Сучасні уявлення про великомасштабну структуру Всесвіту

  • Вид работы:
    Курсовая работа (т)
  • Предмет:
    Авиация и космонавтика
  • Язык:
    Украинский
    ,
    Формат файла:
    MS Word
    2,38 Мб
  • Опубликовано:
    2016-05-24
Вы можете узнать стоимость помощи в написании студенческой работы.
Помощь в написании работы, которую точно примут!

Сучасні уявлення про великомасштабну структуру Всесвіту

НАЦІОНАЛЬНИЙ ПЕДАГОГІЧНИЙ УНІВЕРСИТЕТ ІМЕНІ

М. П. ДРАГОМАНОВА

ФІЗИКО-МАТЕМАТИЧНИЙ ІНСТИТУТ

Кафедра експериментальної і теоретичної фізики та астрономії






Курсова робота

Сучасні уявлення про великомасштабну структуру Всесвіту



Виконала: студентка 52 АФІ групи

Дика Оксана Олександрівна Науковий керівник: старший викладач

Ващенко Олена Петрівна






Київ 2015

ВСТУП

Однією з найзагадковіших на сьогоднішній день наук є астрономія. У ній, як ні в якій іншій скільки питань, на які ми не можемо, але пробуємо знайти відповіді. Одним з таких глобальних питань - це питання про виникнення и розподілення різних форм матерії нашого Всесвіту. Коли з моменту Великого Вибуху протоматерія почала формуватися у зорі, галактики, які ми можемо спостерігати сьогодні?

Численні вісники світів приносять нам цінні відомості про Всесвіт. Але ця інформація була б просто набором різних фактів, якби людина не уміла аналізувати їх, знаходити можливі зв’язки між ними, розкривати закономірності, які ними управляють, якби людина не володіла можливістю мислити. Саме розум людини дозволив їй створити ті чудові прилади та інструменти, за допомогою яких отримуються та розшифровуються майже всі сигнали, вісті Всесвіту.

Мало того, далеко не всі явища в оточуючому нас світі можливо безпосередньо спостерігати. І далеко не кожна подія, яку ми спостерігаємо у Всесвіті, безпосередньо випливає з чогось іншого, відомого для нас. У такому випадку на допомогу досліднику приходить навчальна теорія. Вона дозволяє розкривати залежності між різними явищами та процесами, досліджувати такі здачі, які не можливо вирішити за допомогою самих спостережень та вимірів.

Мета роботи полягає у розробці методичних підходів при вивченні зоряної та позагалактичної астрономії у вищих навчальних закладах.

Об ̓ єкт дослідження: великомасштабна структура Всесвіту.

Предмет дослідження: вивчення космології в курсі астрономії.

Завдання роботи:

ввести поняття Всесвіту, розглянути його будову;

розглянути теорію Великого Вибуху;

розглянути, у чому полягає парадокс Ольберса, парадокс Зеєлігера;

закон Хаббла, стала Хаббла;

моделі Всесвіту: теорія де Сітера, Всесвіт Ламетра, Всесвіт Мілна, Всесвіт Фрідмана, Всесвіт Ейнштейна- де Сітера, модель «гарячого Всесвіту»

розробити практичне заняття з теми : «Великомасштабна структура Всесвіту»

РОЗДІЛ І. Сучасні уявлення про великомасштабну структуру Всесвіту

Короткий опис будови Всесвіту

За багато століть свого розвитку астрономія зібрала колосальний фактичний матеріал, який дозволяє скласти деякі уявлення про будову оточуючого нас світу. Спостереженням з Землі доступно велика кількість різних об́ єктів. Займана ними область простору називається Метагалактикою. Близькі об́єкти - Сонце, Місяць, планети, як правило, виявляються і найяскравішими на нашому небі. Разом з роєм твердих малих частинок, розрідженим газом і потоками елементарних частинок вони утворюють нашу Сонячну систему. Сонце знаходиться в її центрі. Сила його тяжіння визначає рух всіх інших тіл по різним орбітам. Площини цих орбіт близькі до деякої спільної площини, а самі орбіти часто не дуже відрізняються від колових.

Сонце - головне джерело енергії в нашій планетній системі і тут же зосереджена майже вся її маса. Речовина у Всесвіті також сконцентрована у подібних до Сонця газових самосвітних тілах - зорях. У них постійно проходить один із найважливіших процесів природи - утворення різних хімічних елементів в результаті термоядерних реакцій. Ці реакції - важливе джерело енергії зір. В результаті, завдяки процесам на зорях наш світ володіє набором атомів усіх відомих хімічних елементів.

Зорі у Всесвіті володіють тенденцією утворювати системи різних масштабів. Важливою частиною цієї ієрархії є великі системи сотень мільярдів зір, які називаються галактиками. Частина речовини, можливо навіть, значна, відводиться на розріджену зону, яка заповнює простір між зорями і галактиками.

Майже всі об́ єкти, які можна спостерігати неозброєним оком, належать нашій зоряній системі - Галактиці. Решта галактик доступні тільки телескопам. Вони, так як і зорі, утворюють більш обширі системи - скупчення галактик, які мають сотні і тисячі членів. Скупчення галактик - найбільші об́ єкти у Всесвіті. У ще більшому масштабі помітна тенденція скупчення галактик розміщуватися вздовж границь великих комірок, подібних бджолиним сотам. В межах галактик речовина розподілена вкрай неоднорідним способом. Зорі - дуже компактні об́ єкти, а середня відстань між ними в десятки мільйонів разів перевищують їхні розміри. У межах скупчення галактик, у яких відстань між окремими частинами спів розмірні з їхніми розмірами, речовина розподілена значно більш рівномірно. Ще більш рівномірно, ймовірно, розподілена речовина у масштабах всієї Метагалактики. В астрономії досліджується як це розподілення речовини впливає на спільні властивості простору - часу нашого світу.

Сучасні методи астрономії дозволяють вивчати Всесвіт на великих відстанях, масштаби яких важко навіть уявити. Від найбільш віддалених об́ єктів світло, яке розповсюджується зі швидкістю 300 000 км/с, йде до нас десятки мільярдів років, що виявляється спів розмірним з віком більшості об́ єктів у Всесвіті. Звідси випливає що спостерігаючи деякі галактики, ми можемо ніби заглянути в далеке минуле Всесвіту и скласти собі визначене представлення про її еволюцію. На рис.1 зображено порядок деяких об́ єктів Всесвіту, масштаби яких утворюють геометричну прогресію: кожен наступний квадрат відповідає збільшенню лінійних розмірів об́ єктів приблизно у 1000 разів.

Почнемо з масштабу в 500 тис. км. У «вікно» такого розміру можна побачити найбільш знайому систему двох тіл - Землю та її супутник Місяць. Змінивши масштаб у 10 разів, отримаємо відстань в мільйони кілометрів.

У таке «вікно» можна побачити Сонце та ряд цікавих утворень в його атмосфері. Ще у 10 разів більше «вікно» дозволить спостерігати Сонце разом з далеко розповсюдженою його короною (рис. 1а). Квадрат зі стороною у 100 млн км охвачує Сонце разом з найближчою до нього планетою - Меркурієм. Орбіта Венери трошки не поміщається в ньому. Квадрат зі стороною в мільярд кілометрів (рис. 1 б) охвачує орбіти всіх планет до Марса та багатьох малих планет - астероїдів.

Рис.1. Просторові масштаби Всесвіту. Сторона квадрату а порядку млн. км, а кожного наступного - у 1 000 разів більше.

Змінивши масштаб ще у 10 разів, наблизимося до границь Сонячної системи і досягнемо орбіт Нептуна та системи Плутон - Харон. Відстані між зорями настільки великі, що тільки при масштабах в сотні трильйонів кілометрів ми зможемо охватити Сонце разом з найближчими до нього зорями, включаючи систему α Центавра. Далі не зручно користуватися кілометрами. Масштаб 1013 км майже відповідає світловому року, тобто шляху, який проходить світло за один рік, а приблизно три світлових роки утворюють важливу в астрономії одиницю довжини - парсек. Відстань до найближчої зорі в системі α Центавра складає 1,3 пк. Масштаб в один світловий рік спів розмірний з газовою туманністю, яка виникла навколо зорі (рис. 1 в), а відстань в сотні і тисячі світлових років відповідає скупченням зір і великим газопиловим туманностям, з яких ці зорі, як правило, виникають (рис. 1 г). Далі квадрат зі стороною в тисячі і мільйони парсеків, поступово переходимо до найважливіших структурних одиниць Всесвіту - галактикам (рис. 1 д), групам і скупченням галактик (рис. 1 е)

Місцева група галактик - сукупність галактик, до якої належить наша Галактика.

Розміри: радіус приблизно 3 млн. світлових років. Інші групи галактик віддаленні на відстані вдвоє чи втроє більші.

До неї належать:

туманнсть Андромеди (найбільша з групи), (відстань 2,3 млн. св. років), (ядро m=4m).

М33 (Спіраль в трикутнику) (спіральна галактика, третя за роміром, друга - Мол. шлях) (m=6m)

Молочний шляг

Велика Магеланова Хмара (поблизу нашої Галактики), (170 тис св років).

Мала Магеланова Хмара (210 тис. св. рокв)

Інші галактики (еліптичні і неправильні галактики, а також деяка кількість карликових сферичнихгалактик, що нагадують ізольовані шарові сукупчення). Ці карликові галактики такі малі, що на ві станнях, більших за відстань до Андромеди, виявити їх дуже складно. Тому загальна кількість їх невідома. Чотирі невеликих еліптичні галактики (NGC 221, 205, 185 і 147) є супутниками галактики М31, а Маггеланові хмари і різні карликові галактики - супутники нашої Галактики. Таким чином місцева група не має центрального згущення, а складається з двух підгруп, сконцентрованих навколо двох найбільш масивних її представників Андромеда і Молочний шлях.

Скупчення Галактик - група галактик, зв¢язаних взаємним гравітаційним тяжінням. Просторовий розподіл галактик нерівномірний: вони мають тенденцію збиратися при відстанях порядку мільйонів світлових років. Скупчення галактик мають багато форм.

Сферичні, симетричні, неправильні, можуть мати декілька галактик, можуть мати тисячі галактик, можуть мати концентрацію до центра, а можуть і не мати, регулярні скупчення очевидно складаються тільки з еліптичних галактик, тоді як неправильні скупчення складаються з різних типів галактик, скупчення, що мають багато зір називають багатими (надскупчення).

Надскупчення галактик (рис 2)

Місцеве надскупчення галактик з центром в скупченні галактик в Діві, (50 -60 млн св років) яке містить: місцеву групу, розташовану на його периферії. Місцеве надскупчення галактик має розмір більше ста мільйонів світлових років. Вперше гіпотезу по існування запропонував Г де Вокулером в 1956 р.

Налічує понад 2000 галактик. Займає місце 120 квадратних градусів.

Космологічні моделі Всесвіту

Формування великомасштабної структури Всесвіту є центральною проблемою сучасної космології. До її елементів відносять галактики, скупчення та надскупчення галактик, порожнини в їх розподілі, хмари нейтрального водню в міжгалактичному середовищі, збурення густини, швидкості та метрики-простору часу в епоху космологічної рекомбінації, які зумовлюють флуктуації температури реліктового випромінювання. Характеристиками великомасштабної структури є просторові (дво- і триточкові) кореляційні функції галактик, їх пекулярні швидкості, функція мас та рентгенівської світності скупчень галактик, розподіли об’єктів за червоними зміщеннями. Їхні значення залежать від спектра потужності скалярних збурень густини речовини на лінійній стадії розвитку, який називають початковим спектром збурень. Його форма ( залежність амплітуди від масштабу) на великих масштабах (більших за масштаб горизонту частинки на момент рекомбінації) збігається з формою первісного спектра, який згенерований у ранню епоху внаслідок квантових флуктуацій метрики простру-часу. На менших масштабах - залежить від точних значень параметрів космологічної моделі та співвідношень густин компонентів речовини й енергії, які заповнюють Всесвіт.

Спостережувані властивості Всесвіту вказують на те, що на ранній стадії

(10-43 10-10 cек) він пройшов принаймні через одну короткочасну епоху експотенційного розширення - інфляційну стадію. Такі моделі називають інфляційними космологічними моделями.

Всесвіт Ламетра

Модель Всесвіту, яка починається з великого вибуху, потім статична фаза і наступне нескінченно довге розширення. Модель названа по імені Дж. Ламетра (1894-1966), який опублікував цю роботу в 1927 році. Він перший запропонував розглядати процес розширення Всесвіту від стану “первинного атома”, в той час, коли як Ейнштейн все ще був прибічником теорії статичного Всесвіту.

Модель Великого Вибуху

Гамов та його аспірант Ральф Алфер побудували нову, реалістичнішу версію цієї моделі. Всесвіт Леметра народилася з вибуху гіпотетичного «первинного атома», котрий вочевидь переходив рамки уявлень фізиків про природу мікросвіту. Відсотковий склад розподілу хімічних елементів у Всесвіті з урахуванням леметровскої моделі (вперше цю працю 1942 року виконав Чандрасекар) явно суперечив реальності.

 

У основі цієї теорії лежить припущення, що фізично Всесвіт утворилася внаслідок гігантського вибуху приблизно 15-20 мільярдів років тому, коли вся речовина і енергія сучасного Всесвіту була сконцентрована навколо одного згустку з щільністю понад 1025г/смЗ і температурою понад 1016 К. Модель Великого Вибуху було запропоновано в 1948г. нашим співвітчизником Г.А.Гамовим.

Величезний радіаційний тиск всередині згустку призвів до надзвичайно швидкого його розширенню - до Великого Вибуху. Складові частини цього згустку тепер утворюють далекі галактики. Ми бачимо їх нині такими, якими вони були приблизно 10-14 млрд. років тому назад. Отже, розширення Всесвіту виявляється природним наслідком теорії Великого Вибуху.

Дуже важливим є становлення структурної організації Всесвіту впродовж трьох хвилин, коли температура знижувалася до 109 К. Саме тоді відбувався процес первинного нуклеосинтезу - освіту ядер водню і гелію з низькою добавкою ядер дейтерію і літію. Тоді сформувалася дуже щільна плазма, що складалася з ядер водню, гелію (з добавкою ядер дейтерію і літію), електронів і фотонів. Позитивно заряджені частки (ядра водню, гелію та інших.) і негативно заряджені (електрон) обмінювалися між собою фотонами, яким у щільній плазмі було неможливо пролетіти досить далеко, тому вони були поглиненими чи відхиленими зарядженими частинками. Пробіг фотона від одного акта розсіювання до іншого був дуже незначним; тобто можна говорити про стан термодинамічної рівноваги первинної плазми і первинного випромінювання. У цей час Всесвіт являв собою гарячу швидко дедалі ширшу (отже, поступово охолоджену) непрозорий «вогневу кулю».

Принаймні охолодження цієї вогняної кулі до температури близько 4000К (коли вік Всесвіту становив близько 400 тис. років, а розмір в 1000 разів менша сучасного) електрони сповільнилися до швидкості, що дозволило ядрам водню і гелію захоплювати їх й утворити електрично нейтральні атоми. Цей процес називається рекомбинацією протонів і нейтронів. Плазма з іонізованої перетворилася на суміш нейтральних атомів водню і гелію. У ній зникли перепони на шляху руху фотонів, які перестали взаємодіяти з речовиною й одержали можливість вільного пересування у Всесвіті. Коли вік Всесвіту був 1 млн. років, випромінювання відокремилося від плазми. Всесвіт став цілком прозорим для випромінювання.

З теорії Гамова слід було уявити, що це фотони, які звільнилися після рекомбінації протонів і нейтронів, куди зникли й збереглися донині. Але в міру розширення Всесвіту їх температура знижувалася назад пропорційно розмірам Всесвіту. На цей час вона має становити близько 3К. Ці фотони повинні рівномірно заповнювати весь простір і створювати особливий космічний фон електромагнітного випромінювання. Їх кількість в одиниці об’єму висока: приблизно 400-500 фотонів в м3. Адже це випромінювання не генерується космічними тілами сучасного Всесвіту, а збереглося.

Реліктове випромінювання

У 1965 році А. Пензіас і Р. Вілсон (США) зареєстрували космічне випромінювання, інтенсивність якого не залежала від напрямку і яке не можна було приписати відомим радіоджерелам. Це зареєстроване реліктове випромінювання є доказом того, що Всесвіт був гарячим. Температура реліктового випромінювання становить 2,7 К.

Згідно з теорією гарячого Всесвіту, просторово-часові властивості останнього надзвичайно точно описує одна із трьох моделей Фрідмана - відкрита, замкнута або плоска. За будь-якої умови Всесвіт повинен був народитися в сингулярному стані з нескінченно великими густиною і температурою на момент Великого Вибуху. Коли відбувалося подальше розширення, температура Всесвіту знижувалася й поступово досягла сучасного значення 2,7 К.

Маючи ряд незаперечних достоїнств, теорія гарячого Всесвіту, проте, з деяких поглядів є недостатньо задовільною. Так, зокрема, вона не дає відповіді на питання: чому доступна для спостережень частина Всесвіту однорідна; звідки в цьому однорідному світі з'явилися первинні неоднорідності, необхідні для утворення галактик; чому різні ділянки Всесвіту, що сформувалися незалежно одна від однієї, у наш час мають практично однаковий вигляд.

Нині особливої популярності набули теорія Калуци-Клейна і теорія суперструктур, згідно з якими простір-час Всесвіту спочатку мав розмірність d > 4, але в деяких напрямках простір нібито стиснувся в тонку трубку. Тому макроскопічні тіла не можуть рухатися в цих напрямках і простір-час видається чотиривимірним. Від того, скількох змін зазнало стиснення і як саме воно відбулося, залежить і ефективна розмірність простору Всесвіту та властивості елементарних частинок у ньому.


Перший прорив у цій спокійній класичній космології було зроблено у XVIII столітті. У 1744 році астроном Р. Шезо висловив сумнів у просторовій нескінченності Всесвіту. Якщо припустити, стверджував Р. Шезо, що в нескінченному Всесвіті існує безліч зірок і вони розподілені в просторі рівномірно, то тоді в будь-якому напрямку погляд земного спостерігача неодмінно натикався б на яку-небудь зірку. Легко підрахувати, що небосхил, суцільно всіяний зірками, мав би таку яскравість, що навіть Сонце на його тлі виглядало 6, як чорна пляма! Незалежно від Шезо в 1823 році до таких же висновків прийшов німецький астроном Ф. Ольберс. Це парадоксальне твердження дістало в астрономії назву фотометричного парадоксу Шезо-Ольберса.

В 1826 році німецький астроном Генріх Ольберс (1758 - 1840) звернув увагу на той факт, що при нескінченному віці Всесвіту, більш-менш однорідно заповненої зорями, небо повинно бути залите світлом, тому що кожен промінь зору від спостерігача, в кінцевому рахунку, натикається на зорю. Парадокс в тому, що не дивлячись на це небо вночі темне.


Ольберс пояснив це явище поглинанням світла у міжзоряному просторі в силу того що простір частково заповнений речовиною, яка поглинає світло, наприклад міжзоряними пиловими хмарами. Але з появою першого закону термодинаміки це пояснення стало неправильним, тому що поглинаючи світло, міжзоряна речовина безперервно нагрівалася б, і сама почала би випромінювати світло.

Остаточно парадокс Ольберса вдалося вирішити у ХХ ст. тепер відомо, що Всесвіт має свій вік. Якщо, як вважається, Великий Вибух стався близько 15 мільярдів років тому, то астрономи можуть спостерігати об’єкти на відстані не більшій ніж 15 мільярдів світлових років. Тому число зір на нічному небі хоча і велике, але не по кожному напрямі ми бачимо зорю. Крім того, ми знаємо що зорі з часом «помирають» і перестають випромінювати світло.

Парадокс Зеєлігера

Наприкінці XIX століття німецький астроном К. Зеєлігер звернув увагу і на інший парадокс, що неминуче випливає з уявлень про нескінченний Всесвіт із рівномірно розподіленими в ньому небесними тілами: сила тяжіння, що діє з боку всіх тіл Всесвіту на дане тіло, є нескінченно великою. При цьому відносні швидкості небесних тіл теж могли бути нескінченно великими. Так як нічого подібного не спостерігається, то К. Зеєлігер зробив висновок, що кількість небесних тіл обмежена, а Всесвіт не є нескінченним.

Парадокси Зеєлігера й Ш підірвали впевненість у нескінченності Всесвіту. Ці космічні парадокси залишалися без відповіді до двадцятих років ХХ століття, коли на зміну класичній космології прийшла гіпотеза про скінченний Всесвіт, який розширюється. Цю гіпотезу в 1917 році висунув Альберт Ейнштейн.

Закон Хаббла. Стала Хаббла

всесвіт парадокс ольберс закон хаббл

Космологічний закон, який характеризує розширення Всесвіту, відомий саме як закон Хаббла. Він допомагає під час оцінки часу обчислення Всесвіту. Обрахунки проводяться з урахуванням коефіцієнта пропорційності, який називається сталою Хаббла. За допомогою залежності «період- світність», Хаббл виміряв відстань до деяких цефеїди. Ще він помітив червоні зміщення їх галактик, що дозволило знайти радіальні швидкості. Ці експерименти бул провелені у 1929 році.

Величина коефіцієнта пропорційності, якого він вивів, складала приблизно 500 км/сек на 1 Мпк. Цей недолік пояснюється тим, що Хаббл не врахував пправки на поглинання, яка в його час ще не була відкрита. Плюс до цього, не були прийняті до уваги власні швидкості галактик, разом зі швидкістю, яка спільна для загальної групи галактик. Також варто враховувати що під «розширенням Всесвіту» розуміється не простий розліт галактик у просторі.

Ця величина, що входить до складу закону Хаббла, яка показує значення відстані до об’єкта, який знаходиться за межами нашої галактики та швидкості, та і віддалення. Використовуючи сталу Хаббла можна визначити, що галактика, відстань до якої 10 Мпк, віддаляється зі швидкістю 700 км/с.

Перше, що зробив Хаббл, - розрахував відстань до цефеїд околицях туманності Андромеди, отже, й аж до туманності: 900 000 світлових років (точніше інтерв'ю, розраховане сьогодні відстань до галактики Андромеди (а її тепер називають) становить 2,3 мільйона світлових років. - прим. автора) - тобто туманність перебуває далеко поза Чумацького Шляху - нашої галактики. Проспостерігавши цю та інші туманності, Хаббл дійшов базовому висновку про структуру Всесвіту: вона з набору величезних зоряних скупчень - галактик. Саме які й видаються в небі далекими туманними «хмарами», оскільки окремих зірок настільки величезному видаленні ми розглянути просто ні можемо. Одного цього відкриття, взагалі-то, вистачило б Хабблу для всесвітнього визнання його заслуг перед наукою.

Вчений, проте, цим обмежився, і підгледів одне важливе аспект у даних, який астрономи стежили і колись, але інтерпретувати важко було. Як-от: що спостерігається довжина спектральних світлових хвиль, випромінюваних атомами віддалених галактик, трохи нижче довжини спектральних хвиль, випромінюваних тими самими атомами за умов земних лабораторій. Тобто спектрі випромінювання сусідніх галактик квант світла, випромінюваний атомом при стрибку електрона з орбіти на орбіту, зміщений за частотою у бік червоною частини спектра проти аналогічним квантом зіпсований настільки ж атомом Землі. Хаббл взяв він сміливість інтерпретувати це спостереження як вияв ефекту Доплера, що СРСР розвалився, що це спостережувані сусідні галактики видаляються від Землі, тому що в практично всіх галактичних об'єктів поза Чумацького Шляху спостерігається саме червоне спектральне усунення, пропорційне швидкості їх видалення.

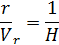
Найголовніше, Хабблу вдалося зіставити результати своїх вимірів відстаней до сусідніх галактик (за спостереженнями змінних цефеїд) з вимірами швидкостей їх видалення (по червоному зміщення). Хаббл з'ясував, що далі ми перебуває галактика, то з більшою швидкістю вона видаляється. Цю саму явище центронапрямленого «розбігання» видимої Всесвіту з наростаючою швидкістю у міру віддалення від локальної точки спостереження та одержало назву закону Хаббла. Математиго він формулюється досить легко:


де v - швидкість видалення галактики ми,r - відстань досяжна, а H - так звана стала Хаббла. Остання визначається експериментально, і сьогодні оцінюється як рівна приблизно 70км/(с·Мпк) (кілометрів на секунду на мегапарсек; 1Мпк приблизно дорівнює 3,3 мільйонам світлових років). І це означає, що галактика, віддалена ми на відстань 10мегапарсек, втікає ми зі швидкістю 700 км/с, галактика, віддалена на 100Мпк, - зі швидкістю 7000 км/с, тощо. буд. І, хоча спочаткуХаббл прийшов до цього закону по результатом спостереження всього кілька найближчих до нас галактик, жодна з багатьох відкритих відтоді нових, дедалі більше віддалених від Чумацького Шляху галактик видимої Всесвіту з-під дії цього закону не випадає.

Отже, головне і - начебто - неймовірний висновок закону Хаббла: Всесвіт розширюється! Мені цей спосіб найнаочніше представляється так:, Галактики розбігаються за однією простої причини: розширюється сама тканину світового простору. Усі спостерігачі (і ми із Вами не виняток) вважають для себе які у центрі Всесвіту. Найліпше це сформулював мислитель 15 століття Микола Кузанский: «Будь-яка точка є центр безмежної Всесвіту».

Проте закон Хаббла підказує нас і ще щось про природу Всесвіту - і це «щось» є просто-таки екстраординарної. У Всесвіту був початок у часі. І це дуже нескладне умовивід: досить взяти й подумки «прокрутити тому» умовну кінокартину спостережуваного нами розширення Всесвіту - і ми дійдемо до точки, коли все речовина світобудови стискалося в щільний клубо кротоматерии, укладений у зовсім невеличкому у порівнянні з теперішніми масштабами Всесвіту обсязі. Ставлення до Всесвіту, яка зверх плотного згустку надгарячої речовини і відтоді розширення іостивающей, одержало назву теорії Великого Вибуху, і більше вдалою космологічної моделі походження і еволюції Всесвіту сьогодні немає. Закон Хаббла, до речі, допомагає також оцінити вік Всесвіту (звісно, дуже спрощено і близько). Припустимо, що це галактики від початку віддалялися ми з тією ж швидкістю v, яку ми бачимо сьогодні. Нехай - час, що минув від почала їх розльоту. Це буде вік Всесвіту, й він співвідношеннями:


де H - стала Хаббла. Отже, вимірявши швидкості видалення зовнішніх галактик і експериментально визначивши М, ми цим отримуємо й оцінку часу, протягом якого галактики розбігаються. Це і передбачене час існування Всесвіту. Постарайтеся запам'ятати: із найбільш останніми оцінками, вік нашого Всесвіту становить близько 15 мільярдів років, плюс-мінус кілька мільярдів років. (Порівняйте: вік Землі становить 4,5 мільярдів років, а життя в ній зародилася близько чотирьох мільярдів років тому )



Теорія де Сітера

Ця нереалістична гіпотеза мала, тим щонайменше, історично важливого значення, що у ній вперше висувалася ідея про розширення, а чи не статичної Всесвіту. [6]

Відсутність речовини було, звісно, слабким місцем моделі де Ситтера. Але була в неї родовищ і одне істотне гідність. Відповідно до теорії деСиттера, що далі погляд земного спостерігача проникав у простір, то повільніша мали йому здаватися що відбуваються там процеси. Варто було ж здійснити подорож «у ці віддалені області ліні і неквапливості» на космічний корабель, як у міру нашого наближення ми побачили б поступове пожвавлення часоплину. І моменту нашого прибуття життя вирувало там у звичайному темпі. Це можна було витлумачити, як пророцтво майбутнього червоного усунення. На жаль, у роки цього хто б звернув увагу.

В Всесвіті не існує ні речовини ні випромінення. Ця нереалістична гіпотеза мала важливе значення, оскільки в ній вперше висувалась теорія Всесвіту, що розширюється.

Всесвіт Мілна

Модель розширення Всесвіту без використання загальної теорії відносності, запропонована в 1948 році Едвардом Мілном. Всесвіт розширюється, ізотропний і однорідний, не містить речовини. Має негативну кривизну і не замкнутий.

Всесвіт Фрідмана

Модель Всесвіту, яка може колапсувати всередину себе. У 1922 р. радянський математик А.А. Фрідман, аналізуючи рівняння загальної теорії відносності Ейнштейна, дійшов висновку, що Всесвіт неспроможний перебувати у стаціонарному стані - він повинен переважно або розширюватися, або пульсувати. Спочатку цю роботу (1922 і 1924 рр.) повністю проігноровано, але згодом неї звернули увагу у зв'язку з моделлю Всесвіту Леметра. Всесвіт Фрідмана можливо замкнутий, якщо щільність речовини у ньому досить велика, щоб зупинити розширення. Це призвело до пошуку так званої маси, які бракує. Надалі висновки Фрідмана отримали підтвердження у астрономічних спостереженнях, які виявили в спектрах галактик так зване червоний зсув спектральних ліній, що відповідає взаємному видалення цих зоряних систем.

Всесвіт Ейнштейна - де Сітера

Найпростіша із сучасних космологічних моделей, у якій Всесвіт має нульовий тиск, нульову кривизну (тобто. пласку геометрію) і безмежну протяжність, та її розширення необмежена у просторі та у часі. Запропонована в 1932 р., ця модель є приватною випадком (за нульової кривизні) більш загальній всесвіту Фрідмана

Сама простіша з існуючих теорій розвитку Всесвіту. В ній Всесвіт має нульовий тиск, нульову кривизну (евклідова геометрія). Запрпонована в 1932 році.

Всесвіт ієрархічний

Модель, в якій аналогічні процеси об¢єднання ідуть на всіх рівнях: зорі утворюють галактики, галактики утворюють скупчення ті в свою чергу утворюють надскупчення. Сучасні дані говорять про те, що об¢єднання галактик реалізуються в масштабі порядку 150 млн св років. В більшому масштабі Всесвіт е більш-менш однорідний..

Всесвіт, що роздувається

Клас моделей Великого вибуху, у яких на ранній стадії еволюції є період прискореного розширення Всесвіту. При таких умовах вивільнилось би велика кількість енергії, що містилась до цього в вакуумі простору-часу. На протязі деякого часу горизонт Всесвіту розширювався б зі швидкістю, що набагато перевищує швидкість світла. Ця теорія здатна пояснити існування Всесвіту, який розширюється і його однорідність.

Модель “гарячого всесвіту”

Існує проблема прихованої маси, яка в свою чергу може бути або холодною або гарячою. За допомогою комп¢ютерного моделювання встановлено, що холодна темна матерія не могла утворити існуючу кількість неоднорідностей (зорі, галактики, скупчення, надскупчення). Якщо припустити що на ранніх стадіях розвитку всесвіту (до настання рівноваги між випроміненням і речовиною) мала місце темна гаряча матерія, то кількість неоднорідностей повинна була би бути набагато більша. Отже жодне з припущень (гарячої і холодної темної матерії) не має логічного підтвердження.

Інфляційна модель Всесвіту

У сучасній космології поряд з гіпотезою Великого вибуху обґрунтовується інфляційна модель Всесвіту, в якій розглядається ідея творіння Всесвіту. Ця ідея має складне обґрунтування і пов'язана з квантовою космологією. У даній моделі описується еволюція Всесвіту, починаючи з моменту 10 с після початку розширення.

Відповідно до інфляційної гіпотезою космічна еволюція в ранньому Всесвіті проходить ряд етапів.

Початок Всесвіту визначається як стан квантової супергравітації з радіусом Всесвіту в 10 см (розмір атома 10) Основні події в ранньому Всесвіті розігрувалися за нікчемно малий проміжок часу від 10 с до 10 с.

У стадії інфляції створювалося сам простір і час Всесвіту. Весь цей початковий період у Всесвіті не було ні речовини, ні випромінювання. Потім стан помилкового вакууму розпалося, вивільнити енергію пішла на народження важких частинок і античастинок, які, проанігілірували, дали потужний спалах випромінювання (світла), освітившись космос. Так відбувся перехід від інфляційної стадії до фотонів.

Етап відділення речовини від випромінювання: що залишився після анігіляції речовина стала прозорим для випромінювання, контакт між речовиною і випромінюванням пропав.

В подальшому розвиток Всесвіту йшло в напрямку від максимально простого однорідного стану до створення дедалі більш складних структур - атомів, галактик, зірок, планет, синтезу важких елементів в надрах зірок, в тому числі і необхідних для створення життя, виникнення життя і людини.

РОЗДІЛ ІІ. Методичні розробки до викладання теми: «Сучасні уявлення про великомасштабну структуру Всесвіту»

Практичне заняття

Великомасштабна структура Всесвіту

Мета: навчитися використовувати спостереження червоних зміщень разом з їхніми координатами на небі для отримання тривимірної карти

найближчої області неба. Зрозуміти як матерія розташована у Всесвіті на великих масштабах. Оцінити деякі специфічні труднощі, що виникають при побудові та інтерпретації великомасштабної просторової карти Всесвіту.

Завдання

Знайти галактики в окремій області неба згідно списка, складеного попередниками.

Отримати спектри цих галактик, використовуючи модельні телескопи та спектрометри.

Виділити головні риси спектрів галактики.

Виміряти довжини хвиль головних спектральних ліній спектра галактики.

Обчислити червоні зміщення z та радіальні швидкості галактик.

Нанести радіальні швидкості і положення на клиновидній діаграмі для створення тривимірної карти околиць нашої Галактики.

Інтерпретувати розподіл галактик, який відображено на діаграмі, як прояв великомасштабної структури.

Знайти та оцінити типові розміри великомасштабних структур - надскупчень та пустот.

Деякі терміни, знання яких обов׳ÿçêîâå

Àíãñòðåì

Àáñîëþòíà âåëè÷èíà

Âèäèìà âåëè÷èíà

Ãàëàêòèêà

Äîâæèíà õâèë³

Äîïëåð³âñüêèé çñóâ

Åë³ïòè÷í³ ãàëàêòèêè

Êëèíîâèäíà ä³àãðàìà

Ë³í³¿ ïîãëèíàííÿ

̳ñöåâà ãðóïà

Ìåãàïàðñåê

Ìîäóëü â³äñòàí³

Íåïðàâèëüí³ ãàëàêòèêè

Ïàðñåê

Ðàä³àëüíà øâèäê³ñòü

Ñïåêòð

Ñïåêòðîìåòð

Ñêóï÷åííÿ Coma

Ñêóï÷åííÿ ãàëàêòèê

Ñï³ââ³äíîøåííÿ Õàááëà

Ñï³ðàëüíà ãàëàêòèêà

Ñòàëà Õàááëà

Ñóïåðñêóï÷åííÿ

Ñõèëåííÿ

Ïðÿìå ï³äíåñåííÿ

Ôîòîí

Öåôå¿äè

×åðâîíå çì³ùåííÿ, Z ²² K, Ca ²² H

Âåëèêîìàñøòàáíèé ðîçïîä³ë ìàòåð³¿


Ïîáóäîâà êàðòè Âñåñâ³òó íåëåãêà çàäà÷à, àëå çðîçóì³òè, ÷îìó öå âàæêî, íàñïðàâä³ äîñèòü ïðîñòî. Äîñèòü âàæêî âèçíà÷èòè ôîðìó òà ïðîòÿæí³ñòü ë³ñó, ÿêùî âè ñòî¿òå âñåðåäèí³ íüîãî. Äåðåâà íàâêîëî, êóäè íå ãëÿíü, àëå íàñê³ëüêè äîâãî âîíè òÿãíóòüñÿ? Äå ìåæà ë³ñó, ÿêùî âîíà âçàãàë³ º? ² ùî çà ë³ñ? ×è â³í âèãëÿäຠïîñàäæåíèì âèïàäêîâî òà ð³âíîì³ðíî, ÷è ìîæå â íüîìó çóñòð³÷àþòüñÿ ãàëÿâèíè òà çàðîñë³? Íàçåìíèé ñïîñòåð³ãà÷ ìîæå çíàéòè â³äïîâ³ä³ íà ö³ ïèòàííÿ, ìàíäðóþ÷è ë³ñîì, îçáðî¿âøèñü êîìïàñîì òà GPS ïðèéìà÷åì, ³ íàíîñÿ÷è íà êàðòó âñå, ùî çóñòð³íåòüñÿ ïî äîðîç³ íà ëèñòîê ìàñøòàáíîãî ïàïåðó. Àëå óÿâ³ìî ñîá³ çíà÷íî ñêëàäí³øó çàäà÷ó: ñïîñòåð³ãà÷ ïðèâ”ÿçàíèé äî äåðåâà ³ íå ìîæå â³ä³éòè â³ä ñâîãî ì³ñöÿ. Ç òàêîþ æ ïðîáëåìîþ ñòèêàºòüñÿ íàçåìíèé ñïîñòåð³ãà÷ êîëè ìîâà éäå ïðî îãëÿä Âñåñâ³òó. Ìè ìóñèìî ðîáèòè îãëÿä (ãàëàêòèê, çâè÷àéíî, à íå äåðåâ), ç îêðåìî¿ òî÷êè, - íàøî¿ Ñîíÿ÷íî¿ ñèñòåìè, - ðîçòàøîâàíî¿ äåñü íà 2/3 øëÿõó â³ä öåíòðà Ãàëàêòèêè äî ¿¿ êðàþ.

Äâ³ ç òðüîõ íåîáõ³äíèõ äëÿ öüîãî êîîðäèíàò ñïðàâä³ äóæå ëåãêî îòðèìàòè. Öå êóòîâ³ íåáåñí³ êîîðäèíàòè, ïðÿìå ï³äíåñåííÿ òà ñõèëåííÿ, ùî çðàçó ïîêàçóþòü íàì ó ÿêîìó ì³ñö³ íåáåñíî¿ ñôåðè ðîçòàøîâàíà ãàëàêòèêà. Íà ïðîòÿç³ ðîê³â, âèâ÷àþ÷è àñòðîôîòîãðàô³¿, àñòðîíîìè ñêëàëè âåëèê³ êàòàëîãè, ùî ì³ñòÿòü êîîðäèíàòè ñîòåíü òèñÿ÷ ãàëàêòèê. Âîíè òàêîæ çíàéøëè, ùî â ìåæàõ, äîñòóïíèõ äëÿ íàøèõ òåëåñêîï³â, ìîæíà çíàéòè ñîòí³ ì³ëüÿðä³â ãàëàêòèê.

Îäíàê, öüîãî ìàëî. Äâ³ íåáåñí³ êîîðäèíàòè âêàçóþòü íàì ëèøå íàïðÿì íà ãàëàêòèêó. Òðåòÿ êîîðäèíàòà, - â³äñòàíü, - òàê íåîáõ³äíà äëÿ ñêëàäàííÿ íàä³éíî¿ ïðîñòîðîâî¿ êàðòè, íà æàëü çíàõîäèòüñÿ äóæå íåïðîñòî. Ìàë³, ñëàáê³ ãàëàêòèêè, ðîçòàøîâàí³ áëèçüêî, âèãëÿäàþòü òàê ñàìî, ÿê âåëèê³ ³ ÿñêðàâ³, àëå äàëåê³. Çà âèíÿòêîì íàéáëèæ÷èõ ãàëàêòèê, ìè íå ðîçð³çíÿºìî â ãàëàêòèêàõ îêðåìèõ ç³ðîê, ÿê³ ìîæíà áóëî á âèêîðèñòàòè äëÿ çíàõîäæåííÿ â³äñòàíåé. ßê æå íàä³éíî çíàõîäèòè â³äñòàí³ äî ãàëàêòèê?

Ðîçâ”ÿçîê ö³º¿ ïðîáëåìè ïîëÿãຠâ âèêîðèñòàíí³ ðîçøèðåííÿ Âñåñâ³òó ùîá îòðèìàòè â³äñòàíü. ϳä ðîçøèðåííÿì Âñåñâ³òó ìè ðîçó쳺ìî, ùî ç ÷àñîì â³äñòàí³ ì³æ îêðåìèìè ãàëàêòèêàìè çðîñòàþòü. Áóäü-ÿêèé ñïîñòåð³ãà÷ íà áóäü-ÿê³é ãàëàêòèö³ áóäå áà÷èòè òåæ: âñ³ ãàëàêòèêè ðîçá³ãàþòüñÿ, ³ ÷èì äàë³ âîíè, òèì øâèäøå âò³êàþòü.

Çðîñòàííÿ øâèäêîñò³ ðîçá³ãàííÿ ãàëàêòèê ç â³äñòàííþ âïåðøå áóëî ïîì³÷åíî àñòðîíîìîì Åäâ³íîì Õàááëîì â 1920 ðîö³, ÿêèé âèì³ðÿâ â³äñòàí³ äî íàéáëèæ÷èõ ãàëàêòèê âèõîäÿ÷è ç ÿñêðàâîñò³ öåôå¿ä, ÿê³ â³í çíàéøîâ ó íèõ. ³í çíàéøîâ øâèäêîñò³ (ðàä³àëüí³ øâèäêîñò³), âèì³ðÿâøè äîâæèíè õâèëü ë³í³é ïîãëèíàííÿ ó ñïåêòðàõ öåôå¿ä. Çàâäÿêè åôåêòó Äîïëåðà, äîâæèíè ë³í³é ïîãëèíàííÿ âèÿâëÿþòüñÿ òèì á³ëüøèìè (çì³ùåíèìè ó ÷åðâîíó ä³ëÿíêó ñïåêòðà), ÷èì øâèäøå ðóõàºòüñÿ ãàëàêòèêà.

Ñï³ââ³äíîøåííÿ Õàááëà äຠíàì êëþ÷ äî âèçíà÷åííÿ òðåòüî¿ êîîðäèíàòè. Îñê³ëüêè â³äñòàíü äî ãàëàêòèêè ïðîïîðö³éíà çì³ùåííþ õâèëü ó íàïðÿìêó ÷åðâîíîãî ê³íöÿ ñïåêòðà, ìè ìîæåìî ïðîñòî îòðèìàòè ñïåêòð, çíàéòè çñóâ ë³í³¿ ³ âèêîðèñòàòè éîãî ÿê ì³ðó â³äñòàí³. Òàêèì ÷èíîì ìîæíà áóäóâàòè òðüîõâèì³ðí³ ãðàô³êè ó êîîðäèíàòàõ: ïðÿìå ï³äíåñåííÿ, ñõèëåííÿ, â³äñòàíü. Áóäåìî ñïîä³âàòèñÿ, ùî òàêèé ãðàô³ê ïîêàæå âñ³ îñíîâí³ âåëèêîìàñøòàáí³ ñòðóêòóðè Âñåñâ³òó.

Çâè÷àéíî, ò³ëüêè îòðèìàâøè ñïåêòðè âåëèêî¿ ê³ëüêîñò³ ãàëàêòèê, ìîæíà ïîáóäóâàòè êîíòóðè ñâ³òó. Ñïî÷àòêó, çâè÷àéíî, öå áóâ äóæå òðèâàëèé ïðîöåñ. Õàááë äåêîëè åêñïîíóâàâ ïëàñòèíêó íà ïðîòÿç³ ê³ëüêîõ ãîäèí ò³ëüêè ùîá îòðèìàòè ñïåêòð îäí³º¿ ãàëàêòèêè. Àëå óæå â 80-õ ðîêàõ ìåòîäè ñïåêòðîñêîﳿ çðîáèëè ìîæëèâèì îòðèìàííÿ ñïåêòð³â íå çà ãîäèíè, à çà õâèëèíè ³ ê³ëüêà ãðóï àñòðîíîì³â ïî÷àëè ñòâîðåííÿ îãëÿä³â ãàëàêòèê. Îäíîþ ç íàéâàæëèâ³øèõ ñåðåä öèõ ï³îíåðñüêèõ ðîá³ò áóëà ðîáîòà Äæ.Õóêðè òà Ì.Ãåëëåð ç Ãàðâàðäñüêîãî öåíòðó àñòðîô³çè÷íèõ äîñë³äæåíü ó Êåìáð³äæ³. Öåé ñïåêòðàëüíèé îãëÿä ì³ñòèòü ³íôîðìàö³þ ïðî âñ³ ÿñêðàâ³ ãàëàêòèêè â îáìåæåí³é îáëàñò³ ïðîñòîðó â íàïðÿì³ ñóç³ð”ÿ Âîëîññÿ Âåðîí³êè.

Êàðòè, ÿê³ ìîæíà îòðèìàòè íà îñíîâ³ îãëÿä³â ãàëàêòèê, ïîêàçóþòü, ùî ãàëàêòèêè ðîçì³ùåí³ ó ïðîñòîð³ äàëåêî íå ð³âíîì³ðíî, íàâïàêè, âîíè êîíöåíòðóþòüñÿ â âåëèêèõ ëèñòàõ, ñêóï÷åííÿõ, ðîçä³ëåíèõ ïóñòîòàìè â ÿêèõ ãàëàêòèê ìàëî, àáî íåìຠçîâñ³ì. Îäèí ç òàêèõ âåëè÷åçíèõ ëèñò³â, “Âåëèêà ñò³íà”, î÷åâèäíî, ïðîõîäèòü ÷åðåç âåñü îãëÿä.

Íàâ³òü ñó÷àñí³ ìåòîäè, ùî äîçâîëÿþòü ïðàöþâàòè ç òèñÿ÷àìè ãàëàêòèê, âèìàãàþòü äëÿ öüîãî äîñèòü áàãàòî ÷àñó ³ òîìó ðîáîòà ùå äóæå äàëåêà â³ä çàâåðøåííÿ. Ò³ëüêè íåâåëèêà ÷àñòèíà, (áëèçüêî 10-4) âñüîãî âèäèìîãî Âñåñâ³òó óæå êàðòîãðàôîâàíà. Îïèñàííÿ âåëèêîìàñøòàáíî¿ ñòðóêòóðè Âñåñâ³òó çà òàêîþ ìàëåñåíüêîþ âèá³ðêîþ íàãàäóº ñïðîáó îïèñàòè íàøó ïëàíåòó çà êàðòîþ îäíîãî îñòðîâà. Îäíàê, äåÿê³ îñíîâí³ âèñíîâêè âæå ìîæíà çðîáèòè.  íàø³é ðîáîò³ âè àíàë³çóâàòèìåòå òó æ ä³ëÿíêó íåáà, ùî ïîêðèâàºòüñÿ Ãàðâàðäñüêèì îãëÿäîì. ʳëüê³ñòü ãàëàêòèê â êàòàëîç³, îäíàê, çìåíøåíà, à óïðàâë³ííÿ ³íñòðóìåíòîì ñïðîùåíå, àëå ãîëîâí³ ïðîöåñè òàê³ æ, ÿêèìè êîðèñòóþòüñÿ çàðàç ïðè äåòàëüíîìó äîñë³äæåíí³ òîíêî¿ ñòðóêòóðè Âñåñâ³òó.

Çàãàëüíà ìåòîäèêà

Ïðîãðàìà äëÿ ëàáîðàòîðíî¿ ðîáîòè íàäຠâàì ìîæëèâ³ñòü óïðàâë³ííÿ îäíèì ç òðüîõ îïòè÷íèõ òåëåñêîï³â, êîæåí ç ÿêèõ îáëàäíàíèé òåëåêàìåðîþ (ùîá áà÷èòè îáëàñòü íåáà, íà ÿêó íàïðàâëåíî òåëåñêîï), òà åëåêòðîííèì ñïåêòðîìåòðîì äëÿ îòðèìàííÿ ñïåêòðà ñâ³òëà, ç³áðàíîãî òåëåñêîïîì. Ç öèì îáëàäíàííÿì âè ïîâèíí³ ïðîâåñòè îãëÿä ãàëàêòèê â îáìåæåí³é îáëàñò³ íåáà. Âè ïîâèíí³ îòðèìàòè ñïåêòðè óñ³õ ãàëàêòèê ö³º¿ îáëàñò³, âèì³ðÿòè äîâæèíè õâèëü âèçíà÷íèõ ë³í³é ¿õ ñïåêòð³â, âèêîðèñòàòè ö³ äàí³ äëÿ îòðèìàííÿ ÷åðâîíèõ çì³ùåíü òà ðàä³àëüíèõ øâèäêîñòåé óñ³õ ãàëàêòèê. Ìàþ÷è ö³ äàí³, âè ïîâèíí³ ïîáóäóâàòè êàðòó ðîçïîä³ëó âñ³õ ãàëàêòèê îáëàñò³ íåáà. Íà êàðò³ ïîâèíí³ ïðîÿâèòèñÿ äåÿê³ ç ãîëîâíèõ êðóïíîìàñøòàáíèõ óòâîðåíü Âñåñâ³òó, ï³ñëÿ ÷îãî âè ïîâèíí³ âèçíà÷èòè õàðàêòåðí³ ôîðìè òà ðîçì³ðè öèõ óòâîðåíü øëÿõîì ïîâíîãî âèâ÷åííÿ òà âè÷åðïíîãî àíàë³çó.

Øìàòîê íåáà, ÿêèé âè ïîâèíí³ âèâ÷èòè, çàéìຠ60 ãðàäóñ³â ç ñõîäó íà çàõ³ä (ïðÿìå ï³äíåñåííÿ â³ä 12 äî 16 ãîäèí) òà 5 ãðàäóñ³â ç ï³âíî÷³ íà ï³âäåíü (ñõèëåííÿ â³ä +27 äî +32). Öåé ðàéîí âèáðàíèé â ïåðøó ÷åðãó äëÿ çðó÷íîñò³: â³í âèñîêî â íåá³ ï³âí³÷íî¿ ï³âêóë³, éîãî âèïðîì³íþâàííÿ íå ïîãëèíàºòüñÿ ãàçîì òà ïèëîì íàøî¿ Ãàëàêòèêè. Á³ëüøå òîãî, â öüîìó íàïðÿìêó ðîçòàøîâàí³ äåÿê³ ç íàéáàãàòøèõ ãðóï ãàëàêòèê, ùî íàëåæàòü äî ñêóï÷åííÿ Âîëîññÿ Âåðîí³êè. Ñïèñîê ãàëàêòèê, ÿê³ ï³äëÿãàþòü âèâ÷åííþ, íàâåäåíèé ó Äîäàòêó 4.

Ó ñïèñêó ïîíàä 200 ãàëàêòèê. Äëÿ íàøî¿ ðîáîòè áóäåìî ââàæàòè, ùî öå âñ³ ãàëàêòèêè, ÿê³ ìîæíà ïîáà÷èòè ó òåëåñêîï. Ôàêòè÷íî, ¿õ çíà÷íî á³ëüøå, àëå ìè âèêèíóëè ç³ ñïèñêà á³ëüø³ñòü ç íèõ, ùîá ðîáîòà íå áóëà òàêîþ ìîíîòîííîþ òà äîâãîòðèâàëîþ. Òàêèé ï³äõ³ä òåæ äîñèòü ðåàë³ñòè÷íèé, îñê³ëüêè íàâ³òü ïðè íàéêðàùèõ óìîâàõ, àñòðîíîì³÷í³ êàòàëîãè ãàëàêòèê íå ìîæóòü âêëþ÷àòè âñ³ ãàëàêòèêè âèä³ëåíîãî îᔺìó ïðîñòîðó. Ñëàáê³ ãàëàêòèêè, øèðîêî ïðåäñòàâëåí³ ó ïðîñòîð³, âàæêî ïîáà÷èòè ³ ïîðàõóâàòè. Îäíàê, íàø ñïèñîê ì³ñòèòü äîñèòü ãàëàêòèê, ùîá ïîêàçàòè âåëèêîìàñøòàáí³ óòâîðè âèäèìîãî Âñåñâ³òó ó âèáðàíîìó íàïðÿìêó.

Ñïîñòåðåæåííÿ äâîõñîò ãàëàêòèê âèìàãàþòü äîñèòü äîâãîãî ÷àñó äëÿ îäí³º¿ àóäèòîðíî¿ ðîáîòè. ßê öÿ ðîáîòà áóäå âèêîíóâàòèñÿ, çàëåæèòü â³ä âàøîãî âèêëàäà÷à. Ìîæíà, íàïðèêëàä îðãàí³çóâàòè ðîáîòó òàê, ùîá êîæíà ëàáîðàòîðíà ãðóïà ïðîñïîñòåð³ãàëà, ñêàæ³ìî, 20 ãàëàêòèê ç³ ñïèñêà. Äàë³ ãðóïè îᔺäíóþòü ñâî¿ ðåçóëüòàòè, ùîá îòðèìàòè ºäèíèé ðÿä ñïîñòåðåæåíü, ç ÿêîãî îòðèìóþòü ñï³ëüíó êàðòó âåëèêîìàñøòàáíî¿ ñòðóêòóðè. Òàêå îᔺäíàííÿ çóñèëü õàðàêòåðíå äëÿ âñ³º¿ ñó÷àñíî¿ àñòðîíî쳿, â÷åí³ ÷àñòî îᔺäíóþòü çóñèëëÿ, ðîçä³ëÿþ÷è âåëèê³ “âàæêîï³äéîìí³” ïðîåêòè íà ìåíø³ ÷àñòèíè, ðîçä³ëÿþ÷³ ö³ ÷àñòèíè ì³æ ð³çíèìè ãðóïàìè â÷åíèõ, â òîìó ÷èñë³ ³ íà îñíîâ³ ì³æäåðæàâíèõ äîãîâîð³â. Âè ìîæåòå âèêîíóâàòè ðîáîòó íà ïðîòÿç³ ê³ëüêîõ çàíÿòü, àáî âèä³ëèâøè äëÿ ðîáîòè äîäàòêîâèé ÷àñ.

Îáëàñòü íåáà, ùî ï³äëÿãຠâèâ÷åííþ, íàãàäóº ñåêòîð, àáî øìàòîê òîðòà. Òîâùèíà éîãî âèçíà÷àºòüñÿ ð³çíèöåþ ñõèëåííü, êóò ïðè âåðøèí³ - ð³çíèöåþ ïðÿìèõ ï³äíåñåíü, à éîãî ðàä³óñ - â³äñòàíþ äî íàéäàëüøî¿ ãàëàêòèêè âèá³ðêè.

Äåòàë³ ìåòîäèêè

Òåëåñêîï ìîæíà íàïðàâèòè ó âêàçàíîìó íàïðÿìêó àáî êíîïêàìè N, S, E, W, àáî íàáðàâøè çíà÷åííÿ êîîðäèíàò ó â³äïîâ³äíèõ òåêñòîâèõ ïîëÿõ òà çàäàâøè êîìàíäó óñòàíîâêè íà îᔺêò. Âè ìàºòå ñïèñîê âñ³õ ãàëàêòèê ç ¿õ êîîðäèíàòèìè â íàø³é îáëàñò³, òîìó âè ìîæåòå ïðîñòî íàáðàòè êîîðäèíàòè, âèáðàâøè ¿õ ç³ ñïèñêà. Òåëåêàìåðà, ïðèºäíàíà äî òåëåñêîïà, äîçâîëèòü ïîáà÷èòè ãàëàêòèêó, íà ÿêó ìè íàïðàâèëè ³íñòðóìåíò, ³ çà äîïîìîãîþ êíîïîê òîíêîãî íàâåäåííÿ ìè ìîæåìî âñòàíîâèòè òåëåñêîï òàê, ùîá ñâ³òëî ãàëàêòèêè ïðîõîäèëî ó ù³ëèíó ïðèºäíàíîãî äî òåëåñêîïà ñïåêòðîìåòðà. ϳñëÿ öüîãî âìèêàºìî ñïåêòðîìåòð, ÿêèé ïî÷èíຠïðîöåñ çáîðó ôîòîí³â â³ä ãàëàêòèêè ³ íà åêðàí³ ïîòðîõó ç”ÿâëÿºòüñÿ ñïåêòð - ãðàô³ê çàëåæíîñò³ ³íòåíñèâíîñò³ ñâ³òëà â³ä äîâæèíè õâèë³. Çáèðàºòüñÿ âñå á³ëüøå òà á³ëüøå ôîòîí³â ³ âè îòðèìóºòå ìîæëèâ³ñòü âèð³çíèòè ñïåêòðàëüí³ ë³í³¿ ãàëàêòèêè (Í òà Ê ë³í³¿ êàëüö³þ) ³ âèì³ðþâàòè ¿õ äîâæèíè õâèëü, âñòàíîâëþþ÷è íà íèõ êóðñîð ìèø³. Äîâæèíè õâèëü áóäóòü á³ëüø³, í³æ ëàáîðàòîðí³ äîâæèíè ö³õ ë³í³é, (3970 ³ 3933 àíãñòðåì â³äïîâ³äíî), òàê ÿê ãàëàêòèêè â³ääàëÿþòüñÿ. Ñïåêòðîìåòð òàêîæ äຠâèäèìó çîðÿíó âåëè÷èíó ãàëàêòèêè, çíàõîäÿ÷è ¿¿ ç ³íòåíñèâíîñò³ ïîòîêó ôîòîí³â, ùî ïðèõîäÿòü â³ä ãàëàêòèêè. Îòæå, äëÿ êîæíî¿ ãàëàêòèêè âè îòðèìóºòå äîâæèíè Í òà Ê ë³í³é êàëüö³þ òà çîðÿíó âåëè÷èíó.

Îöå ³ âñ³ íåîáõ³äí³ âàì äàí³. Ç íèõ âè ìîæåòå îá÷èñëèòè ÷åðâîíå çì³ùåííÿ, z, ðàä³àëüíó øâèäê³ñòü, v, (çà ôîðìóëàìè åôåêòó Äîïëåðà), â³äñòàíü, (çà ôîðìóëàìè çàêîíó Õàááëà). Ùîá çåêîíîìèòè òðîõè ÷àñó, ìîæíà íå îá÷èñëþâàòè â³äñòàí³ äëÿ âñ³õ ãàëàêòèê. Îñê³ëüêè â³äñòàí³ ïðîïîðö³éí³ äî ÷åðâîíîãî çì³ùåííÿ àáî øâèäêîñò³, ìè ìîæå-ìî íàíîñèòè äëÿ êîæíî¿ ãàëàêòèêè z àáî v, ïðè öüîìó ìè îòðèìàºìî äîñèòü äîáðó êàðòèíó ðîçòàøóâàííÿ ãàëàêòèê ó ïðîñòîð³. Ñâîþ êàðòó ïîêàæåìî ÿê äâîâèì³ðíó êëèíîâèäíó ä³àãðàìó. Íà í³é áà÷èìî ñåêòîð ïðîñòîðó, òàê, ÿê ìè éîãî ïîáà÷èëè çîâí³. ³äñòàí³ íàíåñåí³ ïî ðàä³óñó â³ä âåðøèíè ñåêòîðà, ïðÿìå ï³äíåñåííÿ - ïðîòè ãîäèííèêîâî¿ ñòð³ëêè. Ïîñòóïîâî íàíîñÿ÷è ñâî¿ äàí³ òà äàí³ ñâî¿õ òîâàðèø³â, áóäåìî îòðèìóâàòè âñå äåòàëüí³øó êàðòèíó çàãàëüíî¿ ôîðìè ñêóï÷åíü òà ïóñòîò.

Îòðèìàííÿ ñïåêòð³â çà äîïîìîãîþ ìîäåëüíèõ ïðèëàä³â

Ïðîãðàìà ìîäåëþº ðîáîòó ñó÷àñíîãî öèôðîâîãî òåëåñêîïà ³ ñïåêòðîìåòðà. Îòðèìàºìî ñïåêòð ãàëàêòèêè ³ âèì³ðÿºìî ¿¿ ÷åðâîíå çì³ùåííÿ. Äîñòóïíèìè ïóíêòàìè ìåíþ ãîëîâíîãî â³êíà ïðîãðàìè º ïóíêòè Run òà Quit. Âèáåðåìî Run òà ïî÷íåìî ðîáîòó. Íà åêðàí³ êîìï”þòåðà ç”ÿâèòüñÿ ïàíåëü óïðàâë³ííÿ ³ â³êíî çîáðàæåííÿ, ÿêå ³ì³òóº ìîí³òîð êåðóâàííÿ ðåàëüíèì òåëåñêîïîì. Çâåðí³òü óâàãó, ùî êóïîë òåëåñêîïà (dome) çàêðèòèé, à ãîäèííèêîâèé ìåõàí³çì (tracking) âèìêíåíèé. ³äêðèéòå êóïîë (dome). Òåïåð âè ìàºòå çìîãó ñïîñòåð³ãàòè îᔺêòè. Êóïîë â³ä÷èíåíî ³ íà åêðàí³ çîáðàæåííÿ íåáà, ÿêå äຠã³ä òåëåñêîïà. Îñê³ëüêè ïîëå çîðó ã³äà çíà÷íî á³ëüøå, í³æ ïîëå çîðó îñíîâíîãî òåëåñêîïà, â³í, ÿê ïðàâèëî, âèêîðèñòîâóºòüñÿ äëÿ ïî÷àòêîâî¿ óñòàíîâêè íà îᔺêò. Ó éîãî ïîë³ çîðó âñòàíîâëåíà ÏÇÇ-êàìåðà, çîáðàæåííÿ ç íå¿ ïåðåäàºòüñÿ íà äèñïëåé. (Àñòðîíîìó çîâñ³ì íå ïîòð³áíî øóêàòè îᔺêò, çàãëÿäàþ÷è ó îêóëÿð ã³äà). Çíàéä³òü êíîïêó View íà ïàíåë³ óïðàâë³ííÿ òà çâåðí³òü óâàãó íà ¿¿ ñòàí: íà í³é â³ñòàíîâëåíî ïîëå çîðó ã³äà (Finder ó òåêñòîâîìó ïîë³ òðîõè íèæ÷å, í³æ êíîïêà).

Äåòàëüíî óïðàâë³ííÿ ñïåêòðîìåòðîì áóëî îïèñàíî ó ïîïåðåäí³é ðîáîò³, òîìó ïîâòîðþâàòè ¿¿ òóò ìè íå áóäåìî. Ùîá íå çàãóáèòè îᔺêò, ââ³ìêí³òü ãîäèííèêîâèé ìåõàí³çì.

Îá÷èñëåííÿ ðåçóëüòàò³â

Çàíîòóéòå âàæëèâó ³íôîðìàö³þ

ëàáîðàòîðíà äîâæèíà õâèë³ Ê ë³í³¿ êàëüö³þ λê =3933,67 Å

ëàáîðàòîðíà äîâæèíà õâèë³ Í ë³í³¿ êàëüö³þ λí =3968,85 Å

Îá÷èñë³òü àáñîëþòíå ÷åðâîíå çì³ùåííÿ

,

Îá÷èñë³òü â³äíîñíå ÷åðâîíå çì³ùåííÿ

 

Îá÷èñë³òü ðàä³àëüíó øâèäê³ñòü â³ääàëåííÿ ãàëàêòèêè ïî êîæí³é ç ë³í³é çà ôîðìóëîþ Äîïëåðà

 =czí

Çíàéä³òü ñåðåäíº çíà÷åííÿ øâèäêîñò³ â³ääàëåííÿ ãàëàêòèêè ÿê ñåðåäíº àðèôìåòè÷íå çíà÷åíü, îòðèìàíèõ ïî êîæí³é ç ë³í³é.

Îá÷èñëåííÿ äëÿ îäí³º¿ ãàëàêòèêè çàê³í÷åí³. Äëÿ íàíåñåííÿ íà êëèíîâèäíó ä³àãðàìó íàì äîñèòü îäí³º¿ ç êóòîâèõ êîîðäèíàò ãàëàêòèêè, à ñàìå ïðÿìå ï³äíåñåííÿ, òà ¿¿ øâèä-ê³ñòü. Öå ïîâ”ÿçàíî ç òèì, ùî ñåêòîð ïðîñòîðó, ÿêèé ìè àíàë³çóºìî äóæå òîíêèé (5 ãðàäó-ñ³â) ïî ñõèëåííþ, ³ òîìó ìè áóäåìî ââàæàòè, ùî âñ³ ãàëàêòèêè ëåæàòü ó îäí³é ïëîùèí³.

Çàïèñ äàíèõ ó êîìï”þòåð

Òåïåð âè ìîæåòå çàíåñòè äàí³ ó êîìï”þòåð ùîá ïîò³ì ìîæíà áóëî ¿õ íàäðóêóâàòè. Âèáèðàéòå Record Meas. â ìåíþ ñïåêòðîìåòðà. ³äêðèâàºòüñÿ â³êíî, ïðèçíà÷åíå äëÿ çàíåñåííÿ ðåçóëüòàò³â, ðèñ.12 (Äèâ.äèñêåòó, ôàéë Figs\Pic12.gif). Çàíåñåìî âèì³ðè äîâæèí õâèëü Í òà Ê ë³í³é ³ îá÷èñëåí³ øâèäêîñò³. Ó öüîìó â³êí³ êîìï”þòåð ïåðåâ³ðèòü ïðàâèëüí³ñòü âíåñåíèõ çíà÷åíü øâèäêîñòåé, îá÷èñëèòü ñåðåäíþ øâèäê³ñòü. Äëÿ öüîãî òðåáà íàòèñíóòè Verify/Average à ÿêùî âñå ïðàâèëüíî - Ok.

Òåïåð ìîæíà ñïîñòåð³ãàòè ³íø³ ãàëàêòèêè. Âèáèðàéòå ïóíêò ìåíþ Return. ßêùî âè íå çàíåñëè äàí³, êîìï”þòåð ïåðåïèòຠâàñ, ÷è íå çàáóëè âè çàíåñòè äàí³ äëÿ äàíî¿ ãàëàêòèêè. Âè ìîæåòå ïîâåðíóòèñÿ ó â³êíî çàïèñó ðåçóëüòàò³â, àáî çàëèøèòè éîãî ³ ïåðåéòè ó â³êíî ñïåêòðîìåòðà, àëå ïðè öüîìó âñÿ ³íôîðìàö³ÿ, ç³áðàíà, òà íå çàïèñàíà, áóäå âòðà÷åíà. Äàí³, ÿê³ âæå çàïèñàíî ó êîìï”þòåð, ìîæíà ïåðåãëÿäàòè ³ ðåäàãóâàòè. Öå ìîæíà çðîáèòè ç â³êíà óïðàâë³ííÿ òåëåñêîïîì âèáðàâøè ç ìåíþ File ìîæëèâ³ñòü Data, à äàë³ Review. Ç”ÿâëÿºòüñÿ â³êíî ç óæå ââåäåíèìè äàíèìè, ðèñ.13, (äèâ.äèñêåòó, ôàéë Figs\Pic13.gif). Òóò íàçâà îᔺêòà, éîãî âèäèìà âåëè÷èíà, ïðÿìå ï³äíåñåííÿ òà ñõèëåííÿ, - ö³ ïîçèö³¿ çàïîâíþþòüñÿ êîìï”þòåðîì àâòîìàòè÷íî, êîëè âè çàíîñèòå ³íôîðìàö³þ. Êð³ì òîãî, ïðèâîäèòüñÿ ââåäåíå âàìè çíà÷åííÿ øâèäêîñò³ ãàëàêòèêè. Îñòàíí³ òðè ñòîâï÷èêè ì³ñòÿòü ç³ðî÷êè, ÿê³ ïîñë³äîâíî îçíà÷àþòü, (1) ùî âè ââåëè âèì³ðÿí³ çíà÷åííÿ äîâæèí õâèëü õî÷à á äëÿ òðüîõ ë³í³é, (2) ùî âè ââåëè ðåàëüíå çíà÷åííÿ øâèäêîñò³ ãàëàêòèêè, (3) ùî äàí³ äëÿ ö³º¿ ãàëàêòèêè çàïèñàí³ âàìè äëÿ â³äîáðàæåííÿ íà êëèíîâèäí³é ä³àãðàì³. Öÿ îñòàííÿ ç³ðî÷êà îçíà÷àº, ùî ââîäèòè äàí³ äëÿ ö³º¿ ãàëàêòèêè âæå á³ëüøå íå òðåáà. (Öå äëÿ òîãî, ùîá âèïàäêîâî íå âèÿâèëîñü äâîõ çíà÷åíü äëÿ îäí³º¿ ãàëàêòèêè).

ßêùî âè õî÷åòå âèäàëèòè äåÿêó ³íôîðìàö³þ ç öüîãî ñïèñêà, êëàöí³òü íà ðÿäî÷êó, â³í âèä³ëèòüñÿ ³ ï³ñëÿ öüîãî íàò³ñí³òü êíîïêó Delete âíèçó â³êíà. ßêùî æ âè õî÷åòå ðåäàãóâàòè äàí³, íàòèñí³òü êíîïêó Edit, ÿêà â³äêðèº äëà âàñ â³êíî ðåäàãóâàííÿ.

Êëèíîâèäíà ä³àãðàìà

ϳñëÿ òîãî, ÿê ñïîñòåðåæåííÿ ïðîâåäåí³, äàí³ ç³áðàí³ òà çàíåñåí³ ó êîìï”þòåð âè ìîæåòå ïðîàíàë³çóâàòè, ïåðåãëÿíóòè òà â³äðåäàãóâàòè ç³áðàíó ³íôîðìàö³þ (êíîïêà Edit), íàäðóêóâàòè ¿¿ ó âèãëÿä³ ïàïåðîâî¿ êîﳿ (Print), ÷è çáåðåãòè äàí³ äëÿ ïîäàëüøîãî íàíåñåííÿ íà êëèíîâèäíó ä³àãðàìó (Save results to Plot).  îñòàííüîìó âèïàäêó âè îòðèìàºòå ïîïåðåäæåííÿ, ÿêùî íå âñ³ äàí³ ç³áðàí³.

Ó ðîáîò³ ïåðåäáà÷àºòüñÿ äâà ìîæëèâèõ øëÿõè îòðèìàííÿ êëèíîâèäíî¿ ä³àãðàìè.

Ïî-ïåðøå, öå ìîæíà çðîáèòè âðó÷íó. Íàäðóêóéòå ïîäàíèé ó äîäàòêó 5 ëèñòîê ç çàãîòîâêîþ ä³àãðàìè. Ðàä³àëüí³ ë³í³¿ â³äïîâ³äàþòü ð³çíèì çíà÷åííÿì ïðÿìîãî ï³äíåñåííÿ, äóãè - øâèäêîñò³. Äëÿ êîæíî¿ ç 218 âèì³ðÿíèõ ãàëàêòèê íàíåñ³òü íà ä³àãðàìó îäíó òî÷êó. Íà ìàëþíêó ïîêàçàíî ãàëàêòèêó, äëÿ ÿêî¿ α = 13h15m, à øâèäê³ñòü â³ääàëåííÿ - 7000 êì/ñ. ßê ò³ëüêè âè âñå íàíåñåòå, ðîçïîä³ë ãàëàêòèê ó ïðîñòîð³ áóäå äîáðå âèäèìèé. Çâè÷àéíî, ìîæíà âèãîòîâèòè ä³àãðàìó ³ ñàìîñò³éíî: öèðêóëü, ë³í³éêà, òðîõè çäîðîâîãî ãëóçäó ³ ðèñ.10 äëÿ äîâ³äîê.

Ïî-äðóãå, ìîæíà ñêîðèñòàòèñÿ ñïåö³àëüíîþ ïðîãðàìîþ äëÿ ìàëþâàííÿ òàêèõ ä³àãðàì, ÿêà âõîäèòü ó ïðîãðàìíå çàáåçïå÷åííÿ. Öÿ ïðîãðàìà íàçèâàºòüñÿ Wedge Plot ³ âèêëèêàºòüñÿ ç ìåíþ ãîëîâíîãî â³êíà ðîáîòè. Ç”ÿâëÿºòüñÿ â³äïîâ³äíå â³êíî, ðèñ.14, (äèâ.äèñêåòó, ôàéë Figs\pic14.gif). Íàéö³êàâ³ø³ äëÿ íàñ ìîæëèâîñò³ ïðîãðàìè Wedge Plot ìîæíà êîðîòêî ïåðåðàõóâàòè òàê. Çàâàíòàæåííÿ ôàéëó äàíèõ (File->Open), äðóêóâàííÿ äàíèõ ç âàøîãî ôàéëà (File->Print), â³äîáðàæåííÿ éîãî íà ä³àãðàì³ (Plot->Plot data file), äîäàòè òî÷êó íà ä³àãðàìó ó ðó÷íîìó ðåæèì³ (Plot->Manual data entry), äðóêóâàííÿ ä³àãðàìè (Plot->Print the plot). Ïóíêò ìåíþ Options ïðèçíà÷åíèé äëÿ çì³íè ñòèëþ âàøî¿ ä³àãðàìè, à ñàìå â íüîìó ìîæíà âèáðàòè êîë³ð, ðîçì³ð òà âèãëÿä òî÷îê ä³àãðàìè.

Àíàë³ç îòðèìàíèõ ðåçóëüòàò³â

Óâàæíî ïðîàíàë³çóéòå îòðèìàíó ä³àãðàìó. Õî÷à íà í³é âñüîãî áëèçüêî 200 ãàëàêòèê, îñíîâí³ ðèñè íàâêîëèøíüîãî Âñåñâ³òó ìîæíà ðîçð³çíèòè. Âèõîäÿ÷è ç ä³àãðàìè äàéòå â³äïîâ³äü íà ïèòàííÿ: ÷è ìîæíà ãîâîðèòè ïðî ð³âíîì³ðíèé ðîçïîä³ë ìàòå𳿠ó Âñåñâ³ò³? Íàéãóñò³øà ÷àñòèíà ä³àãðàìè, ÿêà ÷èìîñü íàãàäóº ô³ãóðó õóäî¿ ëþäèíè, öå öåíòð ñêóï÷åííÿ ãàëàêòèê ó ñóç³ð”¿ Âîëîññÿ Âåðîí³êè. ßê³ êîîðäèíàòè öåíòðà ñêóï÷åííÿ?

Çà ñï³ââ³äíîøåííÿì Õàááëà (çãàäàéòå) çíàéä³òü â³äñòàí³ äî ê³ëüêîõ îᔺêò³â íà ä³àãðàì³. Äëÿ ñòàëî¿ Õàááëà ïðèéì³òü çíà÷åííÿ 75 êì/ñ/Ìïñ. Îá÷èñë³òü â³äñòàíü äî ñêóï÷åííÿ.

ßêà â³äñòàíü äî íàéäàëüøî¿ ãàëàêòèêè, íàíåñåíî¿ íà ä³àãðàìó? Ñê³ëüêè ùå äî ãðàíèöü â³äîìîãî Âñåñâ³òó? (4.6⋅109 ïñ).

Ðîçãëÿíüòå ïðîáëåìó ïîâíîòè íàøî¿ âèá³ðêè. Ïîð³âíÿéòå íàøó âèá³ðêó ç ôîòîãðàô³÷íèì êàòàëîãîì ãàëàêòèê. ßê³ îᔺêòè ìîæóòü áóòè â³äñóòí³ ó íàø³é âèá³ðö³? ßê ïîêðàùèòè ïîâíîòó?

Çà ñêóï÷åííÿì Âîëîññÿ Âåðîí³êè ÷åðåç âñþ ä³àãðàìó òÿãíåòüñÿ óòâîðåííÿ, â³äîìå ÿê Âåëèêà ñò³íà. Çíàéä³òü â³äñòàíü äî Âåëèêî¿ ñò³íè. Çíàéä³òü äîâæèíó âåëèêî¿ ñò³íè. ßêèìè ñïîñòåðåæåííÿìè ìîæíà ï³äòâåðäèòè, ùî öå ñïðàâä³ ñò³íà, à íå îêðåìå âîëîêíî?

Çàêëþ÷í³ çàóâàæåííÿ

Õî÷à ó öüîìó îãëÿä³ ïðåäñòàâëåíà ì³í³àòþðíà ÷àñòèíà Âñåñâ³òó, àñòðîíîìè ââàæàþòü, ùî òàêà âåëèêîìàñøòàáíà ñòðóêòóðà ïðîíèçóº âåñü Âñåñâ³ò. Ùîá öå ï³äòâåðäèòè, âîíè ðîçøèðþþòü ñâî¿ îãëÿäè âñå äàë³ ³ äàë³, âêëþ÷àþòü â íèõ âñå ñëàáê³ø³ òà á³ëüø â³ääàëåí³ ãàëàêòèêè. Çàðàç º àâòîìàòèçîâàí³ òåëåñêîïè, ùî äîçâîëÿþòü îòðèìóâàòè ñïåêòðè áàãàòüîõ îᔺêò³â â ïîë³ çîðó òåëåñêîïà îäíî÷àñíî (“Ìåäóçà”). Àëå ÷èì á³ëüøå ãàëàêòèê íàíîñèòüñÿ íà êàðòè, òèì êðàùå âèäíî, ùî ïîðîæíèíè òà ñêóï÷åííÿ çóñòð³÷àþòüñÿ ïîâñþäè. Îäí³ºþ ç íàéá³ëüøèõ çàãàäîê ñó÷àñíî¿ êîñìîëî㳿 º ïîÿñíåííÿ òîãî, ÿê âåëèêîìàñøòàáíà ñòðóêòóðà Âñåñâ³òó óòâîðèëàñÿ ç ìàéæå îäíîð³äíîãî ðîçïîä³ëó ãóñòèíè ïåðâèííî¿ ìàòåð³¿.

Âèñíîâêè

Âñåñâ³ò ó øèðîêîìó ñåíñ³ - öå ñåðåäîâèùå íàøîãî ³ñíóâàííÿ. Òîìó âàæëèâå çíà÷åííÿ äëÿ ïðàêòè÷íî¿ ä³ÿëüíîñò³ ëþäèíè ìຠòà îáñòàâèíà, ùî ó Âñåñâ³ò³ ïàíóþòü íåçâîðîòí³ ô³çè÷í³ ïðîöåñè, ùî âîíà çì³íþºòüñÿ ç ÷àñîì, çíàõîäèòüñÿ â ïîñò³éíîìó ðîçâèòêó. Ëþäèíà ïðèñòóïèâ äî îñâîºííÿ êîñìîñó, âèéøëà ó â³äêðèòèé êîñì³÷íèé ïðîñò³ð. Íàø³ çâåðøåííÿ íàáóâàþòü âñå á³ëüøîãî ðîçìàõó, ãëîáàëüí³ ³ íàâ³òü êîñì³÷í³ ìàñøòàáè. ² äëÿ òîãî, ùîá âðàõóâàòè ¿õí³ áëèçüê³ òà â³ääàëåí³ íàñë³äêè, ò³ çì³íè, ÿê³ âîíè ìîæóòü âíåñòè â ñòàí ñåðåäîâèùà íàøîãî ³ñíóâàííÿ, â òîìó ÷èñë³ ³ êîñì³÷íî¿, ìè ïîâèíí³ âèâ÷àòè íå ò³ëüêè çåìí³ ÿâèùà ³ ïðîöåñè, àëå é çàêîíîì³ðíîñò³ êîñì³÷íîãî ìàñøòàáó.

Âåëèêå ùàñòÿ äëÿ íàñ, ùî â ïåðâèíí³é ðå÷îâèí³ áóâ íàäëèøîê ïðîòîí³â íàä íåéòðîíàìè. Çàâäÿêè öüîìó çàëèøèëèñÿ ó Âñåñâ³ò³ íåçâ'ÿçàí³ ïðîòîíè, ³ çãîäîì óòâîðèâñÿ âîäåíü, áåç ÿêîãî íå ñâ³òèëî á ñîíöå, íå áóëî á âîäè, íå ìîãëà âèíèêíóòè æèòòÿ. Íå áóëî á æèòòÿ, íå áóëî á ³ ëþäñòâà. *

Êàðòèíà åâîëþö³¿ Âñåñâ³òó, ÿêà â³äêðèëàñÿ ïåðåä íàìè, âðàæàº óÿâó ³ äèâóº. Íå ïåðåñòàþ÷è äèâóâàòèñÿ, íå ñë³ä çàáóâàòè, ùî âñå öå â³äêðèëà ëþäèíà - ìåøêàíåöü ìàëåíüêî¿ ïîðîøèíêè, çàãóáëåíî¿ â áåçìåæíèõ ïðîñòîðàõ Âñåñâ³òó, - ïëàíåòè Çåìëÿ.

˳òåðàòóðà

Àëåêñàíäðîâ Þ. Â. Îñíîâè ðåëÿòèâ³ñüêî¿ êîñìîëî㳿: Íàâ÷. ïîñ. - 88 ñ.

Àñòðîíîì³÷íà îáñåðâàòîð³ÿ Ëüâ³âñüêîãî íàö³îíàëüíîãî óí³âåðñèòåòó ³ìåí³ ²âàíà Ôðàíêà/ Á. Íîâîñÿäëèé «Ôîðìóâàííÿ âåëèêîìàñøòàáíî¿ ñòðóêòóðè Âñåñâ³òó: òåîð³ÿ ³ ñïîñòåðåæåííÿ», Æóðíàë ô³çè÷íèõ äîñë³äæåíü.

Âîðîíöîâ - Âåëüÿìèíîâ Á. À. Âíåãàëàêòè÷åñêàÿ àñòðîíîìèÿ. - 2-å èçä. - Ì.: Íàóêà, 1978.

Ïðîáëåìû ñîâðåìåííîé êîñìîãîíèè/Ïî ðåä. Â. À. Àìáàðöóìÿíà. - Ì.: Íàóêà, 1969

Çåëüäîâè÷ ß. Á. Òåîðèÿ ðàñøèðÿþùåéñÿ Âñåëåííîé, ñîçäàííàÿ À. À. Ôðèäìàíîì// ÓÔÍ.-1963. - Âûï. 3.

Çåëüäîâè÷ ß. Á. Ãîðÿ÷àÿ Âñåëåííàÿ// Çåìëÿ è Âñåëåííàÿ. - 1969. - ¹3

Çåëüäîâè÷ ß. Á. , Íîâèêîâ È. Ä. - Ñòðîåíèå è ýâîëþöèÿ Âñåëåííîé. - Ì.: Íàóêà, 1975

Êàðïåíê³â Ñ.Õ., Êîíöåïö³¿ ñó÷àñíîãî ïðèðîäîçíàâñòâà: ϳäðó÷íèê äëÿ âóç³â. Ì. 2003.

Êîíîíîâè÷ Ý. Â., Îáùèé êóðñ àñòðîíîìèè: ó÷åáíîå ïîñîáèå/Ïîä ðåä. Â. Â. Èâàíîâà. Èçä. 2-å, èñïð. Ì.: Åäèòîðàë ÓÐÑÑ, 2004. - 544 ñ. (Êëàñè÷åñêèé óíèâåðñèòåòñêèé ó÷åáíèê)

Ëàâðèíåíêî Â.Ì., Ðàòí³êîâ Â.Ï., Êîíöåïö³¿ ñó÷àñíîãî ïðèðîäîçíàâñòâà. Ì. 2003.

Ìàðòûíîâ Ä. ß. Êóðñ îáùåé àñòðîôèçèêè: Ó÷åá. äëÿ âóçîâ. - 4-å èçä., ïåðåðàá. è äîï. - Ì.: Íàóêà. Ãë. ðåä. Ôèç.-ìàò. Ëèò., 1988. - 640 ñ.

Íàéäèø Â.Ì., Êîíöåïö³¿ ñó÷àñíîãî ïðèðîäîçíàâñòâà. Ì. 2003.

Íîâèêîâ È. Ä. Ýâîëþöèÿ Âñåëåííîé. - 2-å èçä.- Ì.:Íàóêà,1983.

Ïåòðîñîâà Ð.À., Ãîëîâ Â.Ï., ѳâîãëàçîâ Â.²., Ïðèðîäîçíàâñòâî òà îñíîâè åêîëî㳿. Ì. 2000

Ñåìê³â Þ.Ì. Åâîëþö³ÿ ìîäåëåé Âñåñâ³òó - Òåðíîï³ëü.:Âèäàâíèöòâî «²íôîòåöåíòð», 2007-57ñ.Ðàçìåùåíî íà Allbest.ru

Похожие работы на - Сучасні уявлення про великомасштабну структуру Всесвіту

 

Не нашли материал для своей работы?
Поможем написать уникальную работу
Без плагиата!
Без нейросетей!