Анализ бедности в странах с переходной экономикой

  • Вид работы:
    Курсовая работа (т)
  • Предмет:
    Эктеория
  • Язык:
    Русский
    ,
    Формат файла:
    MS Word
    155,12 Кб
  • Опубликовано:
    2015-06-07
Вы можете узнать стоимость помощи в написании студенческой работы.
Помощь в написании работы, которую точно примут!

Анализ бедности в странах с переходной экономикой

ОГЛАВЛЕНИЕ

ВВЕДЕНИЕ

. ПОНЯТИЕ И ПОКАЗАТЕЛИ БЕДНОСТИ

.1 Сущность бедности как социального феномена

.2 Показатели определения бедности

. АНАЛИЗ БЕДНОСТИ В СТРАНАХ С ПЕРЕХОДНОЙ ЭКОНОМИКОЙ

.1 Страны с переходной экономикой: описание и отличительные черты

.2 Экономическое развитие стран с переходной экономикой

.3 Специфика бедности в странах переходного периода

. ПРЕДЛОЖЕНИЯ ПО РЕШЕНИЮ ПРОБЛЕМ БЕДНОСТИ

.1 Актуальность проблемы бедности для России

.2 Опыт преодоления бедности в странах с различным уровнем экономического развития

ЗАКЛЮЧЕНИЕ

СПИСОК ИСПОЛЬЗОВАННЫХ ИСТОЧНИКОВ

ВВЕДЕНИЕ

бедность переходная экономика

Сегодня внимание международной общественности, как никогда, сосредоточено на вопросах борьбы с бедностью. Но смысл этой деятельности размывается по причине неясности определения термина "бедность" и множественности критериев, предлагаемых для ее определения.

Критерии и показатели бедности являлись предметом исследования в трудах таких экономистов, как Мальтус Т., Роунтри С., Рикардо Д.,. Таунсенд П., Сен А., Черенько Л.М., Зубаревич Н.В., Мандибура В.А.,Ржаницина Л.С., Ратгайзер В.М.

Вопросы, связанные с оценкой современных масштабов бедности и материального неравенства, широко обсуждаются в России. Кризисное состояние отечественной экономики не могло не повлиять на социальные проблемы общества, проявившееся во всех странах, осуществляющих структурную перестройку хозяйственной системы. Особое место среди этих проблем занимает появление значительного количества людей, относящихся к категории бедных. Политики и исследователи, учитывая особый общественный интерес к проблемам пошатнувшегося благосостояния населения, все чаще манипулируют различными показателями уровня бедности в России в целом и по отдельным ее регионам, приводя самые противоречивые оценки.

Бедность - многогранное явление, включающее в себя невозможность удовлетворить основные биологические и социальные потребности: недостаток образования и профессиональной квалификации, болезни, недоедание, отсутствие жилья, недостаточное обеспечение водой и средствами гигиены, насилие и преступность, недостаток политической свободы и права голоса

Бедность является одним из главных вопросов на повестке дня международного развития в 21-м веке. В декабре 1995 г. Генеральная Ассамблея ООН провозгласила начало первой декады ООН по искоренению бедности (1997 г.-2006 г.). В декабре 1996 г. Генеральная Ассамблея объявила, что темой декады в целом будет «Искоренение бедности - этический, социально-политический и экономический долг человечества».

Экономический рост, при котором не повышается уровень жизни для всех, является социально и экономически неустойчивым. Повышение уровня жизни путем развития позитивных макроэкономических тенденций, сопровождаемых структурными реформами и программами по сокращению уровня бедности, является одной из самых важных задач, стоящих перед правительствами государств-членов ЧЭС.

Проблема бедности - одна из острейших социальных проблем современной России. Именно бедность, ограниченность доступа значительной части населения нашей страны к высокооплачиваемой работе, качественным услугам образования и здравоохранения, возможности успешной социализации детей и молодежи. Низкий уровень доходов значительной части  населения вызывает социальную напряженность, препятствует развитию страны, определяет кризисные процессы в семье и обществе. Этой проблеме посвящают свои труды представители различных наук,

Объектом исследования в курсовой работе являются страны с переходной экономикой.

Предметом исследования выступают механизмы противодействия бедности.

Целью курсовой работы является исследование бедности в странах с переходной экономикой.

Достижение данной цели обеспечивается решением следующих задач:

рассмотреть понятие и показатели бедности;

проанализировать уровень бедности в странах с переходной экономикой;

изучить предложения по решению проблем бедности.

Структура курсовой работы. Работа состоит из введения, трёх глав, заключения и списка использованных источников.

1. ПОНЯТИЕ И ПОКАЗАТЕЛИ БЕДНОСТИ

1.1 Сущность бедности как социального феномена

Наличие феномена бедности можно проследить от появления исторических письменных источников, дошедших до наших дней. Во все времена и во всех странах были бедные и нищие. В то же самое время, в любом обществе были люди или группы людей, озабоченные данной темой и желавшие решить проблему бедности. Кто-то пытался сделать это на воспитательном уровне, обращаясь к изменениям в мировоззрении, кто-то насильственным путем, поднимая революционные массы, кто-то путем личного филантропического примера, раздавал бедным свои имения.

Не просто дать определение бедности, так как само понятие - относительное. Нет абсолютного понимания бедности. Говоря о «бедных», их всегда сравнивают с богатыми. Поэтому, в широком смысле этого слова, бедность - это состояние, при котором возникает несоответствие между достигнутым средним уровнем удовлетворения потребностей и возможностями их удовлетворения у некоторых групп населения. То есть, есть некий средний потребительский уровень, есть те, чья потребительская корзина намного выше среднего, а есть те, кто не дотягивает до среднего уровня. Их и называют бедными.

Причем, в каждой отдельно взятой стране, этот уровень может быть разным. Если, к примеру, взять средний потребительский уровень Норвегии или Швеции, то, сравнив его с Украиной или Молдовой, мы получим совершенно отличающиеся результаты. Если же перекинуть данные в Таджикистан или Индию, то результаты будут разниться еще больше. Жизнь бедных в каждой стране отличается от жизни бедных в других странах и от жизни богатых в их же странах. Если жизнь богатых во многих странах схожа между собой, то жизнь бедных сильно разнится. У бедных формируются свои жизненные ценности, свои нормы поведения, зачастую свой слэнг. Другими словами, им присущи многие признаки субкультуры. Иногда эта субкультура имеет весьма мирный характер, иногда же она угрожает установившемуся порядку, в отдельных случаях она может их смести (Россия 1917, Египет и Ливия 2011 и многие другие).

В то же самое время, бесспорным является вопрос о том, что понятие «бедность» определяется не только в финансовом эквиваленте. Еще в проповедях Иисуса говорилось о «нищих духом» (Мф.5:3). Сегодня зачастую можно услышать фразу «духовно богатый человек». В Православной Церкви, к примеру, добровольное материальное обнищание являлись признаками духовного богатства, впрочем, как и в некоторых орденах Католической Церкви (францисканцы и др.). Поэтому, говоря о бедности, всегда надо держать во внимании такие составляющие как мировоззрение, социальные связи, уровень образованности, доступ к элементарным жизненным благам (питьевая вода, жилье, одежда и еда), медицинское обслуживание.

В различных типологиях, принятых за основу социальной стратификации, принято говорить о так называемом «низшем классе». Известный американский социолог Watson говорит о «высшим- низшем классе» и «низшим- низшем» классе, где к первому он относит наемных рабочих, у которых есть определенная стабильность, но они ограничены в получении качественного образования и они находятся в постоянной зависимости от высших классов в получении своих доходов. Тогда как ко второй категории он относит нищих, бездомных, безработных и т.д. Некоторые социологи расширяют этот список теми, чей доход не превышает половины дохода среднестатистического индустриального работника, занятого полный рабочий день.

Если говорить о Восточной Европе, особенно о тех ее частях, которые до 1991 года были частью Советского Союза, то там феномен бедности еще более разнообразен. Приведу несколько примеров. Значительная часть взрослого населения, по многу лет трудившихся на государственных предприятиях, бесплатно получали во владение квартиры. В годы Советской власти они не могли ни продавать, ни покупать их, но после падения социалистического строя активно пошел процесс приватизации, и практически все квартиры перешли в частную собственность. На сегодняшний день стоимость одной небольшой квартиры (в две комнаты, площадью в 30 квадратных метров) в таких городах как Кишинев может составлять до пятидесяти тысяч евро. Если же говорить о центре Москвы, то цена может доходить до полумиллиона евро. Значительная часть получивших эти квартиры сегодня являются пенсионерами. И вряд ли можно назвать бедным человека, владеющим недвижимостью стоимостью в 50-100 тысяч евро. В то же время, ежемесячный доход одной семьи пенсионеров в Кишиневе может составлять менее 150 евро на двоих, учитывая, что оплата коммунальных счетов может превышать 200 евро в зимнее время. При этом, у этих людей нет возможности продать свои квартиры и переехать в более дешевые. Фактически, эти люди стоят перед выбором - умереть от голода, либо не платить по счетам, рискуя при этом быть отрезанными от доступа к электроэнергии, воде и газу.

Еще один пример - из сельской местности, где очень сложно найти оплачиваемую работу. Двадцать лет назад большая часть этих людей работала на государство. Начать частную предпринимательскую деятельность большинству людей не дают следующие причины: 1) отсутствие предпринимательского духа, который был выбит за годы советской власти и так не привит за годы независимости; 2) невыгодное налоговое законодательство, которое выстроено в пользу больших компаний и предприятий и практически душит малый бизнес. Люди вынуждены искать работу за пределами своего населенного пункта, и чаще всего - за пределами своей страны. В среднем практически в каждой семье один родитель работает за рубежом. При этом, есть тысячи семей, где и муж, и жена работают за пределами страны. Во многих случаях - они работают в разных странах. Таким образом, их дети остаются одни без попечения родителей. Родители перед отъездом, как правило, не оформляют опекунство на кого-либо из родственников, пытаясь избежать дополнительных бюрократических проволочек. Дети остаются предоставленными сами себе. Ежемесячно родители высылают им финансовую поддержку в несколько сотен евро. В результате получается следующая картина: в отдельно взятом доме живут два подростка (девочка 14-ти лет и мальчик - 12-ти), у них есть финансы для оплаты услуг, еды, и даже на развлечения остается. Но они полностью лишены родительского контроля, опеки, любви и общения. Естественно, это влияет на обнищание их эмоционального и социального мира.

Говоря о классификации бедности, есть целые классы и группы людей, не способных удовлетворить элементарные физиологические потребности. За ними следуют те, кто имеет достаточно материальных средств для покрытия базовых нужд, но испытывают острый дефицит в социальной сфере (ограничения в доступе к образованию, медицине, отдыху). Есть же те, кто считает себя бедным, несмотря на то, что не испытывают нужду ни в материальных, ни в социальных благах. Их рассуждения исходят из сравнительного анализа качества получаемых благ. К примеру, у них есть еда, но она невысокого качества, у них есть жилье, но оно не позволяет им иметь так называемое «личное» пространство. Кроме того, стоит отметить еще такой феномен как «интеллектуальная нищета». Есть категория людей, вырвавшихся из круга бедности (к примеру - на основании неравного социального брака). Но, даже получив доступ к благам, они не могут к этому привыкнуть и ведут себя как бедные (переедая, в страхе, что завтра еды может не быть; чрезмерно экономя предметы быта и обихода, пользуясь старыми и откладывая новые на «черный день» и т.д.).

Если говорить только с финансовой перспективы, то в бедности выделяют, как минимум, два уровня - абсолютная бедность, которых по официальным данным на 2010 около 22% (их доход составляет менее 70 евро в месяц) и крайняя нищета, их в Молдове около 2% (их доход составляет менее 30 евро в месяц). Данные на 2011 год показывают, что около трети населения живут за чертой бедности.

Говоря об абсолютной бедности, нельзя не упомянуть такое понятие как относительная бедность. Относительное определение бедности основано на сравнении жизненных стандартов бедных одной страны (или одного региона) с бедными в другой стране (или регионе). Именно на это в 70-80-е годы прошлого века пыталось обратить внимание богословие освобождения. Акцентируя внимание на том, что современные богатые страны в большей степени стали таковыми по причине многовековой колонизации стран «третьего мира», звучали призывы к перераспределению материальных благ между странами и континентами.

И последний феномен, который необходимо здесь упомянуть - это бедность уязвимых. Есть бедные, которые стали таковыми по различным причинам: смена системы, банкротство, кризис, алкоголизм и т.д. Но при благоприятном стечении обстоятельств, эти люди могут подняться над чертой бедности и начать новую жизнь. Есть же категория бедных в Восточной Европе, у которой в обозримом будущем нет никаких шансов вырваться из этого круга. Это люди, имеющие серьезные увечья; это - одинокие пенсионеры; в некоторых странах к ним можно отнести и сирот. Вся государственная и общественная система построена так, чтобы сильные «выдавили слабых». Государство способно обеспечить эти категории лишь компенсацией на покрытие элементарных физиологических нужд, гражданское общество пытается сделать все от них зависящее, но ввиду отсутствия государственного субсидирования, эти попытки имеют частный, локальный и временный характер.

Бедность является важнейшим показателем социально-экономического положения населения страны. Уровень жизни населения, в конечном счете, определяется не только трудовыми усилиями и экономической активностью отдельных индивидуумов, семей, но и справедливостью распределения доходов.

В настоящее время в нашей стране одной из главных задач социально-экономического развития является переход от абсолютной бедности к ее относительной форме. Решение этой задачи будет означать переход к новому этапу в экономическом развитии страны и послужит показателем завершения экономических реформ последних десятилетий.

.2 Показатели определения бедности

При изучении бедности необходимо выбрать соответствующий индикатор благосостояния. Во-вторых, необходимо определить черту бедности, т. е. пороговое значение, за которым данное домохозяйство или отдельный человек будут классифицироваться как бедные. И, наконец, необходимо выбрать показатели бедности, которые будут использоваться для составления отчета по всему населению или только его подгруппам.

Чаще всего индикаторами благосостояния служат доход и потребление в качестве экономической составляющей и уровень здоровья, питания и образования, недостаток социальных связей, незащищенность, низкая самооценка и беспомощность - в качестве социальной.

Оценка  границ бедности широко варьирует от физиологического минимума до исторически сложившегося уровня жизни большинства населения данного общества.

Для того чтобы максимально учесть разносторонность понятия бедность, мы предлагаем использовать абсолютную, относительную, субъективную черту бедности и комбинированный подход к ее определению.

Абсолютную черту бедности определяет государство исходя из своих экономических возможностей.

Показатель «черта бедности» может быть представлен либо в виде натурального набора (корзины) благ первой необходимости, либо в виде стоимостного выражения этого набора благ (корзины). Основная, официальная, черта бедности строится на основе бюджета прожиточного минимума.

Прожиточный минимум - это минимальный набор благ и услуг, необходимый для обеспечения жизнедеятельности человека и сохранение его здоровья. В стоимостном выражении этот показатель выражается через бюджет прожиточного минимума.

Бюджет прожиточного минимума - это стоимостная величина прожиточного минимума, а также обязательные платежи и взносы.

В основу расчета бюджета прожиточного минимума положены главные концептуальные и методические подходы по определению минимального потребительского бюджета.

Минимальный потребительский бюджет представляет собой расходы на приобретение потребительских товаров и услуг для удовлетворения основных физиологических и социально-культурных потребностей человека. В качестве минимального потребительского бюджета в среднем на душу населения применяется среднедушевой потребительский бюджет семьи из четырех человек.

Основой натурально-вещественной структуры минимальных потребительских бюджетов является система потребительских корзин.

Потребительская корзина - это научно обоснованный сбалансированный набор товаров и услуг, удовлетворяющих конкретные функциональные потребности человека в определенном отрезке времени с учетом конкретных условий и особенностей, сложившихся в стране.

При формировании потребительской корзины исходят из круга потребностей, удовлетворение которых признается общественно необходимым, обеспечивающих нормальную жизнедеятельность человека.

Стоимость потребительской корзины является пороговым значением или чертой бедности, а бедными считаются, все кто имеют доходы ниже стоимости минимальной потребительской корзины.

Относительная черта бедности определяется относительно общего распределения дохода или потребления по стране. Относительная бедность измеряется непосредственно через оценку потребительских характеристик домохозяйства и понимается как недостаточность ресурсов, необходимых для достижения сложившихся в данном обществе стандартов потребления.

На основе социологического обследования (анкетирования) формируется список лишений связанных с питанием, одеждой, жильем, получением медицинской помощи и образования. Отсутствие выделенных благ и считают признаком бедности.

Субъективная концепция предполагает установление черты бедности на основе анализа представлений населения о том, какой объем ресурсов необходим для удовлетворения минимальных потребностей. Оценка субъективной бедности принципиальна для социальной политики, поскольку те, кто субъективно относят себя к бедным, как правило, претендуют на участие в социальных программах для бедных даже в том случае, если объективно таковыми не являются. При расчете показателя субъективной бедности необходимо ориентироваться на субъективную оценку денежных средств семьи и субъективную оценку принадлежности семьи к определенной социальной группе (крайне бедные, бедные, средний класс и др.).

Оценка остроты проблемы бедности в стране в целом или ее регионе основывается на использовании объективных статистических показателей.

Показатели оценки бедности должны отвечать следующим требованиям:

быть надежными;

сопоставимыми во времени и пространстве;

доступными для измерения.

К основным показателям бедности относят:

Предположим, что численность населения равняется n, а его бедная часть - q.

Тогда доля бедного населения (Н) определяется следующем образом:


Коэффициент фондов (коэффициент дифференциации доходов). Уровень бедности зависит не только от величины среднедушевых доходов, но и от распределения этих доходов по группам населения. Для оценки распределения используется коэффициент фондов - отношение доходов 10% населения с самыми высокими доходами к 10% населения с самими низкими доходами.

Глубина бедности. Этот показатель показывает, как далеко за чертой бедности находится домохозяйство. Глубина бедности определяет дефицит бедности всего населения, при чем понятие «дефицит бедности» обозначает количество ресурсов, необходимое для вывода бедных слоев населения из-за черты бедности путем выделения для этого денежных сумм. Глубина бедности непосредственно отражает средний дефицит совокупного дохода или потребления у всего населения по отношению к черте бедности.

Этот показатель получают, складывая все дефициты у бедных (предполагается, что дефицит у небедных равен нулю) и деля полученный результат на численность населения.

Другими словами, этот показатель оценивает общий объем ресурсов, необходимый для того чтобы поднять всех бедных на уровень черты бедности (деленный на количество населения). Этот параметр можно также использовать для неденежных индикаторов при условии, что показатель расстояния поддается интерпретации. Например, глубину бедности по образованию можно определить как количество лет обучения, необходимое или требующееся для достижения определенного порога. Следует также иметь в виду, что глубину бедности можно использовать в качестве параметра минимального количества ресурсов, необходимых для искоренения бедности, т. е. количества дотаций для вывода всех бедных из бедности при идеальном выявлении бенефициаров (т. е. чтобы каждый бедный получил именно тот объем помощи, который ему необходим для выхода из бедности).

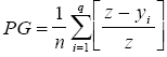
Глубина бедности (PG) определяется следующим образом:

где q - количество бедных людей, п - общая численность населения, y -уровень дохода или потребления отдельного домохозяйства i, z - черта бедности отдельного домохозяйства i.

Острота бедности (среднеквадратичная глубина бедности). Этот показатель учитывает не только расстояние до черты бедности (глубину бедности), но и неравенство среди бедных. То есть больший вес приходится на домохозяйства, находящиеся за чертой бедности дальше других. Для определения остроты бедности часто пользуются индексом Сена, показывающий распределение доходов среди бедного населения

Индекс Сена (Р), определяется следующей формулой:


где H - доля бедного населения;- «коэффициент дефицита доходов», определяемый формулой

I=1-μ2/z. которой μ2. - доходы бедных, z - черта бедности;= q/(q+1) (стремится к 1 при больших значениях q)обозначает индекс Джини для бедных.

Данные показатели можно рассчитать как на основе домохозяйств, т.е. определяя долю домохозяйств, находящихся за чертой бедности, в случае с долей бедного населения, так и на уровне отдельных жителей, чтобы принять во внимание количество человек в каждом домохозяйстве.

Бедность может быть измерена и по возможностям в достижении каких-либо благ. Индекс лишения по любой из базовых возможностей человека рассчитывается как доля населения, которая не имеет нормативного уровня обеспечения потребностей в общей численности потенциальных потребителей таких благ.

Так, индекс образовательной ограниченности (А) можно рассчитать как отношение численности детей в возрасте 3-17 лет, которые не посещают детский сад или школу, к общему количеству детей соответствующей возрастной группы.

Индекс ограниченности занятости (В) рассчитывается как отношение числа безработных, которые страдают от застойной формы безработицы или которые работают неполный рабочий день (неделю) не по своему желанию, а находясь в вынужденном неоплачиваемом отпуске, к численности занятых. Означенный выше индекс можно рассчитать также как отношение количества лиц, которые работают не по образованию или квалификации, к численности экономически активного населения. Индекс ограниченности здорового способа жизни (С) определяется отношением количества лиц, которые живут на загрязненных территориях, а также на территориях, которые характеризуются избыточным содержимым вредных веществ в питьевой воде и атмосферном воздухе к общей численности населения.

Индекс ограниченности нормальных жилищных условий (D) определяется соотношением количества домохозяйств, которые проживают в условиях, которые не отвечают санитарно-гигиеническим нормам и социальным стандартам, и общей численности домохозяйств. Индекс ограниченности доступа к медицинских услугам (E) вычисляется как отношение численности населения, которое территориально удаленно от пункта первой медицинской помощи, обслуживается медицинским учреждением, недостаточно обеспеченным профильными специалистами или неукомплектованным необходимым медицинским оснащением, к общей численности населения.

На основе перечисленных индексов ограниченности доступа к базовым возможностям вычисляется интегральный индекс Iabcde который объединяет определенные за каждым отдельным индикатором показатели

Такой многоаспектный показатель как интегральный индекс ограничения доступа к базовым возможностям может стать действенным инструментом социальной политики. То есть, при определении права домохозяйства на получение адресной социальной помощи расчет интегрального индекса бедности по возможностями будет играть роль коррективного коэффициента, в котором отражаются специфические особенности региона.

После измерения уровня бедности, определения черты бедности и вычисления всех необходимых показателей оценщику необходимо проанализировать полученные данные. Существуют различные инструменты, применяемые при данном анализе, начиная от простых описаний и заканчивая регрессионным анализом. Для анализа бедности необходимо сравнить а) характеристики домохозяйств по разным группам бедных слоев населения, б) сравнить показатели бедности между группами, в) сравнить бедность на протяжении некоторого временного отрезка, г) проанализировать корреляции бедности. Проводя анализ, необходимо быть уверенным в том, что все характеристики статистически верны.

Наиболее часто для решения такого рода задач применяются качественные методики. Они помогают в понимании поведения домохозяйств, плюс ко всему не стоит забывать о том, что качественные методики всегда могут быть дополнены количественными, что придаст анализу более завершенный вид. Количественные методики используются, главным образом, для решения задач определения участия домохозяйств в неформальных сетях; различия в доходах и потреблении домохозяйств, в частности, сезонные изменения; стратегии, применяемые домохозяйствами для уменьшения их уязвимости по отношению к изменениям доходов.

Вопрос о критериях и показателях бедности не является новым для обществоведения. Накоплен значительный опыт изучения феномена бедности в европейских странах. Происходит обобщение методов обсчета бедности в украинской экономической науке. Вместе с тем, отсутствуют пространственные, географические, исследования процессов бедности. Для исследования географических аспектов бедности, по нашему мнению, наиболее приемлемыми являются показатели, отражающие демографические параметры бедности, а также показатели, характеризующие уровень доступности населением социальной сферы и дающие представление об экономическом развитии изучаемой территории.

2. АНАЛИЗ БЕДНОСТИ В СТРАНАХ С ПЕРЕХОДНОЙ ЭКОНОМИКОЙ

2.1 Страны с переходной экономикой: описание и отличительные черты

Как понятно, есть две главные модели экономики: командная и рыночная. Командная (плановая) экономика характеризуется прямым муниципальным регулированием всех экономических процессов, для рыночной же свойственна минимизация вмешательства регулирующих органов в экономическую деятельность резидентов. Промежуточное место занимают страны с переходной экономикой.

Страны с переходной экономикой - это те, которые на этот момент находятся на пути от планового режима ведения хозяйства к рыночному. На самом деле, это страны бывшего Русского Союза, после его распада избрали рыночную модель. Потому все страны бывшего СССР, не считая, пожалуй, Беларуси - это страны переходной экономики. Для их типично ускорение экономического развития после периода кризисных явлений плановой системы (на самом деле, конкретно из-за неспособности правительства планировать всю экономическую жизнь страны и произошел распад Союза), создание и развитие новых компаний, увеличение уровня жизни населения, уровня зарплаты, ликвидация товарного недостатка и другое. Экономика становится более открытой как изнутри, так и снаружи - это означает, что как предприниматели-резиденты получают огромную степень свободы в разработке и развитии собственного бизнеса, так и иноземцы получают возможность инвестировать имеющиеся у их свободные деньги в объекты и предприятия, находятся в стране.

Обычно, страны с переходной экономикой завлекают особенное внимание со стороны зарубежных субъектов, желающих производить так именуемые прямые инвестиции в экономику этих стран. Предпосылкой такового завышенного энтузиазма является возможность более прибыльного вложения капиталов, которую можно разъяснить через действие законов спроса и предложения. Капитал - это таковой же ресурс, как и сырье и рабочая сила, а означает, существует его рынок, а ценой его является процент доходности инвестиций. Естественно, на рынках капитала продвинутых стран уже существует определенный его излишек, а означает, его доходность очень низкая (примером могут послужить процентные ставки в забугорных банках, изредка превосходят 3-4 процента годичных). В то же время, в государствах переходной экономики наблюдается значимый недочет капитала, а означает, норма доходности вкладывательных проектах там будет значительно выше.

Черта государств с переходной экономикой включает и некие отрицательные черты: резвое соц расслоение, в итоге которого разница меж доходами богатых и бедных составляет 10-ки и сотки раз. Более того, находится политическая и соц непостоянность, высочайшая возможность появления конфликтов, увеличение уровня преступности и другие. Также необходимо отметить, что страны с переходной экономикой могут характеризоваться неидеальной и нестабильной системой государственного законодательства, которые могут плохо принимать зарубежные инвесторы, которые предпочитают более размеренным странам с наименьшей нормой доходности.

Основными задачками правительства страны с переходной экономикой должны стать:

В социальной сфере - обеспечение равенства и стабильности, сведения к минимуму вероятности появления конфликтов на социальной почве, забота о незащищенных слоях населения (выплата пенсий, стипендий, пособий по безработице);

В экономической сфере - увеличение вкладывательной привлекательности страны, приведение системы законодательства (в том числе и в сфере налогообложения) в согласовании с глобальными эталонами, обеспечения защиты зарубежных инвесторов от конфигураций законодательства и налоговой системы на долгий период.

Система стран с переходной экономикой довольно многочис­ленна. Сюда относятся 13 государств Восточной Европы, 15 госу­дарств бывшего СССР, а также Китай и Вьетнам. В процессе пе­рехода от административно-командной к рыночной экономике сформировались примерно три группы стран, отличающиеся друг от друга стартовыми возможностями осуществления реформ, тем­пом и характером их проведения и достигнутыми результатами.

Первая группа стран представлена Польшей, Венгрией, Сло­вакией, Чехией, Словенией и странами Балтии. Для этой группы стран характерно непродолжительное (по историческим меркам) существование плановой экономики - около 40 лет, причем в менее жестком ее варианте.

Вторая группа представлена Россией, другими странами-чле­нами СНГ, а также Болгарией, Румынией, Югославией, Албани­ей, Монголией. Для бывшего СССР характерно длительное суще­ствование административно-командной системы (более 70 лет) в самом жестком ее варианте. Экономика характеризовалась мак­симальным огосударствлением средств производства, тотальным регламентированием хозяйственной деятельности, подавлением любых попыток частной инициативы и частной собственности, крайней степенью монополизации хозяйственной деятельности. Кроме того, в обществе распространились уравнительные тенден­ции и иждивенчество.

Третья группа стран представлена странами Восточной Азии (Китай, Вьетнам). Господство плановой экономики в этом ре­гионе продолжалось 25-30 лет.

Практика рыночных преобразований во всех трех группах стран позволяет отметить, что либерализация хозяйственной жизни (отмена государственного контроля, развитие предприни­мательской деятельности, «малая» приватизация) проходит срав­нительно легко. Либерализация цен, демонополизация экономи­ки и ее финансовая стабилизация сталкиваются с возможностью широкого социального недовольства. Крайне трудно разрешимой задачей оказывается эффективная приватизация крупных хозяй­ственных объектов и преодоление структурных диспропорций.

.2 Экономическое развитие стран с переходной экономикой

Мировая  экономика значительно ослабла в 2012 году. Число стран с переходной экономикой, особенно в  Европе, которые уже вошли в «двойной спад», растет, а в тех из них, которым угрожают неприятности с суверенным долгом, кризис углубился. Многие страны с переходной экономикой попали на «траекторию нисходящей спирали» из-за высокого уровня безработицы, слабости совокупного спроса, усугубляемой жесткой экономией бюджетных средств, высокого государственного долга и финансовой неустойчивости.

Экономические неурядицы развитых стран распространяются на развивающиеся страны и страны с переходной экономикой через ослабление спроса на их экспорт и повышение волатильности потоков капитала и цен на сырьевые товары. Однако крупные развивающиеся экономики сталкиваются  также с доморощенными проблемы: в некоторых из них (включая Китай)  инвестиционный спрос ослаблен из-за финансовых трудностей в одних секторах  экономики и избытка производственных мощностей в других секторах.

Большинство стран с низкими доходами до сих пор развивались  относительно успешно, но в настоящее время сталкиваются с усиливающимся неблагоприятным побочным воздействием спада, как в развитых странах, так и в странах со средним уровнем доходов. Перспективы на ближайшие два года продолжают оставаться неясными, что отражает наличие неопределенностей и рисков, могущих ухудшить ситуацию.

Рисунок 1. Ухудшающиеся и неопределенные перспективы мировой экономики

Рост мирового валового продукта (МВП) ожидается на уровне 2,3 процента в 2012 году и, по прогнозам, останется значительно ниже потенциального уровня как в 2013 году (2,5 процента), так и в 2014 году (3,2 процента) - рисунок O.1. При таких умеренных темпах, многие страны будут не в состоянии восстановить множество рабочих мест, утраченных во время «великой рецессии».

Глобальный кризис занятости продолжается. Уровень безработицы в мире остается очень высоким, особенно среди стран с переходной экономикой, а ситуация в Европе является наиболее сложной. В 2012 году уровень безработицы в зоне евро продолжал расти, достигнув рекордно высокого уровня, почти 12 процентов, увеличившись более чем на один процентный пункт в сравнении с предыдущим годом. Положение еще хуже в Греции и Испании, где более четверти трудоспособного населения не имеют работы. Лишь в нескольких странах региона, таких как Австрия, Германия, Люксембург и Нидерланды, зарегистрирован низкий уровень безработицы - примерно 5 процентов. Уровень безработицы в Центральной и Восточной Европе несколько вырос в 2012 году, что отчасти связано мерами жесткой экономии бюджетных средств. Уровень безработицы в Японии опустился ниже отметки 5 процентов. В Соединенных Штатах уровень безработицы оставался выше 8 процентов большую часть 2012 года, но с сентября упал ниже этой отметки.

В то же время долгосрочная безработица (свыше одного года) в странах с переходной экономикой к июлю 2012 года составила более 35 процентов от общей численности безработных, или около 17 миллионов человек. Такая длительная продолжительность безработицы оказывает, как правило, серьезное долгосрочное вредное воздействие как на лиц, которые потеряли работу, так и на экономику в целом.

В перспективе, более активное создание устойчивых к колебаниям конъюнктуры рабочих мест должно стать ключевым приоритетом государственной политики в странах с переходной экономикой. Если экономический рост в странах с переходной экономикой останется таким же анемичным, как предусмотрено в базовом варианте прогноза, уровень занятости вернется к докризисному пику лишь значительно позже 2016 года.

В странах с переходной экономикой положение с занятостью значительно варьируется. Уровень безработицы в большинстве стран Восточной Азии и Латинской Америки уже достиг отметки, на которой он находился до начала мирового финансового кризиса, или же упал ниже этой отметки. Замедление роста в конце 2011 и 2012 годов до сих пор не привело к заметному росту безработицы в этих двух регионах - положительный признак, но с той оговоркой, что изменение безработицы обычно отстает от динамики производства. Если замедление роста продолжится, уровень безработицы может значительно увеличиться. В Африке, несмотря на относительно высокие темпы роста ВВП, положение с занятостью остается серьезной проблемой во всем регионе как в смысле уровня занятости, так и в смысле качества вновь создаваемых рабочих мест. Это качество рабочих мест остается общей проблемой для развивающихся стран. Доля работающих с низкими доходами остается высокой; многие из них заняты на подверженных колебаниям конъюнктуры временных работах в неформальном секторе, который по-прежнему расширяется. Кроме того, безработица среди молодежи и гендерный дисбаланс остаются ключевыми социально-экономическими проблемами во многих  странах с переходной экономикой.

Глобальный спад и увеличение рисков для ситуации с занятостью в странах с переходной экономикой обернулся гораздо более медленными темпами сокращения бедности и сужением финансовых возможностей для инвестиций в образование, здравоохранение, улучшение санитарных и других важных условий, необходимых для ускорения прогресса на пути достижения Целей развития тысячелетия (ЦРТ). Это относится, в частности, и к наименее развитым странам (НРС); они остаются весьма уязвимыми к шокам изменения цен на сырьевые товары и сокращения внешнего финансирования в виде официальной помощи в целях развития (ОПР), которая снижается из-за жесткой финансовой экономии в странах-донорах.

Глобальные тенденции изменения выбросов парниковых газов остаются тревожными

Из-за замедления глобального экономического роста объем парниковых газов (ПГ), выбрасываемых в атмосферу странами, перечисленными в Приложении I к Киотскому протоколу, по оценкам, падал примерно на 2 процента в год в течение 2011-2012 гг. Напротив, в 2010 году наблюдался рост выбросов парниковых газов в этих странах на 3 процента, хотя в 2009 году они упали на 6 процентов из-за снижения валового внутреннего продукта (ВВП) в результате «великой рецессии». С учетом недавнего снижения динамика выбросов парниковых газов вернулась на траекторию долгосрочного нисходящего тренда. При условии последующего замедления глобального экономического роста в течение 2013-2014 гг. ожидается дальнейшее снижение выбросов стран, включенных в приложение I. Эти страны приложения I, как группа в целом, уже достигли цели Киотского протокола снизить эмиссию в 2008-2012 гг. по крайней мере на 5 процентов от уровня 1990 года.

Однако в то же время выбросы парниковых газов во многих странах с переходной экономикой растут быстрыми темпами, и в целом мир далек от того, чтобы сократить выбросы в той мере, в какой считается необходимым для поддержания концентрации ПГ на уровне менее, чем 450 частей на миллион в пересчете на углекислый газ (CO2), в соответствии с целью стабилизации глобального потепления повышением температуры на 2°C или менее по сравнению с доиндустриальной эпохой. Чтобы избежать превышения этого предела, выбросы парниковых газов должны сократиться на 80 процентов к середине века. При нынешних тенденциях эта цель недостижима. Более «зеленые» способы роста должны быть созданы сейчас. Несмотря на то, что такие способы роста потребуют больших инвестиций, они также создадут возможности для более устойчивого краткосрочного восстановления и исправления глобальных дисбалансов.

В большинстве стран с переходной экономикой уровень инфляции остается низким. Сохраняющееся большое отставание фактического выпуска от потенциального и давление на зарплату в сторону понижения во многих странах удерживает инфляционные ожидания на низком уровне. Инфляция в США снизилась в 2012 году до 2,0 процента с примерно 3,1 процента в 2011 году. Дальнейшее замедление темпов инфляции ожидается и в 2013 году. В зоне евро общая инфляция (на все товары, включая энергию и продовольствие, цены на которые особенно нестабильны) сохраняется выше ориентира центральных банков в 2 процента. Базовая инфляция, которая не включает изменение цен на энергию, продукты питания, алкоголь и табак, была значительно ниже, на уровне 1,5 процента, без признаков повышательного давления. В перспективе ожидается, что инфляция будет постепенно замедляться. Инфляция в новых членах ЕС, как ожидается, тоже снизится. Дефляция продолжает превалировать в Японии, хотя Центральный банк повысил свой ориентир инфляции для повышения инфляционных ожиданий.

Инфляция отступила в большинстве стран с переходной экономикой в 2012 году, но остается высокой и не поддается снижению в некоторых из них. В перспективе ожидаемое увеличение мировых цен на продовольствие, вызванное засухой в различных регионах-производителях, устойчиво высокими ценами на нефть и некоторыми специфическими факторами, ограничивающими производство в конкретных странах, может продолжать оказывать некоторое давление на инфляцию в странах с переходной экономикой в 2013 и в 2014 году. В Африке, в то время как инфляция замедляется во многих странах, ее уровень все еще превышает 10 процентов в Анголе, Нигерии и других государствах. Инфляция, как ожидается, будет оставаться под контролем в большей части Восточной Азии, но все еще остается проблемой для большинства стран Южной Азии, где темпы инфляции составили в среднем более 11 процентов в 2012 году и, согласно прогнозам, останутся на уровне около 10 процентов или выше в 2013 и 2014 году. Инфляция сохраняется на низком уровне в большинстве стран Западной Азии, хотя она по-прежнему высока (свыше 10 процентов) в Йемене и очень высока (30 процентов) в Сирийской Арабской Республике. Уровень инфляции в странах Латинской Америки и Карибского бассейна, как ожидается, останется на уровне примерно 6 процентов.

.3 Специфика бедности в странах переходного периода

Большинство стран региона ЧЭС - страны СНГ и Центральной и Восточной Европы, до 1990 г. обеспечивали свое население высоким уровнем базовой защищенности. Свобода, демократия, безопасность на основе защиты основных политических и гражданских прав отсутствовали, однако, в социально-экономическом отношении люди были относительно защищены. Людям была гарантирована работа в течение всей жизни. Несмотря на то, что наличные доходы были низкими, они отличались стабильностью и надежностью. У людей не было проблем с питанием, они были обеспечены одеждой и жильем. Они имели бесплатный доступ к образованию и медицинским услугам. Им были гарантированы пенсии и регулярные льготы в виде различных форм социального обеспечения.

Переходный период все изменил в корне. У людей появилось больше свободы совести, слова и участия в организациях, они начинают ощущать преимущества от не совсем еще стабильного прогресса политической демократии. Но переходный период повлек за собой огромные потери в области гуманитарного развития. Одним из самых главных последствий этого является  резкий рост бедности - как в отношении доходов, так и гуманитарной бедности.

Обретения в области свобод сопровождались утратой многих основных социально-экономических прав, которыми население пользовалось в течение десятилетий. Миллионы людей  в регионе являются или безработными, или частично занятыми. Огромное количество рабочих было вынуждено перейти на работу в не очень надежный частный сектор. Даже те, кто еще формально заняты, не имеют гарантии оплаты их труда. Люди продолжают получать пенсии, размер которых, похоже, достаточен лишь для старости в нищете и бедности. В некоторых странах существуют задолженности даже по пенсионным выплатам, какими бы мизерными они ни были. Вся прежняя всеобъемлющая система социальной защиты оказалась разрушенной. Многие базовые социальные услуги стали платными или частично приватизированными. Государственное образование и медицинские услуги ухудшились, а занявшие их место частные предприятия предназначены лишь только для тех, кто в состоянии за них платить.

Возрастает также гуманитарная бедность, которую Программа Развития ООН определяет как неудовлетворенность основных человеческих возможностей.

Основными причинами бедности являются низкая и нерегулярная зарплата, а также высокий уровень явной и скрытой безработицы, являющейся следствием экономического спада. Это нашло свое отражение в резком росте неравенства во всех странах переходного периода.

Бедность приводит к недоеданию, постоянному оттоку граждан зарубеж, низкой рождаемости, высокому уровню заболеваемости и смертности.

Недоедание стало серьезной проблемой во многих странах. Семьи с низким уровнем доходов значительно сократили потребление молока, мяса и овощей и все больше потребляют более дешевые и низкокачественные продукты. Недостаток железа является распространенным явлением во многих странах. Например, количество  женщин в России, страдающих от анемии в конце беременности, увеличилось почти втрое с 1989 г. по 1994 г.. Исследования, проведенные в Молдове в 1996 г., показали, что из-за недостатка витамина А от 20% до 50 % детей страдают рахитом. Детская смертность в большинстве стран снизилась, однако возрастает количество новорожденных с недостаточным весом, предвещая будущие проблемы.

Недоедание, сопровождающееся ухудшением медицинских услуг, невозможностью приобрести дорогостоящие лекарства для широкого слоя населения, недоступность спорта, хронические психологические и эмоциональные перегрузки - все это отрицательно влияет на здоровье нации.

Миграция является непосредственной реакцией граждан на низкий уровень жизни. Страны переходного периода стали поставщиками дешевой и достаточно квалифицированной рабочей силы. Одной из наиболее опасных тенденций в этом отношении является утечка мозгов.

Низкая рождаемость является другим важным показателем снижения уровня жизни, хотя аналогичный процесс наблюдается и во многих богатых страных, где причины этого явления совсем другие - женщины не хотят ограничивать свои интересы лишь семьей.

Социальный состав бедных:

Работающие бедные - В большинстве случаев основной причиной бедности является низкая заработная плата. Бедность людей, имеющих низкую квалификацию, профессию, не пользующуюся спросом на рынке труда, или слабое здоровье, вполне понятна. Однако в странах переходного периода бедность распространена и среди хорошо образованных людей с высокой квалификацией и полной занятостью. Эта ситуация является отражением процесса обесценивания рабочей силы, типичной для бедных стран.

Некоторые группы испытывают большее обеднение, чем другие. Во многих странах переходного периода наиболее пострадавшими являются пенсионеры. Зачастую размер пенсий находится ниже черты бедности. В результате этого многие пенсионеры в возрасте 55-70 лет используют любые возможности, чтобы найти работу. В то же время, очень пожилые пенсионеры, которые не в состоянии найти работу, живут в бедности. Хуже всего приходится одиноким пенсионерам.

Женщины обычно более подвержены обеднению, чем мужчины. Возрастает безработица и неполная занятость среди женщин. Феминизация бедности является постоянной трудноразрешимой проблемой в регионе. Гендерное неравенство в экономическом разделении власти, неравное распределение некомпенсируемого труда между женщинами и мужчинами, недостаток  технологической и финансовой поддержки женщин-предпринимателей, неравный доступ к капиталу и ресурсам, особенно, к земле и кредитам, а также пагубные традиции и обычаи усиливают феминизацию бедности.

Иждивенцы: дети и нетрудоспособные зачастую являются жертвами бедности, потому что все возрастающее количество людей не может достаточно зарабатывать, чтобы поддержать членов семьи, находящихся на их иждивении, а реальная стоимость пособий на детей и инвалидов почти повсеместно обесценивается. В переходный период возросла детская незащищенность из-за резкого роста безработицы, взрослой смертности, разводов, самоубийств и т.д..

Мигранты и беженцы оказались незащищенными перед  острыми финансовыми и физическими трудностями.

Процесс перехода к рыночной экономике в странах, образованных на территории бывшего советского пространства  в начале 90-х гг., оказался весьма сложным и проблематичным. Затяжной экономический кризис, сокращение занятости населения и катастрофическое снижение цены рабочей силы - факторы создавшие предпосылку для стремительного роста бедности на постсоветском пространстве. Согласно оценкам экспертов Всемирного Банка в докладе «Преобразование в интересах каждого: бедность и неравенство в Европе и Центральной Азии» уровень бедности в регионе в среднем вырос с 2% в 1998 г. до 21% в 2012 г.. По самым скромным расчетам, общее число бедных граждан в странах Содружества, на данный момент, превысило более 100 млн. человек. За международный критерий абсолютной бедности специалистами Всемирного Банка,  принят доход 2,15 доллара США в день на человека. Ими установлено, люди, чей доход оказывается ниже этой установленной величины не могут выжить без социальной поддержки. Наибольшая численность населения, проживающая ниже этого порога, наблюдается в Таджикистане (68%), Молдове (56%), Кыргызстане (49%) и Армении (43%). Можно выделить группу стран, где доля нуждающегося населения не превышает 25% - это Азербайджан, Россия, Казахстан, Украина. И совсем незначительная доля нуждающегося населения в Белоруссии.

Рисунок 2. Население, живущее  в условия абсолютной бедности в странах с переходной экономикой Европы и Средней Азии, %

Уровнем нищеты по стандартам ООН является доход в 1 дол США на человека в день. Согласно нашим исследованиям, результаты которых совпадают с оценкой специалистов ООН, можно выделить самые бедные страны с долей нуждающегося населения более 10 % - это Молдова (22%), Узбекистан (19%), Армения (12,8%), Туркмения (12,1%). Уровень нищеты здесь сравним с такими государствами, как Тринидад и Тобаго (12,1%), Перу (15,5 %), Йемен (17,1 %), Танзания (19,1 %).

Спад производства привел к широкому распространению безработицы (см. Таблицу 1).

Таблица 1

Динамика численности безработных зарегистрированных в службах занятости

Страна

Численность безработных

Доля в экономически активном населении страны (%).


тыс. человек



 2002

 2012

 2012 -2002

 2002

 2012

2012 к 2002

Азербайджан

6,4

51

+ 44,6

0,2

1,3

+ 0,9

Армения

56,3

127,3

+71

3,4

9,1

+5,7

Беларусь

24

130,5

+106,5

0,5

3

+2,5

Грузия

113,2

37

+76

--

--

--

Латвия

--

--

--

--

--

--

Литва

--

--

--

--

--

--

Казахстан

33,7

193,7

+160

0,4

2,6

+2,2

1,8

60,2

+58,4

0,1

3,1

+3,0

Молдова

15

24

+9

0,7

1,5

+0,8

Россия

577,7

1309,4

+731,7

0,8

1,8

+1

Таджикистан

6,8

46,7

+39,9

0,4

2,6

+2,2

Туркмения

--

--

--

--

--

--

Узбекистан

8,8

37,2

+ 28,4

0,1

0,4

+0,3

Украина

70,5

1034,2

+ 963,7

0,3

3,8

+3,5

Эстония

--

--

--

--

--

--


Переход в категорию безработных воспринимается людьми достаточно драматично, поскольку трудовая деятельность является той гранью, мерой социального престижа и самоуважения личности, за которой следует состояние напряженности, неопределенности, необходимости сложной адаптации к изменившемся условиям жизни. По данным исследований Всемирного Банка  бедность среди безработных на территории стран СНГ в 2 раза выше, чем в среднем в странах Восточной Европы. В некоторых странах СНГ рост безработицы был катастрофическим: численность безработных за период трансформационных изменений выросла на Украине на 945 тыс. человек, в России - на 713 тыс., Казахстане - на160 тыс.

За годы реформ в большинстве государств СНГ реальная заработная плата работников не только сократилась в несколько раз номинально, но и утратила реальную покупательную способность, упав ниже прожиточного минимума.

Рисунок 3. Размер минимальной заработной платы в некоторых странах Европы и Средней Азии, 2012 г. (в % от средней заработной платы).

Низкая эффективность адресной социальной помощи малоимущим слоям населения, предоставляемой государством в виду развала бюджетной системы и низкой осведомленности государственных институтов и частных лиц о сложившейся социальной ситуации в стране в этот период явилась одной из причин широкого распространения бедности. Как правило, адресная государственная помощь не доходила до нуждающихся слоев населения или имела крайне поверхностный характер.

Весьма существенным фактором в распространении бедности в этот период оказалось сокращение объема бесплатных медицинских услуг и снижение числа школ в сельской местности. Большинство стран избегало принятия конструктивных решений по рационализации внутриотраслевого распределения расходов в этих двух сферах, предпочитая закрывать учебные и медицинские учреждения в периферийных районах.  Результатом этих действий стало снижение средней продолжительности жизни во всех странах СНГ, повышение уровня младенческой смертности, значительное падение уровня рождаемости, увеличение численности больных туберкулезом.

Другая группа факторов связана с распадом сложившихся экономических связей в рамках СССР. Иллюзии по поводу прочности старых экономических связей к середине 90-х в основном развеялись, экономика многих стран СНГ стала более открытой.

Таблица 2 

Объем инвестиций между Россией и отдельными странами СНГ в 2003 г.

Страны

Объем инвестиций России (в % от объема инвестиций России в страны СНГ_

Объем инвестиций в экономику России (в % от объема инвестиций стран СНГ)

Азербайджан

0,3

0,7

5

22

Киргизия

0,1

3,5

Туркмения

0,2

0,4

Узбекистан

0.1

10


Во внешней торговле Россия первой переориентировалась на рынки развитых стран, доля СНГ в российском товарообороте опустилась до 20-25%. Среди стран СНГ только Беларусь сохранила сильную ориентацию на Россию (около 60% внешнеторгового оборота); Украина, Казахстан и Молдова имеют значительную долю Россию во внешней торговле (35-40%), но она устойчиво снижается.

Упадок инфраструктуры, имевший место в странах СНГ явился одной из основных причин распространения бедности в основном для азиатских стран членов СНГ, так как он повлек изоляцию бедного населения, проживающего в отдаленных районах. Отсутствие рынка труда в депрессивных регионах, где экономика определяется узким кругом предприятий, нормативно установленные рамки оплаты труда таковы, что не позволяют работникам получать достойное вознаграждение в зависимости от эффективности и качества труда, что в свою очередь генерирует экономическую бедность.

3. ПРЕДЛОЖЕНИЯ ПО РЕШЕНИЮ ПРОБЛЕМ БЕДНОСТИ

3.1 Актуальность проблемы бедности для России

Россия - огромная страна с населением свыше 143 миллионов человек, из них порядка 19 миллионов получают доход <http://www.moneytimes.ru/encyclopedia/15455.html> ниже прожиточного минимума, что, по данным Росстата, составляет 13 процентов от всего населения. В России растет количество бедных людей, борьба с бедностью стала серьезной проблемой для администрации президента Владимира Путина.

По сведениям российской аудиторской компании ФБК, минимальная зарплата в РФ гораздо ниже официально рассчитанного прожиточного минимума, не говоря уже о реальном. Даже правительственная статистика показывает, что богатые классы продолжают накапливать активы в геометрической прогрессии, в то время как бедные остаются бедными.

С 1 января 2013 года минимальный заработок в РФ вырос с 4611 до 5205 рублей, но с учетом повышения даже эта сумма сможет покрыть только 67 процентов стоимости жизни (в соответствии со статьей 133 Трудового кодекса, минимальная плата не может быть ниже показателя прожиточного минимума трудоспособного человека). Стоит отметить, что цена жизни в различных регионах России сильно разнится.

В России, как отмечают многие политологи, минимальная оплата труда не является инструментом борьбы с бедностью и не гарантирует достойного уровня жизни для низкооплачиваемых работников. Европейские стандарты признают минимальную заработную плату как доход, который равен 60 процентам от средней заработной платы по стране. Исходя из этого, минимальная оплата труда в России должна начинаться с 16 тысяч рублей.

По статистике самый высокий уровень бедности в России (33,5 процента) был зарегистрирован в 1992 году. Тогда количество бедных людей достигло 50 миллионов человек. В 2004 году этот показатель имел значение - 17,6, в 2007 - 13,3 процентов, показал резкое снижение в 2008 - 2011 годах. Согласно отчету Министерство торговли и экономического развития, в 2012 году уровень бедности остановился на 12,6 процентах, в 2013 году прогнозируется показатель в 12,2, а в 2014 - 11,5.

В своем недавнем выступлении премьер-министр РФ Дмитрий Медведев заявил, что если сравнить уровень бедности с 1990 годом, то он снизился в три раза, что "напрямую связано с общим улучшением на рынке труда и продолжающимся ростом доходов населения".

Есть, правда, и другие расчеты, показывающие, что снижение уровня бедности - бумажное, сравнимое со средней температурой по больнице: если сложить резко возросшие доходы условного Абрамовича со средним доходом миллиона условных нищих, то получится в среднем неплохо.

В западном мире существует довольно устоявшееся клише: Россия представляет собой страну с кучкой олигархов, которые контролируют сырьевые богатства страны, в то время как миллионы бедных людей еле сводят концы с концами на скупой подачке государства.

По данным исследования, проведенного одной из газет страны, Россия занимает второе место в мире по числу долларовых миллиардеров: 97 человек, по сравнению с 2011 годом - 80 человек. Все они обладают совокупной собственностью на сумму 380 миллиардов долларов США. Девятнадцать миллионов беднейших россиян коллективно владеют 12 миллиардами долларов США (или 380 миллиардами рублей).

На сегодняшний день Российская Федерация находится внизу таблицы из 52 двух стран относительно таких показателей, как минимальная оплата за труд и покупательная способность. Структура обнищавших людей страны также изменилась. Если в девяностые годы к ним относились работники бюджетной сферы и пенсионеры, то теперь это взрослые люди трудоспособного возраста, которые со своими специальностями оказались не востребованными на рынке труда.

Население считает, что правительство прикладывает все меньше усилий на борьбу с нищетой и все больше - на вспомоществование пенсионерам и государственным служащим. Черта бедности в России - очень низкая, но есть и немалое количество людей, которые живут гораздо ниже нее. Согласно коэффициенту Джини, который измеряет распределение доходов с учетом ряда показателей богатства (в том числе имущества), Россия получает 42 балла. Тут надо понимать, чем ближе этот коэффициент к нулю, тем более равномерное распределение доходов присуще стране.

Минимальный размер <http://www.moneytimes.ru/encyclopedia/3518.html> зарплаты в РФ значительно ниже, чем в развитых странах. Так, по данным аудиторского отчета ФБК, в начале списка находятся Бельгия, Нидерланды и Люксембург с минимальной оплатой труда в размере эквивалента 1,5 тысячи долларов США в месяц, последнее место занимает Кыргызстан, где минимальная оплата труда составляет 24 доллара США.

В Соединенных Штатах Америки бедный человек зарабатывает 930 долларов в месяц, в России 200 долларов, таким образом, соотношение уровня доходов между США и Россией составляет 5 к 1. Конечно, не стоит сравнивать стоимость жизни в России и в Америке, но, само определение российским правительством показателя "бедности", слишком узкое и искусственное, что с легкостью позволяет корректировать статистические показатели.

Аналитик газеты "Москоу таймс" Ховард Амос отмечает, что ситуация с бедностью в России усугубляется: порядка 400 тысяч россиян живут в нищете, тем более что не было никакого снижения числа малоимущих, которые существуют менее чем на 7 долларов в день.

Совсем недавно в Государственной Думе прошел третье чтение закон, который устанавливает объем потребительской корзины. В этом нормативном акте определен минимальный состав продуктов питания, непродовольственных товаров, услуг, в которых, по мнению правительственных разработчиков, испытывает потребность гражданин России. В предыдущей потребительской корзине не было прописано, сколько одежды может износиться на протяжении определенного периода времени. Теперь было решено принять норму непродовольственных товаров в размере 50 процентов от стоимости продовольствия.

Итак, среднестатистический россиянин гарантированно может позволить себе съесть в год: 126 кг хлеба, 60 кг фруктов, 100 кг картофеля, 114 кг овощей, 18,5 кг рыбы, 58 кг мяса, 210 куриных яиц и выпить 290 литров молока. Набор корзины утверждается один раз в пять лет. Сегодня, минимальная стоимость продовольственной корзины составляет 3601 рубль 10 копеек. По информации Государственной службы статистики, данный показатель с начала года вырос на 13, а показатель потребительской инфляции - на 3,5 процента.

Рост уровня бедности не представляется правительству РФ серьезной проблемой. Профессор экономической географии Наталья Зубаревич отметила, что русский народ имеет огромный опыт по урегулированию кризисов: многие на своих огородах и дачах выращивают овощи, другие полагаются на близких родственников. Большинство из них бесконфликтно идут на снижение заработной платы или соглашаются на неоплачиваемый отпуск. Рост или падение цен на нефть не расценивается с точки зрения возможных социальных вливаний, основная часть населения остается к подобным колебаниям спокойной.

Экономика России, как и любой другой страны, пострадала от глобального кризиса, но с помощью нефти и газа быстро накачала миллионы долларов… помощь стратегическим предприятиям и спасение банковских учреждений, которые принадлежат все тем же олигархам. Ведущий эксперт центра по изучению общественного мнения и маркетинговым исследованиям Наталья Седова отмечает, что порядка 40 процентов россиян полностью или частично полагаются на вторичные заработки, и зарплата - не единственный источник дохода. Но люди, которые не имеют ресурсов, живут только на государственные пособия.

Согласно данным Всемирной торговой организации, страны, в которых богатые зарабатывают в 14 раз больше, чем бедные, склонны к серьезным социальным беспорядкам, что делает Россию одним из потенциально "взрывоопасных" государств. Так, большинство респондентов центра общественного мнения уже заявили о своей готовности выйти на улицы, если уровень жизни в стране будет падать и далее. А такая перспектива весьма реальна, если учесть возможный социальный взрыв <http://www.medpulse.ru/encyclopedia/4051.html> после второго этапа масштабной приватизации, которая, судя по публично заявленным планам правительства, будет проводиться в интересах старых и новых нуворишей.

Предложения по сокращению бедности и неравенства в Российской Федерации:

Повысить уровень минимальной оплаты труда в РФ до величины  прожиточного минимума работающего населения в РФ.  Это позволит не только повысить доходы низкооплачиваемых категорий работающих граждан, но и минимальный уровень пособий по временной нетрудоспособности, пособий по беременности и родам, которые, согласно законодательству РФ, не превышают МРОТ для застрахованных лиц со стажем менее 6 месяцев, а также для беременных женщин, уволенных в связи с ликвидацией организаций. Данные меры позволят сократить уровень абсолютной бедности в стране.

Продолжить индексацию заработной платы работников государственных и муниципальных учреждений социальной сферы, запланированную в 2014г., в последующие годы с целью повышения ее средних показателей до уровня средней зарплаты в экономике страны. Эти меры позволять снизить  неравенство в оплате труда работников бюджетных учреждений социальной сферы и предпринимательского сектора экономики страны, а также уровень бедности в домохозяйствах работников бюджетной сферы. 

Для стабилизации уровня пенсионного обеспечения в стране целесообразно:

базовую составляющую страховой части трудовой пенсии обеспечить самостоятельным налоговым источником финансирования;

при снижении ставки страховых взносов работодателей ввести 1% взнос с заработка работников с последующим его повышением в зависимости от роста реальной заработной платы;

для сохранения достигнутого коэффициента замещения продолжать индексировать пенсии в зависимости от роста средней зарплаты в стране;

для долгосрочной стабилизации пенсионного обеспечения в РФ целесообразно разработать долгосрочную программу (на 15-20 лет) постепенного повышения пенсионного возраста с его выравниванием для мужчин и женщин, с постепенным повышением общего и минимального страхового стажа для получения трудовой пенсии.

краткосрочной альтернативой может быть стимулирование более позднего выхода работающих граждан на пенсию путем повышения дифференциации в уровне трудовых пенсий по возрасту.

Целесообразно для снижения уровня бедности многодетных домохозяйств с малолетними детьми повысить уровень пособий, связанных с рождением и воспитанием третьего и последующих детей, в сочетании с обеспечением таких домохозяйств  доступными жильем и детскими дошкольными учреждениями. Это позволит повысить уровень занятости матерей и доходов многодетных домохозяйств.

Переход в 2001г. от социального страхования на случай безработицы к государственному социальному обеспечению безработных в РФ не привел к улучшению их материального положения: в 2009- 2011гг. минимальный уровень пособия по безработице - 850 руб., максимальный уровень - 4900 руб. в месяц. Ни тот, ни другой не соответствуют ПМ трудоспособного населения в РФ. При этом минимальный уровень пособия по безработице необходимо поднять до величины прожиточного минимума трудоспособного населения в регионе, а максимальный уровень - привязать к средней зарплате работника до наступления безработицы, ограниченной определенным потолком. Данные меры необходимо дополнить заключением социальных контрактов с безработными гражданами на активный поиск работы и согласие на трудоустройство на подходящую работу по предложению местных органов службы занятости. Это позволит снизить уровень бедности домохозяйств с безработными.

Для снижения уровня бедности домохозяйств со студентами, обучающимися на дневных отделениях вузов, техникумов и колледжей, повышения качества высшего и среднего профессионального образования в РФ необходимо повысить уровень стипендий студентам государственных вузов и средних профессиональных учебных заведений, в первую очередь - социальных стипендий студентам  из малообеспеченных семей, до 0,5 величины ПМ трудоспособного населения  с последующим повышением до величины ПМ в регионе размещения учебного заведения. В 2012г. средняя академическая стипендия студентов вузов в РФ - 1100 руб. в месяц (при условии учебы без троек и долгов), повышенная стипендия - 1500 руб. (для отличников). Размер стипендии в техникуме и колледже - 400 руб., повышенной - 500 руб. Государственная социальная стипендия установлена в размере не менее 150% от размера академической стипендии, установленного законом. Размер социальной стипендии в 2010 году в вузах - составлял 1650 рублей, а в колледжах - 600 рублей. Необходимо также развивать систему льготных студенческих кредитов.

3.2 Опыт преодоления бедности в странах с различным уровнем экономического развития

В своем развитии человечество достигло огромных успехов, но не смогло преодолеть извечную проблему - проблему бедности, расслоения общества на богатых и бедных. В XXI веке на фоне колоссальных достижений современной цивилизации эта проблема не потеряла своей остроты, более того - приобрела новые черты и проявления как глобальный процесс. В мире, несмотря на изобилие, существует глубокая бедность: около четверти мирового населения живет ниже официальной черты бедности, установленной Всемирным банком (2 долл. США в сутки), а 1,2 млрд человек (пятая часть населения) -менее чем на 1 долл. США в день, большая часть из них проживает в Южной Азии и Африке.

Глобализация последних лет явилась средством повышения уровня жизни и помогла некоторым бедным странам сократить отставание. Уровень жизни вырос не только по параметру дохода: и средняя продолжительность жизни, и длительность школьного обучения поднялись до уровня, достигнутого богатыми странами в 1960 г. Примером тому является Вьетнам, который успешно вышел на мировые рынки трудоемкой продукции, рост занятости привел к росту доходов бедных слоев населения и снижению количества людей, живущих за чертой бедности с 75% населения в 1988 г. до 28,9% в 2003 г. В результате среди стран со средним уровнем развития человеческого потенциала Вьетнам имеет значение индекса нищеты населения на самом низком уровне - 15,7%.

Однако хотелось бы отметить, что глобальные достижения распределяются крайне неравномерно. Средние доходы в 20 наиболее богатых странах в 37 раз превышают средние доходы в 20 беднейших, и за последние 40 лет этот разрыв удвоился.

Борьба с бедностью в разных странах охватывает все аспекты социальной политики государства и включает в себя системы социальной защиты, социального обеспечения и социального страхования. Национальные системы соцзащиты многообразны, и, на первый взгляд, сходства трудно выделить. Тем не менее, возможна их типологизация. В данном случае говорят о «моделях социальной защиты». Согласно отчету Европейской комиссии, представленному в 1995 г., в странах ЕС доминируют четыре основные модели: континентальная, англосаксонская (либеральная), скандинавская и южноевропейская.

Модели социальной защиты, применяемые в разных странах мира:

. Континентальная (бисмарковская) модель (Германия, Нидерланды, Австралия, Швейцария, Франция) предусматривает взаимозависимость между уровнем соцзащиты и продолжительностью трудовой деятельности. В ее основе лежит мощнейшее обязательное социальное страхование, услуги, направляемые на различные формы страхования: медицинское, пенсионное и страхование по безработице.

Государство выступает гарантом выполнения обязательств органами социального страхования при возникновении у последних финансовых затруднений. Кроме того, государство принимает меры против засилья дешевой рабочей силы на рынке труда. В Нидерландах, Дании, Германии и Бельгии, Франции в основе системы профилактики бедности лежит установление обязательной для всех работодателей минимальной ставки заработной платы, достаточной для удовлетворения основных потребностей работающего. В результате минимальная заработная плата во Франции составляет почти 60%, в остальных странах − около 50% от среднего уровня.

. Либеральная модель социальной защиты (Великобритания, Ирландия, США, Япония): система социальной защиты, основанная на принципах всеобщности (охватывает всех членов общества, нуждающихся в материальной поддержке) и единообразия социальных услуг (равный размер пенсий и пособий, единообразие условий их выплат).

В рамках либеральной модели выделяют некоторые страновые особенности. Так, в США и Японии программы социальной помощи разрознены и адресно направлены на отдельные категории неимущих. Пособия устанавливаются на таком уровне, чтобы сдерживать процесс обеднения, но не устранять его. Подобная политика исходит из логики, что состояние бедности является результатом личного выбора индивида.

Заметим, что среди наиболее развитых промышленных стран мира США и Япония лидируют по уровню относительной бедности своего населения. По данным ОЭСР, семей получающих менее половины среднего дохода по стране, в США − 13,7%, в Японии − 13,5%. В США программы по борьбе с бедностью охватывают около 15% населения. Помощь предоставляется по двум критериям: если человек беден или принадлежит к одной из субсидируемых категорий.

. Южноевропейская (рудиментарная) модель социальной защиты (Италия, Испания, Греция, Португалия) характеризуется относительно низким уровнем социального обеспечения, а социальная защита - прерогатива семьи и родственников. В отличие от ранее представленных, данную модель можно истолковывать скорее как развивающуюся, следовательно, без ясной организации. Типичной особенностью рудиментарной модели является и асимметричная структура социальных расходов. Так, в Италии это проявляется в том, что наиболее крупную часть социальных расходов составляет пенсионное обеспечение (14,7% ВВП при среднеевропейском уровне − 12,5%), тогда как на поддержку семьи, образования и политику занятости затрачиваются незначительные средства (около 1%).

. Социал-демократическая (скандинавская) модель (Дания, Швеция, Финляндия, Норвегия) имеет широкий охват разных социальных рисков и жизненных ситуаций, требующих поддержки общества. Социальные услуги гарантируются всем жителям страны и не обусловливаются занятостью и уплатой страховых взносов. Уровень соцзащиты высокий, что сводит бедность в этих странах к самым низким в мире показателям. Социальная политика основана на том, что бедность − болезнь общества, а бедными становятся в ходе рыночного процесса, не успевая приспособиться к условиям изменяющегося рынка труда.

Наиболее ярко данная модель представлена в Швеции, где наблюдается один из самых низких уровней бедности в странах Западной Европы.

В постсоциалистических странах, переживающих этап постсоциалистических преобразований, наблюдаются огромные различия по уровню обнищания. На одном конце спектра находятся такие страны СНГ, как Таджикистан, где доля населения, живущего на менее чем 2,15 долл. США в день, составляет более 70%, в то время как на другом его конце располагаются страны, вошедшие в ЕС - Чехия, Венгрия и Словения, где абсолютная бедность практически отсутствует. Поэтому бывшие социалистические страны обычно разделяют на две крупные группы − страны Центральной и Восточной Европы и страны бывшего СССР.

В настоящее время в системе социальной защиты стран Центральной и Восточной Европы и СНГ, которые добились наибольших успехов в сокращении бедности, происходят следующие изменения:

) функции соцзащиты населения перераспределяются между государством, местными органами власти, предприятиями, некоммерческими и общественными организациями;

) основная обязанность по защите нетрудоспособных и социально уязвимых слоев населения перекладывается на местные органы власти.

На наш взгляд, это повышает адресность системы социального обеспечения, хотя, с другой стороны, увеличиваются нагрузка и объем работы местных органов власти.

Среди стран ЕС социальная поддержка населения лучше всего организована в Бельгии. Она же занимает первое место по относительной доле семейных пособий в средней зарплате рабочих. Среди «новых» стран ЕС − в Чехии самый низкий процент людей, живущих за чертой бедности, а разница в доходах между богатыми и бедными − одна из самых низких в Европе.

Анализ системы социальной защиты в постсоциалистических странах показал, что в основу критерия предоставления помощи были положены либо расчеты прожиточного минимума (Чехия, Словакия, Россия), либо минимальной пенсии (Венгрия, Польша), либо минимального базового дохода (Болгария).

Подводя итог, отметим, что в постсоциалистических и развивающихся странах политика сокращения бедности нацелена на помощь тем, кто находится намного ниже черты бедности (адресная социальная помощь). В тоже время программы борьбы с бедностью в развитых странах нацелены на тех, кто не имеет работы, и нацелены на подтягивание доходов неимущих до определенной черты.

На основе анализа зарубежных стратегий борьбы с бедностью и систем социальной защиты можно сделать вывод, что не существует простого единого плана регулирования уровня бедности. Тем не менее, если некоторые страны могут достичь значительного прогресса в сокращении многочисленных проявлений бедности, то этого же могут добиться и другие страны. Однако следует понимать, что каждая страна имеет свои особенности и слепо копировать опыт социальной защиты развитых стран недопустимо. Это актуализирует и обуславливает необходимость анализа моделей социальной защиты зарубежных стран и перехода к целостной политике, направленной на сокращение бедности в современной России.

ЗАКЛЮЧЕНИЕ

В мировой практике используются три подхода к определению бедности: абсолютный, относительный и субъективный.

Абсолютный подход устанавливает минимум средств существования, то есть черту бедности. Относительный причисляет к бедным тех, чей доход не позволяет иметь принятого в этом обществе стандарта потребления. Субъективная бедность определяется на собственной оценке населения своего благосостояния, возможности платить за еду, лекарства, одежду, жилье и т.п.

В Международных исследованиях ООН применяется комбинирование этих подходов. Статус бедных получают те, кто соответствует этим трем подходам одновременно. Это семьи, которые имеют доходы ниже прожиточного минимума, испытывают лишения в потреблении, ощущают себя бедными.

Российский подход основывается на применении абсолютного подхода с элементами относительного. Черту бедности устанавливают на уровне прожиточного минимума, который определяется на основе нормативно-статистических данных: минимальный набор продуктов питания с учтенными диетологическими требованиями, расходы на непродовольственные товары и услуги и другие обязательные платежи.

Потребительская корзина должна учитывать природно-климатические условия, национальные традиции и местные предпочтения субъектов Российской Федерации. Она определяется не реже одного раза в 5 лет.

На основании потребительской корзины  и данных о статистике об уровне и индексах потребительских цен на продукты питания, непродовольственные товары и услуги, и расходов по обязательным платежам определяется величина прожиточного минимума на душу населения .

В конце марта 2013 года Владимир Путин отметил, что бедность сократилась почти в 3 раза по сравнению с 2000 годом: "В 2000 году 30 процентов россиян жили за чертой бедности. Сейчас - 11,2 процента", также он заметил, что «это достаточно высокий уровень, так что проблема остается».

Но 11,2 % - это показатель бедности по абсолютному подходу, которым пользуется наше правительство. Этот подход не слишком объективен, учитывая несоответствие потребительской корзины потребностям человека.

Институт социологии РАН использовал европейские методики в исследовании жизни россиян и получил ужасающие результаты: 59% живут в бедности. Из них  до прожиточного минимума не дотягивают 16%, 43% относятся к категории малообеспеченных. Конечно, «абсолютные» 11,2 % выглядят на этом фоне более оптимистично. И это выгодно нашему правительству.

В наиболее сложном материальном положении находятся многодетные и неполные семьи. Среди них доля бедных составляет 60-80%.  Причина их бедности - это низкие доходы родителей.

Появились и «новые бедные» - это полные семьи с 1-2 детьми. У 50 % из них доходы ниже прожиточного минимума, 60 % семей имеют пенсионеров с низкими пенсиями, 40% -родителей, занятых низкооплачиваемой работой.

Происходит усиление гендерного аспекта бедности. Он проявляется в отставании женщин в профессиональной карьере, несмотря на их более высокий уровень высшего образования. В первую очередь это связано с репродуктивной функцией женщины и двойной занятостью - домашнее хозяйство, воспитание детей и работа. Оказывает влияние и национальный менталитет, выражающий негативное отношение к карьере женщины.

Наблюдается явление застойной  бедности в депрессивных районах, таких как Дагестан и Ингушетия. Хотя некоторые экономисты считают, что население Ингушетии скрывает свои доходы. Отсутствие градообразующих предприятий сказывается на проявлении бедности во Владимирской области.

Перспективы решения проблемы  бедности связаны с ростом экономики. Переход в России к рыночной экономике сопровождается ростом неравенства в распределении доходов при ограничении доступа бедных к ресурсам развития. Неравенство существует на уровне предприятия, отрасли, в межотраслевом и региональном масштабе. В этих условиях даже при экономическом росте бедность может увеличиваться. Поэтому необходимо более активное регулирование процессов распределения благ.

Необходимо создать образовательную систему, которая позволит приобрести необходимые умения и навыки, снизить уровень неравенства введением прогрессивного налогообложения. Крайне важно развивать промышленность и транспортные магистрали, помогать предприятиям в состоянии застоя, чтобы обеспечить людей рабочими местами.

Большое значение имеет социальная благотворительность, зачатки которой начали формироваться в России.

Но главное, необходимо признать масштабы проблемы. Поэтому нужно отказаться от методов оценки, которые дают нам столь радужную, но обманчивую картину сокращения бедности.

СПИСОК ИСПОЛЬЗОВАННЫХ ИСТОЧНИКОВ

Башманова Е.Л. Социальная стратификация как проблема педагогической теории и практики <http://elibrary.ru/item.asp?id=17891767> // Alma mater (Вестник высшей школы) <http://elibrary.ru/contents.asp?issueid=1027474>. - 2012. - № 7 <http://elibrary.ru/contents.asp?issueid=1027474&selid=17891767>. - С. 12-22.

Беглова Е.И. Опыт преодоления бедности в странах с различным уровнем экономического развития // Российское предпринимательство. - 2012. - № 11 (209). - С. 4-9.

Блиничкина Н.Ю., Ходжаев З.К. Бедность как глобальный феномен: проблема и последствия <http://elibrary.ru/item.asp?id=18259119> // Вестник Таджикского государственного университета права, бизнеса и политики <http://elibrary.ru/contents.asp?issueid=1077326>. - 2013. - № 4 (52) <http://elibrary.ru/contents.asp?issueid=1077326&selid=18259119>. - С. 67-77.

Воронкова О.В. Подходы к определению и измерению бедности. - Ростов-на-Дону: Ростовский государственный университет, 2007. - С.147-154.

Гбоко Кобена С. Бедность как социально-педагогическая проблема <http://elibrary.ru/item.asp?id=17818931> // Региональное образование XXI века: проблемы и перспективы <http://elibrary.ru/contents.asp?issueid=1023438>. - 2013. - № 4 <http://elibrary.ru/contents.asp?issueid=1023438&selid=17818931>. - С. 145-147.

Гусева М.С., Широканева О.С. Проблема измерения российской бедности: методологический аспект <http://elibrary.ru/item.asp?id=20573332> // Научно-методический электронный журнал "Концепт" <http://elibrary.ru/contents.asp?issueid=1178941>. - 2013. Т. 4. - № 34 <http://elibrary.ru/contents.asp?issueid=1178941&selid=20573332>. - С. 1701-1705.

Дегтярев Г. О принципах и практике организации общественной жизни (российский и зарубежный опыт) <http://elibrary.ru/item.asp?id=18805156> // Общество и экономика <http://elibrary.ru/contents.asp?issueid=1107886>. - 2013. - № 1-2 <http://elibrary.ru/contents.asp?issueid=1107886&selid=18805156>. - С. 150-174.

Доклад о развитии человека 2006. Что кроется за нехваткой воды: власть, бедность и глобальный кризис водных ресурсов / Пер. с англ. - М.: Весь Мир, 2006. - С.99.

Исмоилова М.М., Носирова У.Н. Занятость, безработица, бедность: проблемы и решения <http://elibrary.ru/item.asp?id=18246692> // Вестник Таджикского государственного университета права, бизнеса и политики <http://elibrary.ru/contents.asp?issueid=1076479>. - 2012. - № 3 (51) <http://elibrary.ru/contents.asp?issueid=1076479&selid=18246692>. - С. 46-54.

Калмыкова О.А. Социальные противоречия между богатыми и бедными <http://elibrary.ru/item.asp?id=16370118> // Гуманитарный вектор. Серия: Педагогика, психология <http://elibrary.ru/contents.asp?issueid=937001>. - 2011. - № 2 <http://elibrary.ru/contents.asp?issueid=937001&selid=16370118>. - С. 38-41.

Кирьянова В.С. Проблема бедности в России и пути ее преодоления <http://elibrary.ru/item.asp?id=18977669> // Современные научные исследования и инновации <http://elibrary.ru/contents.asp?issueid=1117418>. - 2013. - № 4 (24) <http://elibrary.ru/contents.asp?issueid=1117418&selid=18977669>. - С. 11.

Коломейко М.В. Общая характеристика понятия «бедности» в мире <http://elibrary.ru/item.asp?id=18077542> // Каспийский регион: политика, экономика, культура <http://elibrary.ru/contents.asp?issueid=1044433>. - 2012. - № 2 <http://elibrary.ru/contents.asp?issueid=1044433&selid=18077542>. - С. 334-337.

Мировое экономическое положение и перспективы в 2013 году. - М., 2013. - С.1-5.

Нифаева О. Решение проблемы бедности в России на пути формирования цивилизованных экономических отношений <http://elibrary.ru/item.asp?id=20466066> // Общество и экономика <http://elibrary.ru/contents.asp?issueid=1157818>. - 2013. - № 9 <http://elibrary.ru/contents.asp?issueid=1157818&selid=20466066>. - С. 92-101.

Павлова Т.А. Бедность как социальная проблема <http://elibrary.ru/item.asp?id=20136075> // Социология в современном мире: наука, образование, творчество <http://elibrary.ru/contents.asp?issueid=1133689>. - 2012. - № 4 (4) <http://elibrary.ru/contents.asp?issueid=1133689&selid=20136075>. - С. 216-220.

Поддубная Е.Н. Социологические аспекты проблемы бедности <http://elibrary.ru/item.asp?id=18876301> // Сервис в России и за рубежом <http://elibrary.ru/contents.asp?issueid=1111200>. - 2013. - № 4 (42) <http://elibrary.ru/contents.asp?issueid=1111200&selid=18876301>. - С. 92-108.

Рагозина А.Ю. Методологические подходы к оценке качества жизни населения <http://elibrary.ru/item.asp?id=20695955> // Экономические науки <http://elibrary.ru/contents.asp?issueid=1203231>. - 2013. - № 102 <http://elibrary.ru/contents.asp?issueid=1203231&selid=20695955>. - С. 79-82.

Ратгайзер В.М. Стоимость жизни и ее измерение. - М.: Финансы и статистика, 1991. - С.118.

Россия и страны мира. 2012. Стат.сб. / Росстат. − M., 2012.  - С.116.

Страны с переходной экономикой в системе мирового хозяйства // <http://gigabiz.ru/mirovaya-ekonomika-finansov-strany-s-perexodnoj-ekonomikoj-v-sisteme-mirovogo-xozyajstva/>

Федотовская Т.А. Социальные аспекты проблемы бедности в современной России. - М.: Аналитическое управление Аппатата Совета Федерации, 2003. - С.94.

Фахрутдинова Е.В., Гараева Д.Ф. Отечественные и зарубежные критерии оценки качества жизни населения <http://elibrary.ru/item.asp?id=19624214> // Вестник Самарского финансово-экономического института <http://elibrary.ru/contents.asp?issueid=1132057>. - 2013. - № 12 <http://elibrary.ru/contents.asp?issueid=1132057&selid=19624214>. - С. 17-24.

Фролова Е.Б., Великанова Т.Б. Методика измерения относительной бедности <http://elibrary.ru/item.asp?id=18060840> // Уровень жизни населения регионов России <http://elibrary.ru/contents.asp?issueid=1043363>. - 2012. - № 10-11 <http://elibrary.ru/contents.asp?issueid=1043363&selid=18060840>. - С. 89-98.

Хуснутдинова Л.М. Институциональное решение проблемы бедности <http://elibrary.ru/item.asp?id=17937789> // Экономические науки <http://elibrary.ru/contents.asp?issueid=1029754>. - 2013. - № 87 <http://elibrary.ru/contents.asp?issueid=1029754&selid=17937789>. - С. 42-45.

Чалов И.В. Институциональное осмысление феноменов богатства и бедности <http://elibrary.ru/item.asp?id=17640092> // Наука и бизнес: пути развития <http://elibrary.ru/contents.asp?issueid=1011989>. - 2012. - № 2 <http://elibrary.ru/contents.asp?issueid=1011989&selid=17640092>. - С. 56-59.

Челнокова Г.Б. -Прожиточный минимум и минимальный размер оплаты труда  основные критерии определения бедности в социальном законодательстве России <http://elibrary.ru/item.asp?id=20505088> // Актуальные проблемы российского права <http://elibrary.ru/contents.asp?issueid=1163788>. - 2013. - № 11 <http://elibrary.ru/contents.asp?issueid=1163788&selid=20505088>. - С. 1411-1416.

Похожие работы на - Анализ бедности в странах с переходной экономикой

 

Не нашли материал для своей работы?
Поможем написать уникальную работу
Без плагиата!
Без нейросетей!