Эконометрические задачи
Задача 1
Исследуется зависимость
производительности труда (
) от уровня
механизации работ (
%) по данным
14 промышленных предприятий (
- порядковый номер предприятия).
Статистические данные приведены в таблице.
Требуется:
) Найти оценки параметров линейной
регрессии
на
. Построить
диаграмму рассеяния и нанести прямую регрессии на диаграмму рассеяния.
) На уровне значимости
проверить
гипотезу о согласии линейной регрессии с результатами наблюдений.
) С надежностью
найти
доверительные интервалы для параметров линейной регрессии.
регрессия
производительность статистика эконометрический
|
1234567891011121314
|
|
|
|
|
|
|
|
|
|
|
|
|
|
|
|
6459657173803634404445516058
|
|
|
|
|
|
|
|
|
|
|
|
|
|
|
|
4244454749522428323435373841
|
|
|
|
|
|
|
|
|
|
|
|
|
|
|
Решение:
1) Для уравнения прямой регрессии
по
статистическим данным найдем оценки
и
ее параметров методом наименьших
квадратов. Применим формулы:
,
, где
,
;
,
,
,
, n =14
Вычисления
организуем в
форме следующей расчетной таблицы:
|
    
|
|
|
|
|
|
|
1
|
64
|
42
|
4096
|
1764
|
2688
|
|
2
|
59
|
44
|
3481
|
1936
|
2596
|
|
3
|
65
|
45
|
4225
|
2025
|
2925
|
|
4
|
71
|
47
|
5041
|
2209
|
3337
|
|
5
|
73
|
49
|
5329
|
2401
|
3577
|
|
6
|
80
|
52
|
6400
|
2704
|
4160
|
|
7
|
36
|
24
|
1296
|
576
|
864
|
|
8
|
34
|
28
|
1156
|
784
|
952
|
|
9
|
40
|
32
|
1600
|
1024
|
1280
|
|
10
|
44
|
34
|
1936
|
1156
|
1496
|
|
11
|
45
|
35
|
2025
|
1225
|
1575
|
|
12
|
51
|
37
|
2601
|
1369
|
1887
|
|
13
|
60
|
38
|
3600
|
1444
|
2280
|
|
14
|
58
|
41
|
3364
|
1681
|
2378
|
|
780548461502229831995
|
|
|
|
|
|
Далее вычисляем ковариации
;
;
;
и по указанным выше формулам находим
;
.
В результате получаем уравнение
прямой регрессии
.
) Проверим согласованность выбранной
линейной регрессии с результатами наблюдений. Это выполняется как решение
следующей задачи проверки статистической гипотезы.
На заданном уровне значимости
выдвигается
гипотеза
об
отсутствии линейной статистической связи. Для проверки выдвинутой гипотезы
используется коэффициент детерминации
и применяется статистика Фишера F.
В случае парной линейной регрессии
коэффициент детерминации
равен
квадрату выборочного коэффициента корреляции Пирсона, т.е.
.
Статистика F выражается формулой
.
и при условии справедливости
гипотезы имеет классическое распределение Фишера с
и
степенями
свободы.
В соответствии с приведенными
формулами вычисляем коэффициент детерминации и наблюдаемое значение статистики
Фишера:
;
.
Критическое значение статистики
Фишера
находим по
таблице квантилей распределения Фишера ([4]), исходя из равенства
,
где
(порядок квантили),
. В данном
случае
.
Сравниваем между собой наблюдаемое и
критическое значения статистики Фишера. Так как
, то выдвинутая гипотеза
решительно
отвергается, что свидетельствует о согласии линейной регрессионной связи с
результатами наблюдений.
) Так как линейная регрессия
согласуется
со статистическими данными, найдем (с надежностью
)
доверительные интервалы для параметров
и
линейной регрессии.
Применим известные формулы для
доверительных интервалов:
; где
,
- квантиль распределения Стьюдента
порядка
с
степенями свободы,
;
, где
.
В данном случае
;
;
;
.
Применив приведенные выше формулы для
доверительных интервалов, окончательно получим

;
;
следовательно,
;
.
Задача 2
Исследуется зависимость
производительности труда y (условные единицы) от уровня механизации работ х1
(%) и среднего возраста работников х2 (лет) по данным 14 промышленных
предприятий (
-
порядковый номер предприятия). Статистические данные приведены в таблице.
Требуется:
) Вычислить ковариации и составить
ковариационную матрицу.
) Найти оценки параметров
множественной линейной регрессии и составить уравнение плоскости регрессии
.
) На уровне значимости
проверить
гипотезу о согласии линейной множественной регрессии с результатом наблюдений.
) С надежностью
найти
доверительные интервалы для параметров множественной линейной регрессии.
|
1234567891011121314
|
|
|
|
|
|
|
|
|
|
|
|
|
|
|
|
3230364041475654605561676976
|
|
|
|
|
|
|
|
|
|
|
|
|
|
|
|
3331413946433438423539444041
|
|
|
|
|
|
|
|
|
|
|
|
|
|
|
|
2024283031333437384041434548
|
|
|
|
|
|
|
|
|
|
|
|
|
|
|
Решение:
)Для вычисления ковариаций применим формулы
.
)Вычисления средних величин,
входящих в эти формулы, организуем в форме следующей расчетной таблицы:
|
i
|
X1
|
X2
|
y
|
X12
|
X22
|
y2
|
X1
* X2
|
X1
* y
|
X2
* y
|
|
1
|
32
|
33
|
20
|
1024
|
1089
|
400
|
1056
|
640
|
660
|
|
2
|
30
|
31
|
24
|
900
|
961
|
576
|
930
|
720
|
744
|
|
3
|
36
|
41
|
28
|
1296
|
1681
|
784
|
1476
|
1008
|
1148
|
|
4
|
40
|
39
|
30
|
1600
|
1521
|
900
|
1560
|
1200
|
1170
|
|
5
|
41
|
46
|
31
|
1681
|
2116
|
961
|
1886
|
1271
|
1426
|
|
6
|
47
|
43
|
33
|
2209
|
1849
|
1089
|
2021
|
1551
|
1419
|
|
7
|
56
|
34
|
34
|
3136
|
1156
|
1156
|
1904
|
1904
|
1156
|
|
8
|
54
|
38
|
37
|
2916
|
1444
|
1369
|
2052
|
1998
|
1406
|
|
9
|
60
|
42
|
38
|
3600
|
1764
|
1444
|
2520
|
2280
|
1596
|
|
10
|
65
|
35
|
40
|
4225
|
1225
|
1600
|
2275
|
2600
|
1400
|
|
11
|
61
|
39
|
41
|
3721
|
1521
|
1681
|
2379
|
2501
|
1599
|
|
12
|
67
|
44
|
43
|
4489
|
1936
|
1849
|
2948
|
2881
|
1892
|
|
13
|
69
|
40
|
45
|
4761
|
1600
|
2025
|
2760
|
3105
|
1800
|
|
14
|
76
|
41
|
48
|
5776
|
1681
|
2304
|
3116
|
3648
|
1968
|
|
Σ
|
734
|
546
|
492
|
41334
|
21544
|
18138
|
28883
|
27307
|
19384
|
|
Σ/n
|
52,43
|
39
|
35,143
|
2952,4
|
1538,9
|
1295,6
|
2063,1
|
1950,5
|
1384,6
|
Затем последовательно вычисляем ковариации:
,
,
,
,
,
.
Далее составим ковариантную матрицу
объясняющих переменных
и
вектор-столбец
.
,
.
)Уравнение плоскости регрессии имеет
вид
. По
статистическим данным найдем оценки
параметров множественной линейной
регрессии методом наименьших квадратов. Применим известную матричную формулу
,
где
; при этом
.
Развернутые формулы принимают вид
,
,
.
По этим формулам находим
;
;
Таким образом, уравнение плоскости
регрессии имеет вид
.
)На уровне значимости
проверим
согласованность линейной трехмерной регрессионной модели со статистическими
данными. Это выполняется как решение следующей задачи проверки статистической
гипотезы. Выдвигается гипотеза
об отсутствии линейной
регрессионной связи. Для проверки выдвинутой гипотезы используется коэффициент
детерминации
и
применяется статистика Фишера F .
В случае трехмерной линейной
регрессии коэффициент детерминации и статистика Фишера выражается формулами
,
.
При условии справедливости гипотезы
случайная
величина F имеет классическое распределение Фишера с
и
степенями
свободы.
В соответствии с приведенными
формулами вычисляем коэффициент детерминации
и наблюдаемое значение статистики
Фишера
:
;
.
Критическое значение статистики
Фишера
находим по
таблице квантилей распределения Фишера , исходя из равенства
, где
.
В рассматриваемом случае
.
Так как,
, то
выдвинутая гипотеза
решительно
отвергается, что свидетельствует о согласии линейной трехмерной регрессии с
результатами наблюдений.
)Поскольку линейная множественная
регрессия
согласуется
со статистическими данными, найдем (с надежностью
)
доверительные интервалы для параметров
и
плоскости регрессию
Применим известные формулы для
доверительных интервалов:
,
,
где
,
,
- квантиль распределения Стьюдента
порядка
с
степенями
свободы,
;
- соответствующий диагональный
элемент матрицы
, т.е.
;
.
В данном случае
;
;
;
.
Следовательно,
;
.
Таким образом,
,
.
или окончательно
Задача 3
Исследуется зависимость
себестоимости единицы продукции (
тыс. р.) от объема произведенной
продукции (
тыс. шт.)
по данным 15 предприятий (
-
порядковый номер предприятия). Статистические данные приведены в таблице.
Требуется:
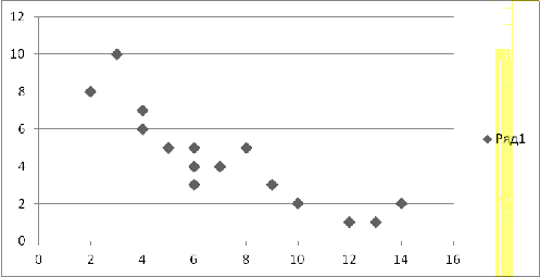
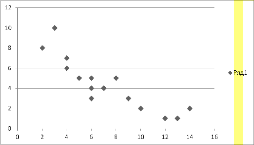
) Построить диаграмму рассеяния.
Убедиться, что между себестоимостью и объемом произведенной продукции
существует нелинейная связь.
) Считая, что регрессия
по
представляется
многочленом второй степени, найти оценки параметров параболической регрессии и
составить уравнение линии регрессии.
) Построить кривую регрессии и
нанести ее на диаграмму рассеяния.
|
123456789101112131415
|
|
|
|
|
|
|
|
|
|
|
|
|
|
|
|
|
2344566678910121314
|
|
|
|
|
|
|
|
|
|
|
|
|
|
|
|
|
8107655434532112
|
|
|
|
|
|
|
|
|
|
|
|
|
|
|
|
Решение:
Строим диаграмму рассеяния, нанося
на систему координат экспериментальные точки
По характеру расположения
экспериментальных точек имеются все основания считать, что между переменными X
и Y существует нелинейная статистическая связь.
)Пусть уравнение линейной регрессии
Y по X имеет вид :
По статистическим данным задачи
найдем MHK - оценки
параметров
параболической регрессии. Применение метода наименьших квадратов приводит к
следующей системе нормальных уравнений :
Разделим все уравнения на
и введем
обозначения:
,
,
,
,
,
,
.
Тогда система нормальных уравнений
примет вид:
Из первого уравнения системы выразим
и подставим во 2-е и 3-е уравнения:
В результате для определения
параметров
и
получим
следующую систему 2-х линейных уравнений:
|
       
|
|
|
|
|
|
|
|
|
|
1
|
2
|
4
|
8
|
16
|
8
|
64
|
16
|
32
|
|
2
|
3
|
9
|
27
|
81
|
10
|
100
|
30
|
90
|
|
3
|
4
|
16
|
64
|
256
|
7
|
49
|
28
|
112
|
|
4
|
4
|
16
|
64
|
256
|
6
|
36
|
24
|
96
|
|
5
|
5
|
25
|
125
|
625
|
5
|
25
|
25
|
125
|
|
6
|
6
|
36
|
216
|
1296
|
5
|
25
|
30
|
180
|
|
7
|
6
|
36
|
216
|
1296
|
4
|
16
|
24
|
144
|
|
8
|
6
|
36
|
216
|
1296
|
3
|
9
|
18
|
108
|
|
9
|
7
|
49
|
343
|
2401
|
4
|
16
|
28
|
196
|
|
10
|
8
|
64
|
512
|
4096
|
5
|
25
|
40
|
320
|
|
67
|
9
|
81
|
729
|
6561
|
3
|
9
|
27
|
243
|
|
69
|
10
|
100
|
1000
|
10000
|
2
|
4
|
20
|
200
|
|
76
|
12
|
144
|
1728
|
20736
|
1
|
1
|
12
|
144
|
|
14
|
13
|
169
|
2197
|
28561
|
1
|
1
|
13
|
169
|
|
15
|
14
|
196
|
2744
|
38416
|
2
|
4
|
28
|
392
|
|
∑
|
109
|
981
|
10189
|
115893
|
66
|
384
|
363
|
2551
|
|
∑/n
|
7,27
|
65,4
|
679,2667
|
7726,2
|
4,4
|
25,6
|
24,2
|
170,0667
|
|
      
|
|
|
|
|
|
|
|
Для вычисления коэффициентов этой системы
составим расчетную таблицу
Отсюда находим
65.4-7.272 =12.55
679.27-7.27*65.4=203.812
24.2-7.27*4.4= -7.788
7726.2-65.42=3449
170.0667-65.4*4.4= -117.69
Таким образом, система линейных
уравнений имеет вид:
Разделим первое уравнение на 12,55,
второе уравнение на 203,18 и вычтем из второго уравнения первое. Получим:
,68b2=0,433, откуда b2=
0,063=-0,621-16,24*0,063=-1,64,= 4.4-7.27*(-1,64)-6.4*0,063=15,92
Решая полученную систему, нашли
статистические оценки параметров параболической регрессии:
-1,64
0,063,
.
Следовательно, уравнение линии
регрессии Y по Х принимает вид:
.
Задача 4
Поквартальная динамика объема
реализованной продукции (
млн. р.)
объединения представлена в таблице.
Требуется:
) Оценить параметры линейного тренда
методом наименьших квадратов.
) На основании линейной модели
определить прогноз экономического показателя
в 4-ом квартале 2013 года.
|
1
кв. 2012 г.2 кв. 2012 г.3 кв. 2012 г.4 кв. 2012 г.1 кв. 2013 г.2 кв. 2013 г.3
кв. 2013 г.
|
|
|
|
|
|
|
|
|
25293440444853
|
|
|
|
|
|
|
|
Решение:
По статистическим данным найдем
статистические оценки
и
параметров
и
линейного
тренда
методом
наименьших квадратов. Для этого применим известные формулы:
,
,
где
,
;
,
,
,
.
Вычисления средних значений
организуем
в форме расчетной таблицы.
|
|
|
|
|
|
|
1
|
25
|
1
|
625
|
25
|
|
2
|
29
|
4
|
841
|
58
|
|
3
|
34
|
9
|
1156
|
102
|
|
4
|
40
|
16
|
1600
|
160
|
|
5
|
44
|
25
|
1936
|
220
|
|
6
|
48
|
36
|
2304
|
288
|
|
7
|
53
|
49
|
2809
|
371
|
|
|
28
|
273
|
140
|
11271
|
1224
|
|
|
4
|
39,0
|
20,0
|
1610,1
|
174,9
|
|
|
|
|
|
|
;
Таким образом, искомые оценки
параметров линейного тренда
равны
,
.
Уравнение линейного тренда имеет вид
Проверка согласованности линейной
трендовой модели со статистическими данными выполняется как решение задачи
проверки статистической гипотезы
об отсутствии линейной
статистической связи на заданном уровне значимости
. Для
проверки гипотезы используется коэффициент детерминации
и
применяется статистика Фишера
с
и
степени свободы.
В рассматриваемом случае
1610.1-392=89.1
Критическое значение статистики
Фишера равно
.
Так как
, то
выдвинутая гипотеза
отвергается,
что свидетельствует о согласии линейной трендовой модели с результатами
наблюдений.
По полученному уравнению линейного
тренда
найдем точечный прогноз показателя Y
на один шаг вперед (
- период
упреждения). Для этого подставим в уравнение тренда значение времени
(здесь n - длина данного временного
ряда). Таким образом,