Промышленные выбросы в атмосферу
ВВЕДЕНИЕ
Актуальность темы исследования. До определенного
этапа развития человеческого общества, в частности индустрии, в природе
существовало экологическое равновесие, т.е. деятельность человека не нарушала
основных природных процессов или очень незначительно влияла на них.
Экологическое равновесие в природе с сохранением естественных экологических
систем существовало миллионы лет и после появления человека на Земле. Так
продолжалось до конца XIX в. Х век вошел в историю как век небывалого
технического прогресса, бурного развития науки, промышленности, энергетики,
сельского хозяйства. Одновременно как сопровождающий фактор росло и продолжает
расти вредное воздействие индустриальной деятельности человека на окружающую
среду. В результате происходит в значительной мере непредсказуемое изменение
экосистем и всего облика планеты Земля.
Как известно, без пищи человек может прожить
десятки дней, без воды - несколько дней, а без воздуха - всего несколько минут.
В воздух выбрасывается колоссальное количество
золы, пыли, оксидов серы, азота, углерода, а так же много фосфора, фтора,
мышьяка, ртути, селена, бора, радионуклидов и суперэкотоксикантов.
Источники загрязнения атмосферы классифицируются
следующим образом: По назначению - технологические, вентиляционные и дымовые
выбросы; По режиму работы - высокие (трубы), низкие, наземные; По
геометрической форме - точечные и линейные;
Работа по снижению вредных выбросов в атмосферу
ведется в двух направлениях: собственно очистка дымовых газов и устранение (по
возможности) причин образования вредных выбросов.
Целью исследования является изучение и
рассмотрение промышленных выбросов в атмосферу.
Для достижения поставленной цели были решены
следующие задачи:
изучить влияние промышленности на загрязнение
воздуха;
исследовать защиту атмосферного воздуха;
определить условия спуска сточных вод.
Объектом исследования являются промышленные
выбросы.
Предмет исследования - технологические, дымовые
и вентиляционные выбросы и их классификации. Механические методы очистки
газовых выбросов.
Методы исследования: обобщения,
системно-структурный, логический, аналитический.
Научная новизна исследований состоит в том, что
автором изучена проблема промышленных выбросов. В связи с этим для ликвидации
промышленных выбросов предложен механический метод очистки газовых выбросов,
техническое обезвреживание вредных выбросов которое позволит реализовать
экологические аспекты, а именно механическую очистку газов от загрязнений
кардинально улучшит состояние воздуха за счет комбинированных методов.
Практическая значимость заключается в том, что в
курсовом проекте в качестве мероприятий по улучшению очистки газовых выбросов
сбрасываемых на предприятиях предлагаются конкретные методы очистки от
загрязнения воздуха.
Структура курсовой работы: курсовая работа состоит
из введения, трех глав, заключения и списка используемой литературы. Содержит 5
рисунков и 5 таблиц.
В первой главе изучено влияние промышленности на
загрязнение воздуха.
Во второй главе осуществлён расчет выбросов в
атмосферном воздухе.
Третья глава посвящена определению условий
спуска сточных вод.
Результаты исследования обобщены в заключении.
1. ВЛИЯНИЕ ПРОМЫШЛЕННОСТИ НА
ЗАГРЯЗНЕНИЕ ВОЗДУХА
.1 Технологические и вентиляционные
выбросы
Окружающий человека атмосферный воздух
непрерывно подвергается загрязнению. Воздух производственных помещений
загрязняется выбросами технологического оборудования или при проведении
технологических процессов без локализации отходящих веществ.
Людям, живущим в крупных городах, приходится
дышать воздухом, перенасыщенным ядовитыми веществами, которые выбрасывают в
атмосферу промышленные предприятия. При этом масштабы загрязнения зависят от
размеров предприятия, потребляемого сырья. Особенно сильно влияют на
загрязнение воздуха предприятия черной и цветной металлургии, химии и
нефтехимии, энергетики, топливной промышленности [1].
Наряду с развитием промышленности происходит
постоянное увеличение загрязненности атмосферного воздуха. Предприятия в воздух
выбрасывают тысячи тонн, химических соединений - это сажа, диоксид серы,
аммиак, формальдегиды, диоксиды серы и азота и другие вещества [2].
Технологические выбросы пыли и дымовых газов
отслеживаются при сушке и обжиге сырья и изделий, выбросы пыли - при дроблении,
помоле, рассеве, смешении и транспортировке огнеупорных материалов. Наибольшее
число пыли и газов выдается при обжиге огнеупорного сырья [3].
При обжиге глины на шамот число пыли в отходящих
газах составляет при загрузке влажного сырья 15, сухого до 85 г/м. С
увеличением эффективности печи на 30 % оглавление пыли в отходящих газах
нарастает приблизительно в 2 раза. При обжиге доломита во вращающихся печах
насыщенность пыли в отходящих газах составляет 40-75, магнезита 40- 85 г/м.
Выбросы пыли из шахтных печей гораздо ниже, чем из вращающихся, и ее
насыщенность в отходящих газах составляет 5-15 г/м. Пылеунос из вагранок еще
ниже, насыщенность пыли в отходящих газах составляет 5-8 г/м. Наивысшее число
пыли образуется при обжиге магнезитов
При обжиге огнеупорных изделий в разных печах
происходит насыщение газовой среды компонентами связующих, парами оксидов;
существенное число пыли образуется при перемещении изделий в печи и их
растрескивании [4].
Удаляемый из помещения вентиляционный воздух
может стать причиной загрязнения атмосферного воздуха промышленных площадок и
населённых мест. Кроме того, воздух промышленных площадок и населённых мест
загрязняется технологическими выбросами цехов, транспортных средств и других
источников [5].
Воздух жилых помещений загрязняется продуктами
сгорания природного газа и других топлив, испарениями растворителей, моющих
средств, древесно-стружечных конструкций и т.п., а также токсичными веществами,
поступающими в жилые помещения с приточным вентиляционным воздухом. В летний
период года при средней наружной температуре 20 °С в жилые помещения проникает
около 90% примесей наружного воздуха, а в переходный период при температуре 2,5
°С - 40%. Номенклатура токсичных примесей в воздухе производственных помещений
и в технологических выбросах промышленного объекта определяется совокупностью технологических
процессов, видом используемого сырья и материалов, характеристиками применяемых
машин и оборудования [6].
Средства защиты атмосферы должны ограничивать
наличие вредных веществ в воздухе среды обитания человека на уровне не выше
ПДК. Соблюдение этого требования достигается локализацией вредных веществ в
месте их образования, отводом из помещения или от оборудования и рассеиванием в
атмосфере. Если при этом концентрации вредных веществ в атмосфере превышают
ПДК, то применяют очистку выбросов от вредных веществ в аппаратах очистки,
установленных в выпускной системе. Наиболее распространены вентиляционные,
технологические и транспортные выпускные системы.
Аппараты очистки вентиляционных и
технологических выбросов в атмосферу делятся на: пылеуловители (сухие,
электрические, фильтры, мокрые); туманоуловители (низкоскоростные и
высокоскоростные); аппараты для улавливания паров и газов (абсорбционные,
хемосорбционные, адсорбционные и нейтрализаторы); аппараты многоступенчатой
очистки (уловители пыли и газов, уловители туманов и твёрдых примесей,
многоступенчатые пылеуловители). Их работа характеризуется рядом параметров.
Основными из них являются активность очистки, гидравлическое сопротивление и
потребляемая мощность [7].
1.2 Дымовые выбросы
При сжигании различных топлив, наряду с
основными продуктами сгорания (СO2, Н2O и N2), в атмосферу поступают
загрязняющие твердые (зола и сажа), а также газообразные токсичные вещества, а
именно: сернистый и серный ангидриды (SO2 и SO3), окислы азота (N0 и N02), фтористые
соединения и соединения ванадия. В случае недостаточно полного сгорания топлива
в топках уходящие газы могут содержать окись углерода СО, углеводороды СН4,
С2Н4, а также канцерогенные углеводороды [8].
Все продукты неполного сгорания и выбросы загрязняющих
и токсичных веществ с дымовыми газами в атмосферу являются вредными, однако при
современной технике сжигания топлива их образование можно предотвратить или
свести к минимуму; то же относится и к содержанию окислов азота в уходящих
газах. Из всех окислов азота наиболее часто в дымовых газах содержится окись NO
и двуокись NO2, причем двуокись является наиболее стойким продуктом. Высшие
окислы - N2O2, N2O4 и N2O5 - существуют в атмосферных условиях только при
низких температурах [9].
Состав дымовых выбросов.В состав коптильного
дыма входит более 1000 индивидуальных органических соединений, из которых в
настоящее время идентифицировано около 300. Важнейшими классами химических
соединений, обнаруженных в дыме, являются фенолы, кислоты, карбонильные соединения,
спирты, эфиры, амины и другие различные соединения.
При проектировании новых и реконструкции
действующих котельных установок должны быть предусмотрены мероприятия,
обеспечивающие очистку дымовых газов от золы с тем, чтобы концентрация ее в
приземном слое атмосферного воздуха не превышала заданной величины. Выбор типа
золоуловителей производится в зависимости от требуемой степени очистки,
возможных компоновочных решении, технико-экономического сравнения вариантов
установки золоуловителей различных типов. Степень очистки дымовых газов от золы
должна быть не менее 90% [10].
При повышенном требовании к очистке выбросов в
атмосферу в качестве золоуловителей применяются: электрофильтры - со степенью
очистки газов 96%; мокрые золоуловители типа скруббера с трубой Вентури - со
степенью очистки газов до 97-98%. Применение мокрых золоуловителей не
допускается, если общее содержание окиси кальция в летучей золе более 20%, а
произведение Aпр· (CaOCВ) меньше 6, из-за опасности образования карбонатных
отложений в орошающих устройствах. Для топлив с СаОоб в летучей золе выше 20%
применение мокрого золоулавливания исключается.
Газоходы перед и после золоуловителей, их
компоновкa должны обеспечивать равномерную раздачу дымовых газов по аппаратам
при минимальном сопротивлении газового тракта и исключать отложения в них золы
[11].
Сухие золоуловители при улавливании золы,
склонной к схватыванию или налипанию на стенках, должны иметь теплоизоляцию,
обеспечивающую температуру стенок бункеров не менее, чем на 15 ºС
выше точки росы дымовых газов.
Мокрые золоуловители могут применяться при
температурах от 130 до 200°С. Температура дымовых газов за мокрыми
золоуловителями при любых режимах работы котлов должна превышать температуру
точки росы газов по водяным парам не менее чем на 15° [12].
Электрофильтры могут применяться для очистки
дымовых газов с температурой, превышающей температуру точки росы на 5°С и до
250°С.
Температура и влагосодержание дымовых газов,
поступающих, в электрофильтры, должны обеспечивать возможность высокоэффективной
очистки газов от золы сжигаемого топлива с учетом ее электрофизических свойств.
Одним из перспективных путей снижения вредных
веществ в атмосферу с дымовыми газами от котельных, работающих на твердом
топливе, является совмещение процессов сжигания топлива с процессом улавливания
серы и понижения концентрации окислов азота в одном устройстве. Таким
устройством является котлоагрегат с псевдоожиденным слоем, работающий при
низких температурах до 900-950°С, именуемый топкой кипящего слоя. Важной особенностью
указанного метода сжигания является то обстоятельство, что его можно
использовать как в новом строительстве, так и при реконструкции действующих
котельных. В топках кипящего слоя возможно сжигание низкокачественных углей
[13].
1.3 Механические методы очистки
газовых выбросов
Атмосфера оказывает интенсивное влияние не
только на человека и биоту, но и на гидросферу, почвенно-растительный покров,
геологическую среду, здания, сооружения и другие техногенные объекты.
К загрязнениям относятся вещества, содержащиеся
в атмосфере в концентрациях, которые могут оказывать неблагоприятное
воздействие на человека и его окружающую среду [14].
Очистка промышленных газообразных выбросов,
содержащих токсичные вещества, является обязательным требованием во всех производствах.
Дисперсные и газовые загрязнители часто являются следствием одних и тех же
производственных процессов, совместно перемещаются в коммуникациях, узко
взаимодействуют в очистных агрегатах и атмосфере, коллективно наносят урон
окружающей среде и человеку. Следственно нужно рассматривать каждый комплекс
присутствующих в технологическом выбросе загрязнителей. Невозможно принимать за
средство чистки запыленных газов пылеосадительное устройство, выбрасывающее в
атмосферу пагубные газообразные вещества. Недопустимы и такие средства, в
которых обезвреживание начальных газовых загрязнителей сопровождается
образованием и выбросом ядовитых туманов и дымов других веществ.
При очистке выбросов от газовых загрязнений
приходится решать одновременно ряд проблем, связанных с тем, что в выбросах,
содержащих вредные пары и газы, находятся также аэрозоли - пыль, сажа; выбросы
в ряде случаев нагреты до высоких температур, загрязнения, содержащиеся в них,
многокомпонентные, и их необходимо подвергать различным методам очистки, расход
выбросов по времени непостоянен, изменяется концентрация в них различных
вредных веществ и т.д. [15].
Процесс обеспыливаня воздуха включает три
основных элемента: пылеулавливание, пылеочистку и рассеивание пыли. Каждый из
этих элементов может быть реализован различными способами, которые определяются
характером направленных внешних воздействий на пылевой аэрозоль. Далее следует
краткая характеристика основных методов очистки от аэрозольных примесей.
Сухие методы очистки. Сухие пылеуловители делятся
на гравитационные, инерционные, фильтрационные и электрические. По некоторым
особенностям их действия или основному конструктивному признаку группы
пылеуловителей делятся на подгруппы, а в зависимости от специфики
конструктивного оформления на типы аппаратов.
Гравитационное осаждение. Гравитационные
пылеуловители - пылеосадочные камеры, в которых выпадение частиц из газового
потока происходит под действием силы тяжести. Существуют полые и полочные
камеры. Полки в камерах устанавливают с целью осаждения более тонких частиц или
чтобы иметь возможность увеличить скорость и, соответственно, расход газа в
сечении камеры без снижения степени очистки. В гравитационных пылеуловителях
выделение взвешенных частиц из газообразной среды происходит главным образом
под действием силы тяжести (рисунок 1).

Рисунок 1 - Пылеосадительные камеры. Полая (а) и
полочная (б) пылеосадочные камеры: 1 - направляющие лопасти; 2 - полки; 3 -
шнек; 4 - пылевой затвор; 5 - бункер
Инерционное осаждение. Инерционное осаждение
основано на том, что частицы аэрозоля и взвешивающаяся среда в виду
значительной разности плотностей обладают различной инерцией. При инерционном
осаждении поток аэрозоля, перемещающийся со значительной скоростью, изменяет
направление движения. Движущиеся в потоке аэрозольные частицы вследствие
большой инерции не следуют за потоком, а стремятся сохранить первоначальное
направление движения, двигаясь в котором оседают на стенках, перегородках,
сетках и других элементах аппарата. При обтекании твердого тела (или капли)
запыленным потоком частицы вследствие большей инерции продолжают двигаться
поперек изогнутых линий тока газов (рисунок 1.) и осаждаются на поверхности
тела (капли). Коэффициент эффективности инерционного осаждения определяется
долей частиц, покинувших поток при изменении направления вследствие обтекания
различного рода препятствий (рисунок 2.) [17].
Рисунок 2 - Осаждение частиц на шаре (капле)
Инерционная сепарация может происходить в криво-
и прямолинейных потоках. При теоретическом рассмотрении циклонной сепарации
обычно принимали, что тангенциальная составляющая скорости движения частицы
совпадает со скоростью среды, и определяли радиальную составляющую ее
относительной скорости, возникающую под действием центробежной силы в
зависимости от скорости воздуха и геометрии циклона [18].
Осаждение под действием центробежной силы.
Данный метод основан на том, что сто при криволинейном движении пылегазового
потока под действием возникающих центробежных сил частицы аэрозоля
отбрасываются на периферию аппарата и осаждаются. Этот метод отделения частиц
аэрозолей от воздуха (газа) значительно эффективнее гравитационного осаждения,
так как возникающая центробежная сила во много раз больше, чем сила тяжести.
Поток запыленного газа подступает в отстойник и
ударяется в верхнюю перегородку, при этом крупные частицы оседают в первом
бункере. Затем поток газов изменяется. Они проходят нижнюю перегородку и снова
изменяют направление, при этом в средний бункер оседают частицы меньших
размеров. Далее газы направляются вверх, и весь процесс повторяется.
Метод фильтрации. Механической фильтрацией газов
называется их очистка от пыли или других мелких частиц при прохождении через
пористые материалы. Эти фильтрующие материалы представляют собой сетку,
образованную или волокнами ткани, или зёрнами каких-либо веществ. При
прохождении газа через такой тканевый фильтр происходит осаждение
присутствующих в нём частиц пыли или жидкости на волокнах фильтрующего
материала, а молекулы газа свободно проникают через его поры. Чем больше
волокон в структуре фильтрующего материала, тем эффективнее работает фильтр.
Однако такое повышение эффективности работы фильтра приводит к увеличению его
сопротивления потоку газа, а это нежелательно [19].
Мокрые методы очистки. Процесс мокрого
пылеулавливания основан на контакте запыленного газового потока с жидкостью,
которая захватывает взвешенные частицы и уносит их из аппарата в виде шлама.
Данный метод основан на различных механизмах контакта газ - жидкость, при
которых происходит удаление частиц из газа, т.е. улавливание:
каплями жидкости, двигающимся через газ;
цилиндрами (обычно твердыми типа проволок);
пленками жидкости (обычно текущими по твердым
поверхностям);
в пузырях газа (обычно поднимающихся в
жидкости);
при ударе газовых струй о жидкие или твердые
поверхности.
В каждом случае частицы отделяются от газа
благодаря одному или нескольким механизмам улавливания: гравитационной
седиментации, центробежному осаждению, инерции и касанию, броуновской
диффузиофорезу, электростатическому осаждению.
Мокрые способы очистки твердых и жидких
аэрозолей имеют существенный недостаток - необходимость отделения уловленного
загрязнителя от улавливающей жидкости. По этой причине мокрые способы следуют
применять только приотсутствие других методов очистки, отдавая предпочтение
способам с минимальным расходом жидкости [20].
Аппараты мокрого пылегазоулавливания. При
очистке газов от частиц пыли и для переработки газообразных отходов с целью
извлечения из них полезных компонентов или их обезвреживания успешно
применяются методы и оборудование, основанные на принципах мокрого
пылеулавливания.
В промышленности используют мокрые пылеуловители
(промыватели) капельного, пленочного и барботажного типов. Конструктивно
аппараты могут быть полыми, тарельчатыми, механического и ударно-инерционного
действия (ротоклоны), а также скоростного типа (трубы Вентури и другие
инжекторы).
Эффективность очистки пыли зависит от размеров
улавливаемых частиц и от других свойств пыли. Необходимость концентрирования
системы жидкость - твердое тело с возвратом очищенной воды на пылеулавливание,
накопление в орошаемой жидкости растворимых компонентов пыли усложняет систему
мокрого пылеулавливания. В общем виде процесс улавливания пыли мокрым методом
представляется как перенос твердой фазы из газовой среды в жидкую и удаление
последней из аппарата вместе с твердой фазой. В зависимости от формы
контактирования фаз способы мокрой пылеочистки можно разделить на: 1 -
улавливание в объеме жидкости; 2 - улавливание пленками жидкости; 3 -
улавливание распыленной жидкостью в объеме газа (рисунок 3) [21].
Рисунок 3 - Схемы основных способов мокрого
пылеулавливания
Электрические методыочистки. Физическая сущность
электроосаждения состоит в том, что газовый поток, содержащий взвешенные
частицы, предварительно ионизируют, при этом содержащиеся в газе частицы
приобретают электрический заряд в поле коронного заряда. Максимальная величина
заряда частиц размером более 0.5 мкм пропорциальна квадрату диаметра частиц, а
частиц размером меньше 0.2 мкм - диаметру частиц.
Ионизация газа осуществляется двумя путями:
самостоятельно - при достаточно высокой разности
потенциалов на электродах;
несамостоятельно - в результате воздействия
излучения радиоактивных веществ и рентгеновских лучей.
Для реализации метода электроосаждения газовый
поток направляется внутрь [23].
Выводы: в первой главе были рассмотрены
технологические, вентиляционные и дымовые выбросы, их влияние на загрязнение
атмосферного воздуха и организм человека.
Были представлены механические методы очистки
газовых выбросов: сухие методы очистки, гравитационные пылеуловители,
инерционное осаждение, осаждение под действием центробежной силы и методы
фильтрации. А так же мокрые методы: электрические методы очистки, ионизация
газа, схемы мокрого пылеулавливания.
2. ЗАЩИТА АТМОСФЕРНОГО ВОЗДУХА
.1 Методика расчета рассеивания
вредных выбросов в атмосфере
Исходные данные для расчета: высота трубы, Н, м
- 20 м; температура газового выброса, Тг - 1200С; температура окружающего
атмосферного воздуха, Тв- 250С; диаметр устья источника выброса, D, м - 1,4 м;
средняя скорость выхода газо-воздушной смеси из устья источника выброса, ω0,
м/с - 8 м/с; масса вредного вещества, выбрасываемого в атмосферу, в единицу
времени, М, г/с - 10 г/с; максимально разовая предельно допустимая
концентрация, ПДКм.р., мг/м3 - 0,6 мг/м3; коэффициент, зависящий от
температурной стратификации атмосферы, определяющей условия вертикального и
горизонтального рассеивания вредных веществ в атмосферном воздухе А - 200;
безразмерный коэффициент, учитывающий скорость оседания вредных веществ в
атмосферном воздухе F - 1; безразмерный коэффициент, учитывающий влияние рельефа
местности η - 1.
Выполнение расчета:
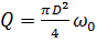
Расчет объемного расхода газо-воздушной смеси,
поступающей от источника в атмосферу осуществлен по формуле (1):
(1)
где π- 3,14-
диаметр устья источника выброса, м;
ωо - средняя
скорость выхода газо-воздушной смеси из устья источника выброса, м/с;
Расчет разности температур выполняется по
формуле (2):
(2)
где
-
температура газового выброса, 0С;
- температура
окружающего атмосферного воздуха, 0С;
(0С )
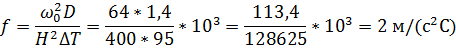
Расчёт коэффициента
,
м/(с2оС), выполняется по формуле (3):
(3)
где ωо
- средняя скорость выхода газо-воздушной смеси из устья источника выброса, м/с;
- диаметр устья источника выброса, м;- высота источника выброса над уровнем
земли, м;
ΔТ - разность между
температурой выбрасываемой газо-воздушной смеси Тг и температурой окружающего
атмосферного воздуха Тв, равной средней температуре самого жаркого месяца в 13
ч, оС;
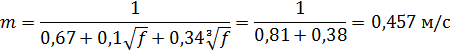
.Безразмерный коэффициент m определяют по
формуле (4):
(4)
где f - коэффициент, м/(с2оС);
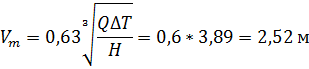
Для нагретых выбросов опасная скорость ветра, Vм
определяется по формуле (5):
(5)
где Q - объемный расход газо-воздушной смеси,
поступающей от источника в атмосферу (м3/с);
ΔТ - разность между
температурой выбрасываемой газо-воздушной смеси Тг и температурой окружающего
атмосферного воздуха Тв, равной средней температуре самого жаркого месяца в 13
ч, оС;- высота источника выброса над уровнем земли, м;
Максимальная концентрация См, мг/м3, вредного
вещества в приземном слое при нагретых газопылевых выбросах через трубы с
круглым устьем для одиночного источника определяется по формуле (6):
(6)
где А - коэффициент, зависящий от температурной
стратификации атмосферы, определяющей условия вертикального и горизонтального
рассеивания вредных веществ в атмосферном воздухе;
М - масса вредного вещества, выбрасываемого в
атмосферу, в единицу времени, г/с;- безразмерный коэффициент, учитывающий
скорость оседания вредных веществ в атмосферном воздухе;,n- безразмерные
коэффициенты, учитывающие условия выхода газо-воздушной смеси из устья
источника выброса;- высота источника выброса над уровнем земли, м;
η - безразмерный
коэффициент, учитывающий влияние рельефа местности;
ΔТ - разность между
температурой выбрасываемой газо-воздушной смеси Тг и температурой окружающего
атмосферного воздуха Тв, равной средней температуре самого жаркого месяца в 13
ч, оС;- объемный расход газо-воздушной смеси, поступающей от источника в
атмосферу (м3/с);
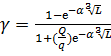
. Безразмерный коэффициент
,
значение которого для нагретых выбросов определяется по формуле (7):
(7)
где Vм - скорости ветра , м/с;- коэффициент,
м/(с2оС);
. Расстояние хм, м, на котором образуется
максимальная концентрация вредных веществ по оси факела, определяется по
формуле (8):
(8)
.Приземные концентрации вредных веществ в
атмосфере на различных расстояниях от источников выброса по оси факела
определяются по формуле (9,10,11):
(9)
(10)
(11)
где:- безразмерная величина, определяемая в
зависимости от отношения х/хм и коэффициента F;

График рассеивания приземных концентраций
представлен в Приложении 1.
.Предельно допустимый выброс вредного вещества в
атмосферу (ПДВ, г/с) рассчитывается по формуле (12):
(12)
где H - высота источника выброса над уровнем
земли, м;- объемный расход газо-воздушной смеси, поступающей от источника в
атмосферу (м3/с);
ΔТ - разность между
температурой выбрасываемой газо-воздушной смеси Тг и температурой окружающего
атмосферного воздуха Тв, равной средней температуре самого жаркого месяца в 13
ч, оС;
А - коэффициент, зависящий от температурной
стратификации атмосферы, определяющей условия вертикального и горизонтального
рассеивания вредных веществ в атмосферном воздухе;- безразмерный коэффициент,
учитывающий скорость оседания вредных веществ в атмосферном воздухе;,n-
безразмерные коэффициенты, учитывающие условия выхода газо-воздушной смеси из
устья источника выброса;
η - безразмерный
коэффициент, учитывающий влияние рельефа местности;

. Минимальная высота Нmin
(10)
где Q - объемный расход газо-воздушной смеси,
поступающей от источника в атмосферу (м3/с);
ΔТ - разность между
температурой выбрасываемой газо-воздушной смеси Тг и температурой окружающего
атмосферного воздуха Тв, равной средней температуре самого жаркого месяца в 13
ч, оС;
А - коэффициент, зависящий от температурной
стратификации атмосферы, определяющей условия вертикального и горизонтального
рассеивания вредных веществ в атмосферном воздухе;- безразмерный коэффициент,
учитывающий скорость оседания вредных веществ в атмосферном воздухе;,n-
безразмерные коэффициенты, учитывающие условия выхода газо-воздушной смеси из
устья источника выброса;
η - безразмерный
коэффициент, учитывающий влияние рельефа местности;
Вывод:
Расчет рассеивания холодных выбросов вредных
веществ в атмосфере в соответствии с «Методикой расчета концентрации вредных
веществ, содержащихся в выбросах предприятий в атмосферу»
2.2 Определение категории опасности
предприятия и размера санитарно-защитной зоны
Для определения категории опасности предприятия
используют данные о выбросах загрязняющих веществ в атмосферу.
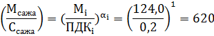
Расчет категории опасности производится по
формуле (11):
(11)
где:- валовый выброс i-того вещества, т/год;
ПДКi - среднесуточная предельно-допустимая
концентрация i-того вещества, мг/м3;количество загрязняющих веществ,
выбрасываемых предприятием;
αi - безразмерная
константа, позволяющая соотнести степень вредности вещества с вредностью
сернистого газа (определяется по таблице 1).
Таблица 1 - Определение константы αi
в зависимости от класса опасности вещества
|
Константа
|
Класс
опасности
|
|
1
|
2
|
3
|
4
|
|
αi
|
1,7
|
1,3
|
1,0
|
0,9
|
При отсутствии ПДК с.с.i используют ПДКм.р.,
ОБУВ или уменьшенные в 10 раз значения ПДКр.з.
Значение КОП рассчитывают при условии, когда
при
9655740,91+900,94769288+57204+75,127+620+27180+17020+6,64+0,64=9758748,27
По величине КОП объекты делят на 4 категории
опасности (таблица 2).
выбросы атмосфера очистка метод
Таблица 2 - Градация деления предприятий на
категории опасности в зависимости от величины КОП
|
категория
опасности предприятия
|
Значение
КОП
|
|
1
|
КОП>105
|
|
2
|
105
≥ КОП > 104
|
|
3
|
104
≥ КОП > 103
|
|
4
|
103
≥ КОП
|
, что соответствует
первому классу опасности.
Предприятия первой и второй категории опасности
представляют собой наибольшую опасность для окружающей среды, к ним необходимо
применять особые требования при разработке нормативов ПДВ (ВСВ) и ежегодном
контроле за их достижением.
Вывод: определение категории опасности
предприятия и размера санитарно-защитной зоны, определение класса опасности по
степени воздействия на организм человека.
2.3 Определение размера и построение
санитарно-защитной зоны предприятия
Санитарно-защитная зона (СЗЗ) - особая
функциональная зона в черте города, которая защищает человека от вредного
воздействия промышленного предприятия и устанавливается в целях снижения уровня
загрязнения атмосферного воздуха до нормативных пределов.
Таблица 3 - Ширина ССЗ в зависимости от
категории опасности предприятия
|
Класс
|
I
|
II
|
III
|
IV
|
|
Ширина
СЗЗ, м
|
1000
|
500
|
300
|
100
|
Кроме нормативной СЗЗ, устанавливаемой по СанПиН
2.2.1/2.2.2.1200-03 «Санитарно-защитные зоны и санитарная классификация
предприятий, сооружений и иных объектов», существует скорректированная СЗЗ в
зависимости от розы ветров.
Роза ветров - это повторяемость направления
ветра в % по 8-румбовой системе (т.е. по восьми возможным направлениям ветра).
Полученные размеры санитарно-защитных зон
уточняются как в сторону увеличения, так и в сторону уменьшения в зависимости
от розы ветров района расположения предприятия.
l = lo * (p/po) (12)
= 1000*
=320
(м)
=1000*
=240
(м)
=1000*
=1680
(м)
=1000*
1440
(м)
=1000*
960
(м)
=1000*
=800
(м)
=1000*
=1360
(м)
=1000*
=400
(м)
Таблица 4 - Исходные данные для определения
границ санитарно-защитной зоны
|
Направление
|
С
|
СВ
|
В
|
ЮВ
|
Ю
|
ЮЗ
|
З
|
СЗ
|
|
р
(%)
|
4
|
3
|
21
|
18
|
12
|
10
|
17
|
5
|
|
lo(м)
|
|
|
l
(м)
|
|
|
|
|
|
|
|
|
|
Р0(%)
|
12,5
%
|
Санитарно-защитная зона, построенная согласно
розы ветров, представлена на рисунке 2 (в Приложении 2). Санитарно-защитная
зона, рекомендованная предприятию, представлена на рисунке 3 (в Приложении 2).
Выводы: максимальная приземная концентрация
загрязняющих веществ- 0,4 мг/м3; расстояние на котором образуется максимальная
концентрация вредных веществ-304,4 м. максимальная концентрация вредного
вещества в приземном слое -15,8 мг/м3г. Нмин - 15,9 м.
Рассчитанный класс опасности предприятия равен -
1.
Размер санитарно-защитной зоны - 1000м.
3. ОПРЕДЕЛЕНИЕ УСЛОВИЙ СПУСКА
СТОЧНЫХ ВОД
.1 Определение концентрации
загрязняющих веществ в воде в контрольном створе
Данные для определения концентрации загрезняющих
веществ в воде в контрольном створе:
,66 ; L=14 -1; Q=70мл; W=0,35м/с; Нс.р=5м ;
g=9,81
/с
;М=22,3; См=42 ; е=2,73 ; ξ
= 1,5
См ацетальдигид-0,05; Бензин-0,002;
Сурьма-0,005; Бор- 0,025
Сф ацетальдигид-0,0; Бензин-0,02; Сурьма-0,03;
Бор-0,032
Найти: n-? Dt-?
a-?
Cр.с∑
Определение концентрации ЗВ в контрольном створе
рассчитывается по формулам:
(13);
(14);
(15);
(16)
≤ ПДКi (17);
(18)
Решение:
Для равнинных рек и упрощенных расчетов
коэффициент турбулентной диффузии находят по формуле М.В. Потапова (14):
=
=0,009м/с
Коэффициент, характеризующий гидравлические
условия смешения, α (15):
= 1,5*1*
=1,5*0,24=0,36
Коэффициент смешения,
γ, показывает,
какая часть речной воды в расчетном створе смешивается со сточной и
рассчитывается по формуле (16):
=
=0,36
Кратность разбавления в водотоке у контрольного
створа выражается зависимостью (13):
=
=39,2
Определение концентраций загрязняющих веществ в
водоеме в расчетном створе,
(17):
≤ ПДКi=
ацетальдигид
=0,002 ПДК=0,2 -
органолептический запах (приложение 1.)
бензин
=0,045
ПДК=0,1- органолептический запах (приложение3.)
сурьма
=0,05
ПДК=0,005- санитарно токсичный (приложение 3.)
бор
=0,05
ПДК=0,5 санитарно токсичный (приложение 3.)
+
=0,01+0,45=0,46≤1
∑=
+
=10+0,1=10,1≥ 1
Вывод: требуются очистные сооружения по
уменьшению содержанию санитарно-токсикологических веществ.
3.2 Расчет необходимой степени
очистки сточных вод по содержанию взвешенных веществ
Данные для определения необходимой степени
очистки сточных вод по содержанию взвешенных веществ: Q=40
/с;
q=1,2
/с;
См=170мг/л; Сф4мг/л;
=0,67; Кразр=0,25
(приложение 4.)
Найти: Соч-? Эвзв-?
Степень очистки сточных вод по содержанию
взвешенных веществ рассчитывается по формулам:
(17);
(19).
Решение: 1. Концентрацию взвешенных веществ в
очищенной сточной воде, разрешенной к сбросу в водный объект, определяют из
выражения:
(20)
Соч=0,25*
+4=9,825
=
*100%=0,94*100%=94%
(21)
Вывод: необходимая степень сточных вод равна
94%.
3.3 Расчет необходимой степени
очистки сточных вод по содержанию растворенного кислорода
Данные для определения степени очистки сточных
вод по содержанию растворенного кислорода:
=26 ;q=1,2 ; Cc.т=0,63; Сф=6,5;
=2.0
=2;
O=4;
=6,5;
=300
Найти:
=?
ЭБПК=?
Решение:
=
*
-
=
*1,7-15
= 108,*1,7-15 = 168,6
Необходимая степень очистки сточных вод:
=
*100%
= 43,8%
Вывод: Содержание кислорода 43,8%.
ЗАКЛЮЧЕНИЕ
В курсовом проекте были представлены три главы.
Первая глава была посвящена влиянию промышленности на загрязнение воздуха.
Здесь были представлены: технологические, вентиляционные и дымовые выбросы их
классификации. Механические методы очистки газовых выбросов.
Были рассмотрены сухие и мокрые методы очистки
газовых выбросов. Сухие подразделены на: гравитационные, инерционные, осаждение
под действием центробежной силы и методы фильтрации.
Мокрый метод основан на механизмах контакта
газ-жидкость при котором происходит улавливание: каплями жидкости, цилиндрами,
пленками жидкости, в пузырях газа, при ударе газовых струй. К аппаратам мокрого
пылеулавливании отнесли: мокрые пылеуловители, капельного, плёночного и
барботажного типов. Конструктивно аппараты могут быть полыми, тарельчатыми,
механического и ударно-инерционного действия (ротоклоны), а так же скоростного
типа (трубы Вентури) и другие.
Вторая глава была посвящена защите атмосферного
воздуха, велись следующие расчеты: рассеивание холодных выбросов вредных
веществ в атмосферу в соответствии с «Методикой расчета концентрации вредных
веществ, содержащихся в выбросах предприятий в атмосферу».
В третьей главе представлены определение условий
спуска сточных вод.
В контрольном створе вода водоема не
соответствует санитарно-гигиеническим требованиям поэтому требуются очистные
сооружения по уменьшению содержанию санитарно токсикологических веществ.
Необходимая степень очистки сточных вод по содержанию взвешенных веществ
составляет -94%. Необходимая степень очистки сточных вод по содержанию
растворенного кислорода составляет -43,8%.
. В первой главе рассмотрены: технологические,
вентиляционные и дымовые выбросы, их влияние на загрязнение атмосферного
воздуха и организм человека. Были представлены механические методы очистки
газовых выбросов: сухие методы очистки, гравитационные пылеуловители,
инерционное осаждение, осаждение под действием центробежной силы и методы
фильтрации. А так же мокрые методы: электрические методы очистки, ионизация
газа, схемы мокрого пылеулавливания.
. В результате выполненной работы была
рассчитана концентрация загрязняющих веществ в приземном слое и построен график
для наглядного просмотра распространения загрязняющих веществ.
. В контрольном створе вода водоема не
соответствует санитарно-гигиеническим требованиям поэтому требуются очистные
сооружения по уменьшению содержанию санитарно токсикологических веществ.
Необходимая степень очистки сточных вод по содержанию взвешенных веществ
составляет -94%. Необходимая степень очистки сточных вод по содержанию
растворенного кислорода составляет -43,8%.
СПИСОК ИСПОЛЬЗОВАННОЙ ЛИТЕРАТУРЫ
1. Калыгин
В.Г., Попов Ю.П. экологическая безопасность и ресурсосбережение. М.: Изд-во
МГАХМ. - 231с.
. Бондарева
Т.И. Экология химических производств. М.: Изд-во МИХМ. - 213с.
. Оборудование,
сооружения, основы проектирования химико-технологических процессов защиты
биосферы от промышленных выбросов/ АИ. Родионов, Ю.П. Кузнецов, В.В. Зенков,
Г.С. Соловьев. М.: Химия, 1985. - 541с.
. Газоочистные
аппараты сухого и мокрого типов. Каталог. М.: ЦИНТИХИМНЕФ-ТЕМАШ,1984.92 - 645с.
. Алешковская
В.В. Вентиляционные и аспирационные установки.
. Кузнецов
Р.К.//Промышленная экология. М.: 1991. -785с.
. Миронов
Н.П. указания по проектированию, изготовлению, монтажу и эксплуатации циклонов
НИИОГАЗ//. Ярославль, 1971. -89с.
. Степанов
Г.Ю. Зицер И.М. Инерционные воздухоочистители. М.: Машиностроение, 1986. -75с.
. В.В.
Алешковская, Б.А. Краюшкин. М.: Агропромиздат, 1986.- 456с.
. Кнут
В.А. Промышленная экология, М.: 1986. 321с.
. Ужов
В.Н., Вальдберг А.Ю., Мягков Б.И. промышленная экология.М.: -521с.
. Кушелев
В.П. Охраны природы от загрязнений промышленными выбросами Текст. / В.П.
Кушелев. М.: Химия, 1979. -845с.
. Батурин
В.В. Основы промышленной вентиляции.М.:МХТИ, 2001-96с.
. Зайцев
В.А. Промышленная экология. М.: МХТИ, 2000.- 32с.
. Охрана
окружающей среды/ C.D. Белоd, Ф.А. Барбинов, А.Ф. Козьяков. М.: 1999.-55с
16. <http://www.ecolo.ru/technology/sistemy/scrubber/>.
17. apostolyuk_co/mokri_pilovlovlyuvachi_yihnya_harakteristika_sfera_zastosuvannya.htm.
18. Страус
В. Промышленная очистка газов. М.: Химия, 1981-41с.
. В.В.
Алешковская, Б.А. Краюшкин. М.: Агропромиздат, 1986. -966с.
. В.В.
Ханжонков. - М.: Профиздат, промышленная экология.1965. -21сю.
. В.М.
Гарин, И.А. Кленова, В.И. Колесников, Промышленная экология, Маршрут,
2005.-31с.
. Оборудование,
сооружения, основы проектирования химико-технологических процессов защиты
биосферы от промышленных выбросов/М.:2012.-15с.
. Алиев
Г.М.-А. Техника пылеулавливания и очистки промышленных газов. М.: МХТИ, 2002.-
38с.
ПРИЛОЖЕНИЕ 1
Предельно-допустимые концентрации вредных
веществ (мг/л) в водных объектах и обобщенный перечень ПДК и ОБУВ для
рыбохозяйственных водоемов
|
Наименование
ингредиента
|
Класс
опасности
|
Водоемы
к/б и х/п назначения
|
Водоемы
p/x назначения
|
|
|
ЛПВ
|
ПДК
|
ЛПВ
|
ПДК
|
|
Алкилсульфаты
|
4
|
органол.
пена
|
0,5
|
санит.-токс.
|
0,2
|
|
Алюминий
|
3
|
0,2
|
токсикол.
|
0,04
|
|
Анилин
|
2
|
санит.-токс.
|
0,1
|
токсикол.
|
0,0001
|
|
Аммиак
|
3
|
санит.-токс.
|
2,0
|
токсикол.
|
0,05
|
|
Ацетальдегид
|
4
|
органол.
запах
|
0,2
|
органолепт.
|
0,25
|
|
Ацетон
|
3
|
общесанит.
|
2,2
|
токсикол.
|
0,05
|
|
Барий
|
2
|
санит.-токс.
|
0,7
|
токсикол.
|
0,74
|
|
Бенз(а)-пирен
|
1
|
санит.-токс.
|
5*10-6
|
-
|
-
|
|
Бензин
|
3
|
органол.
запах
|
0,1
|
рыб
.хоз.
|
0,05
|
|
Бензол
|
2
|
санит.-токс.
|
0,5
|
токсикол.
|
0,5
|
|
Бор
|
2
|
санит.-токс.
|
0,5
|
санит.-токс.
|
0,5
|
|
Бутанол
|
2
|
санит.-токс.
|
0,1
|
токсикол.
|
0,003
|
|
Ванадий
|
3
|
санит.-токс.
|
0,1
|
токсикол.
|
0,001
|
|
Вольфрам
|
2
|
санит.-токс.
|
0,05
|
токсикол.
|
0,0008
|
|
Гексахлоран
|
1
|
органол.
|
0,02
|
токсикол.
|
отсутств
|
|
Гидрохинон
|
3
|
органол.
|
0,2
|
токсикол.
|
0,001
|
|
Диметилсульфид
|
4
|
органол.
запах
|
0,01
|
токсикол.
|
0,00001
|
|
Железо
|
3
|
органол.
цвет
|
0,3
|
токсикол.
|
0,005
|
|
Кадмий
|
2
|
санит.-токс.
|
0,001
|
токсикол.
|
0,005
|
|
Капролактам
|
3
|
общесанит.
|
1,0
|
токсикол.
|
0,001
|
|
Карбамидная
смола
|
4
|
орган.
привкус
|
1,5*
|
токсикол.
|
5,0
|
|
Керосин
технический
|
4
|
органол.
запах
|
0,01
|
рыб
.хоз.
|
0,05
|
|
Кислоты
лигносульфоновые
|
4
|
общесанит.
|
1,0
|
санит.-токс.
|
1,0
|
|
Кислота
уксусная
|
4
|
общесанит.
|
1,0
|
токсикол.
|
0,01
|
|
Кобальт
|
2
|
санит.-токс.
|
0,1
|
токсикол.
|
0,01
|
|
Ксилол
|
3
|
органол.
запах
|
0,05
|
органолепт.
|
0,05
|
|
Лигнин
сульфатный
|
4
|
органол.
окр.
|
5,0
|
-
|
-
|
|
Медь
|
3
|
органол.
|
1,0
|
токсикол.
|
0,001
|
|
Метанол
|
2
|
санит.-токс.
|
3,0
|
санит.-токс.
|
0,1
|
|
Метилмеркантан
|
4
|
органол.
запах
|
0,0002
|
-
|
-
|
|
Молибден
|
2
|
санит.-токс.
|
0,25
|
токсикол.
|
0,001
|
|
Мышьяк
|
1
|
санит.-токс.
|
0,01
|
токсикол.
|
0,05
|
|
Нефть
многосернистая
|
4
|
органол.
пл.
|
0,1
|
-
|
-
|
|
Нефть
прочая
|
4
|
органол.
пл.
|
0,3
|
рыб.
хоз.
|
0,005
|
|
Никель
|
3
|
санит.-токс.
|
0,1
|
токсикол.
|
0,01
|
|
Нитраты
|
3
|
санит.-токс.
|
45,0
|
санит.-токс.
|
40
|
|
Нитриты
|
2
|
санит.-токс.
|
3,3
|
токсикол.
|
0,08
|
|
Нитробензол
|
3
|
санит.-токс.
|
0,2
|
токсикол.
|
0,01
|
|
ПАВ
(ОП-74)
|
4
|
органол.
пена
|
0,1
|
токсикол.
|
0,3
|
|
Пиридин
|
2
|
санит.-токс.
|
0,2
|
токсикол.
|
0,01
|
|
Резорцин
|
3
|
общесанит.
|
0,1
|
токсикол.
|
0,004
|
|
Роданиды
|
2
|
санит.-токс.
|
0,01
|
токсикол.
|
0,09
|
|
Ртуть
|
1
|
санит.-токс.
|
0,0005
|
токсикол.
|
0,00001
|
|
Свинец
|
2
|
санит.-токс.
|
0,03
|
токсикол.
|
0,1
|
|
Стирол
|
3
|
органол.
запах
|
0,01
|
органолепт.
|
0,1
|
|
Сульфаты
|
4
|
орган.
привкус
|
500
|
санит.-токс.
|
100
|
|
Сурьма
|
2
|
санит.-токс.
|
0,005
|
токсикол.
|
0,01
|
|
Таллий
|
1
|
санит.-токс.
|
0,001
|
-
|
-
|
|
Теллур
|
2
|
санит.-токс.
|
0,01
|
токсикол.
|
0,003
|
|
Фенол
|
4
|
органол.
запах
|
0,001
|
рыб.
хоз.
|
0,001
|
|
Формальдегид
|
2
|
санит.-токс.
|
0,05
|
токсикол.
|
0,1
|
|
Фурфурол
|
4
|
органол.
|
0,1
|
-
|
-
|
|
Хлориды
|
4
|
орган.
привкус
|
350
|
токсикол.
|
300
|
|
Хром
(3+)
|
3
|
санит.
-токс.
|
0,5
|
-
|
-
|
|
Хром
(6+)
|
3
|
санит.-токс.
|
0,05
|
санит.-токс.
|
0,001
|
|
Цианиды
|
2
|
санит.-токс.
|
0,1
|
токсикол.
|
0,05
|
|
Цинк
|
3
|
общесанит.
|
1
|
токсикол.
|
0,01
|
|
Этиленгликоль
|
|
санит.-токс.
|
1,0
|
санит.-токс.
|
0,25
|
ПРИЛОЖЕНИЕ 2
Требования к воде водотоков и водоемов
различного назначения
|
Показатели
|
Цели
водопользования
|
|
Хозяйственно-питьевые
нужды населения
|
Коммунально-бытовые
нужды населения
|
Нужды
рыбного хозяйства
|
|
|
|
высшая
и первая категория
|
вторая
категория
|
|
Взвешенные
вещества
|
При
сбросе возвратных (сточных) вод содержание взвешенных веществ в контрольном
створе (пункте) не должно увеличивается по сравнению с естественными
условиями более чем на:
|
|
0,25
мг/дм3
|
0,25
мг/дм3
|
0,75
мг/дм3
|
|
Плавающие
примеси (вещества)
|
На
поверхности воды не должны обнаруживаться пленки нефтепродуктов, масел, жиров
и скопление других примесей
|
|
Окраска
|
Не
должна обнаруживаться в столбике высотой
|
Не
должно быть посторонней окраски
|
|
20
см
|
10
см
|
|
|
Температура
|
Летняя
температура воды в результате сброса сточных вод не должна повышаться более
чем на 3 0С по сравнению со среднемесячной температурой воды самого жаркого
месяца года за последние 10 лет
|
Температура
воды не должна повышаться по сравнению с естественной температурой водного
объекта более чем на 5 0С. Общее повышение температуры не должно превышать
+28 0С летом и +8 0С зимой.
|
|
Водородный
показатель (рН)
|
Не
должен выходить за пределы 6,5 - 8,5
|
|
Минерализация
|
Не
более 1000 мг/дм3, в том числе хлоридов - 350 мг/дм3, сульфатов - 500 мг/дм3
|
Нормируется
по показателю «привкусы»
|
Не
нормируется
|
|
Растворенный
кислород
|
Не
должен быть менее 4 мг/дм3 в любой период года
|
В
зимний (подледный) период должен быть не менее
|
|
|
6
мг/дм3
|
4
мг/дм3
|
|
|
в
летний период (открытый) на всех водных объектах должен быть не менее 6
мг/дм3
|
|
Биохимическое
потребление кислорода (БПК)
|
Не
должно превышать при температуре 20 0С
|
3
мг О2/дм3
|
3
мг О2/дм3
|
|
3
мг О2/дм3
|
5
мг О2/дм3
|
|
|
|
Химические
вещества
|
Не
должны содержаться в концентрациях, превышающих ПДКв
|
|
Возбудители
заболеваний
|
Должны
отсутствовать возбудители заболеваний, в том числе жизнеспособные яйца
гельминтов и жизнеспособные цисты патогенных кишечных простейших
|
|
|
|
|
|
|