Эконометрические модели рентабельности собственного капитала (на примере СПК 'Слава')
Содержание
Введение
Глава 1.
Теоретические основы построения эконометрической модели рентабельности
собственного капитала
.1
Спецификация модели рентабельности собственного капитала
.2 Оценка
параметров модели и влияние мультиколлинеарности факторов
.3 Прогнозирование
уровня рентабельности собственного капитала во временных рядах
Глава 2.
Анализ рентабельности собственного капитала и прогнозирование его уровня в СПК
«Слава»
.1 Краткая
характеристика СПК «Слава»
. 2 Анализ
корреляционного поля и динамики рентабельности собственного капитала
.3 Парная и
множественная модель рентабельности собственного капитала
.4 Построение
аддитивной модели временного ряда уровня рентабельности собственного капитала
Заключение
Список
используемой литературы
Приложения
Введение
Роль капитала предприятия, а так же эффективное его использование при
различных экономических отношениях всегда важна. Это обусловлено тем, что
главным источником прибыли любого предприятия является умелое, разумное,
достаточно полное использование капитала предприятия.
Эффективность использования капитала характеризуется его доходностью
(рентабельностью) - отношением суммы прибыли к среднегодовой сумме основного и
оборотного капитала.
Показатели рентабельности более полно, чем прибыль, характеризуют
окончательные результаты хозяйствования, потому что их величина показывает
соотношение эффекта с наличными или использованными ресурсами. Их применяют для
оценки деятельности предприятия и как инструмент инвестиционной политики и
ценообразования.
Анализ рентабельности собственного капитала дает возможность оценить
эффективность вложения средств в основную деятельность, поскольку указывает,
сколько прибыли приходится на один рубль собственных средств предприятия.
Рентабельность собственного капитала - главный показатель для
стратегических инвесторов (в российском понимании - вкладывающих средства на
период более года). Собственники получают рентабельность от своих инвестиций в
виде вкладов в уставный капитал. Они жертвуют теми средствами, которые формируют
собственный капитал организации и получают взамен права на соответствующую долю
прибыли. С позиции собственников прибыльность наилучшим образом отображается в
виде рентабельности собственного капитала и является наиболее важным для
акционеров компании, так как характеризует прибыль, которую собственник получит
с рубля вложенных в предприятие средств.
В данной курсовой работе рассмотрен регрессионный анализ и системный
подход к показателю рентабельности собственного капитала, осуществлена
спецификация модели с помощью корреляционного анализа, исследуется зависимость
рентабельности собственного капитала от нескольких независимых переменных с
помощью построения уравнения парных регрессий и уравнения множественной
регрессионной зависимости.
Целью курсовой работы является исследование данных нормативной
документации, действующей практики учета финансовых результатов СПК «Слава», а
также проведение эконометрического прогнозирования факторов финансовой
деятельности, оказавших влияние на конечный финансовый результат.
Для достижения цели работы были поставлены следующие задачи:
изучить теоретические аспекты рентабельности собственного капитала;
изучить оценки параметров модели и способы прогнозирования рентабельности
собственного капитала;
дать организационно-экономическую характеристику исследуемого объекта;
определить спецификацию модели рентабельности собственного капитала и
изучить связь между фактором и результатом;
построить мультипликативную модель рентабельности собственного капитала,
оценить качество и спрогнозировать значения на два квартала вперед.
Объектом исследования является финансово-хозяйственная деятельность СПК
«Слава».
Материалом для выполнения курсовой работы послужили: специальная
методическая, научная и учебная литература, годовые отчеты СПК «Слава» за
2001-2012 годы.
Глава 1.
Теоретические основы построения эконометрической модели рентабельности
собственного капитала
рентабельность
собственный капитал временный
1.1
Спецификация модели рентабельности собственного капитала
Рентабельность является относительным показателем. Она характеризует
уровень доходности предприятия. Этот показатель отражает эффективность работы
организации в целом, показывает доходность отдельных направлений деятельности.
Показатели рентабельности применяются в финансовом анализе, поскольку они
способны более полно, чем прибыль, охарактеризовать и отразить реальные
результаты хозяйственной деятельности. Их величина демонстрирует соотношение
результата деятельности с потребляемыми ресурсами.
Для собственников компании самым важным показателем является
рентабельность собственного капитала. Он выступает основным критерием
эффективности использования вложенных ими средств. Анализ рентабельности
позволяет отразить качество финансового состояния компании и увидеть ее
перспективы на будущее. Поэтому при анализе особое внимание уделяется качеству
показателей и их правильной группировке по укрупненным группам. От уровня
рентабельности зависит инвестиционная привлекательность организации, величина
дивидендных выплат.[5]
Рентабельность собственного капитала характеризует эффективность
использования вложенных в организацию собственных средств. Рентабельность
собственного капитала показывает, сколько чистой прибыли приходится на рубль
собственных средств
Для оценки результата деятельности отдельных предприятий и сравнения
предприятий между собой необходимо, чтобы показатели рентабельности были
представлены в адекватном для сравнения виде. Так как в расчетах показателей
рентабельности используются данные за анализируемый период, результат расчетов
будет напрямую зависеть от продолжительности этого периода.
Представление показателей рентабельности в годовом измерении наиболее
удобно. Стоимость капитала на рынке (процентные и депозитные ставки) и
макроэкономическое окружение (инфляция, ставка рефинансирования)
характеризуются показателями в годовом выражении. При расчете рентабельности в
годовом выражении создается адекватная база для оценки результатов деятельности
конкретного предприятия и сравнения различных предприятий между собой.
Для анализа эффективности управления структурой источников финансирования
предприятия рассчитывается так называемый эффект рычага. Суть эффекта рычага
заключается в следующем: предприятие, используя заемные средства, увеличивает
либо уменьшает рентабельность собственного капитала. Снижение или увеличение
рентабельности собственного капитала зависит от средней стоимости заемного
капитала (средней процентной ставки) и размера финансового рычага.
Финансовым рычагом называется соотношение заемного и собственного
капитала организации
Не сложно заметить, что финансовый рычаг - показатель, обратный
коэффициенту автономии (1/Коэффициент автономии).
Абсолютное значение эффекта рычага отражает степень влияния структуры
источников финансирования на рентабельность собственного капитала.
Влияние структуры источников финансирования на рентабельность
собственного капитала можно представить в виде формулы
При расчете показателей рентабельности необходимо использовать единый
подход - проводить расчет на основании средних значений за период анализа, либо
на основании значений на конкретную отчетную дату. Это обеспечит сопоставимость
результатов расчета.
Анализ факторов, повлиявших на изменение рентабельности собственного капитала,
проводится с помощью формулы DUPONT. Формула DUPONT устанавливает взаимосвязь
между рентабельностью собственного капитала и тремя основными финансовыми
показателями предприятия: прибыльностью продаж, оборачиваемостью всех активов и
финансовым рычагом в одной из его модификаций
Оценка влияния изменений перечисленных показателей на рентабельность
собственного капитала производится с помощью приема цепных подстановок.
Согласно этому приему наибольшее влияние оказывает показатель, имеющий
максимальную абсолютную величину коэффициента влияния.
Также следует отметить, что в течение производственного цикла на уровень
рентабельности влияет ряд факторов, которые можно разделить на внешние -
связаны с воздействием на деятельность предприятия рынка, государства,
географического положения и внутренние: производственные - наличие и
использование средств труда, предметов труда и трудовых ресурсов, и
внепроизводственные - включают в себя своевременность и полноту выполнения поставщиками
и покупателями обязательств перед предприятием, их удаленность от предприятия,
стоимость транспортировки до места назначения и т.д.
При увеличении собственного капитала возрастает финансовая устойчивость
организации и снижается рентабельность собственных средств. В связи с этим
утверждение, что для предприятия всегда целесообразно увеличение собственного
капитала является неоднозначным. Собственных средств должно быть достаточно для
обеспечения финансовой устойчивости. Задача финансового менеджмента на
предприятии - обеспечив финансовую устойчивость, способствовать росту
рентабельности собственного капитала.[8]
1.2 Оценка
параметров модели и влияние мультиколлинеарности факторов
Линейная регрессия сводится к нахождению параметров уравнения вида:
(1)
Уравнение вида (1) позволяет по заданным фактическим значениям фактора x найти теоретические значения
результативного признака.
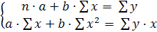
Классический подход к оцениванию параметров линейной регрессии основан на
методе наименьших квадратов (МНК). Система нормальных уравнений для оценки
параметров a и b имеет следующий вид
(2)
Также
параметры a и b можно рассчитать с помощью следующих формул

(3)
помощью корреляционно-регрессионного анализа можно получить оценки
параметров уравнения. В качестве оценки статистической значимости результатов
парной регрессии и корреляции могут выступать: значения F-критерия Фишера и t-критерия Стьюдента.
Оценка значимости уравнения регрессии в целом дается с помощью F-критерия Фишера. При этом
выдвигается нулевая гипотеза H0,
что коэффициент регрессии равен нулю, т. е. b=0, и, следовательно, фактор x не оказывает влияния на результат. Значение F-критерия
Фишера найдем по формуле:
(4)
где
Fфакт - критерий Фишера для проверки нулевой гипотезы Hо.
Если Fфакт>Fкр, то Н0 отклоняется и уравнение считается
статистически значимым в целом при соответствующем уровне значимости a. Если Fфакт<Fкр, то Н0 не может быть отклонена без серьезного риска
сделать неправильный вывод о наличии связи. В этом случае с вероятностью p=1-a уравнение регрессии считается статистически незначимым и, скорее
всего, связь между признаками случайна.
Величина
F-критерия связана с линейным показателем детерминации (r2).
Можно показать, что значение F-критерия равно:
(5)
Для
оценки отдельных параметров уравнения определяется стандартная ошибка этих
параметров. Формула стандартной ошибки для параметра b:
(6)
где
S2ост - остаточная дисперсия на одну степень свободы.
Стандартная
ошибка параметра а определяется по формуле:
(7)
Значимость
линейного коэффициента корреляции проверяется на основе величины ошибки
коэффициента корреляции mr :
(8)
Величина
стандартной ошибки совместно с t-распределением Стьюдента при n-2 степенях
свободы применяется для проверки существенности коэффициента регрессии.
Для
оценки существенности параметров и коэффициента корреляции их значения
сравниваются со стандартной ошибкой, т. е. определяется фактическое значение
t-критерия Стьюдента
(9)
Фактическое
значение критерия сравнивается с табличным (критическим) при определенном
уровне значимости a и числе степеней свободы n-2. Если tфакт>tкр,
то гипотезу о не существенности параметра регрессии и равенстве его нулю можно
отклонить, а сам параметр является статистически значимым. Если tфакт<tкр,
то нулевая гипотеза Н0 принимается с вероятностью 1-a и параметр статистически незначим.[4]
Линейное
уравнение множественной регрессии имеет вид:
=a+b1x1+b2x2+…+bnxn (10)
где
a, b1,b2…bn - параметры уравнения; х1,х2…хn -
факторы, объясняющие переменные; у - результативный признак, зависимая
переменная.
Параметры
уравнения множественной регрессии оцениваются, как и в парной регрессии,
методом наименьших квадратов (МНК):
(11)
Для
ее решения можно применить обычный метод подстановок или воспользоваться
методом определителей.
Значимость
уравнения множественной регрессии в целом, так же как и в парной регрессии,
оценивается с помощью F-критерия Фишера[2]
, (12)
где
R2 - множественный коэффициент (индекс) детерминации.
Кроме
этого способа, во множественной регрессии появляется еще один - F-критерий
частный, определяющий целесообразность включения отдельного фактора после всех
остальных. Используется следующая формула:
(13)
где
R2x1…xp - индекс множественной детерминации для модели с
полным набором факторов; R2x1…xi-1,xi+1…xp - индекс множественной детерминации, но без включения
в модель фактора хi.
Фактическое
значение частного F-критерия сравнивается с критическим (табличным) при
5% или 1%-ом уровне значимости и числе степеней свободы: k1=1
и k2=n-m-1. Если фактическое превышает критическое, то
дополнительное включение фактора хi в модель после факторов
х1,х2..хi-1,xi+1…xp статистически оправданно и коэффициент чистой
регрессии bi при факторе хi статистически
значим. Если наоборот, то дополнительное включение в модель фактора хi
после факторов х1,х2..хi-1,xi+1…xp не увеличивает существенно долю объясненной вариации
признака, следовательно, нецелесообразно его включение в модель.
Так
как частный F-критерий косвенно оценивает значимость коэффициентов чистой
регрессии, то существует взаимосвязь между ним и t-критерием для коэффициента
регрессии при i-м факторе:
(14)
Знак критерия зависит от знака коэффициента регрессии, для которого его
определяют.
Присутствует оценка значимости отдельных коэффициентов множественной
регрессии по t-критерию Стьюдента, позволяющая
определять включение каждого фактора в модель. В этом случае, как и в парной
регрессии, для каждого фактора используются формулы:
, (15)
где
sy -
среднее квадратическое отклонение для признака y; sxi -
среднее квадратическое отклонение для признака xi; R2yx1…xp -
коэффициент детерминации для уравнения множественной регрессии; R2xi x1…xp - коэффициент детерминации для зависимости фактора xi со
всеми другими факторами уравнения множественной регрессии.
Отбор
факторов для уравнения осуществляется в две стадии: на первой подбираются факторы
исходя из сущности проблемы; на второй - на основе матрицы показателей
корреляции определяют t-статистики для параметров регрессии.
Коэффициенты
корреляции между факторами (т. е. корреляции между объясняющими переменными)
позволяют исключать из модели дублирующие факторы. Считается, что две
переменные явно коллинеарны, т. е. находятся между собой в линейной
зависимости, если rх1х2³ 0,7.
Поскольку
одним из условий построения уравнения множественной регрессии является
независимость действия факторов, т.е. rxixj=0, то коллинеарность
факторов нарушает это условие. Если факторы явно коллинеарны, то они дублируют
друг друга и один из них рекомендуется исключить из регрессии. Предпочтение при
этом отдается не фактору, более тесно связанному с результатом, а тому фактору,
который при достаточно тесной связи с результатом имеет наименьшую тесноту
связи с другими факторами.
По
величине парных коэффициентов корреляции обнаруживается лишь явная
коллинеарность факторов. Наибольшие трудности в использовании аппарата
множественной регрессии возникают при наличии мультиколлинеарности факторов,
когда более чем два фактора связаны между собой линейной зависимостью, т.е.
имеет место совокупное воздействие факторов друг на друга. Включение в модель
мультиколлинеарных факторов нежелательно в силу следующих последствий:
•
затрудняется интерпретация параметров множественной регрессии как характеристик
действия факторов в «чистом» виде, ибо факторы коррелированны, параметры
линейной регрессии теряют экономический смысл;
•
оценки параметров ненадежны, колеблются с изменением объема наблюдений не
только по величине, но и по знаку, что делает модель непригодной для анализа и
прогнозирования; обнаруживаются большие стандартные ошибки.
Для
оценки мультиколлинеарности факторов может быть использован определитель
матрицы парных коэффициентов корреляции между факторами. Если бы факторы не
коррелировали между собой, то матрица парных коэффициентов была бы единичной,
т.к. все недиагональные элементы были бы равны 0, т.е. Det|R|=1.
Если, наоборот, то все коэффициенты корреляции равны 1 и тогда определитель
равен 0. Следовательно, чем ближе к 0 определитель матрицы, тем сильнее будет
мультиколлинеарность факторов и ненадежнее результаты множественной регрессии.
Например, для 3 коррелируемых факторов определитель матрицы будет выглядеть
следующем образом:
(16)
Проверка
мультиколлинеарности факторов может быть проведена методом испытания гипотезы о
независимости переменных Н0: Det|R|=1. Для этого находят фактическое значение критерия c2 равное величине n-1-1/6*(2*m+5)*lgDet|R|.
После чего сравнивают его с табличным, определенном при n*(n-1)/2
степенях свободы и уровне значимости a. Если фактическое
превосходит табличное, то гипотеза Н0 отклоняется.
Для
характеристики относительной силы влияния х1 и х2 на у рассчитывают средние
коэффициенты эластичности[6]:
(17)
1.3
Прогнозирование уровня рентабельности собственного капитала во временных рядах
Временной ряд - это совокупность значений какого-либо показателя за
несколько последовательных моментов или периодов времени. Каждый уровень
временного ряда формируется под воздействием большого числа факторов, которые
условно можно подразделить на три группы (три компоненты):
• факторы, формирующие тенденцию ряда;
• факторы, формирующие циклические колебания ряда;
• случайные факторы.
В большинстве случаев фактический уровень временного ряда можно
представить как сумму или произведение трендовой, циклической и случайной компонент.
Модель, в которой временной ряд представлен как сумма перечисленных компонент,
называется аддитивной моделью временного ряда. Модель, в которой временной ряд
представлен как произведение перечисленных компонент, называется
мультипликативной моделью временного ряда.
Основная задача эконометрического исследования отдельного временного ряда
- выявление и придание количественного выражения каждой из перечисленных выше
компонент с тем, чтобы использовать полученную информацию для прогнозирования
будущих значений ряда или при построении моделей взаимосвязи двух или более
временных рядов.
Выбор одной из двух моделей осуществляется на основе анализа структуры
сезонных колебаний. Если амплитуда колебаний приблизительно постоянна, строят
аддитивную модель временного ряда, в которой значения сезонной компоненты
предполагаются постоянными для различных циклов. Если амплитуда сезонных
колебаний возрастает или уменьшается, строят мультипликативную модель
временного ряда, которая ставит уровни ряда в зависимость от значений сезонной
компоненты.
Построение мультипликативной модели сводится к расчету значений трендовой
(T), сезонной (S) и случайной (E)
компонент для каждого уровня ряда. При построении мультипликативной модели
целесообразно использовать следующий алгоритм:
1. Выравнивание исходного ряда методом скользящей средней и
получение уровней Ус.
2. Расчет значений сезонной компоненты S: на первом этапе выделение
сезонной составляющей S*
(для мультипликативной S*=Y/Yс), расчет среднего значения сезонной компоненты по
одноименным периодам S** и,
наконец, окончательный расчет S
путем ввода поправочного коэффициента, позволяющего выполнить условие сезонных
компонент (для мультипликативной - SS = числу периодов в цикле).
. Устранение сезонной компоненты из исходных уровней ряда и
получение выровненных данных (Т*Е).
. Аналитическое выравнивание уровней (Т*Е) и расчет значений Т с
использованием полученного уравнения тренда. На основе ряда Т*Е рассчитывают
параметры линейного тренда: T=a + b*t (t=1,2…n). Подставляя в это уравнение регрессии значения t=1,2 и т.д., получают оценку
трендовой компоненты временного ряда Т.
. Расчет полученных по модели значений (Т*S).
. Расчет абсолютных и/или относительных ошибок. Проводить можно
как в относительной форме Eo=Y/(T*S), так и в абсолютной
форме Еа= Y - (T*S). В большинстве
случаев рассчитывается по аналогии с корреляционно-регрессионным анализом так
называемый «коэффициент детерминации»:
Д=1-SЕа2/SЕ2 (18)
где SЕ2 - общая
дисперсия уt; SEa2 - сумма квадратов отклонений фактических уровней ряда от теоретических.
7. Прогнозирование будущих уровней ряда на основе модели. Прогнозное
значение Pt в мультипликативной модели есть
произведение соответствующей трендовой Т и сезонной S компонент[1].
Глава 2.
Анализ рентабельности собственного капитала и прогнозирование его уровня в СПК
«Слава»
.1 Краткая
характеристика СПК «Слава»
Сельскохозяйственный производственный кооператив (колхоз)
"Слава" создан в 1953 году, когда сентябрьский пленум ЦК КПСС принял
неотложные меры по подъёму сельского хозяйства. Произошло укрупнение мелких
хозяйств. Из трёх колхозов - «Победа» (д. Дмитриевка), «Слава» (д. Митюли и
Дирижабль) и «10-я годовщина Октября» (д. Шаталово, создана в 1927-1928 годах)
- был создан один колхоз «Слава» с центральной усадьбой в Шаталове.
Деятельность хозяйства:
· сельское хозяйство, охота и предоставление услуг в этих
областях;
· разведение крупного рогатого скота.
Юридический адрес кооператива: 216490, Смоленская обл., Починковский р-н,
п/о "Шаталово", д.Шаталово.
Колхоз «Слава» расположен в юго-западной части района. Центральная
усадьба колхоза д. Шаталово расположена в 15 км от районного центра, от г.
Смоленска - на 60 км.
Пунктами сдачи сельскохозяйственной продукции являются:
· зерна - Починковский хлебоприемный пункт;
· молока - Починковский молокозавод;
· мяса - Смоленский мясокомбинат.
Общая площадь землепользования составляет 2748 га. Состав
сельскохозяйственных угодий: пашни 2003 га, сенокосов - 100 га, пастбища - 645
га. Всего сельскохозяйственных угодий - 2748 га. Пашня составляет 72,9% от
общей площади сельхозугодий, пастбища - 23,5% и сенокосы - 3,6%.
Землепользование колхоза входит во второй агроклиматический район
Смоленской области, характеризующийся сравнительно теплым летом и умеренно
холодной зимой. Средняя продолжительность безморозного периода составляет 137
дней. На большей части территории землепользования колхоза рельеф вполне
благоприятен для применения сельскохозяйственной техники и механизированной
обработки. В зависимости от рельефа местности различаются суходольные, низинные
и пойменные луга. Самую большую площадь занимают суходольные луга - 169 га.
Низинные луга расположены между повышениями или на плоских понижениях.
Пойменные луга в колхозе занимают совсем небольшую площадь - 10 га и они преимущественно
заболочены и закустарены. Продуктивность этих лугов очень низкая - 2,3 ц/га.
Территория колхоза расположена в пределах зоны подзолистых и
дерново-подзолистых почв. В соответствии с этим наиболее распространенными в
хозяйстве являются легкосуглинистые почвы, в основном, дерново-средне- и
сильноподзолистые с маломощным гумусовым горизонтом. Среди дерново-подзолистых
почв наибольшее распространение имеют почвы нормального увлажнения. Их площадь
составляет 2158 га. В поймах рек формируются пойменные дерновые оглеенные
почвы. Их площадь - 116 га. Эродированных земель в хозяйстве не имеется.
Существующая организационно-производственная структура управления -
территориальная.
Производственное направление хозяйства, существующее и на перспективу -
молочное животноводство. За 2012 год в структуре товарной продукции молоко
составило 41,5% стоимости всей товарной продукции или 5484 тыс. руб.
В растениеводстве ведущей отраслью, дающей наибольшую выручку хозяйству,
является производство зерна, которое в структуре товарной продукции в 2012 году
составило 46,06% или 6080 тыс. руб.
При ведении хозяйственной деятельности основной целью хозяйства является
повышение экономической эффективности производства, что способствует росту
доходов хозяйства и получению дополнительных средств для оплаты труда,
премирования, улучшения социальных условий и расширения производства. Задачей
хозяйства является получение наибольшей прибыли, применение наименьших затрат
труда работников.
СПК «Слава» осуществляет владение, пользование и распоряжение своим
имуществом в соответствии с целью своей деятельности. Кооператив имеет
самостоятельный баланс, расчетный и иные счета и действует на основании полного
хозяйственного расчета и самоокупаемости. Кооператив отвечает по своим
обязательствам всем принадлежащим ему имуществом.
Теперь перейдем к рассмотрению размеров производства хозяйства (Таблица
1), которые с помощью небольшой системы показателей позволяют оценить в
стоимостной форме деятельность предприятия в целом.
Таблица 1 - Размеры производства
|
Показатели
|
2010 г.
|
2011 г.
|
2012 г.
|
2012 г. в % к 2010 г.
|
|
Стоимость валовой с/х продукции в текущих ценах, тыс.руб.
|
14857
|
12921
|
13199
|
88,84
|
|
Стоимость товарной продукции, тыс.руб.
|
15009
|
13034
|
13362
|
89,03
|
|
Среднегодовая стоимость основных средств, тыс.руб.
|
36940
|
40798,5
|
45190,5
|
122,33
|
|
Среднегодовая численность работников, чел.
|
63
|
56
|
47
|
74,60
|
|
Площадь с/х угодий всего:
|
2748
|
2748
|
2748
|
100,00
|
|
в том числе пашни, га
|
2003
|
2003
|
2003
|
100,00
|
|
Поголовье крупного рогатого скота, гол.
|
436
|
436
|
436
|
100,00
|
|
в том числе коров, гол.
|
350
|
355
|
355
|
101,43
|
Анализируя размеры производства СПК «Слава» можно сказать, что изменение
валовой и товарной продукции произошло как в количественном (валовая продукция
снизилась на 1658 тыс. руб. по сравнению с 2010 годом, товарная снизилась на
1647 тыс. руб.), так и в процентном выражении (11,16% и 10,97% соответственно).
Общая площадь сельскохозяйственных угодий за анализируемый период не
изменилась. Различия же в стоимости валовой и товарной продукции обусловлены
внутренним потреблением производимой продукции, что в порядке вещей для
сельскохозяйственного предприятия.
Что касается основных средств, то они за анализируемый период из года в
год росли. В отношении численности работников можно отметить тенденцию к
сокращению их численности: в 2012 г. рабочих стало меньше, чем в 2010 г. на
25,4%, что говорит о возрастании нагрузки на 1 работника, хоть поголовье
животных в общем и не изменилось.
В целом можно сказать, что размеры производства увеличиваются, но не
значительно, поэтому необходимо четко отслеживать изменение показателей и
выяснять причины их возникновения, а также стремиться к росту размеров
производства за счет: увеличения валовой продукции, снижения внутреннего
потребления, обновления и ремонта основных средств, увеличения поголовья,
рационального использования трудовых ресурсов и других показателей. Теперь
необходимо оценить специализацию СПК «Слава», так как она также является
ключевым фактором экономической эффективности сельскохозяйственной
деятельности.
Таблица 2 - Размер и структура товарной продукции
|
Вид продукции
|
Стоимость продукции, тыс. руб.
|
Структура, %
|
|
2010 г.
|
2011 г.
|
2012 г.
|
2010 г.
|
2011 г.
|
2012 г.
|
|
Зерновые и зернобобовые
|
4632
|
1144
|
6080
|
31,18
|
8,85
|
46,06
|
|
в т.ч. пшеница
|
150
|
-
|
1150
|
1,01
|
-
|
8,71
|
|
рожь
|
2750
|
467
|
4806
|
18,51
|
3,61
|
36,41
|
|
ячмень
|
700
|
-
|
-
|
4,71
|
-
|
-
|
|
овёс
|
1032
|
677
|
124
|
6,95
|
5,24
|
0,94
|
|
Прочая продукция растениеводства
|
811
|
1017
|
197
|
5,46
|
7,87
|
1,49
|
|
Итого по растениеводству
|
5443
|
2161
|
6277
|
36,64
|
16,72
|
47,56
|
|
Скот и птица в живой массе
|
1804
|
2869
|
1438
|
12,14
|
22,20
|
10,89
|
|
в т.ч. КРС
|
1804
|
2869
|
1438
|
12,14
|
22,20
|
10,89
|
|
Молоко цельное
|
7301
|
7805
|
5484
|
49,14
|
60,41
|
41,55
|
|
Прочая продукция животноводства
|
7
|
6
|
-
|
0,05
|
0,05
|
-
|
|
Продукция животноводства собственного производства
|
302
|
80
|
-
|
2,03
|
0,62
|
-
|
|
мясо и мясопродукция
|
302
|
80
|
-
|
2,03
|
0,62
|
-
|
|
в т.ч. крупный рогатый скот
|
302
|
80
|
-
|
2,03
|
0,62
|
-
|
|
Итого по животноводству
|
9414
|
10760
|
6922
|
63,36
|
83,28
|
52,44
|
|
Всего по предприятию
|
14857
|
12921
|
13199
|
100,00
|
100,00
|
100,00
|
Для полной характеристики хозяйственной специализации используют коэффициент
специализации, который показывает степень глубины специализации предприятия на
производстве тех или иных видов продукта. Расчет коэффициента специализации
проведем по структуре товарной продукции. (Таблица 2).
Данный коэффициент определяется по формуле:
,
где:
di - удельный вес каждого вида продукции в общем объеме
реализации; i - порядковый номер каждого вида продукции в
ранжированном ряду.
Значение
коэффициента специализации может колебаться от 0 до 1. Уровень коэффициента
менее 0,2 свидетельствует о слабовыраженной, от 0,21 до 0,4 - о средней, от
0,41 до 0,6 - о высокой и свыше 0,6 - об углубленной специализации[7].
Таблица
3 - Специализация предприятия
|
Годы
|
|
2010 г.
|
2011 г.
|
2012 г.
|
|
Коэффициент специализации
|
0,3840
|
0,4302
|
0,4244
|
|
Специализация
|
средняя
|
высокая
|
высокая
|
Из таблицы видно, что в 2011 году специализация хозяйства увеличилась, и
в период 2011-2012 гг. сохраняется высокая специализация. Главной отраслью СПК
«Слава» является молочное направление, которое в структуре товарной продукции в
2010 году занимает 49,14%, в 2011 году - 60,41%, а в 2012 году - 41,55%.
Удельный вес КРС в структуре товарной продукции снижается и составляет 10,89% в
2012 году.
На втором месте в структуре товарной продукции стоит производство зерна и
составляет в 2010 году 31,18%, в 2011 году - 8,85%, в 2012 году - 46,06%.
Кооператив выращивает такие зерновые культуры как пшеница, рожь, овёс.
Предприятие, несмотря на достаточно высокую стоимость товарной продукции,
должно стремиться к ее повышению и улучшению ее структуры, для этого, прежде
всего, необходимо стремиться к повышению качества продукции наиболее прибыльных
видов, а именно производство молока и мяса КРС, чтобы она была
конкурентоспособной на рынках сбыта.
2.2 Анализ
корреляционного поля и динамики рентабельности собственного капитала
Так как в данной курсовой работе рассматривается рентабельность
собственного капитала, то возьмем ее за результативный показатель. Одним из
факторов, оказывающих влияние, является рентабельность продаж, %.
Рассмотрим зависимость рентабельности собственного капитала от
рентабельности продаж за последние 6 лет.
Таблица 4 - Динамика рентабельности собственного капитала
|
Годы
|
Рентабельность продаж, %
|
Рентабельность собственного капитала, %
|
|
2007
|
28,51
|
14,29
|
|
2008
|
26,98
|
11,94
|
|
2009
|
1,93
|
0,68
|
|
2010
|
15,73
|
7,32
|
|
2011
|
12,36
|
|
2012
|
3,09
|
1,11
|
|
Сумма
|
247,18
|
106,57
|
|
Среднее
|
20,60
|
8,88
|
В 2007-2009 годах рентабельность собственного капитала организации
снижалась, что связано с уменьшением чистой прибыли, рентабельность продаж
также снижалась. В 2010-2011 годах наблюдается рост рентабельности продаж, что
оказывает влияние на рост показателей рентабельности собственного капитала. А в
2012 году рентабельность капитала резко снизилась ввиду уменьшения
рентабельности продаж. Из данных бухгалтерской отчетности видно, что на
величину рентабельности продаж нашего предприятия влияют такие показатели, как
чистая прибыль, выручка от продаж, себестоимость продаж.
Для определения формы связи между результативным
показателем и доминирующим фактором построим корреляционные поля (рис.1).
а) линейная связь
б) логарифмическая связь
в) степенная связь
Рис.1. Корреляционные поля
По коэффициентам детерминации, отображенных на графиках, мы можем
рассчитать коэффициент корреляции для каждой модели. Так как различие данных
коэффициентов не велико, остановимся на наиболее простой для расчетов связи -
линейной.
В результате корреляционного анализа мы выбрали линейную модель, теперь
приступаем к расчетной части курсовой, в которой должны рассмотреть влияние
различных факторов на рентабельность собственного капитала, а так же рассчитать
связь между факторами, определить их значимость и т.д.
2.3 Парная и
множественная модель рентабельности собственного капитала
Рассмотрим влияние факторов на рентабельность
собственного капитала при помощи парной и множественной модели, где у -
рентабельность собственного капитала, %; х1- рентабельность продаж, тыс. руб.
Для расчета параметров уравнения линейной функции строим расчетную таблицу 5.
Таблица 5 - Данные и показатели для расчета параметров
|
Года
|
x
|
y
|
x2
|
y2
|
y·x
|
|
2007
|
28,51
|
14,29
|
813,02
|
204,28
|
407,54
|
|
2008
|
26,98
|
11,94
|
727,99
|
142,60
|
322,19
|
|
2009
|
1,93
|
0,68
|
3,74
|
0,46
|
1,31
|
|
2010
|
15,73
|
7,32
|
247,45
|
53,65
|
115,22
|
|
2011
|
34,88
|
12,36
|
1216,48
|
152,78
|
431,10
|
|
2012
|
3,09
|
1,11
|
9,55
|
1,23
|
3,43
|
|
Сумма
|
111,13
|
47,71
|
3018,23
|
555,00
|
1280,80
|
|
Среднее
|
18,52
|
7,95
|
503,04
|
92,50
|
213,47
|
Для расчета значений параметров нам понадобятся:
и
.
Линейная функция сводится к нахождению параметров
уравнения вида:
x = a + b
x (1)
Уравнение данного вида позволяет по заданным
фактическим значениям фактора x
иметь теоретические значения результативного признака.
Для оценки параметров a и b
используем систему (2) нормальных уравнений:
(2)
Подставим данные из таблицы 5, тогда система
нормальных уравнений примет следующий вид:
Решая систему нормальных уравнений либо методом последовательного
исключения переменных, либо методом определителей найдем искомые оценки
параметров a и b. Можно воспользоваться следующими готовыми формулами (3):

где
- ковариация признаков;
-
дисперсия признака х.
Подставим данные в формулы:
Используя
полученные параметры a и b получим следующее уравнение регрессии:
х=
0,29 + 0,41·x
Коэффициент
регрессии b показывает, что при увеличении рентабельности продаж на 1%,
рентабельность собственного капитала увеличится в среднем на 0,41%.
Тесноту линейной связи оценим с помощью коэффициента корреляции. Для
этого сначала найдем среднеквадратические отклонения х и у по формулам:
По
шкале Чеддока можно сказать, что связь между рентабельностью продаж и
рентабельностью собственного капитала является очень сильной.
Коэффициент детерминации равен:
Мы получили, что 93,66% вариации результативного признака (рентабельность
собственного капитала, %) объясняется полученным уравнением регрессии, т.е.
фактором рентабельность продаж, %. Только на 6,34% оставшейся вариации уровня
рентабельности собственного капитала приходятся прочие неучтенные в модели
факторы. Для расчета средней ошибки аппроксимации построим расчетную таблицу 6.
Таблица 6 - Вспомогательная таблица для расчета
статистических величин
|
Года
|
y
|
yx
|
│y-yx│
|
│y-yx/y│
|
|
2007
|
14,29
|
11,98
|
2,31
|
0,16
|
|
2008
|
11,94
|
11,35
|
0,59
|
0,05
|
|
2009
|
0,68
|
1,08
|
0,40
|
0,59
|
|
2010
|
7,32
|
6,74
|
0,58
|
0,08
|
|
2011
|
12,36
|
14,59
|
2,23
|
0,18
|
|
2012
|
1,11
|
1,56
|
0,45
|
0,40
|
|
Сумма
|
47,71
|
47,30
|
6,56
|
1,46
|
|
Среднее
|
7,95
|
7,88
|
1,09
|
0,24
|
Определим качество модели через среднюю ошибку аппроксимации:
Качество модели можно оценить как плохое, т. к. `А превышает 8-10%.
Оценим значимость уравнения в целом с помощью F-критерия:
Определим критическое значения критерия по таблице при Fкр(m; n-m-1; a); Fкр(1;4;0,05)=7,71
Так как Fфакт > Fкр, то с вероятностью 95% можно утверждать, что уравнение
регрессии является статистически значимым и гипотезу Н0 о случайном характере
связи следует отклонить.
Оценку статистической значимости параметров регрессии
проведем с помощью t-статистики
Стьюдента, для этого определим стандартную ошибку для каждого параметра. Для
того, чтобы рассчитать данные показатели, используем данные таблицы 7.
Таблица 7 - Вспомогательная таблица для расчета
стандартных ошибок
|
Годы
|
|
|
|
|
|
2006
|
-2,31
|
5,34
|
9,99
|
99,80
|
|
2007
|
-0,59
|
0,35
|
8,46
|
71,57
|
|
2008
|
0,40
|
0,16
|
-16,59
|
275,23
|
|
2009
|
-0,58
|
0,34
|
-2,79
|
7,78
|
|
2010
|
2,23
|
4,98
|
16,36
|
267,65
|
|
2011
|
0,45
|
0,20
|
-15,43
|
238,1
|
|
∑
|
-0,40
|
11,36
|
0,00
|
960,12
|
Определим случайные ошибки mb , ma , mr:
Тогда получим:
Найдем
фактическое значение критерия tкр(n-m-1; a); tкр(4;0,05)=2,78.
Так
как tb> tкр, то с вероятностью 95% можно утверждать, что
параметр b является статистически значимым и гипотезу H0 о
равенстве его нулю следует отклонить.
Так
как ta< tкр, то с вероятностью 95% можно утверждать, что
параметр a статистически не значим и гипотезу H0 о
равенстве его нулю следует принять.
Так
как tr>tкр, то с вероятностью 95% можно утверждать, что
коэффициент корреляции r статистически значим и гипотезу H0 о
равенстве его нулю следует отклонить.
Найдем
прогнозное значение рентабельности собственного капитала, подставив
предполагаемое значение рентабельности продаж в уравнение регрессии при
условии: xпр = 18,52 · 1,1 = 20,37, тогда yпр = 0,29+0,41 ·
20,37 = 8,64%.
Таким
образом, прогнозный уровень рентабельности собственного капитала при
предполагаемом значении рентабельности продаж составит 8,64%.
Оценим
качество прогноза, для этого рассчитаем ошибку прогноза и найдем доверительный
интервал.
Найдем
ошибку прогноза по следующей формуле:
Доверительный интервал имеет вид:
yпр - tкрmУх £ ух пр £ упр + tкрmУх
Для того, чтобы рассчитать доверительный интервал, найдем значение
tкр(n-m-1;α), тогда tкр(6-1-1;0,05)=2,78
8,64 - 2,78·3,07 £ ух пр £ 8,64+2,78·3,07
,11 £ ух пр £ 17,17
Следовательно с вероятностью 95% можно утверждать, что
уровень рентабельности собственного капитала (упр) находится в интервале от
0,11 до 17,17.
Рассмотрим множественную регрессию, когда в качестве
второго фактора будет выступать собственный капитал, тогда получим:
у - рентабельность собственного капитала, %;
х1 - рентабельность продаж, %;
х2 - коэффициент оборачиваемости активов.
Логарифмическое уравнение множественной регрессии представляет собой
следующий вид: у=a+b1x1+b2x2
Для нахождения его параметров решим систему из трех уравнений,
воспользовавшись данными из таблицы 8.
Таблица 8 - Исходные данные для расчета параметров
|
№ года
|
y
|
x1
|
x2
|
y·x1
|
y·x2
|
|
|
|
|
|
2001
|
16,78
|
36,64
|
0,46
|
615,00
|
7,69
|
1342,50
|
0,21
|
16,78
|
281,73
|
|
2002
|
14,51
|
36,08
|
0,40
|
523,56
|
5,84
|
1301,69
|
0,16
|
14,51
|
210,58
|
|
2003
|
12,37
|
26,48
|
0,47
|
327,46
|
5,78
|
700,95
|
0,22
|
12,37
|
152,98
|
|
2004
|
5,64
|
15,58
|
0,36
|
87,88
|
2,04
|
242,68
|
0,13
|
5,64
|
31,82
|
|
2005
|
7,55
|
16,95
|
0,45
|
127,92
|
3,36
|
287,39
|
0,20
|
7,55
|
56,94
|
|
2006
|
2,01
|
4,33
|
0,46
|
8,71
|
0,93
|
18,76
|
0,22
|
2,01
|
4,05
|
|
2007
|
14,29
|
28,51
|
0,50
|
407,54
|
7,16
|
813,02
|
0,25
|
14,29
|
204,28
|
|
2008
|
11,94
|
26,98
|
0,44
|
322,19
|
5,29
|
727,99
|
0,20
|
11,94
|
142,60
|
|
2009
|
0,68
|
1,93
|
0,35
|
1,31
|
0,24
|
3,74
|
0,12
|
0,68
|
0,46
|
|
2010
|
7,32
|
15,73
|
0,47
|
115,22
|
3,41
|
247,45
|
0,22
|
7,32
|
53,65
|
|
2011
|
12,36
|
34,88
|
0,35
|
431,10
|
4,38
|
1216,48
|
0,13
|
12,36
|
152,78
|
|
2012
|
1,11
|
0,36
|
3,43
|
0,40
|
9,55
|
0,13
|
1,11
|
1,23
|
|
Сумма
|
106,57
|
247,18
|
5,07
|
2971,33
|
46,52
|
6912,20
|
2,18
|
106,57
|
1293,11
|
|
Среднее
|
8,88
|
20,60
|
0,42
|
247,61
|
3,88
|
576,02
|
0,18
|
8,88
|
107,76
|
Система нормальных уравнений составит:
Решаем данную систему уравнений методом определителей: определитель
системы
равен:
772,92
-4993,05
314,93
12710,68
Найдем теперь сами параметры:
Получим уравнение регрессии:
При увеличении рентабельности продаж на 1% уровень рентабельности
собственного капитала увеличится в среднем на 0,41% при неизменности
коэффициента оборачиваемости активов.
При увеличении коэффициента оборачиваемости активов на единицу,
рентабельность собственного капитала увеличится в среднем на 16,45% при том же
уровне рентабельности продаж.
На основе построенной модели спрогнозируем уровень результативного
показателя на два года вперед при условии:
год: хпр1=1,15*20,6=23,69 хпр2=1,15*0,42=0,48
упр1=-6,46+0,41*23,69+16,45*0,48=11,15%
год: хпр1=1,30*20,6=26,78 хпр2=1,30*0,42=0,55
упр1=-6,46+0,41*26,78+16,45*0,55=13,57%
Таким образом, в первом прогнозируемом году рентабельность собственного
капитала составит 11,15%, если рентабельность продаж будет равна 23,69%, а
коэффициент оборачиваемости активов - 0,48. Во втором прогнозируемом году
рентабельность собственного капитала будет равна 13,57%, если рентабельность
продаж составит 26,78%, а коэффициент оборачиваемости активов - 0,55.
Найдем множественный коэффициент корреляции. Для этого рассчитаем парные
коэффициенты корреляции:
Следовательно, коэффициент множественной корреляции составит
Показатель корреляции показывает на наличие очень сильной связи между
факторами и результатом.
Значение коэффициентов парной корреляции указывают на сильную связь
рентабельности собственного капитала с рентабельностью продаж - х1, и на
умеренную связь с коэффициентом оборачиваемости активов - х2. Но в то же время rx1x2=0,27 указывает на отсутствие коллинеарности между
факторами.
Скорректированный коэффициент корреляции рассчитаем по формуле:
Скорректированный
коэффициент корреляции немного уменьшил обычный показатель корреляции, сделав
поправку на число степеней свободы.
Коэффициент
детерминации равен
Зависимость
у от х1 и х2 характеризуется сильной связью, в которой 98% вариации у
определяется вариацией учтенных в модели факторов. Прочие факторы, не
включенные в модель, составляют соответственно 2% от общей вариации у.
Рассчитаем
частные коэффициенты корреляции первого порядка зависимости у от х1 и х2
При
закреплении фактора x2 на постоянном уровне корреляция у и х1 оказывается
несколько выше (0,99 против 0,98).
При закреплении фактора x1 на
постоянном уровне корреляция у и х2 оказывается ниже (0, 2 против 0,44).
Показатели частной корреляции не сильно отличаются от обычных парных
коэффициентов корреляции - это связано с тем, что связь между факторами слабая
неколлинеарная, поэтому в чистом виде степень тесноты связи у совпадает со
значением коэффициентов парной корреляции.
Для характеристики относительной силы влияния х1 и х2 на у рассчитаем
частные средние коэффициенты эластичности (26):
При увеличении рентабельности продаж на 1% от ее
среднего уровня рентабельность собственного капитала возрастет на 0,95% от
своего среднего уровня, а рост коэффициента оборачиваемости активов на 1
увеличит рентабельность собственного капитала на 0,78% от своего среднего
уровня. Мы видим, что сила влияния рентабельности продаж - x1 на рентабельность собственного
капитала оказалась несколько большей, чем сила влияния себестоимости - х2.
Значимость уравнения оценим через общий F- критерий Фишера:
Табличное
значение критерия при условии Fкр(m; n-m-1;α) будет
равно
Fкр(2;
9;0,05)=4,26.
Так
как Fфакт> Fкр, то с вероятностью 95% можно
утверждать, что уравнение является статистически значимым и гипотезу H0
следует отклонить.
Для
анализа существенности каждого фактора в модели используем частные F-критерии
Фишера и оценку значимости каждого из параметров уравнения.
Найдем
частные F-критерии Фишера по формулам:
Табличное значение F-критерия при условии Fкр(1; n-m-1;α) будет ровняться Fкр(1; 9;0,05)=5,12
Так как Fчаст
х1> Fкр, то с вероятностью 95% можно
утверждать, что фактор x1
является статистически значимым и его целесообразно включить после фактора x2.
Так как Fчаст
х2> Fкр, то с вероятностью 95% можно
утверждать, что фактор x2
является статистически значимым и его целесообразно включить после фактора x1.
Теперь проведем анализ с учетом значимости коэффициентов регрессии. Для
этого вычислим t-критерии
коэффициентов b1 и b2.
По
таблице критических значений находим tкр(n-m-1;α)= tкр(9;0,05)=2,26.
При
сравнении фактических значений критерия Стьюдента с критическим получим, что
коэффициенты b1 и b2 являются статистически значимыми. Это утверждение
верно с вероятностью 95%. Поэтому фактор х2, силу которого оценивает b2,
нельзя исключить как несущественно влияющий на результат.
Таким
образом, обе проверки дали одинаковый результат. Общий вывод состоит в том, что
множественная модель с факторами х1 и х2 не содержит неинформативных факторов.
Построенная модель является хорошо детерминированной и пригодной для анализа и
прогноза.
Так
же данные показатели можно рассчитать автоматизировано с использованием пакета MS Excel. С помощью данной программы мы получили результаты
корреляционно-регрессионного анализа (Приложение А), которые не сильно
отличаются от рассчитанных в данном пункте, небольшие погрешности связаны с
округлением.
2.4
Построение аддитивной модели временного ряда уровня рентабельности собственного
капитала
Известны изменения уровня выручки (тыс. руб.) на предприятии СПК «Слава»
по кварталам:
Таблица 9 - Изменение выручки на предприятии по кварталам за 2007-2012гг.
|
№ квартала
|
1
|
2
|
3
|
4
|
5
|
6
|
7
|
8
|
9
|
10
|
11
|
12
|
|
Выручка, тыс.руб.
|
3266
|
3028
|
3542
|
6451
|
3726
|
4200
|
5021
|
2334
|
1329
|
3189
|
3539
|
2906
|
|
№ квартала
|
13
|
14
|
15
|
16
|
17
|
18
|
19
|
20
|
21
|
22
|
23
|
24
|
|
Выручка, тыс.руб.
|
1958
|
3209
|
3354
|
6488
|
2780
|
3226
|
3727
|
3301
|
2478
|
2336
|
4225
|
4323
|
График данного временного ряда (рис. 2) свидетельствует о наличии
сезонных колебаний и общей возрастающей тенденции уровней ряда. Выручка за
рассматриваемый период имеет высокие и достаточно низкие значения.
Рис. 2. Уровень выручки предприятия СПК «Слава»
Рассчитаем компоненты мультипликативной модели, проведя вначале
выравнивание исходного ряда методом скользящей средней. Интервал сглаживания в
связи с квартальными колебаниями возьмем равным 4.
Таблица - 10 Данные для расчета сезонных компонент
|
№ квартала
|
yt
|
ytc
|
ytcc
|
S*
|
S**
|
|
1
|
3266
|
|
|
|
0,694
|
|
|
|
|
|
|
|
2
|
3028
|
|
|
|
0,949
|
|
|
4071,8
|
|
|
|
|
3
|
3542
|
|
4129,3
|
0,86
|
1,113
|
|
|
4186,8
|
|
|
|
|
4
|
6451
|
|
4333,3
|
1,49
|
1,192
|
|
|
4479,8
|
|
|
|
|
5
|
3726
|
|
4664,6
|
0,80
|
|
|
|
4849,5
|
|
|
|
|
6
|
4200
|
|
4334,9
|
0,97
|
|
|
|
3820,3
|
|
|
|
|
7
|
5021
|
|
3520,6
|
1,43
|
|
|
|
3221,0
|
|
|
|
|
8
|
2334
|
|
3094,6
|
0,75
|
|
|
|
2968,3
|
|
|
|
|
9
|
1329
|
|
2783,0
|
0,48
|
|
|
|
2597,8
|
|
|
|
|
10
|
3189
|
|
2669,3
|
1,19
|
|
|
|
2740,8
|
|
|
|
|
11
|
3539
|
|
2819,4
|
1,26
|
|
|
|
2898,0
|
|
|
|
|
12
|
2906
|
|
2900,5
|
1,00
|
|
|
|
2903,0
|
|
|
|
|
13
|
1958
|
|
2879,9
|
0,68
|
|
|
|
2856,8
|
|
|
|
|
14
|
3209
|
|
3304,5
|
0,97
|
|
|
|
3752,3
|
|
|
|
|
15
|
3354
|
|
3855
|
0,87
|
|
|
|
3957,8
|
|
|
|
|
16
|
6488
|
|
3959,9
|
1,64
|
|
|
|
3962,0
|
|
|
|
|
17
|
2780
|
|
4008,6
|
0,69
|
|
|
|
4055,3
|
|
|
|
|
18
|
3226
|
|
3656,9
|
0,88
|
|
|
|
3258,5
|
|
|
|
|
19
|
3727
|
|
3220,8
|
1,16
|
|
|
|
3183,0
|
|
|
|
|
20
|
3301
|
|
3071,8
|
1,07
|
|
|
|
2960,5
|
|
|
|
|
21
|
2478
|
|
3022,8
|
0,82
|
|
|
|
3085,0
|
|
|
|
|
22
|
2336
|
|
3212,8
|
0,73
|
|
|
|
3340,5
|
|
|
|
|
23
|
4225
|
|
|
|
|
|
|
|
|
|
|
|
24
|
4323
|
|
|
|
|
В результате получим:
y1c= (3266+3028+3542+6451)/4=4071,75;
y2c= (3028+3542+6451+3726)/4=4186,75 и
т.д. (таблица 10).
Так как выравнивание проводится по четному числу периодов, то необходимо
провести еще центрирование скользящей:
у1сс=(у1с+у2с)/2=(4071,75+4186,75)/2=4129,25 и т.д. Оценка сезонной компоненты
проводится путем деления фактических уровней ряда на центрированные значения
скользящей средней: S*=yt / ytcс = 3266/4129,25=0,86 и т.д. (расчеты представлены в
таблице 10). После этого находим средние за каждый квартал оценки сезонной
компоненты S**:
S1**=
(0,8+0,48+0,68+0,69+0,82)/5 = 0,694 - 1 квартал;
S2**=
(0,97+1,19+0,97+0,88+0,73)/5 = 0,949 - 2 квартал;
S3**=
(0,86+1,43+1,26+0,87+1,16)/5 = 1,113 - 3 квартал;
S4**=
(1,49+0,75+1+1,64+1,07)/5 = 1,192 - 4 квартал.
Взаимопогашаемость сезонных воздействий в мультипликативной модели
выражается в том, что сумма значений сезонной компоненты по кварталам должна
быть равна числу периодов в цикле (в нашем случае год, значит должно быть равно
4). Проверим это условие: S1**+ S2**+ S3**+ S4**=
0,694+0,949+1,113+1,192= 3,948.
Так как условие не выполняется, введем поправочный коэффициент:
К = (4-3,948)/4 = 0,0131 и прибавим к каждому значению сезонной
компоненты, чтобы получить в сумме 4. Тогда окончательные значения сезонной
компоненты равны:
S1**=
0,707 - 1 квартал;
S2**=
0,962 - 2 квартал;
S3**=
1,126 - 3 квартал;
S4**=
1,205 - 4 квартал.
Теперь устраним сезонную компоненту из исходных уровней ряда, определив
величину T*E=Y/S (таблица 11).
Таблица
11 - Расчетные данные
|
№ квартала
|
Y
|
Y/S
|
T
|
T*S
|
Ea
|
Ea2
|
y-yср
|
Е2
|
(Y/S)*t
|
|
1
|
3266
|
4619,45
|
3896,2
|
2754,62
|
511,38
|
261510,35
|
-231,33
|
53515,11
|
4619,45
|
|
2
|
3028
|
3147,91
|
3862,2
|
3715,03
|
-687,03
|
472009,40
|
-469,33
|
220273,8
|
6295,83
|
|
3
|
3542
|
3144,55
|
3828,2
|
4312,01
|
-770,01
|
592909,21
|
44,67
|
1995,111
|
9433,65
|
|
4
|
6451
|
5354,91
|
3794,2
|
4570,78
|
1880,22
|
3535244,20
|
2953,67
|
8724147
|
21419,63
|
|
5
|
3726
|
5270,08
|
3760,2
|
2658,47
|
1067,53
|
1139628,41
|
228,67
|
52288,44
|
26350,40
|
|
6
|
4200
|
4366,33
|
3726,2
|
3584,21
|
615,79
|
379196,48
|
702,67
|
493740,4
|
|
7
|
5021
|
4457,59
|
3692,2
|
4158,82
|
862,18
|
743359,30
|
1523,67
|
2321560
|
31203,12
|
|
8
|
2334
|
1937,43
|
3658,2
|
4406,94
|
-2072,94
|
4297073,78
|
-1163,33
|
1353344
|
15499,43
|
|
9
|
1329
|
1879,75
|
3624,2
|
2562,31
|
-1233,31
|
1521061,54
|
-2168,33
|
4701669
|
16917,72
|
|
10
|
3189
|
3315,29
|
3590,2
|
3453,39
|
-264,39
|
69903,11
|
-308,33
|
95069,44
|
33152,91
|
|
11
|
3539
|
3141,89
|
3556,2
|
4005,63
|
-466,63
|
217741,95
|
41,67
|
1736,111
|
34560,74
|
|
12
|
2906
|
2412,24
|
3522,2
|
4243,10
|
-1337,10
|
1787840,12
|
-591,33
|
349675,1
|
28946,88
|
|
13
|
1958
|
2769,41
|
3488,2
|
2466,16
|
-508,16
|
258226,86
|
-1539,33
|
2369547
|
36002,31
|
|
14
|
3209
|
3336,08
|
3454,2
|
3322,57
|
-113,57
|
12898,88
|
-288,33
|
83136,11
|
46705,16
|
|
15
|
3354
|
2977,64
|
3420,2
|
3852,44
|
-498,44
|
248441,86
|
-143,33
|
20544,44
|
44664,67
|
|
16
|
6488
|
5385,62
|
3386,2
|
4079,26
|
2408,74
|
5802007,50
|
2990,67
|
8944087
|
86169,92
|
|
17
|
2780
|
3932,05
|
3352,2
|
2370,01
|
409,99
|
168094,01
|
-717,33
|
514567,1
|
66844,86
|
|
18
|
3226
|
3353,76
|
3318,2
|
3191,75
|
34,25
|
1172,75
|
-271,33
|
73621,78
|
60367,61
|
|
19
|
3727
|
3308,79
|
3284,2
|
3699,25
|
27,75
|
770,03
|
229,67
|
52746,78
|
62867,01
|
|
20
|
3301
|
2740,13
|
3250,2
|
3915,43
|
-614,43
|
377520,89
|
-196,33
|
38546,78
|
54802,50
|
|
21
|
2478
|
3504,90
|
3216,2
|
2273,85
|
204,15
|
41675,45
|
-1019,33
|
1039040
|
73602,89
|
|
22
|
2336
|
2428,51
|
3182,2
|
3060,94
|
-724,94
|
525531,93
|
-1161,33
|
1348695
|
53427,22
|
|
23
|
4225
|
3750,91
|
3148,2
|
3546,06
|
678,94
|
460957,18
|
727,67
|
529498,8
|
86270,91
|
|
24
|
4323
|
3588,48
|
3114,2
|
3751,59
|
571,41
|
326509,12
|
825,67
|
681725,4
|
86123,43
|
|
Итого
|
83936
|
84123,68
|
X
|
X
|
-18,62
|
23241284,33
|
X
|
34064771
|
1012446,21
|
На основе ряда Т*Е рассчитаем параметры линейного тренда:
=а+bt (t=1,2…16)
Параметры уравнения найдем с помощью следующей системы:
С
помощью матриц (решение показано в Приложении Б) получим уравнение следующего
вида:
T=3930,2 - 34t
Подставляя
в это уравнение регрессии значения t=1,2 и т.д., получим оценку
трендовой компоненты временного ряда Т (таблица 11). График уравнения тренда
представлен на рис.3.
Рис.
3. Уровни выручки на предприятии СПК «Слава» (фактические и выровненные по
мультипликативной модели значения уровней ряда)
Найдем теоретические уровни ряда по мультипликативной модели, умножив Т
на значение сезонной компоненты S для
соответствующих кварталов (табл. 11).
Расчет ошибок в мультипликативной модели проводим в абсолютной форме
(расчеты представлены в таблице 11):
Еа= Y - (T*S).
По аналогии с корреляционно-регрессионным анализом абсолютные ошибки
применяются для сравнения с другими моделями и определения качества построенной
мультипликативной модели. Рассчитаем подобие коэффициента детерминации для
данной модели (данные для формулы отражены в таблице 9):
Д=1 - SЕа2/SЕ2,
Д=1 - 23241284,33/34064771 = 0,318
Таким образом, доля объясненной дисперсии уровней ряда равна 31,8%, что
говорит о неплохом качестве построенной мультипликативной модели исходного
временного ряда. Остальные 68,2% объясняются другими компонентами, не
включенными в данную мультипликативную модель.
Прогнозное значение Pt в
мультипликативной модели есть произведение соответствующей трендовой Т и
сезонной S компонент. Для первого и второго
кварталов следующего года это будет:
25=T25*S25 , P26=T26*S26 ,
S25=S1=0,707, S26=S2=0,962.
Для определения трендовой компоненты воспользуемся уравнением тренда T=3930,2 - 34t. Получим:
Т25=3930,2 - 34*0,707 =3906,2, Т26=3930,2 - 34*0,962 =3897,5.
Отсюда, Р25=3906,2*0,707=2761,7, а Р26=3897,5*0,962=3749,4 тыс. руб.
Таким образом, прогноз выручки на первый квартал следующего года составил
2761,7, а на второй квартал - 3749,4 тыс. руб.
При практическом изучении временных рядов на основании экономических
данных СПК «Слава» за шесть лет было рассмотрены уровни выручки. Данный анализ
временных рядов позволяет сделать обоснованный прогноз изменения исследуемых
показателей при определенных условиях.
Заключение
В данной работе были изучены природно-климатические
условия предприятия, его размеры, производственное направление.
Основной вид деятельности - молочное животноводство. В
целом деятельность предприятия прибыльна. Для обеспечения основной отрасли
животноводства имеет значение и развитие земледелия.
Важным моментом является выявление основных факторов,
влияющих на рентабельность и составление моделей для прогнозирования.
Рентабельность предприятия зависит от таких факторов,
как рентабельность продаж, затраты производства, эффективность применения
ресурсов, структура себестоимости, количество и качество рабочей силы,
использование рабочего времени, мотивация труда и автоматизация производства.
На нашем предприятии основным влияющим фактором оказалась рентабельность
продаж, %. В результате чего, мы получили следующую модель зависимости между
данным фактором и результатом:
yх= 0,29 + 0,41x.
При введении в модель еще одного фактора, в нашем
случае стоимость собственного капитала в тыс. руб., мы получили модель
множественной регрессии:
Данная модель позволила нам спрогнозировать уровни рентабельности
собственного капитала на два года вперед при ежегодном росте факторов на 15%. И
прогнозируемые результаты в первый год составят 11,15%, а во второй - 13,57%,
что позволяет нам сделать вывод о благоприятном состоянии предприятия на
перспективу.
Более точный прогноз уровней рентабельности собственного капитала
получили с помощью модели временных рядов. В нашем случае получилась
мультипликативная модель с ежегодными колебаниями, которая позволяет нам узнать
прогнозные значения выручки на первый и второй кварталы следующего года.
Прогноз выручки на первый квартал следующего года составил 2761,7, а на
второй квартал - 3749,4 тыс. руб.
Таким образом, для повышения рентабельности
собственного капитала следует применить следующие меры:
1. совершенствование системы управления оборотными средствами
благотворно скажется на финансовом состоянии предприятия в целом, и будет
способствовать нормальному осуществлению и расширению деятельности организации;
. уменьшение ресурсозатрат, ведущее к снижению себестоимости;
. уменьшение остатков нереализованной продукции в целях увеличения
прибыли;
. рост прибыли за счет эффекта масштаба, а не повышения цен на
продукцию;
5. повысить оплату труда за единицу времени, т.к.
исключительное значение в деле повышения производительности труда имеет
материальная заинтересованность в результатах труда, при этом рост
производительности труда должен опережать рост уровня оплаты труда.
Список
используемой литературы
1. Белокопытов А.В. Основы эконометрики: учебное пособие. - Смоленск -
2009. - 120 с.
. Белокопытов А.В., Смирнов В.Д. Методы корреляционно-регрессионного
анализа в эконометрических исследованиях. - Смоленск: ООО «Принт-экспресс»,
2004. - 150 с.
3. Экономический
анализ: учеб. /под ред. Г.В. Савицкая - М., 2010 - 650 с.
4. Елисеева И.И. - Эконометрика: учебник. М.: «ПРОСПЕКТ», 2010. - 448
с.
5. Учебник для вузов/ Под ред. проф. Л. А. Дробозиной. - М.: ЮНИТИ,
2008. - 527 с.
. Кремер Н.Ш., Путько Б.А. Эконометрика: учебник. - М., 2002. -
311 с.
7. Экономика
предприятия: учебник /под ред. В.Я. Горфинкеля. - М, 2008. - 767 с.
Приложения
Приложение А
Расчет множественной регрессии с помощью MS Excel
|
Регрессионная статистика
|
|
Множественный R
|
0,993632618
|
|
R-квадрат
|
0,987305781
|
|
Нормированный R-квадрат
|
0,984484843
|
|
Стандартная ошибка
|
0,699258335
|
|
Наблюдения
|
12
|
|
df
|
SS
|
MS
|
F
|
Значимость F
|
|
Регрессия
|
2
|
342,2657877
|
171,1328939
|
349,9920591
|
0,0000000029
|
|
Остаток
|
9
|
4,400659971
|
0,488962219
|
|
|
|
Итого
|
11
|
346,6664477
|
|
|
|
|
Коэффициенты
|
Стандартная ошибка
|
t-статистика
|
P-Значение
|
Нижние 95%
|
Верхние 95%
|
|
Y-пересечение
|
-7,739036903
|
1,670820483
|
-4,63187816
|
0,001233384
|
-11,51869542
|
-3,959378388
|
|
Переменная X 1
|
0,403839484
|
0,017037365
|
23,70316576
|
0,000000002
|
0,365298287
|
0,442380681
|
|
Переменная X 2
|
19,63850683
|
4,068515008
|
4,826947128
|
0,000937875
|
10,43488648
|
28,84212718
|
Матрица парных коэффициентов корреляции
|
y
|
x1
|
x2
|
|
y
|
1
|
|
|
|
x1
|
0,976955821
|
1
|
|
|
x2
|
0,441415766
|
0,273336213
|
1
|
Приложение Б
Расчет параметров уравнения линейного тренда
;
;
-938394,96;
В результате уравнение тренда будет равно:
T
=3930,2
34t.