Прогнозирование развития с помощью моделей кривых роста
Прогнозирование развития с помощью
моделей кривых роста
1.
Применение моделей кривых роста в бизнес-прогнозировании
Удобным средством описания
одномерных временных рядов является их выравнивание с помощью тех или иных
функций времени (кривых роста). Кривая роста позволяет получить выровненные или
теоретические значения уровней динамического ряда. Это те уровни, которые
наблюдались бы в случае полного совпадения динамики явления с кривой.
Процедура разработки прогноза с
использованием кривых роста включает в себя следующие этапы:
1) выбор
одной или нескольких кривых, форма которых соответствует характеру изменения
временного ряда;
2) оценка
параметров выбранных кривых;
3) проверка
адекватности выбранных кривых прогнозируемому процессу и окончательный выбор
кривой роста;
4) расчет
точечного и интервального прогнозов.
В настоящее время в литературе
описано несколько десятков кривых роста, многие из которых широко применяются
для выравнивания экономических временных рядов.
Кривые роста условно могут быть
разделены на три класса в зависимости от того, какой тип динамики развития они
хорошо описывают.
К I
типу относятся функции, используемые для описания процессов с монотонным
характером развития и отсутствием пределов роста. Эти условия справедливы для
многих экономических показателей, например, для большинства натуральных
показателей промышленного производства.
Ко II
классу относятся кривые, описывающие процесс, который имеет предел роста в
исследуемом периоде. С такими процессами часто сталкиваются в демографии, при
изучении потребностей в товарах и услугах (в расчете на душу населения), при
исследовании эффективности использования ресурсов и т.д. Примерами показателей,
для которых могут быть указаны пределы роста, являются среднедушевое потребление
определенных продуктов питания, расход удобрений на единицу площади и т.п.
Функции, относящиеся ко II
классу, называются кривыми насыщения. Если кривые насыщения имеют точки
перегиба, то они относятся к III
типу кривых роста - S-образным
кривым.
Эти кривые описывают как бы два
последовательных лавинообразных процесса (когда прирост зависит от уже
достигнутого уровня): один с ускорением развития, другой - с замедлением.
S-образные
кривые находят применение в демографических исследованиях, в страховых расчетах,
при решении задач прогнозирования научно-технического прогресса, при
определении спроса на новый вид продукции.
Вопрос о выборе кривой является
основным при выравнивании ряда.
Существует несколько подходов к
решению этой задачи, однако, все они предполагают знакомство с основными
свойствами используемых кривых роста. Поэтому остановимся на характеристике
отдельных типов кривых, наиболее часто применяемых на практике.
Среди кривых роста I
типа, прежде всего следует выделить класс полиномов:
, (1)
где
-
параметры многочлена,
t-
независимая переменная (время).
Коэффициенты полиномов
невысоких степеней могут иметь конкретную интерпретацию в зависимости от
содержания динамического ряда. Например, их можно трактовать как скорость роста
(a1),
ускорение роста (a2),
изменение ускорения (a3),
начальный уровень ряда при t=0
(a0).
Обычно в экономических исследованиях применяются полиномы не выше третьего
порядка. Использовать для определения тренда полиномы высоких степеней
нецелесообразно, поскольку полученные таким образом аппроксимирующие функции
будут отражать случайные отклонения (что противоречит смыслу тенденции).
Полином первой степени
на
графике изображается прямой и используется для описания процессов,
развивающихся во времени равномерно.
Полином второй степени
применим
в тех случаях, когда процесс развивается равноускоренно (т.е. имеется
равноускоренный рост или равноускоренное снижение уровней).
Как известно, если параметр, a2>0,
то ветви параболы направлены вверх, если же a2>0,
то вниз. Параметры a0
и a1 не влияют на форму параболы, а лишь определяют ее положение.
Полином третьей степени имеет
вид
У этого полинома знак прироста
ординат может изменяться один или два раза (рисунок 1).
Отличительная черта полиномов -
отсутствие в явном виде зависимости приростов от значений ординат (yt).
Оценки параметров в модели (1)
определяются методом наименьших квадратов. Как известно, суть его состоит в
"отыскании" таких параметров, при которых сумма квадратов отклонений
расчетных значений уровней от фактических значений была бы минимальной. Таким
образом, эти оценки находятся в результате минимизации выражения:
, (2)
где yt
- фактическое значение временного ряда;
- расчетное
значение;
n
- длина временного ряда.
Не будем останавливаться на
математическом аппарате метода наименьших квадратов, подробно описанного в
литературе по математической статистике.
Приведем систему нормальных
уравнений, полученную в результате минимизации выражения (2):
(3)
.
Система (3) состоит из (р+1)
уравнений, содержащих в качестве неизвестных величин (р+1) коэффициентов a0,a1…ap.
Решение этой системы позволяет вычислить оценки искомых коэффициентов.
Системы для оценивания
полиномов невысоких степеней выглядят намного проще. Например, нормальные
уравнения для оценивания параметров прямой:
. (4)
Решение этой системы
относительно искомых параметров дает следующие выражения:
Для параболы 2-го порядка
получим аналогичную систему нормальных уравнений:
. (5)
Эта система содержит три уравнения,
позволяющих найти оценки трех неизвестных коэффициентов
.
Составление нормальных уравнений
можно упростить, воспользовавшись тем, что величины
не зависят
от конкретных уровней динамического ряда.
Эти суммы являются функциями только
числа членов в динамическом ряду. Для них получены следующие формулы:
.
(Суммирование по
).
Другой подход к упрощению расчетов
заключается в переносе начала координат в середину ряда динамики. Это позволяет
упростить сами нормальные уравнения, а также уменьшить абсолютные значения
величин, участвующих в расчете. Если до переноса начала координат t было равно
1,2,3,..., то после переноса для четного числа членов ряда t=...,-5;-3;-l;l;3;5;...;
для нечетного числа членов ряда t=...,-3;-2;-l;0;l;2;3;....
Таким образом,
, где k - нечетное
число, равна 0.
В этом случае оценки параметров
соответствующих полиномов имеют вид:
Прямой
(6)
параболы
. (7)
класса экспоненциальных кривых, в
отличие от полиномов, характерной является зависимость приростов от величины
самой функции. Эти кривые хорошо описывают процессы, имеющие
"лавинообразный" характер, когда прирост зависит от достигнутого
уровня функции.
Простая экспоненциальная
(показательная) кривая имеет вид:
(8)
Если b>1, то
кривая растет вместе с ростом t, и падает, если b<1.
Параметр a
характеризует начальные условия развития, а параметр b-постоянный
темп роста.
Действительно, темп роста равен
.
В данном случае

Можно показать, что логарифм
ординаты этой функции линейно зависит от t,
для этого прологарифмируем выражение (8):
Пусть loga=A;
logb=B.
Тогда
.
Теперь для оценивания
неизвестных параметров можем использовать систему нормальных уравнений для
прямой (4).
Иначе говоря, нормальные
уравнения строятся исходя из минимизации:
.
Соответственно в нормальных
уравнениях вместо фактических уровней выступают их логарифмы:
;
. (9)
Найдем неизвестные параметры А
и В. Зная значения A=logA
и B=logB,
определим значения а и b,
и с помощью потенцирования получим показательную функцию, служащую для
выравнивания ряда.
Такой подход к оцениванию
неизвестных параметров привлекает своей универсальностью. Однако, следует иметь
в виду, что полученные оценки параметров оказываются смещенными, т. к. при
расчете участвуют не исходные уровни, а их логарифмы. Смещение будет тем
значительнее, чем больше разность между последовательными уровнями
динамического ряда. Не приводит к смещению в подобных случаях нелинейный метод
наименьших квадратов.
Более сложным вариантом
экспоненциальной кривой является логарифмическая парабола:
. (10)
Прологарифмировав выражение
(10), получим параболу
.
Таким образом, оценку
параметров логарифмической параболы можно опять осуществить с помощью метода
наименьших квадратов, используя систему нормальных уравнений для параболы (5).
При этом остаются в силе сделанные выше замечания о смещении полученных оценок.
Все рассмотренные типы кривых
используются для описания монотонно возрастающих или убывающих процессов без
"насыщения".
Когда процесс характеризуется
"насыщением", его следует описывать при помощи кривой, имеющей
отличную от нуля асимптоту. Примером такой кривой может служить
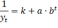
модифицированная экспонента:
(11)
где у = k
является горизонтальной асимптотой.
Если параметр a
отрицателен, то асимптота находится выше кривой, если a
положителен, то ниже. При решении экономических задач чаще всего приходится
иметь дело с кривой, у которой a<0,
b<1. В этом
случае рост уровней происходит с замедлением и стремится к некоторому пределу.
При решении экономических задач
часто можно определить значение асимптоты исходя из свойств прогнозируемого
процесса (например, коэффициент использования оборудования не может превышать
1). Иногда значение асимптоты задается экспертным путем. В этих случаях другие
параметры кривой могут быть определены с помощью метода наименьших квадратов
после приведения уравнения к линейному виду:
(12)
где
- заданное значение асимптоты.
Прологарифмируем (12):
.
Теперь оценить параметры loga и logb можно,
использовав систему нормальных уравнений (9).
Для оценивания параметров
модифицированной экспоненты возможно применение как нелинейного метода
наименьших квадратов, так и ряда других методов, в которых вычисления проще, но
оценки менее эффективные.
Таким образом, модифицированная
экспонента хорошо описывает процесс, на развитие которого воздействует
ограничивающий фактор, причем влияние этого воздействия растет вместе с ростом
достигнутого уровня.
Если воздействие ограничивающего
фактора начинает сказываться только после определенного момента (точки
перегиба), до которого процесс развивался по некоторому экспоненциальному
закону, то для выравнивания используют S-образные
кривые.
Наиболее известными из них являются
кривая Гомперца и логистическая кривая, или кривая Перла-Рида.
Кривая Гомперца имеет вид:
Кривая несимметрична.
Если loga<0,
кривая имеет S-образный вид, при
этом асимптота, равная k,
проходит выше кривой.
Если loga>0,
асимптота, равная k, лежит ниже
кривой, а сама кривая изменяется монотонно: при b<1
- монотонно убывает; при b>1
- монотонно возрастает.
Для решения экономических задач
наибольший интерес представляет вариант этой кривой, когда log
а <0 и b<1 (рисунок
З.1.).
Уравнение логистической кривой
получается путем замены в модифицированной экспоненте yt
обратной величиной
:
.
Используется и другая форма записи
уравнения логистической кривой:
.
При t
ордината стремится к нулю, а при t
- к асимптоте, равной значению параметра k.
Кривая симметрична относительно точки перегиба с координатами: t
=lnb:a;
yt=k:2.
Как видно из графика,
логистическая функция возрастает сначала ускоренным темпом, затем темп роста
замедляется и, наконец, рост почти полностью прекращается, о чем
свидетельствует тот факт, что кривая асимптотически приближается к некоторой
прямой, параллельной оси абсцисс.
) полином
первого порядка
;
полином
второго порядка
;
полином третьего
порядка
экспонента
;

модифицированная
экспонента
кривая Гомперца
логистическая
кривая
Рисунок 1 - Кривые роста
С помощью этой функции хорошо
описывается развитие новой отрасли (нового производства). Сначала технические
методы производства еще недостаточно разработаны, издержки производства высоки
и спрос на рынке на данный товар еще очень мал, поэтому производство
развивается медленно. В дальнейшем, благодаря усовершенствованию технических
методов изготовления, переходу к массовому производству и увеличению емкости
рынка для данного товара производство растет быстрее. Затем наступает период
насыщения рынка, рост производства все более замедляется, и, наконец, почти
прекращается. Наступает стабилизация производства на определенном уровне.
Однако выявленные закономерности развития следует обобщать с определенной
осторожностью, причем для коротких периодов. Выявленная тенденция развития
производства может быть нарушена, например, вследствие технического переворота
в данной отрасли или связанной с нею. Таким образом, мы рассмотрели наиболее
часто используемые в экономических исследованиях виды кривых роста. Выявленные
особенности и свойства этих кривых могут существенно помочь при решении задачи
выбора типа кривой.
Пример
В таблице 1 представлены данные
об остатках вкладов населения в банках за 15 месяцев. Остатки вкладов указаны
на начало каждого месяца.
Таблица 1 Остатки вкладов
населения в банках (млрд руб.)
|
T
|
|
|
|
|
|
1
|
14717
|
6
|
23342
|
11
|
40524
|
|
2
|
16642
|
7
|
28317
|
12
|
45416
|
|
3
|
18504
|
8
|
30624
|
13
|
50857
|
|
4
|
20376
|
9
|
33408
|
14
|
56024
|
|
5
|
21321
|
10
|
36505
|
15
|
59381
|
Рассчитать прогноз остатков
вкладов населения в банках на начало 16-го месяца, предполагая, что тенденция
ряда может быть описана:
а) линейной моделью
;
б) параболической моделью
;
в) показательной моделью
;
Решение:
Для расчета коэффициентов
линейного тренда воспользуемся выражениями, полученными из системы нормальных
уравнений после переноса начала координат в середину ряда.
В таблице 2 представлены
необходимые вспомогательные вычисления:
Таблица 2
Расчёт
параметров трендов
|
№
|
T    
|
|
|
|
|
|
|
|
|
1
|
14717
|
-7
|
-103019
|
49
|
721133
|
2401
|
9,596759
|
-67,1773
|
|
2
|
16642
|
-6
|
-99852
|
36
|
599112
|
1296
|
9,719685
|
-58,3181
|
|
3
|
18504
|
-5
|
-92520
|
25
|
462112
|
625
|
9,825742
|
-49,1287
|
|
4
|
20376
|
-4
|
16
|
326016
|
256
|
9,922113
|
-39,6885
|
|
5
|
21321
|
-3
|
-63963
|
9
|
191889
|
81
|
9,967448
|
-29,9023
|
|
6
|
23342
|
-2
|
-46684
|
4
|
93368
|
16
|
10,05801
|
-20,116
|
|
7
|
28317
|
-1
|
-28317
|
1
|
28317
|
1
|
10,25122
|
-10,1512
|
|
8
|
30624
|
0
|
0
|
0
|
0
|
0
|
10,32954
|
0
|
|
9
|
33408
|
1
|
33408
|
1
|
33408
|
1
|
10,41655
|
10,41655
|
|
10
|
36505
|
2
|
73010
|
4
|
146020
|
16
|
10,5052
|
21,01041
|
|
11
|
40524
|
3
|
121572
|
9
|
364716
|
81
|
10,60965
|
31,82895
|
|
12
|
45416
|
181664
|
16
|
726656
|
256
|
10,72362
|
42,89448
|
|
13
|
50857
|
5
|
254285
|
25
|
1271425
|
625
|
10,83677
|
54,18387
|
|
14
|
56024
|
6
|
336144
|
36
|
2016864
|
1296
|
10,93354
|
65,60121
|
|
15
|
59381
|
7
|
415667
|
49
|
2909669
|
2401
|
10,99173
|
76,94211
|
|
495958
|
|
899891
|
280
|
9891193
|
9352
|
154,6876
|
28,29541
|
В таблице 2 представлены
необходимые вспомогательные вычисления.
В соответствии с (4):
Следовательно, уравнение линейного
тренда имеет вид:
.
Согласно этой модели оценка среднего
уровня ряда при t=0 равна 33063,9 млрд рублей, а среднемесячный прирост
остатков вкладов населения составляет 3213,9 млрд рублей.
Для прогнозирования на базе
полученной модели на одну точку вперед необходимо в нее подставить
соответствующее значение временного параметра, т.е. t=8. (Если бы оценки
коэффициентов модели были получены без переноса начала координат в середину
ряда, то следовало бы подставить в модель значение временного параметра t=16).
Прогноз равен:
.
= 58775 (млрд руб )
Для расчета коэффициентов
параболического тренда также воспользуемся выражениями, полученными из системы
нормальных уравнений после переноса начала координат в середину ряда (5).
Промежуточные вычисления представлены в таблице 2.
;
;
.
Следовательно, уравнение
параболического тренда примет вид:
.
Для определения прогноза показателя
надо подставить в полученную модель соответствующее значение временного
параметра (t=8).
Прогноз равен:
;
.
Для определения параметров тренда,
описываемого показательной функцией, воспользуемся (9), (6):
Проведя потенцирование, получаем:
a = 30106,61;
b = 1,11.
Следовательно, уравнение тренда
примет вид:
.
Согласно этой модели среднемесячный
темп роста остатков вкладов
населения составлял 111%. В точке,
принятой за начало отсчета (t=0), значение тренда равно 30106,61
млрд рублей. Для определения прогноза остатков вклада населения в банках на
один месяц вперед подставляем в полученную модель значение t=8:
;
На рисунке 2 изображен график
исходного временного ряда и выровненные значения уровней, полученные на основе
трех трендовых моделей: линейной, параболической и показательной. Графический
анализ свидетельствует о том, что линейную модель нельзя признать адекватной.
Полученный же на ее основе прогноз будет сильно занижен. Далека от реальности и
модель, рассчитанная по показательной функции, а прогноз будет существенно
завышен. Ближе всех к фактическим данным ложатся уровни, выровненные по
параболической модели, хотя прогноз может быть несколько завышен.
Рисунок 2 - Фактическое (I)
и выровненные по параболе (II)
значения уровней временного ряда
Фактические (I)
и выровненные (II
- по прямой; III - по
показательной функции) значения уровней временного ряда.
2.
Методы выбора кривых роста
Существует несколько
практических подходов, облегчающих процесс выбора формы кривой роста.
Наиболее простой путь - это
визуальный, опирающийся на графическое изображение временного ряда. Подбирают
такую кривую роста, форма которой соответствует фактическому развитию процесса.
Если на графике исходного ряда тенденция развития недостаточно четко
просматривается, то можно провести некоторые стандартные преобразования ряда
(например, сглаживание), а потом подобрать функцию, отвечающую графику
преобразованного ряда. В современных пакетах статистической обработки имеется
богатый арсенал стандартных преобразований данных и широкие возможности для
графического изображения, в том числе в различных масштабах. Все это позволяет
существенно упростить для исследователя проведение данного этапа.
В статистической литературе
описан метод последовательных разностей, помогающий при выборе кривых
параболического типа. Этот метод применим при выполнении следующих
предположений: уровни временного ряда могут быть представлены в виде суммы
систематической составляющей и случайной компоненты, подчиненной нормальному
закону распределения с математическим ожиданием, равным 0, и постоянной
дисперсией. Метод предполагает вычисление первых, вторых и т. д. разностей
уровней ряда:
;
.
и т.д.
Расчет ведется до тех пор, пока
разности не будут примерно равными. Порядок разностей принимается за степень
выравнивающего полинома.
Существенную помощь при выборе
кривых роста из более широкого класса функций может оказать метод характеристик
прироста.
Процедура выбора кривых с
использованием этого метода включает следующие шаги:
1)
выравнивание
ряда по скользящей средней;
2)
определение
средних приростов;
3)
вычисление
производных характеристик прироста.
Для многих видов кривых были
найдены такие преобразования приростов, которые линейно изменялись относительно
t или были постоянны.
В связи с этим исследование рядов характеристик приростов часто оказывает
существенную помощь при определении законов развития исходных временных рядов.
Данный метод является более
универсальным по сравнению с методом последовательных разностей.
Однако, чаще всего на практике
к выбору формы кривой подходят исходя из значений критерия, в качестве которого
принимают сумму квадратов отклонений фактических значений уровня от расчетных,
получаемых выравниванием. Из рассматриваемых кривых предпочтение будет отдано
той, которой соответствует минимальное значение критерия, т.к. чем меньше
значение критерия, тем ближе к кривой ложатся данные наблюдений.
Используя этот подход, следует
иметь в виду ряд моментов. Во-первых, к ряду, состоящему из m
точек можно подобрать многочлен степени (t-1),
проходящий через все t точек. Кроме того, существует множество многочленов
более высоких степеней, также проходящих через все эти точки. Для этих
многочленов значение критерия будет равно 0, однако, очевидно, что такая кривая
не слишком пригодна как для выделения тенденции, так и для целей
прогнозирования.
Также следует учитывать, что за
счет роста сложности кривой можно увеличить точность описания тренда в прошлом,
однако доверительные интервалы при прогнозировании будут существенно шире, чем
у более простых кривых при одинаковом периоде упреждения, например, за счет
большего числа параметров.
Таким образом, использование
этого подхода должно проходить в два этапа. На первом - происходит ограничение
приемлемых функций, исходя из содержательного анализа задачи. На втором -
осуществляется расчет значений критерия и выбор на его основе наиболее
подходящей кривой роста. Необходимость содержательного анализа изучаемого
процесса развития может быть проиллюстрирована следующими примерами.
Предположим, что на
ретроспективном участке ряд динамики может быть хорошо описан с помощью
экспоненциальной кривой. Однако первая половина логистической кривой также
представлена экспонентой. Поэтому принять гипотезу об экспоненциальной
тенденции ряда в будущем можно только после проведения содержательного анализа,
в ходе которого следует дать ответ на вопрос: возможно ли наступление
"насыщения" при данной совокупности условий. Например, процесс
производства может быть ограничен материальными ресурсами или производственными
мощностями.
Возможна ситуация, когда
наилучшей функцией по данному критерию будет признана прямая, однако,
полученное на ее основе прогнозное значение будет отрицательным. Если из
экономической сути показателя вытекает невозможность отрицательных значений
(например, при прогнозировании объема выпускаемой продукции), то, естественно,
следует отказаться от этой функции, выбрав менее "удачную" по данному
критерию, но более соответствующую содержательному смыслу показателя. Например,
более подходящей в этом случае может оказаться экспоненциальная кривая (8) (при
значении параметра b < 1).
В современных пакетах
статистической обработки данных и анализа временных рядов представлен широкий
спектр кривых роста, например, в пакете "Олимп", разработанном в МЭСИ
и широко используемом в учебном процессе, реализованы 16 кривых роста. Причем,
возможны несколько режимов работы, удобных для пользователя. Можно среди этих
кривых выбрать отдельную функцию, и получить подробный протокол, включающий
оценки параметров, характеристики остатков, прогнозы, интервальные и точечные.
Можно выделить на экране несколько функций, тогда протокол будет содержать
оценки параметров всех заказанных функций и значения критерия для каждой из
них. В качестве критерия выбирается средняя квадратическая ошибка:
,
где yt
- фактическое значение ряда;
- выровненное
значение ряда;
n
- длина ряда.
Подробный протокол, а также
прогнозные значения, на заданное пользователем число временных интервалов,
приводятся для функции, отвечающей минимуму указанного критерия. Представляется
целесообразным для пользователя на основе выше рассмотренных подходов заранее
отвергнуть заведомо непригодные варианты, ограничить поле выбора.
В заключение отметим, что нет
"жестких" рекомендаций для выбора кривых роста. Особенно осторожно
следует подходить к решению этой задачи при использовании полученной функции
для экстраполирования найденных закономерностей в будущее. Применение кривых
роста должно базироваться на предположении о сохранении выявленной тенденции в
прогнозируемом периоде. Рассмотренные в данном разделе различные статистические
приемы и методы могут помочь исследователю при осуществлении сложного выбора
подходящей кривой роста.
3.
Доверительные интервалы прогноза
бизнес
прогнозирование дисперсия линейный
Заключительным этапом применения
кривых роста является экстраполяция тенденции на базе выбранного уравнения.
Прогнозные значения исследуемого показателя вычисляют путем подстановки в
уравнение кривой значений времени t,
соответствующих периоду упреждения. Полученный таким образом прогноз называют
точечным, так как для каждого момента времени определяется только одно значение
прогнозируемого показателя. На практике в дополнении к точечному прогнозу
желательно определить границы возможного изменения прогнозируемого показателя,
задать "вилку" возможных значений прогнозируемого показателя, т.е.
вычислить прогноз интервальный.
Несовпадение фактических данных
с точечным прогнозом, полученным путем экстраполяции тенденции по кривым роста,
может быть вызвано:
1)
субъективной
ошибочностью выбора вида кривой;
2)
погрешностью
оценивания параметров кривых;
3)
погрешностью,
связанной с отклонением отдельных наблюдений от тренда, характеризующего
некоторый средний уровень ряда на каждый момент времени.
Погрешность, связанная со
вторым и третьим источником, может быть отражена в виде доверительного
интервала прогноза. Доверительный интервал, учитывающий неопределенность,
связанную с положением тренда, и возможность отклонения от этого тренда,
определяется в виде:
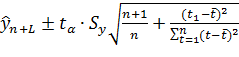
, (13)
где n
- длина временного ряда;
-период упреждения;
- точечный прогноз на момент n+L;
- значение t-статистики
Стьюдента;
- средняя квадратическая ошибка
прогноза.
Предположим, что тренд
характеризуется прямой:
.
Так как оценки параметров
определяются по выборочной совокупности, представленной временным рядом, то они
содержат погрешность. Погрешность параметра a0 приводит к
вертикальному сдвигу прямой, погрешность параметра a1 - к
изменению угла наклона прямой относительно оси абсцисс. С учетом разброса
конкретных реализаций относительно линий тренда, дисперсию
можно
представить в виде:
, (14)
где
- дисперсия отклонений фактических
наблюдений от расчетных;
t1 - время
упреждения, для которого делается экстраполяция;
t1=n+L;
t- порядковый
номер уровней ряда, t=l,2,..., n;
- порядковый номер уровня, стоящего
в середине ряда,
=(n+1):2.
Тогда доверительный интервал можно
представить в виде:
. (15)
Обозначим корень в выражении
(11.3.3) через К. Значение К зависит только от n и L, т.е. от
длины ряда и периода упреждения. Поэтому можно составить таблицы значений К или
. Тогда
интервальная оценка будет иметь вид:
(16)
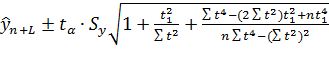
Выражение, аналогичное (11.3.3),
можно получить для полинома второго порядка:
(17)
или
. (18)
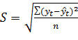
Дисперсия отклонений фактических
наблюдений от расчетных определяется выражением:
, (19)
где yt
-
фактические значения уровней ряда,
- расчетные
значения уровней ряда,
n
- длина временного ряда,
k
- число оцениваемых параметров выравнивающей кривой.
Чем выше степень полинома, тем
шире доверительный интервал при одном и том же значении Sy,
так как дисперсия уравнения тренда вычисляется как взвешенная сумма дисперсий
соответствующих параметров уравнения.
Рисунок 3 - Доверительные
интервалы прогноза для линейного тренда
Доверительные интервалы
прогнозов, полученных с использованием уравнения экспоненты, определяют
аналогичным образом. Отличие состоит в том, что как при вычислении параметров
кривой, так и при вычислении средней квадратической ошибки используют не сами
значения уровней временного ряда, а их логарифмы.
По такой же схеме могут быть
определены доверительные интервалы для ряда кривых, имеющих асимптоты, в
случае, если значение асимптоты известно (например, для модифицированной
экспоненты).
Литература
1. Кендэл М. Временные ряды. - М.:
"Финансы и статистика", 2001.
. Рунова Л.П., Рунов И.Л. Анализ
временных рядов и прогнозирование. Учебно-методические материалы по дисциплине
“Методы социально-экономического прогнозирования” для студентов специальности
“Математические методы в экономике”. Ростов-на-Дону, РГУ, 2006.
. Статистическое моделирование и
прогнозирование. Учебное пособие под ред. А. Г. Гранберга. - М.:"Финансы и
статистика", 2010.
. Четыркин Е.Н. Статистические методы
прогнозирования. -М.: ”Статистика”, 2005.