|
Марка угля
|
Уголь Кузнецкий ГР
|
|
Теплота сгорания Q, кДж/кг
|
24500
|
|
Температура воды, С
|
130
|
|
Температура дыма, С
|
180
|
|
Расход дыма, м/час р.у.
|
19500
|
|
Полный расход топлива, кг/с
|
0,350
|
|
Выход золы из котла, г/с
|
0,0009
|
|
Зола унос, %
|
15
|
|
Конц. на выходе из котла, г/м3
|
0,3173
|
|
Тип циклона
|
Цн-15
|
|
Диаметр циклона, м
|
0,7
|
|
Число циклонов
|
4
|
|
Коэффициент очистки
|
0,975
|
|
Концентрация после газоочистки, г/м3
|
0,0079
|
|
Гидравлическое сопротивление циклона, Па
|
918,7
|
|
Выход золы из газоочистки, г/с
|
0,0249
|
|
Тепловая мощность котла, МВт
|
7,56
|
|
Площадь зеркала горения, м
|
5
|
|
Коэффициент избытка воздуха
|
1,25
|
Введение
вредный выброс бензапирен
загрязнение
Вещества, загрязняющие атмосферу,
причиняли значительный вред окружающей среде в течение многих десятилетий.
Дальнейший рост населения и промышленного производства неизбежно приводит к
увеличению опасности загрязнения. Большое количество топлива ежегодно сжигается
в топках котельных. Котельные самые крупные потребители самого «грязного»
топлива - угля и мазута.
Важным документом для регулирования
процесса выбросов вредных веществ является проект нормативов ПДВ.
1. Общие сведенья о
предприятии
Котельная шахты «N» находится в городе Новокузнецке, в
Заводском районе. Шахта находится на 1 км на северо-восток от завода ЗСМК в
промышленной зоне.
Основными источниками выбросов
загрязняющих веществ в атмосферу на период эксплуатации являются:
- котельная;
- двигатели
дорожно-строительных машин;
- склад угля
котельной;
- транспортировка
угля ленточным конвейером;
- разгрузка бункера
золошлаков.
В состав котельной входит: котельный
агрегат, место приемки угля, угольный склад, место временного хранения шлака
Котельный агрегат (см. Рисунок 1 -
Компоновка котельной установки) состоит из топки, воздухонагревателя, дутьевого
вентилятора, газоочистки, в состав которой входит группа циклонов (4 шт.),
дымососа.
Основным объектом водогрейного котла
состоит в получении горячей воды, которая применяется в отопительной системе и
системе горячего водоснабжения шахты. Тепловая мощность которого равна 7,6 МВт.
Воздухоподогреватель входит в число
так называемых хвостовых поверхностей котлоагрегата. Воздухоподогреватель,
отнимая тепло от отходящих газов и соответственно уменьшая потерю с отходящими
газами, непосредственно это отнятое тепло теплоносителю не сообщает. Горячий
воздух направляется от воздухоподогревателя в топку котла, где улучшаются
условия сгорания топлива, уменьшаются топочные потери, увеличивается
теоретическая температура горения, следовательно, увеличивается передача тепла
радиацией по сравнению с менее эффективной теплоотдачей - конвекцией. В итоге
увеличивается к. п. д. всей установки в целом при одинаковых прочих условиях,
уменьшается поверхность нагрева котла.
Дымовые газы отсасываются дымососом.
После дымососа газ выбрасывается в атмосферу, при помощи дымовой трубы, высотой
12 м.
Топливо котельной уголь бурый.
В котельном
агрегате используется слоевая топка с неподвижной горизонтальной колосниковой
решеткой с шурующей планкой. В топках с шурующей планкой топливо перемещается
вдоль неподвижной горизонтальной колосниковой решетки. Применяют их для
сжигания бурых углей. Топливо подается на колосниковую решетку сверху через
загрузочную дверцу. В топках с неподвижным слоем шлак по мере прогорания слоя
опускается вниз и скапливается на поверхности колосниковой решетки, образуя
шлаковую подушку, которая защищает колосники от действия высокой температуры,
лежащей выше зоны горения кокса. Шлаковая подушка охлаждается снизу проходящим
через нее холодным воздухом.
Площадь зеркала горения F=6 м2. Топка слоевая
прямого хода. Тепловая мощность котла равна 7,56 МВт.
Компоновка котельной установки: 1 -
котел; 2 - воздухоподогреватель; 3 - золоуловитель; 4 - дымовая труба; 5 -
загрузочное устройство; 6 - дутьевое устройство; 7 - дымосос
2. Физико-географические
и климатические условия в районе расположения предприятия
2.1 Местоположение
Карта Кемеровской области (Кузбасса)
дает представление о месте расположения города Новокузнецка. Это крупный
промышленный центр России, объединяющий в единый комплекс города юга Кузбасса.
Котельная шахты «N» находится в городе Новокузнецке, в
районе Запсиба. Шахта находится на 1 км на северо-восток от завода ЗСМК в
промышленной зоне. Соседними объектами котельной являются: промышленные здания,
отвал и угольный склад. Жилых помещений на территории нет.
2.2 Метеорологические
особенности в районе расположения предприятия
Город Новокузнецк расположен на юге
Кемеровской области в большой котловине, образованной поймами рек Кондомы и
Томи и окружен отрогами Кузнецкого Алатау и Салаирского Кряжа. Перепад высот в
пределах города составляет 250 м.
Климат района континентальный, с
продолжительной морозной зимой и коротким, но жарким летом. По многолетним
данным средняя годовая температура воздуха в Новокузнецке составляет 0,7°С.
Самым холодным месяцем является январь (минус 17,8°С), самым теплым июль
(18,5°С). Средняя максимальная температура наружного воздуха наиболее жаркого
месяца года составляет 24,1°С.
Таблица 1 - Средние многолетние
значения метеоэлементов по ст. Новокузнецк
|
СРЕДНИЕ МНОГОЛЕТНИЕ ЗНАЧЕНИЯ МЕТЕОЭЛЕМЕНТОВ
|
|
ПО ст. НОВОКУЗНЕЦК
|
|
Месяцы/ Метеолементы
|
1
|
2
|
3
|
4
|
5
|
6
|
7
|
8
|
9
|
10
|
11
|
12
|
Год
|
|
Средняя месячная и
|
|
|
|
|
|
|
|
|
|
|
|
|
|
|
годовая т-ра. воздуха (°С)
|
-17,8
|
-15,6
|
-8,4
|
1,4
|
9,8
|
16,2
|
18,5
|
15,9
|
10,0
|
2,1
|
-8,5
|
-15,6
|
0,7
|
|
Средняя минимальная
|
-22,1
|
-20,5
|
-13,6
|
-3,3
|
3,9
|
10,4
|
13,1
|
10,6
|
4,9
|
-1,6
|
-12,5
|
-19,7
|
-4,1
|
|
т-ра воздуха (°С)
|
|
|
|
|
|
|
|
|
|
|
|
|
|
|
Средняя максимальная
|
-13,0
|
-9,8
|
-2,7
|
7,5
|
16,6
|
22,9
|
24,7
|
22,3
|
16,4
|
7,3
|
-4,4
|
-11,3
|
6,4
|
|
т-ра воздуха (°С)
|
|
|
|
|
|
|
|
|
|
|
|
|
|
|
Абсолютный максимум
|
4
|
10
|
14
|
26
|
34
|
36
|
38
|
35
|
32
|
26
|
14
|
8
|
38
|
|
т-ры воздуха (°С)
|
|
|
|
|
|
|
|
|
|
|
|
|
|
|
Абсолютный минимум
|
-52
|
-45
|
-39
|
-28
|
-16
|
-1
|
2
|
-2
|
-9
|
-36
|
-45
|
-47
|
-52
|
|
т-ры воздуха (°С)
|
|
|
|
|
|
|
|
|
|
|
|
|
|
|
Среднее месячное и
|
|
|
|
|
|
|
|
|
|
|
|
|
|
|
годовое количество
|
22
|
16
|
21
|
38
|
58
|
75
|
96
|
74
|
52
|
54
|
51
|
36
|
593
|
|
осадков (мм)
|
|
|
|
|
|
|
|
|
|
|
|
|
|
|
Средняя месячная и
|
|
|
|
|
|
|
|
|
|
|
|
|
|
|
годовая относительная
|
81
|
79
|
76
|
69
|
62
|
88
|
74
|
76
|
76
|
76
|
77
|
82
|
75
|
|
влажность (мм)
|
|
|
|
|
|
|
|
|
|
|
|
|
|
- средняя минимальная температура
наиболее холодного месяца - -22,6°С;
средняя максимальная температура
наиболее жаркого месяца - +25,2°С;
повторяемость направления ветра и
штилей, %:
|
С
|
СВ
|
В
|
ЮВ
|
Ю
|
ЮЗ
|
З
|
СЗ
|
Штиль
|
|
5
|
4
|
4
|
|
14
|
52
|
9
|
9
|
17
|
среднемесячная и годовая скорость
ветра, м/с:
|
I
|
II
|
III
|
IV
|
V
|
VI
|
VII
|
VIII
|
IX
|
X
|
XI
|
XII
|
Год
|
|
3,2
|
3,1
|
3,4
|
3,5
|
3,5
|
2,9
|
2,2
|
2,3
|
2,6
|
3,5
|
3,9
|
3,6
|
3,1
|
скорость ветра, вероятность
превышения которой составляет 5%, равна 13 м/с;
среднемесячные и годовые количества
осадков, мм:
|
I
|
II
|
III
|
IV
|
V
|
VI
|
VII
|
VIII
|
IX
|
X
|
XI
|
XII
|
Год
|
|
14
|
12
|
13
|
24
|
40
|
58
|
70
|
53
|
36
|
34
|
26
|
19
|
399
|
Ветровой режим города обусловлен с
одной стороны общими циркуляционными особенностями региона (преобладание
юго-западного переноса), с другой стороны - особенностями рельефа.
Характеристика ветрового режима
города по многолетним данным приведена в таблице 2.
Таблица 2 - Характеристика ветрового
режима города
|
ХАРАКТЕРИСТИКА ВЕТРОВОГО РЕЖИМА ГОРОДА
|
|
Год
|
|
Метеоэлемент
|
1 2 3 4 5 6 7 8 9 10 11 12
|
|
Среднее число дней с туманом
|
642 0,7 12686 2 25 45
|
|
Средняя месячная и годовая скорость, м/с
|
2,5 2,7 3,4 3,4 3,5 2,9 2,4 2,3 2,6 3,3 3,5 3,0 2,9
|
|
Повторяемость направлений ветров и штилей, %
|
|
Север
|
10 14 10 16 17 18 24 23 16 11 11 7 15
|
|
Северо-восток
|
34 28 21 21 17 19 20 19 21 17 18 28 22
|
|
Восток
|
7656875586446
|
|
Юго-восток
|
1222344432222
|
|
Юг
|
11 14 14 12 10 14 13 10 12 13 14 11 12
|
|
Юго-запад
|
30 28 33 25 23 17 15 15 22 35 36 36 26
|
|
Запад
|
3 3 7 9 12 10 8 10 10 8 7 6 8
|
|
Северо-запад
|
4 5 8 9 10 11 11 14 8 8 8 5 9
|
|
Продолжение Таблицы 2
|
|
Штиль
|
30 24 14 11 9 12 15 15 14 10 14 19 16
|
Котловинная форма рельефа
способствует большой повторяемости штилевых ситуаций, особенно зимой, и слабых
скоростей ветра летом.
Высокий потенциал загрязнения
воздуха города различными примесями наблюдается в периоды особо неблагоприятных
метеоусловий (НМУ). Возникновению НМУ способствуют штили, приземные и
приподнятые инверсии, туманы.
Высокие значения концентрации пыли
были отмечены в Заводском районе, в котором 29% проб превышали ПДК (среднее по
городу 12%). Ежегодно отмечается превышение норм по фенолу.
Контроль содержания в атмосфере
таких веществ как: фтористый водород, цианистый водород, пыль с содержанием
двуокиси кремния, больше 70% не проводится.
Таблица 3 - Средние годовые
концентрации
|
Ингредиенты
|
№ пост.
|
2003 год
|
ПДК, макс. раз
|
|
|
ср. знач.
|
макс. раз.
|
|
|
Пыль, мг/м3
|
2
|
0,2
|
2,5
|
0,5
|
|
SO2, мг/м3
|
2
|
0,012
|
0,22
|
0,5
|
|
NO, мг/м3
|
9
|
0,02
|
0,73
|
0,4
|
|
NO2, мг/м3
|
2
|
0,03
|
0,56
|
0,9
|
|
СО, мг/м3
|
2
|
1,3
|
6,0
|
5,0
|
|
Бензапирен, 106, мг/м3
|
2
|
|
|
0,1
|
Анализ представленных данных
позволяет сделать вывод, что на протяжении последнего года, несмотря на то, что
идет постоянный спад производства просматривается тенденция стабильности уровня
загрязнения. Средние годовые концентрации не превышают норм ПДК. Максимальные
разовые значения концентраций по двум ингредиентам значительно превышает ПДК:
пыли до 5 ПДК, окись углерода до 8 ПДК, двуокиси азота до 18 ПДК, окись азота
до 2 ПДК.
3. Расчет выбросов
вредных веществ
Расчет производим согласно «Методике
определения выбросов загрязняющих веществ в атмосферу при сжигании топлива в
котлах производительностью менее 30 тонн пара в час или менее 20 Гкал в час».
изд. Гос. комитетом РФ по охране окружающей среды. М.: 1999.
) тепловая мощность котла Q = 7.56 МВт;
) максимальная температура воды tн
= 1300С.
) площадь зеркала горения F = 5м2;
) топливо - Уголь кузнецкий ГР.
5) низшая теплота
сгорания топлива -
= 24500 кДж/кг.
) коэффициент избытка
воздуха αт = 1,25.
) температура дыма на
выходе из котла 1800С.
) расчетный расход
топлива Вр = 0,350 кг/с
3.1 Расчет выбросов
оксидов азота
Расчет выбросов оксидов
азота при слоевом сжигании топлива в топках с неподвижными цепными решетками
производят по формуле:
,
где Вр -
расчетный расход топлива, кг/с;
- низшая теплота
сгорания, МДж/кг;
- удельный выброс
оксидов азота при слоевом сжигании твердого топлива, г/МДж, и определяется по
формуле:
,
где αт
- коэффициент избытка воздуха в топке;
R6
= 50% - характеристика гранулометрического состава угля;
qR
- тепловое напряжение зеркала горения, МВт/м2;
Величина qR определяется по формуле:
где F - зеркало горения (по данным котельной установки), м2;
βr - безразмерный коэффициент, учитывающий влияние рециркуляции
дымовых газов (в нашем случае рециркуляция отсутствует и βr = 1);
kn
- коэффициент пересчета:
при определении выбросов
в граммах в секунду kn
= 1;
при определении выбросов
в тоннах в год kn
= 10-3.
Подставив данные в
формулы получим выброс оксидов азота:
3.2 Расчет выбросов бензапирена
Расчет концентрации
бензапирена в уходящих газах котлов малой мощности при сжигании твердых топлив,
приведенную к избытку воздуха в газах α = 1,4 рассчитывают
по формуле, мг/нм3:
где А - коэффициент,
характеризующий тип колосниковой решетки и топлива. (для углей и сланцев А =
2,5);
- низшая теплота
сгорания, МДж/кг;
R
- коэффициент, характеризующий температурный уровень экранов:
для tн ≥
115 0С R = 350;
для tн <
115 0С R = 290.
где tн -
температура насыщения при давлении в барабане паровых котлов или на выходе из
котла водогрейных котлов;
Кд -
коэффициент, учитывающий нагрузку котла:
где
-
номинальная нагрузка котла, кг/с;
- фактическая нагрузка
котла, кг/с;
Примем Кд=1;
Кзу -
коэффициент, учитывающий степень улавливания бензапирена золоуловителем,
определяют по формуле:
Кзу = 1
- ηзу z,
где ηзу
= 0,97 - степень очистки газов в золоуловителе по золе;- коэффициент,
учитывающий снижение улавливающей способности золоуловителем бензапирена:
при температуре газов
перед золоуловителем tф ≥ 185 0С:= 0,8 - для сухих
золоуловителей;= 0,9 - для мокрых золоуловителей.
при температуре газов
перед золоуловителем tф < 185 0С:= 0,7 - для сухих
золоуловителей;= 0,8 - для мокрых золоуловителей.
Подставив
последовательно данные в формулы, получим концентрацию бензапирена в уходящих
газах:
3.3 Расчет выбросов
оксида углерода
Оценку суммарного количества выбросов
оксида углерода (г/с) произведем по формуле:
где Вр - расчетный расход
топлива, кг/с;
- низшая теплота
сгорания, МДж/кг;4 - потери тепла вследствие механической неполноты
сгорания топлива, %; (примем q4 = 5%).
Ксо -
количество оксида углерода, образующееся на единицу тепла, выделяющегося при
горении топлива, кг/ГДж, примем Ксо = 0,7.
Подставив данные получим
выброс оксида углерода:
3.4 Расчет выбросов
твердых частиц
Суммарное количество твердых частиц
(летучей золы и несгоревшего топлива) Мтв, поступающих на газоочистку
с дымовыми газами котлов (г/с, т), вычисляли по формуле:
где В = 0,350 кг/с - расход
натурального топлива;r =
15.9% - зольность топлива на рабочую массу;ун = 0,15 - доля золы, уносимой газами из котла (доля золы и топлива
в уносе);4 = 5% -
потери тепла от механической неполноты сгорания топлива;
= 24,5
МДж/кг - низшая теплота сгорания топлива;
,68 - теплота сгорания углерода,
МДж/кг.
ηз = 0,97 - доля твердых
частиц улавливаемых в золоуловителе.
Подставив данные в формулу получим
выброс твердых частиц:
3.5 Расчет выбросов
оксидов серы
Суммарное количество оксидов серы,
выбрасываемых из котла с дымовыми газами (г/с, т) вычисляют по формуле:
где В-расход натурального топлива за
рассматриваемый период, г/с (т);
= 0,4%
- содержание серы в топливе на рабочую массу;
= 0,1 -
доля оксидов серы, связываемых летучей золой в котле, согласно;
- доля
оксидов серы, улавливаемых в мокром золоуловителе попутно с улавливанием
твердых частиц. Т.к. золоуловитель сухой, то
= 0.1,
= 0.
Подставив данные в формулу получим
выброс оксидов серы:
г
/с.
Обосновывающие расчёты выбросов
загрязняющих веществ в атмосферу на период эксплуатации. Перечень загрязняющих
веществ, выбрасываемых в атмосферу на период эксплуатации с указанием ПДК и
классов опасности, а также с учетом передвижных источников, представлены в
таблице 4.
Таблица 4 - Перечень загрязняющих
веществ
|
Вещество
|
Использ. критерий
|
Значение критерия, мг/м3
|
Класс опасности
|
Суммарный выброс вещества
|
|
код
|
наименование
|
|
|
|
|
|
|
|
|
|
г/с
|
т/год
|
|
0301
|
Диоксид серы
|
ПДК м/р
|
0,500000
|
3
|
2,52
|
79,38
|
|
0304
|
Азот диоксид (Азота оксид)
|
ПДК м/р
|
0,400000
|
3
|
0,0345
|
1,087
|
|
0337
|
Углерод оксид
|
ПДК м/р
|
5,000000
|
4
|
5,7
|
179,55
|
|
0703
|
Бензапирен (3,4 - Бензпирен)
|
ПДК с/с
|
0,000001
|
1
|
0,00000477
|
0,00015
|
|
2909
|
Твердые вещества
|
ПДК м/р
|
0,500000
|
3
|
0,64
|
20,16
|
|
Всего веществ: 5
|
8,89450477
|
280,17715
|
|
в том числе твердых: 1
|
0,64
|
20,16
|
|
жидких / газообразных: 4
|
8,25450477
|
260,01715
|
|
|
|
|
|
|
|
|
4. Расчет уровня
загрязнения атмосферного воздуха вредными выбросами предприятий
В ходе проводимых расчетов вначале
определяется максимальная концентрация загрязняющего вещества в воздухе Сmax, которая может быть
достигнута при наиболее неблагоприятных метеорологических условиях (как
правило, на определенном от источника выбросов расстоянии xmax). Затем
определяется концентрация загрязняющего вещества в атмосферном воздухе на
заданном расстоянии x от источника выбросов.
4.1 Определение
максимальной концентрации вредного вещества в атмосферном воздухе
Расчет максимальной концентрации
загрязняющего вещества в воздухе для точечного источника (например дымовая
труба) для расчета рассеивания горячих газов выполняем в соответствии с
формулой:
где А - коэффициент, зависящий от
температурной стратификации атмосферы, А = 200;
М - масса вредного вещества,
выбрасываемого в атмосферу единицу времени, г/с;
F - безразмерный коэффициент, учитывающий скорость оседания вредных
веществ в атмосферном воздухе;
m и n - коэффициенты, учитывающие условия выхода газовоздушной смеси
(ГВС) из источника;
H - высота источника над уровнем земли, м;
Г - безразмерный коэффициент,
учитывающий влияние рельефа местности (если территория, на которой расположен
источник выбросов, ровная, т.е. перепад высот не превышает 50 м на 1 км, то Г
=1; если перепад высот более 50 м, но не превышает 100 м на 1 км, то Г = 2; для
сильно пересеченной местности Г = 3);
ΔT - разность между температурой,
выбрасываемой газовоздушной смеси Тг и температурой окружающего
воздуха Т0, ○С (для Новокузнецка значение Т0
принимается равным 26 ○С);
V1 - расход газовоздушной
смеси (м3/с), рассчитываемый по формуле:
где D - диаметр устья источника выбросов
(трубы), м;
Wср - средняя скорость
выхода газовоздушной смеси из устья источника, м/с. (Wср = 12 м/сек).
При наличии на предприятии очистных
и газоулавливающих сооружений принимают F = 1 для всех газообразных веществ,
а также для мелкодисперных веществ (зола, пыль и др.) и F = 2 для мелкодисперсных аэрозолей.
Если очистные и газоулавливающие
сооружения отсутствуют, то
F = 3.
Коэффициенты m и n определяются в зависимости от
параметров r и q, которые рассчитываются по следующим формулам:
4.2 Определение
расстояния от источника выбросов, на котором достигается максимальная
концентрация загрязняющего вещества
Определение расстояния xmax (м) от источника выбросов, на котором приземная концентрация
загрязняющего вещества C (мг/м3) достигает максимального значения Cmax (мг/м3),
выполняется с помощью формулы:
где k - безразмерный коэффициент
Для r < 100:
Для r ≥ 100:
На основании анализа расчетов
рассеивания загрязняющих веществ в атмосферном воздухе на промышленной площадке
максимальные приземные концентрации на границах СЗЗ и жилой застройки не
превысят 1 ПДК с учетом фонового загрязнения на период эксплуатации ни по
одному из компонентов.
Таблица 5 -
Сравнительная характеристика концентраций вредных веществ с ПДК
|
№ п/п
|
Вещество
|
Сmax, мг/м3
|
Cmax+Cф, мг/м3
|
ПДК, мг/м3
|
xmax, м
|
Сравнение,
|
|
1
|
Азот диоксид (Азота оксид)
|
0,0052
|
0,0352
|
0,4000
|
|
не превышает
|
|
2
|
Диоксид серы
|
0,38
|
0,5
|
0,5000
|
|
не превышает
|
|
3
|
Твердые вещества
|
0,19
|
0,39
|
0,5000
|
|
не превышает
|
|
4
|
Углерод оксид
|
0,86
|
1,26
|
5,000
|
|
не превышает
|
|
5
|
Бензапирен (3,4 - Бензпирен)
|
7,2·10-7
|
0
|
0,000001
|
|
не превышает
|
4.3 Назначение размеров
санитарно-защитной зоны
Выбираем ширину санитарно-защитной
зоны: нормативное значение 100 м от главного источника вредных выбросов (от
дымовой трубы).
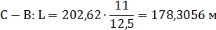
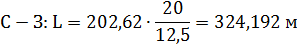
5. Определение границ
санитарно-защитной зоны предприятий
Размеры СЗЗ в зависимости от розы
ветров определяются по формуле
где L - расстояние от источника выбросов
до границы СЗЗ в рассчитываемом румбе (направлении ветра) розы ветров, м
(значения L, как правило, различаются для ветров разных направлений);
x - расстояние до участка местности в данном направлении, где
концентрация загрязняющего вещества равна 1 ПДКс.с. (рассчитывается
при 1 < x/xmax ≤ 8), м;
P - среднегодовая повторяемость направлений ветров рассматриваемого
румба, %;
P0 - повторяемость
направлений ветров одного румба при круговой розе ветров, %, (например, при
восьмирумбовой розе ветров P0 = 12,5%).
Примечание: для Кемеровской области
имеет место следующая повторяемость направлений ветров:
Ю - 13%; С - 24%
Ю-В - 4%; С-З -
20%;
В - 5%; З -
8%;
С-В - 11%; Ю-З -
15%;

6. Предложения по
установлению величины ПДВ
Если же максимальная концентрация во
всех точках, в том числе и в санитарно-защитной зоне (100 м) некоторых веществ
превышает ПДК и они наблюдаются за пределами санитарно-защитной зоны. Для
установления величины ПДВ можно предложить следующие способы:
) Изменение технологии
(например: изменение топлива):
) Изменение условий
рассеивания, т.е. увеличение высоты дымовой трубы;
) Очистка сухая от газов;
) Увеличить величину
санитарно-защитной зоны.
В нашем случае все концентрации в
пределах ПДК. Поэтому ПДВ по ингредиентам назначим равными расчетным выбросам.
А также примем расчет полей концентраций вредных веществ в атмосфере без учета
влияний застройки в соответствии с калькулятором ОНД - 86 для точечных
источников (см. Приложение 1).
Таблица 6 - Назначение ПДВ.
|
№ п/п
|
Наим. вещества
|
Един. измер.
|
Установлены
|
Фактич. выброс загрязняющего веществ, всего тонн
|
В том числе:
|
|
|
|
ПДВ
|
ВСВ
|
|
ПДВ
|
ВСВ
|
Сверхл. выброс
|
|
11
|
Азота диоксид
|
тонн
|
1,087
|
-
|
1,087
|
1,087
|
-
|
-
|
|
22
|
Диоксид серы
|
тонн
|
79,38
|
-
|
79,38
|
79,38
|
-
|
-
|
|
33
|
Углерод оксид
|
тонн
|
179,55
|
-
|
179,55
|
179,55
|
-
|
-
|
|
44
|
Бензапирен
|
тонн
|
0,00015
|
-
|
0,00015
|
0,00015
|
-
|
-
|
|
55
|
Твердые вещества
|
тонн
|
20,16
|
-
|
20,16
|
20,16
|
-
|
-
|
|
|
|
|
|
|
|
|
|
|
7. Расчет платежей
Плата за выбросы загрязняющих
веществ в размерах, не превышающих установленные природопользователю предельно
допустимые нормативы выбросов, определяются путем умножения соответствующих
ставок платы на величину загрязнения и суммирования полученных произведений по
видам загрязняющих веществ:
где Кi - коэффициент экологической ситуации, экологической значимости;
Кi = 1,2;
Кинд - коэффициент
индексации рубля;
Кинд = 5;
Нбi - базовый норматив
платы за выброс 1 т
загрязняющего
веществав пределах не превышающих ПДВ;
Таблица 7 - расчет платежей
|
Вещество
|
Нбi, руб./т
|
Пнi, руб
|
|
NO2
|
52
|
|
|
СO
|
0,6
|
|
|
SO2
|
41
|
|
|
бензапирен
|
2049801
|
|
|
Твердые вещества
|
7
|
|
|
Итого:
|
|
руб.;
руб.;
руб.;
руб.;
руб.;
Сверхнормативных выбросов не
предусмотрено и сверхплатежей нет. ВСВ не назначен.
Таблица 7 - Расчет платы за выбросы
от стационарных источников
|
№ п/п
|
Един. измер.
|
Установлены
|
Фактич. выброс загрязняющего вещества, всего тонн
|
В том числе:
|
Норматив платы, руб./тонну
|
Коэф.к нормативу платы в пределах установ. лимита
|
Коэф. экол. знач.
|
Доп. коэф. 2
|
Доп. коэф. 1,2
|
Сумма платы за:
|
Сумма платы, всего
|
|
|
|
ПДВ
|
ВСВ
|
|
ПДВ
|
ВСВ
|
сверхлим. выброс
|
ПДВ
|
ВСВ
|
|
|
|
|
ПДВ
|
ВСВ
|
сверхлим. выброс
|
|
|
1
|
Азота диоксид (Азот (IV) оксид)
|
тонн
|
1,087
|
-
|
1,087
|
1,087
|
-
|
-
|
52
|
0
|
5
|
1,2
|
1
|
1,2
|
339,144
|
-
|
-
|
339,144
|
|
2
|
Диоксид серы
|
тонн
|
79,38
|
-
|
79,38
|
79,38
|
-
|
-
|
21
|
0
|
5
|
1,2
|
1
|
1,2
|
19527,48
|
-
|
-
|
19527,48
|
|
3
|
Углерод оксид
|
тонн
|
179,55
|
-
|
179,55
|
179,55
|
-
|
-
|
0,6
|
0
|
5
|
1,2
|
1
|
1,2
|
646,38
|
-
|
-
|
646,38
|
|
4
|
Бензапирен (3,4 - Бензпирен)
|
тонн
|
0,00015
|
-
|
0,00015
|
0,00015
|
-
|
-
|
2 049 801
|
0
|
5
|
1,2
|
1
|
1,2
|
1844,82
|
-
|
-
|
1844,82
|
|
5
|
Твердые вещества
|
тонн
|
20,16
|
-
|
20,16
|
20,16
|
-
|
-
|
7
|
0
|
5
|
1,2
|
1
|
1,2
|
846,72
|
-
|
-
|
846,72
|
|
ИТОГО:
|
23204,544
|
|
|
23204,544
|
|
|
|
|
|
|
|
|
|
|
|
|
|
|
|
|
|
|
|
|
8. Организация контроля
за состоянием атмосферы в районе расположения предприятия
Контроль выбросов осуществляется 2
раза в год (летом и зимой). Контроль за газоочисткой осуществляется
одновременно с контролем основного оборудования (незапыленным и герметичным).
Контроль состояния атмосферы возле
котельной осуществляется органами государственного надзора по их графику.
Все организации регулярно пишут
отчетность. Отчетность всей шахты «N» предоставляется государственным органам.
Список использованной
литературы
1) Найденко В.В. Природоохранная деятельность на предприятии:
Учебное пособие / Найденко В.В., Губанов Л.Н., Катков Н.И. - Нижний Новгород.:
2002. - 155 с.
) Роддатис К.Ф. Справочник по котельным установкам малой
производительности / Роддатис К.Ф., Полтарецкий А.Н.; под ред. К.Ф. Роддатиса.
- М.: Энергоатомиздат, 1989. - 488 с.
) Методика определения выбросов загрязняющих веществ в атмосферу
при сжигании топлива в котлах производительностью менее 30 тонн пара в час или
менее 20 Гкал в час. Изд. Гос. комитетом РФ по охране окружающей среды. М.:
1999.
) Методичка по ЭПМП, 2003.