Методы управления запасами

  • Вид работы:
    Контрольная работа
  • Предмет:
    Менеджмент
  • Язык:
    Русский
    ,
    Формат файла:
    MS Word
    231,74 Кб
  • Опубликовано:
    2015-05-25
Вы можете узнать стоимость помощи в написании студенческой работы.
Помощь в написании работы, которую точно примут!

Методы управления запасами

Федеральное государственное образовательное

бюджетное учреждение высшего профессионального образования

«ФИНАНСОВЫЙ УНИВЕРСИТЕТ

ПРИ ПРАВИТЕЛЬСТВЕ РОССИЙСКОЙ ФЕДЕРАЦИИ»

(Владимирский филиал)

Кафедра «Математика и информатика»







КОНТРОЛЬНАЯ РАБОТА № 1, № 2.

«Метод оптимальных решений»

Вариант № 5

Студент: Носова Екатерина Евгеньевна

Курс 2, № группы ЗСПЗ-ЭК202

Личное дело: 100.06/130175

Преподаватель: Горбатенко Е.Н.





Владимир 2015

Содержание

1.      Контрольная работа № 1. Задание №1. Методы управления запасами

.        Задание № 2

Контрольная работа № 1

Задание № 1. Методы управления запасами

Управление запасами - это более сложная ступень их нормирования, предусматривающая активное изменение всех факторов, влияющих на образование запасов. Управление запасами заключается в установлении той или иной периодичности поставок, их объемов, регулярности и наилучших сроков выполнения. Совокупность правил, по которым принимаются эти решения, называют системой (стратегией, политикой) управления запасами.

Различаются несколько основных систем регулирования запасов в зависимости от их исходных параметров, которыми регламентируются запасы. Чаще всего в качестве таких параметров принимают размеры и периодичность заказа на пополнение запасов, поддерживаемый уровень запасов.

Система с фиксированным размером заказа. В такой системе размер заказа на пополнение запасов является величиной постоянной, а очередная поставка товаров осуществляется при уменьшении наличных запасов до определенного критического уровня (так называемой точки заказа, или точки восстановления запаса). В процессе функционирования системы запас пополняется каждый раз на одну и ту же величину, но интервалы пополнения могут быть различными в зависимости от расходования запаса.

Типичный процесс в системе с фиксированным размером заказа иллюстрируется на рис.1.

Рис.1. Система с фиксированным размером заказа

Эта система имеет два регулирующих параметра: точка заказа S (фиксированный уровень запаса, при снижении которого организуется заготовка очередной партии сырья, материалов и т.п.) и размер заказа q, причем последний параметр постоянен.

Система с фиксированным размером заказа требует регулярного учета движения остатков, с тем чтобы не был упущен момент наступления точки заказа. Кроме того, условием эффективного функционирования этой системы является относительное постоянство времени, необходимого на организацию и осуществление очередной партии поставки.

Система с фиксированной периодичностью заказа. При этой системе заказы на очередную поставку сырья повторяются через одинаковые промежутки времени. В конце каждого периода проверяется уровень запасов и, исходя из этого, определяется размер заказываемой партии. В процессе функционирования этой системы запас пополняется каждый раз до определенного уровня, не превышающего максимального запаса, но помощью различных партий поставок, зависящих от степени расходования запаса в предшествующем периоде.

Регулирующими параметрами системы с фиксированной периодичностью заказа является максимальный уровень S, до которого осуществляется пополнение запасов, и продолжительность периода повторения заказов τ. Оба параметра постоянны. Варьируется лишь размер партии q.

Типичный процесс в системе и фиксированной периодичностью заказа показан на рис. 2.

Рис.2. Система с фиксированной периодичностью заказа

Эффективное функционирование рассматриваемой системы достигается, когда имеется возможность заготавливать материалы в любых размерах, причем расходы на оформление заказа любого размера невелики. Явными достоинствами этой системы являются возможность периодической проверки остатков на складах (к моменту подачи заказа) и отсутствие необходимости вести систематический учет движения остатков.

Система с двумя фиксированными уровнями, или (s, S) - система. Допустимый уровень запасов в системе с двумя фиксированными уровнями (ее называют (s, S) - системой) регламентируется как сверху, так и снизу. Кроме максимального верхнего уровня запаса S, до которого может осуществляться пополнение запаса, устанавливается нижний уровень s (точкам заказа).

Регулирующими параметрами рассматриваемой системы являются нижний s и верхний S уровни запаса (величины постоянные), периодичность заказа τ (величина переменная).

Саморегулирующиеся системы. Рассмотренные ранее системы предполагают относительную неизменность условий, в которых функционирует та или иная система. В действительности же такое постоянство условий бывает редко из-за изменения потребности, условий поставки и т.п. В связи с этим возникает необходимость в создании комбинированных систем с возможностью саморегулирования применительно к изменившимся условиям. Так возникают системы с изменяющимся размером заказа, вероятностным временем отставания выполнения заказа и т.д.

Системы оптимального управления запасами. Системы оптимального управления запасами связаны с широким применением математических методов. При оптимальном подходе предпринимается все возможное, чтобы не только хорошо управлять, но и отыскать наилучшее управление из всех возможных.

Некоторую стратегию управления запасами обозначим через =(u1,u2, ..., un), где ui - управляющие переменные. Каждая такая стратегия связана с определенными затратами по доведению материальных средств до потребителей: Ф ().

Тогда задача по оптимальному управлению запасами состоит в минимизации функции затрат

 Ф ()(1)

При условии, что  принадлежит некоторому множеству возможных (допустимых) управлений G:

. (2)

Если на выбор  не накладывается каких-либо ограничений, перед нами безусловная задача оптимизации. Задача (1), (2) - задача математического программирования.

Конкретная математическая формулировка (экономико-математическая модель - ЭММ) задачи отыскания оптимальной стратегии (1), (2) существенно зависит от исследуемой реальной ситуации. Однако общность принимаемых в расчет факторов позволяет говорить о единстве тех или иных элементов, которые учитываются при моделировании управления запасами.

Основными элементами задачи оптимального управления запасами являются:

·        система материально-технического обеспечения (МТО);

·        спрос на предметы МТО;

·        возможность пополнения запасов;

·        принятая стратегия управления запасами;

·        ограничения;

·        функция затрат (цели).

В качестве функции цели в математических моделях управления запасами чаще всего используется минимум затрат Ф (), связанных с заготовкой и содержанием запасов, а также с перебоями в снабжении потребителей (потери от дефицита).

.        Расходы на хранение включают в себя расходы на содержание складского помещения (или плату за арену), оплату труда складского персонала и амортизацию оборудования, потери от естественной убыли хранимых материалов, потери от снижения потребительских качеств материалов и омертвления денежных средств, вложенных в запасы (иммобилизация). Эти издержки прямо пропорциональны величине поставки.

.        Расходы, входящие в стоимость поставки, включают расходы, связанные с оформлением заказа, заключением договоров и соглашений на поставку, почтовые, телеграфные, канцелярские и прочие управленческие расходы. Эти расходы пропорциональны количеству поставок, т.е. обратно пропорциональны величине партии поставки.

.        Потери от дефицита - расходы из-за неудовлетворенного спроса. Их определение - задача весьма сложная, в частности, из-за того, что имеется ряд косвенных потерь, таких как простои оборудования и рабочей силы у потребителя из-за отсутствия материалов, неэкономная замена материалов и т.п. В настоящее время в моделях используются различные оценки этих потерь (например, разность между стоимостью обычной и стоимостью экстренной доставки товара; упущенная прибыль; простой оборудования и т.п.). Наличие в ЭММ оптимизации запасов всех видов издержек не обязательно. Могут иметь место как модели, в которых допускаются случаи дефицита, так и модели, в которых дефицит не допускается.

Разработано множество различных моделей управления запасами, которые можно подразделить следующим образом:

·        детерминированные - предусматривают достаточную точность входящих параметров;

·        стохастические - позволяют установить потребность в материалах с учетом вероятностного фактора;

·        статические;

·        динамические - предполагают изменения входящих параметров во времени. Наиболее важным параметром в динамической модели является интенсивность спроса.

При управлении запасами на всех уровнях номенклатуру запасов предварительно классифицируют, например, проводя АВС-анализ номенклатуры запасов конкретного объекта внедрения.

Группа «А» - запасы тех материалов, которые потребляются в значительном объеме, имеют высокую стоимость либо, являясь дефицитными, играют важную роль в производстве. Такие материалы, составляя 5-10% номенклатуры, занимают 50-70% от общего объема поставок в натуральных единицах.

Группа «В» - материалы со средними размерами потребности (20-25% номенклатуры).

Группа «С» - материалы, потребляемые в незначительных объемах и составляющие подавляющее большинство номенклатуры.

Относительно номенклатуры группы «А» считается оправданным привлечение достаточно строгих математических методов. Управление составляющими группы «В» проводится по упрощенным методикам (использование субоптимальных решений). Экономико-математические исследования по материалам группы «С», как правило, не проводятся.

Методы управления запасами.

Норма запаса - это минимальное количество предметов труда, находящееся у предприятия и необходимое для бесперебойного снабжения производства.

Для определения норм запасов используются три группы методов:

·        эвристические;

·        методы технико-экономических расчетов;

Эвристические методы предполагаю собой использование знаний и опыта специалистов, изучающих отчетную информацию за предыдущий период, анализирующих рынок и принимающих решения о минимальных необходимых для предприятия запасах, которые основаны, на их личном (субъективном) понимании тенденций развития спроса. Таким специалистом может быть сотрудник предприятия, который постоянно решает задачу нормирования запаса. Используемый в данном случае метод решения (из группы эвристических) имеет название «опытно-статистический».

В случае если задача в сфере управления запасами на предприятии имеет определенную сложность, можно использовать знания и опыт нескольких сотрудников предприятия. При последующем анализе их субъективных оценок ситуации и предлагаемых решений, используя специальный алгоритм, можно сформировать довольно хорошее решение, которое мало чем будет отличаться от оптимального. Данный метод, как и предыдущий, относится к эвристическим методам и имеет название «метод экспертных оценок».

Сущность метода технико-экономических расчетов заключается в делении всего запаса на отдельные группы в зависимости от целевого назначения, к примеру, на номенклатурные позиции. Затем для образованных групп в отдельности рассчитывается сезонный, текущий и страховой запасы, причем каждый из которых может быть разделен на определенные элементы. Так, например, страховой запас в случае увеличения спроса или нарушения установленных сроков завоза товаров от поставщиков. Данный метод позволяет довольно точно определять нужный для предприятия размер запасов, но его трудоемкость велика.

Экономико-математические методы. Спрос на продукцию или товары в большинстве случаев представляет собой процесс случайный, который можно описать методами математической статистики. Наиболее простой экономико-математический метод определения размеров запаса - это метод экстраполяции, позволяющий перенести темпы, которые сложились в прошлом на будущее.

Так, имея данные о размере запасов за прошлые четыре периода, применив метод экстраполяции, можно рассчитать размер запасов на будущий период при помощи формулы:

5 = 0,5 (2Y4 + Y3 - Y1),

где Y1, Y3, Y4 - показатели запаса (в процентах к обороту, в сумме или днях), за первый, третий и четвертый периоды соответственно;5 - нормативный показатель (уровень) запаса на будущий, пятый период.

Спрогнозировать уровень запасов для шестого периода можно при помощи следующей формулы:

6 = 0,5 (2Y5 + Y4 - Y2),

где Y6 - нормативный показатель (уровень) запаса на шестой период.

Мировая практика управления запасами на предприятии показывает, что рост запасов должен немного отставать от роста спроса. В математическом выражении это выглядит так:

 

где Тз - темп роста запасов;

То - темп роста спроса.

При вышеуказанном соотношении между спросом и запасами возможно ускорение оборачиваемости оборотных средств.

Задание 2

Решить графическим методом типовую задачу оптимизации. Осуществить проверку правильности решения с помощью средств MS Excel (надстройки Поиск решения).

Продукция двух видов (краска для внутренних (I) и наружных (Е) работ) поступает в оптовую продажу. Для производства красок используются два исходных продукта А и В. Максимально возможные суточные запасы этих продуктов составляют 6 и 8 тонн, соответственно. Расходы продуктов А и В на 1 т соответствующих красок приведены в таблице.

Исходный продукт

Расход исходных продуктов на тонну краски, т

Максимально возможный запас, т


Краска Е

Краска I


А В

1 2

2 1

6 8


Изучение рынка сбыта показало, что суточный спрос на краску I никогда не превышает спроса на краску Е более чем на 1 т. Кроме того, установлено, что спрос на краску I никогда не превышает 2 т в сутки. Оптовые цены одной тонны красок равны: 3000 ден. ед. для краски Е и 2000 ден. ед. для краски I. Какое количество краски каждого вида должна производить фабрика, чтобы доход от реализации продукции был максимальным?

Построить экономико-математическую модель задачи, дать необходимые комментарии к ее элементам и получить решение графическим методом. Что произойдет, если решать задачу на минимум и почему?

Решение:

Пусть х1 - количество краски Е; х2 - количество краски I.

Таким образом, целевая функция имеет вид:

При следующих ограничениях:

.

Строим график ограничений и находим общее множество решений:

Рис. 1. График ограничений

Множеством допустимых решений, удовлетворяющих всем ограничениям одновременно, будет заштрихованная фигура. Максимум искомой функции находится в одной из вершин этого многоугольника.

Найдем координаты вершин многоугольника:

Вершина в точке А находится на пересечении прямых х21=1 и х2=2.

В результате решения системы получаем, что координаты точки А(1;2).

Вершина в точке В находится на пересечении прямых х21=1 и х1+2х2=6. Координаты точки В(1,33;2,33).

Вершина в точке С находится на пересечении прямых х1+2х2=6 и х2=2. Координаты точки С(2;2).

Найдем максимум целевой функции F(X)=3000х1+2000х2, подставив координаты:

F(X)=3000*1+2000*2=7000 ден.ед.

F(X)=3000*1,33+2000*2,33=8665 ден.ед.

F(X)=3000*2+2000*2=10000 ден.ед.

Таким образом, чтобы доход от реализации продукции был максимальным 10000 ден.ед., фирма должна производить 2 т краски Е и 2 т краски I (точка С).

Если решать задачу на минимум, то необходимо производить 1 т краски Е и 2 т краски I (точка А) и тогда доход от реализации продукции составит 7000 ден.ед.

Проверка правильности решения с помощью средств MS Excel.

.        Вводим исходные данные (рис.2).

Рис. 2. Исходные данные

.        Вводим зависимость для целевой функции (рис.3).

Рис. 3. Зависимость для целевой функции

.        Копируем формулу в ячейки С4÷С7.

.        Запускаем команду поиск решения (рис.4).

Рис.4. Условия задачи в поиске решения

.        Найдем решение. После нажатия кнопки «Выполнить» запускается процесс решения задачи (рис.5).

Рис. 5. Решение задачи

заказ экономический математический партия

Ответ: чтобы получить максимальный 10000 ден.ед. доход от реализации продукции, фирма должна производить 2 т краски Е и 2 т краски I.


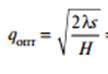
Рассчитать параметры моделей экономически выгодных размеров заказываемых партий.

Пекарня покупает пшеничную хлебопекарную муку в мешках. В среднем пекарня использует 750 мешков год. Подготовка и получение одного заказа обходится в 160 руб. Годовая стоимость хранения составляет 30 руб. за мешок. Время доставки заказа - 2 дня. Пекарня работает 365 дней в году. Определите экономичный объем заказа. Подсчитайте годовую стоимость хранения муки, период поставок, точку заказа.

Решение:

а) Экономичный объем запаса или оптимальный размер заказа.

Оптимальный размер заказа рассчитывается по формуле Уилсона:

(H = Th)

шт.

б) Годовая стоимость хранения муки = Стоимость хранения одного мешка * Количество дней в году = 30*365=10950 руб.

в) Период поставок = оптимальная периодичность пополнения запасов.

 дн.

г) Точка заказа или точка восстановления запаса.

Поскольку среднесуточный спрос равен 750/365 = 2 шт., точка заказа (уровень запасов при котором делается новый заказ) составит 2*2 = 4 шт.

Ответ: оптимальный размер заказа равен 89 шт., годовая стоимость хранения муки = 10950 руб., период поставок = 0,12 дн., точка заказа = 4 шт.

Контрольная работа № 2

Задача 1

Необходимо решить транспортную задачу: минимизировать расходы на доставку продукции заказчикам со складов фирмы, учитывая следующие затраты на доставку одной единицы продукции, объём заказа и количество продукции, хранящейся на каждом складе:

Таблица тарифов на перевозку продукции и объёмов запасов на складе и заказов :

Магазин Склад

Тверь

Рязань

Тула

Чехов

Запасы на складе (ед.прод)

Москва

5

3

7

2

25

Санкт-Петербург

2

6

4

5

36

Саратов

3

7

1

9

40

Самара

6

4

8

3

50

Объём заказа (ед.прод)

20

45

15

25



Решение

Задача 2

Использовать методы теории массового обслуживания для исследования предлагаемой хозяйственной ситуации. При моделировании предполагается, что поток требований на обслуживание является простейшим (пуассоновским), а продолжительность обслуживания распределена по экспоненциальному (показательному) закону. Задачу следует решить с помощью средств MS Excel.

В бухгалтерии организации в определенные дни непосредственно с сотрудниками работают два бухгалтера. Если сотрудник заходит в бухгалтерию для оформления документов (доверенностей, авансовых отчетов и пр.), когда оба бухгалтера заняты обслуживанием ранее обратившихся работников, то он уходит из бухгалтерии, не ожидая обслуживания. Статистический анализ показал, что среднее число сотрудников, обращающихся в бухгалтерию в течение часа, равно l; среднее время, которое затрачивает бухгалтер на оформление документа, равно Тср мин. (значения l и Тср по вариантам даны ниже в таблице).

Оценить основные характеристики работы данной бухгалтерии как СМО с отказами (указание руководства не допускать непроизводительных потерь рабочего времени!). Сколько бухгалтеров должно работать в бухгалтерии в отведенные дни с сотрудниками, чтобы вероятность обслуживания сотрудников была выше 85%?

№ варианта

Параметр l

Параметр Тср=1/μ

5

14

10


Решение:

.        Рассчитаем вероятность отказа в обслуживании по формуле:

Роткn0 ,

P0=;

 - нагрузка на систему.

·        Расчет нагрузки на систему (рис.6):

Рис.6. Расчет нагрузки на систему

.        Рассчитаем вероятности Р0 ячейке С5 без степени -1, для 1 числа канала (рис.7):

Рис. 7. Расчет вероятности

.        Рассчитаем вероятность Р0 для остальных каналов меняя в формуле 1 на ячейку С4, и скопируем для ячеек С5-С13.

.        Рассчитаем вероятность Р0 в ячейке D4 ставя ячейку С4 в степень -1, и скопируем формулу в ячейки D5-D13;

.        Рассчитаем вероятность Ротк в ячейке F4, и скопируем формулу в ячейки F5-F13.

Рис. 8. Полученные данные

.        Относительная пропускная способность В, т.е. вероятность того, что заявка будет обслужена

 

7.      Абсолютная пропускная способность А получим, умножая интенсивность потока заявок 𝜆 на В:

.

8.      Среднее число занятых каналов (рис.13);

.

Рис. 9. Расчет характеристик системы массового обслуживания

Рис.10. График вероятности отказа в обслуживании

Ответ: Из графика на рис. 10 видно, что минимальное число бухгалтеров, при котором вероятность обслуживания работника будет выше 85%, равно n=3.

Задача 3

Для матрицы последствий

 

выберите вариант решения:

А) по критерию максимакса

Б) по критерию Вальда (максимина)

В) по критерию Сэвиджа

В) по критерию Гурвица при λ =1/2.

Решение:

примем решение по правилу Гурвица

В соответствии с этим компромиссным решением будет линейная комбинация минимального и максимального выигрыша.

i= λ *minqij+ (1- λ)*maxqij, решением будет maxCi, λ =1/2.

1=1/2*1+ (1-1/2) *7= 42=1/2*4+ (1-1/2) *6=53=1/2*3+ (1-1/2) *9=64=1/2*3+ (1-1/2) *12=7,5= C4=7,5

Ответ: 7,5

Похожие работы на - Методы управления запасами

 

Не нашли материал для своей работы?
Поможем написать уникальную работу
Без плагиата!
Без нейросетей!