Внедрение системы менеджмента качества на предприятии

  • Вид работы:
    Дипломная (ВКР)
  • Предмет:
    Менеджмент
  • Язык:
    Русский
    ,
    Формат файла:
    MS Word
    248,54 Кб
  • Опубликовано:
    2015-10-18
Вы можете узнать стоимость помощи в написании студенческой работы.
Помощь в написании работы, которую точно примут!

Внедрение системы менеджмента качества на предприятии

Введение

Тема качества стала особенно актуальной в 80-х годах ΧΧ-го века, когда всевозможной продукции во всем мире стало более чем достаточно, что потребитель начал испытывать серьезные затруднения с ее ассортиментом. Именно в это время Международная организация по стандартизации (ISO) впервые выпустила ряд нормативных документов, в которых сформулированы требования к продукции, которая выходит на рынок. ISO исходила из того, что невозможно провести 100%-ый контроль всей продукции каждого предприятия. Однако возможно сформулировать некоторые требования к системе менеджмента качества предприятия, чтобы быть уверенным, что это предприятие в состоянии длительное время стабильно выпускать продукцию с требуемыми свойствами. Именно эти требования являются основой серии стандартов ISO 9000.

Внедрение серии стандартов ISO 9000 является добровольным делом предприятия. Аналогично тому, как обучение и получение диплома об образовании - добровольное дело каждого человека. Ни конкретного продавца, ни конкретную фирму на рынке никто не ждет, рынок обойдется без любого из них.

В настоящее время серия стандартов ISO 9000 признана практически всеми странами мира.

В мире признанным первопроходцем развития принципов подтверждения соответствия является Обшеевропейский рынок, где сейчас наметилась тенденция, при которой оценка системы менеджмента качества на соответствие серии стандартов ISO 9000 рассматривается как обязательное условие подтверждения соответствия продукции.

Стандарт ISO 9000:2000 дает следующее определение: "Качество - степень, с которой совокупность собственных характеристик выполняет требования".

Американский экономист Питер Друкер также заметил: "Никто не покупает вещь. Покупатель приобретает удовлетворение и пользу". Это само по себе уже должно повлиять на некоторых производителей, которые считают, что они сами и их продукция (или услуга) это центры мироздания. Для потребителя безразлично, какая (и чья) продукция удовлетворит его потребность.

Стандарты ISO серии 9000 показывают, что качество направлено на выполнение требований и желаний нескольких заинтересованных сторон. Речь идет о потребителях, владельцах, работниках организации, поставшиках, и обшестве. Этот факт чрезвычайно востребован, поскольку он заключает в себе важнейший принцип современного менеджмента качества: качество - единственная цель работы организации. В то же время, например, прибыль на самом деле является не целью, а средством для удовлетворения потребностей заинтересованных сторон.

Наличие нескольких заинтересованных в качестве сторон объясняет тот факт, что оценка качества всегда сложный и противоречивый процесс.

В определении качества появилось слово "степень".

Многие специалисты считали и считают, что, если параметры продукции удовлетворяют тому, что записано в договоре, качество есть. В противном случае качества нет. "Осетрина бывает только одной свежести - первой", - говорит один из персонажей М.А. Булгакова. Хотя, если подумать, "первая свежесть" понятие относительное, поскольку качество это всегда степень.[1]

Целью выполнения дипломной работы является:

) Систематизация, закрепление и расширение теоретических знаний и практических навыков по специальности и применение их при рещении конкретных научных, технических экономических и производственных задач;

) Развитие навыков ведения самостоятельной работы и овладение методикой научного исследования и экспериментирования при рещении разрабатываемых проблем и вопросов;

) по возможности достаточно полно раскрыть тему исследования и оказать помощь предприятию в выборе методики внедрения СМК.

Таким образом задачами для написания данной дипломной работы стало следующее:

· углубление или расширение разрабатываемой темы;

·        определение актуальности темы;

·        определение объекта и предмета исследования;

·        формулирование цели и задач исследования;

·        выбор материала исследования;

·        определение методов и приемов исследования;

·        отбор и изучение научной литературы, анализ и систематизация научных знаний по теме исследования;

·        осуществление основного этапа - расчет эффективности внедрения СМК на предприятии;

·        обобщение результатов исследования, сделать выводы;

·        совершенствование навыков письменной и устной научной речи;

·        презентация научно-практических результатов исследования.

Объект исследования: ТОО «Метал Трэйдинг»

Актуальность. Новое определение термина "качество" позволяет адекватно описать неоднозначную оценку совокупности свойств продукции. И сделать это можно, только изучив весь спектр оценок данной продукции различными заинтересованными сторонами. То есть без применения статистики адекватно оценить качество нельзя.

Практическая значимость. При убедительной защите темы дипломной работы возможно внедрение некоторых ее рекомендаций на данном предприятии.

 

1.Анализ хозяйственной деятельности


.1. Историческая справка

Наименование компании:

Товаришество с ограниченной ответственностью «Метал Трэйдинг»

Юридический адрес и реквизиты:

110700, Республика Казахстан, Костанайская область, г. Житикара, ул.

Кирзавод 1 а, тел. 8 (71435) 2 43 95, 2 40 33, факс. 8 (71435) 2 43 95

ИИК 006467457 БИК 190501306 в АФОАО «Банк «Туран Алем»

ИИК 009467486 БИК 192703305 в КФ ОАО «Банк «Туран Алем» г.Житикара

РНН 600900133342

Генеральный директор - Елякин Павел Акимович

Государственная регистрация:

Свидетельство о государственной перерегистрации юридического лица № 138-1037 04-ТОО от 24.08.06г.

Информация о фирме:

ТОО «Метал Трэйдинг» создано в июле 1998 года. ТОО «Метал Трэйдинг» с момента создания (15 июля 1998 года) по 2000 год осушествляло приобретение драгоценных металлов в виде лома, полуфабрикатов на внутреннем рынке и реализацию их на внешнем рынке.

Компания имеет большой опыт работы в этой сфере деятельности.

С 2001 года в качестве основного направления деятельности ТОО «Метал Трэйдинг» становится разработка золоторудных месторождений.

В настоящее время ТОО «Метал Трэйдинг» является обладателем права недропользования в Житикаринском районе Костанайской области и внедряет проект по разработке золотосодержаших руд месторождений Комаровское и Элеваторное. Финансирование проекта ТОО «Метал Трэйдинг» осушествляется на основании кредитных отношений.

Предмет и цели деятельности товаришества

. Основной целью деятельности товаришества является извлечение дохода

. Для достижения указанной цели Товаришество осушествляет следующие виды деятельности:

.1. выполнение Геологоразведочных работ с намерением выявления и разработки коммерчески выгодных объектов для получения Дохода;

.2. разработки месторождений, добыча полезных ископаемых, инвестирование в добычу полезных ископаемых и оптимизация добычи полезных ископаемых в любой форме;

.3. переработка полезных ископаемых, инвестирование в строительство и эксплуатация сооружений по переработке полезных ископаемых и других сооружений;

.4. экспорт и продажа полезных ископаемых и другой продукции Товаришества покупателям в Казахстане и за рубежом;

.5. дистанционное зондирование и геофизические исследования;

.6. оказание услуг внешнеторгового характера, связанных с экспортом из Казахстана и импортом в Казахстан;

.7. внешнеэкономическая деятельность;

.8. выполнение агентских, посреднических консультационных и\или представительских функций В отношении иностранных организаций или организаций в Казахстане в соответствии с действуюшим Законодательством Республики Казахстан;

.9. внедрение передовых международных технологий и принципов управления на территории Казахстана и за его пределами;

.1. усовершенствование и эксплуатация оборудования для горнорудной промышленности;

.2. предоставление услуг, включая, но не ограничиваясь, Геологоразведочные работы на контрактной основе, геотехнические, картографические и другие услуги;

.3. организация поставок из-за пределов Казахстана оборудования, запасных частей, инструментов и материалов;

.4. осуществление охранной деятельности.

- другие виды деятельности, не запрещенные действуюшим законодательством Республики        Казахстан.

Основные выдержки из «Положение об организационной структуре ТОО «Метал Трэйдинг»

Данные из нижеизложенного могут быть полезны при распределении обязанностей и ответственности сотрудников предприятии при внедрении и апробации СМК.

Подразделение - структурная единица, закрепленная в «Положении об организационной структуре ТОО «Метал Трэйдинг» (управление, отдел (служба), сектор, рабочая группа).

Должностная единица - структурная единица, закрепленная в «Положении об организационной структуре ТОО «Метал Трэйдинг» и штатном расписании Предприятия (руководитель или сотрудник Предприятия).

Задачи - система целей (подцелей), реализацию которых структурная единица должна обеспечить в рамках достижения общей цели (системы целей) предприятия.

Обязанности - совокупность действий, реализуемых структурной единицей для выполнения предписанных задач.

Продукт - результат процессов (работ, операций), удовлетворяющий определенную потребность (потребности) клиента.

Организационная структура - распределение в определенном порядке обязанностей, ответственности, полномочий взаимоотношений между структурными единицами Предприятия (ISO 9000: 2000 «Системы менеджмента качества - основы и словарь»).

Полномочия - право руководителя структурного звена, отдельного сотрудникапользоваться ресурсами Предприятия для выполнения своих обязанностей.

Ответственность - ущемление интересов, наложение ограничений различного харaктeра.

Распоряжение - волеизъявление руководителя по отношению к подчиненному, побуждающее последнего к безусловному выполнению определенных действий ( или бездействию).

Указание - волеизъявление одного лица (или структурной единицы) по отношению к другому, побуждающее последнего к выполнению определенных действий (или бездействию) с оговоренными условиями.

ОПОМ - отдел правового обеспечения и методологии.

Должностные инструкции относятся к категории документов «Инструкции»:

.Название Должностных инструкций является единообразными и формируются следующим образом:

«Должностная инструкция..... ….(наименование должности соответствующего руководителя или сотрудника)».

Пример: «Должностная инструкция начальника отдела материально-технического снабжения» .

Структура и содержание Должностных инструкций

Должностная инструкция имеет следующую внутреннюю структуру (содержание):

Общие положения. Данный раздел определяет:

1) Полное наименование соответствующей должности, ее сокращенное наименование (если есть).

2) К какой категории работников относится данная должностная единица (руководителя, специалиста, технического исполнителя).

) Кто назначает на должность и освобождает от нее.

) Кто замещает данную должность на время отсутствия.

Кого может заменить должностная единица (на период отсутствия другой

должностной единицы).

Квалификационные требования. Данный раздел определяет требования к данной должностной единице в части образования, опыта работы и профессиональной квалификации, профессиональных и общих знаний.

Принадлежность и подчинение. Данный раздел определяет:

) К какому структурному звену относится данная должностная единица.

) Кто находится в подчинении.

) Кому подчиняется данная должностная единица.

Задачи должностной единицы. Приводится перечень задач.

Обязанности должностной единицы. Приводится перечень выполняемых обязанностей.

Продукты должностной единицы. Приводится перечень производимых продуктов.

Полномочия. Данный раздел определяет, какими видами ресурсов Предприятия и в каком объеме может пользоваться данная должностная единица для выполнения своих обязанностей.

Ответственность. Данный раздел:

) Определяет лицо (лиц), ответственных за выполнение данной должностной единицей возложенных на него обязанностей;

) Определяет виды и степень личной ответственности должностной единицы.

Оценка деятельности. Данный раздел определяет, кто и по каким показателям оценивает деятельность данной должностной единицы.

Регулирование деятельности. Данный раздел определяет перечень внешних и внутренних нормативных документов, которыми должностная единица руководствуется в своей деятельности и/или которые применяет для выполнения своих обязанностей.

Регламент разработки Должностных инструкций

Должностная инструкция для соответствующей должностной единицы разрабатывается в случае ее (Должностной инструкции) отсутствия или образования новой должностной единицы.

Разработка должностной инструкции может быть инициирована Генеральным директором, руководителем подразделения или любым сотрудником Предприятия.

Решение о целесообразности разработки Должностной инструкции для соответствующей должностной единицы принимается (утверждается) Генеральным директором.

Разработка Должностной инструкции осуществляется в следующем порядке:

1) Руководитель подразделения (к которому относится данная должностная единица) или сотрудник (руководитель), занимающий данную должностную единицу, готовит предварительный вариант Должностной инструкции и передает ее на рассмотрение в ОПОМ;

) Предварительный вариант должностной инструкции рассматривается ОПОМ и возвращается с указанием выявленных замечаний для устранения;

2) После проведения согласований окончательный вариант Должностной инструкции визируется руководителем соответствующего подразделения и начальником ОПОМ и передается на утверждение Генеральному директору;

3) При наличии замечаний Должностная инструкция возвращается Генеральным директором в ОПОМ на доработку.

Утвержденная Генеральным директором Должностная инструкция передается в ОПОМ для регистрации и рассылки пользователям.

2. Анализ научно-технической информации

 

.1 Что такое система менеджмента качества?


Система менеджмента качества (СМК), разработанная в соответствии со стандартом ISO 9000, - это система менеджмента, основанная на структурном наборе элементов, которые реализуют все функции деятельности предприятия по достижению качества.

Основными элементами эффективной СМК являются:

·      сформулированная цель деятельности

·        наличие ресурсов

·        сформулированный алгоритм достижения цели, позволяющий преобразовать ресурсы в то, что является целью СМК

·        информационное обеспечение - своего рода "нервная система" предприятия.

Точно так же, как алгоритм деятельности живого организма записан в его генах, алгоритм действия СМК должен быть записан в документации предприятия. .[1]

Создание документации СМК является только первым этапом, необходимым, но далеко не основным условием получения сертификата. Наиболее важной проблемой внедрения СМК является эффективная мотивация и четкое информационное обеспечение во всех подразделениях предприятия. Только при условии ясного понимания руководителем предприятия предмета, целей, методологии и практики внедрения СМК возможно получение положительного результата.

Как происходит подготовка к сертификации?

Изначально анализируется действующая структура предприятия, система учетной документации, действующий на данный момент подход к менеджменту качества, уровень автоматизации принятия рещений. На этапе выполнения диагностического исследования консультанты проводят встречи с руководством компании, организуют практические курсы по основным вопросам систем менеджмента и практике введения в действие серии стандартов ISO 9000 в Республике Казахстан и за рубежом.

После проведения мониторинга принимается решение о необходимых действиях по созданию СМК в соответствие с требованиями стандарта ISO 9001. При этом действует принцип максимального использования всех эффективных рещений, уже существующих в организации и разработке минимального количества новых форм и документации, необходимых для удовлетворения требований стандарта ISO 9001. .[2]

Основной принцип работы систем менеджмента качества в соответствии со стандартом ISO 9001 - постоянное усовершенствование. Коллектив организации должен постоянно анализировать проходящие на предприятии процессы, замечать и отмечать недостатки, вносить изменения в существующие процедуры и политику компании в области качества - с одной целью - повысить степень удовлетворенности потребителя и других заинтересованных сторон. Решение этой задачи обеспечивается продуктивно реализующейся информационной системой.

Процесс подготовки предприятия к процедуре подтверждения соответствия по стандарту ISO 9001 заканчивается опытным пользованием внедренной СМК и внутренним аудитом с участием специалистов.

Международная организация по стандартизации - ISO (Internatiоnal Оrganizatiоn fоr Standartizatiоn) была создана в 1947 г. В настоящее время в неё входят свыше 150 стран. Цель ISO - внедрение принципов стандартизации и создание на их основе стандартов, помогающих развитию интеграционных процессов в разных отраслях промышленности и не только, но и в перспективных направлениях деятельности.Инициатива внедрения новых стандартов исходит от организаций, использующих стандарты (как правило, это производитель продукции или услуг, нуждающихся в их внедрении с другой продукцией или услугами). Эти компании создают основные требования к стандарту и снабжают ими своих национальных представителей в ISO. В ISO поднимается вопрос о целесообразности создания новых стандартов, и после одобрительного его итога определяется технический комитет, которому предстоит создать проектную модель стандарта. Проектная модель стандарта отправляется в адрес комитетов-членов ISO для изучения и оценки. После положительных итогов голосования он принимается как стандарт ISO. Разработка стандарта занимает около 7 лет.

Разработанные ISO стандарты входят в семейства. ISO 9000 - семейство стандартов, регламентирующих качество и разработанные с целью помочь организациям всех видов и размеров разработать, внедрить и обеспечить работу эффективно действующих СМК.

Основополагающий пакет международных стандартов, связанных с менеджментом качества, был принят ISO в марте 1987 г. и сразу стал актуален. Требования стандартов были минимальные, ориентированные не на лидеров, а на среднестатистические организации. В 1994 г. вышла вторая редакция основных стандартов этой серии, которая включала 24 стандарта и широко использовалась до настоящего времени.

Версия 1994 г. Почти не противоречила версии 1987 г. Главное отличие было в том, что были продекларированы процессный подход и предупреждающие действия. Однако в результате проведенного в разных странах анкетирования об эффективности использования вышеуказанных стандартов выяснилось, что только 2% организаций почувствовали эффект от внедрения СМК, и эта очень низкая цифра поставила вопрос о пересмотре версии 1994 г. и переходе на новую версию.

В декабре 2000 г. новая версия была принята. Для Казахстана введение на предприятиях СМК в соответствии с новой версией ISO 9000 имеет особое значение, т.к. наше отставание в вопросах менеджмента качества составляет как минимум десятилетие. В настоящее время, учитывая относительно стабильный рост экономики, начало создания рыночных отношений и ожидаемое вступление Республики Казахстан в ВТО (Всемирную торговую организацию), распространение новой версии просто необходимо. .[1]

2.2 Разработка и внедрение СМК

Этапы работы:

·              Проведение диагностического аудита существующей системы менеджмента, установление уровня ее соответствия требованиям стандарта ISO 9001:2000 (ГОСТ Р ИСО 9001:2001);

·              Разработка и ознакомление руководителя предприятия с доступным к восприятию плана работ, включающего все необходимые мероприятия по разработке, внедрению СМК и подготовке к процедуре подтверждения соответствия;

·              Проведение учебных курсов с персоналом предприятия-заказчика основным требованиям стандарта ISO 9001:2000, этапности разработки и внедрения СМК. Группа обучаемых представителей предприятия - «группа качества» предприятия, включающая представителя руководства по качеству, работников службы качества, ответственных по участкам деятельности предприятия (владельцы процессов), будущих внутренних аудиторов СМК из числа работников предприятия. В обучении принимают участие и руководители подразделений;

·              Обязательная консультация по созданию и внедрению НТД СМК, включая предоставление шаблонов и образцов;

·              Консультирование менеджера по качеству и членов «группы качества» по прикладным вопросам внедрения и улучшения СМК на территории предприятия по согласованному графику, а также дистанционно, с обменом информацией по телефону и электронной почте;

·              Проведение занятий для внутренних аудиторов СМК из числа работников предприятия - один семинар продолжительностью 24 часа (три дня) на территории предприятия, с выдачей сертификатов внутренних аудиторов СМК, стажировка внутренних аудиторов;

·              Предоставление консультации по этапности выполнения обязательного раздела о функционировании СМК - контроль СМК со стороны руководства предприятия;

·              Предоставление консультации по выбору агентства по подтверждению соответствия;

·              Презентация и проведение контрольного аудита СМК предприятия- заказчика на соответствие требованиям стандарта ISO 9001:2000 и на готовность к сертификации.

Проектирование и внедрение СМК нуждается в выполнении договоренности, как со стороны консультанта, так и со стороны организации-заказчика.

Действия предприятия-заказчика:

·              Назначение менеджера, уполномоченного организовывать работу по внедрению СМК со стороны предприятия;

·              Мотивация персонала в процессе проектирования СМК, в том числе контроль за посещаемостью курсов;

·              Проведение совместного совещания с целью достижения согласия и подтверждение предложенного консультантом плана внедрения СМК;

·              Контроль за выполнением согласованного плана внедрения СМК;

·              Проведение работ по разработке НТД СМК в соответствии со сложившейся корпоративной этикой и ситуацией на предприятии и рекомендациями консультанта;

·              Использование созданных документов и всех требований СМК в практической деятельности предприятия. .[3]

.3 Практика внедрения системы менеджмента качества

тандарты ИСО серии 9000 на системы менеджмента качества (СМК) помогают понять, что необходимо предпринять для создания на предприятии базы для постоянного повышения эффективности деятельности и делового совершенства. Опыт создания и работа этих стандартов дают ответы на вопрос, как этого достигнуть. В различных статьях и публикациях, описывающих работу стандартов, акцент ставиться на методологических аспектах этой проблемы и в меньшей степени ее прикладной направленности. Однако, именно прикладная сторона работы стандартов ИСО новой версии заслуживает пристального внимания.

Анализ практики показал, что к числу базовых вопросов, связанных с разработкой СМК, сертифицированной положениям этих стандартов, относятся:

·        вариативность стратегий внедрения стандартов;

·        проведение работы по разработке СМК на основе стандартов;

·        применение принципов СМК;

·        документирование СМК;

·        создание внутренней проверки;

·        временные сроки создания СМК. [2]

.4 Выбор правильной стратегии внедрения cтaндapтов

Поддерживая тактику всемирно принятого мнения о стратегии как о модели действий для приведения долгосрочных целей к требуемому результату, очевидно: что необходимо сделать высшему руководству предприятия после принятия рещения о внедрении СМК в соответствии с требованиями и рекомендациями стандартов ИСО,- это обозначить и довести до сведения всего персонала основополагающую цель этой работы. Не секрет, что для многих отечественных руководителей такой целью становится получение сертификата, подтверждающего соответствие СМК их организации требованиям МС ИСО 9001:2000.

Бесцельно повторять, что подобная цель ни в коей мере не может рассматриваться как основная. Однако такая интерпретация (среди прочих) не неприемлема, поскольку стандарты ИСО серии 9000 были созданы ИСО как универсальные критерии, благодаря которым может быть проведена оценка способности производителей стабильно выпускать продукцию, выполняющую требования потребителей. Наиболее эффективной оценкой соответствия СМК требованиям МС ИСО 9001:2000 в этом случае выступает документ подтверждающий соответствие, который служит важным регулятором рыночных отношений. Но направление организации в получении сертификата на СМК без определения более значимых целей ставит стратегию внедрения стандартов ИСО в положение поверхностной (стратегией крайне ограниченного результата). Очень часто столь неглубокая стратегия порождает несерьезное отношение к внедрению стандартов ИСО и, как следствие, разочарованность в его эффективности. .[2]

Общей для всех формы внедрения стандартов ИСО не создали. Каждое предприятие специфично в само по себе, и выбор формы зависит от многих аспектов, важнейшими из которых в данном случае следует считать позиции организации на рынке, состояние внешнего рынка и специфику сложившихся на предприятии управления и реального предпринимательства. И все же предпочтительной представляется форма, при которой внедрение СМК, отвечающей требованиям положений МС ИСО серии 9000, внедряется в процедуру улучшения деятельности предприятия на более долгосрочных началах.

Долгосрочные цели, выполнение которых напрямую связано с внедрением СМК, должны быть увязаны с бизнес-планами предприятия. Примерами таких задач могут быть:

I.       Увеличение конкурентоспособности товаров и услуг;

II.      Уменьшение затрат на менеджмент;.      Выполнение позитивной динамики дохода;.     Увеличение капитала предприятия;.       Увеличение стабильности транспортировки и поставки товаров и оказания услуг, необходимых потребителям;.         Увеличение авторитета и имиджа к бренду предприятия (от бренда отдельных товаров и   услуг к бренду организации в целом).

Эффективные цели предприятия в области качества обычно представлены в виде либо отдельно реализуемых, либо системы связанных между собой целей. Система связи между целями устанавливается путем детализации главной цели в области качества на цели более низких уровней. Для каждой принятой цели разрабатывается программа, в которой устанавливаются: действия и ресурсы, необходимые для достижения цели; должностное лицо, ответственное за реализацию программы; сроки ее выполнения и ожидаемый результат.

Применение соответствующих целей в области качества, постановка ожидаемых результатов и последующее оценивание уровня их достижения позволяют организации ответить на интересующих всех вопрос: зачем нам нужно внедрение стандартов ИСО серии 9000?

Постановка конкретных задач при создании стандартов ИСО серии 9000 важна с психологической стороны. Известно, что структурные изменения, к числу которых относится создание стандартов ИСО, ожидаемые результаты приносят медленно. В этом случае нередко полученный эффект пытаются отнести на счет ранее примененных мероприятий. Четко сформулированные цели позволят уловить связь между внесенными изменениями и полученными результатами.

Проектирование стратегии интеграции стандартов ИСО должна проводиться при участии руководителя предприятия. Успех или неуспех внедрения стандартов должен рассматриваться, прежде всего, как личный успех или неуспех руководителя организации.

Вывод: эффективность разработки стратегии во многом зависит от наличия в организации таких непременных атрибутов современной корпоративной культуры, как миссия и видение организации, ее базисные ценности. .[4,5]

.5 Организация работ по созданию СМК

Для удачного выполнения проектных работ необходимо создать необходимые организационные, ресурсные, методические и социально-психологические условия. Важно иметь в виду, что промахи или невнимательность, пропущенные на организационном этапе приводят к затратным корректировкам и переделкам на следующих этапах внедрения.

Проект СМК целесообразно рассматривать как создание процедуры, т.е. специфичный процесс, включающий совокупность скоординированных и контролируемых действий, предпринятый для достижения определенной цели. Как всякий проект, рождение системы должно соответствовать конкретным требованиям, устраняющим ограничения по срокам и ресурсам. Придание созданию системы проектно - ориентированного характера позволяет обеспечить необходимую эффективность этих работ путем централизации усилий на достижении конкретных промежуточных (поэтапных) и конечных целей, а также наилучшего использования ресурсов. Первичный этап выполнения такого создания, как правило, организационный.

Устройство работ по созданию СМК, соответствующей требованиям и рекомендациям стандартов ИСО серии 9000, включает:

I.       Поиск лиц, соответствующих требованиям и в последствии ответственных за организацию работ;

II.      Обеспечить оснащение участников СМК стандартами и другими НТД;

III.     Обращение к внешним аудиторам;

IV.    Проверка вступившей в силу СМК;

V.      Проведение курсов занятий для участников СМК и разъяснительной работы с специалистами предприятия;

VI.    Обеспечение ресурсами, необходимыми для проведения работ в установленные календарные сроки.

При поиске лиц, которые будут ответственны за организацию и проведение работ по внедрению СМК, надо делать упор на сотрудников с управленческим уклоном, лучше - имеющих квалификацию менеджеров по качеству. Между тем, эту работу зачастую поручают специалистам узкого профиля (стандартизаторам, технологам, конструкторам и даже работникам отдела технического контроля), что, уменьшает качество рещения управленческих проблем.

Требуемое выполнение этих работ предусматривает наличие на предприятии как базовых, так и вспомогательных стандартов ИСО серии 9000. Надо отметить, что недопустимо применение неофициальных версий этих документов (следует обратить внимание на то, что трактовка их положений, содержавшихся в официальном русскоязычном переводе, не всегда адекватна формулировкам этих положений на языке оригинала).

Для выполнения методического обоснования и минимальной вероятности ошибок в ходе создания СМК необходимо привлекать квалифицированных внешних аудиторов. Их достоинство перед специалистами предприятия в независимой и непредвзятой оценке; высокой квалификации в области управления качеством; направление ориентира на успешный опыт других предприятий; высокого проведения мероприятий, обусловленных жесткими временными рамками. Рынок консультационных услуг Республики Казахстан в области управления качества постоянно расширяется. Поэтому правильный выбор консультантов, как партнеров по разработке СМК должен использовать качественные маркетинговые исследования. Немаловажно выбирать аудиторов по отраслевому признаку, т.е. в соответствии с их квалификацией, опытностью, практикой в оказании консалтинговых услуг в той или иной отраслевой сфере производства или услуг, опытом работы на рынке консалтинговых услуг по разработке и внедрению СМК на основе международных стандартов ИСО серии 9000.

Проверка применяемой на предприятии СМК (а такая система существует в любой организации, даже если она должным образом не документирована) представляет собой предшествующий анализ системы и оценивание степени ее соответствия требованиям МС ИСО 9001:2000. Диагностика, выполняемая сотрудниками организации совместно с внешними консультантами, направлена на необходимость внесения в систему СМК конкретных изменений. Особое значение при этом имеют изменения, связанные с организационной структурой. Необходимо, чтобы такие изменения были внесены в основополагающие этапы разрабатываемого на основе диагностики плана создания стандартов ИСО. И все же в жизни, приходится сталкиваться с структурой производства, когда руководство организации начинает проводить серьезную структурную перестройку после того, как уже завершено документирование СМК, закрепившее ответственность и полномочия основных должностных лиц и подразделений. Что подразумевает переработку многих НТД системы.

Для разработки СМК, а также для ее результативного и эффективного функционирования руководство организации должно обеспечить необходимую подготовку сотрудников.

Исходя из практики, СМК включает в свою работу практически всех сотрудников организации. Подготовка персонала должна быть непрерывной, поэтому на первом этапе работ целесообразно провести базовую (в объеме, не превышающем 20 ч) учебу по стандартам ИСО серии 9000 руководителей организаций, начиная с высшего их звена, и так называемой рабочей группы (команды проекта), включающей сотрудников службы качества и специалистов из других подразделений.

Вместе с проведением учебы при создании СМК разъясняются цели, задачи организации, базовые принципы: менеджмент качества и отдельных положений стандартов ИСО. Разъяснительные беседы, которые возлагаются на службу качества, вовлекают персонал в работу по качеству и предупреждают появление социально-психологических барьеров, связанных с внедрением стандартов ИСО серии 9000. Отсутствие необходимых разъяснений приводит к непониманию персонала важности внедрения стандартов. И если число таких сотрудников на предприятии превысит критическую массу, это сводит до минимума эффект от всего внедрения. .[6]

3. Основная часть

.1 Реализация принципов менеджмента качества

система менджмент качество внедрение

Восемь принципов управления качеством, регламентированных МС ИСО 9000:2000 представляют базовую основу их концепции. Стандарты образовывались в процессе длительного международного опыта управления качеством и показывают современное состояние его эффективности. Достоинства 8-ми принципов трудно переоценить. Интересно, что принципы управления качеством не отражены в основополагающем стандарте ИСО 9000:2000, а включены во многих пунктах стандартов ИСО 9001:2000 и ИСО 9004:2000.

Исходя из практики, для реализации наиболее труден принцип, устанавливающий процессный подход к управлению качеством. Это объясняется необходимостью кардинальной перестройки не только управления качеством в национальных предприятиях, но и всего их управления. В отличие от иностранных предприятий, где управление имеет 100-летнюю историю развития в условиях рыночной экономики и для которых переход от функционального к процессному подходу стал закономерным результатом этого процесса, управление казахстанских компаний находится лишь в начальной фазе освоения рыночных отношений и по-прежнему использует функциональный подход. Процессный подход перед функциональным обладает рядом больших достоинств. Наиболее существенны из них нижеприведенные:

~ бесконечность управления предприятием на стыках между отдельными процессами, подразделениями и должностными лицами при их работе;

~ уменьшение противоречий, связанных с вертикальным построением управления и горизонтальными бизнес-процессами производства и поставок товаров и услуг;

~ высокая нацеленность деятельности предприятия на нужды потребителей

~ реинжиниринг бизнеса компаний.

Стандарты ИСО серии 9000 дают возможность рассматривать процессы в СМК с позиций добавленной ценности, что помогает понимать их как бизнес-процессы. Произведенная связь управления качеством с бизнесом позволяет компаниям придерживаться мнения, что стандарты ИСО - это фактор стратегии успешного бизнеса.

Сегодня предложено большое количество различных методологий, в том числе и основанных на компьютерных информационных технологиях, для менеджмента предприятия на базе процессного подхода. .[6,7]

.2 Документирование СМК

Чем лучше документирована СМК, тем выше эффективность работы предприятия. Международные стандарты ИСО серии 9000 версии 2000 года предлагают для организаций применение гибкого подхода в выборе направления, которым она осуществляет документирование своей системы. Это дает шанс каждой компании выделить необходимые именно для нее характер и масштаб документирования СМК. Важно, что МС ИСО 9001:2000 требует не взаимосвязи документов, а документированности СМК. Такой подход позволяет уничтожить на корню бюрократию системы, выражавшейся в создании чрезмерного количества документов, которые в конце концов либо просто не работают, либо мешают работе.

В СМК процессы становятся основными объектами документирования. Документирование процессов помогает достижению их соответствия необходимым требованиям, обеспечению воспроизводимости и прослеживаемости, оценке их результативности и эффективности, а также достижению уровня необходимой подготовки сотрудников.

Большая часть казахстанских предприятий при создании документов СМК используют много текстовых описаний. Эти документы часто получаются громоздкими и неудобными для пользователей. Понятно, чем сложнее процесс, тем выше шанс того, что текстовой документ может оказаться объемным и затруднительным для восприятия и диагностики. Возникает необходимость поиска улучшенной формы документации, определяющей порядок и правила осуществления процессов. Такой документ должен быть логически выстроенным и прост по структуре, содержать минимум текстового описания, быть наглядным и понятным для пользователей. .[7]

.3 Организация внутреннего аудита

Введение международного стандарта ИСО 19011:2000 включает в себя новейшие подходы к внутреннему аудиту на предприятии.

В случаях, когда в компании нет документированной процедуры на какой-либо процесс СМК, внутренние аудиторы проводят аудит по требованиям соответствующего раздела МС ИСО 9001 :2000. Доказательством соответствия требованиям стандарта служат различного рода записи, содержавшие объективное свидетельство выполненных действий или достигнутых результатов.

Работа внутренних аудиторов в новых условиях считается эффективной, если результаты аудиторских проверок наглядно улучшают отдельные процессы и СМК в целом. Это достигается, когда аудиторы, проводящие проверки, выступают и как аудиторы, и как эксперты. Существует мнение, что эксперт-аудитор способен выявлять причинно-следственные связи при поиске решений по уничтожению найденных или предотвращению потенциальных ошибок. Проще говоря, эксперт-аудитор знает не только, как проводятся аудиторские проверки, но и каким образом анализируются полученные доказательства достигнутых наилучших результатов. Понятна тенденция к внедрению в отдельных компаниях штатных аудиторов, которые именуются экспертами-аудиторами.

Планирование внутренних аудиторских проверок, согласно МС ИСО 9001:2000, проводится с учетом статуса и необходимости проверяемых процессов, а также результатов предшествующих проверок. Статус процесса, который подвергнут проверке может быть определен по следующим вариантам:

· процесс имеет аудиторскую проверку в отчетный период, соответствие установленным требованиям и результативен;

·        процесс имеет аудиторскую проверку в отчетный период, соответствие установленным требованиям, но не результативен;

·        процесс имеет аудиторскую проверку в отчетный период и не соответствует установленным требованиям (такой процесс считается критическим);

·        процесс не имеет аудиторской проверки в отчетный период (процесс с неопределенным уровнем соответствия результативности).

Важность процесса устанавливают, исходя из значимости его влияния на достижение целей компании в области качества в текущий период.

.4 Продолжительность создания СМК

На этапе принятия рещения о разработке СМК на соответствие новой версией стандартов ИСО серии 9000 всплывает вопрос о необходимости продолжительности этой работы. Руководитель любой компании заинтересован в том, чтобы внедрение прошло в короткие сроки. Поэтому усиленное изучение требований МС ИСО 9001:2000 помогает нужный срок рассматривать как реальный даже для организаций, внедривших стандарты ИСО предыдущей версии. Обращение к внешним консультантам позволяет сократить продолжительность работы, но только до определенного уровня.

Продолжительная (с позиций руководителей организаций) длительность внедрения стандартов объясняется объективной сложностью выполнения следующих требований новой версии:

·        внедрение процессного подхода взамен функционального;

·        оценивание удовлетворенности потребителей;

·        расширение круга деятельности в СМК (внутреннее информирование, управление инфраструктурой и производственной средой, постоянное улучшение);

·        изменения в работе внутренних аудиторов.

Продолжительная длительность внедрения стандартов объясняется не прекращающимися в процессе этой работы структурными изменениями как следствием не устоявшегося управления этих организаций.

Спешность в работе при создании СМК на практике, всегда ведет к уменьшению ее качества и в конце концов- к потере выгод, которые могут быть получены от функционирования СМК, соответствующей требованиям стандартов ИСО серии 9000. Вопрос длительности создания системы - это вопрос глубины ее внедрения, поскольку сравнительно короткий период, как правило, позволяет разработать нужную НТД, при этом не дает довести до ее реального внедрения.

Поэтому смело можно подытожить, сертификация - логичный финал в организации процесса внедрения стандартов ИСО серии 9000, вслед за которым наступает постоянное улучшение СМК. .[1,8]

.5 Процедура. Внедрение и опытная апробация СМК. Подготовка СМК к сертификации

Работа над документацией СМК создается с этапа формулирования политики организации в области качества: общие намерения и направление деятельности предприятия в области качества, официально сформулированные высшим руководством.

Общеизвестно, что политика в области качества перекрещивается с обшей политикой предприятия и подготавливает основу для постановки целей в области качества.

Внимание со стороны руководства компании к принципам управления качеством служит базой для разработки политики в области качества.

Политика обозначает основные направления деятельности компании в области обеспечения, менеджмента и повышения качества выпускаемых товаров и услуг, и состоит из обязательств руководства по поиску и исполнению требований потребителей, постоянному улучшению эффективности СМК.

Политика выполняется высшим руководством. Рабочая группа должна до создания политики организовать обсуждение ее модели в подразделениях компании. Когда подведены итоги обсуждения, политика оформляется и подписывается высшим руководителем компании. Рабочая группа дает персоналу организации разъяснение по основным аспектам политики.

Разъяснение политики и знакомство с ней является требованием МС ИСО 9001:2000, персонал компании должен подтвердить факт ознакомления с политикой письменно.

Когда утверждена политика нужно сформулировать цели организации в области качества: то, чего добиваются, или к чему стремятся в области качества.

Цели в области качества должны базироваться на политике компании в области качества.

Цели в области качества устанавливают для требуемых функций и уровней организации.

Должно быть развернуто «древо целей» организации: от политики организации к общеорганизационным целям, специфическим целям и конкретным задачам подразделений.

Должно быть стремление, чтобы все цели были измеримыми (увеличить в ближайший год ресурс изделия на ...%, увеличить в следующем квартале долю продукции более высокого уровня качества до...). Не желательно указывать в политике цели долю бракованной продукции, пусть даже сниженную, т.к. организация должна взять курс на полное исключение брака.

Компания, разрабатывающая Руководство по качеству, должна опираться на следующее:

·        область применения СМК (включая информацию о любых исключениях требований МС ИСО 9001:2000 с обоснованием данных исключений);

·        описание методов реализации процессов, или ссылки на внутренние нормативно- технические документы, где описываются методы применения процессов;

·        описание действий процессов СМК.

Руководство по качеству -это документ, определяющий Систему Менеджмента Качества Организации.

Руководства по качеству различаются по форме и детальности изложения, исходя из соответствия размеру и сложности компании.

Формат и структура Руководства по качеству оставляются на усмотрение каждой компании.

Многие организации дополнительно используют Руководство по качеству в рекламно-презентационных целях.

Для небольших компаний включают в Руководство по качеству всю документированную Систему Менеджмента Качества, в том числе все документированные процедуры, соответствующие стандартам ИСО 9001.

Крупным организациям требуется создание нескольких Руководств и более сложную систему документации.

При разработке Руководства по качеству и процедур СМК часто используют МС ИСО 10013.

Структуру Руководства по качеству часто согласуют со структурой МС ИСО 9001.

Процессы СМК включаются в список внутренних нормативных документов в виде стандартов предприятия или инструкций.

В список НТД часто включаются документированные процедуры, описывающие методы реализации 6 базовых видов деятельности, которые специально указаны в МС ИСО 9001:2000. .[2,10]

.5 Процедура. Внедрение и опытная апробация СМК.

Применяемый способ создания деятельности или процесса.

Процедуры бывают документированные или недокументированные.

Таблица № 1. Документированные процедуры, требуемые МС ИСО 9001 :2000

Пункт МС ИСО

Содержание процедуры

4.2.3

Утверждение, анализ, актуализация, переутверждение, идентификация изменений и статуса пересмотра, обеспечение доступности, сохранения, распространение документов

4.2.4

Идентификация, хранение, зашита, восстановление, установление сроков хранения и изъятие записей

8.2.2

Ответственность, требования по планированию и проведению, отчетной информации, поддержанию записей внутреннего аудита

8.3

Средства управления, ответственность и полномочия для работы с несоответствующей продукцией

8.5.2

Анализ и определение причин несоответствий, оценка, определение, осуществление, запись результатов и анализ корректирующих действий.

8.5.3

Определение причин потенциальных несоответствий, оценка, определение, осуществление, запись результатов и анализ предупреждающих действий


При разработке документированной процедуры придерживаются правила, известного, как «5W1Н». Процедура, согласно этому правилу, должна отвечать на 5 вопросов, начинающихся с «W» и на 1 вопрос, начинавшийся с «Н»:

.        What?

.        Whо?

.        When?

.        Why?

.        Where?

.        Hоw?

Данные вопросы подразумевают следующее:

.        Что необходимо сделать?

.        Кто должен это делать?

.        Когда нужно это делать?

.        Почему, на каком основании нужно это делать?

.        Где необходимо это делать?

.        Как, каким образом нужно это делать?

Следующие общие рекомендации при разработке документов СМК дополнительно к тем, к которым установлены требования МС ИСО 9001:

·        Разная степень способностей персонала;

·        Смена деятельности персонала;

·        Положения ИСО 9001;

·        Высокая загруженность сотрудника непрофильными работами (например: один менеджер отвечает за широкий круг вопросов);

·        ответственность работ;

·        Точность выполненных операций;

·        Когда работа производится нечасто

·        Важные юридические, правовые требования

·        Сложность работы.

Демонстрация соответствия требованиям МС ИСО 9001 при подтверждении соответствия заключается в том, что компания должна предоставить объективное доказательство (необязательно, документированное) того, что ее СМК результативно функционирует. В качестве критериев оценки соответствия в этих ситуациях как внутренние, так и внешние аудиты могут использовать текст ИСО 9001.

Первая процедура должна быть «Разработка, оформление и управление внутренней нормативной документацией», поскольку данный НТД должен описать принципы, порядок и методику выполнения работ этапа документирования СМК. В нем также должна быть установлена методика введения документов СМК в действие.

Документы, которые требуются предприятию для обеспечения результативного планирования, работы и управления ее процессами заслуживают особое внимание. По рекомендациям ИСО к ним относятся:

ü  Карты процессов, технологические карты и описания процессов;

ü  Схемы организационной структуры;

ü  Нормативно-техническая документация;

ü  Рабочие инструкции;

ü  Документы, отражающие внутренние взаимосвязи;

ü  Производственные графики (планы производства);

ü  Одобренные списки поставщиков;

ü  Планы испытаний и проверок;

ü  Планы па качеству.

Запись о качестве является особым видом документа СМК: это документ, содержавший достигнутые результаты или свидетельства осуществленной деятельности.

Для документирования прослеживаемости и свидетельства проведения верификации, предупреждающих действий и корректирующих действий могут использоваться записи.

Часто изменения записей не нуждаются в менеджменте. Поэтому следует знать разницу между формами и записями. Формы относятся к документам, которые устанавливают требования к объему и содержанию данных, подлежащих регистрации и поэтому они могут меняться при требовании. Вторые - это документы неизменные хранители сведений и данных о конкретном процессе в конкретное время. .[1]

Требования: поддерживать запись о качестве содержаться в ряде пунктов МС ИСО 9001 :2000 (таб.№2)

Таблица №2. Процедура СМК

№ п/п

Раздел (пункт) МС ИСО 9001:2000

 Требуемая запись

1

2

3

1

5.6.1

Анализ со стороны руководства

2

6.2.2(е)

Образование, подготовка, навыки и опыт

3

7.1(d)

Свидетельства того, что процессы создания продукции и получаемая продукция удовлетворяет требованиям

4

7.2.2

Результаты анализа требований, относящихся к продукции, и действия, вытекающие из этого анализа

5

7.3.2

Входные данные для проектирования и разработки, относящиеся к требованиям к продукции

6

7.3.4

Результаты анализа проектирования и разработки и всех необходимых действий

7

7.3.5

Результаты верификации проекта и разработки и всех необходимых действий


Внедрение и опытная апробация СМК

С издания приказа о введении в действие документов СМК начинаться внедрение СМК

Дата утверждения политики считается датой введения в действие CМК, Руководства по качеству и процедуры по разработке и введению в действие внутренних документов. Оставшиеся документы СМК начинают действовать в установленном порядке. Рекомендуется назначать по каждой процедуре ответственного в компании за контроль исполнения и поддержания ее в действии.

Затем важно создать на плановой основе пройти внутреннюю проверку (внутренний аудит), а для этого:

ü  Организовать подготовку сотрудников по внутреннему аудиту;

ü  Разработать план-график проверок;

ü  Провести проверки;

ü  Разработка и проведение необходимых корректирующих действий по выявленным недочетам;

ü  Проведение повторных проверок с целью устранения несоответствий;

ü  Составление отчета;

ü  Обобщение результатов.

В процессе проверок важно провести оценку:

ü  Выполнение требований МС ИСО 9001:2000;

ü  Работоспособность и результативность СМК;

ü  Знание сотрудниками организации принципов и методов СМК;

ü  Введение и менеджмент по записям СМК.

Аудит может быть по следующим направлениям:

ü  Аудит деятельности подразделения;

ü  Аудит процесса;

ü  Аудит работы по конкретному договору.

СМК должна проработать не менее 3 месяцев до дачи заявки на подтверждение соответствия. Этап введения в действие оканчивается составлением анализа со стороны руководства результативности функционирования СМК и ее адаптивности политике и целям в области качества

Подготовка СМК к сертификации

На данном этапе важно определение организации по сертификации СМК, провести подготовку Службы качества и сотрудников организации к общению с внешними аудиторами, ознакомить с процедурой сертификации, методами проведения проверки, критериями принятия решения.

В качестве основных критериев при выборе сертифицирующего органа следует знать:

·        Степень отечественного и международного признания;

·        Ожидания потребителя:

·        Степень подготовки аудиторов;

·        Руководство принципами стандартов EN 45012, ИСО/МЭК62;

·        Позитивный подход в аудите;

·        Стоимость услуг;

·        Возможность комплексной сертификации.

Оформлением и подачей заявки на проведение сертификации СМК оканчивается этап. .[2,11]

4. Экспериментальная часть

.1 Последовательность разработки и внедрения системы менеджмента качества (СМК)

Шаг первый

Принятие решения высшим руководством важности внедрения либо (при наличии действующей СМК) улучшения системы управлении в своей компании посредством разработки и внедрения современной СМК.

Аргументы:

v  Желание Казахстана вступить во Всемирную торговую организацию (ВТО) и, соответственно, вхождение компании на международный сегмент рынка. ТОО «Метал Трейдинг» в настоящее время активно работает с иностранными предприятиями, закупает только высококачественное сырье для обработки драгоценных металлов, которое полностью соответствует требованиям технических условий, технике безопасности и охране окружающей среды.

v  Закон Республики Казахстан «О техническом регулировании», где отведена важная роль сертифицированной СМК предприятия.

v  Для организаций, производящих продукцию с высокой добавленной стоимостью предусматривается снижение корпоративного подоходного налога на 50%. Для повышения привлекательности инвестиционного климата также вводится освобождение инвестиционных проектов от корпоративного налога на срок до 10 лет с момента их ввода в эксплуатацию.

v  Одним из условий участия в тендерах по закупкам товаров и услуг будет наличие сертификата, подтверждающего соответствие системы менеджмента компании требованиям международного стандарта ИСО 9001:2000.

Шаг второй

Принятие руководством компании смысла, цели и задач, связанных с созданием и внедрением СМК

Аргументы:

v  «В настоящее время создан новый стиль системного менеджмента, благодаря которому удовлетворение от произведенной качественной пpодyкции получают не только ее потребители, но и производители». (Ю.П.Адлер).

Шаг третий

Заинтересованность в знании потребностей и ожиданий потребителей, а также других сторон- участников СМК.

Требования потребителей могут различаться, т.к. потребителем может быть непосредственный розничный продавец, перевозчик, любой другой посредник в продовольственной цепи или более широкое сообщество потребителей…

Шаг четвертый

Поиск и привлечение специализирующейся на СМК организации с целью создания высокоэффективной модели СМК

Часто большинство организаций, решивших создать современную модель системы управления в компании, привлекают для этого профессионалов.

Основные причин, способствующих принятию данного рещения:

Во-первых, международные стандарты по своему составу являются универсальными, т.е. имеют качество применения для предприятий любых размеров, мощности и направления деятельности.

Во-вторых, международные стандарты по характеру изложению имеют отличия от традиционных нормативных документов, к которым привык отечественный предприниматель (подробно излагаются последовательность действий, вплоть до оборудования, которое следует применять и формул, по которым производятся расчеты).третьих, этапы, связанные с разработкой и внедрением международных стандартов долгосрочны и подразумевают дополнительный объем работ по формированию высокоэффективной модели менеджмента качества. У сотрудников организации, занятых текущей работой, выполнением своих функциональных обязанностей, часто не хватает времени на осознание и реализацию вопросов перехода на международные стандарты. Поэтому гораздо проще поручить её выполнение квалифицированным опытным специалистам. С данным утверждением руководство товарищества согласно и в будущем планируется ввести новую единицу - специалист в области СМК

Шаг пятый

Выбор ответственных лиц за разработку и внедрение СМК из числа высшего руководства предприятия.

Каждому подразделению организации присущ менеджмент качества. Способствуя удовлетворению требований потребителей по безопасности и качеству сотрудники должны быть осведомлены о достижении заявленной политики и целей.

Из числа высшего руководства организации назначается представитель руководства по качеству. С целью осуществления координации в вопросах менеджмента качества он наделен полномочиями. Представитель руководства должен быть центральной точкой контакта для внешних органов по вопросам, касающихся системы управления качеством, но в ежедневном функционировании ее может поддерживаться другими работниками. К представителю руководства предъявляется требование как вверх, так и вниз эффективного информирования всей организации.

На этом этапе должен выйти приказ о начале разработки СМК на предприятии.

Шаг шестой

Проведение консалтинговой компанией диагностического аудита системы управления

В любой действующей компании существует сложившаяся, уникальная система управления. Создание современной системы менеджмента качества подразумевает ее модернизацию с целью улучшения и построения адекватной модели, соответствующей требованиям международного стандарта ИСО 9001:2000. Диагностический аудит для этого и необходим.

Аргументы:

«Чтобы внедрить что-то новое, необходимо объяснить и провести параллель со старым для лучшего понимания нового» (Ф. Бэкон)

Шаг седьмой

Своими силами либо с помощью внешних консультантов провести обучение всех сотрудников в области качества.

"Начало и финал ИСО- это обучение... " (Э. Дeминг)

По возможности принимать участие во всех курсах по повышению уровня знаний в области СМК, ознакомление со статьями по стандартизации, сертификации и системам менеджмента качества.

Шаг восьмой

Стратегия развития организации и ее приоритеты.

Формулировка целей и разработка стратегии их достижения принадлежит Высшему руководству организации. Эта стратегия основывается на предусмотрение использования принципов, положений и требований, заложенных в стандартах ИСО серии 9000. Чтобы в результате работ по созданию современной системы менеджмента качества была сформирована высокоэффективная система общего менеджмента предприятия. Органическое единство этих двух систем обеспечивалось как при их формировании так и при функционировании, развитии и совершенствовании, необходимо найти соответствующее отражение в обшей политике предприятия и в таком документе, как Политика в области качества. Разработка стратегии всегда означает пересмотр. Как будет проходить этот пересмотр и какой результат будет достигнут за время их проведения во многом зависит от правильности выбранного направления, определения стратегии. Надо отметить, что грамотная стратегия не гарантирует успеха сама по себе. Необходимо довести ее основные положения и преимущества до всех заинтересованных сторон. Это значит обеспечить эффективный процесс коммуникаций и обучения.

Эффективный управленец - руководитель изучает не только внутренние процессы организации, но также устанавливает уровень и положение предприятия в отрасли, ситуацию на рынке данной продукции, иными славами анализирует влияние и взаимодействие внутренних и внешних аспектов с результатами деятельности предприятия. Он производит мониторинг сильных и слабых сторон, возможностей и неудач с целью определения основы устойчивого конкурентного достоинства для организации.

Организации ясны требования - входы по качеству, и, следовательно, более вероятно их успешное выполнение - выходы: планирование качества это гарантирует. Это отражено в полном процессном подходе стандарта ИСО 9000:2000. Методы планирования качества включают маршрутные карты, рабочие листы, планы контроля качества, спецификации продукта и идентификацию опасности.

Шаг девятый

Определение базовых процессов, используемых на предприятии.

Любую деятельность рассматривают как технологический процесс. В деятельности компании данные процессы действуют определенным образом, образуя систему или сеть процессов. Впервые предложил рассматривать организацию как систему процессов К. Ишикава в начале 80-х годов.

Международные стандарты семейства ИСО 9000 (далее ИСО 9000) посредством законов установили такой подход. Они основываются на понимании того, что любое действие выполняется как процесс.

Каждый процесс, преобразуя некоторый объект труда, имеет выход и вход. Выход - это товар, материальный и нематериальный, который является финалом процесса. В МС ИСО 9001:2000 выделяется четыре общие категории товара:

·        Оборудование (технические средства);

·        Интеллектуальная продукция (средства), под которым понимается продукт интеллектуальной деятельности, включающий в себя информацию, выраженную через средства поддержки; интеллектуальная продукция может быть как в форме программ для компьютера, так и в форме концепции, протоколов или методик. Что касается предприятия ТОО «Метал Трейдинг» ,то это может быть разработанный стандарт предприятия.

·        перерабатываемые материалы, под которыми понимают материальную продукцию, получаемую способом переработки сырья в нужное состояние; перерабатываемые материалы могут быть жидкостями, газом, специфическими материалами, слитками, прутиками или листами; перерабатываемые материалы поставляются обычно в барабанах, мешках, цистернах, баллонах, канистрах, по трубопроводам и т.д.;

·        услуги.

Входом процесса может являться материальная или нематериальная продукция или природное сырье.

Процесс, улучшая объект труда, увеличивает его цену. Каждый процесс подразумевает под собой определенным образом ресурсы, в том числе трудовые. На входе и выходе процесса, а также на различных этапах процесса проводятся измерения. Требования к системам качества в соответствии с МС ИСО 9001:2000 применены ко всем 4 кат. продукции. Важнейшим достоинством МС ИСО 9001:2000 является то, что требования к СМК одни и те же для всех общих категорий продукции, различие состоит лишь в деталях административного построения, менеджмента систем либо терминологии.

Менеджмент процесса включает в себя следующие этапы:

·        установление целей и желаемых результатов процесса;

·        нахождение ресурсов, в том числе трудовых, для работы процесса;

·        исследование и установление методов и средств выполнения процесса;

·        менеджмент ресурсов, которые выделены для осуществления данного процесса, включая мотивацию сотрудников;

·        мониторинг процесса, анализ результатов его исполнения и корректировка хода процесса.

Система менеджмента любой компании состоит из несколько подсистем, взаимосвязанных с менеджментом предприятия, например: система стратегического планирования, система маркетинга и сбыта, система бухгалтерского учета и т.п. многие из указанных подсистем продиагностированы на предприятии достаточно хорошо: создана документация, обучены специалисты, установлено программное обеспечение и т.д. консолидация всех этих подсистем в общую систему управления достаточна сложна. За эту консолидацию несет ответственность высшее руководство предприятия. Именно для руководителя менее всего проверена регламентирующая документация. Поэтому этот момент нельзя упускать из виду. Работа управленцев верхнего уровня не изучена достаточно хорошо, нет в наличии стандартных средств менеджмента предприятия, которые должны постоянно использовать руководители верхнего уровня.

Поэтому одним из моих предложений будет следующее:

ввести добровольную отчетность руководителя предприятия, например раз в год, по проделанной работе в сфере устранения внутренних барьеров в консолидации данных подсистем.

Система управления бизнес-процессами предоставляет руководителям верхнего уровня средства управления, позволяющие увязать воедино существующие подсистемы, устранить препятствия, существующие между подразделениями на пути бизнес-процессов.

Первым важнейшим событием проекта является готовность высшего руководства предприятия внедрять систему СУБП (система управления бизнес-процессами). Директором должно быть принято соответствующее решение, оформленное приказом.

Вторым результатом проекта является анализ ситуации с существующей системой управления, полученный в результате проведения диагностики предприятия на основе этого анализа определяется уровень развития предприятия, в первую очередь в части системы управления; определяется, как и в какой степени требуется обучить руководителей. Существующие программы обучения адаптируются под конкретную организацию. Разрабатывается предварительная схема сети бизнес-процессов предприятия, которая используется в качестве базовой для дальнейшей работы над ней команды руководителей. Кроме того, оценивается степень практического использования существующей системы документации предприятия.

На этапе третьем формируются и утверждаются сеть бизнес-процессов предприятия и схема организационной структуры. Внедрение СУБП означает построение организационной структуры, в которой акцент сделан на бизнес-процессы. Внедрение СУБП не требует кардинального пересмотра организационной структуры, но должны быть обязательно зафиксированы и утверждены документально границы процессов, наличие владельцем процессов и их зоны ответственности. Каждый руководитель должен четко представлять себе принципы построения и функционирования СУБП. Пока не получены результаты этапа 3, двигаться дальше не имеет смысла.

Основными результатами Этапа 4 является сформированные и обученные рабочие группы. Для эффективной работы статус рабочих групп должен быть четко прописан в регламентирующих документах («Положение о рабочих группах»). Для работы групп должна быть создана вся необходимая инфраструктура.

Основным этапом по разработке СУБП является Этап 5. Результатами данного этапа являются: «Положение о СУБП предприятия»; регламенты выполнения бизнес-процессов, положения о подразделениях; должностные и рабочие инструкции исполнителей. СУБП базируется на документации по бизнес-процессам, которая должна быть создана и согласована на Этапе 5.

На Этапе 6 результатом является готовность персонала предприятия к работе с СУБП. Сотрудники должны быть обучены работе с регламентами СУБП и пройти соответствующую аттестацию.

По ходу функционирования СУБП появляются реальные, фиксирующие ход бизнес-процессов, показатели отклонения используется на Этапе 7, при проведении аудита.

По итогам проведения аудита, на Этапе 8 разрабатываются и выполняются мероприятия по улучшению СУБП. Ответственным за улучшение СУБП на предприятии является первый руководитель.

Разработка и утверждение внутренних стандартов организации: необходимо установить системы процессов, их взаимосвязи и взаимодействия, выделить ключевые процессы, необходимые для достижения целей в области качества. (А. Грамши)

Шаг десятый

Разработка заявлений высшего руководства о политике и целях организации в области качества.

Разработка документации СМК начинается с формулирования политики организации в области качества. Как правило, политика в области качества согласуется с обшей политикой организации и обеспечивает основу для постановки целей в области качества.

Отношение руководства организации к принципам менеджмента качества могут служить основой для разработки политики в области качества.

Политика должна обозначить основные направления деятельности организации в области обеспечения управления и повышения качества выпускаемой продукции, и включать обязательства руководства по выявлению и выполнению требований потребителей, непрерывному повышению эффективности СМК.

Политика формулируется высшим руководством. Рабочей группе целесообразно до издания политики организовать обсуждение ее проекта в подразделениях организации. После подведения итогов обсуждения политика оформляется и подписывается высшим руководителем организации. Рабочая группа организует ознакомление персонала организации с политикой и ее разъяснение.

Разработка и утверждение Руководства по Качеству организации.

Документ, излагающий политику в области качества и описывающий систему качества организации.

Потребность в создании руководства по качеству не подразумевает создание отдельного независимого документа высокого уровня. Руководство по качеству должно четко описывать структуру системы менеджмента качества. В руководстве по качеству должны быть детализированы все объединения и связи с другими системами или документами, которые используются организацией в работе.

. Руководство по качеству может охватывать всю деятельность организации или только ее часть. Наименование и область деятельности определенного руководства отражает сферу его применения.

. Руководство по качеству обычно содержит или, по крайней мере, ссылается на:

ü  политику в области качества;

ü  ответственность, полномочия и взаимоотношение персонала, который осуществляет руководство, исполняет, проверяет или анализирует работу, влияющую на качество;

ü  Методики системы качества и инструкции;

ü  Положение по пересмотру и корректировке руководства.

3. Руководство по качеству может различаться по объему и формату, с учетом потребностей организации. Оно может состоять из нескольких документов. В зависимости от назначения руководства оно иногда называется "руководство по обеспечению качества" или "руководство по административному управлению качеством".

Шаг одиннадцатый

Издание приказа о внедрении системы менеджмента качества в организации.

Шаг двенадцатый

Апробации эффективности разработанной СМК на практике, непосредственно в организации.

Шаг тринадцатый

Разработка корректирующих и предупреждающих действий с целью установления несоответствий выявленных в ходе внутреннего аудита.

Шаг четырнадцатый

Выбор органа по сертификации. Подача заявки на сертификацию.

Шаг пятнадцатый

Организация и проведение сертифицированного аудита с привлечением независимых экспертов-аудиторов выбранного органа по сертификации.

.2 Предложение по выбору стратегии внедрения СМК

Предприятие вправе выбрать одну из возможных стратегий:

·        разработать и внедрить СМК самостоятельно

-эта стратегия сэкономит финансовые pecypcы, но необходимо быть уверенными, что менеджеры по качеству предприятия будут действовать полностью в соответствии с требованиями международного стандарта.

·        привлечь консультантов к разработке и внедрению СМК

на сегодня это потребует немалых финансовых ресурсов

·        ограничиться внедрением СМК

это сэкономит средства, если нет необходимости предъявлять сертификат, но оптимизирует бизнес-процессы и улучшит имидж.

·        внедрить СМК и сертифицировать в национальном органе сертификации

это, как минимум, в 2 раза дешевле и оправданно в случае, если нет планов выхода на международный рынок или участия в тех тендерах, где выставляется условие наличия международного сертификата.

это может быть первой ступенью перед последующим сертефицированием на международном уровне.

·        внедрить СМК и сертифицировать в международном органе сертификации

надо быть готовым финансировать этот недешевый процесс.

иметь в виду, что существует ряд организаций, предлагающих регистрацию, которая не аккредитована эквивалентными зарубежными организациями. Такие регистрации не считаются незаконными, но у них не имеется официального статуса и они не могут оказать необходимого содействия в случае возникновения жалоб.

надо быть готовым к тому, что сертификат, признанный одним зарубежным деловым партнером, может быть не признан другим, и нормальной будет практика наличия более одного международного сертификата.

·        внедрить СМК и пройти одновременный сертификационный аудит как в национальном, так и в международном органах сертификации

это можно предусмотреть еще на этапе выбора консультанта по разработке и внедрению СМК, Т.е. необходима достаточная информация о партнерских отношениях консультантов и особенностях практики сертифицирующих организаций.

по этому поводу, возможно, получить информацию у сертифицирующих органов по телефону, на сайтах, запросить ОАО «НаЦЭкС".

В любом случае, предприятие должно получить как можно больше информации, прежде чем принимать решение. .[15,16,17,18,19]

5. Окупаемость затрат на внедрение Системы Менеджмента Качества

 <#"882172.files/image002.jpg"> (4)

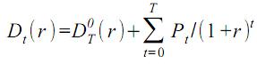
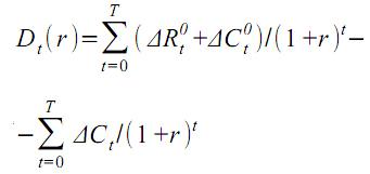
Чистый сопоставимый эффект (NPV) предприятия за весь рассматриваемый период определяется по следующей формуле:

, (5)

где r - основа сопоставимости, показывающая необходимую ценность денег (TVM).

Поскольку Pt = P°t + DPt, имеем:

, (6)

где D°T (r) - чистый сопоставимый эффект предприятия без реализации плана создания СМК.

Принятие СМК на предприятии эффективно в экономическом аспекте при норме сопоставимости, когда при некотором пределе расчета Т = Тr величина DDr показывает положительный результат и не меняет своего знака при последующем изменении Т. Показание То указывает на сроки погашения затрат на разработку СМК.

Внутреннюю норму доходности (IRR) плана разработки СМК на предприятии необходимо определять как базис сопоставления Го, обращающую возрастание чистого дохода, обусловленного созданием СМК, в ноль при Тi То: DDT (rо) = 0.

Рассчитываемый результат внутренней нормы доходности показывает возможную эффективность инвестиций в разработку СМК в % на такой капитал, тогда как высчитываемая величина увеличения чистого дохода показывает высокую доходность проекта.

В подавляющем большинстве случаев фонд проекта по внедрению системы менеджмента качества состоит из:

стоимости услуг консалтинговой фирмы;

стоимости создания отдела качества (ремонт помещения, покупка оборудования и т. д.);

стоимости проведения курсов по обучению группы качества;

стоимости услуги международной аккредитованной компании за разработку, создание аудиторской работы и выдачу сертификата соответствия ISO серии 9000.

В общем случае капитальные издержки (затраты) на создание и работу СМК в табличном виде по годам можно представить так (табл. 1):

Таблица 1. Затраты на внедрение и функционирование СМК

Услуги

2008 г.

2010 г.

2012 г.

2013 г.

Стоимость услуг консалтинговой фирмы, тыс. тг.

1650

2950

7000

-

Стоимость организации отдела менеджмента качества (ремонт помещения, приобретение оборудования и т.д.), тыс. тг.

3000

-

-

-

Стоимость обучения персонала предприятия, тыс. тг.

-

-

300

5500

Стоимость сертификации, тыс. тг.





Итого капит. вложений, тыс. тг.

4650

2950

1700

5500

Деятельность СМК дает компании большие достоинства, главными из которых считаются:

• уменьшение в разы брака товара;

• разумная ответственность за качество;

• полный контроль и доступность производственных, организационных и финансовых вопросов, оптимизация их логистической взаимозависимости;

• ощутимое повышение интереса и мотивации сотрудников предприятия;

• уменьшение аварийных и травмоопасных ситуаций, повышение качества условий труда и техники безопасности;

• рост авторитета компании и поддержание хорошего имиджа;

• производство, хранение и транспортировка продукции стабильно высокого качества (увеличение выпуска продукции первого сорта).

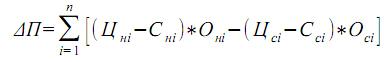
Важно заметить, что в ряде случаев работа и функционирование СМК на вышеперечисленные преимущества деятельности предприятия является опосредованным. Например, разумно предполагать, что наличие международного сертификата на систему менеджмента качества увеличивает авторитет компании, но на рост имиджа влияют и другие причины (деятельность руководства, прогрессивные действия отделов и подразделений, сбыта, инвестиционная привлекательность и т. д.). По результатам анализа специалистов международных рейтинговых агентств рост имиджа предприятия на 10 % увеличивает прибыль предприятия более чем на 20 %.

Поэтому, исходя из вышеизложенного, реальная оценка работы СМК с рассматриваемых сторон (экономической, производственной, экологической, социальной) считается трудноразрешимой задачей. Существуют также другие версии и мнения по вопросу оценивания рентабельности работы и вклада СМК в зарабатывании дополнительной прибыли от повышения производства продукции высшего качества. Важно к данному вопросу подходить с позиций экспертных оценок.

Оценивание экспертами мнений руководителей и специалистов предприятий похожей сферы деятельности показала, что вклад деятельности СМК в рост производства продукции требуемого качества (например, шаровых кранов типа металл-металл) составляет 5%. Процедура такой оценки деятельности и функционирования СМК в рост производства продукции высшего качества основывался на оценке увеличения производства после начала действия рекомендаций и предложений, данных отделом по управлению качества.

Основные рекомендации и предложения, полученные от СМК состоят в следующем:

) внедрить систему менеджмента качества ИСО 9001-2000;

) при выпуске продукции использовать более высококачественное сырье для местных и зарубежных потребителей:

DN 80-300 по ОСТ 24.125.04-89 из нержавеющих марок стали;

DN 10-300 по ОСТ 34.10-420-90 из нержавеющих марок стали;

DN 100-600 по ОСТ 24.125.33-89 из углеродистых марок стали;

) применять модель аттестации механических свойств и отгрузки горячекатаных рулонов статистическими методами. Статистический неразрушающий контроль давно стал применяться для проката, поставляемого покупателям в рулонах. На основе полученных данных показатели качества повысились для каждого вида продукции, значения показателей качества должны автоматически быть продублированы в паспорте и сертификате качества.

) произвести закупку линии по созданию и нанесению антикоррозионных покрытий на отводы, что позволяет повысить качество металлов одно - и двухкомпонентных покрытий.

Мероприятия по созданию СМК на предприятиях похожей сферы деятельности на постсоветском пространстве начали вести с 2000-х гг. Поэтому период внедрения системы менеджмента качества составил 4 года. Показателем для сравнения стал 2004 г. Исследования дали следующую картину: работа СМК подразумевает рост производства всех типов продукции наиболее высшего качества. Положительную динамику этого процесса отражает содержание таблицы 2.


Для подсчета оценочных значений эффективности плана по внедрению СМК важно учесть величину дополнительной прибыли при растущем выпуске продукции высшего качества. Для расчета воспользуемся данными таблицы 3.


Дополнительную прибыль, полученная за счет роста производства продукции высокого качества, можно рассчитать по формуле:

, (7)

где:

ΔП - суммарная величина дополнительной прибыли, полученной от улучшения качества продукции, долл.;- ассортимент продукции, по которому произошло улучшение качества;

Цci, Цнi - стоимость продажи соответственно продукции низкого и высокого качества i-гo вида, долл.;

Сci, Снi - рентабельность производства единицы соответственно товара низкого и высокого качества i-гo вида, долл.;

Оci, Онi - масштаб изготовления и продажи продукции в естественном выражении соответственно до и после повышения качества.

Итоги подсчетов дополнительной прибыли ОАО «Пензтяжпромарматура», рассчитанных с учетом роста изготовления всех видов продукции высшего качества, представлены в таблице 4.

Контент таблицы показывает 5-процентную часть дополнительной прибыли компании в ценовом выражении, рассчитанную за счет эффективной работы системы менеджмента качества (СМК).

Таким образом, дополнительная прибыль от увеличения выпуска продукции высшего качества, обусловленная внедрением СМК, за 4 года составила 4328,471 тыс. рублей на предприятии Российской Федерации.

6. Охрана окружающей среды

При проектировании и промышленной эксплуатации отделений предприятия необходимо соблюдение действующих в РК норм и требований по охране окружавшей среды. На основании закона «Об охране окружавшей среды» оценка воздействия проектируемого производства выполняется специализированными организациями в форме самостоятельного документа в составе проекта.

В технологическом процессе переработки руд непосредственное воздействие на окружающую среду будут оказывать пыли, газы, сбросы химических загрязнителей. При проектировании необходимо предусмотреть пылеподавление в операциях дробления, улавливание и очистку газов, обезвреживание циансодержащих стоков.

ПДК цианидов в воздухе рабочей зоны для цианистого водорода составляет 0,3 мг/м .

ПДК для цианисто-водородной кислоты и ее солей (цианидов) в воде водоемом санитарно-бытового использования - 0,1 мг/л.

ПДК цианидов в почве не нормировано.

Необходим постоянный контроль за состоянием атмосферного воздуха; пробы должны отбираться в рабочих зонах отделения дробления, у сорбционных колонн, реактора, емкостей циансодержащих растворов.

Аппаратуру в цехах, из которой возможно выделение цианистого водорода необходимо снабдить вытяжной вентиляцией. В случае превышения ПДК по цианистому водороду отсасываемый из емкостей воздух может очищаться в абсорбере.

Из гипохлоритных растворов возможно ничтожно малое выделение хлора - это обусловлено его низким парциальным давлением, изменяющимся в зависимости от температуры от 10 атм при концентрации «активного» хлора до 40 г/л.

Нормативная документация:

Предельные содержания вредных веществ (ГОСТ 12.1.005-76 ССБТ) в аспектах охраны окружающей среды при добычи цветных металлов.

Техническое руководство, 1991

Предельное содержание токсических субстанций международного Управления по труду, Охрана здоровья и техника безопасности 37,1991.

Международные стандарты по содержанию токсичных и вредных химикатов в воде, воздухе и почве

Руководство по охране окружающей среды, здоровья и технике безопасности- горные работы, 1995.

Уменьшение содержания, вредных паров, газов, пыли в воздухе рабочей зоны должно достигаться при строгом соблюдении персоналом требований инструкции по безопасному производству работ, максимальной механизацией производственных операций, герметизацией оборудования, поддержания в исправности трубопроводов, запорной арматуры, КИП, своевременным устранением протекания растворов в оборудовании и соединениях трубопроводах, исключением случаев пролива растворов, своевременным смывом пролитых растворов, их сбором в специальные емкости, и возвратом растворов в процесс.

Если возврат пролитых растворов в процесс невозможен, производится обезвреживание окислителями: гипохлоритом, хлорной известью, хлорной водой, марганцовокислым калием в щелочной среде с рН = 9-10. Обезвреживание цианистых растворов про изводится также суспензией 10% железного купороса и гашеной извести из расчета 6 весовых частей железного купороса и 3 весовых части гашеной извести. Суспензия готовиться каждый раз перед употреблением путем растворения извести и железного купороса в воде. Цианидсодержащий раствор перемешивается с обезвреживающим раствором 30 минут, затем для полноты обезвреживания выдерживается 3-4 часа - и сбрасывается в аварийный коллектор.

Для зашиты органов дыхания и кожи рабочие обеспечиваются спецодеждой и средствами индивидуальной зашиты:

комбинезоны из прорезиненной ткани;

каски;

резиновые сапоги;

резиновые перчатки;

респираторы "Лепесток";

фильтрующие противогазы марки В или БКФ.

При попадании на кожу растворов цианида необходимо быстро смыть их большим количеством воды, наложить мокрую повязку с борной кислотой или борную мазь. При отравлении оказывается первая помощь- прием противоядия, искусственное дыхание.

Состав противоядия:                                                                    .

1. Склянка синего стекла 30см3 - 23% раствор железного купороса.

. Склянка белого стекла 30см3 - 5% раствор щелочи (NaОH или КОН). 3. В отдельном пакете 2 г окиси магния в порошке.

Порядок применения противоядия.

.В кружку вливается раствор железного купороса и щелочи, туда же высыпается порошок смеси магния;

.Размешав смесь ложкой, дают выпить пострадавшему;

.После принятия противоядия, пострадавшему дают полежать 3-5 минут, затем вызывают рвоту;

.Дают пострадавшему выпить молоко.

Во всех случаях отравления вызывают скорую помощь или доставляют пострадавшего в больницу.

При работе с едкими веществами (кислотами и щелочами) необходимо соблюдать следующие требования:

а) работа с концентрированными кислотами и щелочами без защитных приспособлений (очки, перчатки) запрещается;

б) при перемещении концентрированных растворов едких щелочей необходимо надеть защитные очки, а при больших количествах растворов также резиновые перчатки и прорезиненный фартук;

в) при раскалывании крупных кусков, едких щелочей необходимо обернуть куски тканью или бумагой, надеть предохранительные очки, голову повязать;

г) разлив концентрированной азотной, серной и соляной кислот в толстостенную стеклянную посуду производить только под вытяжкой специально обученным лицом;

д) концентрированная (крепкая) серная кислота должна храниться в лаборатории в толстостенной стеклянной посуде емкостью не более 2 л, в вытяжном шкафу на специальных поддонах;

е) кислоты, щелочи и др. едкие жидкости следует разливать при помоши. стеклянных сифонов с грушей или из каких - либо других нагнетательных приборов;

ж) розлив концентрированной соляной кислоты должен производиться при включенной тяге в открытом вытяжном шкафу;

з) если кислота пролита, ее сначала засыпают песком для впитывания кислоты. Затем песок убирают, и место пролива кислоты засыпают известью или содой, после чего смывают водой и вытирают насухо;

и) при проливе шелочи место пролива засыпают песком или древесными опилками; после удаления, которых смывают слабым раствором уксусной кислоты.

Необходимо соблюдение: правил выпуска газа и запыленного воздуха СН-245-71, воздух рабочей зоны должен отвечать требованиям ГОСТ 12.1.005-88ССВТ; норм искусственного и естественного освещения по СНиП . ПА.9.71; норм требований чрезвычайных ситуаций; единых правил безопасности при обогащении полезных ископаемых ГОСТ 12.3.002-75 ССБТ.

Необходимо выполнение следующих требований по обеспечению безопасного проведения процесса на предприятии:

- к выполнению работ допускаются работники, имеющие специальную подготовку и квалификацию;

обеспечение работников, занятых на вредных и специальных работах, специальной одеждой и средствами индивидуальной и коллективной зашиты;

использование на предприятии механизмов и машин, оборудования и материалов, соответствующих требованиям безопасности и санитарным нормам нормам;

хранение реагентов в соответствии с правилами хранения;

проведение планово-предупредительных ремонтов, профилактических работ в соответствии с графиком, утверждаемым главным инженером предприятия

выполнение соответствующих санитарно-гигиенических направленных на предупреждение производственного профессиональных заболеваний и профотравлений;

на баковой аппаратуре, трубопроводах, в которых находятся растворы токсичных реагентов должны быть снабжены надписью "ЯД" и соответствовать ГОСТ 14202-69;

помещения дробильного отделения, измельчения, гравитации и флотации, отделения элюирования и десорбции, реагентное отделение должны быть оснащены местными вытяжными вентиляционными системами, которые' должны обеспечивать полное удаление вредных веществ в случае их появления в воздухе рабочей зоны. Для исключения попадания ядовитых выделений в воздух рабочей зоны оборудование цехов элюирования и десорбции, баковая аппаратура должны быть герметизированы.

.1 Требования по безопасности труда и промышленной санитарии к технологическому процессу и применяемым реагентам

При проектировании и промышленной эксплуатации отделений извлечения золота необходимо соблюдение следующих норм и требований:

·        санитарные нормы проектирования;

·        санитарные нормы эксплуатации;

·        противопожарные требования;

·        правила выпуска газов и запыленного воздуха;

·        нормы естественного и искусственного освещения;

·        единые правила безопасности при дроблении, измельчении, грохочении; - инструкции по безопасности при работе с СДЯБ.

.2 Противопожарные мероприятия

К категории "Д" по взрыво-пожароопасности (СНиП П-90-81) относятся следующие отделения: помещение для приготовления реагентов, помещение для элюирования золота и регенерации насыщенного угля, золотоприемная касса для хранения слитков Доре.

Рекомендуется соблюдать противопожарные требования по СНиП - 25-70; М.1 -71; М.2 -72.

В связи с этим особые меры противопожарной безопасности не предусматриваются. К категории Г по взрыво-пожароопасности (СНиП П-9081) относятся следующие отделения: помещение электролиза, помещение обжига и плавки катодного осадка.

Предусматривается защитное заземление всех металлических конструкций и токоведущих частей электроаппаратуры, в том числе осветительной аппаратуры.

Все объекты предприятия обеспечиваются первичными средствами пожаротушения и пожарным инвентарем в соответствии с ГОСТ 12.4.009-83 "ССБТ. Пожарная техника для зашиты объектов. Общие требования".

При производстве огневых работ руководствоваться «Правилами пожарной безопасности при проведении сварочных и других огневых работ на объектах народного хозяйства».

6.3 Промсанитария

При работах в отделениях предприятия, где применяются СДЯБ необходимо использовать инструкции, разработанные конкретно для данного производства, которые должны отражать специфику работы с СДЯБ.

При работе с цианидами возможны отравления. Отравление может происходить при попадании в желудок (при приеме пиши). Смертельная доза для человека составляет 0,1 г. Нежелательно попадание цианида на кожу (наличие ссадин, ран).

Заключение

Многие организации сегодня имеют достаточно информации о международных стандартах (МС) ИСО, однако до сих пор сомневаются в необходимости реализации мероприятий по их внедрению. Одни из них, которые не думают о затратах, связанных с переходом предприятия на МС, но считают, что сегодняшняя система управления их организации подтверждена достаточно успешным продвижением на pынкe. Для руководителей подобных оргaнизaций в качестве apгyмeнтa хотелось бы привести слова мудреца: "Кто повторяет староe и узнает новое, тот может быть предводителем.." (Конфуций)

Другие присматриваются со стороны, что можно сравнить с зубной болью, когда человек тянет до последнего, не обращая внимания на образование кариеса, но когда вдруг появляется острая боль, то он мчится к дантисту, забывая о затратах, времени и т.д. и т.п. "Тот, кто не смотрит вперед, оказывается позади" (Дж. Герберт).

К тpeтьим, можно отнести предпринимателей малого бизнеса, которые рады создать все возможные условия для развития и процветания своего предприятия, но, считают, что дополнительная статья расходов, на внедрение международных стандартов на сегодняшний день для них не приемлема. "Дело не в том, чтобы быстро бегать, а в том, чтобы выбежать пораньше" (Ф. Рабле).

Отсутствие заинтересованности современного руководителя во внедрении современных, высокоэффективных систем управления можно связать прежде всего с его недостаточной информированностью, слабым знанием основ менеджмента, инерцией мышления, низкой восприимчивостью к улучшениям. Такие руководители не осознают нынешние реалии все более насыщающегося товарами рынка, где главное условие выживания - создание легко адаптирующейся в изменяющихся внешних условиях организации, способной быстро удовлетворять и предвосхищать ожидания потребителей по устраивающей их цене. Реализация этих условий требует:

.        нового способа организации производства;

.        нового способа построения организации;

.        нового стиля менеджмента (руководства);

.        нового стиля взаимодействия людей в организации.

Настало время, когда каждый из нас должен понять и осмыслить слова одного из основоположников современных систем менеджмента качества, американского ученого М. Джурана, который говорил:

«В XXI веке все предприятия разделятся на две категории: одна категория - это предприятия, освоившие принципы всеобщего менеджмента качeствa, а другая категория - предприятия, оказавшиеся вне рынка».

Основной принцип данных междунapодныx стандартов - добровольность. В этой связи руководством нашей страны уже разработан ряд стимулирующих мер, способствующих привлечению отечественного предпринимателя к внедрению в своих организациях международных стандартов, к основным из них можно отнести такие меры, как:

·        Для организаций, производящих продукцию с высокой добавленной стоимостью, сертифицировавших систему менеджмента качества по международному стандарту ИСО 9001:2000 предусматривается снижение корпоративного подоходного налога на 50 %. Для привлекательности инвестиционного климата также вводится освобождение инвестиционных проектов от корпоративного налога на срок до 10 лет с момента их ввода в эксплуатацию.

·        Уже в ближайшем будущем одним из условий участия в государственных конкурсах (тендерах) по закупкам товаров и услуг будет наличие сертификата, подтверждающего соответствие системы управления организации - участника требованиям международного стандарта ИСО 9001:2000.

На Западе путь к осознанию качества как стратегического фактора имел свои региональные и национальные особенности. Если для США акцент на совершенствование качества был в основном поставлен в связи с военной стратегией, то для таких стран как Англия и Германия, этот акцент был связан с выработкой стратегической линии в конкурентной борьбе за выживание.

Весьма действенным и перспективным стало учреждение в 1987 г. американской премии по качеству имени Малкольма Болдриджа, а главное - формирование принципов Тоtal Quality Мanagеmеnt (TQM), на основе которых стали создаваться и использоваться различные модели менеджмента качества. .[10,11,12,13,14]

Основная суть создания данной системы заключается в том, что ключевым понятием в бизнесе является качество работ, направленное на наиболее полное удовлетворение потребностей клиентов. И этим качеством необходимо управлять. Естественно, что за такой простой сутью скрывается кропотливая работа как по созданию системы, способной эффективно управлять качеством, так и по созданию условий, при которых это самое качество будет поставлено во главу производственного процесса.

Список использованной литературы

1.      "Менеджмент систем качества" Учебное пособиe М.Г. Круглов, С.К. Сергеев, В.А.Такташов и др.: ИПК Издательство стандартов, 1997.

2.      Версан В.Г. Стандарты ИСО 9000 версии 2000 года: стратегия внедрения // Сертификация. - 2001. -№ 4.

3.      Скворцова Л.Т. Новые возможности // Тор-Мanagег, Март 2002.

.        Свиткин М.З. Стандарты ИСО серии 9000 версии 2000 года: новые шаги в практике менеджмента качества / / Стандарты и качество. - 2000. - №12.

.        Рахлин К.М. К вопросу о концепции применения стандартов ИСО 9000:2000. - Сер. Все о качестве. Отечественные разработки. - Вып. 18. - М.: НТК “Трек”, 2002.

.        Методические рекомендации по разработке систем качества. Морской Регистр Судоходства, 1998.

7.      Стандарты ИСО 9000:2000. Выбор и применение // Инф. бюллетень ИСО 9000 и ИСО 14000. - 2001,№ 3.

8.      Качалов В.А. Насколько точно "русское лицо" стандартов ИСО серии 9000:2000 // Стандарты и качество. - 2002. - № 6.

.        МС ИСО 9000:2000 Системы менеджмента качества. Основные положения и словарь.

.        МС ИСО 900 1:2000 Системы менеджмента качества. Требования.

.        МС ИСО 9004:2000 Системы менеджмента качества. Рекомендации по улучшению деятельности.

12.    ИСО/ТО 10006:97 Менеджмент качества. Руководство качеством при управлении проектами.

13.    Владимирцев А.В., Шеханов Ю.Ф. Принцип постоянного улучшения в проектах МС ИСО семейства 9000:2000/ Методы менеджмента качества. №10,2000 г. - с. 4-8.

.        Владимирцев А.В., Марцынковский О.А., Шеханов Ю.Ф. Системы менеджмента качества и процессный подход/ Методы менеджмента качества. №2, 2001 г. - с. 4-7.

.        Методические указания по пункту 1.2 «Применение» в ИСО 9001:2000-ISO/TC 176/SC 2N 524R2

.        Методические указания по пункту «Требования к документации» в ИСО 9001:2000 ISO/TC 176/SC 2N 525 R

17.    Методические указания по процессному подходу в системах менеджмента качества ISO/TC 176/SC 2N 544.

18.    Руководство по выбору и использованию консультантов по системе менеджмента качества    - WD1 ISO 21095.

.        Седдон Дж. Десять аргументов против стандартов ИСО серии 9000 // Европейское качество. - 2001. - № 2.

Приложение А

Таблица №1. Процедура СМК

№ п/п

Раздел (пункт) МС ИСО 9001:2000

 Требуемая запись

1

5.6.1

Анализ со стороны руководства

2

6.2.2(е)

Образование, подготовка, навыки и опыт

3

7.1(d)

Свидетельства того, что процессы создания продукции и получаемая продукция удовлетворяет требованиям

4

7.2.2

Результаты анализа требований, относящихся к продукции, и действия, вытекающие из этого анализа

5

7.3.2

Входные данные для проектирования и разработки, относящиеся к требованиям к продукции

6

7.3.4

Результаты анализа проектирования и разработки и всех необходимых действий

7

7.3.5

Результаты верификации проекта и разработки и всех необходимых действий



Приложение Б

Схема № 1. Обобщенный процесс по МС ИСО 9001:2000
















Приложение В

Таблица №2. Схема разработки, утверждения, издания, рассылки и хранения внутреннего нормативного документа.

Этап

Свидетельство выполнения

1

2

3

Принятие рещения о разработке

Новый процесс в деятельности организации

Распоряжение, план работ

Разработка проекта

Нормативные документы

Проект

Согласование проекта

Лист согласования. Список согласователей

Подпись, замечание, предложение

Окончательная редакция

Замечания

Подпись руководителя

Утверждение, идентификация

Лист согласования, согласованный проект

Гриф утверждения, распорядительный документ

Издание

Решение о тираже и адресатах

Экземпляры документа

Присвоение учтенного номера, рассылка

Списки учтенных экземпляров

Сопроводительный документ

Ознакомление персонала

Документ, лист ознакомления

Подписи в листе ознакомления

Хранение

Документ

Перечень документа


Похожие работы на - Внедрение системы менеджмента качества на предприятии

 

Не нашли материал для своей работы?
Поможем написать уникальную работу
Без плагиата!
Без нейросетей!