Резервы повышения рентабельности организации
МИНИСТЕРСТВО ОБРАЗОВАНИЯ И НАУКИ
РОССИЙСКОЙ ФЕДЕРАЦИИ
Федеральное государственное бюджетное
образовательное учреждение
высшего профессионального образования
"КУБАНСКИЙ ГОСУДАРСТВЕННЫЙ
УНИВЕРСИТЕТ"
(ФГБОУ ВПО "КУбГУ")
Институт начального среднего
профессионального образования
ВЫПУСКНАЯ КВАЛИФИКАЦИОННАЯ РАБОТА
РЕЗЕРВЫ ПОВЫШЕНИЯ РЕНТАБЕЛЬНОСТИ
ОРГАНИЗАЦИИ
Работу выполнил Зейкан О.А.
Специальность "Экономика и бухгалтерский учет"
Научный руководитель
Преподаватель ИНСПО КУБГУ
Кандидат экономических наук Ю.И. Климашова
Нормоконтролер
Преподаватель ИНСПО КУБГУ
Кандидат экономических наук Ю.И. Климашова
Краснодар 2014
Содержание
Введение
1. Теоретические основы резервов повышения рентабельности
организации
1.1 Понятие и виды рентабельности организации
1.2 Показатели рентабельности организации
2. Анализ рентабельности деятельности организации на примере ОАО
"Прогресс"
2.1 Характеристика финансово-хозяйственной деятельности организации
ОАО "Прогресс"
2.2 Факторный анализ рентабельности ОАО "Прогресс"
3. Предложения по оптимизации резервов повышения рентабельности
организации ОАО "Прогресс"
3.1 Оценка резервов повышения рентабельности организации ОАО
"Прогресс"
3.2 Методы повышения рентабельности организации ОАО
"Прогресс"
Заключение
Список использованных источников
Приложения
Введение
Актуальность данной темы обусловлена тем, что резервы
рентабельности на предприятии особенно остра для российских предприятий,
поскольку затяжной экономический кризис, составляющими которого являются
высокие налоги и неплатежеспособность, значительно обесценивают получаемые
прибыли. К тому же оказавшись с начала реформ в условиях "свободного
экономического плавания, предприятия уже не могут полагаться на государственную
поддержку, они все больше действуют в условиях самоокупаемости и
самофинансирования.
Реальное положение в экономике сегодня таково, что из всех
возможных источников инвестирования, реальным для предприятий остается лишь
акционирование и использование части прибыли (так как амортизационные
отчисления сегодня практически не идут на инвестиционные цели, а банковский
кредит пока недоступен, из-за высоких процентных ставок).
Вследствие выше перечисленного, резервы повышения
рентабельности на организации сегодня становится чрезвычайно актуальным.
Объектом исследования выпускной квалификационной работы
является открытое акционерное общество "Прогресс".
Предметом исследования является рассмотрение и изучение
резервов повышения рентабельности организации.
Целью является разработка метода по совершенствованию
резервов рентабельности организации.
Более подробное рассмотрение резервов рентабельности
организации как основного показателя эффективности работы организации.
В современных рыночных условиях этот вопрос является наиболее
актуальным, так как показывает финансовый результат деятельности организации.
Из поставленных в работе целей, вытекают следующие задачи:
исследовать теоретические основы резервов
повышения рентабельности организации;
рассмотреть понятия и виды резервов
рентабельности на организации;
проанализировать показатели рентабельности
организации;
рассмотреть анализ рентабельности
деятельности организации на примере ОАО "Прогресс"
рассмотреть характеристику
финансово-хозяйственную деятельность организации ОАО "Прогресс"
разработать предложения по усовершенствованию резервов
повышения рентабельности организации ОАО "Прогресс".
Выпускная квалификационная работа состоит
из введения трех разделов, заключения, списка использованной литературы и
приложений.
В первой части выпускной квалификационной работы рассматривается
теоретическая часть по теме резервы повышения рентабельности предприятия,
содержит общие теоретические аспекты.
Вторая часть, представляет собой аналитическую часть, которая
содержит анализ изучаемого объекта с определением сильных и слабых сторон, существующие
проблемы, тенденции развития.
Третья часть работы является завершающей и содержит
предложения по улучшению резервов рентабельности организации.
В ходе написания выпускной квалификационной работы были
использованы следующие методы: аналитический метод, метод расчета показателей,
метод группировки, метод сопоставления и сравнения.
1.
Теоретические основы резервов повышения рентабельности организации
1.1 Понятие и
виды рентабельности организации
В экономической литературе дается несколько понятий рентабельности.
Так, одно из его определений звучит следующим образом:
Рентабельность (от нем. rentabel - доходный, прибыльный)
представляет собой показатель экономической эффективности производства на
предприятиях, который комплексно отражает использование материальных, трудовых
и денежных ресурсов.
По мнению других авторов рентабельность - показатель,
представляющий собой отношение прибыли к сумме затрат на производство, денежным
вложениям в организацию коммерческих операций или сумме имущества фирмы. Так
или иначе, рентабельность представляет собой соотношение дохода и капитала,
вложенного в создание этого дохода. Увязывая прибыль с вложенным капиталом,
рентабельность позволяет сравнить уровень доходности предприятия с
альтернативным использованием капитала или доходностью, полученной предприятием
при сходных условиях риска. Более рискованные инвестиции требуют более высокой
прибыли, чтобы они стали выгодными. Так как капитал всегда приносит прибыль,
для измерения уровня доходности прибыль, как вознаграждение за риск,
сопоставляется с размером капитала, который был необходим для образования этой
прибыли. [585 с]
Рентабельность является показателем, комплексно
характеризующим эффективность деятельности предприятия. При его помощи можно
оценить эффективность управления предприятием, так как получение высокой
прибыли и достаточного уровня доходности во многом зависит от правильности и
рациональности принимаемых управленческих решений. Поэтому рентабельность можно
рассматривать как один из критериев качества управления. По значению уровня
рентабельности можно оценить долгосрочное благополучие предприятия, т.е.
способность предприятия получать достаточную прибыль на инвестиции. Для
долгосрочных кредиторов инвесторов, вкладывающих деньги в собственный капитал
предприятия, данный показатель является более надежным индикатором, чем
показатели финансовой устойчивости и ликвидности, определяющиеся на основе
соотношения отдельных статей баланса.
Устанавливая связь между суммой прибыли и величиной
вложенного капитала, показатель рентабельности можно использовать в процессе
прогнозирования прибыли. В процессе прогнозирования с фактическими и ожидаемыми
инвестициями сопоставляется прибыль, которую предполагается получить на эти
инвестиции.
Оценка предполагаемой прибыли базируется на уровне доходности
за предшествующие периоды с учетом прогнозируемых изменений. Кроме того,
большое значение рентабельность имеет для принятия решений в области
инвестирования, планирования, при составлении смет, координировании, оценке и
контроле деятельности предприятия и ее результатов. Таким образом, можно
сделать вывод, что показатели рентабельности характеризуют финансовые
результаты и эффективность деятельности предприятия. Они измеряют доходность
предприятия с различных позиций и систематизируются в соответствии с интересами
участников экономического процесса.
Существует 6 групп рентабельности:
Первая группа показателей показывает соотношение и
формирование эффективности функционирования различных сфер экономики. Ее роль
заключается в обеспечении социально-экономической ориентации, выбора
направлений движения и перелива капитала из малоприбыльных и убыточных сфер в
более доходные. Реальный процесс инвестиций строится на механизме расчета
средних норм рентабельности предпринимательской деятельности с учетом
конкретных специфических особенностей социально-экономического развития того
или иного субъекта. [с 585]
Вторая группа представлена множеством параметров в
зависимости от разнообразия используемых ресурсов экономического субъекта.
Третья группа охватывает параметры рентабельности затрат или
издержек производства и реализации. Показатели могут быть исчислены
применительно к отдельным элементам затрат (потребленные основные средства,
материалы, сырье и так далее) и себестоимости в целом. Наибольшее применение
получили рентабельность изделия и продукции.
Четвертая группа показателей формируется в зависимости от
разновидностей получаемого эффекта-прибыли (убытка). Последняя имеет несколько
видов, в том числе: прибыль одного изделия, прибыль выпуска изделия, прибыль
товарной продукции, прибыль реализованной продукции, прочая прибыль, прибыль
года, чистая прибыль.
Особую роль в финансовом менеджменте играет пятая группа
рентабельности, отражающая различные управленческие фазы предпринимательской
деятельности: плановую, текущую и заключительную. Наибольшие значение и
сложность представляют расчеты плановых показателей. От степени их
обоснованности и достоверности зависят как принятие решения о реализации
инвестиционных проектов, так и конечные результаты предпринимательской
деятельности. Последняя шестая группа показателей рассчитывается в зависимости
от сроков функционирования экономических субъектов: день, неделя, месяц,
полугодие, год. Эти параметры необходимы при финансовом анализе состояния и
перспектив развития как отдельных сторон, так и предпринимательской
деятельности в целом.
Комплексное использование рассмотренных выше параметров
рентабельности должно стать неотъемлемой составной частью финансового
менеджмента всех экономических субъектов. Особенно велика его роль на базовом
уровне экономики - коммерческом предприятии. При этом неотъемлемым условием
полноценного анализа рентабельности в современных условиях является
компьютерная обработка всех социально-экономических и производственных параметров
информационно нормативной системы функционирования организаций. Запас
финансовой прочности предприятия - это разница между достигнутой фактической
выручкой от реализации и порогом рентабельности. [с 352]
Запас финансовой прочности, или кромка безопасности,
показывает, насколько можно сокращать производство продукции, не неся при этом
убытков. Чем выше показатель финансовой прочности, тем меньше риск потерь для
предприятия.
Полная и всесторонняя оценка риска имеет принципиальное
значение при принятии финансовых решений, поэтому в западном финансовом
менеджменте разработаны многочисленные методы, позволяющие с помощью
математического аппарата просчитать последствия предпринимаемых мер. Порог
рентабельности - это такая выручка от реализации, при которой предприятие не
имеет убыток, но еще не имеет и прибыли. Суммы покрытия в точности хватает на
покрытие постоянных затрат, а прибыль равна нулю.
Порог рентабельности ("точка
безубыточности") определяется по формуле:
ПР=Зпост/ ( (ВР-Зпер) /ВР), (1)
где
ПР - порог рентабельности,
Зпост - затраты постоянные,
Зпер - затраты переменные,
ВР - выручка от реализации.
Существует определенное взаимовлияние и
взаимозависимость между затратами, объемом производства и прибыли. Известно,
что при соблюдении всех прочих равных условий темпы роста прибыли всегда
опережают темпы роста реализации продукции. При росте объема реализации
продукции доля постоянных затрат в структуре себестоимости продукции снижается
и появляется "эффект дополнительной прибыли".
Эффектом производственного операционного
рычага называется более быстрое изменение прибыли при изменении выручки от
реализации. Он обеспечивается за счет влияния постоянных затрат в составе общих
расходов на производство и реализации продукции (работ, услуг), которые
остаются неизменными при изменении выручки от реализации. [136c]
Сила воздействия операционного рычага
означает, насколько процентов изменится прибыль при изменении и выручки от
реализации на 1%. Чем больше удельный вес постоянных расходов в общих расходах
на производство и реализацию продукции, товаров (работ, услуг), тем сильнее
действует производственный рычаг, и наоборот.
Сила воздействия операционного рычага
определяется по формуле:
СВОР= (ВР - Зпер) /П, (2)
где
СВОР - сила воздействия операционного
рычага,
ВР - выручка от реализации,
Зпер - затраты переменные,
П - прибыль.
При его помощи можно оценить эффективность
управления предприятием, так как получение высокой прибыли и достаточного
уровня доходности во многом зависит от правильности и рациональности принимаемых
управленческих решений. Поэтому рентабельность можно рассматривать как один из
критериев качества управления. По значению уровня рентабельности можно оценить
долгосрочное благополучие предприятия, т.е. способность предприятия получать
достаточную прибыль на инвестиции.
Для долгосрочных кредиторов инвесторов,
вкладывающих деньги в собственный капитал предприятия, данный показатель
является более надежным индикатором, чем показатели финансовой устойчивости и
ликвидности, определяющиеся на основе соотношения отдельных статей баланса.
Устанавливая связь между суммой прибыли и величиной вложенного капитала,
показатель рентабельности можно использовать в процессе прогнозирования
прибыли. [416 c]
В процессе прогнозирования с фактическими
и ожидаемыми инвестициями сопоставляется прибыль, которую предполагается
получить на эти инвестиции. Оценка предполагаемой прибыли базируется на уровне
доходности за предшествующие периоды с учетом прогнозируемых изменений. Кроме
того, большое значение рентабельность имеет для принятия решений в области
инвестирования, планирования, при составлении смет, координировании, оценке и
контроле деятельности предприятия и ее результатов.
Таким образом, можно сделать вывод, что
показатели рентабельности характеризуют финансовые результаты и эффективность
деятельности предприятия. Они измеряют доходность предприятия с различных
позиций и систематизируются в соответствии с интересами участников
экономического процесса.
Реальный смысл имеют признаки
рентабельности, которые характеризуют эффективность затрат по прибыли,
полученной после реализации. Распределительная функция рентабельности конкретно
проявляется в том, что ее величина является одним из основных критериев для
распределения части прибавочного продукта прибыли.
Показатели рентабельности характеризуют
эффективность работы предприятия в целом, доходность различных направлений
деятельности (операционной, инвестиционной, финансовой). Они более полно, чем
прибыль, характеризуют окончательные результаты хозяйствования, потому что их величина
показывает соотношение эффекта с наличными или потребленными ресурсами. [208 c]
Экономическая сущность рентабельности
может быть раскрыта только через характеристику системы показателей. Общий их
смысл - определение суммы прибыли с одного рубля вложенного капитала. И
поскольку это относительные показатели - они практически не подвержены влиянию
инфляции. В экономической литературе различные авторы по-разному классифицируют
показатели рентабельности.
Одной из таких классификаций является
подразделение на:
) показатели рентабельности хозяйственной
деятельности;
) показатели финансовой рентабельности;
) показатели рентабельности продукции.
Общая рентабельность объединений,
предприятий определяется отношением балансовой прибыли к среднегодовой
стоимости основных производственных фондов и нормируемых оборотных средств.
Фактическая общая рентабельность определяется отношением балансовой прибыли к
фактической среднегодовой стоимости производственных основных фондов и
нормируемых оборотных средств, не про кредитованных банком.
Фактические остатки нормируемых оборотных
средств устанавливаются исходя из их остатка по балансу за вычетом
задолженности поставщикам по акцептованным платежным требованиям, срок оплаты
которых не наступил, и поставщикам по не отфактурованным поставкам, а также
износа малоценных и быстроизнашивающихся предметов и резерва на возмещение
плановых потерь и предстоящих расходов.
Уровень рентабельности зависит не только
от суммы прибыли, но и от фондоемкости производства. На предприятиях, объединения
тяжелой промышленности с высокой фондоемкостью производства уровень
рентабельности по отношению к производственным фондам ниже, чем в объединениях,
на предприятиях легкой и особенно пищевой промышленности. С увеличением суммы
прибыли и уменьшением стоимости основных производственных фондов и нормируемых
оборотных средств рентабельность повышается, и наоборот.
Расчетная рентабельность представляет
собой отношение балансовой прибыли за вычетом платы за производственные фонды,
фиксированных платежей, процентов за банковский кредит, прибыли целевого
назначения (прибыль от реализации товаров широкого потребления, новых товаров
бытовой химии и т.п.), а также прибыли, полученной по причинам, не зависящим от
деятельности объединения, предприятия, к среднегодовой стоимости основных
производственных фондов (за вычетом основных фондов, по которым предоставлены
льготы по плате) и нормируемых оборотных средств. [финансы и анализ 158 с]
При анализе работы объединений,
предприятий, особенно при планировании к оценке рентабельности изделиям, важное
значение имеет рентабельности определяемое как отношение суммы прибыли к полной
себестоимости реализованной продукции.
Показатель рентабельности по изделиям
отражает эффективность затрат живого и овеществленного труда на производство
продукции. В машиностроении и других обрабатывающих отраслях промышленности
рентабельность определяют как отношение прибыли к себестоимости за вычетом
стоимости использованного сырья, топлива, энергии, материалов, полуфабрикатов и
комплектующих изделий. При этом может быть использована формула:
) Расчетный норматив рентабельности к
себестоимости за вычетом материальных затрат.
) Производственные фонды отрасли (под
отрасли) промышленности.
) Норматив рентабельности к
производственным фондам.
) Себестоимость товарной продукции за
вычетом прямых материальных затрат.
Использование показателя нормативной
расчетной рентабельности в обрабатывающих отраслях промышленности обусловлено
высоким удельным весом в себестоимости продукции этих отраслей материальных
затрат, значительными их колебаниями в себестоимости отдельных видов изделий и
широкими возможностями технологической замены используемого сырья, материалов.
При определении норматива расчетной
рентабельности к себестоимости продукции за вычетом стоимости использованных
материальных затрат исключаются из себестоимости продукции в калькуляционном
разрезе только прямые статьи затрат.
Так, в машиностроении из себестоимости
продукции вычитаются статьи затрат:
Сырье и материалы, "Покупные
комплектующие изделия, полуфабрикаты и услуги кооперированных
предприятий", "Топливо и энергия на технологические цели".
Основные пути роста рентабельности
производства - развитие наиболее прогрессивных отраслей, рациональное
размещение объединений, предприятий, повышение удельного веса
специализированного производства, применение современные методов организации
производства и труда в соответствии с требованиями научно-технического
прогресса, ускорение внедрения и освоения новой, более прогрессивной техники,
повышение производительности труда, снижение себестоимости продукции, улучшение
ее качества, усиление режима экономии в расходовании материальных, трудовых и
финансовых ресурсов и повышение материальной заинтересованности работников в
результатах своего труда.
1.2 Показатели
рентабельности организации
Показатели рентабельности характеризуют
финансовые результаты и эффективность деятельности предприятия. Они измеряют
доходность предприятия с различных позиций и группируются в соответствии с
интересами участников экономического процесса, рыночного обмена.
Показатели рентабельности являются важными
характеристиками факторной среды формирования прибыли предприятий. Поэтому они
обязательны при проведении сравнительного анализа и оценке финансового
состояния предприятия.
При анализе производства показатели
рентабельности используются как инструмент инвестиционной политики и
ценообразования
Основные показатели рентабельности можно
объединить в следующие группы
1) показатели рентабельности капитала (активов),
2) показатели рентабельности продукции;
3) показатели, рассчитанные на основе потоков наличных денежных
средств.
Первая группа показателей рентабельности формируется как
отношение прибыли к различным показателям авансированных средств, ид которых
наиболее важными являются; все активы предприятия; инвестиционный капитал
(собственные средства + долгосрочные обязательства); акционерный (собственный)
капитал. Несовпадение уровней и рентабельности по этим показателям
характеризует степень использования предприятием финансовых рычагов для
повышения доходности: долгосрочных кредитов и других заемных средств. [баланс
за 2012год]
Данные показатели специфичны тем, что отвечают интересам все участников
бизнеса предприятия. Например, администрацию рацию предприятия интересует
отдача (доходность) всех активов (всего капитала); потенциальных инвесторов и
кредиторов - отдача на инвестируемый капитал; собственников и учредителей -
доходность акции и т.д.
Каждый из перечисленных показателей легко моделируется по
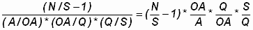
факторным зависимостям. Рассмотрим следующую очевидную зависимость:

, (3)
Эта формула раскрывает связь между рентабельностью всех
активов. рентабельностью реализации и оборачиваемостью активов Экономически
связь, заключается в том, что формула прямо указывает пути повышения
рентабельности при низкой рентабельности продаж необходимо стремиться к
ускорению оборота активов.
Рассмотрим еще одну факторную модель рентабельности.
, (4)
Рентабельность собственного (акционерного) капитала зависит от
изменения уровня рентабельности продукции, скорости оборота совокупного
капитала и соотношения собственного и заемного капитала Изучение подобных зависимостей
имеет большое значение для оценки влияния различных факторов на показатели
рентабельности. Из приведенной зависимости. следует, что при прочих равных
условиях отдача акционерного капитала повышается при увеличении доли заемных
средств в составе совокупного капитала.
Вторая группа показателей формируется на основе расчета уровней и
рентабельности по показателям прибыли, отражаемым в отчетности предприятий
Влияние фактора изменения объема реализации определяется
расчетом (по методу цепных подстановок)
, (5)
Соответственно влияние изменения себестоимости составит
, (6)
Сумма факторных отклонений дает общее изменение
рентабельности в отчетном периоде по сравнению с базисным периодом;
, (7)
Третья группам показателей рентабельности формируется
аналогично первой и второй группам, однако вместо прибыли в расчет принимается
чистый приток денежных средств. Данные показатели дают представление о степени
возможности предприятия расплатиться с кредиторами, заемщиками и акционерами
денежными средствами в связи с использованием имеющего места денежного притока.
Концепция рентабельности исчисляемой на основе притока денежных средств, широко
применяется в странах с развитой рыночной экономикой. Она приоритетна, потому,
что операции с денежными потоками, обеспечивающие платежеспособность, является
существенным признаком состояния предприятия.
рентабельность резерв повышение оптимизация
2. Анализ
рентабельности деятельности организации на примере ОАО "Прогресс"
2.1
Характеристика финансово-хозяйственной деятельности организации ОАО
"Прогресс"
Землепользование хозяйства представляет собой компактный
земельный массив, расположенный в юго-восточной части Кореновского района,
общей площадью 5 тысяч гектаров.
Территория ОАО "Прогресс"входит в первый
агроклиматический район, характеризующийся недостаточным увлажнением.
Часто в районе расположения хозяйства проявляются суховеи.
Таким образом, обилие тепла и большая продолжительность
позволяет возделывать многие теплолюбивые культуры. Открытое акционерное
общество "Прогресс" осуществляет производственную деятельность с 1998
года. [справка о предприятии]
Первоначально было создано OOO "Прогресс",
работающее по договору совместной деятельности по производству
сельскохозяйственной продукции с ЗАО "Авангард" (колхоз владеющий
пашней поголовьем крупного рогатого скота и свиней, производственными
мощностями для производства сельскохозяйственной продукции, но по финансовому состоянию
находившийся на грани банкротства) и Кореновским дорожным ремонтно-строительным
управлением выступающим в роли инвестора.
За период с 1998 по 2001 значительно вырос объем производства
сельскохозяйственной продукции и была полностью погашена задолженность
имевшаяся у ЗАО "Авангард" В 2011 году ООО "Прогресс"
преобразовался в ЗАО "Прогресс", договор совместной деятельности
расторгнут, предприятие стало работать самостоятельно.
В 2004 году осуществлено присоединение ЗАО
"Авангард". В 2005 году ЗАО "Прогресс" переименовано в ОАО
"Прогресс". С 2007 года предприятие возглавляет генеральный директор
Тарасов Евгений Витальевич. Производственная специализация ОАО
"Прогресс" - производство зерновых, подсолнечника, сахарной свеклы. Фактически
хозяйство многоотраслевое, имеет комплексный севооборот зерновых, технических и
кормовых культур. ОАО "Прогресс" имеет полевую бригаду,
механизированный зерноток, автогараж, центральную ремонтную мастерскую,
строительный цех.
Общая численность работников, занятых во всех отраслях
составляет около 250 человек. В настоящее время ОАО "Прогресс"
использует на основании договоров аренды земельных паев с физическими лицами, а
так же имеет в собственности 5,5 тысяч гектаров сельскохозяйственных угодий.
Коллектив из 250 человек ежегодно производит и реализует до
13 тысяч тонн зерна пшеницы, ячменя, кукурузы и гороха, 7 тысяч тонн сахарной
свеклы (это примерно 500 тонн чистого сахара), 800 тонн подсолнечника. Автопарк
оказывает транспортные услуги, мастерская - услуги по ремонту топливной
аппаратуры. [456c]
Предприятие активно ведет техническое перевооружение
производственной базы и внедрение передовых технологий. Везется закупка семян
высокой репродукции а так же приобретаются лучшие и безопасные средства защиты
растений от вредителей, так же ведется закупка новых тракторов, комбайнов как
отечественного так и импортного производства.
С 2000 года хозяйство ежегодно занимает призовые места по
результатам уборки зерновых культур в Кореновском районе. В хозяйстве, для
обеспечения деятельности имеется собственный автотранспортный парк,
машинотракторный парк, мастерские по ремонту техники и производственного
оборудования, строительная бригада, электрики, служба охраны.
Имеются склады для хранения продукции и товаро-материальных
ценностей, действует автозаправочная станция. ОАО "Прогресс"
обеспеченно профессиональными кадрами специалистов и рабочих.
Предприятие занимается повышением квалификации работников, по
договорам с учебными заведениями готовит собственных специалистов среднего
звена.
Финансовый блок (или анализ финансового состояния) процесса
оценки финансово-экономического состояния предприятия представляет собой набор
универсальных показателей, рассчитываемых на базе основных форм бухгалтерской
отчетности. К основным аспектам данного анализа показателей, которые необходимо
оценить, анализ ликвидности и платежеспособности, анализ финансовой
устойчивости, анализ деловой активности, анализ эффективности деятельности
организации.
Основой анализа финансового положения ОАО
"Прогресс" послужили следующие формы бухгалтерской (финансовой)
отчетности:
Бухгалтерский баланс (форма № 1) на 31.12.2011 г. и Отчет о
прибылях и убытках за 2011 год;
Бухгалтерский баланс (форма № 1) на 31.12.2012 г. и Отчет о
прибылях и убытках за 2012 год.
Предприятие обеспечивает занятость в среднем 200 человек,
среднемесячная заработная плата - 12,4 тыс. руб. В экономике Кореновского
района ОАО "Прогресс" играет важную роль, т.к. здесь действует
немного предприятий, занимающихся производственной деятельностью. К тому же ОАО
"Прогресс" действует не только на местном рынке, но и на региональном
уровне.
2.2 Факторный
анализ рентабельности ОАО "Прогресс"
Факторный анализ - это один из способов снижения размерности,
то есть выделения во всей совокупности признаков тех, которые действительно
влияют на изменение зависимой переменной. Или группировки сходно влияющих на
изменение зависимой переменной признаков.
Предполагается, что наблюдаемые переменные являются лишь
линейной комбинацией неких ненаблюдаемых факторов. Некоторые из этих факторов
являются общими для нескольких переменных, некоторые характерно проявляют себя
только в одной. Те, что проявляют себя только в одной, очевидно, ортогональны
друг другу и не вносят вклад в ковариацию переменных, а общие - как раз и
вносят эту ковариацию.
Задачей факторного анализа является как
раз восстановление исходной факторной структуры исходя из наблюдаемой структуры
ковариации переменных, несмотря на случайные ошибки ковариации, неизбежно
возникающие в процессе снятия наблюдения. Коэффициент взаимосвязи между
некоторой переменной и общим фактором, выражающий меру влияния фактора на
признак, называется факторной нагрузкой данной переменной по данному общему
фактору.
Значение (мера проявления) фактора у
отдельного объекта называется факторным весом объекта по данному фактору.
Процесс факторного анализа состоит из трех больших этапов:
) Подготовки ковариационной матрицы
(Иногда вместо нее используется корреляционная матрица);
) Выделения первоначальных ортогональных
векторов (основной этап);
) Вращение с целью получения
окончательного решения.
ОАО "Прогресс" обязано вести
бухгалтерский учет и предоставлять финансовую отчетность в порядке,
установленном правовыми актами РФ. Ответственность за организацию, состояние и
достоверность бухгалтерского учета в ОАО "Прогресс", своевременное
предоставление ежегодного отчета и другой финансовой отчетности в
соответствующие органы, а так же сведений о деятельности предприятия,
предоставляемых кредиторам и средствам массовой информации, несет руководитель
в соответствии правовыми актами РФ. Рентабельность предприятия - это показатель
эффективности производственной деятельности, отражающий экономический результат
работы предприятия. Высокий уровень рентабельности гарантирует предприятию
успешное существование на рынке и сводит на нет риск банкротства. [640c]
Специалисты различают множество факторов,
влияющих на количество прибыли предприятия и уровень показателей его
рентабельности. Существует две группы факторов:
) внешние факторы,
) внутренние факторы.
) Внешние - такие факторы не зависимы от
хозяйственных операций предприятия (к примеру, повышение цен на тарифы
перевозки, материалы, налогообложение и проч.) Также на рост показателей
рентабельности влияют внутренние факторы, а именно: снижение себестоимости продукции
(товаров, работ, услуг), увеличение массы прибыли, сокращение средств, рост
объема производства; эффективное ценообразование на носители основных фондов
производства, рациональное использование материальных ресурсов, успешная
реализация произведенной продукции и т.д.
Чтобы определить воздействие внешних
факторов на уровень рентабельности, а также выявить сумму прибыли,
приобретенную в результате влияния внутренних факторов, необходимо просвети
факторный анализ рентабельности предприятия.
Факторный анализ рентабельности выражается
формулами:
Рентабельность равна (Прибыль от
реализации продукции разделить на Себестоимость продукции) умноженной на сто
процентов
Также при проведении факторного анализа
можно пользоваться трехфакторной и пятифакторной моделями.
Трехфакторная модель основана на
исследовании воздействия 3-х факторов: прибыльности продукции, оборачиваемости
оборотных средств и фондоемкости предприятия. Пятифакторная - на факторе
материалоемкости, трудоемкости и емкости амортизации продукции, оборачиваемости
основного и оборотного капиталов.
Принцип факторного анализа предполагает
разделение формул расчета по количественным и качественным показателям развития
производства и увеличения уровня эффективности деятельности компании. Чем выше
количество прибыли и уровень фондоотдачи основных фондов организации, чем ниже
издержки на денежную единицу продукции и затраты на материалы и средства труда,
тем выше рентабельность фондов организации.
Факторный анализ рентабельности показывает
взаимосвязь нормативов финансовой деятельности предприятия и экономических
результатов. По этой причине факторный анализ - наиболее эффективный инструмент
оценки текущего состояния предприятия. [332 c]
В приложении А представлена динамика
чистой прибыли предприятия за период 2011, 2012, 2013 года.
Динамика выручки от реализации говорит о
том, что предприятие достаточно успешно функционирует на рынке реализации
продукции, на протяжении 2011 - 2013 гг. выручка постоянно расчет. Это означает
что предприятие успешно функционирует на рынке.
Предприятие ОАО "Прогресс",
осуществляю свою деятельность, стремится к максимизации прибыли, увеличению
активов, повышению объемов продаж.
Основные экономические показатели,
характеризующие результаты деятельности предприятия, представлены в таблице 1.
Первый фактор этой модели говорит о
ценовой политике организации, он показывает ту базовую наценку, которая
заложена непосредственно в цене реализуемой продукции.
Второй и третий факторы показывают
структуру активов и оборотных активов, оптимальная величина которых дает
возможность экономить оборотный капитал.
Четвертый фактор обусловлен величиной выпуска и реализации
продукции и говорит о эффективности использования производственных запасов,
физически он выражает количество оборотов, которое запасы совершают за отчетный
год. В факторном анализе используют следующие виды наиболее часто встречающихся
моделей.
) Когда результативный показатель получается как
алгебраическая сумма или разность результирующих факторов, применяются
аддитивные модели, например:
, (10)
где
- прибыль от реализации продукции,
- выручка от реализации,
- производственная себестоимость реализованной
продукции,
- коммерческие расходы,
- управленческие расходы.
. Мультипликативные модели применяются, когда результирующий
показатель получается как произведение нескольких результирующих факторов:
, (11)
где
- рентабельность активов,
- рентабельность продаж,
- фондоотдача активов,
- средняя стоимость
активов организации за отчетный год.
. Когда результативный показатель получаем делением одного
фактора на другой, применяются кратные модели:
, (12)
Различные комбинации вышеперечисленных моделей дают смешанные
или комбинированные модели:
, (13)
, (14)
В практике экономического анализа существует несколько
способов моделирования многофакторных моделей: удлинение, формальное
разложение, расширение, сокращение и расчленение одного или нескольких
факторных показателей на составные элементы.
Например, методом расширения можно следующим образом
построить трехфакторную модель рентабельности активов организации:
, (15)
, (16)
Где
- оборачиваемость собственного капитала
организации,
- коэффициент независимости или доля
собственного капитал в общей массе активов организации,
- средняя стоимость собственного капитала
организации за отчетный период. [Конус 256 с]
Таким образом, мы получили трехфакторную мультипликативную
модель рентабельности активов организации. Данная модель широко известна в
экономической литературе как модель Дюпона.
Рассматривая эту модель, можно сказать, что на рентабельность
активов организации оказывают влияние рентабельность продаж, оборачиваемость
собственного капитала и доля собственного капитала в общей массе активов
организации.
А теперь рассмотрим следующую модель рентабельности активов:
=
, (17)
, (18)
где
- доля выручки, приходящейся на 1 руб. полной
себестоимости продукции,
- доля оборотных активов в формировании активов,
- доля запасов в формировании оборотных активов,
- оборачиваемость запасов.
Первый фактор этой модели говорит о ценовой политике
организации, он показывает ту базовую наценку, которая заложена непосредственно
в цене реализуемой продукции.
Второй и третий факторы показывают структуру активов и
оборотных активов, оптимальная величина которых дает возможность экономить
оборотный капитал.
Четвертый фактор обусловлен величиной выпуска и реализации
продукции и говорит о эффективности использования производственных запасов,
физически он выражает количество оборотов, которое запасы совершают за отчетный
год. [конус 243 с]
Таблица 1 - Экономические показатели деятельности предприятия
ОАО "Прогресс" за 2011-2013 г.
|
Показатели
|
2011г
|
2012г
|
2013г
|
Изменения в
2012г - 2011г
|
Изменения в
2013г - 2012г
|
|
Активы
предприятия, тыс. р.
|
9377
|
9725
|
9618
|
348
|
-107
|
|
Величина
оборотных средств, тыс. р.
|
5425
|
6663
|
7322
|
1238
|
659
|
|
Величина
собственного капитала, тыс. р.
|
2027
|
2847
|
3395
|
820
|
548
|
|
Выручка от
продаж, тыс. р.
|
23545
|
31407
|
32271
|
7862
|
864
|
|
Полная
себестоимость продаж, тыс. р.
|
23171
|
31062
|
31623
|
7891
|
561
|
|
Прибыль
(убыток) от продаж, тыс. р.
|
374
|
345
|
648
|
-29
|
303
|
|
Рентабельность
продаж, %
|
1,6
|
1,1
|
2
|
-0,5
|
0,9
|
Из таблицы 1 видно, что в 2012 году активы предприятия имели
тенденцию к росту. В 2012 году их величина возросла по сравнению с 2011 годом
на 348 тыс. р., а в 2013 году по сравнению с 2012 годом снизалась на 107 тыс.
р. На ряду с общей величиной активов предприятия, наблюдается рост оборотных
средств. Увеличение активов свидетельствует о том, что предприятие ОАО
"Прогресс" расширяет и наращивает свою деятельность, увеличивает свой
ресурсный потенциал, что является положительным моментом.
Выручка от продаж также возрастает на протяжении трех
последних лет. В 2012 году она возросла по сравнению с 2011 годом на 32271 тыс.
р., а в 2009 году по сравнению с 2012 годом на 864 тыс. р.
Увеличение выручки от продаж свидетельствует о росте объемов
продаж товаров, расширении каналов сбыта товаров, захвате определенной доли на
рынке данного вида товара, а также о росте цен на услуги предприятия. Однако
увеличение выручки в 2013 году меньше чем в 2012 году, что является
отрицательным моментом.
Одновременно с выручкой растет и себестоимость продаж. В 2012
году она возросла по сравнению с 2011 годом на 31623 тыс. р., а в 2013 году по
сравнению с 2012 годом на 561 тыс. р. Однако данное изменение следует
рассматривать как нежелательный момент.
Увеличение себестоимости связано с инфляционными процессами в
экономике страны, что привело к росту затрат на электроэнергию, заработную
плату, к росту закупочных цен на товары.
В итоге мы достаточно полно проанализировали влияние
различных факторов на изменение уровня рентабельности основной производственной
деятельности организации. Теперь администрации необходимо предусмотреть и
предотвратить влияние негативных тенденций на будущее, наиболее полно
использовать выявленные резервы.
На современном уровне развития производства и экономики не
бывает случайных и продолжительных успехов. Если успех был достигнут случайно,
на интуитивном уровне, то он не может быть продолжительным, так как найдутся
люди, которые подойдут к проблеме с экономически правильным решением, и
конкурентную борьбу выиграют они. Успех должен быть обоснован комплексным и
всесторонним анализом хозяйственной деятельности организации, рациональным
планированием, знанием и максимальным использованием своих преимуществ,
нивелированием и скрытием своих недостатков. [288c]
Рассмотрим размеры производства представленные в таблице 2
Обеспеченность производственными ресурсами высокая и соответствует межрайонному
уровню, за исключением основных средств, не достигающих и половины межрайонного
уровня, что говорит о высокой изношенности основных фондов и отрицательно
сказывается на эффективности производства.
Таблица 2 - Размер производства в предприятия
|
Показатели
|
Предприятие
|
В среднем на 1
предприятие района
|
|
2011г.
|
2012г.
|
|
|
Сумма денежной
выручки, тыс. руб.
|
21905
|
10547
|
14888,73
|
|
Произведено
всего, ц:
|
15454
|
43100
|
53071,27
|
|
- зерно
|
4579
|
36962
|
28229,18
|
|
- корнеплодов
сахарной свеклы
|
1813
|
0
|
17276,55
|
|
- семена
подсолнечника
|
2834
|
365
|
2537,64
|
|
- молоко
|
5969
|
5545
|
4750,09
|
|
В расчете на
100 га пашни получено, ц:
|
|
|
|
|
- зерна
|
110,95
|
895,61
|
795,09
|
|
- сахарной
свеклы
|
43,93
|
0,00
|
486,60
|
|
- семян подсолнечника
|
68,67
|
8,84
|
71,47
|
|
В расчете на
100 га сельскохозяйственных угодий получено:
|
|
|
|
|
- денежной
выручки, тыс. руб.
|
435,14
|
209,52
|
330,57
|
В Приложении Б мы провели достаточно полный анализ всего лишь
одного, хотя и достаточно важного показателя эффективности деятельности
организации - рентабельности. Этот показатель отражает, какую прибыль получает
организация на 1 руб. стоимости активов или чистых активов организации, т.е.
эффективность использования всего имущества, принадлежащего данной организации,
или реального собственного капитала, т.е. чистых активов.
Показатель рентабельности имеет, как мы показали ранее,
математическую зависимость от многих показателей, характеризующих эффективность
использования активов, ценовую политику организации, структуру пассивов и
активов, финансовую устойчивость, платежеспособность и многие другие.
Комплексный анализ финансового состояния организации на этом
не оканчивается и может быть продолжен анализом эффективности использования
трудовых ресурсов, материальных ресурсов, основных средств. Детальная
проработка по каждому из этих направлений позволит выявить конкретные механизмы
влияния на конечный финансовый результат деятельности организации.
Анализ финансового состояния организации и выявление резервов
ее дальнейшего устойчивого роста необходимо продолжать также анализом
коэффициентов платежеспособности, финансовой устойчивости, оборачиваемости
активов, анализом кредиторской и дебиторской задолженности, анализом денежных
потоков, анализом эффективности использования чистых активов, собственного
капитала и т.д.
Комплексный анализ финансового состояния предполагает широкое
и полное исследование всех факторов, влияющих или могущих влиять на конечные
финансовые результаты деятельности организации, которые, в конечном счете, и
являются основной целью деятельности организации.
3.
Предложения по оптимизации резервов повышения рентабельности организации ОАО
"Прогресс"
3.1 Оценка
резервов повышения рентабельности организации ОАО "Прогресс"
Резервы рентабельности сельскохозяйственных предприятий может
быть определена как отношение прибыли предприятия к себестоимости реализованной
продукции, ко всей сумме производственных затрат предприятия, к
производственным фондам или к авансированным средствам. Т.е. рентабельность
главным образом зависит от прибыли и вышеприведенных факторов.
Одним из основных способов повышения рентабельности продукции
является увеличение прибыли, полученной от производства продукции. Прибыль
можно увеличить за счет увеличения выручки от реализации продукции и уменьшении
себестоимости реализации продукции. Выручку можно увеличить за счет увеличения
посевных площадей (в растениеводстве) или увеличения поголовья скота (в
животноводстве).
Также рентабельность можно увеличить за счет уменьшения
себестоимости реализованной продукции. Себестоимость реализованной продукции
можно уменьшить за счет уменьшения затрат на продукцию. Уменьшая
производственные фонды и авансированные средства можно увеличить рентабельность
продукции. В данном случае можно увеличить рентабельность за счет увеличения
прибыли и уменьшения себестоимости реализации, а также можно найти каналы
реализации продукции по более высоким ценам. Основными источниками резервов
повышения уровня рентабельности продаж являются увеличение суммы прибыли от реализации
продукции и снижение себестоимости товарной продукции.
Резерв повышения уровня рентабельности составит:
= (2198,470 + 1007,405) *100/ (2200*4,393) -
(2198,470/8722,240) =Р 32,92 % (18)
Мы видим, что после внедрения описанных выше мероприятий рентабельность
производственной деятельности может увеличиться на 32, 92% и составить:
,20 + 32,92 = 58,12%
Для установления причин отклонения показателей рентабельности
по хозяйству от среднерайонных значений используем нижеприведенные формулы
влияния факторов.
Обозначения:
Пр 1 га, Пр 1 чел-ч, Пр з - прибыль на 1 га посева зерновых,
1 чел-ч, 100 руб. затрат
Ц 1. ц - цена реализации 1 ц зерна, руб. /ц
Сб.1 ц т.п. - себестоимость 1 ц товарной (реализованной)
продукции, руб. /ц
Ур - урожайность, ц/га
Кт - коэффициент товарности
Птч - производительность труда часовая, ц/чел-ч
Пр 1 га = (Ц1ц - Сб.1 ц т.п.) * Ур *Кт (19)
|
Объект
|
Пр 1 га
|
Ц1ц
|
Сб.1ц т.п.
|
Ур
|
Кт
|
|
Предприятие
|
-3154,47
|
1758,90
|
4,12
|
0,72
|
|
В среднем по
району
|
396,98
|
613,38
|
561,62
|
7,80
|
0,98
|
|
Направление
влияния факторов (+, - )
|
|
+
|
-
|
+
|
+
|
Пр 1 чел-ч= (Ц1ц - Сб.1ц т.п.) * Птч *Кт (20)
|
Объект
|
Пр1 чел-ч
|
Ц1ц
|
Сб.1ц т.п.
|
Птч
|
Кт
|
|
Предприятие
|
-388
|
695,89
|
1758,90
|
0,51
|
0,72
|
|
В среднем по
району
|
42,5
|
613,38
|
561,62
|
0,84
|
0,98
|
з = (Ц 1 ц - Сб.1 ц т.п.) *100/ Сб.1 ц т.п.
|
Объект
|
Прз
|
Ц1ц
|
Сб.1ц т.п.
|
Сб.1ц т.п.
|
|
|
Предприятие
|
-60,44
|
695,89
|
1758,90
|
1758,90
|
*100
|
|
В среднем по
району
|
9,22
|
613,38
|
561,62
|
561,62
|
*100
|
|
Направление
влияния факторов (+, - )
|
|
+
|
-
|
-
|
*100
|
Производство подсолнечника в ОАО "Прогресс" в 2012
г. находится в плачевном состоянии, будучи прибыльным в 2013 г. это направление
деятельности убыточно.
3.2 Методы
повышения рентабельности организации ОАО "Прогресс"
Одним из направления по увеличению рентабельности является
также внедрение нового высокопроизводительного оборудования. Внедрение нового
оборудования позволяет повысить качество сбора урожая, увеличить
производительность труда, снизить трудоемкость и себестоимость выпускаемой
продукции и, как следствие, увеличить рентабельность.
На основе данных исследований было предложено решение о
закупке более нового оборудования и сельскохозяйственной техники, таким образом
новая техника поможет сократить потерю зерна при сборе урожая, так же новая
техника будет удобнее и современней это поможет привлечь молодых специалистов,
уйдет меньше затрат на топливо и ремонт.
Показатель рентабельности производства имеет особенно важное
значение в современных, рыночных условиях, когда руководству предприятия
требуется постоянно принимать ряд неординарных решений для обеспечения
прибыльности, а, следовательно, финансовой устойчивости предприятия.
Факторы, оказывающие влияние на рентабельность производства,
многочисленны и многообразны.
Одни из них зависят от деятельности конкретных коллективов,
другие связаны с технологией и организацией производства, эффективностью
использования производственных ресурсов, внедрением достижений
научно-технического прогресса.
Как показали практические расчёты, показатели рентабельности
имеют более или менее значительные колебания по годам, что является следствием
изменения цен реализации и себестоимости продукции.
Таким образом, проведенное исследование позволяет сделать
следующие выводы.
На основе анализа резерва увеличения прибыли и рентабельности
предприятия, проведенного в предыдущем пункте данной главы, здесь мы может
сделать выводы о том, что на рассматриваемом предприятии существуют следующие
резервы увеличения прибыли:
) увеличение объема производства и реализации выпускаемой
продукции;
) снижение себестоимости выпускаемой продукции;
) повышение качества выпускаемой продукции.
Также представляется необходимым сделать ряд предложений по
улучшению финансовых результатов ОАО "Прогресс", которые возможно
применить как в краткосрочном и среднесрочном, так и в долгосрочном периоде:
) Рассмотреть и устранить причины возникновения перерасхода
финансовых ресурсов на управленческие и коммерческие расходы;
) Усовершенствовать управление предприятием, а именно:
) Выделить в составе структурных подразделений и структурных
единиц предприятия центры затрат и центры ответственности;
) Внедрение на предприятии системы управленческого учета
затрат в разрезе центров ответственности, центров затрат и отдельных групп
товарной продукции;
) Повысить в составе реализации удельного веса мелкооптовой
продукции;
) Осуществлять эффективную ценовую политику,
дифференцированную по отношению к отдельным категориям покупателей;
) Совершенствовать рекламную деятельность, повышать
эффективность отдельных рекламных мероприятий;
) Осуществлять систематический контроль за работой
оборудования и производить своевременную его наладку с целью недопущения
снижения качества и выпуска бракованной продукции;
) При вводе в эксплуатацию нового оборудования уделять
достаточно внимания обучению и подготовке кадров, повышению их квалификации,
для эффективного использования оборудования и недопущения его поломки из-за
низкой квалификации;
) Повышение квалификации работников, сопровождающуюся ростом
производительности труда;
) Разработать и ввести эффективную систему материального
стимулирования персонала, тесно увязанную с основными результатами
хозяйственной деятельности предприятия и экономией ресурсов;
) Разработать и осуществить мероприятия, направленные на
улучшение морального климата в коллективе, что в конечном итоге отразиться на
повышении производительности труда;
) Осуществлять постоянный контроль за условиями хранения и
транспортировки сырья и готовой продукции.
Заключение
В заключение работы можно выделить следующие аспекты, которые
обобщенно характеризовали бы основные моменты. проведен финансовый анализ
деятельности предприятия 2011 - 2013 год. Первая глава посвящена теоретическим
аспектам рентабельности предприятия, методам и приемам, используемым при
проведении повышения рентабельности, роли ее в управлении производством и
повышении эффективности.
По первой части работы можно делать следующий вывод:
анализ рентабельности - это процесс, при помощи которого мы
оцениваем прошлое и текущее финансовое положение и результаты деятельности
организации. Однако при этом главной целью является оценка рентабельности
организации относительно будущих условий существования, т.к. анализ
рентабельности выступает как инструмент для выявления проблем управления
финансово-хозяйственной деятельностью, для выбора направлений инвестирования
капитала и прогнозирования отдельных показателей;.
Во второй части работы были рассмотрены и опробованы
теоретические разработки, необходимые для проведения практического общего
анализа резервов повышения рентабельности на конкретном примере предприятия ОАО
"Прогресс" на основе методики финансовых коэффициентов. Все расчеты в
работе оформлены в соответствующие таблицы, которые позволили провести анализ
предприятия, и привели к следующим выводам.
На основании результатов проведенного анализа финансовой
деятельности предприятия, его рентабельности, можно сделать следующие выводы.
Анализ структуры актива баланса ОАО "Прогресс",
показал, что стоимость имущества предприятия в 2011 году, по сравнению с 2013
годом. Это произошло за счет увеличения стоимости внеоборотных активов,
оборотных активов.
В 2012 году стоимость имущества предприятия, по сравнению с
2011 годом увеличилась, за счет увеличения стоимости оборотных активов.
Анализ рентабельности предприятия показал, что по сравнению с
2011 годом, в 2012 году предприятие увеличило свой собственный капитал в
результате повышения доли непокрытого убытка. В 2013 году ОАО
"Прогресс" увеличивает свои источники средств, это происходит в
результате увеличения капитала предприятия. Долгосрочные обязательства уменьшились,
краткосрочные обязательства предприятия также уменьшаются, в результате
уменьшения задолженности перед государственными внебюджетными фондами и
уменьшения задолженности по налогам и сборам.
В третьей рассматриваются пути повышения рентабельности производства
ОАО "Прогресс".
Результаты исследования показали, что, снижение
себестоимости, за счёт снижения расходов на управление и сбор урожая, увеличив
объем производства и реализации продукции в общем объеме выпускаемой продукции
ОАО "Прогресс" получит дополнительную прибыль при этом рентабельность
производства увеличится. Кроме того, для повышения эффективности деятельности
предприятия можно внедрить следующие мероприятия, направленные на улучшение
показателей прибыли и рентабельности:
а) сокращение затрат на производство, повышение эффективности
использования материальных ресурсов за счет организации учета и контроля за их
использованием, изучение и внедрение передового опыта по осуществлению режима
экономии, внедрение системы материального и морального стимулирования
работников за экономию ресурсов;
б) контроль за соотношением дебиторской и кредиторской
задолженности, так как значительное превышение дебиторской задолженности
создает угрозу финансовой устойчивости предприятия;
в) улучшение использования основных средств предприятия,
приобретение высококачественных основных средств, повышение уровня квалификации
обслуживающего персонала, внедрение новых технологий;
г) рациональное использование трудовых ресурсов, внедрение
организационно-технических мероприятий направленных на снижение затрат по
оплате труда за счет повышения эффективности использования фонда оплаты труда,
сокращения численности управленческого персонала, рост производительности труда
за счет повышение квалификации работников, социальной защищенности членов
трудового коллектива, улучшение условий труда, создание благоприятного
социально-психологического климата в коллективе. В работе была раскрыта цель и
задачи проведены исследования.
Для того, чтобы правильно ответить на поставленные вопросы были
использованы нормативные акты, литературные источники, журнальные статьи
различных авторов. В работе использованы различные методы и приемы для решения
поставленных задач, к ним относятся: метод группировки, метод
корреляционно-регрессионного анализа.
Рассчитаны показатели рентабельности, производительности
туда, товарности, массы прибыли и др. В ходе проведенного анализа было
выяснено, что предприятие ОАО "Прогресс" рентабельно, но его
рентабельность можно легко увеличить, если найти каналы реализации продукции по
более высоким ценам, если минимально уменьшить себестоимость реализованной
продукции или увеличить посевную площадь, но остальные показатели оставить
неизменными.
Если это все применить на практике, то рентабельность
производства, в частности овощей, можно увеличить. Так как вся продукция
производимая в хозяйстве Прогресс пользуется спросом, то есть надежды, что
хозяйство и в дальнейшем будет рентабельно, а если приложить минимум усилий, то
может даже получить максимум прибыли, т.е. хозяйство не работает на полную
силу, т.к. существует более рентабельное (прибыльное) хозяйство в Кореновском.
Список
использованных источников
1.
Абрютина, М.С. Экономика предприятия: учебник / М.С. Абрютина. - М.:
Издательство "Дело и Сервис", 2012. - 585 с.
.
Анализ и диагностика финансово-хозяйственной деятельности предприятия: учеб.
пособие для вузов / П.П. Табурчак. - М.: Ростов н/Д: Феникс, 2010. - 352 с
.
Антонова, О.В. Управление кризисным состоянием организации / О.В. Антонова. -
М.: Юнити, 2011. - 136 с.
.
Анализ финансово-экономической деятельности предприятия: Учеб. Пособие для
ВУЗов/под ред. Любушина Н.П. - М.: ИНИТИ - ДАНА, 2011.471с.
.
Анализ себестоимости сельскохозяйственной продукции: Лекция. Измалков А. М.:
ВСХИ, 2011.
.
Баканов, М.И. Теория экономического анализа / М.И. Баканов, А.Д. Шеремет. - М.:
Финансы и статистика, 2011. - 416 с
.
Балабанов, И.Т. Финансовый анализ и планирование хозяйствующего субъекта / И.Т.
Балабанов. - М.: Финансы и статистика, 2011. - 206 с.
.
Банк, В.Р. Финансовый анализ / В.Р. Банк, С.В. Банк, А.В. Тараскина. - М.:
Проспект, 2011. - 158 с.
.
Бухгалтерский баланс ОАО "Прогресс" за
.
Бухгалтерский баланс ОАО "Прогресс" за 2012год.
.
Бухгалтерский учет и налогообложение: практическое пособие [Текст] / Т.Н.
Бабченко, Абченко, Т. Н.Е.Н. Галанина. - М.: КНОРУС, 2011. - 456 с. эл. опт.
диск.
.
Барулин, С.В. Финансы [Текст]: учебник / С.В. Барулин. - М.: КНОРУС, 2011. -
640 с.
.
Жилкина, А.Н. Управление финансами. Финансовый анализ предприятия [Текст]:
учебник / А.Н. Жилкина. - М.: ИНФРА-М, 2011. - 332 с.
.
Леевик, Ю.С. Бухгалтерский финансовый учет [Текст]: учебное пособие / Ю.С.
Леевик. - СПб.: Питер, 2010. - 384 с.: ил. - (Учебное пособие).
.
Лупикова, Е.В. Учет и аудит внешнеэкономической деятельности [Текст]: учебное
пособие / Е.В. Лупикова, Н.К. Пашук. - М.: КНОРУС, 2009. - 256
.
Медведев, М.Ю. Учетная политика организации на 2010 год: практическое пособие
[Текст] / М.Ю. Медведев. - М.: КНОРУС, 2010. - 248 с.
.
Оборотно-сальдовые ведомости 2012-2013год.
.
Отчеты о движениях товорно-материальных ценностях ОАО "Прогресс". 19.
Отчет о прибылях и убытках за 2011-2012г ОАО "Прогресс".
.
Отчет о движении денежных средств предприятия ОАО "Прогресс".
.
Овсийчук, М.Ф. Бухгалтерский учет и контроль деятельности малого бизнеса
[Текст]: учебное пособие / М.Ф. Овсийчук, А.В. Шохнех. - М.: КНОРУС, 2009. -
288 с.
.
Сапожникова, Н.Г. Бухгалтерский учет [Текст]: учебник / Н.Г. Сапожникова. - М.:
КНОРУС, 2011. - 480 с.
.
Спровка о деятельности предприятия ОАО "Прогресс". 19. Финансы
предприятия А.Д. Шеремят, Р. С Сайфуллин 2011 г
.
Финансы (учебное пособие) под редакцией Ковалевой 2013 г
.
Сапожникова, Н.Г. Бухгалтерский учет [Текст]: учебник / Н.Г. Сапожникова. - М.:
КНОРУС, 2011. - 480 с.
.
Экономика предприятия Под. ред. проф.В.Я. Горфинкеля, М., 2011.
27. <#"881172.files/image033.gif">
Рисунок 1 - Динамика чистой прибыли предприятия ОАО
"Прогресс"
Приложение Б
1 - Показатели организации
|
Показатель
|
2011
|
2012
|
2013
|
|
1. Прибыль от
реализации
|
-315
|
82
|
5421
|
|
2. Выручка от
продаж
|
15 735
|
17 923
|
52 628
|
|
3. Средняя
стоимость оборотных активов
|
13 278.5
|
15 357
|
17 644.5
|
|
4. Средняя
величина краткосрочных обязательств,
|
10 257.5
|
11 157
|
13 098.5
|
|
5. Средняя
величина дебиторской задолженности
|
1 204
|
987
|
1 507.5
|
|
6. Средняя
величина кредиторской задолженности
|
9 094
|
11 116.5
|
12 985.5
|
|
7. Средняя
величина заемного капитала
|
10 424
|
11 321.5
|
13 088
|
|
8. Средняя
величина чистых активов
|
60 500.5
|
45 481.5
|
36 636
|
|
9. Коэффициент
отношения дебиторской задолженности к кредиторской
|
0.1324
|
0.0888
|
0.1161
|
|
10. Коэффициент
отношения кредиторской задолженности к заемному капиталу
|
0.8724
|
0.9819
|
0.9922
|
|
11. Коэффициент
отношения заемного капитала к чистым активам
|
0.1723
|
0.2489
|
0.3572
|
|
12.
Рентабельность чистых активов
|
-0.0052
|
0.0018
|
0.1480
|