Рыночное равновесие
СОДЕРЖАНИЕ
ВВЕДЕНИЕ
РАЗДЕЛ 1. Сущность рыночного
механизма
.1 Рыночный спрос и его факторы
1.2 Рыночное предложение и его факторы
РАЗДЕЛ 2. Рыночное равновесие
2.1 Равновесная цена и равновесный
объем
.2 Существование и единственность
рыночного равновесия
.3 Причины и механизмы сдвигов
рыночного равновесия
2.4 Государственное регулирование
ЗАКЛЮЧЕНИЕ
СПИСОК ИСПОЛЬЗОВАННЫХ ИСТОЧНИКОВ
ВВЕДЕНИЕ
Спрос и предложение - два важнейших понятия, с помощью которых
описывается взаимодействие продавцов и покупателей, каждый из которых стремится
к максимально полному удовлетворению своих потребностей.
Ясно, что для определенного товара покупатели всегда будут предпочитать
купить его по более низкой цене, а продавцы - продать его по более высокой.
Цена товара является одним из важнейших факторов для спроса. Наряду с ценой, на
спрос на каждый товар явно влияет, например, наличие у покупателя возможности
удовлетворять ту же потребность иным близким по назначению товаром.
Поскольку стремления покупателей и продавцов удовлетворяются друг за счет
друга, то они неизбежно встречаются друг с другом, образуется так называемый
рынок, система экономических отношений между покупателями и поставщиками
товара, в результате которых между ними совершаются сделки.
Объект исследования - рыночные отношения, предмет исследования - рыночный
механизм и рыночное равновесие.
Цель работы: охарактеризовать рыночные элементы и изучить механизм
установления рыночного равновесия.
В соответствии с поставленной целью необходимо решить задачи:
1. раскрыть понятие рыночного механизма;
2. охарактеризовать рыночные спрос и предложение;
. определить равновесную цену и равновесное количество;
. выявить причины и механизмы сдвигов рыночного равновесия;
. рассмотреть модели рыночного равновесия;
. осветить равновесие в мгновенном, коротком, длительном периодах.
Структура работы: данная работа состоит из введения, двух разделов,
заключения, списка использованных источников, содержащего 20 наименований, а
также 12 рисунков.
раздел 1. Сущность рыночного механизма
Известно, что любой хозяйственный механизм представляет собой
совокупность элементов в их взаимосвязи, совокупность экономических элементов,
а также организационную структуру экономической системы.
Рыночный механизм - это механизм взаимосвязи и взаимодействия основных
элементов рынка: спроса, предложения, цены, конкуренции и основных
экономических законов рынка. Это важнейшие параметры рынка, которыми
руководствуются производители и потребители в своей экономической деятельности
в рыночной системе хозяйствования. Это стержень рыночный отношений, ядро рынка.
Рыночный механизм как механизм регулирования, представляет собой сложную
систему, включающую в себя следующие элементы.
) субъекты (продавцы, покупатели, посредники, государственные учреждения
и т.д.);
) объекты (различных видов рынка товаров);
) экономические связи между субъектами, которые могут проявляться в
кооперации или конкуренции;
) наличие информации о принимаемых решениях для установления
экономических связей;
) механизм ценообразования
Рыночный механизм имеет ряд преимуществ по сравнению с механизмом
централизованного производства и распределения командно-административной
системы. В децентрализованной экономике благодаря гибкости цен и конкуренции
предложение подстраивается под изменяющийся спрос, делая невозможным длительный
хронический дефицит, низкое качество и узкий ассортимент продукции - неизбежные
атрибуты централизованной экономики с административно фиксированными ценами.
Следовательно, в рыночной экономике эффективность распределения, производства и
уровень общественного благосостояния объективно выше, чем в альтернативных
экономических системах. Однако рыночный механизм максимально эффективен только
в чисто конкурентной среде производства частных товаров и услуг, в условиях
совершенной конкуренции и отсутствия трансакционных издержек. В отсутствие этих
условий работа рынка может существенно исказиться. Тогда появляются проблемы,
которые рынок не в состоянии решать эффективно.
На стороне производства выступает предложение, на стороне потребления -
спрос. Эти два элемента неразрывно связаны между собой, хотя на рынке
противостоят друг другу. Их можно сравнить с двумя силами, действующими в
противоположных направлениях. В зависимости от конкретных условий рынка
предложение и спрос уравновешиваются на более или менее продолжительный период.
Выравнивание спроса и предложения может происходить стихийно и под регулирующим
воздействием государства.
Важно отметить, что рыночный механизм действует как механизм принуждения,
заставляющий предпринимателей, преследующих свою собственную цель (прибыль),
действовать в конечном счете на пользу потребителей. Как это происходит?
Неудовлетворенный спрос на модный товар повышает цену спроса, но не
удовлетворяет полностью потребность. У товаропроизводителей есть альтернатива:
либо расширять производство и снизить цену и таким образом удовлетворить
потребность большего числа покупателей; либо держать высокую цену до тех пор,
пока конкуренты не заполнят эту нишу на рынке и не отнимут клиентуру, а с ней
не только сверхприбыль (от выоских цен), но и прибыль. Эта опасность побуждает
производителя своевременно расширять производство, снижать цену своего тавара
до полного насыщения рынка. Такой механизм действует при наличии конкурентов.
Действие этого механизма основано не на уговорах, а на естественном стремлении
человека к благосостоянию.
Экономическое положение производителей и потребителей, продавцов и
покупателей зависит от рыночной конъюнктуры, которая изменяется под влиянием
многочисленных факторов.
Конъюнктура рынка - это совокупность складывающихся на рынке в каждый
данный момент времени экономических условий, при которых осуществляется процесс
реализации товаров и услуг. Она определяется экономическими показателями,
характеризующими состояние рынка: соотношением спроса и предложения, уровнем
цен, емкостью рынка, платежеспособными возможностями потребителей, состоянием
товарных запасов и т.д. При этом соотношение спроса и предложения играет
исключительно важную роль, ибо именно оно зачастую предопределяет судьбу
продавцов и покупателей.
Колебания прибыли - барометр рынка, подающий сигнал производству.
Товаропроизводитель в своей хозяйственной деятельности неизбежно
руководствуется интересами прибыли. Прибыль зависит от цен, роста объема
производства и скорости оборота капиталов. Характер нацеленности предприятия на
прибыль меняется в условиях сбалансированного рынка и дефицитной экономики,
когда появляется коллективный эгоизм и роль прибыли в деятельности предприятия
гипертрофируется.
Рыночный механизм можно охарактеризовать как механизм формирования цен и
распределения ресурсов, механизм взаимодействия продавцов и покупателей товаров
по поводу определения их количества, качества, структуры производства.
Рынок как саморегулируемая подсистема в системе рыночной экономики
невозможен без использования рыночного механизма. Последний обеспечивает
взаимосвязь и взаимодействие рыночных субъектов и их интересов в производстве и
сбыте продукции, а также в сфере приложения капитала.
1.1 Рыночный спрос и его факторы
В общем смысле спрос можно представить в виду шкалы , показывающей
количество продукта, которое потребители готовы и в состоянии купить по каждой
конкретной цене из ряда возможных в течение определенного периода времени.
Спрос отражает ряд альтернативных возможностей, которые можно представить в
форме таблицы. Он показывает то количество продукта, на которое будет
предъявлен спрос при рызных ценах при прочих равных условиях.
Спрос на любой фактор производства находится в прямой взаимосвязи со
спросом на потребительские товары, изготовленные с помощью данного фактора
производства.
Рыночный спрос представляет собой суммарное значение индивидуальных
спросов, это оплаченный спрос, и его не следует отождествлять с потреблением,
которое потенциально безгранично. Спрос (D) или количество спроса (Qd) определяется всегда в рамках конкретного промежутка времени
(день, неделя, месяц, год) и определенного числа покупателей.
Основное свойство спроса заключается в его увеличении с понижением цены
(при прочих равных условиях рынка) и наоборот,- уменьшении с повышением цены.
Иначе говоря, спрос (D) и
цена (P) находятся в обратно
пропорциональной зависимости. Обратная зависимость между ценой и величиной
спроса называется законом спроса. Данный закон основывается как на здравом
смысле, так и на экономической теории. Он был проверен на практике и оказался
справедлив практически для всех товаров: кукурузных хлопьев, бензина, высшего
образования - и это далеко не полный перечень примеров.
Когда экономист строит кривую спроса, он исходит из допущения, что цена
служит самой важной детерминантой количества любого покупаемого продукта.
Однако экономисту известно, что существуют и другие факторы, которые могут
повлиять и действительно влияют на объем покупок. Таким образом, при построении
кривой спроса следует также допустить, что «прочие условия равны», то есть что детерминанты
спроса неизменны. Когда какие -то из этих детерминант спроса на самом деле
изменяются, кривая спроса сдвигается на некую новую позицию вправо или влево.
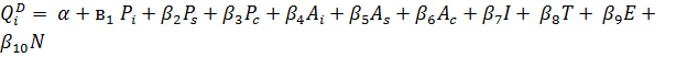
Поэтому указанные детерминанты называют факторами изменения спроса:
Рi -
цена товара;
Ps - средняя цена товаров-субститутов (заменителей);
Рc -
средняя цена товаров-комплементов (дополняющих товары);
Ai - реклама
по продвижению товара г;
Аs -
реклама по продвижению товаров-субститутов;
Ас -
реклама по продвижению товаров-комплиментов;
I -
доход потребителей;- вкусы и предпочтения потребителей;
Е -
ожидания потребителей;
N -
количество покупателей.
Зная основные факторы, влияющие на спрос, изобразим функцию спроса:
(1.1)
Функция спроса - функция, определяющая спрос в зависимости от влияющих на
него различных величин (факторов).
В экономических исследованиях часто используют условие ceteris paribus.
Условие ceteris paribus («при прочих равных условиях» -лат.): выделение
главного фактора (как правило, цены) для исследования функциональной
зависимости, условно принимая все остальные величины неизменными в целях
упрощения анализа и выявления наиболее существенных взаимодействий. Используя это
правило, рассмотрим функциональную зависимость между ценой и объемом спроса.
Тогда формулу (1.2) можно выразить следующим образом:
(1.2)
В данном случае в соответствии с правилом ceteris paribus мы свели
действие параметров
... и т. д. из уравнения 1.1 к некой величине А.
Тем самым кривая спроса отражает зависимость между Q, и Р. при прочих
равных условиях, а равенство 1.2 является выражением кривой (линии) спроса.
Линия спроса - кривая, показывающая, какое количество экономического
блага готовы приобрести покупатели по разным ценам в данный момент времени.
Следует отличать линию спроса от функции спроса. Когда речь идет о функции
спроса, то имеется в виду отношение между объемом запрашиваемого продукта и
всеми переменными, которые влияют на этот спрос. Линия же спроса отражает
зависимость между количеством запрашиваемого продукта и ценой на этот продукт,
считая все прочие факторы постоянными величинами.
С легкой руки основателя неоклассической школы А. Маршалла экономисты
выработали традицию читать формулу 1.2 «наоборот»: расположив независимую
переменную (Р) в левой части уравнения:
(1.3)
Функция спроса может быть и нелинейной, например:
В данном случае мы выразили линию спроса аналитическим способом. Кроме
этого, существуют еще графический и табличный способы.
Пример табличного способа изображен при помощи таблицы 1.
Таблица 1 ФУНКЦИЯ СПРОСА НА ТОВАР A
|
Цена запрашиваемого товара А, р.
|
Количество запрашиваемого товара А, млн шт.
|
|
4,10
|
100
|
|
4,20
|
80
|
|
4,30
|
60
|
|
4,40
|
40
|
|
4,50
|
20
|
При графическом способе по горизонтальной оси (абсцисс) принято
откладывать величину блага (Q,), а по вертикальной (ординат) - величину цены
(Р).
Как выяснено в ходе многочисленных статистических исследований, между
этими двумя величинами, как правило, наблюдается обратная зависимость,
отмеченная нами уже аналитически (рис. 1.1). В самом деле, в случае линейной
функции эта обратная зависимость отражается отрицательным углом наклона (-b), a
в случае нелинейной функции - отрицательной степенью (-n).
Рис.
1.1 Линия спроса: а)линейная, б) нелинейная
При изменении цены блага (ceteris paribus) объем (величина) спроса
движется в обратном направлении вдоль линии спроса (рис. 1.2).
Рис. 1.2. Изменение величины спроса
Если же, напротив, происходит изменение всех прочих факторов, то это
приводит к сдвигу кривой спроса вправо (при увеличении спроса) или влево (при
уменьшении спроса), как это изображено на рис. 1.3.
Рис.1.3. Изменение спроса
К примеру, при увеличении доходов потребителей линия спроса сдвинется
вправо, то же произойдет при увеличении числа потребителей. При увеличении цен
товаров-заменителей линия спроса также сдвинется вправо (повышение цен на масло
может привести к повышению цен на маргарин). Напротив, при увеличении цен
комплементарных товаров линия спроса сдвинется влево (повышение цен на
автомобили может понизить цены на бензин). Мода на темные очки сдвинет линию
спроса вправо. Ожидания повышения цен на определенный товар, а также успешная
реклама товара также сдвинут линию спроса вправо. Линия спроса может пересекать
координатные оси. Если линия спроса пересекает ось абсцисс - значит при данной
величине Q возможно бесплатное потребление блага. И наоборот, если линия спроса
пересекает ось ординат, то это говорит о том, что при данной цене благо никто
не будет покупать.
Закон спроса подтверждается эмпирическими изысканиями. В его основе лежат
несколько факторов.
Психология покупателей (люди предпочитают покупать товар по более низкой
цене).
Закон убывающей предельной полезности, согласно которому каждая новая
единица товара приносит потребителю все меньшее удовлетворение.
Эффект дохода - при постоянном доходе снижение цены увеличивает покупательскую
способность.
Эффект замещения - высокие цены заставляют покупателя заменять данный
потребляемый товар другими.
То, в какой мере объем спроса на рынке возрастает при данном снижении
цены или сокращается при данном повышении цены, характеризует степень
эластичности спроса в зависимости от цены. Коэффициент эластичности спроса в
зависимости от цены (
) представляет собой отношение изменения объема спроса к
вызвавшему его изменению цены:
(1.5)
Коэффициент эластичности показывает, на сколько процентов меняетс размер
спроса на товар в результате изменения его цены на один процент.
Эластичность спроса по цене выступает в следующих основных формах:
· эластичный спрос (ED>1). Ситуация, при которой величина спроса
изменяется в большей степени, чем цена
· неэластичный спрос (ED<1). Ситуация, при которой величина спроса
изменяется в меньшей степени, чем цена
· единичная эластичность спроса (ED=1). Она возникает в том случае, когда
величина спроса и цена изменяются на одну и ту же величину
· совершенно эластичный спрос (ED= ∞). Ситуация, при которой
величина спроса бесконечно изменяется при малом изменении цены
· совершенно неэластичный спрос (ED= 0). Ситуация, при которой величина
спроса абсолютна, не меняется при изменении цены.
Коэффициент эластичности спроса по цене, как правило, является
отрицательной величиной; однако в экономической теории принято пользоваться
абсолютным значением этого показателя, не принимая во внимание знак «минус».
На степень эластичности спроса влияет целый ряд факторов: наличие
товаров-субститутов (т.е. взаимозаменяемых товаров, например, чай и кофе),
размер дохода потребителя, качество товара, удельный вес товара в бюджете
потребителя, является ли товар предметом роскоши или предметом первой
необходимости, ожидания потребителя и т.д.
Как уже отмечалось, спрос на данный товар зависит не только от его цены,
но и от цен на другие товары. Здесь нужно отметить, что помимо
товаров-субститутов, существуют и товары-комплементы (взаимодополняемые товары,
например фотоаппараты и фотопленка). Помимо этих групп товаров существуют и
независимые товары (например, карандаши и молоко) эластичность спроса на один
товар относительно цены на другой товар называется перекрестной эластичностью.
Коэффициент перекрестной эластичности спроса представляет собой отношение
изменения спроса на товар i к
вызвавшему его изменению цены на товар j:
(1.6)
При изменении цены на товар-субститут коэффициент перекрестной
эластичности оказывается больше нуля (рост цен на кофе вызовет рост спроса на
чай); при изменении цены товара-комплимента коэффициент перекрестной
эластичности оказывается меньше нуля (рост цены на фотопленку ведет к
уменьшению спроса на фотоаппараты). При изменении цены независимого товара
коэффициент перекрестной эластичности равен нулю (рост цены на карандаши не
изменит спрос на молоко).
Следует также отметить, что колебания цен товаров с различной
эластичностью спроса по-разному влияют на изменение цен остальных товаров. Так,
если цена товара с неэластичным спросом возрастает, то общие расходы на покупку
этого товара растут, что при неизменном доходе приводит к сокращению спроса на
другие товары, а следовательно, и к снижению их цен.
1.2 Рыночное предложение и его
факторы
В отличие от спроса предложение отражает иную сторону рыночных отношений
- поступление товаров на рынок для их продажи или обмена на другие
экономические блага. Если спрос формируют покупатели, то предложение -
продавцы.
Предложение на рынке является результатом производства
и отражает желание производителей продать свой товар. Предложение можно
определить как шкалу, показывающую разные количества продукта, которые
производитель желает и способен произвести и предложить к продаже на рынке по
каждой конкретной цене из ряда возможных цен в течение определенного времени.
Предложение возникает, когда данный экономический субъект будет готов
произвести сделку по продаже данного доставленного на рынок товара. Объем
(величина) предложения определяется максимальным количеством какого-либо
товара, которое желает продать на рынке отдельный продавец или группа продавцов
в единицу времени при данных условиях. Как и спрос, объем предложения является потоком,
протекающим во времени. В связи с этим надо четко отдавать себе
отчет, к какому периоду времени относится данная величина предложения.
Продавцы всегда находятся в противоречивости. С одной
стороны, стремятся продать товар по более высокой цене, с другой - увеличить
объем продаж. С повышением цен соответственно возрастает и величина
предложения; со снижением цен сокращается также и предложение. Эта
специфическая связь называется законом предложения. С точки зрения потребителя,
высокая цена выступает как сдерживающий фактор: чем ниже ценовой барьер, тем
больше потребитель будет покупать. Для поставщика цена представляет собой
выручку за каждую единицу продукта, а поэтому она служит стимулом к тому, чтобы
производить и предлагать свой продукт к продаже на рынке.
Можно пойти чуть дальше и сделать предположение о том,
что производитель, принимая решение об объеме производства для предложения на
рынке будет всякий раз выбирать такой объем производства, который обеспечивает
ему наибольшую прибыль. Выпуск дополнительной единицы продукции при данном значении
цены товара вызывает увеличение общей выручки на некоторую величину, которая
называется предельной величиной, и одновременно увеличение общих издержек на
величину, которую называют предельными издержками.
Если выпуск дополнительной единицы продукции
прибавляет к общей выручке величину большую, чем величина, добавляющаяся за
счет выпуска этой единицы продукции к общим издержкам, то прибыль производителя
увеличивается. В противном случае, когда предельная выручка меньше предельных
издержек, прибыль уменьшается. Наибольшую прибыль производителю обеспечит такой
объем выпуска, при котором предельные издержки будут равны предельной выручке,
то есть цене товара.
Функцию предложения, построенную с учетом условий (факторов), можно
представить следующим образом:
(1.7)
где
, γ - часть объема предложения, ε
- коэффициенты функции
предложения, иллюстрирующие предельное влияние каждой независимой переменной на
количество предлагаемого блага;
- цена предлагаемого товара г;
- цена товара-субститута;
- цена комплементарного товара;
R-
цены ресурсов;
K-
уровень технологии;
T-
налоги и субсидии;
C-
природные условия;
E-
ожидания производителей;
M-
количество продавцов.
Функция предложения определяет предложение в зависимости от влияющих на
него множества различных факторов.
Проведем с функцией предложения манипуляции, аналогичные тем, которые мы
осуществили с функцией спроса, тогда функцию предложения от цены (или
линию предложения) можно записать следующим образом:
(1.8)
Как и в случае со спросом, функцию предложения можно выразить тремя
традиционными способами: графическим, табличным и аналитическим. Если функция
линейна, то ее можно описать в виде:
где с - длина отрезка, который линия предложения отсекает на оси ординат;
d -
показатель угла наклона линии предложения к оси абсцисс.
Очевидно, что линия предложения может быть и нелинейной. Нормальная линия
предложения имеет положительный наклон, что свидетельствует о прямой зависимости
между ценой и количеством предлагаемого товара (рис. 1.4).
Рис.1.4. Свойства линии предложения
Как и в случае со спросом, изменение цены товара вызывает
перемещение значений количества товара вдоль линии предложения, а
изменение прочих факторов сдвигает линию предложения вправо и вниз (если
предложение увеличивается) или влево и вверх (если предложение уменьшается),
как это изображено на рис. 1.5 и 1.6.
Поведение кривой предложения может поведать экономисту об очень многом. К
примеру, сдвиг кривой предложения вправо и вниз может явиться следствием
снижения налогов или начисления производству дотаций. А может быть результатом
увеличения эффективности производства, повышения конкурентоспособности.

Рис.1.5. Изменение величины предложения Рис.1.6. Изменение предложения
Оглядываясь на первые шаги «реформаторского правительства» Е. Т. Гайдара,
можно отметить, что оно пошло противоположным путем: резко повысило цены на
энергоресурсы и транспортные перевозки под предлогом «доведения их до мирового
уровня». В результате издержки производства и транспорта драматически возросли.
Линия предложения резко сдвинулась влево и вверх, и тем самым был нанесен первый
сокрушительный удар по конкурентоспособности отечественного производства.
Вслед за этим был нанесен и ряд других ударов, после чего отечественное
производство стало напоминать недобитого мамонта.
Кривая предложения любого товара основывается на издержках производства.
Они зависят от цены на ресурсы, технологии производства, величины налогов, цен
на другие товары, числа продавцов на рынке. Изменение любого из компонентов
издержек приведет к смещению предложения продукта либо вправо, либо влево.
Цены на ресурсы. Повышение цен на ресурсы увеличит издержки производства
и сократит предложение. В нашей экономике непрерывное повышение цен на
энергоносители затронуло все отрасли хозяйства и сделало производство многих
видов продукции невыгодным. Высокие цены на готовую продукцию резко уменьшили
спрос на нее, в результате чего производство продолжает сокращаться. Снижение
ресурсных цен снижает издержки производства и увеличивает предложение.
Технология. Совершенствование технологии означает, что открытие и
внедрение новых знаний позволяет производить продукцию с меньшей затратой
ресурсов. При данных ценах на них снижаются издержки производства и
увеличивается предложение. В настоящее время при передаче электрической энергии
по проводам потери составляют около 30 процентов. Недавние мощные прорывы в
области сверхпроводимости открывают перспективы для передачи ее почти или вовсе
без потерь. Переход к ресурсосберегающим технологиям стал центральной проблемой
фирм, отраслей, государств.
Цены на другие товары. Изменение цен на другие товары также способны
сместить кривую предложения продукта. Объем предложения данного товара зависит
от цен всех других товаров.
Товары могут находиться между собой в отношении взаимодополняемости и
взаимозаменяемости как в производстве, так и в потреблении. Снижение цены на
один товар может побудить производителя производить и предлагать к продаже
больше другого товара по каждой из возможных цен.
Налоги. Предприятия рассматривают налоги как издержки производства.
Поэтому увеличение налогов на продажи или на собственность увеличивает издержки
производства и сокращает предложение. Государство, осуществляя законодательную
деятельность, устанавливает тем самым правила поведения экономических агентов.
Налоговая политика должна разрабатываться не только исходя из интересов
формирования государственного бюджета, но и с целью оказания того или иного
влияния на производство товаров.
Число продавцов. При данном объеме производства каждого предприятия чем
больше число поставщиков, тем больше рыночное предложение.
По мере вступления в отрасль большего количества фирм кривая предложения
станет смещаться вправо.
Ожидания. Ожидания изменений цен продукта в будущем также могут повлиять
на желание производителя поставлять продукт на рынок в настоящее время:
попридержать его или выбросить как можно больше. Это известно каждому нашему
человеку.
рыночный равновесный цена спрос
РАЗДЕЛ 2. Рыночное равновесие
.1 Равновесная цена и равновесный объем
Выше были рассмотрены спрос и предложение по отдельности. Теперь
предстоит объединить эти две стороны рынка. Взаимодействие спроса и предложения
порождает равновесную цену и равновесный объем или рыночное равновесие.
Иными словами, рыночное равновесие - это положение на рынке, при котором
спрос на товар равен его предложению.
Совместим линии спроса и предложения на одном графике рис.2.1. и
покупателю и продавцу выгодно совершать сделки лишь в зоне, расположенной под
кривой спроса, но над кривой предложения. Данная зона демонстрирует все
возможные на данном рынке ситуации обмена. Это и есть рынок одновременно как
продавцов, так и покупателей. Любая точка, принадлежащая данному пространству,
может выражать сделку купли-продажи. Причем все точки, кроме одной, в этой зоне
характеризуют неоптимальные условия обмена, то есть такие условия, которые
больше выгодны для одной из сторон торговой сделки. И лишь точка E, которая лежит на пересечении спроса
и предложения, иллюстрирует ситуацию, максимально выгодную как для продавца,
так и для покупателя одновременно. Данная точка E на пересечении спроса и предложения называется точкой
равновесия. Точка PE - цена, при
которой спрос и предложение находятся в равновесии в результате действия
рыночных конкурентных сил. Точка QE -
величина товарной массы, при которой спрос и предложение находятся в равновесии
в результате действия рыночных конкурентных сил.
Рис.2.1.
Рыночное равновесие
Рассмотрим подробнее равновесную цену и равновесный объем.
Равновесная цена является одним из механизмов установления рыночного
равновесия. Равновесная цена - это цена, при которой объем спроса равен объему
предложения, иначе говоря, это единственная цена, соответствующая условию:
PE = PD = PS
При данной цене на рынке устанавливается и равновесное количество
предлагаемых на рынке товаров: QE = QD = QS
Равновесная цена выполняет важнейшие функции:
· информационную - ее величина служит ориентиром для всех субъектов рынка;
· нормирующую - она нормирует распределение товаров, давая
сигнал потребителю о том, доступен ли ему данный товар и на какой объем
предложения товара он может рассчитывать при данном уровне дохода. Одновременно
она воздействует на производителя, показывая, сможет ли он окупить свои расходы
или ему следует воздержаться от производства. Тем самым нормируется спрос
производителя на ресурсы;
· стимулирующую - она вынуждает производителя расширять или
сокращать производство, менять технологию и ассортимент, чтобы издержки
«уложились» в цену и осталась еще какая-то прибыль.
Чтобы окончательно определить понятие рыночного равновесия нужно
рассмотреть его свойства.
Существование и единственность равновесия
Из выше сказанного неявно предполагались следующие допущения:
· на рынке отдельного товара равновесие существует;
· равновесие существует только при единственном сочетании
значений цены и объема.
Однако можно привести примеры, в которых эти допущения нарушаются:
· Объем предложения и объем спроса не равны между собой при любом
неотрицательном значении цены;
· Существует более чем одно сочетание цена-объем, при котором достигается
равновесие на рынке.
Рассмотрим существование равновесия на рынке. Оно возможно, если имеется
одна или более неотрицательных цен, при которых объемы спроса и предложения
равны и неотрицательны. При графическом изображении это означает, что
равновесие будет существовать, если линия спроса и предложения имеют, по
крайней мере, одну общую точку.
На рис.2.2 изображены две ситуации, в которых линии спроса и предложения
не имеют общих точек.
На рис.2.2 а) объем предложения превышает объем спроса при любой
неотрицательной цене.
На рис.2.2 б) цена спроса меньше цены предложения при любом неотрицательном
объеме выпуска; сумма денег, которую потребители готовы заплатить за данный
товар недостаточна, чтобы компенсировать затраты на его производство.
Производство такого товара технологически вполне возможно, но экономически
нецелесообразно.
Рис.2.2. Объем предложения превышает объем спроса при любой
неотрицательной цене а); цена предложения превышает цену спроса при любом
неотрицательном объеме б)
Перейдем к рассмотрению вопроса о единственности равновесия.
На рис.2.3 а) линия спроса имеет нормальный вид, то есть характерный
отрицательный наклон. В то же время линия предложения меняет знак наклона при
росте цены, что приводит к существованию двух положений равновесия - в точках E1 и E2.
На рис.2.3 б) представлен случай, когда кривые спроса и предложения
совпадают в отрезке NM. Равновесие на
рынке достигается при любой цене в диапазоне от P1 до P2 и
равновесном объеме QE. Изменение цены
в указанном диапазоне недостаточно чувствительно, чтобы вызвать у потребителей
изменение объема спроса, а у производителей - изменение объема предложения.
На рис.2.3 в) кривые спроса и предложения также имеют общий отрезок: в
этом случае равновесие устанавливается при любом объеме в интервале от Q1 до Q2 и равновесной цене PE. Изменение объема в этом интервале не вызывает изменения
цены спроса и равной ей цене предложения.
Рис.2.3. Неединственность равновесия. а) линия спроса и предложения имеют
две общие точки; б) линия спроса и предложения имеют общий отрезок; в)
равновесие устанавливается при любом объеме в интервале от Q1 до Q2
Определив свойства равновесия необходимо установить, является ли
равновесие устойчивым или подвержено изменениям.
2.2 Существование и единственность рыночного
равновесия
Устойчивое равновесие достигается тогда, когда отклонение цен спроса от
цен предложения постепенно погашается, стремясь к равновесной цене PE, а объем предложения
приспосабливается к объему спроса. В точке равновесия цена спроса совпадает с
ценой предложения (PD = PS) и объем спроса равен объему
предложения (QD = QS). Равновесие может быть устойчивым и неустойчивым, локальным
и глобальным. Устойчивое равновесие, в свою очередь, бывает абсолютным и
относительным. Отложим на оси абсцисс время T, а на оси ординат цену P. Когда отклонения от равновесной цены (например, P1,P2) постепенно выравниваются на
уровне PE, на рынке складывается устойчивое
равновесие. Абсолютное равновесие имеет место в случае установления единой
равновесной цены рис.2.4 а), относительное - при небольших отклонениях от нее
рис.2.4 б).
Если равновесие достигается лишь в определенных пределах колебания цены,
то говорят о локальной устойчивости. Но при этом рис. а) устойчивость
достигается лишь в интервале от P2 до P3. Если же равновесие устанавливается
при любых отклонениях цен от равновесной цены рис.2.4 б), то устойчивость носит
глобальный характер.
Рис.2.4. Локальная а) и глобальная б) устойчивость равновесия
Анализ рыночного равновесия с точки зрения его устойчивости требует
определенного представления о том механизме, посредством которого
устанавливается равновесие на рынке. По-разному понимали действие этого
механизма два крупнейших экономиста - Л. Вальрас и А. Маршалл.
2.3 Причины и механизмы сдвигов рыночного
равновесия
Изменения в рыночном равновесии происходят вследствие изменений неценовых
факторов.
· Реакция рынка на изменение спроса D рис.2.8 а) ;
Предположим, что объем предложения возрастает. Значит, возрастает спрос
на данный товар. Дефицит QE1QE2 продукта Q при цене PE 1
повысит цену до PE 2 в результате
установится новое равновесие в точке E2 .
· Реакция рынка на изменение предложения рис.2.8 б):
Предположим, что в результате применения новых технологий сократились
издержки производства у производителей и как следствие, возросло предложение
товара Q на рынке. Излишек E1B предложение товара при Q при цене PE1
вызовет падение цены до PE2. в
результате установится новое равновесие в точке E2. размеры изменения цены при изменении отраслевого спроса
(предложения) зависят от величины сдвига линии D (S) и наклона
графиков D и S.
· При одновременном движении спроса и предложения. (если растет
доход потребителей и сокращаются издержки у производителей) возможно цена
равновесия PE и не изменится, но равновесный объем
продаж непременно увеличится.
2.4 Государственное
регулирование
Вмешательство внешних сил в действие закона спроса и
предложения может влиять на сформировавшееся рыночное равновесие. Одним из
рычагов регулирования рыночной системы, не нарушающим закона спроса и
предложения, являются налоги. Они не изменяют условий протекания рыночных
процессов и не ограничивают свободы действий рыночных субъектов. Однако как
потребители, так и производители товаров воспринимают увеличение налогов крайне
отрицательно, поскольку любой налог, прямой или косвенный, непременно
включается в цену продаваемого товара. Рост цены, неизбежно следующий за
увеличением налога, вызывает снижение как потребительских покупок, так и
предложения товаров, облагаемых налогом. Графически
эту ситуацию можно представить следующим образом. В результате введения нового
налога или увеличения процентных ставок уже существующих налогов кривая
предложения S1 переместится влево и вверх на величину налога T,
поскольку для получения прежней выручки продавец теперь вынужден запрашивать
большую цену за товар. В ответ на это сокращение предложения точка рыночного
равновесия переместится вдоль кривой спроса из положения Е1 вплоть до
пересечения с новой кривой предложенияS2, т. е. в точку Е2. В
результате на рьшке установится новое равновесие, при котором объем товара
снизится с Q1 до Q2 а цена возрастет с Р1 до Р2
(рис. 2.5).
Рис.
2.5. Последствия введения налога
Несмотря на то что формально налог в государственный
бюджет вносит непосредственно производитель или продавец товаров, однако
большая его часть перекладывается на потребителей, покупающих товары,
облагаемые налогом.
Противоположный результат достигается при
предоставлении субсидии (их можно рассматривать как отрицательные налоги) как
покупателю, так и продавцу.
Смещение кривых спроса и предложения на величину
субсидии G будет противоположно их смещению при налогообложении.
Например, получение субсидии продавцом будет
равнозначно снижению его издержек и на графике приведет к смещению кривой
предложения вниз на величину G (рис. 2.6), что приведет к увеличению
равновесного количества товара с Q1 до Q2 и одновременно к
снижению равновесной цены с Р1 до Р2.
Рис.
2.6 Последствия введения субсидий
Если же субсидию получит покупатель, то на величину G переместится
кривая спроса, а не кривая предложения.
Равновесные цены, установившиеся на рынке на
определенный момент, в силу разных обстоятельств не всегда устраивают общество.
В этом случае государство может устанавливать
фиксированные цены, которые могут быть как ниже, так и выше равновесных
рыночных цен.
Причинами такого вмешательства обычно выступают
социальные проблемы - неравенство в доходах, низкий уровень жизни населения,
ограниченный доступ к потребительским благам и т. п. Поэтому чаще всего
государственное вмешательство в рыночное ценообразование сводится к принудительному
установлению цены на уровне ниже рыночного равновесия спроса и предложения.
Последствия контроля над ценами, особенно при
длительном их применении, имеют отрицательный эффект как в социальной, так и
экономической сфере. Контроль над ценами приводит к сокращению производства,
нехватке товаров, товарному дефициту. Покупатели такого «регулируемого» товара
сталкиваются с нормированием его распределения теперь уже неценовыми методами:
карточки, очереди, списки и др.
Возникают теневые рынки, где дефицитные товары
продаются по более высоким ценам и, соответственно, становятся еще более
недоступными для социально незащищенных групп населения. Кроме того, теневые
структуры, не платя налоги государству, реально сокращают возможности для
социальной защиты населения и бюджетных отраслей, таким образом, число
неплатежных граждан будет увеличиваться.
С другой стороны, продавцы, не удовлетворенные низкой
государственной ценой, готовы пойти на дополнительные издержки по производству
дефицитного товара и обеспечить необходимую поддержку властей (подкуп
государственных служащих, работников правоохранительных органов и т. д.), что в
свою очередь способствует развитию теневой экономики.
ЗАКЛЮЧЕНИЕ
Из выше сказанного следует, что при характеристике рынка как экономической
категории следует учитывать конкретные формы рыночных отношений, проявляющиеся
в количественных и качественных соотношениях элементов рынка - спроса,
предложения, цены. Эти главные элементы характеризуют конкретные формы
взаимосвязи и количественные пропорции между производством и потреблением.
Действительно, любому акту купли-продажи предшествуют два феномена -
«спрос» и «предложение», величины которых определяют объем сделок и уровень цен
на рынке. А поскольку рыночная экономика есть динамика цен и объема сделок, то
добиваться их желаемого изменения можно, регулируя величину спроса (дохода
потребителей) и величину предложения (прибыль производителей). В данной работе
я также выделил функции и проблемы отечественного рынка.
Итак, в результате взаимодействия рыночного спроса с рыночным
предложением устанавливается цена равновесия, обеспечивающая максимально
возможный при сложившихся планах потребителей и производителей объем продаж на
данном рынке. Только рыночная цена приводит к тому, что на рынке нет ни излишка
продукта, ни его нехватки. Любая цена выше равновесной побуждает продавцов
производить большее количество продукта. Но эта высокая цена отбивает у
потребителей желание купить предлагаемое количество продукта. На рынке
возникает избыточное предложение, превышающее спрос. Избыточное предложение
приводит к снижению цен до уровня равновесных. Любая цена ниже равновесной
влечет за собой возникновение нехватки продукта. На рынке возникает
неудовлетворенный спрос, превышающий предложение. А он в свою очередь ведет к
повышению цен, которое будет продолжаться, пока спрос не станет равным
предложению.
Цены будут расти или падать, пока продавцам и покупателям не удастся
прояснить ситуацию на рынке, т.е. достичь уровня цены, при котором объемы
спроса и предложения на продукт точно совпадают. При осуществлении сделок по
равновесной цене сумма излишков потребителей и производителей достигает
максимума. Установившееся рыночное равновесие нарушается при изменении спроса
или предложения, и начинается процесс приспособления к новому равновесию. В
зависимости от того, что быстрее реагирует на диспропорцию между объемом спроса
и объемом предложения - цена или количество, - различают механизм
приспособления по Вальрасу и по Маршаллу.
Рыночное равновесие можно рассматривать лишь относительно фиксированной
единицы времени. В каждый последующий момент времени рыночное равновесие может
установиться как некоторое новое значение рыночной равновесной цены и
количества продаж товара по этой цене, складывающихся в течение месяца, сезона,
года, ряда лет и т.д.
В конкурентной системе равенство спроса и предложения приводит к
равновесию на всех рынках. И все же равновесная цена может изменяться (точка
равновесия смещается в ту или иную сторону). Некоторые воздействия на рыночное
равновесие цен предвидеть невозможно, влияние других учесть трудно, поскольку
они лишь перемещают точку равновесия, не нарушая законов спроса и предложения.
К числу последних воздействий относится, например, налогообложение. Через
систему налогообложения и дотаций государство воздействует на процесс рыночного
ценообразования и значение равновесной цены. Введение акциза повышает цену
равновесия и уменьшает равновесное количество, а установление дотации на
единицу проданной продукции снижает равновесную цену и увеличивает равновесный
объем продаж. Однако в том и другом случае возникают чистые потери общества,
так как при введении налога сокращение суммарного излишка потребителей и
производителей превышает сумму налоговых поступлений, а при введении дотаций
сумма последних превышает приращение суммарных излишков участников рыночных
сделок.
Государство при чрезмерном вторжении в экономику может деформировать
действие рыночного механизма и лишить производство стимулов к
совершенствованию.
СПИСОК ИСПОЛЬЗОВАННЫХ ИСТОЧНИКОВ
1. Базылев, Н.И. Курс микроэкономики в таблицах и
схемах: Учебное пособие / Н.И. Базылев, М.Н. Базылева. - Мн.: Совр. школа,
2010. - 530с.
2. Баликоев В.З. Общая экономическая теория. / В.З.
Баликоев - М.: Приор, 2007. - 528с.
. Борисов Е.А., Петров А.А., Стерликов Ф.Ф. Экономика:
справочник. М.: 2008. - 455 с.
4. Булатов А.С., Экономика. М.: Экономисть, 2005. - 734
с.
5. Вечканов Г.С., Вечканова Г.Р. Микроэкономика. М.:
ПИТЕР,2003. - 416с.
. Войтов А.Г. Экономика: общий курс. / А.Г. Войтов -
М.: ИВЦ «Маркетинг», 2008. - 493с.
7. Вэриан Х.Р. Микроэкономика. Промежуточный уровень.
(перевод с англ. под ред. Фроловой Н.Л.) М.: ЮНИТИ, 2001.- 767с.
8. Гальперин В.М., Игнатьев С.М., Моргунов В.И.
Микроэкономика. СПб.: Экономическая школа, 1997. - 497с.
. Гальперин В. М., Игнатьев С. М., Моргунов В. И.
Микроэкономика. Институт "Экономическая школа", Санкт-Петербург,
2010. - 512с.
. Гусейнов, Р.М. Микроэкономика: Учебник для
бакалавров / Р.М. Гусейнов -, В.А. Семенихина. - М.: Омега Л, 2012.
. Джуха В.М., Панфилова Е.А. Микроэкономика. Ростов
н/Д.: МарТ, 2004. - 364с.
. Иохин В.Я. Экономическая теория. / В.Я. Иохин - М.:
Юрист, 2007. - 864с.
. Киреев, А.П. Микроэкономика для продвинутых: задачи
и решения: Учебное пособие / А.П. Киреев, П.А. Киреев. - М.: Вузовский учебник,
ИНФРА-М, 2013. - 160с.
. Кураков Л.П., Яковлев Г.Е. Курс экономической
теории. М.: Гелиос АРВ, 2005. - 337с.
. Курс экономики: Учебник / Под ред. Б.А. Райзберга. -
М.: ИНФРА-М, 2006.- 720с.
. «Курс экономической теории», Чепурина М.Н, Киселева
Е.А и др., 6-е издание.- Киров: «АСА», 2009.- 848 с.
. Мэнкью, Н.Г. Микроэкономика / Н.Г. Мэнкью, М.
Тейлор; Пер. с англ. А.П. Смольский. - СПб.: Питер, 2013. - 544с.
18. Розанова, Н.М. Микроэкономика. Руководство для будущих
профессионалов: Учебник для бакалавров / Н.М. Розанова. - М.: Юрайт, ИД Юрайт,
2013. - 985с.
19. Экономика. / Под редакцией А.И. Архипова, А.Н.
Нестеренко, А. К. Большакова. - М.: ПРОСПЕКТ, 2008.-792 с.
20. «Экономикс», Сломан Дж. Пер. с англ. с 5-го изд. Под
ред. Лукина С.В.-СПб.: Питер, 2005.- 832с.