотрудничает с брокерскими агентствами корпорации Lloyd’s.
РОСНО - участник 17 страховых пулов, член многих
профессиональных и отраслевых объединений, а также Международной,
Российско-британской, Российско-американской палат и Торгово-промышленной
палаты РФ.
В 2010 году международное рейтинговое агентство Moody’s
Investors Service присвоило РОСНО рейтинг финансовой устойчивости страховщика
по международной шкале на уровне Baа1. Прогноз рейтинга - «стабильный».
Одновременно с этим рейтинговое агентство Moody’s Interfax присвоило РОСНО
рейтинг Ааа.ru по национальной шкале.
В национальном рейтинге страховых компаний России, проводимом
рейтинговым агентством «Эксперт РА», РОСНО седьмой год присваивается наивысший
рейтинг А++ «Исключительно высокий уровень надежности». При определении
рейтинга в 2011 году рейтинговое агентство впервые распространило данную оценку
на Группу компаний (ОАО СК «РОСНО» и СК «РОСНО-МС»).
В 2010 году РОСНО первой среди российских страховых компаний
обеспечила соответствие информационной безопасности основных бизнес-процессов
международным требованиям. Система управления информационной безопасностью
компании прошла сертификационный аудит на соответствие требованиям стандарта
ISO/IEC 27001:2010.
РОСНО - неоднократный лауреат премии «Компания года», в том
числе в 2010 году, и внесено в реестр надежных партнеров ТПП РФ РОСНО -
обладатель Национальной награды в области создания и продвижения брэндов:
Золотой БРЭНД ГОДА/EFFIE 2010.
В 2010 году в рамках проекта Международный Листинг Брэндов
(Brandlisting.com) брэнд РОСНО был оценен агентством V-RATIO Business
Consalting Company в 444,6 млн. долларов США.
РОСНО является победителем ежегодного рейтинга «Народная
Марка» за 2003 и 2010 годы в категории «Страховая компания».
РОСНО является трехкратным победителем в категории «Страховая
компания» в исследовании «Марка Доверия», проводимом журналом «Ридерз
Дайджест». Основные критерии оценки - качество, надежность, положительный имидж
и понимание нужд потребителя.
РОСНО неоднократно присуждались Российские общественные
премии в области страхования «Золотая Саламандра»: «Выбор российского
страхователя» (трижды), «Информационно открытая организация» (трижды),
«Руководитель года в страховании», «Управленческий проект года» в области
качества услуг, «Качество страховых услуг года».
По результатам, подготовленным рейтинговым центром Института
экономических стратегий (ИНЭС), РОСНО три года занимает 1 место в ежегодном
рейтинге «50 наиболее стратегичных страховых компаний».
РОСНО целенаправленно придерживается политики
социально-ответственного бизнеса. Компания традиционно оказывает спонсорскую и
благотворительную поддержку проектам, имеющим социальную значимость. Некоторые
реализованные проекты в самых различных направлениях социально-ответственной
деятельности компании перечислены ниже:
Природоохранная деятельность
С 2009 года РОСНО является Членом корпоративного клуба WWF
Россия (Всемирный фонд дикой природы).
Развитие спорта
РОСНО всегда уделяло большое внимание поддержке
отечественного спорта. В РОСНО застрахованы многие российские спортивные клубы
и команды, федерации по видам спорта и профессиональные спортивные лиги. Восемь
лет подряд компания сотрудничает с Олимпийским комитетом России, являясь
официальным страховщиком членов сборной команды России (в том числе - на
прошедших ХХIX Играх 2011 года в Пекине).
На протяжении двух лет РОСНО являлось титульным спонсором
Московского Международного хоккейного турнира. Особенно запомнился 2008 год,
когда победителем «Кубка РОСНО» стала российская сборная.
Долгосрочное сотрудничество связывает РОСНО с российским
баскетболом. С 2009 года РОСНО обладает титулом «Официальный страховщик
российского баскетбола».
Сохранение культурного наследия России
С 2004 года РОСНО осуществляет поддержку Государственного
Русского музея.
Социальная помощь
Компания стала организатором и приняла участие в ряде
благотворительных акций: выделение средств жертвам Бесланской трагедии, оплата
пребывания в реабилитационном центре народного артиста России Николая
Караченцова, спонсорская поддержка благотворительного марафона «Под флагом
добра», средства от которого были направлены детям, нуждающимся в экстренной
дорогостоящей медицинской помощи. В 2008 году РОСНО поддержало мероприятия,
проводимые в честь празднования 60-летия Победы в Великой Отечественной войне.
Безопасность дорожного движения
РОСНО способствует внедрению не только европейских стандартов
автострахования, но и европейских стандартов безопасности дорожного движения.
Департамент маркетинга и развития бизнеса компании, совместно с ГИБДД, на
регулярной основе проводит акции, направленные на повышение безопасности
дорожного движения и, прежде всего, снижения уровня детского травматизма в
России.
Миссия РОСНО:
Предоставлять клиентам страховые услуги самого высокого
качества;
Находить индивидуальный подход к каждому клиенту и
неукоснительно выполнять взятые на себя обязательства;
Поддерживать финансовую стабильность с учетом принимаемого
риска и ведения эффективного бизнеса;
Способствовать атмосфере профессионализма и лояльности
работников, предоставляя им возможность для профессионального роста и
признания;
Придерживаться наивысших этических и моральных принципов.
РОСНО - победитель в номинации «За продвижение европейских
стандартов в российское страхование» ежегодной премии журнала «Финанс.».
В 2010 году РОСНО удостоилась звания «Страховая компания
года» в ежегодном конкурсе, проводимом деловым еженедельником «Компания» на
основе анализа событий, происходящих на различных рынках.
В 2011 году РОСНО стало победителем в номинации «Лучший
страховщик в перестраховании 2010», учредителем которой выступил оргкомитет
Ежегодной Всероссийской конференции по перестрахованию.
В 2011 году РОСНО удостоилась звания IT-Лидера в области
страхования за выдающийся вклад в развитие информационных технологий в России.
Представители управленческой команды РОСНО не первый год
входят в топ-5 страхового сектора в рейтинге «Топ-1000 российских менеджеров»
(проект Ассоциации менеджеров России и газеты «Коммерсантъ»).
По результатам исследования за 2011 год, организованного
журналом Euromoney, ОАО СК «РОСНО» признана «Лучшей страховой компанией
России».
Свыше 4000 сотрудников РОСНО ежедневно вносят свой вклад в
развитие страхового рынка России, в успешное будущее компании.
В современных условиях предприятия
ориентированы не только на структурное и организационное развитие, но и на
повышение эффективности коммерческой деятельности. Показатели деятельности
предприятия подразделяются на две группы, оценивающие две категории:
экономическую эффективность и экономический эффект. Экономическая эффективность
определяется как соотношение между затратами по вовлеченным производственным,
материальным, финансовым, трудовым ресурсам и полученными результатами.
Экономический эффект - это результат от функционирования предприятия,
выражаемый такими показателями, как выручка, объем продажи товаров, валовой
доход, прибыль.
Проведем анализ динамики страховых премий
и страховых выплат Группы компаний РОСНО (табл. 2.1)
Таблица 2.1. Динамика страховых премий
(взносов) и страховых выплат
|
Вид страхования
|
Общий объем
страховых премий (взносов) (тыс. руб.)
|
|
2005
|
2006
|
2007
|
2008
|
2009
|
2010
|
2011
|
|
Добровольное
страхование:
|
11 816 734
|
9 039 419
|
8 876 351
|
11 252 529
|
17 249 042
|
20 520 101
|
19 507 742
|
|
Страхование
жизни
|
5 329 153
|
1 643 073
|
37 992
|
37 834
|
23 864
|
16 326
|
7 228
|
|
Страхование
иное, чем страхование жизни:
|
6 487 581
|
7 396 346
|
8 838 359
|
11 214 695
|
17 225 178
|
20 503 775
|
19 500 514
|
|
Личное
страхование
|
2 227 515
|
2 797 111
|
3 177 877
|
3 845 334
|
5 852 914
|
6 804 862
|
6 390 039
|
|
Имущественное
страхование
|
3 852 062
|
4 295 896
|
5 205 586
|
6 716 668
|
10 538 169
|
12 868 191
|
12 311 752
|
|
Страхование
ответственности
|
408 004
|
303 339
|
454 896
|
652 693
|
834 095
|
830 722
|
798 723
|
|
Обязательное
страхование
|
19 771
|
473 617
|
1 260 709
|
1 693 043
|
2 846 128
|
3 566 351
|
3 212 621
|
|
Итого премий
|
11 836 505
|
9 513 036
|
10 137 060
|
12 945 572
|
20 095 170
|
24 086 452
|
22 720 363
|
|
Добровольное
страхование:
|
14 327 798
|
5 128 329
|
3 712 321
|
4 244 199
|
6 110 440
|
9 108 443
|
10 122 393
|
|
Страхование
жизни
|
11 901 225
|
2 169 893
|
94 423
|
15 550
|
29 492
|
128 488
|
11 744
|
|
Страхование
иное, чем страхование жизни:
|
2 426 573
|
2 958 436
|
3 617 898
|
4 228 649
|
6 080 948
|
8 979 955
|
10 110 649
|
|
Личное
страхование
|
1 245 716
|
1 525 099
|
1 856 053
|
1 928 120
|
2 634 462
|
3 472 048
|
4 156 473
|
|
Имущественное
страхование
|
1 055 951
|
1 342 670
|
1 728 376
|
2 266 792
|
3 394 098
|
5 411 824
|
5 867 116
|
|
Страхование
ответственности
|
124 906
|
90 667
|
33 469
|
33 737
|
52 388
|
96 083
|
87 060
|
|
Обязательное
страхование
|
7 777
|
25 369
|
296 141
|
591 071
|
980 708
|
1 651 217
|
1 937 696
|
|
Итого выплат
|
14 335 575
|
5 153 698
|
4 008 462
|
4 835 270
|
7 091 148
|
10 759 660
|
12060089
|
|
Разница между
премиями и выплатами
|
-2 499 070
|
4 359 338
|
6 128 598
|
8 110 302
|
13004022
|
13326792
|
10660274
|
В 2011 г. общий объем страховых премий
(взносов) составил 22 720 млн. рублей. Наибольшая часть страховых взносов
приходится на имущественное и личное страхование. В 2011 г. страховые премии
(взносы) по договорам страхования и договорам, принятым в перестрахование,
составили: по страхованию иному, чем страхование жизни - 22 713 млн. руб., в
том числе
добровольное личное страхование - 6 390
млн. руб.;
добровольное имущественное страхование -
12 312 млн. руб.;
добровольное страхование ответственности -
799 млн. руб.;
обязательное страхование - 3 212 млн. руб.
ОАО СК «РОСНО» своевременно и в полном объеме выполняет свои
обязательства перед страхователями. Общий объем страховых выплат в 2011 г.
составил 12 060 млн. рублей. Наибольший рост страховых выплат был отмечен в
страховании автомобильного транспорта и добровольном медицинском страховании.
Одним из основных экономических
показателей хозяйственной деятельности торгового предприятия является выручка.
В предприятии выручка выражается в объеме
денежной выручки за - по ее размеру можно судить о значимости данного
предприятия на потребительском рынке.
Проанализировав выручку «РОСНО» на основе
документов бухгалтерской отчетности (все данные сведены в таблицу 2.2.), можно
сделать вывод, что выручка всей продукции предприятия в 2010 году по сравнению
с 2009 годом вырос на 53,2%, а в 2011 по сравнению с 2010 годом увеличился на
44,7%.
Используя данные бухгалтерской отчетности,
был проведен анализ состояния товарных запасов «РОСНО». В результате которого
выявлены следующие изменения страховых резервов. Объем страховых резервов
компании в 2010 году по сравнению с 2009 годом снизился на 41,1%, а в 2011 по
сравнению с 2010 годом напротив увеличился на 9,2%.
Это говорит о том, что данная компания
стремится к увеличению своих страховых резервов.
Издержки обращения - это выраженные в
денежной форме затраты живого и овеществленного труда, необходимые для
доведения товаров (услуг) от производителя (поставщика) до потребителя. Анализ
издержек может проводиться как в целом, так и по отдельным статьям.
Используя данные бухгалтерской отчетности,
был проведён анализ издержек обращения компании «РОСНО», в результате, которого
выявлены следующие изменения:
Общие издержки обращения предприятия в
2010 году по сравнению с 2009 годом выросли на 34,1%, а в 2011 по сравнению с
2010 годом увеличились на 1,3%. Затраты на оплату труда с отчислениями на
социальные нужды также увеличились в 2010 году по сравнению с 2009 годом на
1,3%, а в 2011 по сравнению с 2010 годом увеличились на 0,8%. Материальные
затраты, включаемые в себестоимость продукции возросли аналогично в 2010 году
по сравнению с 2009 годом на 47,6%, а в 2011 по сравнению с 2010 годом
уменьшились на 0,25%. Затраты на амортизацию уменьшились в 2010 году по
сравнению с 2009 годом на 6,2%, а в 2011 по сравнению с 2010 годом увеличились
на 21%. Прочие затраты увеличились в 2010 году по сравнению с 2009 годом на
42,2%, а в 2011 по сравнению с 2010 годом увеличились на 70,4%.
Далее необходимо рассчитать абсолютную
сумму издержек обращения и ее изменение в динамике.
Разница между абсолютными значениями
величины издержек обращения в динамике называется показателем абсолютного
перерасхода (или экономии) издержек.
где ∆∑И.О. - абсолютный
перерасход (экономия) издержек обращения;
∑И1 - абсолютная сумма издержек в
отчетном периоде;
∑Иб - абсолютная сумма издержек в
базовом периоде.
736466 - 549383 = +187083 тыс. рублей.
Таким образом, предприятие на 2010 год
имело перерасход издержек на 210 тыс. рублей
Абсолютная перерасход издержек обращения кооператива в 2011
году:
746004 - 736466 = + 9538 тыс. рублей.
Соответственно, предприятие на 2011 год
имело перерасход издержек на 739 тыс. рублей
Изучим относительный уровень издержек
обращения, который рассчитывается по следующей формуле:
где УИО - относительный уровень издержек
обращения (%);
Σ
И.О. -
абсолютная сумма издержек обращения за определенный период времени;
Т / Об - выручка торгового предприятия за
тот же период времени.
Относительный уровень издержек обращения компании в 2009
году:
УИО = 549383 / 457821 * 100% = 119,9%
Таким образом, предприятие на 2009 год имело долю издержек
обращения в объеме выручка предприятия 119,9%, что говорит превышение затрат
над выручкой предприятия «РОСНО».
Относительный уровень издержек обращения в 2010 году
УИО = 736466 / 701147 * 100% = 105%
В результате, предприятие на 2009 год имело долю издержек
обращения в объеме выручка предприятия 105%, что говорит превышение затрат над
выручкой компании.
Относительный уровень издержек обращения кооператива в 2011
году УИО = 746004 / 802570 * 100% = 92,9%
Это означает, что предприятие на 2011 год имело долю издержек
обращения в объеме выручка предприятия 92,9%, что говорит о положительной
тенденции к снижению затрат над выручкой компании.
Отклонение относительного уровня издержек обращения от
базового (планового или предыдущего периода) называется размером снижения (или
повышения) уровня издержек обращения, который рассчитывается по следующей
формуле:
РС = Уф - Уб,
где РС - размер снижения (повышения)
уровня издержек обращения, %.
Уф - фактический уровень издержек
обращения (в процентах к выручке);
Уб - Уровень издержек обращения базового
периода (плановый или предыдущий в процентах к выручке).
Размер снижения (повышения) уровня издержек обращения
компании в 2010 году: 105 - 119,9 = - 14,9%
Размер снижения (повышения) уровня издержек обращения
предприятия в 2011 году: 92,9 - 105 = -12,1%
Таким образом, можно сказать, что доля издержек обращения в
выручке предприятия на протяжении трех годов (2009, 2010, 2011) незначительно
снизился, так в 2010 по сравнению с 2009 это снижение составило 14,9%, а в 2011
по сравнению с 2010 уменьшился на 12,1% (данные расчета сведены в таблицу 2.2).
Рассчитаем темп изменения издержек
обращения, который показывает, на сколько процентов изменился уровень издержек
обращения по отношению к базовому уровню, если последний принять за 100%. Для
расчета темпа изменения издержек обращения используется следующая формула:
где Т - темп изменения издержек обращения
(%);
Уф - фактический уровень издержек
обращения (в процентах к выручке);
Убаз - уровень издержек обращения базового
(планового, либо предыдущего) периода (в процентах к выручке).
Темп изменения издержек обращения в 2009
году составил:
Т = (105 - 119,9) / 119,9 * 100% = - 12,4%
Темп изменения издержек обращения в 2010
году составил:
Т = (92,9 - 105) / 105 * 100% = - 11,5%
Расчет показал, что в 2010 году по
сравнению с 2009 годом темп изменения издержек обращения снизился на 12,4%, а в
2011 по сравнению с 2010 уменьшился на 11,5%. Это говорит о постепенном
снижении издержек обращения по отношению к выручке предприятия.
По размеру изменения (снижения или
повышения) уровня издержек обращения определяют сумму их относительной экономии
(перерасхода) и дают оценку соблюдению сметы издержек обращения в целом по
торговому предприятию.
Проведем расчет относительной экономии
(перерасхода) издержек обращения, используя следующие формулы:

или 
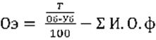
где Оэ - сумма относительной экономии (перерасхода) издержек
обращения (руб.);
Т / Обф - фактический выручка торгового предприятия за период (руб.);
Уф - фактический уровень издержек обращения торгового предприятия
за период (в процентах к выручке);
Уб - уровень издержек обращения торгового предприятия в базовом
(плановом, предыдущем) периоде (в процентах к выручке);
∑И.О.ф - фактическая сумма издержек обращения торгового
предприятия за период (руб.).
Сумма относительной экономии (перерасхода) издержек обращения в
2010 году составила:
Оэ = (701147 * (-14,9)) / 100% = - 104470,9 тыс. рублей
Сумма относительной экономии (перерасхода) издержек обращения в
2011 году составила:
Оэ = (802570 * (-12,1)) / 100% = - 97110,9 тыс. рублей
Таким образом, в результате хозяйственной деятельности компании в
2010 году была достигнута экономия издержек обращения в 104470,9 тыс. рублей, в
2011 году была также достигнута экономия, но в несколько меньшем размере -
97110,9 тыс. рубля.
Используя данные бухгалтерской отчетности (все данные сведены
в таблицу 2.2) нужно проанализировать валовой доход и прибыль
сельскохозяйственного предприятия за три года работы.
Таблица 2.2 Экономические показатели хозяйственной
деятельности.
|
Показатели
|
2009 (тыс.
руб.)
|
2010 (тыс.
руб.)
|
2011 (тыс.
руб.)
|
2010 к 2009 (%)
|
2011 к 2010 (%)
|
2010 к 2009
(+,-)
|
2011 к 2010
(+,-)
|
|
1. Выручка
|
457821
|
701147
|
802570
|
+53,2
|
+44,7
|
+243326
|
+101423
|
|
2. Издержки
обращения
|
549383
|
736466
|
746004
|
+34,1
|
+1,3
|
+187083
|
+9538
|
|
2.1. Затраты на
оплату труда с отчислениями на соц. нужды
|
141488
|
143266
|
144364
|
+1,3
|
+0,8
|
+1778
|
+1098
|
|
2.2.
Материальные затраты
|
381122
|
562555
|
561125
|
+47,6
|
-0,25
|
+181433
|
-1430
|
|
2.3.
Амортизация
|
20616
|
21893
|
26500
|
+6,2
|
+21
|
+1277
|
+4607
|
|
2.4. Прочие
|
6157
|
8752
|
14915
|
+42,2
|
+70,4
|
+2595
|
+6163
|
|
3. Валовой
доход
|
-10754
|
58783
|
113802
|
+446,6
|
+93,6
|
+69537
|
+55019
|
|
4. Чистая
прибыль
|
-15249
|
44051
|
58873
|
+188,9
|
+33,7
|
+59300
|
+14822
|
|
5.
Себестоимость
|
468575
|
642364
|
688768
|
+37,1
|
+7,2
|
+173789
|
+46404
|
|
6.
Рентабельность (%)
|
-3,3
|
+6,3
|
+7,4
|
-
|
-
|
+1,9
|
+1,1
|
|
7. Затраты на
маркетинг
|
640
|
680
|
1200
|
+6,25
|
+76,5
|
+40
|
+520
|
Валовой доход торгового предприятия - это
выручка от реализации товаров и услуг (выручка) за вычетом затрат на оплату
стоимости полученных от поставщиков товаров. Экономическое назначение валового
дохода - возмещение издержек обращения, уплата налогов, сборов и образование
прибыли.
Основная часть валового дохода формируется за счет торговой
деятельности. В общем виде валовой доход рассчитывается по следующей формуле:
ВД = Н + У + П;
где ВД - валовой доход; Н - надбавка торгового предприятия, У
- стоимость оказанных услуг; П - прочие доходы.
Валовой доход предприятия в 2010 году по сравнению с 2009
годом увеличился на 69537 тыс. рублей, а в 2011 году по сравнению с 2010 годом
вырос на 55019 тыс. рублей.
Прибыль от торговой деятельности - это разность между валовым
доходом и затратами на реализацию товаров (издержками обращения). Прибыль
является результирующим показателем хозяйственной деятельности торгового
предприятия.
Прибыль предприятия «РОСНО» в 2010 году по сравнению с 2009
годом увеличился на 59300 тыс. рублей, а в 2011 году по сравнению с 2010 годом
выросла на 14822 тыс. рублей.
Таким образом, в результате проведения анализа показателей
эффективности деятельности «РОСНО» были сделаны следующие выводы:
В 2009 году компания находилась в кризисной ситуации, когда
предприятие ушло в убыток, недополучив чистой прибыли на сумму 15249 тыс.
рублей.
В 2010 году ситуация стала исправляться предприятие получило,
наконец то, прибыль в размере 44051 тыс. рублей, что в процентном отношении
означает увеличение на 188,9% по сравнению с прошлым годом. При этом общий
выручка увеличился на 53,2%, запасы продукции были уменьшены на 9,8%.
Положительным моментом является здесь экономия издержек обращения на сумму
104470,9 тыс. рублей.
В 2011 году благоприятная тенденция выхода из кризиса
сохранилась, предприятие получило прибыль на 33,7% больше, чем в 2010 году.
Общий выручка также вырос на 44,7%, товарные запасы увеличились на 1,3%.
Предприятие сумело сократить издержки обращения на 97110,9 тыс. рублей.
Рассмотрим темп изменения издержек обращения за три года в
процентном отношении. Затраты на оплату труда с отчислениями на соц. нужды
составили: в 2009 г. - 25,7%, в 2010 г. - 19,5%, в 2011 г. - 19,4%, наблюдается
уменьшение к 2011 году относительно 2009 года на 6,3%. Самая большая группа
затрат - материальные, наоборот увеличились на 5,8%: в 2009 г. - 69,4%, в 2010
г. - 76,4%, в 2011 г. - 75,2%. Амортизация составила: в 2009 г. - 3,75%, в 2010
г. - 3,0%, в 2011 г. - 3,6%. Прочие затраты составили: в 2009 г. - 1,15%, в
2010 г. - 1,1%, в 2011 г. - 1,8%.
В результате можно сказать, что на предприятии «РОСНО» за три
года хозяйственной деятельности появилась положительная тенденция, компания
смогла значительно улучшить производственно - хозяйственную ситуацию.
2.2
Анализ финансового состояния группы предприятий
Бухгалтерская (финансовая) отчетность является информационной
базой для анализа деятельности страховщика. Для финансового анализа основной и
доступной является публичная отчетность: форма №1 - страховщик «Бухгалтерский
баланс страховой организации», форма №2 - страховщик «Отчет о прибылях и
убытках страховой организации» Бухгалтерский баланс представляет собой способ
периодического обобщенного выражения состояния средств страховой организации на
определенную дату.
Бухгалтерский баланс в первую очередь дает возможность
проанализировать общее финансовое состояние страховщика, представляя данные о
средствах (активах) и их источниках (пассивах). Структурно баланс страховой
организации состоит из двух крупных блоков - актива и пассива. Условно в активе
выделяются внеоборотные и оборотные активы, в пассиве - капитал и резервы,
страховые резервы, долгосрочные и краткосрочные обязательства.
Таблица 2.3. Анализ динамики и структуры баланса страховой
компании
|
Актив
|
На начало
периода
|
На конец
периода
|
Абсол. откл,
тыс. руб.
|
Темп роста, %
|
|
тыс. руб.
|
% к итогу
|
тыс. руб.
|
% к итогу
|
|
|
|
Иммобилизован
ные активы:
|
|
|
|
|
|
|
|
Основные
средства;
|
2085955
|
7,99
|
2077344
|
7,53
|
-8611
|
99,6
|
|
нематериальные
активы;
|
920
|
0,003
|
903
|
0,003
|
-17
|
98,2
|
|
незаверш-е
строит-во;
|
110406
|
0,42
|
107843
|
0,39
|
-2563
|
97,7
|
|
мобил-е обор-е
средства:
|
23916802
|
|
25415024
|
|
|
|
|
инвестиции;
|
17044827
|
65,27
|
16588792
|
60,1
|
-456035
|
97,3
|
|
материалы и
предметы потр-я;
|
142555
|
0,54
|
142897
|
0,52
|
342
|
100,0
|
|
д/з по опер-ям
страх-я и состр-я;
|
3333264
|
12,76
|
4402444
|
15,95
|
1069180
|
132,1
|
|
д/з по опер-ям
перестр-я;
|
433963
|
1,66
|
528035
|
1,91
|
94072
|
121,7
|
|
прочая д/з;
|
935728
|
3,58
|
1226033
|
4,44
|
290305
|
131,0
|
|
доля перестр-в
в страх-х резервах;
|
1298192
|
4,97
|
1611221
|
5,84
|
313029
|
124,1
|
|
ден. сред-ва и
ЦБ;
|
724174
|
2,77
|
911529
|
3,3
|
187355
|
125,9
|
|
отложенные нал.
активы;
|
2
|
0
|
2
|
0
|
0
|
100,0
|
|
иные активы;
|
4097
|
0,02
|
4071
|
0,02
|
-26
|
99,4
|
|
ИТОГО:
|
26114083
|
100
|
27601114
|
100
|
|
|
|
Пассив
|
На начало
периода
|
На конец
периода
|
Абсол. откл,
тыс. руб.
|
Темп роста, %
|
|
тыс. руб.
|
% к итогу
|
тыс. руб.
|
% к итогу
|
|
|
|
собственный капитал:
|
|
|
|
|
|
|
|
Уставный
капитал;
|
1184180
|
4,53
|
1281201
|
4,64
|
97021
|
108,2
|
|
Резервный капитал;
|
59152
|
0,22
|
59152
|
0,22
|
0
|
100,0
|
|
Добавочный
капитал;
|
2700007
|
10,34
|
5731121
|
20,76
|
3031114
|
212,3
|
|
фонды спец-го назначения;
|
-
|
-
|
-
|
-
|
-
|
-
|
|
нераспред-я прибыль;
|
1839671
|
7,1
|
1887283
|
6,84
|
47612
|
102,6
|
|
страх-е резервы и заемный капитал:
|
|
|
|
|
|
|
|
Страховые резервы;
|
15940934
|
61,0
|
17184762
|
62,26
|
1243828
|
107,8
|
|
резерв предуп-х мероприятий;
|
132993
|
0,51
|
136693
|
0,5
|
3700
|
102,8
|
|
к/з по опер-ям
страх-я и состр-я;
|
271744
|
1,04
|
207798
|
0,75
|
-63946
|
76,5
|
|
к/з по опер-ям перестр-я;
|
570255
|
2,18
|
809058
|
2,93
|
238803
|
141,9
|
|
к/з по налогам
и сборам;
|
70096
|
0,27
|
54271
|
0,2
|
-15825
|
77,4
|
|
к/з по оплате
труда;
|
122
|
0
|
83385
|
83263
|
68348,4
|
|
прочая к/з;
|
3317681
|
12,7
|
143511
|
0,52
|
-3174170
|
4,3
|
|
прочие пассивы;
|
27248
|
0,1
|
22879
|
0,1
|
-4369
|
83,9
|
|
ИТОГО:
|
26114083
|
100
|
27601114
|
100
|
|
|
Анализируя динамику и структуру актива и пассива баланса
можно сказать, что стоимость имущества компании за отчетный период возросла на
1487031 тыс. руб., наибольший рост отмечается по денежным средствам 25,9%
(+187355 тыс. руб.), по долям перестраховщиков в страховых резервах 24,1%
(+313029 тыс. руб.), так же существенно увеличился добавочный капитал 112,3%
(+3031114 тыс. руб.).
Общая стоимость имущества страховой компании на начало
отчетного периода - 26114083 тыс. руб., на конец отчетного периода - 27601114
тыс. руб., то есть увеличилась за отчетный период на 1487031 тыс. руб.
Стоимость внеоборотных активов составила: на начало отчетного
периода - 19242108 тыс. руб.; на конец отчетного периода - 18774882 тыс. руб.
Уменьшилась на 467226 тыс. руб. Уменьшение, в основном, произошло за счет
снижения доходов от финансовых вложений.
Стоимость оборотных средств: на начало отчетного периода -
23916802 тыс. руб.; на конец отчетного периода - 25415024 тыс. руб. Увеличилась
на 1498222 тыс. руб.
Сумма свободных денежных средств: на начало отчетного периода
- 724174 тыс. руб.; на конец отчетного периода - 911529 тыс. руб. Увеличилась
на 187355 тыс. руб.
Стоимость собственного капитала: на начало отчетного периода
- 5783010 тыс. руб.; на конец отчетного периода - 8958757 тыс. руб. Увеличилась
на 3175747 тыс. руб. Увеличение произошло за счет увеличения уставного и
добавочного капитала компании.
Ликвидность баланса - это степень покрытия обязательств
предприятия активами, срок превращения которых в денежные средства
соответствует сроку погашения обязательств. От степени ликвидности баланса
зависит платежеспособность предприятия.
Сгруппируем активы баланса по степени ликвидности в порядке
убывания и пассивы баланса по срокам погашения в порядке возрастания сроков.
Баланс считается абсолютно ликвидным, если имеются следующие
соотношения А1>П1; А2>П2; А3>П3; А4<П4 (табл. 2.4).
Таблица 2.4. Анализ ликвидности баланса страховой компании
|
актив
|
нач. период
|
кон. период
|
пассив
|
нач. период
|
кон. период
|
платежный
излишек (недостаток)
|
|
|
|
|
|
|
нач.
|
кон.
|
|
А1
|
724174
|
911529
|
П1
|
4180901
|
1291751
|
3456727
|
380222
|
|
А2
|
4703565
|
6157098
|
П2
|
209238
|
165844
|
-4494327
|
-5991254
|
|
А3
|
10044025
|
8850883
|
П3
|
8631842
|
9541479
|
-1412183
|
690596
|
|
А4
|
10642319
|
11681604
|
П4
|
13092102
|
16602040
|
2449783
|
4920436
|
|
БАЛАНС
|
26114083
|
27601114
|
БАЛАНС
|
26114083
|
27601114
|
0
|
0
|
Сравнивая итоги групп видно, что баланс абсолютно ликвиден.
Для комплексной оценки ликвидности баланса рассчитаем и
проанализируем коэффициенты ликвидности баланса (табл. 2.5):
коэффициент абсолютной ликвидности баланса
К а.л.б. = А1/П1
- коэффициент текущей ликвидности баланса
К т.л.б. = ОбС-РБП/П1+П2
Таблица 2.5. Анализ коэффициентов ликвидности баланса
|
коэф-т
|
нач. период
|
кон. период
|
изменение
|
|
К а.л.б. =
А1/П1
|
0,17
|
0,71
|
0,54
|
|
К т.л.б.
= ОбС-РБП/П1+П2
|
5,43
|
17,44
|
12,01
|
Общий показатель платежеспособности:
Кп = (А1+0,5*А2+0,3*А3)/(П1+0,5*П2+0,3*П3)
на конец:
(911529+0,5*6157098+0,3*8850883)/(1291751+0,5*165844+0,3*9541479)=1,57
Кп
и находится в оптимальном значении
Все условия ликвидности выполняются, баланс страховой компании
можно считать ликвидным. Анализируя текущую и перспективную ликвидность видим,
что неравенства А1+А2
П1+П2 и А3+А4
П3+П4 выполняются, что говорит о том, что
в ближайшее время и в перспективе страховая компания платежеспособна.
Финансовая устойчивость - это составная часть общей устойчивости
предприятия, сбалансированность финансовых потоков, наличие средств,
позволяющих организации поддерживать свою деятельность в течение определенного
периода времени.
коэффициент автономии
К авт. = СК/ВБ
где СК - Собственный капитал,
ВБ - Валюта баланса.
на начало = 578301/26114083=0,02
на конец =8958757/27601114=0,32
Коэффициент возрастает к концу периода по сравнению с началом, что
говорит о положительной динамике развития.
коэффициент финансовой зависимости
К ф.з. = (СР+О)/ВБ
где СР - страховые резервы,
О - обязательства страховой компании.
на начало = (15940934+4390139)/26114083=0,78
на конец =(17184762+1457595)/27601114=0,68
Снижение показателя финансовой зависимости говорит о снижении
привлеченных средств в структуре баланса, что свидетельствует о росте
финансовой устойчивости.
коэффициент финансового левериджа
К ф.л. = СР/СК
на начало = 15940934/578301=27,57
на конец =17184762/8958757=1,92
Снижение показателя финансового левериджа говорит о том, что
растет резервный потенциал страховой компании.
коэффициент маневренности собственных средств
К м. = (ДЗП+З+ДС)/СК
на начало = (935726+142555+724174)/5783010=0,31
на конец =(1226033+142897+911529)/8958757=0,25
где ДЗП - прочая дебиторская задолженность, платежи по которой
ожидаются в течение 12 месяцев,
З - запасы,
ДС - денежные средства.
Показатель находится в пределах нормы.
коэффициент рентабельности собственного капитала
К р. ск н = ЧП н /((СКпред.пер.+СК
н)/2)
К р. ск н = 159744 /((0,95*5783010+5783010)/2)=0,03
К р. ск к = ЧП к /((СКн+СК
к)/2)
К р. ск к = 29130 /((5783010+8958757)/2)=0,004
Где ЧПн и ЧПк - чистая прибыль на начало и
конец отчетного периода соответственно.
Снижение показателя рентабельности говорит о неправильно выбранной
стратегии развития компании.
В теории финансового анализа выделяют следующие показатели оценки
достаточности страховых резервов:
) показатель достаточности страховых резервов
К дос.ср. = (СР-ДПСР)/(стр. (010+080 - (050+160)))
где ДПСР - доля перестраховщиков в страховых резервах,
стр. 010, 080, 050, 160 - код строк в отчете о прибылях и убытках
страховой организации
на начало = (15940934-1298192)/(5275+6257583 - (569+846237))=2,7
на конец = (17184762-1611221)/(1312+5338695 - (96+476697))=3,2
Показатель больше единицы, что говорит о достаточности страховых
резервов у компании.
) показатель изменения страховых резервов
Кизм.н. =(СРн - СРпред..пер)/ СРн
=(15940934-0,85*15940934)/ 15940934=0,15
Кизм.к. =(СРк - СРн)/ СРк=(17184762-15940934)/
17184762=0,07
Снижение показателя изменения страховых резервов свидетельствует
об уменьшении ответственности страховой компании по договорам.
Рассчитаем показатели зависимости страховой компании от
перестраховщиков, характеризующие их участие в страховой деятельности,
зависимость финансового состояния компании от них и эффективность перестраховочной
защиты.
) удельный вес премии, переданной в перестрахование
Ку.п.в.с.п= страховая премия по рискам, переданным в
перестрахование /страховая премия - всего
на начало = (40+1512688)/(7770271+5315)=0,19
на конец =(39+921671)/(1351+6260366)=0,15
Значение показателя находятся в оптимальных пределах
) участие перестраховщиков в состоявшихся
убытках, выплатах страхового возмещения и страховых сумм служит для оценки
эффективности перестраховочной защиты путем сопоставления с показателем участия
перестраховщиков в страховой премии
Ку.п.в.с.у=доля перестраховщиков в страховых выплатах
(состоявшихся убытках)/страховые выплаты (состоявшиеся убытки) - всего
на начало = (0+65865)/(58693+2349920)=0,03
на конец =(0+54025)/(2712189+3172)=0,02
Снижение показателя говорит о недостаточной эффективности
перестраховочной защиты.
) показатели участия перестраховщиков в страховых резервах
(незаработанной премии, убытках, по страхованию жизни) отражают зависимость
способности СК к выполнению обязательств от надежности перестраховщиков.
Ку.п.в.с.р = доля перестраховщиков в страховых резервах
/ величина страховых резервов:
на начало = (65865+0)/ 15940934=0,004
на конец =(54025+0)/17184762=0,003
Так, как показатель близок к нулю, то можно говорить о чрезмерной
зависимости страховой компании от надежности перестраховщиков.
) доля комиссионного вознаграждения и тантьем по рискам,
переданным в перестрахование, в страховых взносах, переданных в
перестрахование, служит для определения эффективности перестраховочной защиты с
точки зрения покрытия расходов на ведение дел прямого страховщика
перестраховочной комиссией
Кд.к.в.к= комиссионное вознаграждение и тантьемы по
рискам, переданным в перестрахование/ страховые взносы по рискам, переданным в
перестрахование
на начало = (32460+0)/ (40+1512688)=0,02
на конец =(25042+0)/(39+921671)=0,03
За отчетный период наблюдается рост эффективности перестраховочной
защиты с точки зрения покрытия расходов на ведение дел прямого страховщика
перестраховочной комиссией.
) показатель зависимости результата страховой и
инвестиционной деятельности от доходов по перестрахованию
Кз.р.= комиссионное вознаграждение и тантьемы по
рискам, переданным в перестрахование/ технический результат страховой и
инвестиционной деятельности
на конец =(25042+0)/(709+1244039+(27775-328035))= 0,03
Значение показателя находится в пределах оптимального.
Рентабельность показывает, какую прибыль получает страховщик с
каждого рубля страховых платежей и увязывает размер прибыли как источника
финансовых ресурсов с объемом выполненной работы по формированию страхового
фонда.
Для проведения анализа рентабельности страховой деятельности
необходимо рассчитать следующие показатели по данным отчета о прибылях и
убытках страховой организации.
) коэффициент убыточности
Куб.н = Стр.
(100-112)/(010+080)=(2448760-65865)/(5275+6257583)=0,38
Куб.к = Стр. (100-112)/(010+080)=
(2587789-54025)/(1312+5338695)=0,47
Повышение показателя свидетельствует об увеличении убыточности и
снижении рентабельности страховой компании.
) коэффициент доли перестраховщиков
Кд.п..н =Стр.
(012+082)/(010+080)=(40+1512688)/(5275+6257583)=0,24
Кд.п..к =Стр.
(012+082)/(010+080)=(39+921671)/(1312+5338695)=0,17
Снижение показателя говорит об уменьшении перестраховочных
операций.
) коэффициент расходов
Красх.н =Стр. (050+160)/(010+080)=(569+846237)/
(5275+6257583)=0,13
Красх.к =Стр. (050+160)/(010+080)=(96+476697)/
(1312+5338695)=0,09
Показатель говорит о том, что доля расходов страховщика в
страховых доходах снизилась.
) коэффициент уровня доходов по инвестициям
Ку.д.и.н=Стр. (020+180 -
(060+190))/(010+080)=(233+341033 - (69+101180))/(5275+6257583)=0,04
Ку.д.и.к =Стр. (020+180 -
(060+190))/(010+080)=(97+449846 - (71+328035)/ (1312+5338695)=0,02
Уменьшение показателя свидетельствует об уменьшении доходности от
инвестирования.
) коэффициент эффективности инвестиционной деятельности
Кэф.н=Стр. ((180+120) - (060+190))/(120+130)=
=(341033+(-164705)) - (69+101180))/(17044827+8292348)= 0,003
Кэф.к=Стр. ((180+120) - (060+190))/(120+130)=
=((449846+70375) - (71+328035))/(16588792+9343224)= 0,01
Увеличение коэффициента говорит об улучшении инвестиционных
проектов, что свидетельствует о повышении рентабельности.
6) коэффициент рентабельности
Кобщ. =1+ Ку.д.и.к - (Куб.к + Кэф.к
+ Красх.к)
на начало = 1+0,04 - (0,38+0,003+0,13)=0,53
на конец = 1+0,02 - (0,547+0,01+0,09)=0,45
Коэффициент больше 0, значит деятельность компании рентабельна
) коэффициент рентабельности капитала
Кр.к. н = Пн/СК=218361/5783010=0,04
Кр.к. к = Пн/СК=134333/8958757=0,01
В динамике видно, что рентабельность капитала за отчетный период
снизилась.
) коэффициент рентабельности страховой деятельности
Кр.с.д.н = Пн/РВД=218361/(-846237-569)= - 0,26
Кр.с.д.к = Пн/РВД = 134333/(-476697-96)= - 0,28
Изменение показателя говорит о том, что эффективность деятельности
компании за отчетный период возросла.
Стабильность финансового положения компании обусловлена
главным образом деловой активностью. Оценивая динамику основных показателей
необходимо сопоставить темпы их изменения. Наиболее оптимальным является
следующее соотношение:
ТПн> ТР> ТА>100%,
0,6 >0,85>1,06
где ТПн> ТР> ТА -
темпы изменения соответственно прибыли до налогообложения, объема реализации,
суммы активов.
В данном случае мы видим, что соотношение не является
оптимальным, так как прибыль уменьшилась.
Рассчитаем и проанализируем коэффициенты характеризующие
деловую активность страховой организации:
) коэффициент оборачиваемости активов:
Коа.н=ПСП/А=Стр.
(10+80)/активы=(5275+6257583)/26114083=0,24
Коа.к=ПСП/А=Стр. (10+80)/активы=(1312+5338695)/27601114=0,19
где ПСП - страховые премии - нетто перестрахование.
Понижение показателя говорит об ухудшении эффективности
оборачиваемости активов.
) коэффициент оборачиваемости собственного капитала
Кск.н=ПСП/СК=Стр. (10+80)/СК==(5275+6257583)/5783010=1,08
Кск.к=ПСП/СК=Стр.
(10+80)/СК=(1312+5338695)/8958757=0,6
Уменьшение показателя говорит о снижении эффективности
оборачиваемости собственного капитала.
) оборачиваемость инвестируемых активов
Киа.н=ДИ/(И+ФВ)=стр. (20+180)/стр. б. (120+130)
=(233+341033)/ (17044827+8292348)=0,01
Киа.к=ДИ/(И+ФВ)= стр. (20+180)/стр. б. (120+130)
= (97+449846)/ (16588792+9343224)=0,02
где ДИ - доходы по инвестициям,
И- инвестиции,
ФВ - финансовые вложения.
Оборачиваемость инвестируемых активов в динамике
увеличивается, соответственно увеличивается и деловая активность.
Финансовое состояние предприятия не может быть выражено
каким-либо одним показателем. Оно характеризуется рядом показателей, каждый из
которых отражает лишь конкретную сторону финансовой деятельности, и цельное
суждение об этом можно получить, только оценивая всю совокупность частных
показателей.
В распоряжении аналитика имеется множество специальных
инструментов, основанных на специфической финансовой отчетности или ее
составляющих. Целью анализа бухгалтерской отчетности является определение
финансовой состоятельности предприятия и его финансовых результатов, а также
выявление путей повышения эффективности бизнеса.
Такие специфические инструменты анализа включают анализ
движения денежных средств, информацию отчетности о колебаниях валового дохода и
т.д. Так как решить все проблемы сразу нельзя, комплексный анализ представляет
собой не единичный акт, а сложный многофазовый процесс, совокупность
исследовательских шагов в поисках оптимального результата.
Анализ финансового состояния охватывает различные виды
анализа, с тем чтобы достоверно оценить сложившееся финансовое положение
хозяйствующего субъекта и выявить причины, вызвавшие его, а также указать на
имеющиеся возможности и резервы улучшения финансового состояния.
Анализируя данное предприятие, можно говорить о многих
недостатках в стратегии развития компании. Положительно можно отметить
увеличение свободных денежных средств и собственного капитала. Также
наблюдается повышение финансовой устойчивости и рост резервного потенциала
страховой компании. В отрицательных моментах необходимо отметить снижение
рентабельности и доходности от инвестиций. Недостаточно эффективная
перестраховочная защита и чрезмерная зависимость от надежности перестраховщиков
свидетельствуют о неправильной политике в отношении деятельности и развития
перестрахования.
В целом, компанию можно считать рентабельной, имеющей
перспективы развития, и на данный период времени - платежеспособной, что
является ключевым показателем деятельности предприятия. Но нельзя забывать о
необходимости вовремя исправлять ошибки.
Для повышения финансовой устойчивости необходимо направлять
часть прибыли на увеличение собственного капитала.
Уменьшению потребности в заемном капитале способствует и ускорение
оборачиваемости капитала.
При анализе финансового состояния исследуемой компании
следует обратить внимание на факторы, характеризующие ее финансовую
устойчивость и нормальное финансовое состояние, обеспечивающее достижение цели
деятельности предприятия, при этом особо тщательно проверить наличие признаков
банкротства, которыми, в частности, являются следующие моменты:
) невозможность своевременно погасить долги по причинам:
повторяющихся операционных убытков;
финансирования за счет просроченной кредиторской
задолженности;
долгосрочного финансирования за счет краткосрочных средств;
недостатка собственных оборотных средств;
низких показателей ликвидности;
увеличения отношения кредиторской задолженности к
собственному капиталу;
ухудшения отношений с банками;
) невозможность продолжать коммерческую деятельность;
из-за потери ключевого персонала;
из-за снижения уровня материальных запасов и др.;
) отсутствие средств для выплаты заработной платы персоналу;
) превышение обязательств исследуемых предприятий над его
имуществом
в связи с неудовлетворительной структурой баланса, т.е. по
причине низкой степени ликвидности и т.д.
Для снижения потребности в краткосрочном кредите необходимо:
увеличить собственные оборотные средства;
снизить текущие финансовые потребности.
В свою очередь, для увеличения собственных оборотных средств
необходимо:
нарастить собственный капитал (увеличив уставный капитал,
нераспределенную прибыль и резервы, повысив рентабельность с помощью контроля
затрат и агрессивной коммерческой политики);
внедрить долгосрочные заимствования. Долгосрочный кредит
имеет
свои преимущества: проценты ниже, чем по краткосрочному
кредиту, возмещение растянуто во времени.
Соответственно для уменьшения текущих финансовых потребностей
необходимо:
снизить дебиторскую задолженность. Сокращая длительность
отсрочек платежей, однако, надо стараться не подвергать себя риску потерять
клиентуру. Здесь могут быть полезны учет векселей, факторинг, спонтанное
финансирование. Необходимо изучить свой рынок, прежде чем принимать решение о
сокращении средней длительности отсрочек.
Если длительность отсрочек конкурентов короче, то можно
попробовать укоротить свои. Оценивая свои нынешние отсрочки, следует выяснить,
чему способствуют длительные отсрочки платежей: приросту оборота или увеличению
убытков? Необходимо также снизить удельный вес сомнительных клиентов,
систематически напоминая дебиторам о пришедшем сроке расчета. Полезно найти
возможность повысить эффективность взаимодействия собственных коммерческих и
финансовых служб, с тем чтобы оперативно прекратить продажи клиентам,
задерживающим платежи или вовсе не оплачивающим товар;
увеличить кредиторскую задолженность, удлиняя сроки расчета.
Также для развития компании возможна необходимость изменения
стратегической линии и политики предприятия.
2.3
Управление финансовыми потоками группы предприятий
На современном этапе для эффективной защиты интересов
потребителей страховых услуг необходимо создание рыночного механизма реализации
их интересов на всех этапах страховых отношений. В связи с данными процессами
предложенная в работе единая методология управления финансовыми потоками
субъектов страхового дела дает возможность сформулировать механизм
структуризации и группировки элементов финансового потока с определением набора
базовых качественных и количественных характеристик, который позволит
принципиально по-новому сформулировать критерии, цели и стратегию управления
финансовыми потоками в страховых организациях.
Процесс реформирования и реструктуризации, охвативший
большинство отраслей отечественной экономики, заставляет руководителей
страховых организаций изменить привычное отношение к принятию финансовых
решений как форме реагирования на происходящие изменения. Однако для
большинства отечественных страховых организаций остается открытым вопрос
формирования финансовой политики, включающий управление финансовыми потоками
страховой организации. Интенсивные изменения и усложнение структуры финансовых
потоков определяют необходимость исследования и осмысления широкого круга
теоретических, управленческих и организационных проблем, возникающих под
воздействием глобальных экономических и социальных процессов в России и в
мировой финансовой системе.
Для осуществления оперативного управления финансовыми
потоками финансовый директор ОАО СК «РОСНО» использует таблицу 2.7.
В первый раздел таблицы «Остаток на начало отчетного периода»
заносится сальдо по счетам: расчетному, валютному, специальным.
Второй раздел «Финансовый приток» содержит информацию по
приходу средств, имеющуюся у всех структурных подразделений предприятия,
связанных с движением значительных сумм.
В третий раздел «Текущий отток» заносятся сведения о плановых
платежах.
В четвертый раздел «Отток на следующий отчетный период»
целесообразно помещать заявки на платежи от структурных подразделений
предприятия, спланированные на будущее.
Цифра итога чистого потока получается в результате
арифметических операций (табл. 2.6).
Таблица 2.6. Данные о движении финансовых потоков ОАО СК
«РОСНО» по состоянию на 01.11.2011 г.
|
Показатели
|
Сумма, тыс.
руб.
|
Примечания
(наименование источника притока или направления оттока)
|
|
1. Остаток на
начало периода
|
2515
|
|
|
2. Приток
всего, в том числе
|
125600 8015 92
115243 250 2000
|
За
реализованную продукцию От реализации основных средств Авансы полученные
Целевое финансирование Прочие поступления
|
|
3. Текущий
отток, в том числе
|
125830 73400
17900 9400 6372 1315 5000 12343 100
|
Оплата счетов
поставщиков Оплата труда работников Налоговые платежи Платежи во внебюджетные
фонды Подотчетные суммы Покупка основных средств Оплата процентов и основного
долга по кредитам и займам Прочие выплаты
|
|
Финансовый
поток (стр. 1 + стр. 2 - стр. 3)
|
2286
|
|
|
4. Отток на
следующий отчетный период (планируемый), в том числе
|
116000 75000
17900 3900 6372 943 11785 100
|
Оплата счетов
поставщиков Оплата труда работников Налоговые платежи Платежи во внебюджетные
фонды Подотчетные суммы Оплата процентов и основного долга по кредитам и
займам Прочие выплаты
|
Предложенный вариант ресурсного баланса позволяет
смоделировать процедуру принятия решений в данной системе оперативного
управления финансовыми потоками. К уже имеющимся исходным данным
Возникает задача корреляции разнонаправленных финансовых
потоков:
а) средства в распоряжении предприятия - 2286 тыс. руб.;
б) приток 110500 тыс. руб.;
в) отток 75000 + 41000 = 116000 тыс. руб.
Таким образом, чистый финансовый поток на будущий период
(-3214) тыс. руб., то есть дефицит финансовых ресурсов.
Результаты анализа финансовых потоков свидетельствуют о
замедлении темпов роста объема и изменении качества структуры финансовых
потоков на ОАО СК «РОСНО».
Для раскрытия механизма управления финансовыми потоками в
работе дана оценка финансовым потокам страховой организации по ряду ключевых
признаков, в том числе: определение структуры, оценка рентабельности и определение
степени участия консолидированных финансовых потоков страховщика в формировании
финансового результата деятельности компании.
Проведенный анализ финансовых потоков страховой компании
показал, что ряд экономистов рассматривают финансовые потоки страховщика как
составную часть двух относительно самостоятельных потоков.
. Поток, направленный на осуществление страховой
деятельности.
. Поток, направленный на организацию и поддержание страхового
бизнеса (расходы на ведение дела).
Такой подход для систематизации финансовых потоков не дает
возможности раскрыть специфику имеющихся финансовых потоков, которая должна
являться основой для отражения всей системы финансовых потоков и оптимизации
управления ими.
Исследование проблемы показало, что в отечественной научной
литературе вопросы управления финансовыми потоками в страховой отрасли
недостаточно разработаны, специфика финансовых потоков страховщика практически
не определена. Проведенный анализ позволил сформулировать основные признаки
финансового потока страховой организации:
· зависимость от
финансово-хозяйственной деятельности субъектов экономики;
· двунаправленность
(входящие и исходящие финансовые потоки);
· наличие денежной
составляющей и возможность включения всех элементов рынка денег и рынка
капитала;
· активы с высокой и
средней для организации ликвидностью - материализованная часть финансового
потока;
· целенаправленность
финансового потока;
· множество финансовых
потоков субъекта экономики образует его финансовый кругооборот.
Учитывая основные признаки, в исследовании будем
придерживаться следующего определения «финансового потока страховой компании» -
это совокупность денежных потоков, бюджетного (налогового) потока, потока
доходных финансовых вложений, который движется как внутри компании, так и при
реализации взаимоотношений с внешними контрагентами и состоит как из
приобретаемых акций, облигаций и других ценных бумаг, так и из
консолидированных паев ПИФ, валюты, потока средств в форме дебиторской
задолженности по страховым операциям, а также потока ресурсов в иной форме,
обладающих высокой и средней для данной компании степенью ликвидности.
3. Пути совершенствования управление финансовыми
потоками группы предприятий
3.1 Методы совершенствования управление
финансовыми потоками группы предприятий
Анализ использования прямого метода, основанного на
процентных зависимостях, для прогнозирования финансовой деятельности
предприятия, показал, что использования данного метода приводит к большим
погрешностям. Для совершенствования процесса прогнозирования финансовой
деятельности СК «Росно» предлагается использовать статистические методы для
построения оптимальной модели каждого показателя.
Составление прогноза - это не разовая
задача. Необходимо непрерывно накапливать и анализировать информацию об объекте
прогнозирования и систематически корректировать прогнозы.
Статистические методы пересекаются и с
экстраполяционными, и с экспертными методами.
В самом общем виде задачу одноцелевого
прогноза состояния предприятия в будущем, через n лет, можно представить как
поочередное описание модели допустимых будущих значений переменных параметров
его деятельности В:
B = F [x(t), y(t), z(t), t],
где х - переменные прогнозируемого
параметра, рассматриваемые как управляемые;
у - переменные параметра, рассматриваемые
как условия;- начальное значение прогнозируемого параметра деятельности
предприятия, принятое за основу.
Таким образом, построим «лучшую» модель для определения
влияния факторов на изменение чистой суммы денежных средств, полученных в
финансовой деятельности, а также составим прогноз чистой суммы денежных средств
на последующий 1 год (2011 г.). Не случайно выбрана составляющая чистая сумма
денежных средств, полученных в финансовой деятельности, так как она является
основной частью эффективной финансовой деятельности предприятия.
В данной задаче анализу подвергаются 5 составляющих факторов,
с целью выявления их влияния на чистую сумму денежных средств, полученных в
финансовой деятельности во временном интервале 6 лет для СК «Росно»- зависимая
переменная, в данном случае это показатель чистой суммы денежных средств,
полученных в финансовой деятельности;
Х - независимые переменные, а именно это:
Х1 - Поступления по долгосрочным и краткосрочным кредитам и
займам;
Х2 - Погашение обязательств по финансовой аренде;
Х3 - Погашение долгосрочных и краткосрочных кредитов и
займов;
Х4 - Дивиденды выплаченные;
Х5 - объем дополнительной эмиссии собственных акций.-
временной интервал, год в периоде 6 лет.
Исходные данные приведены в таблице 3.1.
Таблица 3.1. Исходные данные
|
Год
|
Чистая сумма
денежных средств, полученных в фин. деятельности млн. руб.
|
Поступления по
долгосрочным и краткосрочным кредитам и займам, руб.
|
Погашение
обязательств по финансовой аренде, тыс. руб.
|
Погашение
долгосрочных и краткосрочных кредитов тыс. руб.
|
Дивиденды
выплаченные, тыс. руб.
|
Объем доп.
эмиссии акций, тыс. шт.
|
|
t
|
Y
|
X1
|
X2
|
X3
|
X5
|
|
1
|
331
|
155,4
|
160,4
|
21,1
|
12,6
|
110,3
|
|
2
|
345
|
155,7
|
160,2
|
22
|
6,5
|
111,8
|
|
3
|
364
|
160
|
170,7
|
22,8
|
5,8
|
112,3
|
|
4
|
384
|
150,1
|
160,2
|
25,4
|
5,7
|
112,9
|
|
5
|
420
|
160
|
170
|
26,3
|
8,2
|
108,5
|
|
6
|
430
|
160,3
|
180,2
|
26,4
|
14,2
|
110,7
|
Посчитаем среднее значение, стандартную ошибку, медиану,
моду, стандартное отклонение, дисперсию выборки, эксцесс, асимметричность,
интервал, минимум, максимум и сумму для каждой переменной.
Рассчитаем коэффициенты вариации, которые показывают меру
относительного разброса случайной величины; показывает, какую долю среднего
значения этой величины составляет ее средний разброс (табл. 3.2).
Таблица 3.2. Коэффициенты
вариации
|
Vy
|
32,48167535
|
|
Vx1
|
5,371749366
|
|
Vx2
|
4,723904163
|
|
Vx3
|
33,60864427
|
|
Vx4
|
50,16237495
|
|
Vx5
|
4,022665411
|
Из таблицы видно, что имеется повышенный уровень одного
признака X4 более 35%, остальные варьированные признаки находятся в допустимых
пределах, не превышающих 35%. Ежемесячная совокупность показателей, и для
изучения могут использоваться метод наименьших квадратов (МНК).
Далее необходимо, для установления неполной прямой или
обратной связи между одним признаком-следствием и одним признаком-фактором
рассчитать коэффициент парной корреляции. Рассчитанные значения представлены в
таблице 3.3.
Таблица 3.3. Коэффициенты
парной корреляции
|
Y
|
X1
|
X2
|
X3
|
X4
|
X5
|
|
Y
|
1
|
|
|
|
|
|
|
X1
|
0,180880518
|
1
|
|
|
|
|
|
X2
|
0,117040746
|
0,509427695
|
1
|
|
|
|
|
X3
|
0,972779745
|
-0,046002301
|
-0,002621299
|
1
|
|
|
|
X4
|
0,632349947
|
-0,118690222
|
0,103412349
|
0,668353247
|
1
|
|
|
X5
|
0,810359116
|
0,32006625
|
0,100719643
|
0,756424963
|
0,301102894
|
1
|
Значение коэффициентов парной корреляции указывают на весьма
тесную связь чистой суммы денежных средств, полученных в финансовой
деятельности - Y, как с коэффициентом погашения долгосрочных и краткосрочных
кредитов и займов X3=0,9728, так и с объемом дополнительной эмиссии собственных
акций X5=0,8104 - здесь коэффициенты парной корреляции более 0,8. В то же время
межфакторная связь r X3 X5=0,7564 слабая и не превышает тесноту связи X5 с Y,
значит коэффициенты X3 и X5 информативны, статистически надежны и могут
использоваться для улучшения данной модели.
Произведем расчет основных показателей регрессионной
статистики, таких как, множественный R, R-квадрат, нормированный R-квадрат,
стандартную ошибку. Результаты расчетов приведены в таблице 3.4.
Таблица 3.4. Параметры
линейного уравнения регрессии без исключенных факторов
|
Регрессионная
статистика
|
|
Множественный R
|
0,998721223
|
|
R-квадрат
|
0,997444082
|
|
Нормированный
R-квадрат
|
0,996379115
|
|
Стандартная
ошибка
|
6,253459364
|
|
Наблюдения
|
6
|
Для анализа проверки статистической значимости различия между
средними для переменных проведем дисперсионный анализ, результаты которого
представлены в таблице 3.5.
Таблица 3.5. Дисперсионный
анализ
|
|
Df
|
SS
|
MS
|
F
|
Значимость F
|
|
Регрессия
|
5
|
183131,6754
|
36626,33508
|
936,5970814
|
4,07454E-15
|
|
Остаток
|
12
|
469,2690482
|
39,10575402
|
|
|
|
Итого
|
17
|
183600,9444
|
|
|
|
|
|
Коэф-ты
|
Ст.ошибка
|
t-ста-ка
|
P-Значение
|
Нижние 95%
|
Верхние 95%
|
|
Y-пересечение
|
-393,4706529
|
62,85333025
|
-6,260140096
|
4,19023E-05
|
-530,416295
|
-256,5250107
|
|
X1
|
28,59356305
|
2,514120525
|
11,37318707
|
8,77127E-08
|
23,115765
|
34,0713611
|
|
X2
|
0,600933615
|
2,26332782
|
0,265508871
|
0,795123795
|
-4,330434072
|
5,532301302
|
|
X3
|
15,10693709
|
0,527515823
|
28,63788425
|
2,04154E-12
|
13,95757884
|
16,25629533
|
|
X4
|
-0,082772444
|
0,484625903
|
-0,170796575
|
0,867229737
|
-1,138681578
|
0,973136689
|
|
X5
|
-0,478620805
|
0,70819324
|
-0,675833626
|
0,511960865
|
-2,02164132
|
1,06439971
|
|
|
Нижние 95,0%
|
Верхние
95,0%
|
|
Y-пересечение
|
-530,416295
|
-256,5250107
|
|
X1
|
23,115765
|
34,0713611
|
|
X2
|
-4,330434072
|
5,532301302
|
|
X3
|
13,95757884
|
16,25629533
|
|
X4
|
-1,138681578
|
0,973136689
|
|
X5
|
-2,02164132
|
1,06439971
|
|
|
|
|
|
|
|
|
|
|
|
|
|
Статистически значимыми факторами являются X1 где b1=2,5141и
X3 где b3=0,5275, существенность данных параметров подтверждаются большем
значением t-критерия 2-3, тогда как показатели вероятности случайных значений
для всех параметров получены с большей 5% значимостью по Р-значение, что
говорит о случайной природе значений данных коэффициентов.
Для интерпретации результатов корреляционно-регрессионного
анализа воспользуемся частными коэффициентами эластичности, которые показывают,
на сколько процентов в среднем изменится значение результативного признака при
изменении факторного на 1% и при постоянстве (фиксированном уровне) других
факторов. Расчет средних коэффициентов эластичности приведен в таблице 3.6.
Таблица 3.6. Коэффициенты эластичности
|
Vx1
|
1,393681741
|
|
Vx2
|
0,031961446
|
|
Vx3
|
0,967431567
|
|
Vx4
|
-0,002459171
|
|
Vx5
|
-0,160806285
|
Анализируя значения частных коэффициентов эластичности, можно
сделать вывод, что более сильное влияние на результат Y имеют признаки факторов
X1= 1,39% и X3= 0,97%, чем у всех остальных факторов.
Далее проведем исключение факторов, которые меньше всего
влияют на результат Y. (табл. 3.7).
Таблица 3.7. Исключение
факторов
|
Y
|
Вариация более
35%
|
Коэффициент
парной корреляции менее 0,8
|
t-статистика
менее 2-3
|
P-значение
более 5%
|
Эластичность
|
Сумма
|
|
X1
|
|
1
|
|
1
|
|
2
|
|
X2
|
|
1
|
1
|
1
|
1
|
4
|
|
X3
|
|
|
|
1
|
|
2
|
|
X4
|
1
|
1
|
1
|
1
|
1
|
5
|
|
X5
|
|
|
1
|
1
|
1
|
3
|
По количеству причин для исключения факторов, в уравнении
множественной регрессии не стоит использовать факторы Х2, Х4 и Х5.
Согласно дисперсионному анализу, F=936,6. Вероятность
получить такое значение составляет 0,0000, что не превышает допустимый уровень
5%. Следовательно, полученное значение не случайно, оно сформировалось под
влиянием существенных факторов.
Нескорректированный коэффициент множественной детерминации
равен 0,9987, что указывает на весьма высокую связь факторов с результатом Y.
Скорректированный коэффициент множественной детерминации
равен 0,9656 и указывает на высокую детерминированность результата Y в данной
модели факторами X1, X3.
Следовательно, модель содержит неинформативные факторы X2, X4
и X5, - исключаем их.
Таким образом, уравнение множественной регрессии имеет вид:
y=-421,51+28,05X1+14,84X3
Построим тренды значимых факторов.
На рис. 3.1. представлено влияние фактора представлено
влияние фактора поступления по долгосрочным и краткосрочным кредитам и займам
на ежегодный результат чистой суммы денежных средств, полученных в результате
финансовой деятельности.
Рис. 3.1. Влияние фактора Х1 на Y
На рис. 3.2. представлено влияние фактора погашение
долгосрочных и краткосрочных кредитов и займов на ежегодный результат чистой
суммы денежных средств, полученных в результате финансовой деятельности.
Рис. 3.2. Влияние фактора влияние фактора X3 на Y
Таким образом, годовая чистая сумма денежных средств,
полученных в результате финансовой деятельности будет зависима от показателей
поступления по долгосрочным и краткосрочным кредитов и займов (тыс. руб.) и
погашение долгосрочных и краткосрочных кредитов и займов (тыс. руб.), ее
величина меняется в течении 6 лет, что представлено в расчетах.
Согласно полученному уравнению множественной регрессии=
-421,51+28,05X1+14,84X3 спрогнозируем величину чистой суммы денежных средств,
полученных в результате финансовой деятельности (тыс. руб.) на 7 временной
интервал.
|
Y
|
Фактор времени t
|
X2
|
X3
|
|
288,645
|
7
|
16,1134
|
21,7914
|
Таким образом, величина чистой суммы денежных средств,
полученных в результате финансовой деятельности предприятия в 2011 г. составит
288645 тыс. руб.
Поочередно описывая такие важнейшие
параметры предприятия, как уставный капитал, выпуск отдельных видов продукции и
ее себестоимость, годовая сумма прибыли, производительность труда, можно в
итоге дать полный прогноз состояния предприятия, в котором оно может оказаться
через t прогнозируемых лет. При этом к переменным, рассматриваемым как
управляемые, можно, например, отнести инвестиции, персонал предприятия,
нормативы распределения остающейся у предприятия прибыли, освоение оправдавшей
себя новой техники. Неуправляемые переменные, рассматриваемые как условие, -
это состояние рынка, политика правительства, налоги, колебания
природно-климатических условий и др.
3.2 Расчет экономической эффективности управления
финансовыми потоками группы предприятий
В предыдущем параграфе, с целью совершенствования процесса
прогнозирования движения денежных средств предприятия, был предложен
статистический метод прогноза (трендовый метод). Проведем экономическую оценку
эффективности этих мероприятий.
Проведем сравнительный анализ фактических значений
показателей за 2011 г. и показателей рассчитанных статистическими методами. Результаты
приведем в таблице 3.9.
Таблица 3.9. Анализ движения денежных потоков по финансовой
деятельности 2011 г. и 2011 г. (прогноз) СК «Росно»
|
Денежные потоки
по финансовой деятельности
|
2011 г.
(прогноз)
|
2011 г. (факт)
|
Отклонение %
|
Отклонение (+,-)
|
|
Поступления по
долгосрочным и краткосрочным кредитам и займам
|
478153
|
471851
|
98,68%
|
-6 302
|
|
Погашение
долгосрочных и краткосрочных кредитов и займов
|
-184043
|
-180940
|
98,31%
|
3103
|
|
Погашение
обязательств по финансовой аренде
|
-3409
|
-3 268
|
95,86%
|
141
|
|
Дивиденды выплаченные
|
-322
|
-322
|
100,00%
|
0
|
|
Чистая сумма
денежных средств, полученных в финансовой деятельности
|
288645
|
287 321
|
99,54%
|
-1 324
|
Как видно из таблицы, представленной выше, значения
показателя поступления по долгосрочным и краткосрочным кредитам и займам, рассчитанного
с использованием статистических методов равняется 478153 тыс. руб., что на 6
302 тыс. руб. больше фактического показателя, выполнение плана составило
98,68%. Показатель погашение долгосрочных и краткосрочных кредитов и займов
прогнозный на 3103 тыс. руб. больше фактического показателя и составил 184043
тыс. руб. Относительное отклонение составило 1,69%, т.е. план выполнен на
98,31%. Фактическое значение показателя погашение обязательств по финансовой
аренде на 141 тыс. руб. меньше прогнозного показателя. Данный показатель,
рассчитанный с помощью статистических методов, равняется 3409 тыс. руб.,
соответствие фактического значения прогнозному составило 95,86%. Таким образом,
прогнозное значение чистой суммы денежных средств, полученных в результате
финансовой деятельности предприятия составило 288645 тыс. руб., что на 1324
тыс. руб. больше фактического значения данной показателя. Выполнение плана
составило 99,54%.
Проведем сравнительный анализ движения денежных средств от
финансовой деятельности фактических значений с прогнозными, рассчитанным
разными методами. Результаты расчетов представлены в таблице 3.10.
Таблица 3.10. Сравнительный анализ движения денежных потоков по
финансовой деятельности фактических на 2011 г. с прогнозными значениями
|
Денежные потоки
по финансовой деятельности
|
2011 г. прогноз
ст. методом
|
2011 г. прогноз
ан. методом
|
2011 г. (факт)
|
От-ние (%)
2011/2011 прогноз ст. методом
|
От-ние (+,-)
2011/2011 прогноз ан. методом
|
От-ие, %
2011/2011 прогноз ст. методом
|
От-ние, (+,-)
2011/2011 прогноз ан. методом
|
|
Поступления по
долгосрочным и краткосрочным кредитам и займам
|
478153
|
480250
|
471 851
|
98,68%
|
-6 302
|
98,25%
|
-8 399
|
|
Погашение
долгосрочных и краткосрочных кредитов и займов
|
-184043
|
-190342
|
-180940
|
98,31%
|
3 103
|
95,06%
|
9 402
|
|
Погашение
обязательств по финансовой аренде
|
-3409
|
-4000
|
-3 268
|
95,86%
|
141
|
81,70%
|
732
|
|
Дивиденды
выплаченные
|
-322
|
-322
|
-322
|
100,00%
|
0
|
100,00%
|
0
|
288645
|
290121
|
287 321
|
99,54%
|
-1 324
|
99,03%
|
-2 800
|
Из таблицы видно, что показатель поступления по долгосрочным
и краткосрочным кредитам и займам спрогнозированный с использованием
статистических методов является более точный, чем этот же показатель,
спрогнозированный с помощью аналитического метода, разница составляет 2097 тыс.
руб. в пользу статистического метода. Прогнозное значения показателя погашение
долгосрочных и краткосрочных кредитов и займов, рассчитанное с помощью
статистических методов на 3,42% лучше, аналогичного показателя, рассчитанного
аналитическим методом. На 3127 тыс. руб. показатель погашение обязательств по
финансовой аренде, рассчитанный с помощью статистических методов, оказался
ближе к фактическому значению, чем показатель, рассчитанный с использованием
аналитического метода. В целом, сравнительный анализ показал, что
прогнозирование движения денежных потоков по финансовой деятельности
рассчитанные с помощью статистических методов, являются более точными, чем
использование аналитического (прямого) метода прогнозирования. Разница величины
чистой суммы денежных средств, полученных в результате финансовой деятельности
составила 2800 тыс. руб. в пользу статистических методов.
Построим с помощью статистических методов прогнозные движения
денежных потоков по финансовой деятельности СК «Росно» на 2012-2013 г.
Таблица 3.11. Движения денежных средств на СК «Росно» на 2012-2013 г. (прогноз)
|
Денежные потоки
по финансовой деятельности
|
2012
|
2013
|
|
Поступления по
долгосрочным и краткосрочным кредитам и займам
|
569030
|
59800
|
|
Погашение долгосрочных
и краткосрочных кредитов и займов
|
-217128
|
260553
|
|
Погашение
обязательств по финансовой аренде
|
-3758
|
-3007
|
|
Дивиденды
выплаченные
|
-980
|
-1000
|
|
Чистая сумма
денежных средств, полученных в финансовой деятельности
|
347163
|
316347
|
Таким образом, на 2012-2013 г. прогнозируются следующее
потоки денежных средств по финансовой деятельности. Погашение долгосрочных и
краткосрочных кредитов и займов в 2012 году будут составлять 217128 тыс. руб.,
а 2013 г. увеличатся и составят 260553 тыс. руб. Погашение обязательств по
финансовой аренде в 2012 г. 3758 тыс. руб., однако в 2013 г., согласно
прогнозным значениям произойдет снижения данного показателя, он составит 3007
тыс. руб.
Таким образом, в 2012 г. планируется получить чистой суммы
денежных средств, полученных в результате финансовой деятельности 347163 тыс.
руб., а 2013 г. чистая сумма денежных средств, полученной от финансовой
деятельности составит 316347 тыс. руб.
Заключение
В результате проведенного исследования необходимо сделать
следующие выводы:
Финансовая деятельность - это система использования различных
форм и методов для финансового обеспечения функционирования предприятия и
достижения им поставленных целей, то есть это практическая финансовая работа,
обеспечивающая жизнедеятельность предприятия, а также улучшение ее результатов.
Главная задача каждого в условиях рынка заключается в
организации хозяйственно-финансовой деятельности с целью удовлетворения
потребностей покупателей в своей продукции и получения наибольшей прибыли.
Одну из главных ролей в деятельности компании занимает
управление финансовыми потоками. В данной дипломной работе «финансовый поток»
определяется, как совокупность распределенных во времени поступлений и выплат
денежных средств, образующихся в результате ее основной, инвестиционной и
финансовой деятельности за определенный промежуток времени.
Управление финансовыми потоками представляет собой систему
действий по реализации организационных, стратегических и тактических
(оперативных) решений, направленных на обеспечение эффективности процессов
формирования, распределения, использования, перераспределения и организации
оборота финансирования для реализации основной цели деятельности компаний.
Необходимо отметить, что финансовое прогнозирование - это
процесс разработки системы финансовых прогнозов, позволяющих субъекту
хозяйствования более эффективно организовать свою финансово-хозяйственную
деятельность, разрабатывать более точные финансовые планы и предупреждать или
сглаживать негативные воздействия внешней и внутренней среды функционирования
предприятия в условиях постоянной неопределенности и действия разнообразных
рисков.
Целью финансового прогнозирования является определение
реально возможного объема финансовых ресурсов, источников формирования и их
использования в прогнозируемом периоде.
Рассматривая данную проблему, считаем, что все методы,
используемые в процессе финансового прогнозирования можно разделить на две
большие группы, каждая из которых в свою очередь подразделяется на подгруппы,
звенья и отдельные методы.
Основными этапами прогнозирования являются:
¾ анализ достигнутого
уровня развития и сложившихся тенденций;
¾ прогноз состояния внешней
экономической среды;
¾ разработка возможных
целей и стратегии развития на перспективу;
¾ разработка конкретных
социально-экономических программ и ситуационных планов;
¾ проработка финансового
обеспечения прогнозных программ и планов.
Прогнозирование финансовой деятельности в литературе
рассматривается как один из основных элементов финансового планирования
предприятия. В рамках прогнозирования финансовой деятельности разрабатывается
общая концепция финансового развития и финансовая политика предприятия по
отдельным аспектам финансовой деятельности. Также прогнозирование финансовой
деятельности осуществляется по методу бюджетирования. Что и было рассмотрено в
работе на примере СК «РОСНО».
К основным направлениям разработки финансовой политики
предприятия СК «Росно» относятся:
¾ анализ финансово -
экономического состояния страховой компании;
¾ выработка кредитной
политики страховой компании;
¾ управление оборотными
средствами, кредиторской и дебиторской задолженностью;
¾ управление издержками,
включая выбор амортизационной политики;
¾ выбор дивидендной
политики.
Внимание было сосредоточено больше на процессе
прогнозирования финансовой деятельности предприятия.
В данной компании планирование бюджета движения денежных
средств осуществляется с использованием аналитического метода планирования,
основанного на процентных зависимостях. Сущность таких моделей заключается в
анализе взаимосвязей между ожидаемым объемом продаж, а также активами и
финансированием, необходимыми для его реализации. В результате такой модели
разрабатывается прогнозный баланс, план прибылей и убытков и план движения
денежных средств.
Анализ движения денежных средств показал, что построение
прогнозного движения денежных средств СК «Росно» аналитическим методом, на 2011
имеет погрешности. Согласно плановому значению поступления по долгосрочным и
краткосрочным кредитам и займам в 2010 г. должны были составить 170489 тыс. руб.
Однако фактического значения составляет 164494 тыс. руб. Выполнение плана
составило 96,5%. Это говорит о том за отчетный период, компания воспользовалась
внешними займами в меньших количествах, чем планировалось. В 2011 г. плановое
значение данного показателя составило 480250 тыс. руб., фактическое значение
показателя оказалось меньше планового на 8399 тыс. руб. Выполнение плана в 2011
г. по поступлениям по долгосрочным и краткосрочным кредитам и займам составило
98,3%. План по показателю погашение долгосрочных и краткосрочных кредитов и
займов в 2010 г. выполнен на 98,4%, а в 2011 г. на 95,1%. Это говорит, о том,
что за отчетные периоды фактические выплаты по долгосрочным и краткосрочным
обязательствам оказались меньше плановых показателей. Так, в 2010 г. вместо
запланированных выплат на сумму 120000 тыс. руб., фактически было произведено
выплат на сумму 118 096. А в 2011 г., погашение долгосрочных и краткосрочных
кредитов и займов, рассчитанное прямым методом составило 190342 тыс. руб.,
фактически же выплат было произведено на 9402 тыс. руб. меньше и составило
180940 тыс. руб. Плановые показатели погашение обязательств по финансовой
аренде в 2010 г. составили 5102 тыс. руб., фактические - 4094 тыс. руб.,
выполнение плана произошло на 80,2%. В 2011 г. выполнение плана по данному
показателю произошло на 81,7%. Таким образом, запланированная чистая сумма
денежных средств, полученных в результате финансовой деятельности предприятия в
2010 г. составила 43000 тыс. руб., фактическая же составила 41 202 тыс. руб. В
2011 г. фактическая чистая сумма денежных средств 287 321 тыс. руб., что меньше
планового значения на 1%.
В качестве мероприятия по улучшению процесса прогнозирования
финансовой деятельности СК «Росно» было предложено осуществлять прогнозирования
финансовой деятельности с использованием статистических методов. Анализ
движения денежных средств фактических за 2011 г. и с прогнозными значениями
показал, что соответствие значений приблизительно 99,7%. Данный метод
показывает лучшие результаты, по сравнению с аналитическим методом.
Также на основе статистических методов был построен
прогнозный баланс на 2012 г. Погашение долгосрочных и краткосрочных кредитов и
займов в 2012 году будут составлять 217128 тыс. руб., а 2013 г. увеличатся и
составят 260553 тыс. руб. Погашение обязательств по финансовой аренде в 2012 г.
3758 тыс. руб., однако в 2013 г., согласно прогнозным значениям произойдет
снижения данного показателя, он составит 3007 тыс. руб.
Таким образом, в 2012 г. планируется получить чистой суммы
денежных средств, полученных в результате финансовой деятельности 347163 тыс.
руб., а 2013 г. чистая сумма денежных средств, полученной от финансовой
деятельности составит 316347 тыс. руб.
Список использованной литературы
1. Алексеева М.М. Планирование деятельности фирмы:
Учебно-методическое пособие. - М.: Финансы и статистика, 2012. - 297 с.
2. Боди Зви, Мертон Роберт К. Финанcы: Учеб. пособие: пер. с
англ. - М.; СПб.; К.: Вильямс, 2009. - 584 с.
3. Большаков С.В. Финанcы предприятий: теория и практика:
Учебник. - М.: Книжный мир, 2009. - 617 с.
4. Бондарчук Н.В., Карпасова З.М. Финансовый анализ для целей
налогового консультирования. - М.: Вершина, 2012. - 185 с.
5. Бригхэм Юджин Ф., Эрхардт Майкл С. Финансовый менеджмент:
пер. с англ. - 10-е изд. - СПб.; М.; Нижний Новгород; Воронеж: Питер, 2009. -
959 с.
6. Бурлачков В.К., Игонина Л.Л., Игудин А.Г., Князев В.Г.,
Кулешова Л.И. Государственные и муниципальные финанcы: Учебник. - М.:
Экономистъ, 2012. - 761 с.
7. Ванхорн Джеймс С., Вахович Джон М. Основы финансового менеджмента
/ Fundamentals of Financial Management - 12-е изд. - М.: «Вильямс», 2009.
8. Волкова О.Н. Бюджетирование и финансовый контроль в
коммерческих организациях. - М.: Финанcы и статистика, 2012. - 269 с.
9. Дыбаль С.В. Финансовый анализ: теория и практика: учебное
пособие. - СПб.: «Бизнес-пресса», 2012. - 304 с.
10. Ермасов С.В., Ермасова Н.Б. Страхование: учебник, 2012
11. Ионова А.Ф., Селезнева Н.Н. Финансовый анализ: учеб. - М.:
Проспект, 2010. - 624 с.
12. Канке А.А., Кошевая И.П. Анализ финансово-хозяйственной
деятельности предприятия: Учебное пособие. - 2-е изд., испр. и доп. - М.:
Инфра-М. 2010. - 288 с.
13. Киселев М.В. Анализ и прогнозирование
финансово-хозяйственной деятельности предприятия. - М.: А и Н, 2012. - 367 с.
14. Ковалев В.В. Финансовый анализ: Управление капиталом. Выбор
инвестиций. Анализ отчетности. - М. Финансы и статистика, 2009. - 657 с.
15. Коласс Б. Управление финансовой деятельностью предприятия.
Проблемы, концепции и методы. - М.: Финансы, ЮНИТИ, 2009
16. Колчина Н.В. Финансы предприятий (организаций). - М.
ЮНИТИ-ДАНА, 2009.
17. Куницына Н.Н., Бженникова Д.Г. Управление финансами
корпораций: региональный аспект: монография. - Ставрополь: Сервисшкола, 2012. -
204 с.
18. Мамедов A.О. Международный финансовый менеджмент в условиях
глобального финансового рынка: монография - М.: Магистр, 2009. - 284 с.
19. Мельник М.В., Ефимова О.В. Анализ финансовой отчетности:
Учебное пособие. - М.: Омега-Л, 2009. - 345 с.
20. Ришар Ж. Аудит и анализ хозяйственной деятельности
предприятия. - М.: Аудит, ЮНИТИ, 2009
21. Савенок В. Личные финанcы. Самоучитель - Питер, 2010. - С.
432.
22. Савицкая Г.В. Теория анализа хозяйственной деятельности:
Учебное пособие. - М.: ИНФРА-М, 2010. - 288 с.
23. Савицкая Г.В. Экономический анализ: учебник - М.: Новое
знание, 2009. - 679 с.
24. Савчук Владимир Павлович. Финансовый менеджмент.
Практическая энциклопедия. - К.: Companion Group, 2012. - 880c.
25. Сорокина Л.А. Анализ денежных потоков на предприятии. - М.:
ЮНИТИ, 2009. - 216 с.
26. Чуев И.Н., Чечевицина Л.Н. Анализ финансово-хозяйственной
деятельности: учебное пособие. - Ростов н/Д.: «Феникс», 2010. - 384 с.