Очистка хозяйственно-бытовых сточных вод
Оглавление
Введение
1. Исходные данные для проектирования
.1 Образование сточных вод от населенных пунктов
.2 Влияние сточных вод на водные объекты
. Технологическая часть
2.1 Выбор и обоснование технологического решения
2.2 Описание технологического решения
.3 Технологические расчеты для традиционной технологической
схемы
Заключение
Список использованных источников
Введение
Сегодня в нашей стране возрастают объемы промышленного производства, что
вызывает ухудшение экологической ситуации, т.к. не на всех предприятиях
правильно работают очистные сооружения и ПДК сточных вод в канализацию часто
превышает допустимые нормы.
В любом городе, поселке или другом населенном пункте одной из важнейших
систем, обеспечивающих нормальное жизнеобеспечение, является система отведения
и очищения как промышленных, так и хозяйственно-бытовых и ливневых
(поверхностных) сточных вод.
Документ, в котором изложены основные требования, которым должны
соответствовать сточные воды - СанПиН 2.1.5.980-00 "Гигиенические
требования к охране поверхностных вод".
Согласно п. 3.2 того же СанПиН - "Водные объекты питьевого,
хозяйственно-бытового и рекреационного водопользования считаются загрязненными,
если показатели состава и свойства воды в пунктах водопользования изменились
под прямым или косвенным влиянием хозяйственной деятельности, бытового
использования и стали частично или полностью непригодными для водопользования
населения".
Кроме того, в ряде водоемов существует повышенная эпидемиологическая
опасность вследствие превышения ПДК микробных загрязняющих веществ, выделяющих
гельминты. В такой ситуации предприятия, осуществляющие сброс стоков в данный
водоем, обязаны произвести разработку и реализацию мероприятий по защите водных
ресурсов, таких как установка очистных сооружений для обеззараживания сточных
вод, доработка используемой системы очистки стоков, повышающая эффективность ее
работы и т.д.
Производственный контроль за ПДК эпидемически опасных веществ в стоках
осуществляется в подобных ситуациях на основании таких нормативных документов,
как СанПиН 3.2.1333-03 и МУ 3.2.1022-01 , а также МУ 2.1.5.800-99 .
Контроль за ПДК стоков после очищения и эффективностью очистки
производится в строгом соответствии с планами-графиками, индивидуально
согласующимися с Роспотребнадзором.
Качество поверхностных стоков, сбрасываемых в канализационные системы
регламентируется приложением 1 к СанПиН 2.1.5.980-00 и ГН 2.1.5.2280-07.
В данном проекте рассмотрены несколько схем решений по очистке
хозяйственно-бытовых сточных вод от поселка с численностью населения 500
человек.
1. Исходные
данные для проектирования
1.1 Образование
сточных вод от населенных пунктов
Сточные
воды и их краткая характеристика.
Сточные воды - это пресные воды, изменившие после
использования в бытовой и производственной деятельности человека свои
физико-химические свойства и требующие отведения.
По происхождению сточные воды могут быть
классифицированы на следующие: бытовые, производственные и атмосферные.
Бытовые сточные воды образуются в жилых,
административных и коммунальных (бани, прачечные и др.) зданиях, а также в
бытовых помещениях промышленных предприятий. Это сточные воды, которые
поступают в водоотводящую сеть от санитарных приборов (умывальников, раковин
или моек; ванн, унитазов и трапов - напольных приборов с решетками).
Особенности образования этих сточных вод хорошо известны.
Производственные сточные воды образуются в процессе
производства различных товаров, изделий, продуктов, материалов и пр. К ним
относятся отработавшие технологические растворы, маточники, кубовые остатки,
технологические и промывные воды, воды барометрических конденсаторов,
вакуум-насосов и охлаждающих систем; шахтные и карьерные воды; воды
химводоочистки, воды от мытья оборудования и производственных помещений, а
также от очистки и охлаждения газообразных отходов, очистки твердых отходов и
их транспортировки.
Атмосферные сточные воды образуются в процессе
выпадения дождей и таяния снега, как на жилой территории населенных пунктов,
так и территории промышленных предприятий, АЗС и др. Часто эти воды называют
дождевыми или ливневыми, вследствие того, что в большинстве случаев
максимальные (расчетные) расходы образуются в результате выпадения ливней
(дождей).
Основными характеристиками сточных вод являются:
количество сточных вод, характеризуемое расходом, измеряемым в л/с или м3/с,
м3/ч, м3/смену, м3/сут и т.д.; виды
(компоненты) загрязнений и содержание их в сточных водах, характеризуемое
концентрацией загрязнений, измеряемой в мг/л или г/м3. Важной
характеристикой сточных вод является степень равномерности (или
неравномерности) их образования и поступления в водоотводящие системы. Обычно
она определяется неравномерностью поступления сточных вод по часам суток в
году. Эти характеристики учитываются при проектировании водоотводящих систем.
В бытовых сточных водах содержатся загрязнения
минерального и органического происхождения. Те и другие находятся в
нерастворенном, растворенном и коллоидном состояниях. Часть нерастворенных
загрязнений, задерживаемых при анализах на бумажных фильтрах, называют взвешенными
веществами. Наибольшую санитарную опасность представляют загрязнения
органического происхождения. В бытовых сточных водах взвешенных веществ
органического происхождения содержится в среднем 100...300 мг/л. Содержание
органических загрязнений, находящихся в растворенном состоянии, оценивается
значениями биохимической потребности в кислороде (БПК) и химической потребности
в кислороде (ХПК). Бытовые сточные воды имеют БПК=100...400 мг/л, а
ХПК=150....600 мг/л, и их можно оценить как весьма загрязненные. При хранении
они способны загнить через 12-24 ч (при t = 20°С).
Производственные сточные воды различных отраслей
промышленности существенно отличаются как по составу загрязняющих веществ, так
и по их концентрации.
В дождевых водах содержится значительное количество
нерастворенных минеральных примесей, а также загрязнения органического
происхождения. БПК дождевых вод достигает 50-60 мг/л. Исследованиями
установлено, что дождевые воды могут являться источниками загрязнения водоемов.
Расход дождевых вод с 1 га площади территории города достигает 150 л/с (1 раз в
год) и 300 л/с (1 раз в 10 лет). Образование (выпадение) дождевых вод
происходит весьма неравномерно. Их расход изменяется от нуля (в сухую погоду)
до максимального значения 300 л/с (в период выпадения интенсивных ливней).
Достаточно широко используется понятие "городские
сточные воды". Под ним понимается смесь бытовых и производственных сточных
вод. В реальных условиях в чистом виде бытовых вод не бывает. В сточных водах,
поступающих от городов, всегда содержатся компоненты загрязнений, характерные
для производственных сточных вод (нефтепродукты, кислоты, щелочи, соли и др.).
При решении задач отвода и очистки городских сточных вод это необходимо
учитывать.
Все указанные выше сточные воды требуют обязательной
очистки при их отведении в открытые водоемы, так как в них содержатся различные
загрязняющие вещества в концентрациях, значительно превышающих предельно
допустимые.
Различная степень загрязнения сточных вод и природа их
образования выдвигают при проектировании важную задачу совместного или
раздельного отведения отдельных видов сточных вод, совместной или раздельной их
очистки.
Разнородность состава загрязнений сточных вод
способствует тому, что стопроцентная очистка сточных вод невозможна, и поэтому
она регламентируется значениями предельно допустимых концентраций (ПДК).
Формирование
состава сточных вод.
В понятие "сточные воды" входят различные по
происхождению, составу и физико-химическим свойствам воды, которые
использовались человеком для бытовых и технологических нужд. При этом вода
получила загрязнения, и ее физико-химические свойства изменились. Сточные воды
разнообразны по составу и, следовательно, по свойствам.
По своей природе загрязнения сточных вод
подразделяются на органические, минеральные, биологические. Органические
загрязнения - это примеси растительного и животного происхождения. Минеральные
загрязнения - это кварцевый песок, глина, щелочи, минеральные кислоты и их
соли, минеральные масла и т. д. Биологические и бактериальные загрязнения - это
различные микроорганизмы: дрожжевые и плесневые грибки, мелкие водоросли и
бактерии, в том числе болезнетворные - возбудители брюшного тифа, паратифа,
дизентерии и др.
Различают три основные категории сточных вод в
зависимости от их происхождения:
• хозяйственно-бытовые;
• производственные;
• атмосферные.
Хозяйственно-бытовые сточные воды поступают в
водоотводящую сеть от жилых домов, бытовых помещений промышленных предприятий,
комбинатов общественного питания и лечебных учреждений. В составе таких вод
различают фекальные сточные воды и хозяйственные, загрязненные различными
хозяйственными отбросами, моющими средствами. Хозяйственно-бытовые сточные воды
всегда содержат большое количество микроорганизмов, которые являются продуктами
жизнедеятельности человека. Среди них могут быть и патогенные. Особенностью
хозяйственно-бытовых сточных вод является относительное постоянство их состава.
Основная часть органических загрязнений таких вод представлена белками, жирами,
углеводами и продуктами их разложения. Неорганические примеси составляют
частицы кварцевого песка, глины, соли, образующиеся в процессе
жизнедеятельности человека. К последним относят фосфаты, гидрокарбонаты,
аммонийные соли (продукт гидролиза мочевины). Из общей массы загрязнений
бытовых сточных вод на долю органических веществ приходится 45-58%.
Производственные сточные воды образуются в результате
технологических процессов. Качество сточных вод и концентрация загрязняющих
веществ определяются следующими факторами: видом промышленного производства и
исходного сырья, режимами технологических процессов. На предприятиях, например,
металлообрабатывающих производственные сточные воды загрязнены минеральными
веществами. Пищевая промышленность дает загрязнения органическими примесями.
Большинство же предприятий имеет загрязнения сточных вод как минеральные, так и
органические, в различных соотношениях. Концентрация загрязнений сточных вод
различных предприятий неодинакова. Она колеблется в весьма широких пределах, в
зависимости от расхода воды на единицу продукции, совершенства технологического
процесса и производственного оборудования. Концентрация загрязнений в
производственных сточных водах может сильно колебаться во времени и зависит от
хода технологического процесса в отдельных цехах или на предприятии в целом.
Неравномерность притока сточных вод и их концентрации во всех случаях ухудшает
работу очистных сооружений и усложняет эксплуатацию.
Атмосферные сточные воды образуются в результате выпадения
осадков. К этой категории сточных вод относят талые воды, а также воды от
поливки улиц. В атмосферных водах наблюдается высокая концентрация кварцевого
песка, глинистых частиц, мусора и нефтепродуктов, смываемых с улиц города.
Загрязнение территории промышленных предприятий приводит к появлению в ливневых
водах примесей, характерных для данного производства. Отличительной
особенностью ливневого стока является его эпизодичность и резко выраженная
неравномерность по расходу и концентрациям загрязнений.
В зависимости от гидрогеологических условий местности,
характера производственных процессов в данном регионе, расхода воды на
хозяйственно-бытовые и производственные цели, выбирается та или иная система
водоотведения и, соответственно, схема водоотводящей сети. Загрязнения
хозяйственно-бытовых и производственных стоков влияют на технологию очистки
воды и на экологическую ситуацию в данном районе.
Санитарно-химические
показатели загрязнения сточных вод.
Состав сточных вод и их свойства оценивают по
результатам санитарно-химического анализа, включающего наряду со стандартными
химическими тестами целый ряд физических, физико-химических и
санитарно-бактериологических определений.
Сложность состава сточных вод и невозможность
определения каждого из загрязняющих веществ приводит к необходимости выбора
таких показателей, которые характеризовали бы определенные свойства воды без
идентификации отдельных веществ. Такие показатели называются групповыми или
суммарными. Например, определение органолептических показателей (запах,
окраска) позволяет избежать количественного определения в воде каждого из
веществ, обладающих запахом или придающих воде окраску.
Полный санитарно-химический анализ предполагает
определение следующих показателей: температура, окраска, запах, прозрачность,
величина рН, сухой остаток, плотный остаток и потери при прокаливании,
взвешенные вещества, оседающие вещества по объему и по массе, перманганатная
окисляемость, химическая потребность в кислороде (ХПК), биохимическая
потребность в кислороде (БПК), азот (общий, аммонийный, нитритный, нитратный),
фосфаты, хлориды, сульфаты, тяжелые металлы и другие токсичные элементы,
поверхностно-активные вещества, нефтепродукты, растворенный кислород, микробное
число, бактерии группы кишечной палочки (БГКП), яйца гельминтов. Кроме
перечисленных показателей, в число обязательных тестов полного
санитарно-химического анализа на городских очистных станциях может быть
включено определение специфических примесей, поступающих в водоотводящую сеть
населенных пунктов от промышленных предприятий.
Температура - один из важных технологических
показателей, функцией температуры является вязкость жидкости и, следовательно,
сила сопротивления оседающим частицам. Поэтому температура - один из
определяющих факторов процесса седиментации. Важнейшее значение имеет
температура для биологических процессов очистки, так как от нее зависят
скорости биохимических реакций и растворимость кислорода в воде.
Окраска - один из органолептических показателей
качества сточных вод. Хозяйственно-фекальные сточные воды обычно слабо окрашены
и имеют желтовато-буроватые или серые оттенки. Наличие интенсивной окраски
различных оттенков - свидетельство присутствия производственных сточных вод.
Для окрашенных сточных вод определяют интенсивность окраски по разведению до
бесцветной, например 1:400; 1:250 и т.д.
Запах - органолептический показатель,
характеризующий наличие в воде пахнущих летучих веществ. Обычно запах
определяют качественно при температуре пробы 20°С и описывают как фекальный,
гнилостный, керосиновый, фенольный и т.д. При неясно выраженном запахе определение
повторяют, подогревая пробу до 65°С. Иногда необходимо знать пороговое число -
наименьшее разбавление, при котором запах исчезает.
Концентрация ионов водорода выражается величиной рН. Этот
показатель чрезвычайно важен для биохимических процессов, скорость которых
может существенно снижаться при резком изменении реакции среды. Установлено,
что сточные воды, подаваемые на сооружения биологической очистки, должны иметь
значение рН в пределах 6,5 - 8,5. Производственные сточные воды (кислые или
щелочные) должны быть нейтрализованы перед сбросом в водоотводящую сеть, чтобы
предотвратить ее разрушение. Городские сточные воды обычно имеют слабощелочную
реакцию среды (рН = 7,2-7,8).
Прозрачность характеризует общую загрязненность
сточной воды нерастворенными и коллоидными примесями, не идентифицируя вид
загрязнений. Прозрачность городских сточных вод обычно составляет 1-3 см, а
после очистки увеличивается до 15 см.
Сухой остаток характеризует общую загрязненность
сточных вод органическими и минеральными примесями в различных агрегативных
состояниях (в мг/л). Определяется этот показатель после выпаривания и
дальнейшего высушивания при t =
105 °С пробы сточной воды. После прокаливания (при t = 600°С) определяется зольность сухого остатка. По этим двум
показателям можно судить о соотношении органической и минеральной частей
загрязнений в сухом остатке.
Плотный остаток - это суммарное количество
органических и минеральных веществ в профильтрованной пробе сточных вод (в
мг/л). Определяется при таких же условиях, что и сухой остаток. После
прокаливания плотного остатка при t = 600°С можно ориентировочно оценить соотношение органической и
минеральной частей растворимых загрязнений сточных вод. При сравнении
прокаленных сухого и плотного остатков городских сточных вод определено, что
большая часть органических загрязнений находится в нерастворенном состоянии.
При этом минеральные примеси в большей степени находятся в растворенном виде.
Взвешенные вещества - показатель, характеризующий
количество примесей, которое задерживается на бумажном фильтре при фильтровании
пробы. Это один из важнейших технологических показателей качества воды,
позволяющий оценить количество осадков, образующихся в процессе очистки сточных
вод. Кроме того, этот показатель используется в качестве расчетного параметра
при проектировании первичных отстойников. Количество взвешенных веществ - один
из основных нормативов при расчете необходимой степени очистки сточных вод.
Потери при прокаливании взвешенных веществ определяются так же, как для сухого
и плотного остатков, но выражаются обычно не в мг/л, а в виде процентного
отношения минеральной части взвешенных веществ к их общему количеству по сухому
веществу. Этот показатель называется зольностью. Концентрация взвешенных
веществ в городских сточных водах обычно составляет 100 - 500 мг/л.
Оседающие вещества - часть взвешенных веществ, оседающих
на дно отстойного цилиндра за 2 ч отстаивания в покое. Этот показатель
характеризует способность взвешенных частиц к оседанию, позволяет оценить
максимальный эффект отстаивания и максимально возможный объем осадка, который
может быть получен в условиях покоя. В городских сточных водах оседающие
вещества в среднем составляют 50-75% общей концентрации взвешенных веществ.
Под окисляемостью понимают общее содержание в
воде восстановителей органической и неорганической природы. В городских сточных
водах подавляющую часть восстановителей составляют органические вещества,
поэтому считается, что величина окисляемости полностью относится к органическим
примесям. Окисляемость - групповой показатель. В зависимости от природы
используемого окислителя различают химическую окисляемость, если при
определении используют химический окислитель, и биохимическую, когда роль
окислительного агента выполняют аэробные бактерии - этот показатель -
биохимическая потребность в кислороде -БПК. В свою очередь, химическая
окисляемость может быть перманганатной (окислитель КМпО4),
бихроматной (окислитель К2Сг207) и иодатной
(окислитель KJO3). Результаты определения окисляемости независимо от
вида окислителя выражают в мг/л О2. Бихроматную и иодатную
окисляемость называют химической потребностью в кислороде или ХПК.
Перманганатная окисляемость - кислородный эквивалент
легко-окисляемых примесей. Основная ценность этого показателя - быстрота и
простота определения. Перманганатная окисляемость используется с целью
получения сравнительных данных. Тем не менее, есть такие вещества, которые не
окисляются КМпО4. Определяя ХПК, можно достаточно полно оценить
степень загрязненности воды органическими веществами.
БПК - кислородный эквивалент степени
загрязненности сточных вод биохимически окисляемыми органическими веществами.
БПК определяет количество кислорода, необходимое для жизнедеятельности
микроорганизмов, участвующих в окислении органических соединений. БПК характеризует
биохимически окисляемую часть органических загрязнений сточной воды,
находящихся в первую очередь в растворенном и коллоидном состояниях, а также в
виде взвеси.
1.2 Влияние
сточных вод на водные объекты
Условия
приема (сброса) сточных вод в городскую водоотводящую сеть.
При расположении промышленного предприятия в черте
города или вблизи него, загрязненные производственные сточные воды могут
сбрасываться в городскую водоотводящую сеть. Для предотвращения нарушения
технологического процесса биологической очистки хозяйственно-бытовых сточных
вод, сбрасываемые воды должны удовлетворять определенным требованиям. Основные
из них сводятся к следующему:
• производственные сточные воды не должны быть
агрессивными по отношению к материалам водоотводящих сетей и сооружений, не
должны содержать примеси такой крупности и такого удельного веса, которые могли
бы засорять водоотводящую сеть города;
• в производственных сточных водах не должно быть
горючих примесей - бензина, нефтепродуктов, эфиров, а также растворенных
газообразных веществ, которые могли бы образовывать взрывоопасные смеси. При
биологической очистке городских стоков концентрация нефтепродуктов не должна
превышать допустимого предела для процесса биохимической очистки;
• температура смеси хозяйственно-бытовых и
производственных сточных вод не должна превышать 40°С;
• сбрасываемые в городскую водоотводящую сеть сточные
воды не должны содержать бактерий, попадающих с продуктами выработки вакцин и
сывороток;
• средние значения рН не должны превышать значений
6,5-7;
• производственные сточные воды, не отвечающие
предъявляемым требованиям, подвергаются предварительной очистке на
соответствующих локальных установках. Кроме того, предусматривается устройство
гидравлических затворов в местах выпуска в городскую водоотводящую сеть.
Общие требования к производственным сточным водам,
поступающим в городскую водоотводящую сеть, представлены в табл. 1.1
Таблица 1.1 Общие требования к
производственным сточным водам, поступающим в городскую водоотводящую сеть
|
Показатель состава и
свойств сточных вод
|
Единица измерения
|
Предельно допустимая
концентрация (ПДК)
|
|
Взвешенные вещества
|
мг/л
|
500
|
|
Зольность взвешенных
веществ
|
%
|
30
|
|
БПКПОЛН.
|
мг/л
|
500
|
|
ХПК
|
мг/л
|
800
|
|
рН
|
|
6,5-8,5
|
|
Температура
|
°С
|
40
|
|
Порог цветности
|
|
1/16
|
|
Плотный остаток
|
мг/л
|
2000
|
|
Хлориды
|
мг/л
|
350
|
|
Сульфаты
|
мг/л
|
500
|
|
Эфироулавливаемые вещества
|
мг/л
|
20
|
|
Дополнительно для г.
Москвы:
|
|
|
|
Сг3+
|
мг/л
|
1
|
|
Сг6+
|
мг/л
|
0,1
|
|
РЬ
|
мг/л
|
0,1
|
|
As
|
мг/л
|
0,05
|
|
Hg
|
мг/л
|
0,005
|
|
Al
|
мг/л
|
1
|
Особое внимание уделяется производственным сточным
водам, имеющим радиоактивные элементы. В водоотводящую сеть города не
разрешается сброс таких стоков. Не разрешен также сброс биологически
"жестких" поверхностно-активных веществ и СПАВ.
Условия
сброса сточных вод в водоем.
Многообразие количества и качества сточных вод, как
производственных, так и хозяйственно-бытовых, определяет выбор системы
водоотведения и схемы водоотводящих сетей, и, соответственно, методы очистки.
Санитарная характеристика водоема составляется на
основании санитарно-топографического обследования. При этом учитываются также
санитарные условия водообеспечения населенных мест. На основании таких
обследований составлены показатели качества воды источников водопользования.
Они разделяются на три класса (табл. 1.2).
Разделение водных источников по классам показывает
большой их разброс по качеству и количеству воды. Показатели качества воды
изменяются в зависимости от гидрогеологических условий объекта, его
географического положения, а также от наличия промышленных предприятий (они могут
сбрасывать сточные воды в водоем). По своему назначению водные источники
делятся на рыбохозяйственные и хозяйственно-бытовые, и культурно-бытовые.
Рыбохозяйственные объекты в свою очередь
подразделяются на две категории. К первой относят объекты, используемые для
сохранения и воспроизводства ценных пород рыб, обладающих высокой
чувствительностью к кислороду. Ко второй - все водные объекты, используемые для
других рыбохозяйственных целей.
При выпуске очищенных сточных вод в водоем необходимо
учитывать категорию водного объекта и ПДК вредных загрязнений. Условия спуска
сточных вод в водоемы регламентированы "Правилами охраны поверхностных вод
от загрязнений сточными водами". Этими правилами установлены нормативы
качества воды: для водоемов хозяйственно-питьевого и культурно-бытового
водопользования; для водоемов, используемых в рыбохозяйственных целях.
В соответствии с правилами запрещается спуск в водоемы
сточных вод, которые могут быть устранены путем перехода на безводное
производство или путем повторного и оборотного использования.
Правила устанавливают нормативы качества воды водоемов
по категориям водопользования: к первой категории относятся участки водоемов,
используемые в качестве источников для централизованного или
нецентрализованного питьевого водоснабжения, а также водоснабжения предприятий
пищевой промышленности. Ко второй - участки водоемов, используемых для спорта и
отдыха населения.
Таблица 1.2 Показатели качества воды
по классам при водопользовании
|
Определяемые показатели
|
Показатели i
|
качества воды по классам
|
|
1-й
|
2-й
|
3-й
|
|
/. Подземные источники
|
|
Мутность, мг/л
|
1,5
|
1,5
|
10
|
|
Цветность, град.
|
20
|
20
|
50
|
|
Водородный показатель рН
|
6-9
|
6-9
|
6-9
|
|
Железо, мг/л
|
0,3
|
10
|
20
|
|
Марганец, мг/л
|
0,1
|
1
|
2
|
|
Сероводород, мг/л
|
0
|
3
|
10
|
|
Фтор, мг/л
|
1,5-0,7
|
1,5-0,7
|
5
|
|
Окисляемость
перманганатная, мг/л О2
|
2
|
5
|
15
|
|
Число бактерий группы
кишечной
|
|
|
|
|
палочки (БГКП), количество
в 1 л
|
3
|
100
|
1000
|
|
//. Поверхностные источники
|
|
Мутность, мг/л
|
20
|
1500
|
10000
|
|
Цветность, град.
|
35
|
120
|
200
|
|
Запах, балл
|
2
|
3
|
4
|
|
Водородный показатель, рН
|
6,5-8,5
|
6,5-8,5
|
6,5-8,5
|
|
Железо, мг/л
|
1
|
3
|
5
|
|
Марганец, мг/л
|
0,1
|
1
|
2
|
|
Фитопланктон, мг/л
|
1
|
5
|
50
|
|
Клостридии, количество в 1
см3
|
1000
|
100000
|
100000
|
|
Окисляемость
перманганатная, мг/л О2
|
7
|
15
|
20
|
|
БПК полн., мг/л
|
3
|
5
|
7
|
|
Число лактозо-положительных
кишечных палочек (ЛКП), количество в 1 л
|
1000
|
10000
|
50
|
Приведенные в правилах нормативы качества воды в
водоемах относятся к створам, расположенным на проточных участках на 1 км выше
ближайшего пункта водопользования, на непроточных участках и водохранилищах - к
створам в 1 км в обе стороны от пункта водопользования.
Уточнение категорий водоемов или их участков
производится органами санитарно-эпидемиологической службы и рыбохозяйственных
организаций. Общие требования к составу и свойствам воды в водоемах и водотоках
соответствующих категорий после выпуска в них сточных вод, подвергшихся
необходимой очистке, приведены в табл. 1.3.
Требования к выпуску сточных вод в море соответствуют
нормативам приема очищенных сточных вод во внутренние водотоки и водоемы.
Однако, имеются и некоторые особенности. Согласно "Правилам санитарной
охраны прибрежных вод морей", при разработке соответствующих проектов
учитываются границы района морского водопользования по береговой линии. В
сторону моря она принимается не менее 2 км от береговой линии, далее на 10 км в
обе стороны от границ района водопользования по берегу и в сторону моря.
Предусматривается первый пояс санитарной охраны. В границах района
водопользования сброс очищенных промышленных и бытовых сточных вод, включая
судовые, запрещается.
Таблица 1.3 Допустимые изменения
состава воды в водоемах и водотоках после выпуска в них очищенных сточных вод
|
Показатели состава и
|
Требования к составу и
свойствам воды в водоеме
|
|
свойств воды в водоеме
после выпуска сточных вод
|
Категории хозяйственно-питьевого
и культурно-бытового назначения
|
Категории
рыбохозяйст-венного назначения
|
|
I II
|
I
|
II
|
|
Содержание взвешен-
|
Допускается увеличение не
более чем на
|
|
ных веществ
|
0,25 мг/л | 0,75 мг/л
|
0,25 мг/л
|
0,75 мг/л
|
|
Для водоемов, содержащих в
межень более 30 мг/л природных минеральных веществ, допускается увеличение
содержания на 5% (взвешенные вещества со скоростью осаждения более 0,4 мм/с
для проточных водоемов и более 0,2 мм/с для водохранилищ к спуску
запрещаются).
|
|
Пленки нефтепродуктов,
масел, жиров и других плавающих примесей
|
Не допускаются
|
|
Запахи, привкусы и окраска
|
Допускаются запахи и
привкусы интенсивностью не более 2 баллов (непосредственно или после
хлорирования воды). Окраска не должна обнаруживаться в столбике воды высотой
20 см | 10 см
|
Посторонние запахи,
привкусы и окраска воды, влияющие на мясо рыб, не допускаются.
|
|
Температура воды
|
Допускается повышение не
более чем на 3°С по отношению к среднемесячной температуре самого жаркого
месяца.
|
Допускается повышение не
более чем на 5°С к естественной температуре воды (при наличии холодновод-ных
рыб - лососевые, сиговые - общая температура воды не должна превышать 20°С
летом и 5°С зимой; в остальных случаях - 28°С и 8°С).
|
|
Водородный показатель
|
Не должен выходить за
пределы 6,5-8,5
|
|
Минеральный состав воды
|
Сухой остаток должен быть
не более 1000 мг/л (в том числе хлориды до 300 и сульфаты до 100 мг/л).
|
Не нормируется
|
|
Наличие растворенного
кислорода
|
Должно быть не менее 4 мг/л
|
Должно Зимой быть не подо
менее льдом 6 мг/л должно быть не менее 4 мг/л, летом - не менее 6 мг/л
|
|
Биохимическая потребность в
кислороде - БПКПОЛН при температуре 20°С
|
Не должна превышать
|
|
3 мг/л 6 мг/л
|
3 мг/л (если в зимний
период содержание кислорода в воде снижается для водоемов I
категории до 6 мг/л, II категории до 4 мг/л, то разрешается только сброс
воды, не влияющий на БПК).
|
|
Возбудители заболеваний
|
Не допускаются (после
обеззараживания биологически очищенных вод коли-индекс не должен превышать
1000 при содержании остаточного хлора 1,5 мг/л).
|
|
|
Токсичные вещества
|
Не допускаются в
концентрациях, которые могут оказать прямо или косвенно вредное воздействие
на живые организмы.
|
Спуск сточных вод, содержащих радиоактивные вещества,
в хозяйственно-бытовую систему водоотведения регламентируется "Санитарными
правилами работы с радиоактивными веществами и источниками ионизирующих
излучений".
Для неидентифицированной смеси радиоактивных веществ,
содержащих а-, (3- и у-излучения, ПДК составляет 3-10"11
кюри/л.
Радиоизотопы являются биологически-активными в
микроколичествах. Они способны избирательно накапливаться на различных
субстратах животного и растительного происхождения. Поэтому запрещается спуск
сточных вод, содержащих радиоактивные элементы, в водоемы, предназначенные для
разведения рыбы и водоплавающей птицы.
Спуск сточных вод в непроточные водоемы, моря или
водохранилища в последнее время стал чаще встречаться в санитарной практике.
Этот вопрос недостаточно изучен в отношении разбавления и самоочищения. При
спуске сточных вод в непроточные водоемы из-за ограниченности их объема нельзя
рассчитывать только на разбавление, не выяснив степень стабильности веществ в
сточных водах. Для возможности выпуска сточных вод в такие водоемы необходимо
научное обоснование условий спуска сточных вод.
Условия
спуска сточных вод в водоемы, изложенные в "Правилах"
распространяются на все объекты водоотведения, независимо от их ведомственной
принадлежности, при обязательном согласовании с органами государственного
санитарного надзора и рыбоохраны.
2.
Технологическая часть
.1
Выбор и обоснование
технологического решения
Системы
водоотведения городов.
Система водоотведения - это технологический прием
объединения или разъединения потоков сточных вод различного происхождения. В
мировом историческом опыте строительства водоотводящих систем просматриваются
различные тенденции их развития. В практике были распространены общесплавные и
комбинированные системы. Раздельные системы подразделяются на полные
раздельные, неполные раздельные и полураздельные.
Общесплавная система водоотведения имеет единую
водоотводящую сеть для отведения сточных вод всех видов: бытовых,
производственных и дождевых. Общесплавные системы применяли при наличии рядом с
обслуживаемым объектом мощных проточных водоемов, обладающих значительной
самоочищающей способностью. Особенностью этой системы является оснащение
главного коллектора ливнеспуском для сброса смеси сточных вод в водоем без
очистки. Объемы сброса сточных вод через ливнеспуски зависят от места их
расположения. Через ливнеспуски, расположенные в начале коллекторов,
допускается сброс меньших относительных объемов сточных вод. Через ливнеспуски,
расположенные в конце коллектора, допускается сброс больших относительных
объемов сточных вод в водоемы, с обязательным учетом обеспечения установленных
для них санитарных требований.
Общесплавная система водоотведения обеспечивает
удовлетворительное санитарное состояние селитебной и промышленной зоны
обслуживаемых объектов. Однако при устройстве такой системы отмечаются
отсутствие биологического равновесия в водоеме, являющемся приемником смеси
сточных вод, значительные колебания состава и концентрации загрязнений, что
влияет на качество очищенного стока. Практический опыт показывает, что несмотря
на сокращение протяженности водоотводящих сетей капитальные затраты могут быть
значительными и неприемлемыми. Значительно усложняется эксплуатация насосных и
очистных сооружений вследствие неравномерного притока дождевых вод.
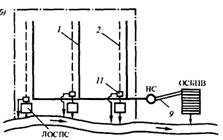
Полная раздельная система водоотведения имеет
несколько водоотводящих сетей, каждая из которых предназначена для отведения
сточных вод определенного вида (рис. 2.1,а).
Она имеет сети для отвода бытовых вод от города и
промышленных предприятий (бытовая сеть), производственных вод (производственная
сеть) и дождевых вод (водостоки или дождевая сеть).
Наиболее сложными являются водоотведение и очистка
сточных вод промышленных предприятий, так как состав и свойства сточных вод
зависят от специфики водных технологических производственных процессов.

Рис. 2.1. Схемы полной раздельной
системы водоотведения:
а - без очистки поверхностного стока;
б и в - с очисткой поверхностного стока соответственно на локальных и на
централизованных очистных сооружениях; ОСБПВ - очистные сооружения бытовых и
производственных вод; ОС/7/7 -очистные сооружения промышленного предприятия;
ЛОСПС - локальные очистные сооружения поверхностного стока; ЦОСПС -
централизованные очистные сооружения поверхностного стока; НС - насосная
станция: / - бытовая сеть; 2 - ливневая сеть; 3 - граница города; 4 -
производственная сеть; 5 - граница промышленного предприятия; 6 - возврат воды
на производство после очистки; 7 - подача воды для доочистки на очистные
сооружения города; 8 - подача очищенных вод на промышленное предприятие; 9 -
напорные трубопроводы; 10 - выпуск очищенных производственных сточных вод в
водоем; // - разделительные камеры; 12 - регулирующий резервуар
Для таких специфических потоков сточных вод выполняют
отдельные водоотводящие сети и для них предусматривают специальные очистные
сооружения.
В последние годы значительно повысились требования к
охране водоемов от загрязнений. Обеспечить такие требования без рационального
использования и очистки производственных и поверхностных стоков (дождевых вод)
невозможно.
При разработке системы водоотведения городов и
промышленных предприятий необходимо учитывать:
• возможность сокращения объемов загрязненных сточных
вод за счет устройства замкнутых систем;
• возможность последовательного использования воды в
различных технологических процессах с нормативными требованиями к ее качеству;
• необходимость очистки наиболее загрязненной части
поверхностного стока, образующегося в период выпадения дождей, таяния снега и
мойки дорожных покрытий в количестве 70 % годового стока для селитебных
территорий и всего объема стока для площадок предприятий, имеющих выбросы
токсичных органических веществ.
При полной раздельной системе водоотведения очистка
поверхностного стока может быть реализована дифференцированно с созданием
локальных очистных сооружений на дождевой сети (см. рис. 2.1, б) или созданием
централизованных очистных сооружений за пределами обслуживаемого объекта (рис.
2.1, в).
Разделение и отведение на очистные сооружения наиболее
загрязненных 70% годового стока обеспечиваются разделительными камерами.
Неполная раздельная система водоотведения имеет одну
водоотводящую сеть, состоящую из подземных трубопроводов и каналов,
предназначенную для отведения смеси бытовых и производственных сточных вод на
городские очистные сооружения. По этой производственно-бытовой сети отводится
смесь, называемая городскими сточными водами. Отведение и сброс дождевых вод
без очистки в водоем производится по открытым лоткам, кюветам и канавам. Обычно
эта система применяется для небольших объектов и при дальнейшем улучшении
благоустройства населенных мест развивается в полную раздельную систему
водоотведения.
Полураздельная система водоотведения имеет две
водоотводящие сети - производственно-бытовую и дождевую (рис. 2.2), в местах
пересечения этих сетей устраиваются разделительные камеры. При малых расходах
воды в дождевой сети камеры перепускают весь расход дождевых вод в главный
общесплавной коллектор производственно-бытовой сети. При больших расходах
камеры перепускают в производственно-бытовую сеть наиболее загрязненную часть
воды, протекающей по трубам в донной части. Таким образом, на очистку
направляются наиболее загрязненные дождевые воды, образующиеся в начальный
период дождя, и донные слои воды, имеющие наиболее высокие концентрации
загрязнений. При больших расходах воды в дождевой сети менее загрязненные
дождевые воды отводятся в водоем без очистки.
Рис. 2.2. Схема полураздельной
системы водоотведения: 1 - производственно-бытовая сеть; 2 - ливневая сеть; 3 -
промышленное предприятие; 4 - разделительные камеры
Комбинированная система водоотведения обычно возникает
исторически, в результате разной технической политики, реализуемой на различных
этапах развития степени благоустройства города. При этом часть обслуживаемого
объекта имеет общесплавную систему, а часть - полную раздельную. В силу
происхождения комбинированные системы водоотведения занимают по
санитарно-технической эффективности промежуточное положение.
Анализ
санитарно-химических показателей состава сточных вод.
Показатели санитарно-химического анализа состава
сточных вод позволяют оценить возможность использования тех или иных методов и
технологий для очистки воды. Для очистных станций важнейшими задачами
санитарно-химического анализа являются контроль за процессами очистки и оценка
эффективности работы каждого сооружения.
Полный санитарно-химический анализ воды проводится на
станциях биологической очистки обычно 1 раз в 10 суток. При этом анализируются
среднесуточные пробы, поступающих на станцию сточных вод, и пробы сточных вод
после каждого этапа очистки. По результатам анализов рассчитывается
эффективность работы очистной станции в целом и отдельных сооружений. Кроме
того, измеряются среднесуточные расходы поступающих на станцию сточных вод и
выходящих очищенных вод.
Каждый показатель качества воды определенным образом
увязан с другими показателям. Комплексная оценка состава воды может быть
сделана только на основании сопоставления всех показателей
санитарно-химического анализа. Однако, в зависимости от целей выполнения
анализа могут быть выделены наиболее значимые показатели. Расчет необходимой
степени очистки, прежде всего, выполняется по показателям взвешенных веществ и
по БПК.
Сточные воды считаются слабозагрязненными при
концентрации взвешенных веществ и величине БПКПОЛН 100 мг/л каждый,
средне загрязненными - при концентрации взвешенных веществ и БПКП0Л„
-100-500 мг/л, при величине этих же показателей более 500 мг/л -
концентрированными.
Количество органических примесей, поддающихся
биохимическому окислению, может быть оценено разностью ХПК - БПКП0ЛН,
отношение величин БПКП0ЛН и ХПК также характеризует способность
примесей сточных вод к биохимическому окислению. Для бытовых сточных вод это
отношение составляет величину 0,86, а для производственных - изменяется в
широких пределах, но, как правило, оказывается ниже, чем для бытовых. Для
сточных вод, прошедших сооружения биологической очистки, соотношение величин
БПКполн и ХПК существенно уменьшается. Рассмотрение показателей БПК,
аммонийного азота и фосфатов позволяет оценить количество биогенных элементов,
необходимых для процесса биологической очистки. В соответствии со СНиП
2.03.04-85 отношение БПКП0ЛН:N:Р должно соответствовать пропорции 100:5:1. Хлориды не
влияют на биологические процессы очистки сточных вод даже при концентрациях 10
г/л, но во избежание засолонения водоемов - приемников очищенных вод -
необходимо предотвратить сброс высокоминерализованных производственных сточных
вод в городские системы водоотведения. Определение хлоридов необходимо также
при анализе сточной воды на ХПК. Присутствие СПАВ в сточных водах сказывается
на всех стадиях очистки. Эти соединения ухудшают процесс седиментации
взвешенных частиц, образуют в каналах и аэрируемых сооружениях большое количество
пены, тормозят биохимические процессы в биоокислителях. Попадая с очищенной
водой в водоем, они серьезно усложняют дальнейшее использование его для бытовых
и промышленных целей. Состав бытовых сточных вод относительно стабилен.
Установлено, что количество загрязнений, поступающее в канализацию от 1 жителя
в сутки - величина достаточно постоянная. Исследования позволили определить
норму загрязнений на 1 человека в сутки (табл. 2.1).
Таблица 2.1 Норма загрязнений
|
Показатель
|
Норма загрязнений, г/(челсут)
|
|
Взвешенные вещества
|
65
|
|
БПКП0ЛН
неосветленной жидкости
|
75
|
|
Азот аммонийных солей N
|
8
|
|
Фосфаты Р2О5
|
3,3
|
|
Фосфаты от моющих средств
|
1,6
|
|
Хлориды С1
|
9
|
|
СПАВ
|
2,5
|
По норме загрязнений и норме водоотведения сточных вод
можно рассчитать концентрацию бытовых сточных вод по любому из выше приведенных
показателей:
Сб = а1000/п, (2.1)
где Сб - концентрация загрязнений
бытовой сточной воды, мг/л;
а - норма загрязнений, г/(чел сут);
n - норма водоотведения, л/(чел сут).
Концентрация загрязнений в городских сточных водах
рассчитывается как средняя величина в соответствии с концентрациями загрязнений
бытовой и производственной составляющих:
Сгс.в. = (C6·q6
+ Cnp·qnp)/(q6 + qnp), (2.2)
где Спр - концентрация загрязнений
производственных сточных вод, мг/л;
qб и qnp - расход
бытовых и производственных сточных вод соответственно, м3/сут.
Методы
очистки сточных вод и обработки осадков.
Методы очистки сточных вод можно разделить на
механические, физико-химические и биохимические. В процессе очистки сточных вод
образуются осадки, которые подвергаются обезвреживанию, обеззараживанию,
обезвоживанию, сушке, возможна последующая утилизация осадков. Если по условиям
сброса сточных вод в водоем, требуется более высокая степень очистки, то после
сооружений полной биологической очистки сточных вод устраивают сооружения
глубокой очистки. В соответствии с "Правилами охраны поверхностных вод от
загрязнения сточными водами" сточные воды после очистки перед сбросом в
водоем подвергают обеззараживанию с целью уничтожения патогенных
микроорганизмов.
Сооружения механической очистки сточных вод
предназначены для задержания нерастворенных примесей. К ним относятся решетки,
сита, песколовки, отстойники и фильтры различных конструкций.
Решетки и сита предназначены для задержания крупных загрязнений
органического и минерального происхождения. Песколовки служат для выделения
примесей минерального состава, главным образом, песка. Отстойники задерживают
оседающие и плавающие загрязнения сточных вод.
Для очистки производственных сточных вод, содержащих
специфические загрязнения, применяют сооружения, называемые жироловками,
нефтеловушками, масло- и смолоуловителями и др.
Сооружения механической очистки сточных вод являются,
предварительной стадией перед биологической очисткой. При механической очистке
городских сточных вод удается задержать до 60% нерастворенных загрязнений.
Физико-химические методы очистки городских сточных
вод, с учетом технико-экономических показателей, используют весьма редко. Эти
методы, в основном, применяют для очистки производственных сточных вод.
К методам физико-химической очистки производственных
сточных вод относятся: реагентная очистка, сорбция, экстракция, эвапорация,
дегазация, ионный обмен, озонирование, электрофлотация, хлорирование,
электродиализ и др.
Биологические методы очистки сточных вод основаны на
жизнедеятельности микроорганизмов, которые минерализуют растворенные
органические соединения, являющиеся для микроорганизмов источниками питания.
Сооружения биологической очистки условно могут быть разделены на два вида. К
первому виду относятся сооружения, в которых процесс биологической очистки
протекает в условиях, близких к естественным (поля фильтрации и биологические
пруды). В сооружениях второго вида аналогичная очистка осуществляется в
искусственно созданных условиях - в аэротенках и биофильтрах.
Глубокая очистка сточных вод может потребоваться, если
в сточной воде после полной биологической очистки перед сбросом в водоем
необходимо снизить концентрацию взвешенных веществ, величину показателей БПК,
ХПК и др.
При глубокой очистке сточных вод, главным образом, от
взвешенных веществ используются фильтры различных конструкций. Для глубокой
очистки от растворенных органических веществ применяют сорбционные,
биосорбционные, озонаторные и другие установки. Глубокая очистка сточных вод от
соединений азота и фосфора может осуществляться физико-химическими и
биологическими методами.
Дезинфекция сточных вод является заключительным этапом
их обработки перед сбросом в водоем. Цель дезинфекции - уничтожение патогенных
микроорганизмов, содержащихся в сточной воде. Наибольшее распространение
получил способ дезинфекции путем введения в воду газообразного хлора. Возможно
обеззараживание сточных вод озоном, используются бактерицидные ультрафиолетовые
лампы.
Обработка осадков сточных вод, образующихся в
процессах очистки, заключается в снижении их влажности и уменьшении объема, в
процессе обработки осадки обеззараживаются.
Загрязнения, задерживаемые решетками, вывозят с
территорий станций очистки, либо дробятся и обрабатываются совместно с осадками
из отстойников. Песок из песколовок обезвоживается на Песковых площадках и
также вывозится или отмывается от органических загрязнений, подсушивается и
используется в планировочных работах.
Осадок из первичных отстойников и уплотненный осадок
из вторичных отстойников (активный ил) направляются в метантенки - герметичные
резервуары, в которых под действием анаэробных микроорганизмов минерализуются
органические вещества. Вместо метантенков применяется метод анаэробной
стабилизации.
Дальнейшее снижение влажности осадков может
достигаться в аппаратах механического действия - на вакуум-фильтрах,
фильтр-прессах, центрифугах.
Иловые площадки устраиваются для обезвоживания в
естественных условиях сброженного в метантенках осадка.
Очистные
сооружения малых городов и поселков городского типа.
Норма водоотведения бытовых вод в малых населенных пунктах при наличии
благоустроенных домов не превышает 200 л/сутки на одного жителя.
Проектирование, строительство и эксплуатация малой канализации производятся с
соблюдением общих основных положений. Очистные сооружения этой системы
канализации размещают на территории объекта при канализовании отдельных зданий
или вне его при канализовании населенных пунктов; в обоих случаях соблюдаются
установленные санитарно-защитные зоны - разрывы.
Выбор способа очистки небольших количеств сточных вод, комплекса очистных
сооружений, их типов и конструкций в значительной степени зависит от местных
условий: возможности выделения площади земли под очистные сооружения,
удаленности этой площади от жилья, топографии местности, грунтовых,
гидрологических и климатических условий, характера и места расположения
водоема, в который могут быть спущены очищенные воды.
Для канализации в малых населенных пунктах создаются групповые системы
водоотведения, обслуживающие группы населенных мест, с крупными сооружениями
для очистки и обеззараживания сточной воды или устраиваются локальные системы
водоотведения малой производительности, обслуживающие отдельные населенные
пункты, группы зданий, отдельные коммунальные сооружения, с малыми установками
для очистки и обеззараживания воды. Групповые системы водоотведения сооружают в
районах с высокой плотностью населения и близко расположенными населенными
пунктами; локальные системы - в районах со сравнительно низкой плотностью
населения при территориальной отдаленности населенных пунктов, а также для
пионерских лагерей, домов отдыха, санаториев и кемпингов. Установки для очистки
и обеззараживания воды должны быть просты в изготовлении и эксплуатации и обслуживаться
минимальным количеством персонала. Установки должны обеспечить высокую
надежность технологических процессов очистки и обеззараживания воды при
использовании доступных реагентов, доставка и хранение которых не связаны с
трудностями.
В малых и поселковых системах канализации в качестве очистных сооружений
рекомендуется применять:
решетки с ручной чисткой;
песколовки (при производительности 200 м3/сутки и более);
фильтрующие колодцы;
септики или двухъярусные отстойники;
подземные поля фильтрации, аэробные биологические пруды, биофильтры,
циркуляционные окислительные каналы и аэротенки, работающие по принципу
продленной аэрации;
хлораторные и контактные резервуары;
иловые площадки.
Также могут применяться аэрационные установки с аэробной стабилизацией
избыточного активного ила при полной и неполной биологической очистке сточных
вод.
Очистные сооружения следует располагать (по отношению к ближайшему жилому
зданию или к группе зданий) с подветренной стороны преобладающего направления ветров
теплого периода года на определенных расстояниях и одновременно ниже по течению
грунтовых вод от водозаборных сооружений, питающихся этими водами.
Очистные сооружения проектируются из условий возможности эксплуатации их
либо жителями канализуемого объекта (местные очистные сооружения), либо
обслуживаемые техническим персоналом (поселковые очистные сооружения).
Примеры очистных сооружений малых городов и поселков
городского типа. сточный вода очистной город
К очистным сооружениям малых городов и посёлков городского типа следует
отнести станции пропускной способностью от 500 - 10000 м3 /сут.
Характерной особенностью небольших населённых пунктов является не только
высокий коэффициент неравномерности поступления сточных вод на очистку,
изменяющийся от 1,55 до 2,5 и выше, но во многих случаях резкие изменения
концентрации загрязнений в сточных водах за счёт поступления промышленных
стоков. По данным обследований, многие ранее запроектированные и построенные
очистные сооружения небольших населённых пунктов либо вообще не работают, либо
работают с значительной перегрузкой по воде и концентрациям загрязнений. В
зарубежной практике для уменьшения влияния неравномерности притока и колебаний
качественного состава загрязнений в технологическую схему введены усреднители.
Другой особенностью очистных сооружений небольших населённых пунктов
является применение упрощенных технологических схем с использованием сооружений
заводской готовности. Это связано с тем, что для изготовления этих очистных
сооружений используют обычную конструкционную сталь марки СтЗ без специальной
обработки металла. Поэтому при разработке современных очистных сооружений
необходимо использовать или нержавеющую сталь или изготавливать сооружения из
монолитного железобетона.
Станции пропускной способностью 500-15000 м3/суток с
применением биофильтров с плоскостной загрузкой
Технологическая схема очистки сточных вод с применением биофильтров с
плоскостной загрузкой включает следующие сооружения:
приёмная камера и решетки;
тангенциальные песколовки;
первичный вертикальный отстойник;
насосная станция биофильтров;
биореакторы доочистки сточных вод;
сооружения дезинфекции сточных вод на установках ультрафиолетового
облучения или хлораторная на жидком гипохлорите;
производственно-вспомогательное здание (компрессорная для регенерации
биореакторов, ленточные фильтр-прессы для обработки смеси сырого осадка и
омертвевшей биоплёнки);
песковые бункера или площадки;
аварийные иловые площадки.
На рисунке 2.3 приведена технологическая схема станции биофильтрации
пропускной способностью 1000-10000 м3 /сут. Основным элементом
биологической очистки является биофильтр с плоскостной загрузкой. Из всех
приведённых выше технологических схем очистки сточных вод небольших населённых
пунктов наиболее простой в эксплуатации является очистка сточных вод на
биофильтрах с плоскостной загрузкой. Сточные воды, поступающие в приёмную
камеру очистных сооружений, проходят очистку на решётках и далее в песколовках
и первичных вертикальных отстойниках. После механической очистки сточная вода
собирается в насосной станции с погружными насосами, которые подают её в
оросительную сеть биофильтров. В качестве оросителей биофильтров принята
водоструйная система орошения, которая обеспечивает равномерное орошение
поверхности загрузочного материала. Высоту слоя загрузочного материала
биофильтров следует принять 6 м.
Рис. 2.3. Технологическая схема сооружений по очистке сточных
вод населённого пункта на биофильтрах с плоскостной загрузкой пропускной
способностью 1000-10000 м3/сут: У - поступающая сточная вода; 2 - приемная
камера с решёткой; 3 - тангенциальные песколовки; 4 - первичный вертикальный
отстойник; 5 - насосная станция биофильтров; 6 - биофильтры с плоскостной
загрузкой; 7 - вторичный вертикальный отстойник; 8 - биореактор доочистки; 9 -
жидкий гипохлорит натрия; 10 - контактные резервуары; // - очищенная сточная
вода; 12 - фильтр-пресс; 13 - аварийные иловые площадки; 14 - песковые площадки
или бункера.
После биологической очистки в биофильтрах с плоскостной загрузкой
очищенная сточная вода проходит осветление во вторичных отстойниках, доочистку
в биореакторах и после дезинфекции сбрасывается в водоём.
Станции пропускной способностью 500 -1500 м3/суток
В зависимости от применяемых сооружений биологической очистки возможно
использовать три технологические схемы очистки сточных вод.
В первой схеме в качестве сооружений биологической очистки используются
аэротенки с продлённой аэрацией (или аэротенки отстойники, работающие на полное
окисление), во второй схеме используются усреднители и аэротенки с одноиловой
системой денитри-нитрификации (аэротенки могут быть с затопленной загрузкой или
без неё). В третьей схеме биологическая очистка осуществляется на биофильтрах с
плоскостной загрузкой.
Технологическая схема сооружений пропускной способностью 100 - 1000 м3/сутки
включает:
немеханизированные решётки с ручной очисткой;
тангенциальные песколовки;
аэротенки-отстойники с продлённой аэрацией;
биореакторы доочистки сточных вод;
контактные резервуары;
аэробный стабилизатор активного ила; песковые и иловые площадки.
На рисунке 2.4 приведена технологическая схема сооружений по очистке
сточных вод населенного пункта пропускной способностью 500 м3/сут.
Рис. 2.4. Технологическая схема сооружений по очистке сточных
вод пропускной способностью 500 м3/сутки. 1 - поступающая сточная вода; 2 -
приемная камера с решеткой; 3 - тангенциальная песколовка; 4 - аэротенк
продленной аэрации; 5 - вторичный отстойник; 6 - аэробный стабилизатор активного
ила; 7 - биореактор доочистки; 8 - гипохлорит натрия; 9 - контактный резервуар;
10 - очищенная сточная вода; 11 - аэрационная система регенерации биореактора;
12 - аэрационная система; 13 - иловые площадки.
Очистные сооружения обслуживают населенные пункты с населением 2000
жителей.
К приёмной камере с установленной там решёткой сточные воды подаются
погружными насосами из насосной станции, находящейся на территории очистных
сооружений. Далее сточные воды поступают в двухсекционную тангенциальную песколовку.
Биологическая очистка на очистных сооружениях проходит в аэробном режиме
с длительностью пребывания воды 16 ч. Воздух распределяется через дырчатые
трубы, диаметр отверстий составляет 3 мм.
Очищенные воды отделяются от осадка в четырёх отстойниках, время
отстаивания составляет 3,2 ч. Рециркуляционный активный ил направляется в
начало аэротенков, а избыточный активный ил - в аэробные стабилизаторы с
уплотнителем, встроенные в общий блок сооружений.
После вторичных отстойников вода доочищается в четырёх биологических
реакторах, установленных отдельно и сблокированных с контактными резервуарами.
Для загрузки биореакторов был использован загрузочный материал
"Контур". Осадок после регенерации фильтра откачивается эрлифтами во
вторичный отстойник.
После фильтрации общий поток сточной воды поступает в четыре контактных
резервуара и далее самотеком направляется в насосную станцию, которая
перекачивает ее для сброса в водоём.
Избыточный активный ил после аэробной стабилизации в течение 7 суток и
уплотнения, направляется на две иловые площадки размером 18x18 м. Обезвоженный
активный ил после подсушивания вывозится с территории очистных сооружений на
специализированный полигон.
Технологическая
схема очистки сточных вод.
Существует множество вариантов очистки хозяйственно-бытовых сточных вод.
Рассмотрим вариант "традиционной" или "классической схемы
очистки", которая приведена на рисунке 2.5.
Рис. 2.5. Традиционная технологическая схема очистки сточных
вод
Описание технологической схемы
Сточные воды, поступающие на очистные сооружения, подвергаются полной
биологической очистке, включающей несколько последовательных ступеней:
Выделение из сточной воды минеральных примесей (песок, шлам и т.д.)
осуществляется на песколовках.
Выделение из сточной воды грубодисперсных примесей, оседающих в виде
сырого осадка и плавающих жироподобных веществ - на первичных отстойниках.
Биохимическое окисление растворенных, коллоидных и взвешенных
органических веществ и неорганических загрязнений с помощью бактерий,
простейших и других микроорганизмов активного ила - в биофильтре.
Отделение сточной воды и активного ила происходит во вторичном
отстойнике. Осуществляется разделение активного ила на две части.
Циркуляционный активный ил под действием насоса поступает в аэротенк.
Обеззараживание сточных вод протекает в контактном резервуаре,
предназначающемся для обеспечения контакта хлора или другого дезинфицирующего
реагента со сточной водой
Обработка трех видов осадков: измельченные отбросы, взвешенные частицы и
избыточный активный ил, осуществляется в аэробном стабилизаторе. После чего
обезвоженный и минерализованный осадок подается на иловые площадки.
2.2 Материальный баланс процесса биологической очистки традиционной
технологической схемы
Материальный баланс биологической очистки сточной воды поселка составлен
по результатам расчетов.
|
Наименование стадии
процесса
|
Приход
|
Расход
|
Единицы измерения
|
|
1. Песколовки
|
|
|
|
|
Поступающая сточная вода:
|
125
|
124,991
|
т/сут
|
|
- количество взвешенных
веществ
|
260
|
259,991
|
т/сут
|
|
- БПКполн
|
300
|
300
|
т/сут
|
|
- количество задерживаемых
отбросов
|
|
0,009
|
т/сут
|
|
Итого:
|
125
|
125
|
т/сут
|
|
2. Первичные отстойники
|
|
|
|
|
Поступающая сточная вода:
|
124,991
|
124,886
|
т/сут
|
|
- количество взвешенных
веществ
|
259,991
|
259,886
|
т/сут
|
|
- БПКполн
|
300
|
300
|
т/сут
|
|
- количество уловленных
взвешенных веществ
|
|
0,105
|
т/сут
|
|
Итого:
|
124,991
|
124,991
|
т/сут
|
|
3. Биофильтр
|
|
|
|
|
Поступающая сточная вода:
|
124,886
|
121,249
|
т/сут
|
|
- количество взвешенных
веществ
|
259,886
|
256,249
|
т/сут
|
|
- БПКполн
|
300
|
296,363
|
т/сут
|
|
- количество уловленных
взвешенных веществ
|
|
|
т/сут
|
|
- окислено БПКполн
|
|
3,637
|
т/сут
|
|
Итого:
|
121,249
|
121,249
|
т/сут
|
2.3
Технологические расчеты для традиционной технологической
РАСЧЕТ ГОРИЗОНТАЛЬНЫХ ПЕСКОЛОВОК С КРУГОВЫМ ДВИЖЕНИЕМ ВОДЫ
В зависимости от расхода сточных вод и требуемой эффективности очистки
выбираются соответствующий тип песколовок и их количество.
Расход на одно отделение песколовки не более 20
, количество отделений n
2
. Рассчитываем площадь живого сечения 1 отделения песколовки
Где n-число отделений песколовки,
- скорость движения воды в песколовке (0,5-0,3 м/с)
2.Длина окружности песколовки
-коэффициент, который зависит от типа песколовки и
гидравлической крупности, равный 1,7 при гидравлической крупности
=18,7 мм/сек,
-глубина песколовки, принимаем равной 0,5м
3.Рассчитаем средний диаметр
Тогда время протекания воды в песколовке
4.Принимаем ширину кольцевого желоба
,
.Объем бункера одного отделения песколовки
- интервал между выгрузками осадков. Принимаем
2 суток
6.Высота конической части бункера.
-диаметр
нижнего основания бункера, принимаем равным 0,4м
7.Полная строительная высота песколовки
8.Расчет песковых площадок
9.Рабочая площадь песковой площадки
10.Общая площадь песковых площадок
РАСЧЕТ ПЕРВИЧНОГО ОТСТОЙНИКА
Рассчитываем необходимый эффект осветления в отстойниках
-начальная концентрация взвешенных веществ в воде,
поступающей в отстойник,
-допустимая
конечная концентрация взвешенных веществ в осветленной воде
1. Определяем значение гидравлической крупности
-глубина проточной части, табличное значение равное для
вертикальных отстойников 2,7,
-коэффициент использования объема проточной части отстойника,
табличное значение равное 0,35,
-продолжительность отстаивания, табличное значение равное
1340с,
-глубина слоя, равная 0,5м
-показатель степени, для городских сточных вод определяется
по графику.
.Принимаем
количество отделений отстойников n
равное 2.
Рассчитываем диаметр центральной трубы
-скорость
движения рабочего потока в центральной трубе, принимаем 0,03м/с.
округляем до сортаментного значения,
400 мм.
4.Диаметр отстойника
-принимаем равным 0,1м/с
=5,73м
Принимаем
=6м
.Расситывем диаметр раструба
и отражательного щита
6.Высота щели между низом центральной трубы и поверхностью отражательного
щита
- скорость движения в щели, равная 0,02 м/с
7.Общая высота цилиндрической части отстойника
-высота центрального слоя между низом отражательного щита и
слоем осадка, 0,2 м
-высота борта отстойника, 0,5м
. Высота конусной части отстойника
-угол наклона конического днища,
9.Общая высота отстойника
10. Определяем количество осадка выделяемого при отстаивании
-влажность
осадка, 96%
-плотность осадка,1
РАСЧЕТ БИОФИЛЬТРА БЕЗ РЕЦИРКУЛЯЦИИ
Биофильтры - это сооружение, в котором сточная вода фильтруется через
загрузочный материал, покрытый биологической пленкой, образованной колониями
микроорганизмами.
. Расчет
воды, пришедшей механическую очистку
-
смесибытовых и производственных сточных вод,
Э - эффективность очистки по
, после вторичных отстойников
Так как в схеме очистки нет преаэратора, то Э=0.
2.Площадь биофильтра
-гидравлическая
нагрузка на биофильтр, 10
, это справочная высота
-рабочая высота биофильтра 4м
Размеры типового типофильтра 21:30
Принимаем 1 фильтр (N) с
площадью 25
.Объем загрузки биофильтра
РАСЧЕТ СПРИНТЛЕРНОЙ СИСТЕМЫ БИОФИЛЬТРОВ.
. Если площадь одного биофильтра меньше 150
, то принимают 1 распределительный
бак на 2 секции биофильтра.
.Приток сточной воды в бак
3.Минимальный
расход воды из бака
Принимаем диаметр вспрыска 25,4 мм
При минимальном напоре
Минимальный расход вспрыска
При максимальном напоре
Максимальный расход вспрыска
.Определяем максимальный расход воды из спринтлера
5.Число спринтлерных головок
6.Емкость бака
-время опорожнения бака, 3 минуты.
.Время наполнения бака
8.Продолжительность
цикла
РАСЧЕТ ВТОРИЧНОГО ВЕРТИКАЛЬНОГО ОТСТОЙНИКА С НИСХОДЯЩЕ-ВОСХОДЯЩИМ
ПОТОКОМ.
.Нагрузка воды на поверхность отстойника после биофильтров.
=0,65
=1,4мм/с
=2,7м
2.Принимаем количество отделений отстойника n=3
Определяем площадь 1 отделения отстойника
3.Диаметр отстойника
Принимаем диаметр равный 4 м.
.Определяем диаметр кольцевой перегородки
5.Определяем высоту кольцевой перегородки
6.Определяем общую высоту цилиндрической части отстойника
7.Высота
конусной части отстойника
8.Общая высота отстойника
9.Суточное количество осадка, задерживаемое в отстойнике
-удельное
количество избыточной биопленки, равное
-количество
в сточной воде на 1 жителя в сутки,
РАСЧЕТ КОНТАКТНОЙ КАМЕРЫ ДЛЯ СМЕШЕНИЯ ОЗОНО-ВОЗДУШНОЙ СМЕСИ С ВОДОЙ
Примем, что обеззараживание воды производится на общей станции очистки
города M, являющемся районным центром области
и предоставляющим свои услуги малым городам области.
Тогда часовой расход сточных вод, идущих на обеззараживание составит 2100
.
.Рассчитать необходимую площадь поперечного сечения контактной камеры
-расход
озонируемой воды,
T-продолжительность
контакта озона с водой, час (6 минут =0,1 час)
n -
количество контактных камер, принимаем 2
H-глубина
слоя воды в контактной камере, 5м
Для равномерного распределения озонируемого воздуха у дна контактных
камер принимаем керамические пористые трубы.
Каркасом служит труба из нержавеющей стали с отверстиями
-6мм. На нее надевается фильтросная труба- керамический блок длиной l=500мм, внутренний диаметр 64мм и
наружный 92мм.
Активная поверхность блока, т.е. площадь всех пор размером по 100мкм на
керамической трубе занимает 25% внутренней поверхности трубы.
Отношение объема газовой смеси к объему обрабатываемой воды
примем 0,27
Площадь поперечного сечения магистральной распределительной трубы с
внутренним диаметром 49мм рассчитывается по формуле
Принимаем в каждой контактной камере по 4 магистральных распределительных
трубы, уложенных на расстоянии 0,9м
Каждая труба состоит из 8 керамических блоков, при таком размещении труб
принимаем размеры контактной камеры 3,7*5,4м
Расход озонированного воздуха, приходящегося на живое сечение каждой из 4
труб в 2 камерах.
Скорость движения воздуха в трубопроводе
Суммарная активная площадь всех пор керамических труб в одной камере
рассчитывается как
Расход озонированного воздуха, поступающего в воду через пористую
поверхность всех труб
Общее давление, которое должно быть на входе в распределительную систему
ОЗВ определяется по формуле
-гидростатическое давление в мм вод. ст. равна высоте слоя
воды в контактной камере, равно 5
- плотность
воздуха 0,001
-конструктивное отношение, рекомендуется 0,54
-площадь
одного отверстия в каркасной трубе,
Принимаем диаметр отверстия -5 мм
-0,000019
На 1 погонный метр приходится 50 отверстий
=0,00098
-площадь
сечения распределительной каркасной трубы
A-коэффициент,
который зависит от условного диаметра пор на керамической трубе
d=100мкм
Мы видим, что при слишком больших габаритах установок, системы очистки,
используются не полностью, что снижает их экономическую эффективность и
приводит к невозможности использования данной схемы.
2.4
Описание
технологического решения
После обзора и анализа вариантов очистки бытовых
сточных вод, была выбрана компактная установка типа КУТМ - 30, КУТМ - 60, КУТМ
- 120. Особенностью данной установки является наличие в ней пневматической
аэрации, насыщающей сточные воды кислородом воздуха, забираемого из атмосферы и
под давлением.
Установки с тонкослойным отстаиванием КУТМ-30, КУТМ-60 и КУТМ-120 имеют
боковые зоны отстаивания, в верхней части которых находятся наклоненные под
углом 60° к горизонту перегородки, выполненные из металлических пластин или
других жестких пластмассовых материалов.
Все установки конструктивно выполнены в виде
аэротенков-отстойников с принудительным возвратом активного ила вместо
биофильтров, рассмотренных в традиционной технологической схеме.
Хотя биофильтры имеют несколько ощутимых плюсов, таких как: полностью
автономная и энергонезависимая система, воздух поступает в фильтр через обычную
трубу, система достаточно компактная, есть и недостатки. К ним относится то,
что их необходимо менять каждые 3-5 лет, а также то, что сточные воды после
такого фильтра все равно желательно подвергнуть почвенной доочистке.
Самым совершенным локальным очистным сооружением на данный момент
является аэротенк. В нем осуществляется полный цикл очистки. Степень очистки -
96-99 процентов.
Аэротенк представляет собой герметичную камеру, куда поступает сжатый
воздух. Окисление, происходит благодаря присутствию воздуха (аэробный метод).
Однако в аэротенке находятся особенные бактерии. Сточные воды движутся вместе с
илом, образуя своего рода смесь. Чтобы ее постоянно перемешивать и насыщать
кислородом применяется специальный нагнетатель, который и подает воздух в
камеру под определенным давлением.
К недостаткам подобных систем можно отнести дороговизну, а также
необходимость постоянно иметь достаточное количество сточных вод для
фильтрации, а также постоянное электропитание. Если микроорганизмы погибнут, то
придется ждать существенное время, чтобы новые начали размножаться.
Принцип работы установок КУТМ-30, КУТМ-60, КУТМ-120 следующий: сточная
вода до поступления на установку пропускается через решетку-дробилку РД-100 или
дублирующую ручную решетку, затем через входной патрубок перетекает по
подающему лотку в два распределительных, проходящих вдоль продольных стенок. Из
распределительных лотков через отверстия с регулируемыми треугольными
водосливами стоки переливаются в аэротенк-отстойник.
Аэрационные зоны расположены по продольным стенкам. Отстойная зона
расположена в центре установки.
Смесь сточных вод и активного ила поступает через нижнюю щель в эту зону,
проходит через взвешенный слой, образованный активным илом, где происходит
разделение активного ила и очищенной сточной жидкости. Жидкость поднимается к
поверхности отстойной зоны, переливается в сборный лоток и по нему отводится из
установки, а ил собирается в бункерах отстойной зоны и перекачивается эрлифтами
в аэрационные зоны.
Избыточный
активный ил периодически удаляется из аэрационных зон на иловые площадки. Для
этого в нижней части установок предусмотрены патрубки с запорными задвижками.
Заключение
В соответствии с заданием на проектирование очистных сооружений поселка
городского типа разработан проект сооружений очистки сточных вод поселка,
численностью 500 человек. На основании литературных данных выбрана
технологическая схема очистки сточных вод поселка.
Произведен расчет технологических очистных сооружений: песколовки,
первичные и вторичные отстойники, биофильтр без рециркуляции, контактная
камера.
Было принято решение об использовании модульной установки с учетом ее
компактности и удобства эксплуатации.
Список
использованных источников
1. СНиП 2.04.03-85 ‘’Канализация. Наружные сети и
сооружения.’’; Москва,1986 г.;
. С.В. Яковлев, Ю.В. Воронов.
"Водоотведение"
. Пособие к СНиП 11-01-95
. Гудков A.Г. Механическая очистка сточных вод:
Учебное пособие. -Вологда: BoГTУ, 2003. -152с .
. ‘’Таблицы для гидравлического расчета водопроводных
труб. Справочное пособие.’’, Ф.А. Шевелев, А.Ф. Шевелев; Москва, Стройиздат,
1995 г.;