Анализ системы регулирования Центральным Банком Российской Федерации деятельности кредитных организаций

  • Вид работы:
    Дипломная (ВКР)
  • Предмет:
    Банковское дело
  • Язык:
    Русский
    ,
    Формат файла:
    MS Word
    83,51 Кб
  • Опубликовано:
    2015-07-22
Вы можете узнать стоимость помощи в написании студенческой работы.
Помощь в написании работы, которую точно примут!

Анализ системы регулирования Центральным Банком Российской Федерации деятельности кредитных организаций

Содержание

Введение

1. Основы организации регулирования банковской деятельности

1.1 Банковское регулирование: понятие и необходимость

.2 Центральный банк Российской Федерации как орган регулирования деятельности кредитных организаций

1.3 Банковское законодательство в области регулирования деятельности кредитных организаций

2. Анализ системы регулирования центральным банком Российской Федерации деятельности кредитных организаций

.1 Современное состояние банковской системы Российской Федерации

2.2 Депонирование обязательных резервов в Центральном Банке Российской Федерации

. Направления совершенствования регулирования деятельности коммерческих банков

.1 Совершенствование банковского законодательства

.2 Пути совершенствования учета кредитных организаций

.3 Рекомендации по совершенствованию регулирования Центробанком деятельности коммерческих банков

Заключение

Список использованных источников и литературы

Введение

депонирование центральный банк кредитный

Актуальность темы исследования. Оптимизация стратегии реформирования российской экономики, обеспечение стабильного развития и динамичных темпов экономического роста являются в настоящее время, без преувеличения первостепенной задачей. Ее решение невозможно без развития банковской системы, выступающей одной из главных и неотъемлемых структур рыночной экономики. Занимая чрезвычайно важное место в структуре движения капиталов, банковская деятельность одновременно несет в себе повышенный социально-экономический риск. В ее расстройстве в концентрированном виде проявляется угроза экономической безопасности страны. Поэтому со времени создания первых коммерческих банков в России интерес к различным аспектам организации и регулирования их деятельности был постоянно высок.

Интеллектуальная и практическая притягательность вопросов регулирования деятельности коммерческих банков еще более повысилась в связи с системным кризисом российского банковского сектора 1998 г., ставшим серьезным фактором ухудшения финансовой ситуации в экономике всей страны источником социально-политического напряжения. Банковский кризис отразил недостатки реформ, проведенных в 90-е годы, в частности и в сфере кредитных отношений.

Эти недостатки связаны, прежде всего, с государственным регулированием банковской деятельности и, кроме того, обусловлены низким уровнем внутренней ее организации.

Одной из важных задач российской экономической науки сегодня является исследование влияния государства на деятельность банков, выявление его недостатков и поиск конструктивных решений по их устранению. Данная задача актуализирует изучение теоретико-методологических вопросов механизма макро- и микроэкономического управления российским банковским сектором.

В контексте высказанных соображений тема выпускной работы представляется актуальной.

Степень разработанности проблемы. Вопросы, связанные с поисками методов повышения эффективности регулирования деятельности коммерческих банков как на макроуровне с использованием налогового и денежно-кредитного механизмов, так и на макроуровне с применением различных способов саморегулирования ликвидности, доходности, рисков коммерческих банков, привлекают внимание многих ведущих отечественных и зарубежных ученых.

Приобретение в последнее десятилетие российской экономикой действительно денежного характера сделало проблемы налоговой и денежнокредитной системы естественным полем исследования. Анализ трансформационных процессов, оценка результатов реформ налоговой и банковской систем, прогнозирование их последствий стали важнейшей частью отечественных научных разработок.

Среди них нельзя не отметить работы B.Е. Маневича, В.К. Сенчагова, О.И. Лаврушина,        Л.Н. Макаревича, Б.И. Домненко, А.А. Хандруева, В.В. Ивантера, Е.Ф. Жукова, В.Н. Шенаева, А.Б. Виссарионова,   Э.Н. Василишена, Р.С. Гринберга, Д.С. Львова, Г А. Тосуняна, А.Ю. Симановского, B.C. Пашковского, О.Л. Роговой. Интересные положения содержат работы Центра финансово-банковских исследований Института экономики РАН и НИИ Банка России.

Много сделано в этой области и зарубежными учеными. Ключевым проблемам управления современным банком посвятили свои работы Дж. Синки мл., Р. Акофф, Холт Н. Роберт, Роуз Питтер и др.

Изучая экономическую литературу - как научную, так и публицистическую, можно увидеть и понять ту реальную научную и политическую среду, которая формировала и обусловливала решения в области регулирования деятельности коммерческих банков, во многом определившие сегодняшнее состояние банковской системы.

Цель работы состоит в исследовании теоретических и методологических основ регулирования деятельности коммерческих банков, и разработке направлений по совершенствованию регулирования деятельности коммерческих банков Центробанком.

Достижение данной цели связано с решением следующих задач:

рассмотреть сущность банковского регулирования и его необходимость;

изучить деятельность Центрального банка;

рассмотреть основную нормативно-законодательную базу банковского регулирования;

изучить современное состояние банковской системы;

обосновать направления совершенствования системы банковского регулирования;

рассмотреть направления совершенствования в области банковского законодательства;

изучить пути совершенствования учета кредитных организаций.

Объектом исследования выступает деятельность российских коммерческих банков.

Предметом исследования является регулирование банковской деятельности государством в ходе проведения своей стратегической и текущей политики.

Методологическую и теоретическую основу работы составляют фундаментальные положения экономической науки, системный подход к изучению исследуемых объекта и предмета, труды отечественных и зарубежных ученых, посвященные банковской деятельности и государственному регулированию, а также законодательные и нормативные материалы.

Чрезвычайно важное значение для написания выпускной работы имело изучение статистических материалов, особенно банковской статистики.

Теоретическая и практическая значимость работы заключается в углублении знаний о регулировании банковской деятельности и расширении его методологической базы.

Работа состоит из трех глав, введения, заключения и списка использованной литературы.

Во введении обосновывается актуальность проблемы, а также цели и задачи исследования.

Первая глава раскрывает понятие банковского регулирования, включает описание основных принципов и направлений регулирования центральным банком деятельности кредитных организаций, а также основных положений банковского законодательства в этой сфере.

Вторая глава посвящена анализу основных направлений регулирования, содержит анализ состояния банковской системы Российской Федерации и современного состояния ее регулирования.

Третья глава работы посвящена рассмотрению регулирования в Российской Федерации, а также проблем и возможных путей их преодоления.

1. Основы организации регулирования банковской деятельности

.1 Банковское регулирование: понятие и необходимость

Банковская сфера почти во всех странах относится к числу наиболее регулируемых. Регулирование и надзор за банками - составная часть системы государственного регулирования общеэкономических процессов.

Необходимость государственного контроля и регулирования банковской деятельности объясняется следующим:

-  для эффективной работы банковской системе необходимо доверие общества, в противном случае банки не смогут аккумулировать на своих счетах значительные средства физических и юридических лиц;

-       банки обладают способностью выпускать в обращение деньги посредством кредитования (депозитная эмиссия). Это обстоятельство требует контроля с целью предотвращения чрезмерной эмиссии денег и инфляции;

-       кредитные учреждения проводят платежи, сбои в платежной системе чреваты огромными издержками для общества;

-       кредитные учреждения создаются с целью получения прибыли, при этом, как правило, наиболее прибыльные операции являются наиболее рискованными, для этого необходимо централизовано ограничить риски.

Под банковским регулированием понимается система мер, с помощью которых государство через центральный банк или иной надзорный орган обеспечивает стабильное и безопасное функционирование банковской системы, предотвращает дестабилизирующие тенденции в банковском секторе.

В основе банковского регулирования лежит разработка и издание конкретных правил или инструкций, основанных на действующем законодательстве и определяющих структуру и способы осуществления банковского дела в стране.

Контроль за деятельностью банков предусматривает непрерывный надзор за осуществлением банками своей деятельности в соответствии с действующим законодательством и инструкциями. Банки должны действовать так, чтобы не обанкротиться, чтобы их клиенты не понесли потери и не началась цепная реакция банкротств, могущая нанести урон всей экономике. Коммерческие банки и центральный банк тесно взаимосвязаны. Они либо вместе процветают, либо вместе терпят неудачу.

Актуальные задачи банковского регулирования и надзора в Российской Федерации на современном этапе:

-  прозрачность деятельности (публикация финансовых отчетов);

-       разработка и внедрение системы раннего реагирования;

-       разработка и осуществление особой системы надзора за крупными банками;

-       разработка действенного механизма предупреждения банкротства кредитных организаций и их ликвидации в рамках банкротства;

-       надзор за банковскими группами - консолидированный надзор;

-       бухгалтерская отчетность (переход на международные стандарты, единые бухгалтерские стандарты) [22, с. 154].

Между тем кризис, нарушающий работу банков, способен кардинальным образом повлиять на перспективы роста экономики. В мировой практике достаточно примеров, когда банковский кризис становился причиной длительной стагнации в производственной сфере. На мой взгляд, именно проблемы финансовой стабильности заслуживают пристального внимания в контексте обеспечения экономической безопасности страны.

В соответствии с Базельскими принципами эффективного надзора за банковской деятельностью к механизмам обеспечения финансовой стабильности относятся: рациональная и долговременная экономическая политика; развитая общественная инфраструктура; высокая рыночная дисциплина; методы эффективного разрешения проблем в банковской сфере; механизм, обеспечивающие достаточный уровень никчемной защиты (или системной общественной безопасности) [43, с. 17]. Составной частью механизмов обеспечения финансовой стабильности является банковское регулирование и надзор.

Таким образом, потребность в институте банковского регулирования и надзора возникла вследствие особой социальной значимости и ответственности банков перед обществом. Банковскому регулированию и надзору принадлежит крайне важное место в системе экономической безопасности страны. Названный тезис подтверждается следующими обстоятельствами.

Во-первых, именно банковская система является связующим звеном, важнейшей составляющей механизма реализации воспроизводственных отношений в экономике. Степень ее устойчивости отражает состояние национальной экономики, социальную атмосферу в обществе, сферу политических и международных отношении, другие аспекты экономической и социальной жизни страны.

Во-вторых, именно банковская система концентрирует и себе основные экономические риски, связанные с несовершенством механизмов хозяйствования, а значит, высок уровень уязвимости именно банковского сектора экономики. В силу отмеченной особенности банковской системы быть связующим звеном в экономике возникает опасность проникновения рисков из банковской системы в другие сферы экономики.

В-третьих, экономические кризисы последних нескольких лет сопровождаются серьезными кризисами социального характера. Уровень доверия общества к государству прямо пропорционален уровню его доверия к национальной банковской системе.

Между тем национальные интересы государства требуют формирования устойчивой, стабильной банковской системы, поддерживающей и развивающей способности экономики функционировать в рамках расширенного воспроизводства. Процессы глобализации также ставят задачи поддержания на конкурентоспособном уровне всех институциональных структур экономики, в том числе и банковских институтов. Решить названные проблемы можно путем создания действенной системы банковского регулирования и надзора. Наличие такой системы позволяет повысить устойчивость банков, создать крепкий фундамент для бесперебойного и эффективного осуществления платежно-расчетных отношений, активизации банковских инвестиций, ведет к устойчивому развитию экономики, является стимулом экономического роста, который в свою очередь является необходимым условием безопасного развития экономической системы страны.

Современную рыночную экономику невозможно представить без хорошо развитой банковской системы, которая является необходимым и наиболее важным элементом экономики любой страны. И от того, насколько стабильно и надежно работают кредитные организации, во многом зависит существование других экономических субъектов.

1.2 Центральный банк Российской Федерации как орган регулирования деятельности кредитных организаций

Согласно Федеральному закону "О банках и банковской деятельности РФ" в России действует двухуровневая банковская система. В нее входят Центральный банк Российской Федерации и кредитные организации, в том числе небанковские кредитные организации, а также филиалы и представительства иностранных банков. Формирование банковской системы происходило одновременно со становлением системы регулирования деятельности коммерческих банков. Центральный банк Российской Федерации в силу возложенных на него полномочий обязан осуществлять постоянный контроль за соблюдением кредитными организациями банковского законодательства и нормативных актов Центрального банка Российской Федерации.

Вопросы банковского регулирования и банковского надзора законодательно закреплены в главе X Федерального закона "О Центральном банке Российской Федерации (Банке России)" [7].

В соответствии со статьей 56 данного закона Центральный банк Российской Федерации является органом банковского регулирования и банковского надзора. Центральный банк Российской Федерации осуществляет постоянный надзор за соблюдением кредитными организациями и банковскими группами банковского законодательства, нормативных актов Центрального банка Российской Федерации, установленных ими обязательных нормативов.

Главные цели банковского регулирования и банковского надзора: поддержание стабильности банковской системы Российской Федерации, защита интересов вкладчиков и кредиторов.

Центральный банк Российской Федерации не вмешивается в оперативную (текущую) деятельность кредитных организаций, за исключением случаев, прямо предусмотренных федеральными законами (т.е. при наличии признаков угрозы его финансовой устойчивости, выявленных какими-либо законными средствами и путями).

Регулирующие и надзорные функции Центрального банка Российской Федерации, установленные указанным законом, осуществляются через действующий на постоянной основе Орган Центрального банка Российской Федерации - Комитет банковского надзора, объединяющий структурные подразделения Центрального банка Российской Федерации, обеспечивающие выполнение его надзорных функций.

Структура Комитета банковского надзора утверждается Советом директоров Центрального банка Российской Федерации. Руководитель Комитета банковского надзора назначается председателем Центрального банка Российской Федерации из числа членов Совета директоров.

В соответствии с законом от 10.07.2002 N 86-ФЗ "О Центральном Банке Российской Федерации (Банке России)" ст. 57 Центральный банк Российской Федерации устанавливает обязательные для кредитных организаций и банковских групп правила проведения:

-  банковских операций, бухгалтерского учета и отчетности;

-       организации внутреннего контроля;

-       составления и представления бухгалтерской и статистической отчетности;

-       составления и представления другой информации, предусмотренной федеральными законами Российской Федерации. Устанавливаемые Центральным банком Российской Федерации правила применяются в отношении бухгалтерской и статистической отчетности, которая составляется за период, начинающийся не ранее даты опубликования указанных правил (т.е. не имеют обратной силы).

Для осуществления своих функций Центральный банк Российской Федерации в соответствии с перечнем, установленным Советом директоров, имеет право:

-  запрашивать и получать у кредитных организаций необходимую информацию об их деятельности, требовать разъяснений по полученной информации;

-       устанавливать для участников банковской группы порядок предоставления информации об их деятельности, которая необходима для составления консолидированной отчетности;

-       имеет право запрашивать и получать необходимую информацию на безвозмездной основе у федеральных органов исполнительной власти, их территориальных органов, юридических лиц для составления банковской и денежной статистики, платежного баланса Российской Федерации, для анализа экономической ситуации.

Поступившая от юридических лиц информация по конкретным операциям не подлежит разглашению без согласия соответствующего юридического лица, за исключением случаев, предусмотренных федеральными законами Российской Федерации. Центральный банк Российской Федерации, осуществляя банковское регулирование и банковский надзор, публикует сводную статистическую и аналитическую информацию о банковской системе Российской Федерации [7, ст. 57].

При осуществлении банковского регулирования и надзора на Центральный банк Российской Федерации налагается ряд законодательных ограничений. Центральный банк Российской Федерации не вправе требовать от кредитных организаций выполнения несвойственных им функций, а также требовать предоставления не предусмотренной федеральными законами информации о клиентах кредитных организаций и об иных третьих лицах, не связанной с банковским обслуживанием указанных лиц. Попытка сокрытия, не предоставления и предоставления искаженной информации, оказывающей влияние на принятие управленческого решения в части надзора и оценки деятельности кредитной организации, всегда будет трактоваться в пользу наиболее уязвимого звена банковской деятельности - вкладчиков, в том числе - физических лиц.

Не предоставление Центральному банку Российской Федерации информации, на получение которой он имеет установленное законодательством право, объективно может расцениваться как сокрытие отрицательной информации и служить косвенным основанием для принятия к кредитной организации мер воздействия, вплоть до отзыва лицензии (по факту соответствующего контроля).

В соответствии с законом от 10.07.2002 N 86-ФЗ "О Центральном Банке Российской Федерации (Банке России)" (ред. от 29.12.2014) ст. 58 Центральный банк Российской Федерации не вправе устанавливать прямо или косвенно не предусмотренные федеральными законами ограничения на проведение операций с клиентами кредитных организаций, а также не вправе обязывать кредитные организации требовать от их клиентов документы, не предусмотренные федеральными законами.

Наряду с ежегодной разработкой и проведением единой государственной денежно-кредитной политики, направленной на защиту и обеспечение устойчивости рубля, Центральный банк Российской Федерации осуществляет государственную регистрацию кредитных организаций и надзор за деятельностью кредитных организаций. В целях осуществления указанных функций проводит анализ и прогнозирование состояния экономики Российской Федерации, денежно-кредитных, валютно-финансовых и ценовых отношений.

Руководствуясь соображениями экономической стабильности в денежно-кредитных отношениях в стране, Центральный банк Российской Федерации выступает в качестве органа, ответственного за финансовую политику государства и за общий контроль над финансово - кредитной системой как в целом, так и в рамках ее отдельных участников. В основе выработки Центральным банком Российской Федерации форм и методов банковского регулирования и надзора лежат выработанные Базельским комитетом по банковскому надзору "Базовые принципы эффективного надзора за банковской деятельностью" (1997 г.). Они носят рекомендательный характер, но являются при этом основополагающими для большинства главных банков и кредитных организаций развитых стран мира. На этих принципах базируются сегодня вопросы систематизации и оценки рисков банковской деятельности, внутреннего контроля и банковского аудита, корпоративного управления и взаимоотношений органов банковского надзора и аудита и т.д. [17, с. 2].

Во исполнение своих функций в области банковского регулирования и надзора Центральный банк Российской Федерации принимает решение о государственной регистрации кредитных организаций и в целях осуществления им контрольных и надзорных функций ведет Книгу государственной регистрации кредитных организаций, выдает кредитным организациям лицензии на осуществление банковских операций, приостанавливает действие указанных лицензий и отзывает их.

Центральный банк Российской Федерации вправе в соответствии с федеральными законами устанавливать квалификационные требования к кандидатам на должности членов Совета директоров (наблюдательного совета), единоличного исполнительного органа, его заместителей, членов коллегиального исполнительного органа, главного бухгалтера, заместителей главного бухгалтера кредитной организации, а также к кандидатам на должности руководителя, заместителей руководителя, главного бухгалтера, заместителей главного бухгалтера филиала кредитной организации.

Несмотря на законодательный запрет вмешательства Центрального банка Российской Федерации в финансово-хозяйственную деятельность кредитных организаций, на Центральный банк Российской Федерации возложены и определенные контрольно-надзорные функции в этой области. Так, приобретение и (или) получение в доверительное управление (далее - приобретение) в результате осуществления одной или нескольких сделок одним юридическим или физическим лицом, либо группой юридических и (или) физических лиц, связанных между собой соглашением, либо группой юридических лиц, являющихся дочерними или зависимыми организациями по отношению друг к другу, более 5% акций (долей) кредитной организации требуют уведомления Центрального банка Российской Федерации, а более 20% - предварительного согласия Центрального банка Российской Федерации.

Центральный банк Российской Федерации имеет право отказать в даче согласия на приобретение более 20% акций (долей) кредитной организации в случае выявления неудовлетворительного финансового положения их приобретателей, а также в иных случаях, установленных законодательством.

В целях обеспечения устойчивости кредитных организаций Центральный банк Российской Федерации может устанавливать следующие обязательные нормативы:

) минимальный размер уставного капитала для создаваемых кредитных организаций, размер собственных средств (капитала) для действующих кредитных организаций в качестве условия создания на территории иностранного государства их дочерних организаций и (или) открытия их филиалов, получения небанковской кредитной организацией статуса банка, а также получения кредитной организацией статуса дочернего банка иностранного банка;

) предельный размер имущественных (неденежных) вкладов в уставный капитал кредитной организации;

) максимальный размер риска на одного заемщика или группу связанных заемщиков;

) максимальный размер крупных кредитных рисков;

) нормативы ликвидности кредитной организации;

) нормативы достаточности собственных средств (капитала);

) размеры валютного, процентного и иных финансовых рисков;

) минимальный размер резервов, создаваемых под риски;

) нормативы использования собственных средств (капитала) кредитной организации для приобретения акций (долей) других юридических лиц;

) максимальный размер кредитов, банковских гарантий и поручительств, предоставленных кредитной организацией (банковской группой) своим участникам (акционерам).

Названные выше обязательные нормативы могут устанавливаться Центральным банком Российской Федерации и для банковских групп.

Основная цель нормативов, установленных Центральным банком Российской Федерации для коммерческих банков, - предотвратить их неплатежеспособность и тем самым защитить интересы его клиентов, вкладчиков, корреспондентов. Таким образом, регулирование деятельности коммерческих банков по средствам установления нормативов и надзора за их исполнением направлено на предотвращение невозврата ссуд и убытков банка [22, с. 156-157].

Контроль за соблюдением банками экономических нормативов органы надзора осуществляют с помощью анализа представляемой отчетности. При несоблюдении установленных коэффициентов органами надзора по отношению к кредитным организациям применяются штрафные санкции, а в отдельных случаях у них могут быть введены ограничения на проведение банковских операций.

Центральный банк Российской Федерации, в соответствии с возложенными на него функциями по банковскому регулированию и надзору, регулирует размеры и порядок учета открытой позиции кредитных организаций (банковских групп) по валютному, процентному и иным финансовым рискам. Он определяет также порядок формирования и размер образуемых до налогообложения резервов (фондов) кредитных организаций для покрытия возможных потерь по ссудам, валютных, процентных и иных финансовых рисков в соответствии с федеральными законами.

Центральный банк Российской Федерации устанавливает методики определения собственных средств (капитала) кредитной организации, активов, пассивов и размеров риска по активам для каждого норматива с учетом международных стандартов и консультаций с кредитными организациями, банковскими ассоциациями и союзами.

Центральный банк Российской Федерации вправе устанавливать дифференцированные нормативы и методики их расчета по видам кредитных организаций. О предстоящем изменении нормативов и методик их расчета Центральный банк Российской Федерации официально объявляет не позднее чем за один месяц до их введения в действие.

В целях определения размера собственных средств (капитала) кредитной организации Центральный банк Российской Федерации проводит оценку ее активов и пассивов на основании методик оценки, устанавливаемых нормативными актами Центрального банка Российской Федерации. Кредитная организация обязана отразить в своей бухгалтерской и иной отчетности размер собственных средств (капитала), определенный Центральным банком Российской Федерации.

Если размер собственных средств (капитала) кредитной организации окажется меньше размера уставного капитала кредитной организации, определенного ее учредительными документами Центральный банк Российской Федерации обязан направить в такие кредитные организации требование о приведении в соответствие величины собственных средств (капитала) и размера уставного капитала. Кредитная организация обязана исполнить требование Центрального банка Российской Федерации в порядке, сроки и на условиях, которые установлены Федеральным законом "О несостоятельности (банкротстве) кредитных организаций".

В случаях нарушения кредитной организацией федеральных законов, издаваемых в соответствии с ними нормативных актов и предписаний Центрального банка Российской Федерации, непредставления информации, представления неполной или недостоверной информации Центральный банк Российской Федерации имеет право требовать от кредитной организации устранения выявленных нарушений, взыскивать штраф в размере до 0,1% минимального размера уставного капитала либо ограничивать проведение кредитной организацией отдельных операций на срок до шести месяцев.

В случае неисполнения в установленный Центральным банком Российской Федерации срок предписаний Центрального банка Российской Федерации об устранении нарушений, выявленных в деятельности кредитной организации, а также если эти нарушения или совершаемые кредитной организацией банковские операции или сделки создали реальную угрозу интересам ее кредиторов (вкладчиков), Центральный банк Российской Федерации вправе:

) взыскать с кредитной организации штраф в размере до 1% размера оплаченного уставного капитала, но не более 1% минимального размера уставного капитала;

) потребовать от кредитной организации:

-  осуществления мероприятий по финансовому оздоровлению кредитной организации, в том числе изменения структуры ее активов;

-       замены руководителей кредитной организации, перечень должностей которых указан в статье 60 федерального закона "О несостоятельности (банкротстве) кредитных организаций"; осуществления реорганизации кредитной организации;

3) изменить на срок до шести месяцев установленные для кредитной организации обязательные нормативы;

) ввести запрет на осуществление кредитной организацией отдельных банковских операций, предусмотренных выданной ей лицензией на осуществление банковских операций, на срок до одного года, а также на открытие ею филиалов на срок до одного года;

) назначить временную администрацию по управлению кредитной организацией на срок до шести месяцев. Порядок назначения и деятельности временной администрации устанавливается федеральными законами и издаваемыми в соответствии с ними нормативными актами Центрального банка Российской Федерации;

) ввести запрет на осуществление реорганизации кредитной организации, если в результате ее проведения возникнут основания для применения мер по предупреждению банкротства кредитной организации, предусмотренные Федеральным законом "О несостоятельности (банкротстве) кредитных организаций";

) предложить учредителям (участникам) кредитной организации, которые самостоятельно, или в силу существующего между ними соглашения, либо участия в капитале друг друга, либо иных способов прямого или косвенного взаимодействия имеют возможность оказывать влияние на решения, принимаемые органами управления кредитной организации, предпринять действия, направленные на увеличение собственных средств (капитала) кредитной организации до размера, обеспечивающего соблюдение ею обязательных нормативов.

Центральный банк Российской Федерации вправе отозвать у кредитной организации лицензию на осуществление банковских операций по основаниям, предусмотренным Федеральным законом "О банках и банковской деятельности". Порядок отзыва лицензии на осуществление банковских операций устанавливается нормативными актами Центрального банка Российской Федерации.

Сроки наложения взысканий и применения соответствующих мер воздействия к кредитным организациям, допустившим соответствующие нарушения, установлены гражданским законодательством Российской Федерации, Федеральными законами "О банках и банковской деятельности" и "О Центральном банке Российской Федерации (Банке России)" и не могут нарушаться контролирующими органами.

Центральный банк Российской Федерации осуществляет анализ деятельности кредитных организаций (банковских групп) в целях выявления ситуаций, угрожающих законным интересам их вкладчиков и кредиторов, стабильности банковской системы Российской Федерации.

В случае возникновения таких ситуаций Центральный банк Российской Федерации вправе принимать меры, предусмотренные законом, а также по решению Совета директоров осуществлять мероприятия по финансовому оздоровлению кредитных организаций.

В целях защиты интересов вкладчиков и кредиторов Центральный банк Российской Федерации, в соответствии с законом, вправе назначить в кредитную организацию, у которой отозвана лицензия на осуществление банковских операций, уполномоченного представителя Центрального банка Российской Федерации. Порядок деятельности уполномоченного представителя Центрального банка Российской Федерации устанавливается федеральными законами и издаваемыми в соответствии с ними нормативными актами Центрального банка Российской Федерации.

В период деятельности уполномоченного представителя Центрального банка Российской Федерации кредитная организация вправе осуществлять разрешенные ей федеральными законами сделки только по согласованию с уполномоченным представителем Центрального банка Российской Федерации в порядке, установленном Федеральным законом "О банках и банковской деятельности".

С момента создания ликвидационной комиссии (ликвидатора) или назначения арбитражным судом арбитражного управляющего деятельность уполномоченного представителя Центрального банка Российской Федерации прекращается.

Главой XI Федерального закона "О Центральном банке Российской Федерации (Банке России)" регламентируются также взаимоотношения главного банка Российской Федерации с кредитными организациями [7]. Установлено, что Центральный банк Российской Федерации взаимодействует кредитными организациями, их ассоциациями и союзами путем проведения разного рода консультаций с ними перед принятием наиболее важных решений нормативного характера, предоставления им необходимых разъяснений и рассмотрения поступающих от них предложений по различным вопросам регулирования банковской деятельности.

Центральный банк Российской Федерации в соответствии с законом "О Центральном банке Российской Федерации (Банке России)" обязан давать ответ в письменной форме кредитной организации по вопросам, отнесенным к его компетенции, не позднее чем в месячный срок со дня получения письменного запроса кредитной организации. (При необходимости срок рассмотрения указанного запроса может быть продлен Центральным банком Российской Федерации, но не более чем на один месяц).

Современное состояние банковского регулирования и надзора во всем мире оценивается как динамично развивающееся и приближающее всемирное банковское сообщество к единым принципам и целям. В рамках ЕС разработана и реализуется собственная концепция надзора за финансовыми институтами. Установленные ЕС правила имеют обязательную силу и распространяются на все кредитные организации сообщества, а не только на банки, осуществляющие международные операции. Европейская концепция банковского надзора построена на принципах:

-  взаимного признания,

-       единой банковской лицензии,

-       контроля за деятельностью банков со стороны органов надзора страны происхождения банка [22, с. 164].

В государствах ЕС к настоящему моменту успешно проведена работа по сближению правил банковской деятельности и достижению согласованности в действиях органов надзора разных стран - членов ЕС для обеспечения безопасности и надежности функционирования финансовых систем: установлены сходные минимальные требования, предъявляемые к кредитным организациям по капиталу (стартовому и достаточному для действующего банка, объему информации об акционерах, а также ограничения на участие в капитале нефинансовых компаний и т.п.).

Это привело к взаимному признанию надзорными органами государств Сообщества адекватности надзорных правил и процедур, применяемых к кредитным организациям их коллегами в других странах ЕС, и позволило ввести на территории ЕС единую банковскую лицензию.

Надзорные функции осуществляются специальными учреждением Дании (Управление финансового надзора при Министерстве промышленности), Канаде (Бюро надзора за финансовыми учреждениями), а также в Норвегии, Швеции.

Органы надзора реализуют свои функции путем:

-  регулирования выхода организаций на рынок банковских услуг;

-       установления для функционирующих банков экономических нормативов и пруденциальных норм деятельности и осуществления документарного надзора за их соблюдением;

-       проведения инспекционных проверок на местах;

-       выдвижения требований к кредитным организациям по устранению выявленных недостатков и контроля за их выполнением банками в строго определенные сроки;

-       вмешательства в случае необходимости в деятельность кредитных организаций.

Контроль за регистрацией нового банка - начальный этап осуществления надзора. Создание банка обычно регулируется общим или специальным банковским законодательством. В большинстве стран требуется особое разрешение на открытие банка, но в ряде случаев учредители могут ограничиться простой его регистрацией [22, с. 157].

Центральное звено в системе надзора за деятельностью кредитных организаций большинства стран - документарный, или дистанционный, надзор за банками. Его задача - посредством постоянного контроля выявить на ранней стадии возникновение проблем в банке, обострение которых может вызвать неплатежеспособность и банкротство кредитной организации, в целях проведения действенных мероприятий по преодолению выявленных негативных явлений и тенденций.

Постоянный контроль со стороны органов надзора за состоянием банков осуществляется на основе анализа установленных форм отчетности, регулярно представляемых кредитными организациями в обязательном порядке.

Существуют международные стандарты бухгалтерского учета и финансовой отчетности, соблюдение которых призвано дать ясное и неискаженное представление о деятельности кредитной организации в следующих целях: информирования наибольшего числа пользователей (клиентов, партнеров, надзорных органов), позволяющею им принимать правильные экономические решения например в отношении оценки безопасности банковских депозитов или предоставленных кредитов, устойчивости положения банка; сохранения доверия к банку и банковской системе в целом обеспечения сопоставимости результатов деятельности различных кредитных организаций в международном плане.

Каждая страна имеет свои особенности в получении первичной информации о состоянии банков.

В Англии надзорные органы получают от банков годовые балансы, заверенные внешними аудиторами, и отчеты о некоторых видах операций немедленно по их совершении.

В Германии текущий контроль за деятельностью банков осуществляется на основе их ежемесячных отчетов о платежеспособности, ликвидности, рисковых активах, ссудах инсайдерам и т.д. По итогам года представляется годовой баланс и отчет о прибылях и убытках. Федеральное ведомство по надзору за кредитными организациями может требовать от банков любую информацию, включая бухгалтерские книги и документацию.

В Нидерландах банки ежемесячно отчитываются о своей платежеспособности, ликвидности, задолженности по странам, открытой валютной позиции, просроченным кредитам и резервным отчислениям. Кроме ежемесячных отчетов органы надзора получают и опубликованные годовые отчеты банков с расчетами коэффициентов за год, заверенные внешними аудиторами, которые также ежегодно должны удостоверять и один из ежемесячных отчетов. Вместе с годовыми отчетами в Управление надзора Банка Нидерландов поступает и письмо правлению коммерческого банка от внешнего аудитора с выводами по этому отчету.

Во Франции, не заверенные внешними аудиторами отчеты представляются банком раз в квартал на дискетах. Основная отчетность подается раз в полгода (баланс, отчет о прибылях и убытках, коэффициент платежеспособности и т.д.). Сокращенные балансы пересылаются ежемесячно. Кроме того, регулярно подаются сведения о крупных кредитах. При необходимости данные отчетности дополняются сведениями из анкет, которые банки заполняют уже в течение нескольких лет, например, об общей сумме сомнительных внутренних и зарубежных кредитов, созданных резервных фондах.

В США, где существует очень жесткий банковский контроль, банки ежеквартально представляют полные отчеты о своем финансовом положении и доходах.

Надзорные органы устанавливают для банков пруденциальные нормы деятельности, соблюдение которых оценивается на основании получаемой от них отчетности, эти нормы регламентируют достаточность банковского капитала, управление банковской ликвидностью, риски концентрации и рыночные риски.

Таким образом, общим для всех стран является создание системы норм и правил, обязательных для выполнения банками, и системы контроля за их соблюдением, однако, учитывая интернациональность международных связей, необходимы унифицированные требования, предъявляемые к банкам. Среди них на первом месте стоит требование по достаточности капитала.

В известном смысле кризисные явления можно рассматривать как неизбежное следствие интенсивного роста финансового сектора. В наибольшей степени, как показывает практика, они затрагивают страны с развивающимися и переходными экономиками, для которых характерны периоды монетизации - когда объемы кредитования и капитализация фондового рынка увеличиваются крайне высокими темпами. Именно такую картину можно, в частности, наблюдать в России, где банковские активы и капитализация фондового рынка растут высокими темпами на фоне отставания от общемирового уровня по показателю отношения финансовых активов к ВВП.

Центральный Банк Российской Федерации имеет полномочия в области антимонопольного регулирования банковской деятельности. Положения, регламентирующие антимонопольное регулирование, содержатся в ст. 60 Федерального закона "О Центральном банке Российской Федерации (Банке России)", в ст. 11 Закона "О банках и банковской деятельности в РФ".

Данные положения применяются как в отношении создаваемой кредитной организации, так и при приобретении долей (акций) действующей кредитной организации, в том числе и на вторичном рынке.

Если в результате одной или нескольких сделок одним приобретателем либо группой лиц, связанных между собой соглашением, либо группой юридических лиц, являющихся в соответствии [1, ст. 105, 106] дочерними или зависимыми по отношению друг к другу; приобретается более 5% долей (акций) кредитной организации, то требуется уведомление Центрального банка РФ, покупка же более 20% долей (акций) кредитной организации должно быть предварительно согласовано с Центральным банком Российской Федерации [1]. Причем предварительное согласие должно быть получено при каждом приобретении доли, составляющей более 20% уставного капитала кредитной организации.

Если доли учредителей или участников превысят 20% долей (акций) кредитной организации вследствие уменьшения ее уставного капитала, то в этом случае предварительного согласования с Центральным банком Российской Федерации не требуется, поскольку дополнительного приобретения долей (акций) в результате заключения новых сделок не происходит.

Юридические лица, связанные между собой соглашением, либо группа юридических лиц, являющихся дочерними или зависимыми по отношению друг к другу, вправе приобрести более 20% долей (акций) действующей кредитной организации в том случае, если они имеют устойчивое финансовое положение и действуют в течение трех лет.

Сделка, в результате которой приобретатель будет владеть более 20% долей (акций) кредитной организации без получения предварительного согласия Центрального банка Российской Федерации, является недействительной.

Обязанность получения предварительного согласия Центрального банка Российской Федерации на приобретение более 20% долей (акций) кредитной организации лежит на приобретателе или приобретателях, связанных между собой соглашением и являющихся дочерними или зависимыми по отношению друг к другу, либо на уполномоченном им (ими) лице. Ходатайство о получении предварительного согласия Центрального банка Российской Федерации на такое приобретение долей (акций) кредитной организации представляется указанными лицам и в территориальное учреждение Центрального банка Российской Федерации, осуществляющее надзор за деятельностью этой кредитной организации. Причем в ходатайстве о возможности приобретения более 20% долей (акций) должно быть указано на отсутствие или наличие связи приобретателей долей (акций) с другими приобретателями и (или) владельцами долей (акций) кредитной организации, а также на характер такой связи: соглашение, взаимное участие в капитале друг друга либо иная форма связи.

При решении вопроса о выдаче предварительного согласия на приобретение свыше 20% долей (акций) кредитной организации территориальное учреждение Центрального банка Российской Федерации рассматривает следующие документы:

нотариально удостоверенные копии документов, подтверждающих государственную регистрацию юридических лиц, приобретающих более 20% долей (акций) юридических лиц - учредителей кредитной организации;

нотариально удостоверенные копии учредительных документов юридического лица - приобретателя;

аудиторские заключения о достоверности финансовой отчетности приобретателей - юридических лиц с приложением балансов и отчетов о прибылях и убытках затри последних года деятельности, балансов по состоянию на последнюю отчетную дату с отметками налоговых органов;

подтверждения налогового органа об отсутствии задолженности по обязательствам перед бюджетами всех уровней;

расчеты показателей чистых активов (собственных средств) и коэффициента текущей ликвидности. При определении достаточности собственных средств лица, приобретающего более 20% долей (акций) при создании кредитной организации или увеличении ее уставного капитала, не учитываются акции (доли) в части, находящейся в перекрестном владении с другим участником кредитной организации (взаимное участие в уставном капитале), а также доли (акции) в части, находящейся в перекрестном владении участника и кредитной организации (взаимное участие в уставном капитале);

-  список участников юридического лица - приобретателя долей (акций) кредитной организации (открытые акционерные общества и закрытые акционерные общества с числом акционеров более 50 человек представляют список своих акционеров, владеющих более 5% акций);

-       заключение федерального антимонопольного органа о соблюдении антимонопольных правил.

Данные документы рассматриваются территориальным учреждением Центрального банка Российской Федерации, которое (в течение 30 дней с момента их получения сообщает заявителю о своем решении - согласии либо мотивированном отказе. Основанием для отказа может служить неудовлетворительное финансовое положение приобретателя (приобретателей) долей (акций). Если в указанный срок Центральный банк Российской Федерации не сообщил о принятом решении, то вопрос о приобретении долей (акций) кредитного учреждения считается разрешенным.

.3 Банковское законодательство в области регулирования деятельности кредитных организаций

Все государства в мире осуществляют контроль над деятельностью кредитных организаций. Государство обязано защищать вкладчиков банков. Защита необходима не только от расточительного обращения с доверенными банку средствами, но и от некомпетентного управления банком. В России в 1995 году был принят новый вариант закона "О Центральном банке", в котором предусмотрены довольно жесткие экономические нормативы деятельности кредитных организаций.

Контроль со стороны ЦБ осуществляется по нескольким направлениям. В области регулирования деятельности кредитных организаций предусмотрены такие меры, как истребование информации, направление предписаний, проведение проверок и применение санкций.

В соответствии со ст. 56 закона ЦБ имеет право запрашивать у кредитных организаций информацию об их деятельности по перечню, утверждаемому Советом директоров. Кроме того, ЦБ может запрашивать банковскую и финансовую статистику для проведения анализа экономической ситуации в России у федеральных органов исполнительной власти (Минфина, Минэкономики).

Согласно ст. 74 закона ЦБ вправе проводить проверки кредитных организаций, как самостоятельно (то есть проверку проводят уполномоченные Советом директоров лица), так и поручая это аудиторским фирмам. По результатам проверок, если есть нарушения, ЦБ направляет кредитным организациям предписания об устранении нарушений. Цель проверок - выявление реального финансового состояния кредитной организации и предотвращение ситуаций, угрожающих интересам вкладчиков.

Санкции в случае нарушения кредитной организацией федеральных законов, нормативных актов и предписаний Банка России, непредставления информации, предоставления неполной или недостоверной информации Банк России имеет право требовать от кредитной организации устранения выявленных нарушений, взыскивать штраф в размере до 0,1% от размера минимального уставного капитала либо ограничивать проведение отдельных операций на срок до шести месяцев.

В случае невыполнения в установленный Банком России срок предписаний об устранении нарушений, а также в случае, если эти нарушения или совершаемые кредитной организацией операции создали реальную угрозу интересам кредиторов (вкладчиков), Банк России вправе:

. взыскать с кредитной организации штраф до 1% от размера оплаченного уставного капитала, но не более 1% от минимального размера уставного капитала;

. потребовать от кредитной организации:

а) осуществления мероприятий по финансовому оздоровлению кредитной организации, в том числе изменения структуры активов:

б) замены руководителей кредитной организации;

в) реорганизации кредитной организации;

. изменить для кредитной организации обязательные нормативы на срок до шести месяцев;

. ввести запрет на осуществление кредитной организацией отдельных банковских операций, предусмотренных выданной лицензией, на срок до одного года, а также на открытие филиалов на срок до одного года;

. назначить временную администрацию по управлению кредитной организацией на срок до шести месяцев. Порядок назначения и деятельности временной администрации устанавливается федеральными законами и издаваемыми в соответствии с ними нормативными актами ЦБ.

В целях защиты интересов кредиторов (в том числе вкладчиков) Банк России вправе назначить в кредитную организацию, у которой отозвана лицензия на осуществление банковских операций, уполномоченного представителя Банка России. В период деятельности уполномоченного представителя Банка России кредитная организация вправе осуществлять разрешенные ей федеральными законами сделки только по согласованию с уполномоченным представителем ЦБ в порядке, установленном законом "О банках и банковской деятельности". С момента создания ликвидационной комиссии (ликвидатора) или назначения арбитражным судом арбитражного управляющего деятельность уполномоченного представителя ЦБ прекращается.

ЦБ вправе отозвать у кредитной организации лицензию на осуществление банковских операций по основаниям, предусмотренным Федеральным законом "О банках и банковской деятельности".

Правоспособность кредитных организаций самостоятельно принимать управленческие решения по широкому кругу вопросов своей деятельности отнюдь не означает, что государство слабо регулирует и контролирует их. Эта деятельность за пределами права кредитных организаций на самоуправление регулируется и контролируется со стороны государства значительно строже, чем деятельность любых других коммерческих организаций.

Учредители кредитной организации самостоятельно принимают решение о ее создании, ее реорганизации и т. д. Однако порядок создания кредитной организации, ее государственной регистрации, ее реорганизации установлен на уровне федеральных законов. Федеральный закон "О Центральном банке Российской Федерации (Банке России)", например, запрещает учредителям выходить из состава участников в течение трех лет со дня регистрации банка [7, ст. 11].

Учредители самостоятельно определяют размер уставного капитала своей кредитной организации. В то же время Центральный банк Российской Федерации устанавливает не только его минимальный размер, но и структуру.

Данный закон отсекает некоторые возможные источники формирования уставного капитала кредитных организаций как недозволенные. Так, в этих целях не могут быть использованы не только привлеченные денежные средства, но и средства федерального бюджета, государственных внебюджетных фондов, свободные денежные средства и иные объекты собственности, находящиеся в ведении федеральных органов государственной власти, за исключением случаев, предусмотренных федеральными законами.

Средства бюджетов субъектов РФ, местных бюджетов, свободные денежные средства и иные объекты собственности, находящиеся в ведении органов государственной власти субъектов РФ и органов местного самоуправления, могут быть использованы для формирования уставного капитала кредитной организации лишь на основании соответствующего законодательного акта субъекта РФ или решения органа местного самоуправления в порядке, предусмотренном федеральным законодательством.

Закон "О Центральном банке Российской Федерации (Банке России)" строго регламентирует и процесс приобретения другими юридическими лицами акций (долей) кредитной организации с тем, чтобы не допустить как нарушений антимонопольных правил, так и перехода этих акций (долей) к лицам и организациям с неудовлетворительным финансовым положением.

Приобретение в результате одной или нескольких сделок одним юридическим или физическим лицом, либо группой юридических и физических лиц, связанных между собой соглашением, либо группой юридических лиц, являющихся дочерними или зависимыми по отношению друг к другу, более 5% акций (долей) кредитной организации требует уведомления Центрального банка Российской Федерации, а более 20% - предварительного согласия Центрального банка Российской Федерации [7, ст. 11].

Положением 16 июля 2012 г. № 385-П "О правилах ведения бухгалтерского учета в кредитных организациях, расположенных на территории Российской Федерации" устанавливаются правила ведения бухгалтерского учета в кредитных организациях. Указание Банка России от 12.11.2009 № 2332-У (ред. от 02.12.2014) "О перечне, формах и порядке составления и представления форм отчетности кредитных организаций в Центральный банк Российской Федерации" (Зарегистрировано в Минюсте России 16.12.2009 № 15615) (с изм. и доп., вступ. в силу с 01.01.2015) регламентируется порядок составления и предоставления финансовой и статистической отчетности. Составление и предоставление консолидированной отчетности кредитными организациями регулируется Центральным Банком Российской Федерации, с учетом международной банковской практики, "Положение о консолидированной отчетности" (утв. Банком России 30.07.2002 № 191-П) (ред. от 25.10.2013) (Зарегистрировано в Минюсте России 11.10.2002 № 3857).

Наглядный пример самого строгого государственного регулирования кредитных организаций мы видим в деятельности Центрального банка Российской Федерации по претворению в жизнь единой государственной денежно-кредитной политики.

В процессе реализации этой важнейшей экономической задачи Центральный банк Российской Федерации использует ряд инструментов и методов денежно-кредитной политики, которые многосторонне регламентируют деятельность кредитных организаций. К ним относятся [7, ст.35]:

)процентные ставки по операциям Центрального банка Российской Федерации;

)нормативы обязательных резервов, депонируемых в Банке России (резервные требования);

)операции на открытом рынке;

)рефинансирование кредитных организаций;

)валютные интервенции;

)установление ориентиров роста денежной массы;

)прямые количественные ограничения;

)эмиссия облигаций от своего имени.

Результаты применения этих инструментов и методов оказывают существенное воздействие на жизнедеятельность кредитных организаций, в первую очередь банков.

Так, например, выполнение банками норматива обязательных резервов, депонируемых в Центральный Банк Российской Федерации, ограничивает их финансовые ресурсы, необходимые им для активных операций. Ведь банки обязаны держать эти резервы в Центральном Банке Российской Федерации, для чего там открывается специальный счет.

В целом федеральным законом "О Центральном Банке Российской Федерации (Банке России)" регулируются отношения между кредитными организациями и Центральным банком Российской Федерации.

Отношения между Центральным банком Российской Федерации, кредитными организациями и их клиентами осуществляются на основе договоров.

В договоре должны быть указаны процентные ставки по кредитам и вкладам (депозитам), стоимость банковских услуг и сроки их выполнения, в том числе сроки обработки платежных документов, имущественная ответственность сторон за нарушения договора, включая ответственность за нарушение обязательств по срокам осуществления платежей, а также порядок его расторжения и другие существенные условия договора.

Клиенты вправе открывать необходимое им количество расчетных, депозитных и иных счетов в любой валюте в банках с согласия последних, если иное не установлено федеральным законом; однако сам порядок открытия, ведения и закрытия банком счетов клиентов в рублях и иностранной валюте устанавливается Центральным банком Российской Федерации в соответствии с федеральными законами.

Участники кредитной организации не имеют каких-либо преимуществ при рассмотрении вопроса о получении кредита или об оказании им других банковских услуг, если иное не предусмотрено федеральным законом [3, ст.30].

В рамках государственного регулирования банковской деятельности важное место занимает регулирование валютных операций, которые отнесены законом к числу банковских операций, в первую очередь, речь идет об операциях с иностранной валютой и ценными бумагами в иностранной валюте [3, ст.5].

Основным органом валютного регулирования в РФ является Центральный банк Российской Федерации.

Для совершения валютных операций требуется получение соответствующего специального разрешения (лицензии) Центрального банка Российской Федерации. Право на совершение валютных операций имеют как резиденты, так и нерезиденты [п. 1 ст. 9]. Данный вид регулирования Центральный Банк Российской Федерации проводит в рамках Федерального закона "О валютном регулировании и валютном контроле".

Правовой основой регулирования валютной деятельности кредитных организаций являются Федеральный закон № 173-ФЗ от 10 декабря 2003 года "О валютном регулировании и валютном контроле" (действующая редакция от 04.11.2014).

Центральный банк Российской Федерации не только проводит все виды валютных операций, но и определяет сферу и порядок обращения в РФ иностранной валюты и ценных бумаг в иностранной валюте; издает нормативные акты (инструкции, методические рекомендации), обязательные к исполнению в РФ резидентами и нерезидентами; устанавливает правила проведения резидентами и нерезидентами в РФ операций с иностранной валютой и ценными бумагами в иностранной валюте, а также правила проведения нерезидентами в РФ операций с валютой РФ и ценными бумагами в валюте РФ.

Существенное место в регулировании валютных операций занимает валютный контроль. Цель валютного контроля - обеспечение и соблюдения валютного законодательства при осуществлении валютных операций [5, ст. 10].

Государство на основе Гражданского кодекса, Федерального закона от 22 апреля 1996 года "О рынке ценных бумаг" и других нормативно-правовых актов строго регулирует деятельность кредитных организаций как участников операций с ценными бумагами.

Инструкция Банка России от 27.12.2013 № 148-И (ред. от 25.11.2014) "О порядке осуществления процедуры эмиссии ценных бумаг кредитных организаций на территории Российской Федерации" (Зарегистрировано в Минюсте России 28.02.2014 № 31458) устанавливает правила выпуска и государственной регистрации акций, облигаций и иных эмиссионных ценных бумаг кредитными организациями на территории Российской Федерации: Выпуски (дополнительные выпуски) ценных бумаг кредитных организаций подлежат государственной регистрации в Банке России (Департаменте лицензирования деятельности и финансового оздоровления кредитных организаций Центрального банка Российской Федерации и территориальных учреждениях Центрального банка Российской Федерации.

Согласно данной Инструкции, кредитная организация может выпускать ценные бумаги именные и на предъявителя. Именные ценные бумаги кредитной организации могут выпускаться только в бездокументарной форме, за исключением случаев, предусмотренных федеральными законами. Ценные бумаги кредитной организации на предъявителя могут выпускаться только в документарной форме.

Инструкция Банка России от 02.04.2010 № 135-И (ред. от 25.11.2014) "О порядке принятия Банком России решения о государственной регистрации кредитных организаций и выдаче лицензий на осуществление банковских операций" (Зарегистрировано в Минюсте России 22.04.2010 № 16965) устанавливает порядок принятия Центральным банком Российской Федерации решения о государственной регистрации кредитных организаций и выдаче лицензий на осуществление банковских операций.

Надзор за уполномоченными банками и их зарубежными филиалами осуществлялся в соответствии с Инструкцией Центрального банка Российской Федерации от 11.09.97 № 65 "О порядке осуществления надзора за банками, имеющими филиалы" с учетом требований настоящей Инструкции и заключенных соглашений между Центральным банком Российской Федерации и органом банковского надзора страны местонахождения зарубежного филиала. Утратил силу, в связи с введением Указания Банка России от 26.01.2010 № 2388-У "Об упорядочении нормативных актов Банка России"

Инструкция Банка России от 03.12.2012 № 139-И (ред. от 18.12.2014) "Об обязательных нормативах банков" (Зарегистрировано в Минюсте России 13.12.2012 № 26104) (с изм. и доп., вступ. в силу с 01.01.2015). Настоящая Инструкция устанавливает числовые значения и методику расчета следующих обязательных нормативов банков (далее - обязательные нормативы):

-    достаточности капитала (в ред. Указания Банка России от 25.10.2013 № 3097-У);

-       ликвидности;

-       максимального размера риска на одного заемщика или группу связанных заемщиков;

-       максимального размера крупных кредитных рисков;

-       максимального размера кредитов, банковских гарантий и поручительств, предоставленных банком своим участникам (акционерам);

-       совокупной величины риска по инсайдерам банка;

-       использования собственных средств (капитала) банков для приобретения акций (долей) других юридических лиц.

Инструкция Центрального Банка Российской Федерации от 11.11.2005 № 126-И (ред. от 30.11.2009) "О порядке регулирования отношений, связанных с осуществлением мер по предупреждению несостоятельности (банкротства) кредитных организаций" устанавливает порядок регулирования отношений, связанных с осуществлением мер по предупреждению несостоятельности (банкротства) кредитных организаций.

Выводы

Банковская система Российской Федерации, как и любая современная банковская система, не является самоуправляющейся, она регулируется и контролируется государством. К управлению банковской системой имеет отношение большое количество государственных органов. В конечном счете, они реализуют свою политику и регулирующие функции опосредованно через Центральный банк Российской Федерации, во-первых, формируя его, а во-вторых - контролируя и направляя его деятельность. В результате создается публично-правовой статус Центрального банка, который для более тесной координации своей деятельности со всей банковской системой обладает еще и статусом одной из кредитных организаций России.

2. Анализ системы регулирования центральным банком Российской Федерации деятельности кредитных организаций

.1 Современное состояние банковской системы Российской Федерации

Оправившись после кризиса 1998 года, банковская система России не приобрела еще необходимого запаса прочности. В сегодняшних условиях возможность валютного кризиса в России сводится к минимуму действиями руководства Центрального банка Российской Федерации. Больший интерес в настоящее время представляет изучение развития диспропорций и возможного роста нестабильности в банковской системе. Интегрирование российской экономики в международную экономическую среду требует повышения качества банковского надзора.

Так, исходя из статьи 11 Федерального закона "О банках и банковской деятельности" (с дополнениями) следует, что:

· Минимальный размер уставного капитала банка на день подачи ходатайства о государственной регистрации и выдаче лицензии на осуществление банковских операций устанавливается в сумме 300 миллионов рублей.

·              Минимальный размер уставного капитала вновь регистрируемой не банковской кредитной организации, ходатайствующей о получении лицензии, предусматривающей право на осуществление расчетов по поручению юридических лиц, в том числе банков-корреспондентов, по их банковским счетам, на день подачи ходатайства о государственной регистрации и выдаче лицензии на осуществление банковских операций устанавливается в сумме 90 миллионов рублей.

·              Минимальный размер уставного капитала вновь регистрируемой не банковской кредитной организации, не ходатайствующей о получении такой лицензии, на день подачи ходатайства о государственной регистрации и выдаче лицензии на осуществление банковских операций устанавливается в сумме 18 миллионов рублей.

А действующие банки, размер собственных средств (капитала) которых не соответствует этим нормам, будут вправе продолжать свою деятельность только при соблюдении следующего требования:

· с 1 января 2010 года капитал должен быть не менее 90 миллионов рублей,

·              с 1 января 2012 года их капитал должен составить не менее 180 миллионов рублей,

·              с 1 января 2015 года капитал должен быть не менее 300 миллионов рублей.

Теперь давайте посмотрим, как Центральным Банком РФ группируются банки второго уровня исходя из величины зарегистрированного уставного капитала банка:

Таблица 1 Группировка банков второго уровня

Размер уставного капитала (млн.руб)

Количество банков на 01.01.2008 г.

Уд. вес (%)

Количество банков на 01.01.2009 г.

Уд. вес (%)

Количество банков на 01.01.2010 г.

Уд. вес (%)

Количество банков на 01.01.2011 г.

Уд. вес (%)

Количество банков на 01.01.2012 г.

Уд вес (%)

Количество банков на 01.01.2013 г.

Уд вес (%)

Количество банков на 01.01.2014 г.

Уд вес (%)

От 10 млрд. руб. и выше

-

-

-

-

21

2,0

22

2,2

22

2,2

23

2,4

25

2,7

От 1 до 10 млрд. руб.

-

-

-

-

128

12,1

133

13,1

143

14,6

154

16,1

161

17,4

От 500 млн. до 1 млрд. руб.

-

-

-

-

109

10,3

103

10,2

114

11,7

123

12,9

116

12,6

От 300,0 и выше/От 300 до 500 млн. руб.

302

26,6

339

30,62

350

33,1

98

9,7

101

10,3

95

9,9

116

12,96

От 150,0 до 300,0

248

21,8

254

22,9

252

23,8

250

24,7

263

26,9

276

28,9

251

27,2

От 60,0 до 150,0

207

18,2

17,5

204

19,3

222

21,9

199

20,3

168

17,6

143

15,5

От 30,0 до 60,0

161

14,2

140

12,6

117

11,1

98

9,7

62

6,3

46

4,8

36

3,9

От 10,0 до 30,0

120

10,6

99

8,9

71

6,7

46

4,5

41

4,2

41

4,3

45

4,9

От 3,0 до 10,0

61

5,4

51

4,6

38

3,6

23

2,3

18

1,8

15

1,6

15

1,6

До 3,0

37

3,3

31

2,8

26

2,5

17

1,7

15

1,5

15

1,6

15

1,6

Всего

1136

100

1108

100

1058

100

1012

100

978

100

956

100

923

100


Итак, на 01.01.2014 года только 418 банков (25+161+116+116) имеют уставный капитал, который соответствует требованиям ЦБ, и 251 банк, чей уставный капитал находится в досягаемой близости к этому критерию, что соответственно составляет 45,3 % и 27,2 % от общего количества банков. А с учетом ещё и всех основных показателей деятельности банков, Банк России ежемесячно определяет список 30 крупнейших банков.

Исходя из требований Банка России к уставному капиталу, многие банки претерпевают следующие трансформации:

· Объединяются с целью увеличения и сохранения капиталов, т.е. происходит слияние капиталов;

·              Крупные банки покупают более мелкие банки, т.е. происходит поглощение;

·              Закрываются в связи с банкротством или в связи с невозможностью мелких банков выполнять требования ЦБ по работе и размеру уставного капитала, т.е. осуществляется самоликвидация или ликвидация по решению суда.

Процессы слияния, поглощения или закрытия банков идут постоянно, но после поднятия Банком России планки по минимальной величине уставного капитала - количество таких процессов резко увеличится. Кроме того, банки закрываются и в связи с нарушениями законов.

Так, только с 1 октября по 13 декабря 2013 года Банк России сообщил о прекращении деятельности ряда банков, у которых отозваны лицензии в связи с их ликвидацией. Так, например, лицензии отозваны у таких банков, как:

· АКБ "БРР" (ОАО) г. Владикавказ - наличие капитала ниже 2 процентов;

·              КБ "КБЦ" (ООО) г. Тверь - за нарушение законов.

·              КБ "Национальный Республиканский Банк" (ООО) г. Москва - нарушение законов и нормативных актов

·              КБ "Мастер-Банк" (ОАО) г. Москва - проведение крупномасштабных сомнительных операций, нарушение законов и нормативных актов

·              АКБ "Инвестбанк" (ОАО) (г. Москва) - неисполнение федеральных законов и нормативных актов Банка России, установлением фактов существенной недостоверности отчетных данных.

Кроме того, полным ходом идет реорганизация некоторых кредитных организаций, что также сокращает общее число банков в России. Так, например:

· 14 января 2014 года Банк России сообщил о том, что в соответствии с требованиями статьи 23 Федерального закона от 02.12.1990 № 395-1 начата процедура реорганизации Акционерного коммерческого банка "Абсолют Банк" (открытое акционерное общество) в форме присоединения к нему КИТ Финанс Инвестиционного банка (Открытое акционерное общество).

·              13 ноября 2014 года Ханты-Мансийский банк сообщил о завершении присоединения Банка "Открытие" и Новосибирского Муниципального банка. После завершения реорганизации из 3 банков получится 1.

По прогнозам ряда аналитиков, начавшееся в период финансового кризиса сокращение количества действующих банков России продолжится. Как я уже говорила, что многие эксперты ожидают значительное сокращение количества действующих банков (до 500), но сколько банков останется фактически, твердо сказать никто не может и будет ли это плохо или хорошо для России будет видно спустя некоторое время.

Мировой опыт, однако показывает, что если банк нашел и устойчиво занял определенную нишу по банковским услугам, то не важно - крупный это или мелкий банк, главное, чтобы он умел работать без нарушения законодательства и нормативов. Пример небольшой Швейцарии, где мирно сосуществуют крупные и мелкие банки, а банков так "неприлично" много, что яблоку негде упасть - показателен. Там работа есть всем, и каждый банк нужен и к месту. А по данным Федеральной корпорации страхования вкладов (FDIC) в США на конец третьего квартала 2013 года работало банков - 6 891.

Конечно очень плохо, когда вместо качественного контроля и эффективного регулирования деятельности банков, мы кидаемся из крайности в крайность. Было бы более разумным не закрывать небольшие банки, и особенно в регионах, но ограничивать их максимальные суммы выдаваемых в одни руки кредитов и ограничивать прием вкладов от одного вкладчика определенными параметрами, увязывая все это с величиной капитала т.е. ориентируя их на обслуживание малого бизнеса и физических лиц, и пусть себе работают.

Сокращение количества банков

Статистика по сокращению количества банков в России за последние 15 лет выглядит следующим образом:

Таблица 2 Количество банков в России

Дата

Количество банков в России на выбранную дату

В т.ч. количество банков в Москве

01.01.2001 г.

1311

578

01.01.2002 г.

1319

620

01.01.2003 г.

1329

645

01.01.2004 г.

1329

661

01.01.2005 г.

1299

656

01.01.2006 г.

1253

631

01.01.2007 г.

1189

593

01.01.2008 г.

1136

555

01.01.2009 г.

1108

543

01.01.2010 г.

1058

522

01.01.2011 г.

1012

514

01.01.2012 г.

978

502

01.01.2013 г.

956

494

01.01.2014 г.

923

489

01.10.2014 г.

859

457


Количество банков в России за последние годы постоянно снижается. Это подтверждает заключения экспертов, которые уже давно говорят, что в ближайшие годы в России останется около 500 - 600 банков. И действительно, прогнозы аналитиков по количеству банков вполне реальны. Чтобы убедиться в этом, стоит посмотреть на количество банков в свете последних изменений в законодательстве по размеру уставного фонда.

Итак, сколько банков в России и сколько из них мелких банков? В соответствии с данными Банка РФ по состоянию на 01.01.2014 года количество коммерческих банков и не банковских организаций в России составляет - 923, из них только - 418 (45,3%) можно твердо отнести к крупным или соответствующим требованиям по величине уставного капитала.

Из общего количества банков на начало 2014 года - 489 банков, или 53 % зарегистрированы и имеют головной офис в Москве. При таком количестве банков в Москве и при ориентировочной численности населения Москвы в 10,4 млн. человек получается, что на каждые 21.3 тысяч населения столицы приходится один банк.

Количество банков на 01.01.2014 года составило 923, то есть за прошедший год сократилось еще на 33 банка (956 - 923). А количество банков за последние 6 лет (с 2007 по 2014 годы) сократилось уже на 213 банков (1136 - 923) что составляет 18,8 %, и что самое печальное, что быстрыми темпами происходит сокращение банков практически по всем Федеральным округам. Если так пойдет и дальше, то региональные банки в ближайшее время просто могут исчезнуть.

Динамика общего количества банков России в разрезе Федеральных округов, за последние 7 лет выглядит так:

Таблица 3 Количество банков по округам


Количество действующих банков России

На 01.01.2008 г.

На 01.01.2009 г.

На 01.01.2010 г.

На 01.01.2011 г.

На 01.01.2012 г.

На 01.01.2013 г.

На 01.01.2014г.

снижение (-)/рост (+) к 01.01.2013 г.

1.

ЦЕНТРАЛЬНЫЙ ФЕДЕРАЛЬНЫЙ ОКРУГ

632

621

598

585

572

564

547

- 17


г.Москва

555

543

522

514

502

494

489

- 5

2

СЕВЕРО-ЗАПАДНЫЙ ФЕДЕРАЛЬНЫЙ ОКРУГ

81

79

75

71

69

70

70

0

3

ЮЖНЫЙ ФЕДЕРАЛЬНЫЙ ОКРУГ

118

115

113

47

45

46

46

0

4.

СЕВЕРО-КАВКАЗСКИЙ ФЕДЕРАЛЬНЫЙ ОКРУГ

-

-

-

57

56

50

43

- 7

5

ПРИВОЛЖСКИЙ ФЕДЕРАЛЬНЫЙ ОКРУГ

134

131

125

118

111

106

102

- 4

6

УРАЛЬСКИЙ ФЕДЕРАЛЬНЫЙ ОКРУГ

63

58

54

51

45

44

42

- 2

7

СИБИРСКИЙ ФЕДЕРАЛЬНЫЙ ОКРУГ

68

68

62

56

54

53

51

- 2

8.

ДАЛЬНЕВОСТОЧНЫЙ ФЕДЕРАЛЬНЫЙ ОКРУГ

40

36

31

27

26

23

22

- 1


Всего по Российской Федерации

1 136

1 108

1 058

1 012

978

956

923

- 33


Из таблицы видно, что основное количество банков зарегистрировано в европейской части страны, и очень мало региональных банков за Уралом. Особо обращает на себя внимание незначительное количество региональных коммерческих банков на территории огромных по площади Дальневосточного, Северного и Уральского Федеральных округов, которое к тому же существенно снизилось за анализируемый период, а ведь основные богатства России находятся именно на этих территориях страны.

А на 01.10.2014 года общее количество банков снизилось до 859, то есть за девять месяцев текущего года сократилось еще на 64 банка (923 - 859), что больше всего сокращения 2013 года на 31 банк (64 - 33). Надо отметить, что сокращения продолжаются. Так, только за последний день сентября 2014 года снова отозвано 3 лицензии:

· КБ "СОЮЗПРОМБАНК" ООО (г. Москва) - с 30 сентября 2014 года;

·              ОАО БАНК "ПРИОРИТЕТ" (г. Самара) - с 30 сентября 2014 года;

·              ООО "ЭСИДБАНК" (г. Махачкала) - с 30 сентября 2014 года.

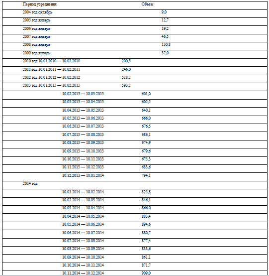
.2 Депонирование обязательных резервов в Центральном Банке Российской Федерации

В целях регулирования деятельности кредитных организаций Центральный Банк Российской Федерации обязывает все кредитные организации депонировать резервы в центральный банк.

Депонирование обязательных резервов в Центральном Банке Российской Федерации осуществляют все кредитные организации за исключением небанковских кредитных организаций - организаций инкассации. Обязанность по выполнению обязательных резервов возникает с момента получения лицензии Банка России на осуществление банковских операций. На обязательные резервы, депонированные кредитными организациями в Банке России, проценты не начисляются.

Депонирование обязательных резервов осуществляется денежными средствами в валюте Российской Федерации (путем перечисления в безналичном порядке) на счетах для хранения обязательных резервов, открытых в Банке России, и одновременно на корреспондентских счетах (субсчетах) кредитных организаций в Банке России (при использовании кредитной организацией механизма усреднения обязательных резервов).

В соответствии со статьей 35 Федерального закона "О Центральном банке Российской Федерации (Банке России)" нормативы обязательных резервов, депонируемых в Банке России (резервные требования) являются одним из инструментов денежно-кредитной политики Банка России.

В соответствии со статьей 38 Федерального закона "О Центральном банке Российской Федерации (Банке России)" размер обязательных резервов в процентном отношении к обязательствам кредитной организации (норматив обязательных резервов), а также порядок депонирования обязательных резервов устанавливаются Советом директоров Банка России.

В соответствии со статьей 25 Федерального закона "О банках и банковской деятельности" кредитная организация обязана выполнять норматив обязательных резервов, в том числе по срокам, объемам и видам привлеченных средств.

Депонирование обязательных резервов в Банке России осуществляется в соответствии с Положением Банка России от 7 августа 2009 года № 342-П "Об обязательных резервах кредитных организаций".

Усреднение обязательных резервов предполагает, что в счет выполнения обязательных резервов принимается усредненный остаток денежных средств на корреспондентском счете корреспондентском субсчете кредитной организации, открытом в Банке России.

В целях расчета величины обязательных резервов, подлежащих поддержанию на корреспондентском счете корреспондентском субсчете кредитной организации, открытом в Банке России, кредитная организация использует коэффициент усреднения, не превышающий коэффициент усреднения, установленный Банком России.

Для получения права на усреднение в текущем периоде усреднения кредитная организация рассчитывает и указывает в Расчете усредненную величину обязательных резервов.

При соответствии кредитной организации установленным критериям территориальное учреждение Банка России принимает решение о предоставлении права на усреднение и устанавливает усредненную величину обязательных резервов по Расчету.

При несоответствии кредитной организации установленным критериям территориальное учреждение Банка России принимает решение об отказе в предоставлении права на усреднение. Усредненная величина обязательных резервов по Расчету устанавливается равной нулю.

Соответствующее решение территориального учреждения Банка России указывается в Сообщении о регулировании.

Банк России в целях предоставления кредитным организациям возможности для эффективного управления собственной ликвидностью при использовании механизма усреднения обязательных резервов возобновил практику проведения операций ломбардного кредитования на фиксированных условиях. Денежные средства предоставляются в день обращения кредитной организации на сроки 1 и 7 календарных дней без права досрочного возврата по фиксированной процентной ставке.

Таблица 4 Динамика обязательных резервов кредитных организаций, депонированные в России

Год/месяц

Объем обязательных резервов (млн. руб.)

2011

1 января

188 375,6

2012

1 января

378 370,1

2013

1 января

425 585,7

1 февраля

440 967,0

1 марта

446 661,8

1 апреля

449 525,1

1 мая

446 661,8

1 июня

478 009,4

1 июля

497 654,8

1 августа

507 463,0

1 сентября

501 595,7

1 октября

506 088,1

1 ноября

508 921,2

1 декабря

510 105,1

2014

1 января

408 809,0

1 февраля

411 264,0

1 марта

415 836,0

1 апреля

442 680,1

1 мая

431 827,1

1 июня

434 847,4

1 июля

432 070,9

1 августа

431 047,0

1 сентября

448 840,5

1 октября

429 446,3

1 ноября

435 131,3

1 декабря

458 615,9


Совокупные банковские резервы (без учета наличных денег в кассах кредитных организаций) за 2013 г. сократились на 13,5% (за 2012 г. - рост на 31,5%), а их средний дневной объем уменьшился примерно на 240 млрд. руб. и равнялся 1,1 трлн. рублей. В то же время средние дневные остатки средств кредитных организаций на корреспондентских счетах в Банке России возросли до 604,0 млрд. руб. (в 2012 г. - 493,7 млрд. руб.). В сочетании со снижением нормативов обязательного резервирования и спроса на предлагаемые Центральным банком Российской Федерации инструменты абсорбирования это привело к росту доли средств кредитных организаций на корреспондентских счетах в составе совокупных банковских резервов с 35,6% за 2012 г. до 52,6% за 2013 год.

Рис. 1 Обязательные резервы кредитных организаций

. не имеет недовзноса, неуплаченного штрафа за нарушение нормативов обязательных резервов;

. выполнила обязанность по усреднению обязательных резервов в предыдущем периоде усреднения (в случае, если кредитная организация пользовалась правом усреднения);

. не имеет просроченных денежных обязательств перед Банком России, в том числе по кредитам Банка России и процентам по ним.

Порядок усреднения обязательных резервов.

Усреднение обязательных резервов предполагает, что в счет выполнения резервных требований принимается усредненный остаток денежных средств на корреспондентском счете (корреспондентском(их) субсчете(ах)) кредитной организации, открытом(ых) в Банке России.

В целях расчета величины обязательных резервов, подлежащих поддержанию на корреспондентском счете (корреспондентском(их) субсчете(ах)) кредитной организации, открытом(ых) в Банке России, кредитная организация использует коэффициент усреднения, не превышающий коэффициент усреднения, установленный Банком России.

Для получения права на усреднение в текущем периоде усреднения кредитная организация рассчитывает и указывает в Расчете усредненную величину обязательных резервов.

Под периодом усреднения понимается период с десятого числа месяца, следующего за отчетным, по десятое число второго месяца, следующего за отчетным, включительно, при проведении внеочередного регулирования размера обязательных резервов - период, устанавливаемый Банком России.

При соответствии кредитной организации установленным критериям территориальное учреждение Банка России принимает решение о предоставлении права на усреднение и устанавливает усредненную величину обязательных резервов по Расчету.

При несоответствии кредитной организации установленным критериям территориальное учреждение Банка России принимает решение об отказе в предоставлении права на усреднение. Усредненная величина обязательных резервов по Расчету устанавливается равной нулю.

Соответствующее решение территориального учреждения Банка России указывается в Сообщении о регулировании размера обязательных резервов.

Банк России в целях предоставления кредитным организациям возможности для эффективного управления собственной ликвидностью при использовании механизма усреднения обязательных резервов предоставляет кредитным организациям возможность получения кредитов по фиксированной процентной ставке. С условиями предоставления указанных кредитов можно ознакомиться в разделах "Кредиты под залог (блокировку) ценных бумаг из Ломбардного списка Банка России (внутридневные кредиты, кредиты овернайт и ломбардные кредиты)", "Кредиты, обеспеченные нерыночными активами или поручительствами" и "Кредиты, обеспеченные золотом" темы "Обеспеченные кредиты банка России".

Таблица 5 Сумма обязательных резервов, поддерживаемая кредитными организациями на корреспондентских счетах (субсчетах) в Банке России (усредненная величина обязательных резервов), в млрд. рублей


Рис 2 Группировка кредитных организаций, использующих право на усреднение

Рис. 3 Остатки сумм денежных средств на коррсчетах кредитных организаций.

Резервируемые обязательства - обязательства кредитной организации в валюте Российской Федерации и иностранной валюте, состав которых определен в главе 2Положения Банка России от 7 августа 2009 года № 342-П.

Резервируемые обязательства кредитных организаций сгруппированы в следующие категории:

"обязательства кредитной организации перед юридическими лицами-нерезидентами" - включает обязательства перед юридическими лицами-нерезидентами (в том числе обязательства перед банками-нерезидентами), а также обязательства перед индивидуальными предпринимателями-нерезидентами, в валюте Российской Федерации и (или) в иностранной валюте, возникающие в соответствии с договорами банковского (корреспондентского) счета, договорами на привлечение денежных средств (кредитными, депозитными и иными договорами);

"обязательства кредитной организации перед физическими лицами" - включает обязательства перед физическими лицами (резидентами и нерезидентами) в валюте Российской Федерации и (или) в иностранной валюте, возникающие в соответствии с договорами банковского вклада (в том числе удостоверенные сберегательными сертификатами), банковского счета;

"иные обязательства" кредитной организации в валюте Российской Федерации и (или) в иностранной валюте.

Не включаются в состав резервируемых обязательств следующие обязательства:

денежные средства, привлеченные от юридических лиц (резидентов и нерезидентов) и индивидуальных предпринимателей на срок не менее 3 лет;

облигации, выпущенные кредитными организациями, со сроками погашения не менее 3 лет;

обязательства, выраженные в неденежной форме (в драгоценных металлах и природных драгоценных камнях в их физической форме, в форме займа ценных бумаг);

обязательства перед другой кредитной организацией, зарегистрированной в установленном порядке и действующей на основании выданной Банком России лицензии на осуществление банковских операций (за исключением обязательств перед кредитной организацией, выступающей в качестве доверительного управляющего), обязательства перед международной финансовой организацией, осуществляющей свою деятельность на основе международного договора (соглашения) о ее создании с участием Российской Федерации, а также обязательства перед Внешэкономбанком, Банком России, возникающих в результате заключения договоров (за исключением обязательств по выпущенным долговым ценным бумагам и процентам по ним), и обязательства перед государственной корпорацией "Агентство по страхованию вкладов" и (или) обязательства перед инвесторами, не являющимися кредитными организациями, возникающих в рамках оказания финансовой помощи по планам участия государственной корпорации "Агентства по страхованию вкладов" в предупреждении банкротства в соответствии с Федеральным законом от 27 октября 2008 года № 175-ФЗ "О дополнительных мерах для укрепления стабильности банковской системы в период до 31 декабря 2011 года";

задолженность, возникающая между обособленными подразделениями кредитной организации.

Сумма обязательств кредитной организации по выпущенным долговым ценным бумагам уменьшается на сумму обязательств кредитной организации перед другими кредитными организациями-резидентами по выпущенным долговым ценным бумагам, рассчитываемую путем применения кредитной организацией корректировочного коэффициента к сумме обязательств кредитной организации по выпущенным долговым ценным бумагам, и рассчитывается по следующей формуле:

 (1)

где, - сумма резервируемых обязательств кредитной организации по выпущенным долговым ценным бумагам,

 - сумма обязательств кредитной организации по выпущенным долговым ценным бумагам,

 - корректировочный коэффициент.

Корректировочный коэффициент - числовой множитель, значение которого находится в интервале от 0 до 1, устанавливаемый Советом директоров Банка России в целях определения суммы обязательств кредитной организации перед другими кредитными организациями-резидентами по выпущенным долговым ценным бумагам, подлежащих исключению из состава резервируемых обязательств (информация о нем публикуется в "Вестнике Банка России").

Величина обязательных резервов по обязательствам в валюте Российской Федерации уменьшается на величину денежных средств в рублях в кассе кредитной организации в размере, не превышающем 25 процентов величины обязательных резервов по обязательствам в валюте Российской Федерации.

Регулирование размера обязательных резервов осуществляется Банком России ежемесячно. В соответствии с решением Совета директоров Банка России может проводиться внеочередное регулирование размера обязательных резервов.

Порядок составления и представления Расчета размера обязательных резервов, подлежащих депонированию в Банке России

Расчет размера обязательных резервов составляется за отчетный период с 1 числа отчетного месяца по 1 число месяца, следующего за отчетным месяцем, включительно.

Расчет и документы, представляемые в комплекте с ним:

1. Расчет по форме приложения 1 к Положению Банка России от 7 августа 2009 года № 342-П;

2.      документы, представляемые в составе Расчета, по форме приложений 2-6 к Положению Банка России от 7 августа 2009 года № 342-П;

.        сообщение об отсутствии остатков (форма произвольная);

.        необходимые пояснения.

Документ по форме Приложений 3 и 6 к Положению Банка России от 7 августа 2009 года № 342-П составляется в случае использования кредитной организацией профессионального суждения, основанного на законодательных и нормативных актах, учетной политике кредитной организации, соответствующей требованиям, установленным Банком России, первичных и иных документах кредитной организации, характеризующих соответствующие обязательства, а также обычаях делового оборота.

В целях расчета отдельных показателей для составления документов, формы которых приведены в приложениях 2, 5 и 8 к Положению Банка России от 7 августа 2009 года № 342-П, применяется формула средней хронологической величины, указанная в пункте 1 приложения 9 к Положению Банка России от 7 августа 2009 года № 342-П.

Порядок представления Расчета.

Расчет представляется в территориальное учреждение Банка России по месту открытия корреспондентского счета кредитной организации в установленный срок.

Расчет и документы, представляемые в комплекте с ним, а так же документы, составляемые уполномоченным учреждением Банка России при проведении регулирования размера обязательных резервов, направляются в уполномоченное подразделение Банка России, кредитную организацию, соответственно, на бумажных носителях и (или) в виде электронных сообщений, в том числе снабженных кодом аутентификации. Документы, направляемые в виде электронных сообщений, не снабженных кодом аутентификации, подлежат досылке (представлению) на бумажном носителе.

При составлении Расчета для его представления в электронном виде кредитной организацией указываются балансовые счета второго порядка по учету резервируемых обязательств. При отсутствии остатка по балансовому счету проставляется ноль.

При составлении Расчета для его представления на бумажном носителе могут указываться балансовые счета второго порядка, определенные рабочим планом счетов бухгалтерского учета в кредитной организации, за исключением тех, по которым остатки в течение отчетного периода равны нулю.

Документы, формы которых приведены в приложениях 2 - 4 к Положению Банка России от 7 августа 2009 года № 342-П, могут не представляться в комплекте с Расчетом, в случае если указанные документы содержат нулевые значения по всем указанным в них балансовым счетам (отдельным лицевым счетам балансовых счетов) в течение отчетного периода. Документы, формы которых приведены в приложениях 3 и 6 к Положению Банка России от 7 августа 2009 года № 342-П, могут не представляться в комплекте с Расчетом в случае неприменения кредитной организацией профессионального суждения об исключении обязательств из состава резервируемых обязательств.

В указанных случаях кредитной организацией в комплекте с Расчетом представляется сообщение об отсутствии остатков на соответствующих балансовых счетах (отдельных лицевых счетах балансовых счетов) либо о неприменении профессионального суждения (соответственно), составленное в произвольной форме. Указанное сообщение должно содержать реквизиты, позволяющие однозначно определить форму и номер приложения (формы и номера приложений) к Положению Банка России от 7 августа 2009 года № 342-П, в связи с непредставлением которого (которых) оно направлено.

В период регулирования обязательных резервов допускается исправление кредитной организацией Расчета и документов, представляемых в комплекте с ним (при обнаружении ошибок уполномоченным учреждением Банка России либо кредитной организацией). Исправленный Расчет сопровождается объяснениями, содержащими сведения о произведенных изменениях, подписанными уполномоченными лицами кредитной организации, или содержащими код аутентификации электронного сообщения.

В случае исправления кредитной организацией Расчета и документов представляемых в комплекте с ним, период регулирования размера обязательных резервов не продлевается.

Представление кредитной организацией Расчета позднее срока, установленного пунктом 3.9 Положения Банка России от 7 августа 2009 года № 342-П, является нарушением установленного срока представления отчетности и основанием для принятия Банком России мер, предусмотренных статьей 74 Федерального закона от 10 июля 2002 года № 86-ФЗ "О Центральном банке Российской Федерации (Банке России)".

В 2013 году российский денежный рынок функционировал в условиях роста структурного дефицита ликвидности, что отражалось на динамике его объемных и ценовых показателей. Важным механизмом распределения ликвидности в банковском секторе оставался рынок междилерского РЕПО. Средний дневной объем однодневных операций РЕПО с облигациями (выборка MICEX BORR) в 2013 году составил 100 млрд. рублей, однодневных операций РЕПО с акциями (выборка MICEX EQRR) - 86 млрд. рублей. Конъюнктура денежного рынка определялась прежде всего спросом банков на ликвидность, а также уровнем процентных ста- вок по операциям рефинансирования Банка России. Средняя ставка MIACR по однодневным рублевым межбанковским кредитам в 2013 году составила 6,1% годовых (в 2012 году - 5,5% годовых). Ставки по операциям РЕПО на протяжении большей части отчетного года изменялись однонаправленно с изменением ставок МБК. Средний спред между ставкой однодневных РЕПО с облигациями (индекс MICEX BORR) и однодневной рублевой ставкой MIACR в 2013 году составил менее 0,1 процентного пункта против 0,3 пункта в 2012 году. Волатильность ставок денежного рынка в 2013 году оставалась умеренной.

На денежном рынке в 2013 году по-прежнему доминировали краткосрочные операции (прежде всего сроком 1 день и 1 неделя). В то же время заметно изменилась структура обеспечения по опера- циям междилерского РЕПО. Резко сократилась доля операций меж- дилерского РЕПО, обеспеченных облигациями федерального займа (ОФЗ), субфедеральными и муниципальными облигациями, тогда как доля сделок, обеспеченных акциями и корпоративными облигациями, увеличилась вследствие роста объемов заимствований кредитных организаций у Банка России, в которых используются прежде всего ценные бумаги, для которых установлен наименьший дисконт (государственные и региональные облигации).

3. Направления совершенствования регулирования деятельности коммерческих банков

.1 Совершенствование банковского законодательства

В течение 2013 года был принят целый ряд актуальных законов, направленных на совершенствование банковского законодательства и законодательства, регулирующего финансовый рынок в целом.

Наиболее значимым для Банка России является Федеральный закон от 23.07.2013 № 251 -ФЗ "О внесении изменений в отдельные законодательные акты Российской Федерации в связи с передачей Центральному банку Российской Федерации полномочий по регулированию, контролю и надзору в сфере финансовых рынков", урегулировавший передачу полномочий от ФСФР России Банку России, в результате чего цели деятельности Банка России были дополнены новыми: развитие финансового рынка Российской Федерации и обе- спечение его стабильности. С принятием этого закона у Банка Рос- сии помимо кредитных организаций появилось значительное коли- чество новых подконтрольных субъектов - участников финансового рынка, названных в рамках статьи 76 1 новой главы X1 Федерального закона от 10.07.2002 № 86-ФЗ "О Центральном банке Российской Федерации (Банке России)" (далее - Федеральный закон № 86-ФЗ) некредитными финансовыми организациями (далее - НФО). В главе X1 Федерального закона № 86-ФЗ помимо круга поднадзорных Банку России НФО определены также цели регулирования деятельности, контроля и надзора за ними. Изменения в функционале Банка России повлекли за собой изменения в органах управления Банка России. Так, Национальный банковский совет был переименован в Национальный финансовый совет, к компетенции которого теперь отнесено также рассмотрение вопросов развития и совершенствования финансового рынка Российской Федерации.

Новым органом, объединяющим руководителей структурных подразделений Банка России и осуществляющим регулирующие, контрольные и надзорные функции Банка России в сфере финансовых рынков, стал Комитет финансового надзора. Передача полномочий по регулированию, контролю и надзору в сфере финансовых рынков повлекла за собой необходимость внесения изменений в 47 федеральных законов. Федеральный закон от 2.07.2013 № 184-ФЗ "О внесении изменений в статьи 13 и 76 Федерального закона "О Центральном банке Российской Федерации (Банке России)" расширил возможности Банка России по назначению уполномоченных представителей в кредитную организацию. В качестве нового основания для назначения уполномоченных представителей законом определен случай, когда размер активов кредитной организации составляет 50 и более миллиардов рублей и (или) размер средств, привлеченных от физических лиц на основании договоров банковского вклада и договоров банковского счета, составляет 10 и более миллиардов рублей. Изменения, предусмотренные Федеральным законом от 14.03.2013 № 29-ФЗ "О внесении изменений в отдельные законодательные акты Российской Федерации", направлены на обеспечение условий соблюдения национальных интересов и приоритетов банковского сектора и финансового рынка в целом, а также на повышение конкурентоспособности российских банков в условиях интеграции в мировую финансовую систему. Данный закон исключил из Федерального закона "О банках и банковской деятельности", Федерального закона № 86-ФЗ и Федерального закона "О валютном регулировании и валютном контроле" положения, предусматривающие возможность открытия филиалов иностранных банков на территории Российской Федерации.

Федеральным законом от 2.07.2013 № 146-ФЗ "О внесении изменений в отдельные законодательные акты Российской Федерации" внесены изменения в Федеральный закон "О банках и банковской деятельности", Федеральный закон № 86-ФЗ, федеральные законы "О несостоятельности (банкротстве) кредитных организаций", "О страховании вкладов физических лиц в банках Российской Федерации" в части уточнения порядка осуществления консолидированного надзора и раскрытия информации кредитными организациями, банковскими группами и банковскими холдингами.

Актуальными для банковского и финансового рынка являются изменения, внесенные в некоторые законодательные акты Федеральным законом от 28.06.2013 № 134-ФЗ "О внесении изменений в отдельные законодательные акты Российской Федерации в части противодействия незаконным финансовым операциям". Так, банки были наделены правом расторгнуть договор банковского счета в случае неоднократного отказа клиенту в совершении операций в связи с непредставлением им необходимых документов или в связи с попытками осуществления подозрительных операций. Федеральный закон от 2.12.2013 № 335-ФЗ "О внесении изменений в Федеральный закон "О страховании вкладов физических лиц в банках Российской Федерации", Федеральный закон "О Центральном банке Российской Федерации (Банке России)" и признании утратившими силу отдельных положений законодательных актов Российской Федерации" унифицировал надзорные требования к оценке финансовой устойчивости кредитных организаций и требования к участию в системе страхования вкладов. Федеральный закон от 21.12.2013 № 353 -ФЗ "О потребительском кредите (займе)", вступающий в силу с 1 июля 2014 года, урегулировал отношения, возникающие в связи с предоставлением потребительского кредита (займа) физическому лицу в целях, не связанных с осуществлением предпринимательской деятельности, на основании кредитного договора, договора займа и исполнением соответствующего договора.

Надзор за соблюдением кредитными организациями и некредитными финансовыми организациями требований указанного закона будет осуществлять Банк России.В целях реализации положений Федерального закона "О потребительском кредите (займе)" был принят Федеральный закон от 2 1 . 1 2 . 2 0 1 3 № 363-ФЗ "О внесении изменений в отдельные законодательные акты Российской Федерации и признании утратившими силу отдельных положений законодательных актов Российской Федерации в связи с принятием Федерального закона "О потребительском кредите (займе)", который внес изменения в 11 федеральных законов. Изменения, внесенные в федеральные законы "О сельскохозяйственной кооперации", "О ломбардах", "О кредитной кооперации", "О микрофинансовой деятельности и микрофинансовых организациях", предусматривают, что кредитные кооперативы, ломбарды и микрофинансовые организации будут осуществлять профессиональную деятельность по предоставлению потребительских займов в порядке, установленном Федеральным законом "О потребительском кредите (займе)".

Целью принятия Федерального закона от 28.12.2013 № 422-ФЗ "О гарантировании прав застрахованных лиц в системе обязательного пенсионного страхования Российской Федерации при формировании и инвестировании средств пенсионных накоплений, установлении и осуществлении выплат за счет средств пенсионных накоплений" является обеспечение прав и законных интересов застрахованных лиц в системе обязательного пенсионного страхования Российской Федерации при формировании и инвестировании средств пенсионных накоплений, установлении и осуществлении выплат за счет средств пенсионных накоплений. Закон создал систему гарантирования прав застрахованных лиц (фактически по аналогии с системой страхования вкладов), основными принципами которой являются: защита прав и законных интересов застрахованных лиц при наступлении гарантийного случая; обязательность участия страховщиков в системе гарантирования прав застрахованных лиц; накопительный характер формирования фонда гарантирования пенсионных накоплений. Указанный закон установил также организационные и финансовые основы системы гарантирования прав застрахованных лиц, основы взаимодействия участников системы гарантирования прав застрахованных лиц, а также порядок участия негосударственных пенсионных фондов в системе гарантирования прав застрахованных лиц. В целях совершенствования развития деятельности НПФ Федеральным законом от 28.12.2013 № 410-ФЗ "О внесении изменений в Федеральный закон "О негосударственных пенсионных фондах" и отдельные законодательные акты Российской Федерации" были установлены правовые возможности создания новых НПФ в форме акционерных обществ, а также преобразования действующих в форме некоммерческих организаций НПФ в акционерные общества. В частности, данным законом устанавливается, что в срок до 1 января 2016 года НПФ, являющиеся некоммерческими организациями и осуществляющие деятельность в качестве страховщика по обязательному пенсионному страхованию, подлежат преобразованию в НПФ, являющиеся акционерными обществами, или ликвидации. В срок до 1 января 2019 года НПФ, являющиеся некоммерческим и организациями и не осуществляющие деятельности в качестве страховщика по обязательному пенсионному страхованию, подлежат преобразованию в акционерные общества или ликвидации. С 1 января 2016 года запрещается осуществление деятельности по обязательному пенсионному страхованию некоммерческими пенсионными фондами.

Наряду с работой, связанной с участием в подготовке и рассмотрении названных федеральных законов, рассмотрении проектов иных федеральных законов, Банком России за период с 1 января по 31 декабря 2013 года издано 235 нормативных актов, из них: инструкций Банка России - девять, положений Банка России - 16, указаний Банка России - 210.

Из числа изданных были направлены в Министерство юстиции Российской Федерации и прошли государственную регистрацию 111 нормативных актов Банка России: четыре инструкции, девять положений, указаний.

В информационно-методических и организационно-распорядительных целях были подготовлены и направлены в территориальные учреждения Банка России 270 писем Банка России.

.2 Пути совершенствования учета кредитных организаций

Разработка отраслевых стандартов бухгалтерского учета для кре- дитных организаций, основанных на МСФО, обобщение практики их применения, включая подготовку рекомендаций в области бух- галтерского учета, предусмотренных вступившим в силу с 1 января 2013 года Федеральным законом от 6.12.2011 № 402-ФЗ "О бух- галтерском учете", являлись в 2013 году одними из приоритетных задач Банка России. Для кредитных организаций установлен поря- док ведения бухгалтерского учета отложенных налоговых обязательств и отложенных налоговых активов; уточнен порядок бухгалтерского учета долевых ценных бумаг, справедливая стоимость которых не мо- жет быть надежно определена, а также паев паевых инвестиционных фондов; бухгалтерский учет срочных сделок приведен в соответствие с требованиями МСФО; изменен порядок бухгалтерского учета на сче- тах главы Г "Счета по учету требований и обязательств по произво- дным финансовым инструментам и прочим договорам (сделкам), по которым расчеты и поставка осуществляются не ранее следующе- го дня после дня заключения договора (сделки)" Плана счетов бух- галтерского учета в кредитных организациях.

Для обеспечения правильного применения отраслевых стан- дартов для банковской системы выпущены методические рекомен- дации о тестировании кредитными организациями активов, подле- жащих проверке на обесценение, и порядке бухгалтерского учета от- ложенных налоговых обязательств и отложенных налоговых активов. Определен порядок представления и опубликования кредитны- ми организациями годовой финансовой отчетности (кроме годовой консолидированной финансовой отчетности), составленной в соот- ветствии с МСФО. В связи с введением новых МСФО и сложившейся практикой применения действующих МСФО переизданы методиче- ские рекомендации о порядке составления и представления кредит- ными организациями финансовой отчетности по МСФО. Федеральным законом от 23.07.2013 № 251 -ФЗ "О внесении изменений в отдельные законодательные акты Российской Федера- ции в связи с передачей Центральному банку Российской Федерации полномочий по регулированию, контролю и надзору в сфере финан- совых рынков" на Банк России возложены функции по утверждению отраслевых стандартов бухгалтерского учета для некредитных финан- совых организаций, в связи с чем в 2013 году Банком России начата работа по разработке указанных стандартов для этих организаций.

.3 Рекомендации по совершенствованию регулирования Центробанком деятельности коммерческих банков

Таким образом, действия Банка России в части совершенствования банковского регулирования и надзора направлены на развитие содержательного (риск - ориентированного) банковского надзора, т. е. на определение его режима и применение при необходимости мер надзорного реагирования исходя, прежде всего, из характера рисков, принятых кредитной организацией, и качества управления рисками. Предусматривается, что оценка деятельности кредитных организаций и применение мер надзорного реагирования будут исходить в первую очередь из содержания и реальной оценки рисков банковской деятельности, их потенциального влияния на устойчивость кредитных организаций (профессиональное суждение). Решение данной задачи предполагает, в частности: завершение работы по созданию системы раннего реагирования (системы предупреждения проблем), базирующейся на модели развития ситуации в кредитной организации, и внедрение этой системы в надзорную практику; совершенствование надзора на консолидированной основе, включая анализ рисков, принимаемых кредитными организациями в рамках взаимоотношений с физическими и юридическими лицами, в том числе с некредитными организациями - участницами банковских групп и банковских холдингов; предоставление Банку России законодательно закрепленного права оценивать деятельность кредитных организаций и принимать решения надзорного характера на основе профессионального (содержательного) суждения о качестве и стоимости активов, обязательств и собственных средств (капитала), а также качестве корпоративного управления, включая внутрибанковские системы управления и контроля за рисками, прозрачность структуры собственности. Также представляется необходимым внедрение в надзорную практику института кураторов. Как показывает практика, реализация данного подхода в целом отвечает задачам развития содержательного компонента надзора. Международный опыт также свидетельствует о том, что использование института кураторов при их высоком профессионализме и качественном контроле за их деятельностью позволяет повысить эффективность банковского надзора, внедрить в его практику риск - ориентированные подходы. Возможно ведение в отношении кредитных организаций института корпоративного ликвидатора. На наш взгляд нецелесообразно создание новых банков с государственным участием, а также дополнительного выделения средств на реструктуризацию проблемных кредитных организаций. Вопросы участия государства в капитале кредитных организаций требует дополнительного изучения и по другим причинам. С одной стороны, всем понятно, что участие Банка России, являющегося органом надзора, недопустимо. Сокращение участия государства в капитале кредитных организаций без адекватного замещения негосударственными средствами не приведет к увеличению капитала банков.

Государственное регулирование банковской деятельностив рыночной экономике осуществляется прежде всего в рамках самой банковской системы и находит свое выражение в воздействии на коммерческие банки центробанка. Оно необходимо для осуществления законодательно определённых задач общественного воспроизводства.

В банковской системе России ЦБ РФ ( ЦБР ) определён как главный банк страны и кредитор последней инстанции. Он находится в государственной собственности и служит основным субъектом госрегулирования функционирования коммерческих банков. Центральный банк призван приводить их деятельность в соответствие с общей экономической стратегией и выступает ключевым агентом государственной денежно-кредитной политики.

ЦБР, как и Центробанк любой страны, решает задачу контроля объёма и структуры денежной массы в обращении. Важно, иметь ввиду, что в рыночной экономике эмиссия денег осуществляется преимущественно в процессе Депозитно-ссудных операций коммерческих банков, которые в отличие от Центробанка суть функционирующие кредитные учреждения, непосредственно связанные со сферами производства и обращения. Именно через влияние на эти учреждения, в частности на динамику их депозитов, на их активные, прежде всего ссудные, операции Центробанк оказывается в состоянии регулировать макроэкономические процессы.

Заключение

В соответствии с Федеральным законом "О Центральном банке Российской Федерации (Банке России)" регулирование банковской деятельности и надзор за ней возложены на Центральный банк Российской Федерации. Регулирование и надзор Центральный банк Российской Федерации осуществляет от лица государства с целью создания условий для устойчивого функционирования банков и кредитных учреждений и на этой основе обеспечения доверия общества к банковской системе.

Проводимые Центральным банком Российской Федерации регулирование и надзор не касаются оперативной деятельности банков, а определяют исходные требования к созданию и функционированию банков и кредитных учреждений.

Основными сферами регулирования Центрального банка Российской Федерации являются: лицензирование и регистрация банков и кредитных учреждений; установление экономических нормативов, которых должны придерживаться коммерческие банки в своей деятельности.

Введение порядка лицензирования банковской деятельности Центральным банком Российской Федерации означает, что банковская деятельность признается законной лишь при наличии специальной лицензии, выдаваемой Центральным банком Российской Федерации. Такое требование целиком обусловлено защитой интересов вкладчиков средств, аккумулированных в банках и составляющих основной ресурс для их активных операций. Банковскую лицензию должны получить также организации, которые предполагают выполнять отдельные банковские операции. Они называются кредитными учреждениями, входящими в банковскую систему и подчиняющимися всем требованиям, предъявляемым по закону к любой организации этой системы.

В случае невыполнения кредитным учреждением требования по обязательному лицензированию Центральный банк Российской Федерации имеет право обратиться в арбитражный суд с иском о ликвидации данной организации.

Функция регулирования банковской деятельности, возложенная на Центральный банк Российской Федерации, включает также его право на отзыв выданной лицензии при несоблюдении банком или кредитным учреждением установленных требований к деятельности и состоянию учета.

Другим направлением регулирования банковской деятельности Центральным банком Российской Федерации является установление экономических нормативов для банков и кредитных учреждений. Их назначение состоит в регулировании объемов риска, которые берет на себя банк, и создании системы безопасности на случай возникновения убытков. В конечном счете, система экономических нормативов, устанавливаемых Центральным банком Российской Федерации для банков и кредитных учреждений, направлена на обеспечение устойчивого функционирования каждого отдельного банка и стабильности всей банковской системы.

Механизм регулирования Центральным банком Российской Федерации создания и деятельности банковских учреждений, закрепленный соответствующими правовыми актами, имеет большое значение для самих коммерческих банков, т. к. определяет общие требования к их законному и устойчивому функционированию. Такой механизм важен и для контролирующих органов, поскольку создает отправные критерии для организации надзорной и контрольной деятельности.

Банковская система Российской Федерации, как и любая современная банковская система, не является самоуправляющейся, она регулируется и контролируется государством. К управлению банковской системой имеет отношение большое количество государственных органов. В конечном счете, они реализуют свою политику и регулирующие функции опосредованно через Центральный банк Российской Федерации, во-первых, формируя его, а во-вторых - контролируя и направляя его деятельность. В результате создается публично-правовой статус Центрального банка, который для более тесной координации своей деятельности со всей банковской системой обладает еще и статусом одной из кредитных организаций России.

Таким образом, государственное регулирование кредитных организаций является двухуровневым. Высший уровень связан с выработкой государственной политики в кредитно-денежной сфере и предпосылок ее реализации через формирование исполнительного органа данной системы - Центрального банка Российской Федерации. На втором уровне Центральный банк концентрирует в себе функции государственного регулирования кредитными организациями и действует от имени всей системы государственного регулирования. Публично-правовые функции государственного регулирования кредитными организациями трансформируются в публичные функции самого Центрального банка Российской Федерации. Являясь при этом одной из кредитных организаций, он за счет своего публично-правового статуса возглавляет всю их систему и реализует в ней государственные интересы.

Необходимость создания условий для поддержания устойчиво- го экономического роста потребовала от Банка России активных мер по дальнейшей интенсификации банковского надзора, нацеленного на формирование надежного и здорового банковского сектора. Было принято решение о повышении надзорного внимания к кредитным организациям, деятельность которых имеет заметное значение для страны либо региона, в том числе к системно значимым банкам. Раз- вивались риск-ориентированные подходы к осуществлению надзо- ра, направленные на своевременное выявление, адекватную оценку и пруденциальные ограничения рисков, принимаемых кредитными организациями. В то же время Банком России совершенствовались подходы к оценке устойчивости кредитных организаций, определе- нию реального качества их активов и капитала, а также достоверно- сти представляемой ими отчетности. Системные риски российского банковского сектора в 2013 году в целом находились на невысоком уровне, что обусловило сохранение его финансовой стабильности. В 2013 году кредитные организации продолжили наращивать кредитный портфель, динамика которого определялась главным об- разом состоянием экономики, спросом нефинансовых организаций и физических лиц на кредитные ресурсы. Годовой темп прироста объема кредитов нефинансовым организациям остался на уровне предыдущего года, а прирост кредитов физическим лицам умень- шился. На замедление роста розничного кредитного портфеля по- влияло введение Банком России в 2013 году дополнительных регу- лятивных требований в отношении потребительского кредитования, прежде всего необеспеченного. Опережающими темпами по сравнению с крупными корпоративными заемщиками по-прежнему увеличивалось кредитование субъектов малого и среднего предпринимательства. Процентные ставки по долгосрочным рублевым кредитам нефинансовым организациям и физическим лицам в 2013 году существенно снизились.

Итак, Центральный банк Российской Федерации обладает особым место в общегосударственной системе регулирования кредитных организаций и является ее исполнительным органом. В то же время - это именно банк, входящий в общую систему кредитных организаций. Сочетая эти две ипостаси, он предстает высшим звеном банковской системы России. Мало того, в силу своего особого положения в системе кредитных организаций Центральный банк Российской Федерации в той или иной мере трансформирует на них свои публично-правовые функции, наделяя всю кредитно-денежную систему элементами публично-правового статуса.

Список использованных источников и литературы

 

1. Гражданский кодекс Российской Федерации (часть первая) от 30.11.1994 № 51-ФЗ (принят ГД ФС РФ 21.10.1994) (действующая редакция).

2.      Гражданский кодекс Российской Федерации (часть вторая) от 26.01.1996 № 14-ФЗ (принят ГД ФС РФ 22.12.1995) (действующая редакция).

.        Федеральный закон от 02.12.1990 № 395-1 (действующая редакция от 29.12.2014) "О банках и банковской деятельности".

4. Федеральный закон от 10.12.2003 № 173-ФЗ (действующая редакция от 04.11.2014) "О валютном регулировании и валютном контроле".

5. Федеральный закон от 10.07.2002 № 86-ФЗ (ред. от 29.12.2014) "О Центральном Банке Российской Федерации (Банке России)" (принят ГД ФС РФ 27.06.2002).

6. Положение об обязательных резервах кредитных организаций (утв. Банком России 07.08.2009 № 342-П) (ред. от 26.09.2014) (Зарегистрировано в Минюсте России 15 сентября 2009 г. N 14775).

7.   Инструкция Банка России от 05.12.2013 № 147-И (ред. от 17.07.2014) "О порядке проведения проверок кредитных организаций (их филиалов) уполномоченными представителями Центрального банка Российской Федерации (Банка России)" (Зарегистрировано в Минюсте России 21.02.2014 N 31391).

8.      Инструкция Банка России от 02.04.2010 № 135-И (ред. от 25.11.2014) "О порядке принятия Банком России решения о государственной регистрации кредитных организаций и выдаче лицензий на осуществление банковских операций" (Зарегистрировано в Минюсте России 22.04.2010 N 16965).

.        Инструкция Банка России от 03.12.2012 № 139-И (ред. от 18.12.2014) "Об обязательных нормативах банков" (Зарегистрировано в Минюсте России 13.12.2012 № 26104) (с изм. и доп., вступ. в силу с 01.01.2015).

.        Инструкция Центрального банка Российской Федерации от 11.11.2005 № 126-И (ред. от 30.11.2009) "О порядке регулирования отношений, связанных с осуществлением мер по предупреждению несостоятельности (банкротства) кредитных организаций".

.        Бабичева Ю.А. Инфляционная составляющая операций банков: проблемы регулирования. - М.: Экономика, 2012. - 662 с.

.        Банковский надзор: европейский опыт и российская практика: пособие, подготовленное в рамках проекта "Обучение персонала Центрального банка Российской Федерации. Этап III": пер. с англ./ Ред. М. Олсен. - М., 2011

.        Банковское дело: учебник / под ред. О.И. Лаврушина. 3-е изд. перераб. и доп. - М.: "КНОРУС", 2010. - 564 с.

.        Братко А.Г. Центральный банк в банковской системе России. - М.

.        Беляев М. К., Ермаков С. Л. Банковское регулирование в России: от прошлого к будущему / М. К. Беляев, С. Л. Ермаков. - М.: "Анкил", 2008

.        Гамза В. Схема - едина, реализация - индивидуальна // Национальный банковский журнал. - 2013. - №10. - С. 11 - 13.

.        Голубев С.А. Роль Центрального банка РФ в регулировании банковской системы страны. - М.: Юридический Дом "Юстицинформ", 2009 - 192 с.

.        Деньги. Кредит. Банки. / Под ред. В.В. Иванова, Б.И. Соколова - М.: "Проспект", "ТК Велби", 2013. - 624 с.

.        Дубова С.Е. К вопросу о принципах и функциях системы банковского регулирования и надзора // Деньги и кредит. - 2012. -№ 2. - С. 49 - 52.

.        Жуков Е.Ф., Зеленкова Н.М. Деньги. Кредит. Банки. - М.: ЮНИТИ

.        Инце А.А. Основы формирования современной системы банковского контроля и надзора. - М.: Финансы и статистика, 2011. - 678 с.

.        Ермаков С.Л. Организация деятельности Центрального банка Российской Федерации / (Курс лекций): Учебное пособие. - М: МБИ, 2011. - 302 с.

.        Козлов А.А. Вопросы реализации Базельских рекомендации в области банковского надзора в России //Деньги и кредит. - 2013. - № 6. - С. 14-18

.        Морковкина Е.Б. Подходы к пониманию внутреннего контроля и оценке его эффективности в кредитной организации: российский и зарубежный опыт // Финансы и кредит. 2010. - № 12. - С. 34 - 38.

.        Мурычев А. Банковский надзор и финансовая стабильность Россия в контексте общемировых стандартов // Банковское дело в Москве. - 2012

.        Мюллер Херб И. О банковском надзоре в странах с рыночной экономикой // Деньги и кредит.- 2010.- № 3.- С. 48 - 50.

.        Организация деятельности Центрального банка: учебник/ Г.Г. Фетисов, О.И. Лаврушин, И.Д. Мамонтова; под общ. Ред. Г.Г. Фетисова.- М.: КНОРУС, 2012.

.        Прокофьева О.К. Актуальные проблемы развития банковского аудита //Деньги и кредит. - 2009.- №8. - С. 8 -10

.        Сапожников В. Валютные операции коммерческих банков: Правовое регулирование. - М: Юрист, 2013. - 456 с.

.        Саркисян Т.С. Банковский надзор: генератор или тормоз развития банковской системы //Деньги и кредит. - 2014. -№ 9. - С. 21 - 23.

.        Сенчагов В.К. Экономическая безопасность: геополитика, глобализация, самосохранение и развитие - М.: ЗАО "Финстатинформ", 2012. - С. 59-60

.        Стародубцева Е.Б. Основы банковского дела - М.: "ИНФРА-М", "ФОРУМ", 2011. - 256 с.

.        Тысячникова Н.Л. "Базель II" в России - проблемы и решения // Деньги и кредит. - 2010 - № 10. - С. 16 - 20.

.        Центральный банк Российской Федерации: Юридический статус, организация, функции, полномочия / под ред. Я.А. Гейвандо - М.: МНИМП

.        Эриашвили Н.Д. Банковское дело / Под ред. Н.Д. Эриашвили - М.: ЮНИТИ-ДАНА, 2014. - 575 с.

.        www.bankir.ru

.        www.budgetrf.ru

.        www.cbr.ru

.        www.finansy.ru

.        www.minfin.ru

.        www.rg.ru

Похожие работы на - Анализ системы регулирования Центральным Банком Российской Федерации деятельности кредитных организаций

 

Не нашли материал для своей работы?
Поможем написать уникальную работу
Без плагиата!
Без нейросетей!