Уравнение линейной регрессии
Министерство
образования и науки Российской Федерации
Федеральное
агентство по образованию ГОУ ВПО
Всероссийский
заочный финансово-экономический институт
Контрольная
работа по предмету
«Эконометрика»
Вариант
5
Преподаватель
Прокофьев О.В.
Работа выполнена
Кадомцевой Н.О.
Пенза
2013 г
Задача
По предприятиям легкой
промышленности региона получена информация, характеризующая зависимость объема
выпуска продукции (
, млн. руб.)
от объема капиталовложений (
, млн. руб.)
Требуется:
Найти параметры уравнения линейной
регрессии, дать экономическую интерпретацию коэффициента регрессии.
Вычислить остатки; найти остаточную
сумму квадратов; оценить дисперсию остатков
; построить график остатков.
Проверить выполнение предпосылок
МНК.
Осуществить проверку значимости
параметров уравнения регрессии с помощью t-критерия Стьюдента
Вычислить коэффициент детерминации,
проверить значимость уравнения регрессии с помощью
- критерия
Фишера
, найти
среднюю относительную ошибку аппроксимации. Сделать вывод о качестве модели.
Осуществить прогнозирование среднего
значения показателя
при уровне
значимости
, если
прогнозное значения фактора Х составит 80% от его максимального значения.
Представить графически: фактические
и модельные значения
точки
прогноза.
Составить уравнения нелинейной
регрессии:
гиперболической;
степенной;
показательной.
Привести графики построенных
уравнений регрессии.
Для указанных моделей найти
коэффициенты детерминации, коэффициенты эластичности и средние относительные
ошибки аппроксимации. Сравнить модели по этим характеристикам и сделать вывод.
|
31233847464920324624
|
|
|
|
|
|
|
|
|
|
|
|
38264045514934354224
|
|
|
|
|
|
|
|
|
|
|
Найдем параметры уравнения линейной регрессии,
дадим экономическую интерпретацию коэффициента регрессии.
Уравнение линейной регрессии имеет
вид:
Значения параметров а и b линейной
модели определим, используя данные таблицы 1.1.

38,4-0,722´35,6=12,71
Уравнение линейной регрессии имеет
вид:
=12,71+0,722x.
С увеличением объема капиталовложений
на 1 млн. руб. объем выпускаемой продукции увеличиться в среднем на 0,722 млн.
руб. Это свидетельствует об эффективности работы предприятия.
Вычислим остатки; найдем остаточную
сумму квадратов; оценим дисперсию остатков
; построим график остатков.
Остатки см табл 1.1 столбец 
Остаточная сумма квадратов
=148,22
Дисперсия остатков 
График остатков
Проверим выполнение предпосылок МНК.
Проверка выполнения предпосылок МНК
выполняется на основе анализа остаточной компоненты.
случайный характер остатков
нулевая средняя величина остатков,
не зависящая от от xi
гомоскедастичность - дисперсия
каждого отклонения ei одинакова для всех значений x
отсутствие автокорреляции остатков
остатки подчиняются нормальному
распределению
случайный характер остатков
Для простейшей визуальной проверки
строится график зависимости остатков ei от теоретических значений
результативного признака ŷ
На графике остатки расположены
случайным образом внутри симметричной горизонтально огибающей полосы, значит
остатки ei представляют собой случайные величины и МНК оправдан
Для проверки с помощью критерия
поворотных точек строится график е(х) (используются отсортированные значения Х
в порядке возрастания). .
Количество поворотных точек р=6.
Критическое число
при n=10 равно 2.
Р>2, предпосылка о случайном
характере остатков выполняется.
нулевая средняя величина остатков,
не зависящая от от xi
Для простейшей визуальной проверки
используется ранее построенный график е(х) зависимости остатков ei от факторов,
включенных в регрессию xi.
Остатки на графике расположены
случайным образом внутри симметричной горизонтальной полосы, значит их
математическое ожидание не зависит от xi.
Проверка равенства математического
ожидания уровней ряда остатков нулю осуществляется в ходе проверки
соответствующей нулевой гипотезы H0:
. С этой целью строится t-статистика
, где
.

=3,05*10-15
2,262 (α = 0,05; ν=n-1=9)
гипотеза принимается.
гомоскедастичность - дисперсия
каждого отклонения ei одинакова для всех значений x
Коэфф. Спирмена 
где
Т.к. -0,47273<0,5 связь ниже
средней (слабая).статистика
-1,51732 это меньше t Крит=2,306,
следовательно, гипотеза об отсутствии гетероскедастичности при пятипроцентном
уровне значимости принимается. Связь незначимая.

Независимость остатков проверяется с
помощью критерия Дарбина - Уотсона.
=221,59/148,22=1,5
Верхние (d2=0,88) и нижние (d1=1,32)
критические значения, позволяющие принять или отвергнуть гипотезу об отсутствии
автокорреляции, зависят от количества уровней динамического ряда и числа
независимых переменных модели.
Если 0<d<d1, то уровни
автокоррелированы, то есть зависимы, модель неадекватна.
Если d1<d<d2, то критерий
Дарбина-Уотсона не дает ответа на вопрос о независимости уровней ряда остатков.
В таком случае необходимо воспользоваться другими критериями (например,
проверить независимость уровней по первому коэффициенту автокорреляции).
Если d2<d<2 , то уровни ряда
остатков являются независимыми.
В нашем случае d2<d<2 уровни
ряда остатков являются независимыми, предпосылка выполняется.
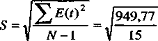
Проверим нормальности распределения
остаточной компоненты по R/S-критерию с критическими уровнями 2,67-3,69;
Рассчитаем значение RS: RS = (Emax -
Emin)/ S,
где Emin - максимальное значение
уровней ряда остатков E(t);- минимальное значение уровней ряда остатков E(t) -
среднее квадратическое отклонение.
|
Emax=
|
6,86
|
|
Emin=
|
-6,03
|
|
Emax-Emin=
|
12,89
|
|
S=
|
4,06
|
|
RS=
|
3,18
|
Так как полученное значение RS попало в заданный
интервал. Значит, уровни ряда остатков подчиняются нормальному распределению.
Таким образом, предпосылки МНК выполняются.
Осуществим проверку значимости
параметров уравнения регрессии с помощью t-критерия Стьюдента
Проверка значимости отдельных
коэффициентов регрессии связана с определением расчетных значений t-критерия
(t-статистики) для соответствующих коэффициентов регрессии:



= 2,64 > 2,306
=
= 5,567 > 2,306
Затем расчетные значения
сравниваются
с табличными tтабл= 2,306. Табличное значение критерия определяется при (n-2)
степенях свободы (n - число наблюдений) и соответствующем уровне значимости a (0,05)
Если расчетное значение t-критерия с
(n - 2) степенями свободы превосходит его табличное значение при заданном
уровне значимости, коэффициент регрессии считается значимым.
В нашем случае коэффициент a
регрессии значим, коэффициент b регрессии значим.
Вычислим коэффициент детерминации,
проверить значимость уравнения регрессии с помощью
- критерия
Фишера
, найти
среднюю относительную ошибку аппроксимации. Сделать вывод о качестве модели.
Определим линейный коэффициент
парной корреляции по формуле
=
= 0,89.
Связь между х и у тесная.
Рассчитаем коэффициент детерминации:
0,79
Вариация результата Y (объема выпуска
продукции) на 79 % объясняется вариацией фактора X (объемом капиталовложений).
Оценку значимости уравнения
регрессии проведем с помощью F-критерия Фишера:

30,991>Fтабл.=5,318 для α=0,05;
k1=m=1; k2=n-m-1=10-1-1-8.
Уравнение регрессии с вероятностью
0,95 в целом статистически значимое, т. к. F > Fтабл.
Определим среднюю относительную
ошибку:
9,31%
В среднем расчетные значения у для
линейной модели отличаются от фактических значений на 9 %.
Вывод о качестве модели. Все
предпосылки МНК выполнены, модель качественная и может быть применена для
прогнозирования.
Осуществим прогнозирование среднего
значения показателя
при уровне
значимости
, если
прогнозное значения фактора Х составит 80% от его максимального значения.
Прогнозное значение показателя, если
прогнозное значение фактора составит 80% от его максимального значения
хпрогн=49*0,8=39,2 составит
=12,71+0,72*39,2=41
Интервальный прогноз:


=4,3
для
10 - 2 =8 степеней свободы и уровня
значимости 0,1 равно 1,859.
Тогда

Представим графически: фактические и
модельные значения
точки
прогноза.
Таблица 1.1.
Составим уравнения нелинейной
регрессии:
гиперболической;
степенной;
показательной.
Приведем графики построенных
уравнений регрессии.
Для указанных моделей найдем
коэффициенты детерминации и средние относительные ошибки аппроксимации. Сравним
модели по этим характеристикам и сделаем вывод.
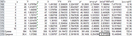
Построение степенной модели парной
регрессии
Уравнение степенной модели имеет
вид:
.
Для построения этой модели
необходимо произвести линеаризацию переменных. Для этого произведем
логарифмирование обеих частей уравнения: lg
= lg a + b lg x.
Факт
y(t)
|
lg(y)
|
Переменная
x(t)
|
lg(x)
|
|
1
|
38
|
1,579784
|
31
|
1,491362
|
|
2
|
26
|
1,414973
|
23
|
1,361728
|
|
3
|
40
|
1,60206
|
38
|
1,579784
|
|
4
|
45
|
1,653213
|
47
|
1,672098
|
|
5
|
51
|
1,70757
|
46
|
1,662758
|
|
6
|
49
|
1,690196
|
49
|
1,690196
|
|
7
|
34
|
1,531479
|
20
|
1,30103
|
|
8
|
35
|
1,544068
|
32
|
1,50515
|
|
9
|
42
|
1,623249
|
46
|
1,662758
|
|
10
|
24
|
1,380211
|
24
|
1,380211
|
|
итого
|
384
|
15,7268
|
356
|
15,30707
|
|
сред
знач
|
38,4
|
1,57268
|
35,6
|
1,530707
|
Обозначим
. Тогда
уравнение примет вид: Y=А + b X - линейное уравнение регрессии.
Рассчитаем его параметры, используя
данные таблицы 1.2.
Уравнение регрессии будет иметь вид :
Y=0,59+0,64X.
Перейдем к исходным переменным ли у, выполнив
потенцирование данного уравнения.
Получим уравнение степенной модели
регрессии:
.
Определим индекс корреляции: 
0,89
Связь между показателем у и фактором
х достаточно сильная.
Коэффициент детерминации равен
0,79
Вариация результата Y (объема
выпуска продукции) на 79 % объясняется вариацией фактора X (объемом
капиталовложений).
Средняя относительная ошибка
9,38%
В среднем расчетные значения
для
степенной модели отличаются от фактических значений на 9,38 %.
Таблица 1.2.
Построение показательной функции
Уравнение показательной кривой: у
=abx . Для построения этой модели необходимо произвести линеаризацию
переменных. Для этого осуществим логарифмирование обеих частей уравнения:
= lg a + х
lg b. Обозначим: Y = lg
, В = lg b,
A = lg a. Получим линейное уравнение регрессии:= А + В х. Рассчитаем его
параметры, используя данные таблицы 1.3
|
 0,0085
|
|
|
1,57-0,0085*35,6
=1,27
|
|
Уравнение будет иметь вид: Y=1,27+00085X .
Перейдем к исходным переменным х и у, выполнив потенцирование данного
уравнения:
ŷ =101,27(100,0085)x
18,55*1,02x
Определим индекс корреляции:

0,89
Связь между показателем у и фактором
x: сильная.
Коэффициент детерминации: R2 = 0,799
=> качество модели высокое.
Вариация результата Y (объема
выпуска продукции) на 79,9 % объясняется вариацией фактора X(объемом
капиталовложений).
Средняя относительная ошибка
9,187
В среднем расчетные значения
для
показательной модели отличаются от фактических значений на 9,187 %.
Таблица 1.3
Построение гиперболической функции
Уравнение гиперболической функции: у = а + b/х .
Произведем линеаризацию модели путем замены Х= 1/х. В результате получим
линейное уравнение у = а + b X. Рассчитаем его параметры
Получим следующее уравнение
гиперболической модели:
60,25+704,68/x
Определим индекс корреляции:

=0,84
уравнение
регрессия степенной вариация
Связь между показателем у и фактором
х сильная.
Коэффициент детерминации равен
0,71
Вариация результата Y (объема
выпуска продукции) на 71 % объясняется вариацией фактора X (объемом
капиталовложений).
Средняя относительная ошибка
10,97 %
Таблица 1.4.
Для выбора лучшей модели построим сводную
таблицу результатов.
Таблица 3.9
Все модели имеют примерно одинаковые
характеристики, но большее значение коэффициента детерминации R2 и меньшее
значение относительной ошибка Eотн имеет показательная модель. Ее можно взять в
качестве лучшей для построения прогноза
Приведем данные по средней
эластичности для различных моделей (для значений
)
Список литературы
Практикум
по эконометрике: Учеб. пособие / И.И.Елисеева, С.В. Курышева, Н.М. Гордеенко и
др.; Под ред. И.И.Елисеевой. - М.: Финансы и статистика, 2001.
Эконометрика.
Методические указания по изучению дисциплины и выполнению контрольной и
аудиторной работы на ПЭВМ. - М.: Вузовский учебник, 2005.
Эконометрика
: Учебник/ Под ред. И.И. Елисеевой. - М.: Финансы и статистика, 2003.
Работа над ошибками
1. Уравнение линейной регрессии
имеет вид:
=12,71+0,722x.
2.
. Количество поворотных точек р=5.
.r-ранг-порядковый номер числа по
возрастанию.
. В среднем расчетные значения у для
линейной модели отличаются от фактических значений на 9 %. Т.к. 9% входит в
интервал 5-15%, точность модели удовлетворительная.
. Линейная: 

Показательная:
Степенная: 