Пути повышения рентабельности деятельности организации (на примере ООО 'Рис' Абинского района)
МИНИСТЕРСТВО СЕЛЬСКОГО ХОЗЯЙСТВА
РОССИЙСКОЙ ФЕДЕРАЦИИ
ФЕДЕРАЛЬНОЕ ГОСУДАРСТВЕННОЕ БЮДЖЕТНОЕ
ОБРАЗОВАТЕЛЬНОЕ УЧРЕЖДЕНИЕ
ВЫСШЕГО ПРОФЕССИОНАЛЬНОГО ОБРАЗОВАНИЯ
"КУБАНСКИЙ ГОСУДАРСТВЕННЫЙ
АГРАРНЫЙ УНИВЕРСИТЕТ"
ЭКОНОМИЧЕСКИЙ ФАКУЛЬТЕТ
Кафедра институциональной экономики и
инвестиционного менеджмента
КУРСОВАЯ РАБОТА
По дисциплине "Экономика
организации (предприятия)"
На тему: "Пути повышения
рентабельности деятельности организации (на примере ООО "Рис"
Абинского района")
Выполнила студентка
курса группы ЭО-1201
Цеева Рузанна Эдуардовна
Научный руководитель,
Кандидат экономических наук, доцент
Шибанихин Евгений Александрович
Краснодар, 2014
Содержание
Введение
1. Теоретические основы понятия рентабельности деятельности
1.1 Понятие и экономическая сущность рентабельности производства
продукции
1.2 Показатели рентабельности деятельности и методика их расчета
1.3 Факторы повышения рентабельности производства растениеводческой
продукции
2. Оценка рентабельности деятельности ООО "Рис"
2.1 Организационно-экономическая характеристика организации
(предприятия)
Введение
Любое коммерческое предприятие основной целью своей
деятельности считает получение прибыли. В условиях рыночной экономики
результаты деятельности предприятия характеризуются суммой полученной прибыли и
уровнем рентабельности. Прибыль предприятия получают от реализации продукции и
других видов деятельности. Прибыль - это часть чистого дохода, созданного в
процессе производства и реализованного в сфере обращения, который
непосредственно получает предприятие. Только после продажи продукции чистый
доход принимает форму прибыли. Непосредственно она представляет собой разность
между выручкой за вычетом всех налогов и полной себестоимостью реализованной
продукции.
Являясь важнейшим обобщающим показателем экономической
эффективности деятельности предприятия, рентабельность означает доходность,
прибыльность предприятия. Показатели рентабельности отражают факторную среду
формирования прибыли предприятий, применяются при анализе эффективности
управления предприятием, при определении долгосрочного благополучия
организации, используются как инструмент инвестиционной политики и
ценообразования. На основе анализа средних уровней рентабельности можно
определить, какие виды продукции и какие хозяйственные подразделения
обеспечивают большую доходность. Это становится особенно важным в современных,
рыночных условиях, где финансовая устойчивость предприятия зависит от
специализации и концентрации производства.
Актуальность темы данной работы определяется тем, что объем реализации,
величина прибыли и уровень рентабельности зависят от производственной,
снабженческой, сбытовой и коммерческой деятельности предприятия, другими
словами, эти показатели характеризуют все стороны хозяйствования. Поэтому
финансовые результаты деятельности следует изучать в тесной связи с
использованием и реализацией продукции.
Цель работы - изучение показателей рентабельности как
обобщающего критерия эффективности хозяйственной деятельности предприятия,
оценка их состояния по материалам предприятия, исследование и анализ
показателей рентабельности, а также рекомендации по повышению уровня
рентабельности объекта исследования.
Для достижения этой цели необходимо выполнить следующие
задачи:
изучить теоретическое понятие рентабельности предприятия,
определить основные показатели рентабельности предприятия;
дать организационно-экономическую характеристику ООО
"Рис";
провести оценку уровня и динамики рентабельности объекта
исследования;
обосновать основные направления повышения рентабельности
хозяйственной деятельности ООО "Рис".
В данной работе объектом исследования является Общество с
ограниченной ответственностью "Рис" Абинского района Краснодарского
края.
Предмет исследования - организационно-экономические условия
функционирования предприятия и их влияние на формирование финансовых
результатов деятельности.
В курсовой работе использовались следующие методы
экономических исследований: монографический, экономико-статистический,
расчетно-конструктивный.
Теоретическую и методологическую основу исследования составили
труды отечественных ученых-экономистов по проблемам повышения эффективности и
рентабельности аграрного производства, периодические издания
Источниками информации являются годовая бухгалтерская
отчетность ООО "Рис" за 2011-2013 гг., нормативные акты, глобальные
информационные сети и прочее.
1.
Теоретические основы понятия рентабельности деятельности
1.1 Понятие и
экономическая сущность рентабельности производства продукции
Показатели рентабельности являются важными характеристиками
факторной среды формирования прибыли предприятий.
Рентабельность (от нем. rentabel - доходный, прибыльный),
показатель экономической эффективности производства на предприятиях. Отражает
использование материальных, трудовых и денежных ресурсов. Рентабельным
считается предприятие, которое приносит прибыль.
Некоторые экономисты раскрывая понятие
рентабельность, говорят о ней как о показателе, который представляет отношение
прибыли к сумме затрат на основное производство, денежным средствам вложенным в
организацию коммерческих операции. В общем итоге, рентабельность это
соотношение дохода и капитала, который стал создателем этого дохода.
Разделяют как общую, так и расчетную
рентабельность. Фактическая общая рентабельность определяется отношением
балансовой прибыли к фактической среднегодовой стоимости
производственных основных фондов и нормируемых оборотных средств, не про
кредитованных банком. Фактические остатки нормируемых оборотных средств
устанавливаются исходя из их остатка по балансу за вычетом задолженности
поставщикам по акцептованным платежным требованиям, срок оплаты которых не
наступил, а также износа малоценных и быстроизнашивающихся предметов и резерва
на возмещение плановых потерь и предстоящих расходов [2, с.407].
Расчетная рентабельность представляет собой
отношение балансовой прибыли за вычетом платы за производственные фонды,
фиксированных платежей, процентов за банковский кредит, прибыли целевого
назначения (прибыль от реализации товаров широкого потребления, новых товаров
бытовой химии и т.п.). А также прибыли, полученной по причинам, не зависящим от
деятельности объединения, предприятия, к среднегодовой стоимости основных
производственных фондов (за вычетом основных фондов, по которым предоставлены
льготы по плате) и нормируемых оборотных средств [9, с.302].
Рентабельность (доходность) предприятия означает, что
средства, полученные предприятием от реализации своей продукции, возмещают
себестоимость и обеспечивают сверх того получение дохода. Рентабельность
характеризует экономическую эффективность работы предприятия за определенный
период времени [6, с.78]. В соответствии с рисунком 1, есть возможность
ознакомиться с моделью формирования
рентабельности предприятия.
Рисунок 1 - Модель формирования
рентабельности предприятия
Наряду с рентабельностью отдельных предприятий и отраслей
производства в социалистическом хозяйстве достигается высшая, недоступная для
капитализма рентабельность в масштабе всего народного хозяйства. Это означает,
что рентабельность определяется не с точки зрения отдельных предприятий или
отраслей производства и не в разрезе одного года, а с точки зрения всего
народного хозяйства и в разрезе длительного периода времени. Рентабельность
отдельных отраслей и предприятий имеет подчиненное значение по отношению к
народнохозяйственной рентабельности. Повышение рентабельности отдельных
предприятий и целых отраслей хозяйства способствует ускорению темпов развития
всего народного хозяйства [7, с.115].
Предприятие считается рентабельным, если в результате
реализации продукции, работ, услуг оно покрывает все свои издержки и получает
прибыль. Поэтому в широком смысле слова понятие рентабельность означает
прибыльность, доходность. Но определение рентабельности как прибыльности
недостаточно точно раскрывает её экономическое содержание из-за отсутствия
тождества между ними, т.к. сумма прибыли и уровень рентабельности, как правило
изменяются не в равной пропорции, а зачастую и в разном направлении. В течении
производственного цикла на уровень рентабельности влияет ряд факторов. Которые
можно разделить на внешние - связаны с воздействием на деятельность предприятия
рынка, государства, географического положения и внутренние: производственные и
внепроизводственные. Выявление в процессе анализа внутренних и внешних
факторов, влияющих на рентабельность, дает возможность "очистить"
показатели эффективности от внешнего воздействия [3, с.94].
В соответствии с рисунком 2, рассмотрим сначала факторы,
непосредственно связанные с деятельностью предприятия, которые оно может
изменять и регулировать в зависимости от поставленных перед предприятие целей и
задач, т.е. внутренние факторы. Которые можно разделить на производственные,
непосредственно связанные с основной деятельностью предприятия, и
внепроизводственные факторы, которые непосредственно не связаны с производством
продукции и с основной деятельностью предприятия.
Рисунок 2 - Факторы, влияющие на уровень рентабельности
Внепроизводственные факторы включают в себя
снабженческо-сбытовую деятельность, т.е. своевременность и полноту выполнения
поставщиками и покупателями обязательств перед предприятием, их удаленность от
предприятия, стоимость транспортировки до места назначения и т.д.
Природоохранные мероприятия, которые необходимы для предприятий ряда отраслей,
например, химической, машиностроительной и т.д. отраслей, и влекут за собой
значительные издержки. Штрафы и санкции за несвоевременность или не точность
выполнения каких-либо обязательств фирмы, например, штрафы в налоговые органы
за несвоевременность расчетов с бюджетом. На финансовые результаты деятельности
фирмы, а следовательно и на рентабельность косвенно влияют и социальные условия
труда и быта работников. Финансовая деятельность предприятия, т.е. управление
собственным и заемным капиталом на предприятие, деятельность на рынке ценных
бумаг, участие в других предприятиях и т.д.
Производственные факторы, из курса экономической теории
известно, что процесс производства состоит из трех элементов: средства труда,
предметы труда и трудовые ресурсы. В связи с этим, выделяют такие
производственные факторы, как наличие и использование средств труда, предметов
труда и трудовых ресурсов. Названные факторы являются основными факторами роста
прибыли и рентабельности предприятия, именно с повышением эффективности их
использования связываются процессы интенсификации производства.
Влияние производственных факторов на результат деятельности
можно оценить с двух позиций: как экстенсивное и как интенсивное. Экстенсивные
факторы связаны с изменением количественных параметров элементов процесса
производства, к ним относятся:
изменение объема и времени работы средств труда, т.е.,
например, покупка дополнительных станков, машин и т.д., строительство новых
цехов и помещений или увеличение времени работы оборудования для увеличения
объема производимой продукции;
изменение количества предметов труда, непроизводительное
использование средств труда, т.е. увеличение запасов, большой удельный вес
брака и отходов в объеме выпускаемой продукции;
изменение численности рабочих, фонда рабочего времени,
непроизводительные затраты живого труда (простои). [5, с.40]
Количественное изменение производственных факторов всегда
должно быть оправдано изменением объема выпускаемой продукции, т.е. предприятие
должно следить за тем чтобы не снижались тепы прироста прибыли относительно
темпов прироста затрат.
интенсивные производственные факторы связаны с повышением
качества использования производственных факторов, к ним относятся;
повышение качественных характеристик и производительности
оборудования, т.е. своевременная замена оборудования на более современное с
большей производительностью;
использование прогрессивных материалов, совершенствование
технологии обработки, ускорение оборачиваемости материалов;
повышение квалификации рабочих, снижение трудоемкости
продукции, совершенствование организации труда.
Кроме внутренних факторов на рентабельность предприятия
оказывают косвенное воздействие и внешние факторы, которые не зависят от
деятельности предприятия, но зачастую достаточно сильно влияют на результат его
деятельности. К данной группе факторов относятся географическое положение
предприятия, т.е. регион в котором оно располагается, удаленность предприятия
от сырьевых источников, от районных, республиканских центров, природные условия
и т.д. Конкуренция и спрос на продукцию предприятия, т.е. наличие на рынке
платежеспособного спроса на продукцию фирмы, присутствие на рынке фирм -
конкурентов, производящих аналогичный по потребительским свойствам товар.
Ситуация на смежных рынках, например, на финансовом, кредитном, рынке ценных
бумаг, сырьевых ранках и т.д., т.к. изменение доходности на одном ранке, влечет
за собой снижение доходности на другом, например, повышение доходности
государственных ценных бумаг ведет к сокращению инвестиций в реальный сектор
экономики. Государственное вмешательства в экономику, которое проявляется в
изменение законодательных основ деятельности рынка, изменение налогового
бремени на предприятия, изменение ставок рефинансирования и т.д. [8, с.124].
.2 Показатели
рентабельности деятельности и методика их расчета
Рентабельность - это относительный показатель эффективности
производства. В общем виде он рассчитывается как отношение прибыли к затратам,
т.е. является нормой прибыли. При этом следует выделять показатели, используемые
для оценки эффективности применяемых в производстве авансированных ресурсов
(капитала) и текущих затрат, и показатели, на основе которых определяются
доходность и эффективность использования имущества предприятия (фирмы).
Эффективность производственно-хозяйственной (коммерческой)
деятельности предприятия отражает показатель рентабельности производства, или
балансовой (общей) рентабельности, исчисляемый как отношение суммы балансовой
прибыли к средней за период стоимости капитала (основных производственных
фондов и оборотных средств):

(1)
где Rб - рентабельность балансовая, (%);
Пб - балансовая прибыль, (руб.);
Оф - основных производственных фондов, (руб.);
Ос - оборотных средств, (руб.).
Следует иметь в виду, что рентабельность, рассчитанная по этой
формуле, будет несколько завышена, так как балансовая прибыль складывается из
всех видов деятельности предприятия (фирмы), а не только из производственной.
Поэтому в практике финансового анализа рассчитывают, кроме того, рентабельность
суммарного капитала (совокупных активов) и рентабельность собственного
(акционерного) капитала.
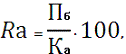
Рентабельность совокупных активов характеризует эффективность
использования всего имущества предприятия и определяется отношением балансовой
прибыли к средней сумме активов баланса предприятия:

(2)
где Rа - рентабельность совокупных активов,
(%);
Пб - балансовая прибыль, (руб.);
Ка - средняя сумма активов, (руб.).
Рентабельность собственного (акционерного) капитала характеризует
эффективность использования вложенного в предприятие (фирму) собственного
капитала и является нормой прибыли на собственный капитал:

(3)
где Rс - рентабельность собственного (акционерного) капитала, (%);
Пч - чистая прибыль предприятия (фирмы), (руб.);
Кс - собственный капитал, (руб.)
Этот показатель рентабельности интересует в первую очередь
акционеров, поскольку обозначает верхнюю границу дивидендов.
рентабельность продукция показатель оценка
Эффективность затрат на производство и сбыт продукции
характеризует показатель рентабельности продукции, исчисляемый как отношение
прибыли от реализации продукции к полной себестоимости реализованной продукции:

(4)
где Rпр - рентабельность продукции, (%);
Пр - реализация продукции, (руб.);
Сп - полной себестоимости реализованной продукции, (руб.).
На предприятиях, производящих несколько видов продукции,
определяется рентабельность каждого вида (Rпрj):
(5)
где Rпрi - рентабельность каждого вида продукции,
(%);
Ці, Сni - соответственно цена и полная себестоимость i-го вида
продукции, (руб.);
Сni - полная себестоимость i-го вида продукции, (руб.);
Все чаще применяют показатель рентабельности продаж,
рассчитываемый как отношение прибыли от реализации к стоимости реализованной
продукции (РП):

(6)
где Rn - рентабельности продаж, (%);
Пр - прибыль от реализации, (руб.);
РП - реализованная продукция, (руб.).
Из всего сказанного можно сделать следующий вывод: размер прибыли
и уровень рентабельности при правильном понимании этих категорий отражают
воздействие таких факторов, как реальное повышение уровня конкурентоспособности
продукции, увеличение объема ее продаж, повышение организационно-технического уровня
производства и, как следствие, снижение себестоимости [12, с.189].
1.3 Факторы
повышения рентабельности производства растениеводческой продукции
Определяющим в содержании понятия
"рентабельность производства" является величина прибыли. В связи с
этим установление факторов рентабельности представляет собой, прежде всего
установление факторов, влияющих на формирование прибыли. Факторы прибыли можно
условно разделить на две группы:
факторы внутреннего порядка, зависящие от
производителя продукции и носящие субъективный характер;
факторы внешнего порядка, не зависящие от
товаропроизводителей и являющиеся объективными.
К факторам внутреннего порядка относят
количество реализуемой продукции, её качество, издержки производства.
Количество реализованной продукции зависит
от объёма валовой продукции и уровня её товарности. При росте объёма валовой
продукции происходит увеличение продукции подлежащей сбыту, так как темпы роста
её внутреннего потребления, как правило, ниже темпов роста валовой продукции,
что создаёт условия для повышения уровня товарности и увеличение на этой основе
денежной выручки. Качество продукции оказывает влияние на величину прибыли так
же через денежную выручку, так как продукция более высокого качества
обеспечивает более высокую реализационную цену.
Внутренние факторы делятся на производственные и
внепроизводственные. Производственные факторы характеризуют наличие и
использование средств и предметов труда, трудовых и финансовых ресурсов и, в
свою очередь, могут подразделяться на экстенсивные и интенсивные. Экстенсивные
факторы воздействуют на процесс получения прибыли через количественные
изменения: объема средств и предметов труда, финансовых ресурсов, времени
работы оборудования, численности персонала, фонда рабочего времени и др. Интенсивные
факторы воздействуют на процесс получения прибыли через
"качественные" изменения: повышение производительности оборудования и
его качества, использование прогрессивных видов материалов и совершенствование
технологии их обработки, ускорение оборачиваемости оборотных средств, повышение
квалификации и производительности труда персонала, снижение трудоемкости и
материалоемкости продукции, совершенствование организации труда и более
эффективное использование финансовых ресурсов и др. [4, с.73]
К внепроизводственным факторам относятся, например,
снабженческо-сбытовая и природоохранная деятельность, социальные условия труда
и быта и др.
Наконец, величина денежной выручки зависит
от сроков сбыта продукции, её структуры и рынков сбыта. Так, например, ранние
овощи, картофель реализуют по более высоким ценам, чем поздние. По разным ценам
сбывают продукцию и в зависимости от каналов реализации: при продаже её
государству, потребительской кооперации, на колхозном рынке.
Важным фактором прибыли является
себестоимость продукции. Снижение или повышение издержек производства оказывает
существенное влияние на величину прибыли. [11, 109]
К факторам внешнего порядка относятся
рыночный спрос на продукцию. Е предложение и конкуренция производителей
продукции. Высокий или низкий спрос на ту или иную продукцию, а также наличие
или отсутствие конкурентов обуславливают как количество реализованной
продукции, так и уровень цен на неё, что, в конечном счете, влияет на величину
прибыли.
Факторы рентабельности
сельскохозяйственного производства могут носить экстенсивный и интенсивный
характер. Экстенсивные факторы - такие. Которые оказывают влияние на
рентабельность путём изменения количества реализованной продукции, а
интенсивные - на рост реализационных цен и снижение себестоимости продукции [1,
с.142].
Важным условием роста экономической
эффективности отраслей растениеводства является повышение урожайности всех
сельскохозяйственных культур и снижение материально-денежных затрат на
производство и реализацию продукции. Возможен резерв улучшения факторов первого
порядка, как показывает опыт и значительные различия в уровне урожайности между
отдельными предприятиями, находятся сравнительно в одинаковых условиях. Это
также подтверждает опыт научных учреждений и опытных станций. Все необходимые
факторы демонстрирует рисунок 3.
Прежде всего, на благоприятную урожайность
растениеводческой продукции существенное влияние имеет фактор расширения
посевных площадей. Данный фактор определяется с помощью проведения анализа
земельных ресурсов - на сколько эффективно они включены в сельскохозяйственный
оборот, потому как многие участки заняты кустарником, залежами, заболоченными
землями, дорогами и проездами и др.
Существенным фактором увеличения
производства продукции растениеводства является улучшение структуры посевных
площадей за счет увеличения доли более урожайных культур в общей площади. Для
достижения резерва сначала необходимо разработать оптимальную модель посевов
для данного предприятия с учетом всех его возможностей и ограничений. Далее
следует сравнить фактический объем продукции с возможным, который будет получен
с той же площади при фактической урожайности культур, но при улучшенной
структуре посевов.
Основным резервом увеличения производства
растениеводческой продукции является рост урожайности сельскохозяйственных
культур. Данный процесс включает в себя: внесения необходимого количества
удобрении для достижения запланированного уровня урожайности; повышение
окупаемости удобрений; использование высокоурожайных сортов культур, устойчивых
к полеганию, болезням и вредителям; недопущения потерь продукции при уборке
урожая; улучшение сенокоса и пастбищ и других агротехнических мероприятий. [10,
с.34]
Рисунок 3 - Источники факторов увеличения
производительности продукции растениеводства
Таким образом, определение резервов
повышения рентабельности сельскохозяйственного производства сводится, с одной
стороны, к определению резервов увеличения денежной выручки от реализации, а с
другой - резервов снижения себестоимости продукции.
2. Оценка
рентабельности деятельности ООО "Рис"
2.1
Организационно-экономическая характеристика организации (предприятия)
Общество с ограниченной ответственностью "Рис" было
создано и начало свою деятельность с 01 апреля 2006 года. Находится оно на
хуторе Ольгинском Абинского района Краснодарского края.
Основной вид деятельности - производство и реализация
продукции сельскохозяйственного производства. Предприятие специализируется
исключительно на производстве растениеводческой продукции. Основная продукция,
предлагаемая ООО "Рис" на рынке - озимая пшеница, озимый ячмень, рис,
горох.
С момента создания ООО "Рис" находится на
специальном режиме налогообложения - Едином сельскохозяйственном налоге (ЕСХН).
Финансовое положение предприятия, в значительной степени,
зависит от целесообразности и правильности вложения и использования финансовых
ресурсов в активы (имущество предприятия). Активы динамичны по своей природе. В
процессе функционирования предприятия величина активов и их структура претерпевает
постоянные изменения.
Анализ динамики состава и структуры имущества дает
возможность установить размер абсолютного и относительного прироста
(уменьшения) всего имущества предприятия и отдельных его видов.
Показатели структурной динамики отражают долю участия каждого
вида имущества в общем изменении совокупных активов. Их анализ позволяет
сделать вывод том, в какие активы вложены вновь привлеченные финансовые ресурсы
или какие активы уменьшились за счет оттока финансовых ресурсов. Структура
имущества зависит от специфики деятельности предприятия.
Таблица 1 - Состав и структура имущества ООО "Рис",
на конец года
|
Вид имущества
|
2011 г.
|
2012 г.
|
2013 г.
|
Абсолютное
отклонение 2013 г. от 2011 г., ±
|
|
Тыс. руб.
|
%
|
Тыс. руб.
|
%
|
Тыс. руб.
|
%
|
Тыс. руб.
|
Проц. пункт.
|
|
|
Внеоборотные
активы всего
|
16401
|
12,5
|
17562
|
10,6
|
34014
|
18,4
|
17613
|
5,9
|
|
Основные
средства
|
8964
|
6,8
|
10125
|
6,1
|
15429
|
8,4
|
6465
|
1,6
|
|
Прочие
внеоборотные активы
|
7437
|
5,7
|
7437
|
4,5
|
18585
|
10,1
|
11148
|
4,4
|
|
Оборотные
активы всего
|
58250
|
44,4
|
65148
|
39,4
|
58334
|
31,6
|
84
|
-12,8
|
|
в том числе:
|
|
|
|
|
|
|
|
|
|
-запасы
|
22931
|
17,4
|
26973
|
16,3
|
19311
|
10,5
|
-3620
|
-6,9
|
|
-дебиторская
задолженность
|
3041
|
2,3
|
2395
|
1,4
|
2553
|
1,3
|
-488
|
-1
|
|
-денежные
средства
|
14278
|
10,9
|
35780
|
21,7
|
36470
|
19,7
|
22192
|
8,8
|
|
Всего имущества
(валюта баланса)
|
131302
|
100
|
165420
|
100
|
184696
|
100
|
53394
|
0
|
|
|
|
|
|
|
|
|
|
|
|
|
Как видно из таблицы 1, общая стоимость имущества предприятия
увеличилась на 53394 тыс. руб. это произошло за счет роста показателя
внеоборотные активы в организации за исследуемый период увеличился в 2013 г. на
5,9 %., что составило 34014 тыс. руб., это свидетельствует о положительных
результатах, так как имущество стало более мобильным. Наибольший удельный вес
во внеоборотных активах занимают прочие внеоборотные активы, занимающие 10,1% в
отчетном году, что обозначает высокий рост показателя за исследуемый период.
Показатель оборотные активы показал увеличение в 2013 г. на
84 тыс. руб. За исследуемый период сумма запасов циклично менялась, показывая
то подъем показателя в 2012 г., что составило 22931 тыс. руб., то резкое
падение в 2013 г. на 7662 тыс. руб. Дебиторская задолженность так же
сократилась в отчетом году на 488 тыс. руб.
Денежные средства за исследуемый период показывает только
положительные результаты, наращивая свою сумму от 14278 тыс. руб. до 36470 тыс.
руб.
Причины увеличения (уменьшения) имущества предприятия
устанавливают, изучая изменения в составе источников его образования.
Поступление, приобретение, создание имущества может осуществляться за счет
собственных и заемных средств, характеристика которых отражена в пассиве
бухгалтерского баланса.
В мировой практике считается целесообразным приобретать
оборотные материальные средства за счет краткосрочных кредитов, так как
оборотные средства должны приносить больший доход, чем плата за кредит. Получив
заемные средства под меньший процент, чем рентабельность предприятия, можно
повысить доходность собственного капитала. Следовательно, от того, насколько
оптимально соотношение собственного и заемного капитала, во многом зависит
финансовое положение предприятия. В таблице 2 описаны состав и структура
источников формирования имущества организпции.
Таблица 2 - Состав и структура источников формирования
имущества в ООО "Рис", на конец года
|
Источник
формирования имущества
|
2011 г.
|
2012 г.
|
2013 г.
|
Абсолютное отклонение
2013 от 2011,±
|
|
Тыс. руб.
|
%
|
Тыс. руб.
|
%
|
Тыс. руб.
|
%
|
Тыс. руб.
|
%
|
|
Собственные
средства (капитал и резервы) - всего
|
74651
|
50
|
82710
|
50
|
88158
|
47,7
|
13507
|
38,16
|
|
В том числе:
уставный капитал
|
10
|
0,01
|
10
|
0,01
|
20
|
0,01
|
10
|
0,03
|
|
Нераспределенная
прибыль (непокрытый убыток)
|
74641
|
49,99
|
82700
|
49,99
|
88138
|
47,7
|
13497
|
38,13
|
|
Краткосрочные
обязательства-всего
|
-
|
-
|
-
|
-
|
4190
|
2,3
|
4190
|
11,83
|
|
В том числе:
Кредиты и займы
|
-
|
-
|
-
|
-
|
172
|
0,09
|
172
|
0,5
|
|
Кредиторская
задолженность
|
-
|
-
|
-
|
-
|
4018
|
2,2
|
4018
|
11,35
|
|
Всего
источников формирования имущества (валюта баланса)
|
149302
|
100
|
165420
|
100
|
184696
|
100
|
35394
|
100
|
Из данных таблицы 2 следует, что валюта баланса организации
за 2011-2013 г. значительно выросла на 35394 тыс. руб. и составляет 184696 тыс.
руб., что косвенно может свидетельствовать о расширении хозяйственного оборота.
Собственные капитал и резервы организации в отчетном году анализируемый
показатель повысился на 13507 тыс. руб. На это изменение повлияла
нераспределенная прибыль организации, потому как за исследуемые три года
показатель заметно увеличился и в 2013 г. достиг 88138 тыс. руб.
Используемый показатель краткосрочные обязательства в 2013 г.
является негативным фактором в ООО "Рис" и свидетельствует о том что,
организация находится в неустойчивом финансовом положений, это объясняется
нарушением платежеспособности, привлечение заемных средств, но безусловно
возможность улучшения ситуации осуществима.
Земля в сельском хозяйстве функционирует в качестве предмета
труда, когда человек воздействует на ее верхний горизонт - почву и создаёт
необходимые условия для роста и развития сельскохозяйственных культур.
Земля есть продукт самой природы. В отличие от других средств
производства, которые являются результатом труда человека, земля представляет
продукт многовекового естественно-исторического развития природы. Поскольку на
создание земли не затрачен труд человека, как на другие средства производства,
то она не имеет стоимости. При использовании земли не производятся
амортизационные отчисления, следовательно, она не участвует в формировании
себестоимости сельскохозяйственной продукции.
Принято различать такие понятия как "общая земельная
площадь" и "площадь сельскохозяйственных угодий". В состав общей
земельной площади относят всю территорию, закрепленную за сельскохозяйственным
предприятием. Сельскохозяйственные угодья представляют собой земли, которые
используются для производства продукции сельского хозяйства. В их состав входят
пашня, сенокосы, пастбища, многолетние насаждения. Соотношение отдельных видов
земельных угодий в общей земельной площади принято называть структурой
земельной площади, а процентное отношение отдельных видов угодий в общем
размере сельскохозяйственных угодий представляет собой структуру
сельскохозяйственных угодий.
Таблица 3 - Состав и структура земельных угодий ООО
"Рис" на конец года
|
Показатель
|
2011
|
2012
|
2013
|
2013г. к 2011г.
|
|
|
|
|
Абсолютное
отклонение, ±
|
Темп роста, %
|
|
Общая земельная
площадь, га
|
1005
|
1131
|
1131
|
126
|
112,5
|
|
Всего
сельскохозяйственных угодий, га
|
1005
|
1131
|
1131
|
126
|
112,5
|
|
В том числе:
пашня
|
1005
|
1131
|
1131
|
126
|
112,5
|
|
Всего посевов в
хозяйстве, га
|
1005
|
1131
|
980
|
- 25
|
97,5
|
|
Удельный вес
сельскохозяйственных угодий в общей земельной площади, %
|
100
|
100
|
100
|
0
|
100
|
|
Удельный вес
пашни в составе сельскохозяйственных угодий,%
|
100
|
100
|
100
|
0
|
100
|
|
Удельный вес
посевов в пашне
|
100
|
100
|
86,6
|
13,4
|
86,6
В 2011 г. уровень посевов был наилучший - 1005 га, это
показывает что, организация рационально использует земельные угодья, выращивая
не только озимые и яровые зерновые, но еще и такую культуру как соя.
За три исследуемых года посевы в хозяйстве в 2012 г. показали
максимальный уровень посеянных и убранных культур, это связано тем, что
хозяйство в этом году расширило свою сельскохозяйственную территорию, а так же
включило в свое производство зернобобовые культуры (40 га).
г. для учреждения оказалось не совсем показательным, так как
число посеянных и убранных культур сократилось, что составляет 980 га. Причиной
послужили нестабильное финансовое положение в отчетном году ООО
"Рис", следовательно сокращение посевов зернобобовых культур и сои.
Земли сельскохозяйственного назначения - бесценный ресурс
любого государства. Факторы, оказывающие влияние на эффективность использования
земли многочисленны и разнообразны. Экономическая эффективность использования
земли в сельском хозяйстве определяется системой показателей. В числе их можно
использовать урожайность основных сельскохозяйственных культур и себестоимость
единицы продукции. Однако с помощью только указанных показателей нельзя сделать
обобщающую оценку экономической эффективности использования земли. Для этого
применяют стоимостные показатели; валовая продукция земледелия, валовой доход
чистый доход или в расчете на 1 га сельскохозяйственных угодий, а также выход
валовой продукции на единицу производственных затрат.
Экономическая эффективность использования земли в сельском
хозяйстве - это уровень ведения хозяйства на земле, которое характеризуется
выходом продукции и размером затрат на единицу площади. Перед
землепользователями стоит задача обеспечить максимум выхода продукции с каждого
гектара земли при минимальных затратах на производство. Проанализируем
экономическую эффективность использования земли в ООО "Рис" в таблице
4.
Таблица 4 - Экономическая эффективность использования земли в
ООО "Рис"
|
Показатель
|
2011
|
2012
|
2013
|
|
Площадь, га
|
1005
|
1131
|
1131
|
|
Стоимость
валовой продукции, тыс. руб.
|
46866
|
43763
|
33160
|
|
Производственные
затраты, тыс. руб.
|
32700
|
35265
|
25491
|
|
Чистый доход,
тыс. руб.
|
14166
|
8498
|
7669
|
|
Выручка от
продажи продукции, тыс. руб.
|
43658
|
43641
|
35070
|
|
Полная
себестоимость, тыс. руб.
|
29383
|
35034
|
27295
|
|
Прибыль от
продаж, тыс. руб.
|
14275
|
8607
|
7775
|
|
Затраты труда,
тыс. чел. - ч
|
83
|
77
|
47
|
|
Произведено на
1 га, тыс. руб.: валовой продукции
|
46,63
|
38,7
|
29,32
|
|
-чистого дохода
|
14,09
|
7,51
|
6,78
|
|
-выручки от
продажи
|
43,44
|
38,59
|
31,01
|
|
-прибыли
|
14.21
|
7,61
|
6,87
|
|
Произведено на
1 чел. - ч, руб.: валовой продукции
|
564,65
|
568,35
|
705,53
|
|
-чистого дохода
|
170,68
|
110,37
|
163,17
|
|
-выручки от
продажи
|
526
|
566,77
|
746,17
|
|
-прибыли
|
171,99
|
111,8
|
165,43
|
|
Уровень рентабельности,
%: производственный
|
43,32
|
24,1
|
30,1
|
|
-коммерческий
|
48,6
|
24,57
|
28,5
|
|
амортизация
|
109
|
109
|
106
|
Анализируя ниже представленную таблицу, можем сделать вывод о
том, что площадь ООО "Рис", как говорилось ранее, за исследуемый
период увеличилась на 126 га. Стоимость валовой продукции сократилась в 2013
г., что составило 33160 тыс. руб., так как прибыль от продаж и производственные
затраты снизились из-за сокращения посевов сельскохозяйственных культур.
Чистый доход в отчетном году меньше, чем в базисном на 6497
тыс. руб. Так как показатель рассчитывается как разность между стоимостью
валовой продукции и производственными затратами, поэтому задействованные
показатели имеют так же сниженные результаты. Полная себестоимость
демонстрировала скачкообразные изменения за исследуемые три года. Это явление
непосредственно связано с тем, что материальные и денежные затраты хозяйства
сократились.
Показатель прибыль от продаж в отчетном году значительно
снизился, что составило 7775 тыс. руб. в сравнении с базисным, в котором
прибыль была 14275 тыс. руб. Причиной для этого спада послужило сокращение
выручки в этом году. Сокращение затрат труда в 2013 г. обусловлено снижением
численности работников организации, что объясняется текучестью кадров.
Коэффициент уровня рентабельности, рассчитываемый как
отношение чистого дохода к производственным затратам, а как известно ранее
задействованные показатели в отчетном году сократились по сравнению с 2011-2012
г. следовательно уровень рентабельности падает за исследуемый период.
Высокоэффективное использование
производственных возможностей сельскохозяйственного сектора является важнейшим
условием обеспеченности Российской Федерации продовольствием. В результате
снижения объема механизированных работ, увеличивается доля ручного труда, а
следовательно увеличиваются сроки выполнения работ, техническая оснащенность
предприятия сокращается, при этом растут затраты на поддержание
сельскохозяйственной техники в работоспособном состоянии.
В сельскохозяйственной отрасли
обязательным условием является требование своевременности выполнения
технологических процессов производства сельскохозяйственной продукции, что
повышает требования к надежности техники. Повышение эффективности использования
механизированных работ способствует улучшению технико-экономических показателей
сельскохозяйственного предприятия. В связи с этим рассмотрим состав и структуру
основных средств ООО "Рис"
Таблица 5 - Состав и структура основных средств ООО
"Рис" на конец года
|
Наименование
|
2011 г.
|
2012 г.
|
2013 г.
|
|
Сумма, тыс.
руб.
|
Структура, %
|
Сумма, тыс.
руб.
|
Структура, %
|
Сумма, тыс.
руб.
|
Структура, %
|
|
Сооружения и
передаточные устройства
|
2000
|
100
|
2000
|
98,7
|
2182
|
32,1
|
|
Машины и
оборудование
|
-
|
-
|
-
|
-
|
4586
|
67,5
|
|
Производственный
и хозяйственный инвентарь
|
-
|
-
|
26
|
1,3
|
26
|
0,4
|
|
Основные
средства-всего
|
2000
|
100
|
2026
|
100
|
6794
|
100
|
На основании данных таблицы 5 можем сделать вывод о том, что
стоимость основных средств в ООО "Рис" за исследуемый период
увеличилась на 4794 тыс. руб., связано это с тем что, за три исследуемых года
учреждение расширяет производство, а так же были приобретены сооружения и
передаточные устройства - 182 тыс. руб. Машины и оборудование тоже
приобреталось лишь в 2013 г. на сумму 4586 тыс. руб. Производственный инвентарь
принял участие в пополнений основных средств на 26 тыс. руб. Все эти изменения
произошли в отчетном году.
Уровень и эффективность производства во многом зависит от
оснащенности отрасли основными производственными фондами. Низкая обеспеченность
основными средствами приводит к несвоевременному выполнению технических
операций и, как следствие, к недобору продукции, повышение ее трудоемкости и
материалоемкости. С другой стороны наличие большого количества сверхнормативных
средств производства влечет за собой рост амортизации на единицу продукции,
увеличению затрат на их содержание, их старению, что в конечном итоге ведет к
удорожанию производимой продукции.
Для определения оптимальной сбалансированности материальных
ресурсов используются научно обоснованные нормативы основных производственных фондов.
Они определяются на основе нормативной потребности в тракторах, рабочих
машинах, автотранспорте и других видах технических средств, а также с учетом
удельных капитальных вложений в строительство производственных объектов.
Уровень оснащенности хозяйства основными производственными фондами определяется
с помощью показателей фондообеспеченности и фондовооруженности труда, которые
даны для анализа таблицы 6.
Таблица 6 - Показатели обеспеченности и вооруженности
работников ООО "Рис" основными средствами
|
Показатель
|
2011 г.
|
2012 г.
|
2013 г.
|
2013 г. к 2013
г.
|
|
|
|
|
Абсолютное
отклонение, ±
|
Темп роста, %
|
|
Среднегодовая
стоимость основных средств, тыс. руб.
|
7641
|
9711
|
13051
|
5410
|
170,8
|
|
В том числе
активной части
|
2000
|
2026
|
6794
|
4794
|
339,7
|
|
Площадь, м² (га)
|
1005
|
1131
|
1131
|
126
|
112,5
|
|
Фондообеспеченность,
тыс. руб. / м²
|
7,6
|
8,6
|
11,5
|
3,9
|
151,3
|
|
В том числе
активной частью
|
1,9
|
1,8
|
6,01
|
4,11
|
316,3
|
|
Среднегодовое
число работников, чел.
|
42
|
39
|
29
|
- 13
|
69,05
|
|
Фондовооруженность,
тыс. руб. / чел.
|
181,9
|
249
|
450
|
268,1
|
247,4
|
|
В том числе
активной частью
|
47,6
|
51,9
|
234,3
|
186,7
|
492,2
|
Исходя из данных таблицы 6, можно сделать вывод, что фондообеспеченность
ООО "Рис" возросла на 151,3 %. На показатель
фондообеспеченности оказывают влияние - основные фонды и площадь сельхоз
угодий, участвующие показатели в 2013 г. так же увеличивались.
Фондовооруженность хозяйства показала увеличение результата
на 247,4%. Это обуславливает степень вооруженности работников
сельхозпредприятий средствами производства. Численность работников в 2013г.
сократилась, основные фонды увеличились, потому входящие в состав
фондовооруженности организации, дали получившийся рост.
Основные фонды занимают, как правило, основной удельный вес в
общей сумме основного капитала предприятия. От их количества, стоимости,
технического уровня, эффективности использования во многом зависят конечные
результаты деятельности предприятия: выпуск продукции, ее себестоимость,
прибыль, рентабельность, устойчивость финансового состояния. Эффективность
использования основных фондов характеризует показатель фондоотдачи,
рассчитываемый как отношение объема выпуска продукции за год (на уровне
предприятия) к среднегодовой полной стоимости основных фондов
<http://www.grandars.ru/student/statistika/osnovnye-fondy.html>.
Фондоемкость является обратной величиной от фондоотдачи.
Она характеризует сколько основных производственных фондов
приходится на 1 рубль произведенной продукции. Все эти и другие показатели
рассмотрим в таблице 7.
Таблица 7 - Показатели эффективности использования основных
средств в ООО "Рис"
|
Показатель
|
2011 г.
|
2012 г.
|
2013 г.
|
2013 г. к 2011
г.
|
|
|
|
|
Абсолютное
отклонение, ±
|
Темп роста, %
|
|
Среднегодовая
стоимость основных средств - всего, тыс. руб.
|
7641
|
9711
|
13051
|
5410
|
170,8
|
|
В т. ч.
активной части
|
2000
|
2026
|
6794
|
4794
|
339,7
|
|
Выручка от
продажи товаров, продукции, работ, услуг, тыс. руб.
|
43658
|
43641
|
35070
|
- 8588
|
80,3
|
|
Чистая прибыль,
тыс. руб.
|
13111
|
8059
|
5438
|
- 7,673
|
41,5
|
|
Фондоотдача -
выручка от продажи на 1 руб. основных средств, руб.
|
5,7
|
4,5
|
2,7
|
- 3
|
47,4
|
|
В т. ч.
активной части
|
21,8
|
21,5
|
5,2
|
-16,6
|
23,8
|
|
Фондоемкость -
стоимость основных средств на 1 руб. выручки от продажи, руб.
|
0,17
|
0,22
|
0,37
|
0,2
|
217,6
|
|
Материалоемкость
- материальные затраты на 1 руб. выручки от продажи, руб.
|
0,54
|
0,67
|
0,59
|
0,05
|
109,3
|
|
Фондорентабельность,
%
|
171,5
|
82,9
|
41,6
|
-129,9
|
X
|
|
Норма прибыли,
%
|
19,9
|
10,8
|
7,6
|
- 12,3
|
X
|
Из приведенных выше данных можно сделать вывод, что за
прошедшие три года фондоотдача организации ООО "Рис" уменьшилась на 3
руб. Снижение фондоотдачи произошло в результате ввода новой техники в
2013 г., стоимость которой на единицу продукции хотя и выше, но
эксплуатационные расходы - значительно ниже, так что в целом такая техника
эффективнее старой.
Фондоемкость на этот период увеличила свой показатель на 0,2
руб. Рост фондоемкости происходит в результате улучшения условий труда,
механизации и автоматизации производственных процессов влияет на экономию
живого труда, что сказывается на трудоемкости продукции и численности рабочих.
Фондорентабельность за отчетный год упала. Причиной падения
служит, то что учреждение осваивает в этом году новую технику, снижение
оправдано, так как это требует значительных инвестиции, отдача от которых
происходит не сразу.
Норма прибыли в 2013 г. показала отрицательный результат, что
составило - 12,3%. Потому как организация понесла затраты на обновление
техники.
Оборотные средства предприятия представляют собой стоимостную
оценку оборотных производственных фондов и фондов обращения. Оборотные средства
одновременно функционируют как в сфере производства, так и в сфере обращения,
обеспечивая непрерывность процесса производства и реализации продукции.
Оборотные производственные фонды - это часть средств производства, которые
целиком потребляются в каждом цикле производства, полностью переносят свою
стоимость на производимую продукцию и целиком возмещаются после каждого
производственного цикла. Состав и структуру оборотных средств ООО
"Рис" продемонстрирует таблица 8.
Таблица 8 - Состав и структура оборотных средств ООО
"Рис" на конец года
|
Наименование
|
2011 г.
|
2012 г.
|
2013 г.
|
|
Сумма, тыс.
руб.
|
Структура, %
|
Сумма, тыс.
руб.
|
Структура, %
|
Сумма, тыс.
руб.
|
Структура, %
|
|
Запасы
|
22931
|
39,4
|
26973
|
41,4
|
19311
|
33,1
|
|
Дебиторская
задолженность
|
3041
|
5,2
|
2395
|
3,7
|
2553
|
4,4
|
|
Краткосрочные
финансовые вложения
|
18000
|
30,9
|
-
|
-
|
-
|
-
|
|
Денежные
средства
|
14278
|
24,5
|
35780
|
54,9
|
36470
|
62.5
|
|
Оборотные
средства-всего
|
58250
|
100
|
65148
|
100
|
58334
|
100
|
Проведя анализ представленной таблицы, можно сделать вывод от
том, что показатель оборотные средства в целом по хозяйству ООО "Рис"
увеличился, что составляет 58334 тыс. руб. Запасы сократили свой результат в
2013 г. на 3620 тыс. руб. Это свидетельствует о том, что происходил процесс
снижении деловой активности, то есть сворачивании деятельности, так и о нехватке
оборотных средств для закупки необходимого количества запасов, а в 2011-2012 г.
было затоваривание запасов. Изменения показателя краткосрочные финансовые
вложения не происходили за исследуемый период. Денежные средства показали
положительный результат 22192 тыс. руб. в 2013 г.
Эффективность использования оборотных средств измеряется
показателями их оборачиваемости. Оборачиваемость оборотных средств -
продолжительность последовательного прохождения средствами отдельных стадий
производства и обращения.
Организации должны целесообразно и эффективно использовать
оборотные средства. Это предполагает, во-первых, сохранность собственных
оборотных средств, недопустимость уменьшения их суммы, имеющейся в распоряжении
предприятия. Необходимым условием сохранности собственных оборотных средств
является рентабельная работа предприятия. Во-вторых, оборотные средства
(собственные и заемные) должны использоваться на определенные цели и в размере,
предусмотренном финансовым планом. В-третьих оборотные средства следует
использовать эффективно, т.е. планы должны выполняться при минимальной сумме
оборотных средств. Под эффективным использованием оборотных средств понимается
такое их функционирование, при котором обеспечивается устойчивое состояние
финансов, строго соблюдается финансово-сметная дисциплина, достигаются
наивысшие результаты при наименьших затратах. В таблице 9 даются показатели
эффективности использования оборотных средств в ООО "Рис"
Таблица 9 - Показатели эффективности использования оборотных
средств в ООО "Рис"
|
Показатель
|
2011 г.
|
2012 г.
|
2013 г.
|
2013 г. к 2011
г.
|
|
|
|
|
Абсолютное
отклонение, ±
|
Темп роста, %
|
|
Среднегодовая
стоимость имущества, тыс. руб.
|
69066,5
|
78680,5
|
87529
|
18462,5
|
126,7
|
|
Среднегодовая
стоимость оборотных средств, тыс. руб.
|
53121
|
61699
|
61741
|
8620
|
116,2
|
|
в т. ч. запасов
|
20473
|
24952
|
23142
|
2669
|
113
|
|
Дебиторской
задолженности (платежи по которой ожидаются в течение 12 месяцев после
отчетной даты)
|
2812,5
|
2718
|
2474
|
-338,5
|
87,9
|
|
Удельный вес
оборотных средств в имуществе, %
|
78,4
|
70,5
|
- 6,4
|
X
|
|
Выручка от
продажи товаров, продукции, услуг, тыс. руб.
|
43658
|
43641
|
35070
|
-8588
|
80,3
|
|
Коэффициент
оборачиваемости: оборотных средств
|
0,82
|
0,7
|
0,56
|
-0,26
|
Х
|
|
запасов
|
2,1
|
1,7
|
1,5
|
-0,6
|
Х
|
|
Дебиторской
задолженности (платежи по которой ожидаются в течение 12 месяцев после
отчетной даты)
|
15,5
|
16
|
14,2
|
-1,3
|
Х
|
|
Продолжительность
оборота дней: оборотных средств
|
445,1
|
521,4
|
651,8
|
206,7
|
146,4
|
|
запасов
|
173,8
|
214,7
|
243,4
|
69,6
|
140
|
|
Дебиторской
задолженности (платежи по которой ожидаются в течение 12 месяцев после
отчетной даты)
|
23,5
|
22,8
|
25,7
|
2,2
|
109,4
|
|
Коэффициент
закрепления оборотных средств
|
1,2
|
1,4
|
1,76
|
0,56
|
Х
|
|
Рентабельность
оборотных средств, %
|
26,9
|
13,9
|
12,6
|
-14,3
|
Х
|
Анализ таблицы 9 позволяет сделать следующие выводы о том,
среднегодовая стоимость имущества за 2011-2013 г. увеличилась на 18462,5 тыс.
руб. Дебиторская задолженность в отчем году по сравнению с базисным снизилась
на 338,5 тыс. руб., уменьшение дебиторской задолженности приведет к
увеличению реального притока денежных средств.
Коэффициент оборачиваемости средств характеризует размер
объема выручки от реализации продукции на среднюю стоимость оборотных средств.
В отчетном году показатель снизился на 0,26%. Чем меньше величина коэффициента
загрузки оборотных средств, тем эффективнее используются оборотные средства.
Для сокращения общей потребности хозяйства в оборотных средствах, а также
стимулирования их эффективного использования целесообразно привлечение заемных
средств.
Продолжительность оборота дней говорит о том, за какой срок к
предприятию возвращаются его оборотные средства в виде выручки от реализации
продукции. Величина оборота дней в абсолютном отклонении увеличилась на 206,7.
Коэффициент закрепления оборотных средств увеличился на 0,56 % Рост
коэффициента оборачиваемости свидетельствует о более эффективном использовании
оборотных средств. Рентабельность оборотных средств в 2013 г. показала
отрицательный результат (-14,3)
Таблица 10. Показатели обеспеченности кадрами и интенсивности
их использования в ООО "Рис"
|
Показатель
|
2011
|
2012
|
2013
|
2013 г. к
2011г.
|
|
|
|
|
Абсолютное
отклонение, ±
|
Темп роста, %
|
|
Среднегодовая
численность работников, чел.
|
42
|
39
|
29
|
-13
|
69,04
|
|
Из них
руководители
|
1
|
1
|
3
|
2
|
300
|
|
специалисты
|
6
|
5
|
4
|
-2
|
66,67
|
|
Отработано,
тыс. чел. - ч
|
83
|
77
|
47
|
-36
|
56,63
|
|
Выработка
среднегодовая одним работником, чел. - ч
|
1976,2
|
1974,3
|
1620,7
|
-355,5
|
82
|
|
Возможная
выработка одним трудоспособным, чел. - ч
|
2280
|
2280
|
2280
|
0
|
100
|
|
Коэффициент
использования труда
|
0,867
|
0,866
|
0,711
|
-0,156
|
Х
|
Как
видно из таблицы 10, общая численность работников организации ООО
"Рис" за исследуемые три года сократилась на 13 человек. Все это
происходит на фоне сокращения резервов вовлечения в общественное производство
трудоспособного населения, абсолютное и относительное уменьшение населения и
трудовых ресурсов села. Численность руководителей за отчетный год выросла на 2
человека, специалисты наоборот снизили свой показатель на 2 человека.
Вместе с сокращением штата работников хозяйства,
снижается показатель затраты труда, от 83 до 47 тыс. чел. - ч. Среднегодовая выработка
одним работником продемонстрировала снижение чел. - ч Данные изменения
произошли из-за спада численного состава работников. Соответственно коэффициент
использования труда показал отрицание на 0,156 %.
Таблица 16
|
Показатель
|
Рис
|
|
2011
|
2012
|
2013
|
Абсолютное отклонение,
±
|
Темп роста, %
|
|
Стоимость
валовой продукции, тыс. руб.
|
64277
|
65365
|
59353
|
-4924
|
92,3
|
|
Производственные
затраты на продукт,руб.
|
26826
|
28299
|
26842
|
16
|
100,1
|
|
Чистый
доход,руб.
|
37451
|
37066
|
32511
|
-4940
|
86,8
|
|
Уровень
рентабельности,%
|
139,6
|
131
|
121,1
|
-18,5
|
86,7
|
Таблица 17 -
|
Показатель
|
Рис
|
|
2011
|
2012
|
2013
|
|
Денежная
выручка, тыс. руб.
|
|
|
30578
|
|
Полная
себестоимость, тыс. руб.
|
|
|
24132
|
|
Прибыль, тыс.
руб.
|
|
|
6446
|
|
Уровень
рентабельности, %
|
|
|
26,7
|
Таблица 18 -
|
Показатель
|
2011
|
2013
|
|
Объем реализации,
ц
|
44225
|
33806
|
|
Выручка от
реализации, тыс. руб.
|
41679
|
33985
|
|
Средняя цена
реализации 1ц, руб.
|
0,94
|
-
|
|
-
|
1,01
|
|
Условная
выручка при объеме реализации второго года и цене реализации первого года,
тыс. руб.
|
31777,6
|
|
Изменение
выручки от реализации за счет средней цены реализации, тыс. руб.
|
2207,4
|
|
Изменение
выручки от реализации за счет объема реализации, тыс. руб.
|
-9901,4
|
|
Общее изменение
выручки от реализации, тыс. руб.
|
-7694
|
Таблица 19 -
|
Показатель
|
В том числе
|
|
Сельское
хозяйство в целом
|
растениеводство
|
|
1-й вариант
|
|
Денежная
выручка, тыс. руб.
|
35070
|
35070
|
|
Полная
себестоимость, тыс. руб.
|
27295
|
27295
|
|
Прибыль
(убыток), тыс. руб.
|
7775
|
7775
|
|
Среднегодовая
стоимость производственных фондов, тыс. руб.
|
4410
|
4410
|
|
Норма прибыли,
%
|
176,3
|
176,3
|
|
2-й вариант
|
|
Стоимость
валовой продукции, тыс. руб.
|
33160
|
33160
|
|
Производственные
затраты, тыс. руб.
|
25491
|
25491
|
|
Чистый доход
(убыток), тыс. руб.
|
7669
|
7669
|
|
Норма прибыли,
%
|
173,9
|
173,9
|
|
Фонд оплаты
труда, тыс. руб.
|
3476
|
3476
|
|
Норма
производства чистого дохода, %
|
220,6
|
220,6
|
|
|
|
|
Выручка от проданной продукции за исследуемый период
снизилась на 8588 тыс. руб., что составило в 2013 г. 35070 тыс. руб. В отчетом
году существенно сократилась валовая прибыль, рассчитываемая как разность между
выручкой от продаж и себестоимостью проданной продукции, и составила 7775 тыс.
руб. Вместе с этим, уровень валовой прибыли продемонстрировал отрицательный
результат. Хороший результат показали прочие доходы, увеличив свой показатель
на 1114 тыс. руб. или на 288,2%
Литература
1. Зайцев
Н.Л. Экономика организации / Н.Л. Зайцев: - М.: Издательство
"Экзамен", 2008 г. - 176 с. (9)
2. Ивашковский
С.Н. Микроэкономика: Учеб. - 2-е изд., испр. и доп. - М.: Дело, 2001. - 416 с.
. Игнатова
Е.А., Пушкарева Г.М. Анализ финансового результата деятельности предприятия. -
М.: Финансы и статистика, 1990.
. Ковалев
В.В. Финансовый анализ: Управление капиталом. Выбор инвестиций. Анализ
отчетности. - М.: Финансы и статистика, 2000.
. Крылов
Э.И., Власова В.М., Журавкова И.В. Анализ финансовых результатов,
рентабельности и себестоимости продукции. - М.: Финансы и статистика, 2009.
. Курс
экономического анализа. / Под ред. Баканова Н.И., Шеремета А.Д. - М.: Финансы и
статистика, 2004.
. Политическая
экономия. Учебник. Государственное издательство политической литературы, 1954.
8. Румянцева,
Е.Е.
<http://opac.mpei.ru/notices/index/IdNotice:92374/index.php?url=/auteurs/view/32044/source:default>
Финансы организаций. Финансовые технологии управления предприятием. - М.:
ИНФРА-М, 2003. 124с. (10)
. Савицкая
Г.В. Анализ хозяйственной деятельности предприятия. - Минск: ИП
"Экоперспектива", 1998.
. Экономика
отраслей АПК. / под ред. И.А. Минакова - М.: Колосс, 2004 - 458с.
. Экономика
предприятия: Учебник / под ред. Карлика А.Е., Шухгальтера М.Л. - М.: Инфра,
2003.
12. Юркова,
Т.И. С.В. Юрков. Экономика предприятия. - [электронный ресурс] - Режим
доступа<http://www.aup.ru/books/m88/> - 98 с.
Похожие работы на - Пути повышения рентабельности деятельности организации (на примере ООО 'Рис' Абинского района)
|