Математические методы обработки результатов экспериментов

  • Вид работы:
    Практическое задание
  • Предмет:
    Менеджмент
  • Язык:
    Русский
    ,
    Формат файла:
    MS Word
    46,06 Кб
  • Опубликовано:
    2015-10-20
Вы можете узнать стоимость помощи в написании студенческой работы.
Помощь в написании работы, которую точно примут!

Математические методы обработки результатов экспериментов

Министерство образования и науки РФ

филиал федерального Государственного бюджетного образовательного учреждения высшего

профессионального образования

Уфимского государственного нефтяного

технического университета в г. Октябрьском

Кафедра ИТМЕН






ПРАКТИЧЕСКАЯ РАБОТА

по дисциплине “Математические методы обработки результатов экспериментов”


Выполнил: студент группы БГРз 12-10

Кирюков Е.М.

Проверил: Усман Ф.К.





ОКТЯБРЬСКИЙ 2014

Метод наименьших квадратов

Основной принцип МНК: Сумма квадратов ошибки модели должна быть минимальной.

Условие задачи:

Изучается зависимость средней ожидаемой продолжительности жизни от нескольких факторов по данным за 1955 г. С этой целью по 14-ти странам были получены данные по нескольким факторам, влияющим на продолжительность жизни, (таблица 1).

Таблица 1

Название страны

y

x1

x2

Мозамбик

47

3

2,6

Бурунди

49

2,3

2,6

Чад

48

2,6

2,5

Непал

55

4,3

2,5

Буркина -Фасо

49

2,9

2,8

Мадагаскар

52

2,4

3,1

Бангладеш

58

5,1

1,6

Гаити

57

3,4

2

Мали

50

2

2,9

Нигерия

53

4,5

2,9

Кения

58

5,1

2,7

Того

56

4,2

3

Индия

5,2

1,8


Решение:

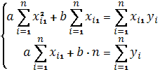
)        Изучим влияние фактора х1 на среднюю ожидаемую продолжительность жизни по методу наименьших квадратов.

Для определения формы функциональной зависимости между переменными у и х1 построим диаграмму рассеяния.


На основании диаграммы рассеяния можно сделать вывод о позитивной зависимости продолжительности жизни от фактора х1 (т.е. у будет расти с ростом х1). Наиболее подходящая форма функциональной зависимости - линейная.

Требуется найти уравнение прямой y=ax+b, наилучшим образом согласующейся с опытными точками.

Для этого составим и решим систему уравнений:

наименьший квадрат эконометрический линейный


Построим таблицу 2 с данными для решения системы уравнений.

Таблица 2

n

1

2

3

4

5

6

7

8

9

10

11

12

13

14

xi

3

2,3

2,6

4,3

2,9

2,4

5,1

3,4

2

4,5

5,1

4,2

5,2

6,5

53,5

yi

47

49

48

55

49

52

58

57

50

53

58

56

62

50

744

xi2

9

5,29

6,76

18,49

8,41

5,76

26,01

11,56

20,25

26,01

17,64

27,04

42,25

228,47

xiyi

141

112,7

124,8

236,5

142,1

124,8

295,8

193,8

100

238,5

295,8

235,2

322,4

325

2888,4


Получим и решим систему уравнений:

228,47a + 53.5 b = 2888,4

.5a + 14b=744

,47a + 53.5 b = 2888,4

.287b= 288.828=1,883864062=45,94381

Итак, а=1,883864062 b=45,94381

Таким образом y = 1,8838x+45,94381

Следовательно, при увеличении показателя фактора х1 на единицу при прочих равных условиях средняя ожидаемая продолжительность жизни в среднем увеличивается на 1,8838 единиц.

Графически такая зависимость имеет вид:

2)     
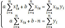
Изучим влияние фактора х2 на среднюю ожидаемую продолжительность жизни по методу наименьших квадратов.


На основании диаграммы рассеяния можно сделать вывод о зависимости валового дохода от стоимости оборотных средств (т.е. у будет уменьшаться с ростом х2). Наиболее подходящая форма функциональной зависимости - линейная.

Требуется найти уравнение прямой y=ax+b, наилучшим образом согласующейся с опытными точками.

Для этого составим и решим систему уравнений:


Построим таблицу с данными для решения системы уравнений.

Таблица 3

n

1

2

3

4

5

6

7

8

9

10

11

12

13

14

xi

2,6

2,6

2,5

2,5

2,8

3,1

1,6

2

2,9

2,9

2,7

3

1,8

35,9

yi

47

49

48

55

49

52

58

57

50

53

58

56

62

50

744

xi2

6,76

6,76

6,25

6,25

7,84

9,61

2,56

4

8,41

8,41

7,29

9

3,24

8,41

94,79

xiyi

122,2

127,4

120

137,5

137,2

161,2

92,8

114

145

153,7

156,6

168

111,6

145

1892,2


Получим и решим систему уравнений:

94,79 a + 35.9b = 1892.2

.9 a + 14 b = 744

,79 a + 35.9b = 1892.2

.79a +35.9 b = 1892.2

,79 a + 35.9b = 1892.2

-1.06545b = -722501

a= - 5.7202

b= 67.811

Итак, а= - 5.7202 b= 67.811

Таким образом y= - 5.7202x + 67.811

Следовательно, при увеличении фактора х2 на единицу при прочих равных условиях ожидаемая продолжительность жизни в среднем уменьшается на 5,7202 единиц.

Графически зависимость имеет вид:


)        Рассмотрим влияние факторов х1 и х2 на среднюю ожидаемую продолжительность жизни.

На основании диаграммы рассеяния можно сделать вывод о позитивной зависимости продолжительности жизни от стоимости фактора х1 и о негативной зависимости продолжительности жизни от фактора х 2(т.е. у будет расти с ростом х1 и у будет убывать с ростом х2 ). Форма функциональной зависимости - линейная.

В целом необходимо определить параметры двухфакторной эконометрической модели- y=ах1+bx2+c ,наилучшим образом согласующейся с опытными точками.

Оценим параметры линейной двухфакторной эконометрической модели с помощью метода наименьших квадратов. Для этого составим и решим систему уравнений:

Собранные данные представлены в таблице 4:

Таблица 4

n

2

3

4

5

6

7

8

9

10

11

12

13

14

xi1

3

2,3

2,6

4,3

2,9

2,4

5,1

3,4

2

4,5

5,1

4,2

5,2

6,5

53,5

xi2

2,6

2,6

2,5

2,5

2,8

3,1

1,6

2

2,9

2,9

2,7

3

1,8

2,9

35,9

yi

47

49

48

55

49

52

58

57

50

53

58

56

62

50

744

xi1 xi2

7,8

5,98

6,5

10,75

8,12

7,44

8,16

5,8

13,05

13,77

12,6

9,36

18,85

134,98

xi12

9

5,29

6,76

18,49

8,41

5,76

26,01

11,56

4

20,25

26,01

17,64

27,04

42,25

228,47

xi22

6,76

6,76

6,25

6,25

7,84

9,61

2,56

4

8,41

8,41

7,29

9

3,24

8,41

94,79

yi xi1

141

112,7

124,8

236,5

142,1

124,8

295,8

193,8

100

238,5

295,8

235,2

322,4

325

2888,4

yi xi2

122,2

127,4

120

137,5

137,2

161,2

92,8

114

145

153,7

156,6

168

111,6

145


Получим систему уравнений:


228.47a + 134.98b + 53.5c = 2888.4

.98a + 94.79b + 35.9c = 1892.2

.5a + 35.9b + 14c = 744

.47a + 134.98b + 53.5c = 2888.4

.464b -7.2651c = - 314,377700

.33b -6.2865c = -288,827664

.47a + 134.98b + 53.5c = 2888.4

.464b -7.2651c = - 314,377700

,46811c = 86,859049

.47a + 134.98b + 53.5*59,16393 = 2888.4

.464b -7.2651*59,16393 = - 314,377700= 59,16393

.47a + 134.98*(-4,53409) + 53.5*59,16393 = 2888.4= -4,53409= 59,16393= 1,4668944= -4,53409= 59,16393

Итак, а = 1,4668944 b = -4,53409 c= -59,16393

Таким образом y= 1,4668944x1 - 4,53409 x2 - 59,16393

Вывод: Данная функциональная зависимость позволяет примерно прогнозировать зависимость средней продолжительности жизни от нескольких факторов (х1 и х2)

Коэффициент a= 1,4668944 показывает, что при прочих равных условиях с увеличением влияния фактора х1 на единицу средняя продолжительность жизни увеличится в среднем на 1,4668944 единиц.

Коэффициент b= -4,53409 показывает, что при прочих равных условиях с увеличением влияния фактора х2 на единицу средняя продолжительность жизни уменьшится в на 4,53409 единиц.

Пример:

МНК может применяться и в повседневной жизни. в медицине он служит показателем зависимости артериального давления человека от окружающих параметров, то есть от тех же самых факторов. В зависимости от температуры, влажности воздуха, атмосферного давления и времени суток состояние человека может изменяться. Все данные заносятся в таблицы, подобные тем, что представлены выше в соответствии с изменяющимися факторами. Проанализировав данные наблюдатель может проследить за тенденцией изменения здоровья и понять, что именно влияет на человека.

Похожие работы на - Математические методы обработки результатов экспериментов

 

Не нашли материал для своей работы?
Поможем написать уникальную работу
Без плагиата!
Без нейросетей!