Теоретические основы оценки стоимости компании

  • Вид работы:
    Контрольная работа
  • Предмет:
    Эктеория
  • Язык:
    Русский
    ,
    Формат файла:
    MS Word
    337,3 Кб
  • Опубликовано:
    2016-09-23
Вы можете узнать стоимость помощи в написании студенческой работы.
Помощь в написании работы, которую точно примут!

Теоретические основы оценки стоимости компании















Контрольная работа

Теоретические основы оценки стоимости компании

Содержание

Введение

. Анализ сравнительного подхода

. Анализ доходного подхода

. Сравнение доходного и сравнительного подходов

Литература

Введение

Начать контрольную работу представляется логичным с описания теоретических основ подходов и методов, применяемых для нахождения оценки стоимости компании.

На данный момент выделяется три традиционных подхода к оценке компании:

сравнительный подход - совокупность методов оценки стоимости объекта, основанных на сравнении объекта оценки с аналогичными объектами;

затратный подход - совокупность методов оценки стоимости объекта, основанных на определении затрат, необходимых для восстановления либо замещения объекта оценки с учетом его износа;

доходный подход - совокупность методов оценки стоимости объекта, основанных на определении ожидаемых доходов от объекта оценки.

Каждый из них позволяет подчеркнуть определенные характеристики объекта и подразумевает применение определенных методы и оптимальные условия для использования. Тем не менее, в целом все три подхода взаимосвязаны. Каждый из них предполагает использование различных видов информации, получаемой на рынке. Чаще всего, результаты каждого из подходов используются для проверки величины стоимости, полученной с помощью других подходов.

1. Анализ сравнительного подхода

Начнем с описания сравнительного подхода к оценке стоимости компании.

Оценка этим подходом основана на предположении, что приблизительно одни и те же активы должны приносить одну и ту же доходность и, соответственно, одинаково стоить. Получается, что для сопоставимых компаний соотношения между ценой продажи и финансовыми параметрами, влияющими на доходность, достаточно близки.

Различают три метода оценки бизнеса в рамках использования сравнительного подхода: метод рынка капитала (метод компании-аналога); метод сделок; метод отраслевых коэффициентов.

Метод компании-аналога основывается на использовании результатов единичных сделок на открытом рынке. Вначале выбирается группа сходных предприятий: главный критерий здесь - принадлежность к одной отрасли, но учитываются также размер компании, структура ее капитала, рынки сбыта и закупок, стадии жизненного цикла предприятия, и т.д.

Далее, для каждой выбранной компании находится ряд коэффициентов, так называемых, мультипликаторов. В числителе обычно находится либо цена акции данной компании, либо стоимость всего бизнеса (если такие данные имеются), а в знаменателе какой-либо фактический показатель: выручка, чистая прибыль, балансовая стоимость, денежный поток и другие. Важное условие, которое должно соблюдаться: числитель и знаменатель должны быть сравнимы. К примеру, мультипликатор применяться не будет (за исключением отдельных, вырожденных случаев), в то время как  - часто используется. Конечно, из этого правила тоже есть исключения, которые, тем не менее, правило не опровергают. Во-первых, аналитиками на практике часто используется мультипликатор  числитель и знаменатель, которого несравнимы. Во-вторых, активно применяется целая группа так называемых «натуральных мультипликаторов», которые чаще всего являются показательными для какой-то конкретной отрасли. К ним, например, можно отнести использующийся в нефтяной отрасли коэффициент  или  (часто, «платящих пользователей») из телекоммуникационной отрасли. Такого рода показатели являются определяющими для деятельности компании, поэтому и могут использоваться как своеобразный параметр, по которому компании будут далее сравниваться.

Затем, используя полученные мультипликаторы, может быть найдена оценочная стоимость компании из той же отрасли. Для этого каждый мультипликатор умножается на соответствующую оцениваемой компании базу. Таким образом, полученное значение будет характеризовать то, как рынок «должен бы был оценить» данную компанию по аналогии со сравнимыми торгуемыми предприятиями.

Здесь стоит уточнить, что чаще всего, для увеличения точности, оцениваемая компания «сравнивается» не с одним аналогом, а с целым набором. В зависимости от того, на сколько разняться полученные значения мультипликаторов, чаще всего, находится или среднее или медианное значение, из которого уже и получаются оценочные стоимости. Более того, обычно выбирается целый набор мультипликаторов, и полученные по ним значения так же усредняются. Это позволяет избавиться от влияния «выбросов» и получить относительно справедливую оценку.

Данный метод был описан так подробно, поскольку будет в дальнейшем использован в данной работе. Теперь чуть более бегло рассмотрим два оставшихся метода в рамках сравнительного подхода.

Так, метод сделок, достаточно близок к уже описанному методу «компаний-аналогов», но в рассчитываемых мультипликаторах используется информация об условиях сделок с контрольными или стопроцентными пакетами акций компаний. Другими словами, ищутся данные по последним прошедшим в данной отрасли сделкам слияний и поглощений, и затем стоимость, которую покупатели заплатили за сравнимую компанию, «приводится» к оцениваемой, аналогично с тем, как это делалось в первом методе.

Наконец, метод отраслевых коэффициентов, базируется на формулах, верных для конкретной изучаемой отрасли и полученных на основе статистических данных. Из этих формул, способом, сходным с использованным в предыдущих методах, может быть выведена оценочная стоимость бизнеса.

. Анализ доходного подхода

Следующий подход к оценке компании носит название «доходный». Его идея заключается в том, что реальная стоимость компании, это не что иное, текущая стоимость суммы ее будущих доходов. На практике обычно выделяют два метода в рамках доходного подхода: прямой капитализации дохода и дисконтирования денежных потоков. Как и в случае сравнительного подхода, мы немного затронем все методы, но подробно остановимся только на дисконтировании денежных потоков, тк данный метод будет использован в дальнейшей работе.

Начнем с метода прямой капитализации. Он применяется, если ожидается стабильный и, чаще всего, известный темп роста доходов предприятия. В таком случае определяются, во-первых, ежегодные доходы компании, и, во-вторых, соответствующая этим доходам ставка капитализации (k). Затем, по формуле  находится рыночная стоимость собственного капитала компании.

Стоит также заметить, что ставка капитализации может быть определена, если известна ставка дисконтирования (r) и темп роста доходов компании (g), по формуле:

Основное преимущество данного метода - простота подсчетов. Но, к сожалению, он достаточно редко применяется на практике, особенно в рамках российского рынка, т.к. в условиях нестабильной экономической ситуации, говорить о равномерности потока доходов, увы, не приходится. Тем не менее, когда речь идет об оценке, например, недвижимости, приносящей стабильный доход, этот метод может оказаться предпочтительнее.

Второй метод - метод дисконтирования денежных потоков. Он, в отличие от предыдущего не требует равномерности денежных потоков и позволяет значительно лучше учесть особенности развития конкретного предприятия. В его рамках предполагается анализ потоков за определенный период и, далее, выбор темпов роста после этого периода. Таким образом, получается, что стоимость компании определяется как приведённая стоимость всех ее будущих потоков.

Рассмотрим процесс оценки данным методом подробнее. Первый шаг в данном случае - выбор и нахождение денежного потока. Обычно в анализе используется денежный поток либо к инвестированному (т.е. всему), либо к собственному капиталу. Первый из них (FCFF - FreeCashFlowtotheFirm), определяется по следующей формуле:


где:

- чистая прибыль;

 - амортизация;

 - расходы по процентам;

 - ставка налога;

 - капитальные расходы (инвестиции в основные средства);

 - изменения чистого оборотного капитала

и представляет собой сумму всех денежных потоков, которые генерирует компания.

Второй поток, это только та часть создаваемых денежных средств, которая приходится владельцам акций (капитала) компании. Называется он, соответственно, FCFE - FreeCashFlowtotheEquity и может быть получен из FCFF следующим образом:


где:

 - размер чистого долга компании;

Можно наглядно представить соотношение этих денежных потоков, ведь, как видно из формулы, они отличаются ровно на размер чистого потока к кредиторам компании.

Рисунок №1. Соотношение денежных потоков

Тот или другой денежный поток выбирается исходя из целей анализа (в зависимости от того, какая стоимость компании должна быть получена в результате).

Следующий шаг - определение деятельности прогнозного периода. Это решение так же принимается исходя из целей оценки, имеющихся данных и прогнозов относительно развития оцениваемой компании и отрасли в целом. Далее, строится прогноз денежного потока (чаще всего, через прогноз его составляющих) на всем прогнозном периоде.

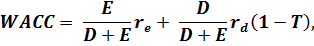
Затем выбирается ставка дисконтирования. Прежде всего, она должна соответствовать используемому денежному потоку. Так, чаще всего, в качестве дисконт-ставки для FCFE берется стоимость собственного капитала (costofequity, ), а для FCFF - средневзвешенная стоимость всего капитала компании (WACC). Здесь стоит чуть подробнее остановиться на каждой из них.

Стоимость собственного капитала, это такая ставка доходности, которая устроит инвестора (рынок) при покупке акций компании. Другими словами - требуемая доходность. Она может быть найдена (чаще всего используется именно этот метод), с использованием модели CAPM (CapitalAssetPricingModel). Согласно ей, требуемая доходность (в базовом случае) равна:


где:

 - безрисковая ставка доходности (чаще всего, T-Bills - долгосрочные облигации США);

 - ожидаемая доходность рыночного портфеля;

 - коэффициент чувствительности доходности актива к изменениям рыночной доходности. Рассчитывается по формуле: .

Это - самая простая модификация данной формулы. Существуют и используются более сложные версии, позволяющие, например, учесть принадлежность другому рынку капитала или уровень риска соответствующий данной компании, но в рамках данной работы мы не будем подробно рассматривать посвященные этому исследования.

Аналогично логике, что «для дисконтирования потока к собственному капиталу, необходимо использовать стоимость собственного капитала», для дисконтирования потока к инвестированному капиталу, нам нужна его стоимость. Чаще всего она находится как средневзвешенная (по доли источника в общем капитале) стоимость и называется, соответственно, WeightedAverageCostofCapital (). Формула для ее расчета выглядит следующим образом:


где:

 - доли, соответственно, собственного капитала и долга в капитале компании;

 - стоимость собственного капитала для компании;

 - стоимость заемного капитала (долга) для компании;

 - ставка налога.

Здесь также нужно дать несколько уточнений. Во-первых, о способе расчета стоимости заемного капитала. На практике он, чаще всего, зависит от объема данных, доступных аналитику. Если имеется возможность, используется фактическая стоимость различных видов заемных средств. Зная ее, аналогично с логикой нахождения WACC, взвешиваются стоимости краткосрочных кредитов, долгосрочных кредитов и облигаций по их весу в общем объеме заемных средств. Если каких-то из данных нет, используются аппроксимации либо усредненные (по рынку, отрасли или компании) значения.

Во-вторых, вопросы вызывает последний множитель: (1 - T). Он обусловлен так называемым эффектом налогового щита. Дело в том, что когда компания получает заем, она начинает тратить средства на его обеспечение (собственно, это и есть его стоимость). Но эти расходы начисляются в балансе до того, как рассчитывается объем налогов к уплате, то есть увеличение долга уменьшает налогооблагаемую базу. Из-за этого эффекта, уменьшаются расходы компании и, выходит, что в действительности, заемные средства обходятся дешевле, чем их стоимость (). Поэтому, при расчете стоимости капитала, стоимость долга уменьшается на величину не уплаченных благодаря привлечению этого долга налогов. С капиталом же такой ситуации не происходит, ведь «затраты на собственный капитал» (выплату дивидендов) компания несет, если было принято соответствующее решение, после уплаты всех налогов и сборов.

Наконец, интересная тема, связанная с WACC, которая много изучалась экономистами - влияние на стоимость компании. Мертон Миллер и Франко Модильяни показали (теорема Модильяни-Миллера), что стоимость компании не зависит от структуры капитала, но только в идеальной ситуации: при условии отсутствия налогов. Когда же налоги есть, из-за описанного выше эффекта налогового щита, использование заемных средств становится более привлекательным. Тем не менее, чрезмерное увеличение их доли приводит к значительному увеличению рисковости (другими словами, к ухудшению кредитного рейтинга) компании, что в свою очередь, делает ее менее привлекательной как для инвесторов, так и для кредиторов, которые увеличивают свою требуемую доходность при инвестировании в нее. Из-за этого стоимость как заемного, так и собственного капитала начинает возрастать. Таким образом, существует некоторая оптимальная структура капитала, такая, что и ее изменение в любую сторону приведет к уменьшению дохода и, как следствие, стоимости компании. К сожалению, учитывая тот факт, что многие параметры : стоимость любых денежных ресурсов, размер налогов и чувствительность инвесторов к изменениям структуры капитала, заметно разнятся для разных стран, отраслей и даже компаний, однозначного решения задачи поиска этой оптимальной структуры пока предложено не было.

Итак, после нахождения ставки дисконтирования, с ее помощью соответствующий поток за прогнозный период «приводится» к сегодняшнему дню и суммируется. В результате находится текущая стоимость будущих денежных потоков компании за прогнозный период.

Так, первые два метода используются, когда деятельность предприятия предполагается прекратить по его завершению. Начнем с метода предполагаемой продажи. Он используется, если по окончании прогнозного периода планируется (или ожидается) реструктуризация или бизнеса. В таком случае, оценивается, по какой стоимости будет возможность его реализовать и эта оценка и становится потоком за последний период.

Второй метод основан на расчете ликвидационной стоимости чистых активов, которые в конце прогнозного периода могут быть распределены между акционерами. В этом случае они оцениваются по чистой стоимости реализации. Определение этой стоимости встречается в МСФО. Она представляет собой стоимость реализации активов за вычетом всех сопутствующих затрат. Т.к. стандарты оценки не содержат определение этого типа стоимости, а, по сути, она совпадает с определением ликвидационной стоимости, чаще всего используется именно это понятием. Принципиальное отличие от предыдущего метода заключается в том, что если в первом случае, рассматривается (и оценивается) продажа работающей компании, то во втором - исключительно реализация активов.

Следующие два метода используются, когда предполагается, что бизнес, который будет продолжать функционировать по истечению прогнозного периода. Более простой (с точки зрения расчетов) из них - использование мультипликатора, основанного на оценке вероятных отраслевых соотношений на этой и более зрелой стадии развития бизнеса. В качестве базы, чаще всего используется Выручка или Чистая прибыль компании в последний прогнозный период, которая и умножается на выбранный мультипликатор.

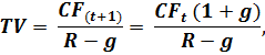
Наконец, метод, который и будет использоваться в практической части данной работы - метод на основе модели Гордона. В рамках этого метода предполагается, что с начала постпрогнозного периода компания будет получать стабильный доход, который каждый период растет с постоянным темпом. Тогда, суммарная стоимость денежных потоков за постпрогнозный период будет находиться по формуле:


где:

 - денежный поток за последний прогнозный период;

 - используемая ставка дисконтирования;

 - темп роста доходов компании.

Все составные части данного уравнения, кроме темпов долгосрочного роста компании, были описаны выше. Что же касается способов нахождения , вопрос этот стоит достаточно остро. Во-первых, частым методом является оценка темпов роста в прогнозном периоде (особенно, если он достаточно длительный) с последующей нормировкой их к постпрогнозному периоду. Второй, широко используемый способ - использование уже готовых оценок аналитических агентств, полученных для лидеров отрасли (т.к. поведение их денежных потоков в длительной перспективе все-таки легче прогнозируется) с, опять же, их нормировкой к рассматриваемой компании. Наконец, иногда строится прогноз фундаментальных показателей, и на его основе выводятся ожидаемые темпы роста, который, согласно данному методу, определяется объемом реинвестирования в новые активы и эффективностью этих инвестиций.

Кроме того, стоит заметить, что кроме описанной выше двухстадийной модели существуют различные другие модификации. Одной из проблем двухстадийной модели является недостаточная обоснованность допущения, что после фазы быстрого роста сразу же наступает стабилизация и далее доходы растут медленно. Поэтому была разработана трехстадийная модель, в которой между этими двумя периодами добавлен переходных этап, на котором происходит замедления темпов роста.

В одном из своих учебных материалов, A. Damodaran показывает графически разницу между этими моделями.

Рисунок №2. Двух- и трехстадийные модели

В данной работе, с целью упрощения модели, будет использоваться двухстадийная модель, кроме того, именно она является самой часто применимой на практике, что делает ее более интересной для изучения.

К сожалению, все описанные выше методы достаточно сильно зависимы от персонального мнения аналитика. Действительно, речь идет о прогнозе динамики компании через достаточно длительный промежуток времени. Часто, чтобы полученный прогноз был в достаточной степени адекватен, используются различные нормировки на прогнозируемые темпы роста экономики страны и так далее. Тем не менее, однозначно и точно определить темпы роста не представляется возможным. Учитывая тот факт, что, если ставка дисконтирования оказывается достаточно высокой или прогнозный период коротким, большая часть итоговой стоимости приходится именно на «терминальную» составляющую, такая неточность метода делает результат сильно зависимым от решений аналитика.

Данная работа посвящена разработке модификации метода дисконтированных денежных потоков, которая бы позволяла использовать вместо субъективной оценки аналитика, более объективную оценку рынка. Подробнее на предлагаемой модификации мы остановимся позже, на данном же этапе, закончим обзор этого метода.

Итак, после расчета остаточной стоимости в постпрогнозный период (на практике наиболее распространенный метод ее оценки - именно модель Гордона), ее необходимо продисконтировать, т.е. привести к текущей стоимости, по фактору, рассчитанному на конец последнего прогнозного года.

Затем, полученное значение добавляется к сумме денежных потоков за прогнозный период, что и дает, в результате предварительную стоимость компании. Так, в общем виде формула для расчета будет выглядеть следующим образом:


Где:

 - количество лет (периодов) в прогнозном периоде;

остальные параметры соответствуют заданным ранее обозначениям.

В случае использования трехстадийной модели, данное уравнение, конечно, будет изменено и примет вид:


где:

 - конец периода быстрого роста;

 - конец переходного периода.

Наконец, после того как была определена предварительная стоимости предприятия для получения ее окончательной величины, необходимо внести итоговые поправки. Первая из них - поправка на величину стоимости нефункционирующих активов. Вначале проводится стандартная процедура нормализации отчетности, чтобы в ней не учитывались доходы и расходы, приносимые непроизводственными (нефункционирующими, избыточными) активами (т.е. не участвующими в бизнесе). Затем стоимость всех таких активов оценивается и прибавляется к стоимости бизнеса, полученной ранее.

Вторая поправка позволяет учесть фактическую величину собственного оборотного капитала. Дело в том, что в модель дисконтирования денежного потока включается требуемая величина собственного оборотного капитала, соответствующая прогнозному объему реализации. Но фактическая величина оборотного капитала обычно не совпадает с требуемой, поэтому проводится корректировка предварительной стоимости: избыток собственного оборотного капитала прибавляется, а недостаток - вычитается из предварительной стоимости компании. Рассчитывается эта поправка по последним доступным данным, как: .

И последняя поправка - на заемный капитал, позволяет перейти от полученной стоимости инвестированного капитала, к стоимости собственного (если цель оценки была в его нахождении). Для этого из полученной оценки капитала компании вычитается сумма долгосрочной задолженности.

Таким образом, были описаны два часто используемых подхода к оценке стоимости компании и методы, в рамках них, которые будут использованы в дальнейшей работы.

.Сравнение доходного и сравнительного подходов

стоимость бизнес сравнительный доходный

Перейдем теперь к описанию сильных и слабых сторон каждого из них. Некоторые из них были вскользь упомянуты ранее, но представляется необходимым предоставить их и последовательное и структурированное описание.

Итак, начнем со сравнительного подхода. Его основные плюсы заключаются в том, что он:

Учитывает влияние отраслевых и других факторов (таких как, например, сезонность) на цену акций предприятия. Это, пожалуй, главное преимущество, благодаря которому в рамках рыночного подхода нет необходимости дополнительно учитывать множество параметров: получаемая оценка адекватна рынку, а, значит, в достаточной степени отражает все необходимые эффекты;

Отражает существующую практику продаж и покупок, тем самым учитывая всю информацию, которая содержится в цене;

Относительная простота расчетов;

Базируется на реальных рыночных данных.

Тем не менее, этот подход имеет также ряд значительных минусов, которые необходимо учитывать при его использовании:

В расчёт принимается только ретроспективная информация. В отличие от доходного подхода, в данном случае не подразумевается построения прогнозов - стоимость компании оценивается по текущим либо историческим данным;

Основываясь на текущей оценки рынка, этот подход не принимает во внимание будущих ожиданий инвесторов;

Зачастую требуется внесение множества поправок в анализируемую информацию;

Труднодоступность данных.

Что касается доходного подхода, он позволяет решить часть проблем, присущих сравнительному подходу, но имеет и ряд недостатков. Начнем с его сильных сторон:

Являясь достаточно универсальным подходом, он учитывает будущие (прогнозные) изменения доходов и расходов;

Благодаря изменению ставки дисконтирования, могут учитываться пожелания (требования относительно доходности) инвестора или любого лица, в интересах которого проводится оценка, а также уровень риска.

Позволяет построить достаточно точную и чувствительную модель.

К сожалению, не смотря на универсальность и широкий спектр возможностей доходного подхода, у него есть недостатки, которые не позволяют ограничиваться исключительно им при поиске справедливой оценки бизнеса. К ним относятся:

Сложность прогнозирования будущих результатов деятельности компании, которые являются (как описывалось ранее) входными данными для метода дисконтированных денежных потоков. Действительно, даже при построении объемной модели, учитывающей всевозможные особенности бизнеса, говорить о высокой точности прогнозов, сделанных более чем на несколько лет, не приходится;

Использование длинного (при применении модели Гордона - бесконечного) периода прогнозирования, приводит, к еще одной проблеме: высокой чувствительности к входным данным: ставке дисконтирования и размеру денежных потоков;

Кроме того, в рамках метода DCF считается, что весь денежный поток, используемый в расчетах, доступен акционерам. На практике ситуация, когда денежный поток в полном объеме является доступным для акционеров, является скорее исключением, чем правилом. Зачастую выплаты по дивидендам даже в ближайшие прогнозные годы меньше размера денежного потока;

Для построения в достаточной степени точного прогноза требуются трудоемкие расчёты;

Наконец, доля, которую вносит постпрогнозный период в оценку компании, может быть крайне высока. Такое соотношение может говорить о том, что в ближайшей перспективе денежные потоки компании не вызывают оптимизма, в то время как в отдаленной (а точнее - бесконечной) перспективе можно заложить внушительный рост, который и даст значительный вклад в сегодняшнюю оценку стоимости бизнеса.

Данное описание позволяет обратить внимание на конкретный и значительный недостаток, устранить который и призвана данная работа. Так, доля терминального периода часто оказывается достаточно большой, кроме того метод чувствителен к входным данным. Помимо этого, ранее описывались сложности с определением темпов постоянного ростакомпании. На практике это приводит к тому, что аналитик, изменяя этот показатель всего на несколько процентных пунктов, может значительно влиять на получаемый результат. Попробуем найти способ, который бы позволил уменьшить субъективное влияние аналитика.

Литература

1. Акулов, В.Б. Финансовый менеджмент: Учебное пособие / В.Б. Акулов. - М.: Флинта, МПСУ, 2010. - 264 c.

. Архипов, А.П. Финансовый менеджмент в страховании: учебник / А.П. Архипов. - М.: ФиС, ИНФРА-М, 2010. - 320 c.

. Басовский, Л.Е. Финансовый менеджмент: Учебник / Л.Е. Басовский. - М.: НИЦ ИНФРА-М, 2013. - 240 c.

. Басовский, Л.Е. Финансовый менеджмент: Учебное пособие / Л.Е. Басовский. - М.: ИЦ РИОР, ИНФРА-М, 2011. - 88 c.

. Бахрамов, Ю.М. Финансовый менеджмент: Учебник для вузов. Стандарт третьего поколения / Ю.М. Бахрамов, В.В. Глухов. - СПб.: Питер, 2011. - 496 c.

. Боголюбов, В.С. Финансовый менеджмент в туризме и гостиничном хозяйстве: Учебное пособие для студентов высших учебных заведений / В.С. Боголюбов, С.А. Быстров. - М.: ИЦ Академия, 2008. - 400 c.

. Бригхэм, Ю.Ф. Финансовый менеджмент: Экспресс-курс / Ю.Ф. Бригхэм. - СПб.: Питер, 2013. - 592 c.

. Брусов, П.Н. Финансовый менеджмент. Математические основы. Краткосрочная финансовая политика: Учебное пособие / П.Н. Брусов, Т.В. Филатова. - М.: КноРус, 2013. - 304 c.

. Брусов, П.Н. Финансовый менеджмент. Финансовое планирование: Учебное пособие / П.Н. Брусов, Т.В. Филатова. - М.: КноРус, 2013. - 232 c.

. Варламова, Т.П. Финансовый менеджмент: Учебное пособие / Т.П. Варламова, М.А. Варламова. - М.: Дашков и К, 2012. - 304 c.

. Гаврилова, А.Н. Финансовый менеджмент: Учебное пособие / А.Н. Гаврилова, Е.Ф. Сысоева, А.И. Барабанов. - М.: КноРус, 2013. - 432 c.

. Герасименко, А. Финансовый менеджмент - это просто: Базовый курс для руководителей и начинающих специалистов / А. Герасименко. - М.: Альпина Пабл., 2013. - 531 c.

. Гинзбург, М.Ю. Финансовый менеджмент на предприятиях нефтяной и газовой промышленности: Учебное пособие / М.Ю. Гинзбург, Л.Н. Краснова, Р.Р. Садыкова. - М.: НИЦ ИНФРА-М, 2013. - 287 c.

Похожие работы на - Теоретические основы оценки стоимости компании

 

Не нашли материал для своей работы?
Поможем написать уникальную работу
Без плагиата!
Без нейросетей!