Особенности влияния компьютерной зависимости на формирование агрессивности у подростков

  • Вид работы:
    Дипломная (ВКР)
  • Предмет:
    Психология
  • Язык:
    Русский
    ,
    Формат файла:
    MS Word
    266,46 Кб
  • Опубликовано:
    2015-05-25
Вы можете узнать стоимость помощи в написании студенческой работы.
Помощь в написании работы, которую точно примут!

Особенности влияния компьютерной зависимости на формирование агрессивности у подростков

Содержание

Введение

1. Анализ психологической литературы по проблеме исследования компьютерной зависимости в подростковом возрасте

1.1 Различные взгляды и подходы к проблеме компьютерной зависимости в подростковом возрасте

.2 Проявление особенностей агрессивного поведения в подростковом возрасте

.3 Влияние компьютерных игр на агрессивное поведение подростков

2. Экспериментальное исследование особенностей влияния компьютерных игр на развитие агрессивного поведения в подростковом возрасте

2.1 Организация методов исследования и проведение диагностических методик

.2 Обработка и анализ полученных результатов

.3 Коррекционная программа по снижению компьютерной зависимости у подростков

Выводы

Рекомендации

Заключение

Список использованных источников

Приложения

Введение

В последние годы в жизни человечества компьютер и люди стали не разрывным целым. Сегодня очень сложно увидеть человека, который ни разу не сталкивался бы с компьютерными технологиями, а уж тем более не знал бы о существовании компьютера. Компьютеризация всех сфер общественной жизни человека - это одно из самых впечатляющих событий последней четверти XX века. Наша жизнь насыщенна новыми технологиями, они окружают нас везде: на работе, дома, на улице, в общественных местах. Многие уже и представить себя не могут без этого чуда техники. Компьютер стал неотъемлемой частью жизни человека, захватывая своим влиянием современных детей и подростков. Но такое бурное развитие компьютерных технологий в жизни социума, несомненно, оставляет определенный след на развитие личности современного ребенка. Огромный поток новой информации, использование компьютерных технологий, а именно распространение компьютерных игр оказывает далеко не благоприятное влияние на воспитательное пространство детей и подростков. В свою очередь создание воспитательного пространства - это необходимое условие взросления и становления личности ребенка не только в стенах образовательного учреждения, но и за его пределами. Очень сильно изменяется и структура досуга детей и подростков, т.к. компьютер сочетает в себе возможности телевизора, DVD-приставки, музыкального центра, книги и т.д. [1]

На сегодняшний день заметно увеличивается рост количества детей и подростков умеющих работать с компьютерными программами, в том числе и играть в компьютерные игры [2]. В свою очередь многие родители гордятся достижениями своих детей в этой области знаний, так как они открывают большие перспективы в будущем для их детей. И все же вместе с этой положительной стороной компьютеризации следует отметить и негативные последствия этого процесса, влияющего не только на физическое, но и на социально - психологическое здоровье детей и подростков. Негативным последствием этого процесса является такое явление как компьютерная зависимость. По данным российских психологов от 10 до 14% людей, играющих в компьютерные игры, становятся зависимыми от них [3]. Данная зависимость может возникнуть в любом возрасте, но наиболее подверженными этому являются подростки.

Термин компьютерной зависимости появился еще в 1990 году. Психологи классифицируют эту вредную привычку как разновидность эмоциональной "наркомании", вызванной техническими средствами [4].

Официально же, компьютерная аддиктивность была признана психологами в середине девяностых годов ХХ века. Тогда же была введена первичная классификация вариантов такого рода зависимости. Поскольку введена она была американскими учёнными, в ней в изобилии встречается терминология, позаимствованная из английского языка. И это, прежде всего, действительно Геймер-аддиктивность, или зависимость от компьютерных игр. Её в свою очередь можно разделить на варианты On-Line addiction и Off-Line addiction. Первая из них или On-Line зависимость связана с навязчивой идеей игр в Интернете, Off-Line зависимость предполагает постоянное использование компьютерных игр без выхода в Интернет [5].

На данный момент проблема влияния компьютерных игр на подростков приобрела широкий общественный резонанс. Причем информация об этой проблеме поступает преимущественно из двух источников - средств массовой информации и эмпирических исследований, каждый из которых обладает своей спецификой. С 80-х годов в средствах массовой информации появляется много сообщений, предупреждающих об опасном влиянии компьютера в целом и компьютерных игр в частности на психику подростков. Среди основных обвинений - зависимость, которая выражается в психопатологических симптомах. К таким симптомам относятся неспособность подростка переключаться на другие развлечения, чувство мнимого превосходства над окружающими, повышенная агрессивность, оскуднение эмоциональной сферы и т.д. [6] Компьютер постепенно затягивает их, привлекая своими большими возможностями, и не заметно заменяет все: живое общение с друзьями, семью, подвижные игры и многое другое. Такие дети перестают ощущать всю прелесть детства, а также они становятся совсем не по-детски злыми, агрессивными, раздражительными. На сегодняшний день в большей частности именно компьютер и обилие в нем разнообразных игр, завлекающие подростков на длительное время, наносят непоправимый ущерб психике детей, а также их физическому здоровью. А ведь нынешние подростки это будущее всего человечества и кто знает, к каким последствиям может привести их увлеченность компьютерными играми.

Существует множество мнений людей по поводу того, как на психику ребенка влияет компьютерная зависимость. Но большинство из них считают, что в компьютерных играх, которыми увлекаются сегодняшние подростки, содержится большое количество сцен агрессии и виртуального насилия, которые далеко не положительно влияют на состояние детей (С.А. Завражин, Дж. Кэнтор, Д. Гроссман, Д. Гибсон). Например, профессор медицины Клаус Матиака из клиники немецкого университета Аахен (Universitätsklinikum Aachen) говорит о том, что мозг человека может реагировать на виртуальное насилие в игре почти также, как и на реальное. А это значит, что при убийстве в игре человек может испытывать агрессивность, эмоции гнева, враждебности, страха [7]. Также хотелось отметить, что исследования посвященные проблеме влияния компьютерных игр на агрессивное поведение подростков по сведениям американского психолога, руководителя группы исследователей из Университета св. Льва Д. Николл выявляют связь между жестокостью в играх и повышением агрессивности поведения игроков в реальной жизни. Д. Торр из университета Сан-Диего также утверждает, что "свыше тысячи исследований в течение последних 30 лет подтверждают причинную связь между медианасилием и агрессивным поведением некоторых детей" [8]. Об этом же говорят и эксперименты различных исследователей: от психологов многообразных направлений, нейрофизиологов, социологов до журналистов. И чаще всего, о каких либо результатах различных экспериментов по данной проблеме мы узнаем из статей журналистов в газетах, так как другие источники такой информации практически отсутствуют.

Из всего выше сказанного, можно сказать, что актуальность данной темы обусловлена возрастанием внимания к проблеме влияния компьютерных игр на агрессивное поведение подростков. Так как на данный момент в современном социуме всё более актуальной становится тема насилия и агрессии. В обществе как орудие в борьбе за преуспевание нередко культивируется агрессивность в открытой или замаскированной форме. Именно этой замаскированной формой и являются компьютерные игры. В личностных характеристиках подростков агрессивность формируется в основном как форма протеста против непонимания взрослых, из-за неудовлетворенности своим положением в обществе, что проявляется в агрессивном поведении. Возможно, для того чтобы уйти от реальности дети и втягиваются в компьютерные игры. Ведь там можно получить понимание взрослых и удовлетворение от своего положения, пусть и в виртуальном мире и не всегда добрыми делами. Именно поэтому основное зло для подростков видится в персональных компьютерах нового поколения. Так как обилие разнообразных игр завлекают подростков на длительное время.

И все же на протяжении пятнадцати лет ведется дискуссия. Существует ли неразрывная причинно-следственная связь между злом, созданным в фантазии (в игре), и злом реальным (Кристиан Бютнер) [9 смотр]. Однако в психологии проблема влияния склонности к компьютерным играм на формирование агрессивности как свойства личности изучено не достаточно. Хотя в свою очередь специалисты утверждают, что компьютерная зависимость - это явление страшнее наркомании, так как она ведет к наиболее тяжелым последствиям и самое главное от этой зависимости пока не существует лекарств.

Вследствие, этого целью данной дипломной работы является выявление особенностей и степени влияния компьютерных игр на агрессивное поведение подростков.

Гипотеза исследования состоит в предположении того, что склонность к агрессивным реакциям в подростковом возрасте находится в зависимости от влияния компьютерных игр. Если мы проведем коррекционную работу, то полагаем снизить уровень компьютерной зависимости и тем самым понизить уровень агрессивности у подростков.

Объект исследования - подростки в возрасте 11-15 лет, которые имеют компьютерную зависимость.

Предмет исследования - особенности влияния компьютерной зависимости на формирование агрессивности у подростков.

Исходя из постановленной цели, мы выдвинули следующие задачи:

. Изучение научно-теоретической и методологической литературы по теме исследования.

2. Изучить проблему степени влияния компьютерной зависимости на агрессивное поведение подростков.

. Подбор методик психологической диагностики агрессивности подростков.

. Выявление возможностей коррекции компьютерной зависимости и агрессивности подростков.

В дипломной работе использовались такие методики как:

·        Тест-опросник для установления компьютерной зависимости от компьютерных игр и интернет-игр;

·        "Личностная шкала проявления тревоги" (Дж. Тейлор, адаптация Т.А. Немчинова);

·        Диагностика состояния агрессии (опросник "Басса-Дарки");

·        "Не существующее животное";

·        Рисуночный тест изучения фрустрации по Розенцвейгу.

Базой исследования была выбрана Карабалыкская средняя школа №1 имени М. Горького. В общем, количество респондентов составляло 70 человек в возрасте 11-15 лет, из них была выделена для экспериментальной работы группа в количестве 16 человек, в ответах которых было 25% и более положительных ответов по методике "Тест-опросник для установления компьютерной зависимости от компьютерных игр и интернет-игр".

Теоретическая значимость исследования заключается в том, что была сделана попытка систематизации теоретических источников в связи с изучаемой проблемой влияния компьютерной зависимости на агрессивное поведение подростков. А так же была создана коррекционная программа способствующая снижению уровня компьютерной зависимости.

Практическая значимость заключается в том, что полученные в ходе исследования результаты могут быть использованы школьными психологами, педагогами, социальными работниками, родителям и т.д.

Методологической основой являются результаты исследований по проблеме влияния компьютерной зависимости на агрессивное поведение подростков (С.А. Завражин, Дж. Кэнтор, Д. Гроссман, К. Янг, А. Шень, Р.М. Грановской, Е.Е. Лысенко, Ю.С.Шевченко).

Структура дипломной работы состоит из введения, двух глав, выводов, рекомендаций, заключения, списка литературы и приложения.

1. Анализ психологической литературы по проблеме исследования компьютерной зависимости в подростковом возрасте

.1 Различные взгляды и подходы к проблеме компьютерной зависимости в подростковом возрасте

О компьютерной зависимости в последнее время стали много говорить. И все, же над этой темой работает небольшое количество специалистов (особенно в Казахстане). Это и понятно ведь данное явление достаточно молодое, многие и не задумываются о последствиях этой проблемы. Однако она уже успела всколыхнуть общественное мнение и ею, заинтересованы люди разных специальностей. От того данные и результаты их работ не однозначны. К примеру, многие специалисты в области психиатрии вообще выражают сомнение в существовании компьютерной зависимости или отрицают вред от этого явления.

Как известно термин "зависимость" определяет патологическое пристрастие субъекта по отношению к чему-либо или кому-либо. Это состояние неспособности к автономному функционированию в отсутствие внешнего объекта. В контексте нашей темы - это патологическое пристрастие человека к проведению длительного времени за компьютером. Так же к компьютерной зависимости можно отнести интернет-зависимость и игроманию, которые так или иначе связаны с компьютером.

На сегодняшний день определение "компьютерная зависимость" не признано на международном уровне и не внесено Американской Психиатрической Ассоциацией (АПА) (American Psychiatric Association, APA) в DSM-IV (DSM-IV-TR, Diagnostic and Statistical Manual of Mental Disorders, Fourth Edition, Text Revision, 2000) и в европейскую МКБ-10. Но есть намерения о внесении в DSM-V. Сегодня можно пользоваться моделью диагноза из DSM-IV - "патологическое влечение к азартным играм". Если следовать этой модели, то привыкание к Интернету можно определить как расстройство волевого контроля, не вызванное химическими веществами [10].

Изначально понятие "компьютерная зависимость" появилось в 1990 году. Многие специалисты психологии относят подобный вид зависимости к специфической эмоциональной "наркомании", вызванной техническими средствами. Компьютерная зависимость является одной из разновидностей аддитивного поведения и характеризуется стремлением уйти от повседневности методом трансформации собственного эмоционально-психического настроения. В этот момент человеком не только отбрасываются насущные заботы на задний план, но и затормаживается работа его психики, а чаще совсем прекращается индивидуально-личностное развитие. Таким образом, люди уходят от решения различных проблем в своей жизни [11].

Как утверждает заведующий отделением Центра охраны психического здоровья детей и подростков России А.Г. Мазур компьютерные игры, в большинстве случаев именно от них и происходит компьютерная зависимость, становятся мощнейшим дезадаптирующим фактором. Ребенок уже не может без них жить, формируется так называемое влечение, с которым сам он уже не способен справиться. Необходимо участие психологов, социальных работников, педагогов, а подчас и врачей, которые помогли бы ребенку выйти из этого состояния. Можно ли назвать это болезнью, пока не ясно, вопрос требует специального изучения. Но факт это то, что состояние компьютерной зависимости ребенка дезадаптирует. Подросток полностью отдаляется от социума, поскольку у него не остается других интересов, кроме игры. Она становится доминантой, как наркотик у наркомана [12].

Понятно, что люди, подверженные компьютерной зависимости, отличаются от людей, адекватно относящихся к компьютеру [13]. Следует отметить и тот факт, что не у всех людей имеется предрасположенность к компьютерной зависимости. Огромное воздействие компьютерные игры оказывают в первую очередь на подростков. Здесь сказывается личностная незрелость, так же есть и биологические причины задержки роста личности, и какая-то психическая неполноценность. Ю.С. Шевченко доктор медицинских наук, президент Фонда социальной и психической помощи семье и детям в одной из своих бесед с журналистами по данной проблеме говорит следующее: "Можно установить корреляцию видов зависимости с личностными особенностями. Скажем, психически неустойчивых подростков больше привлекает возможность сиюминутного получения удовольствия, информации и т.п. Подростков эпилептоидного плана разработчики компьютерных игр "подлавливают" на азарте, на увлечении материальной стороной жизни и, конечно, на агрессивности. Подросткам шизоидного типа, которые плохо приспосабливаются к реальности, предоставляется возможность фиктивного овладения иллюзорным миром. А приманка для истероидов - это общение в сети, когда они могут примерять на себя разные роли, представать в разных обличьях и таким образом пытаться изжить свои комплексы" [12].

С появлением признаков компьютерной зависимости стали проводиться различные исследования, результаты которых должны были дать ответы на несколько вопросов о том, как возникает компьютерная зависимость, в чем она выражается и как ее лечить. Данные исследования проводили зарубежные психологи М. Шоттон, Ш. Текл и К. Янг. [11]

Рассмотрим эти признаки:

• когда родители просят отвлечься от игры на компьютере, подросток выражает яркое нежелание делать это;

• если все же ребенка отвлекли от компьютера, то он становится очень раздражительным;

• ребенок не способен запланировать время, когда он закончит игру на компьютере;

• ребенок расходует много денег, чтобы обновлять программы на компьютере и приобретать все новые и новые игры;

• подросток забывает о домашних делах и обязанностях, об учебе;

• сбивается полностью график питания и сна, ребенок начинает пренебрегать своим собственным здоровьем;

• чтобы постоянно поддерживать себя в бодрствующем состоянии, подросток начинает злоупотреблять кофе и другими психостимуляторами;

• прием пищи происходит без отрыва от компьютера;

• когда ребенок начинает играть или работать на компьютере, он ощущает эмоциональный подъем;

• происходит постоянное общение с окружающими людьми на различные компьютерные темы;

• ребенок испытывает чувство эйфории, когда находится за компьютером;

• он предвкушает и продумывает со всеми подробностями свое последующее нахождение в мире компьютерной фантастики, что способствует улучшению настроения и захватывает все помыслы, много мечтает о том, как скоро он начнет играть.

Если говорить о характерных особенностях зависимостей различного типа, то ими являются: синдром абстиненции, стремление заполучить объект зависимости, поведение, направленное на приобретение объекта зависимости, снижение критического отношения к негативным сторонам зависимости, потеря интереса по отношению к социальной стороне жизни, внешнему виду, удовлетворению других потребностей.

Российский психолог Л.В. Ускова предложила следующие симптомы компьютерной зависимости могут быть психические и физические [10].

Психические признаки: "потеря контроля" над временем, проведенным за компьютером, намеренная ложь относительно времени проведенного за компьютером, невыполнение обещаний, утрата интереса к социальной жизни и внешнему виду, оправдание собственного поведения, раздраженное поведение при отвлекании от компьютера, избыточная агрессивность, социальная дезадаптация, деградация социальных связей, антисоциальное поведение и т.д.

Физические признаки: нарушения со стороны глаз (ухудшение зрения, дисплейный синдром, синдром "сухого глаза"), опорно-двигательного аппарата (искривление позвоночника, нарушения осанки, карпальный синдром), пищеварительной системы (нарушение питания, хронические запоры, геморрой). Как правило, люди, страдающие компьютерной зависимостью, пренебрегают сном и отдыхом, поэтому они страдают общим истощением организма - хронической усталостью. Некоторые из этих признаков могут возникнуть и у людей вовсе не страдающих компьютерной зависимостью, но которые вынуждены проводить долгое время за компьютером.

Так же группа психологов из "Службы компьютерного привыкания" при клинике McLean Гарвардского университета предложила свои симптомы компьютерной зависимости. Она отмечает следующие психологические и физические симптомы привыкания [14]:

· неспособность выйти из игры;

·        пренебрежение к семье и друзьям;

·        ложь о роде своих занятий на работе и в семье;

·        проблемы с учебой или работой;

·        кистевой туннельный синдром;

·        бесчувственность;

·        пренебрежение правилами личной гигиены;

·        расстройство сна или изменение поведения во сне.

Следует также отметить о существующей классификации стадий развития психологической зависимости от компьютерных игр, их четыре каждая из которых имеет свою специфику. Ее автор американский психолог М. Грифитс отмечает тот факт, что все теоретические выкладки основаны на изучении влияния ролевых компьютерных игр, однако возможность их распространения на другие игры и виды компьютерной деятельности не исключена [15].

. Стадия легкой увлеченности. После того, как человек один или несколько раз поиграл в ролевую компьютерную игру, он начинает "чувствовать вкус", ему начинает нравиться компьютерная графика, звук, сам факт имитации реальной жизни или каких-то фантастических сюжетов. Кто-то всю жизнь мечтал пострелять из ручного пулемета, кто-то - посидеть за рулем Ferrari или за штурвалом боевого истребителя. Компьютер позволяет человеку с довольно большой приближенностью к реальности осуществить эти мечты. Начинает реализовываться неосознаваемая потребность в принятии роли. Человек получает удовольствие, играя в компьютерную игру, чему сопутствуют положительные эмоции. Природа человека такова, что он стремится повторить действия, доставляющие удовольствие, удовлетворяющие потребности. Вследствие этого человек начинает играть уже не случайным образом, оказавшись за компьютером, стремление к игровой деятельности принимает некоторую целенаправленность. Однако специфика этой стадии в том, что игра в компьютерные игры носит скорее ситуационный, нежели систематический характер. Устойчивая, постоянная потребность в игре на этой стадии не сформирована, игра не является значимой ценностью для человека.

. Стадия увлеченности. Фактором, свидетельствующим о переходе человека на эту стадию формирования зависимости, является появление в иерархии потребностей новой потребности - игра в компьютерные игры. На самом деле новая потребность лишь обобщенно обозначается нами как потребность в компьютерной игре. На самом деле структура потребности гораздо более сложная, ее истинная природа зависит от индивидуально-психологических особенностей самой личности. Иными словами, стремление к игре - это, скорее, мотивация, детерминированная потребностями бегства от реальности и принятия роли. Игра в компьютерные игры на этом этапе принимает систематический характер. Если человек не имеет постоянного доступа к компьютеру, т.е. удовлетворение потребности фрустрируется, возможны достаточно активные действия по устранению обстоятельств, которые привели к данному состоянию.

. Стадия зависимости. По данным Шпанхеля, всего 9-13% игроков являются "заядлыми", т.е. предположительно находятся на стадии психологической зависимости от компьютерных игр. Эта стадия характеризуется не только сдвигом потребности в игре на нижний уровень пирамиды потребностей, но и другими, не менее серьезными изменениями - в ценностно-смысловой сфере личности. А.Г. Шмелев говорит о том, что происходит интернализация локуса контроля, изменение самооценки и самосознания. Зависимость может оформляться в одной из двух форм: социализированной и индивидуализированной.

Социализированная форма игровой зависимости отличается поддержанием социальных контактов с социумом (хотя и в основном с такими же игровыми фанатами). Такие люди очень любят играть совместно, играть с помощью компьютерной сети друг с другом. Игровая мотивация в основном носит соревновательный характер. Эта форма зависимости менее пагубна в своем влиянии на психику человека, чем индивидуализированная форма. Различие в том, что люди не отрываются от социума, не уходят "в себя"; социальное окружение, хотя и состоящее из таких же фанатов, все же, как правило, не дает человеку полностью оторваться от реальности, "уйти" в виртуальный мир и довести себя до психических и соматических нарушений.

Для людей с индивидуализированной формой зависимости такие перспективы гораздо более реальны. Это крайняя форма зависимости, когда нарушаются не только нормальные человеческие особенности мировоззрения, но и взаимодействие с окружающим миром. Нарушается основная функция психики - она начинает отражать не воздействие объективного мира, а виртуальную реальность. Эти люди часто подолгу играют в одиночку, потребность в игре находится у них на одном уровне с базовыми физиологическими потребностями. Для них компьютерная игра - это своего рода наркотик. Если в течение какого-то времени они не "принимают дозу", то начинают чувствовать неудовлетворенность, испытывают отрицательные эмоции, впадают в депрессию. Это клинический случай, психопатология или образ жизни, ведущий к патологии.

. Стадия привязанности. Эта стадия характеризуется угасанием игровой активности человека, сдвигом психологического содержания личности в целом в сторону нормы. Об отношения игромана с компьютером на этой стадии можно сказать следующее, человек "держит дистанцию" с компьютером, однако полностью оторваться от психологической привязанности к компьютерным играм не может. Это самая длительная из всех стадий - она может длиться всю жизнь, в зависимости от скорости угасания привязанности. Компьютерные игры имеют не большую историю, однако, случаев полного угасания зависимости единицы. Человек может остановиться в формировании зависимости на одной из предыдущих стадий, тогда зависимость угасает быстрее. Но если человек проходит все три стадии развития психологической зависимости от компьютерных игр, то на этой стадии он будет находиться длительное время. Определяющим здесь является тот факт, до какого уровня произойдет спад величины зависимости после прохождения максимума. Чем спад сильнее, тем меньше по времени будет угасать зависимость. Однако есть основания предположить, что полностью зависимость не пройдет никогда, но мы не можем подтвердить это экспериментально. Следует отметить также и такой факт, как возможное кратковременное возрастание игровой зависимости, вследствие появления новых интересных игр. После того, как игра "постигается" человеком, сила зависимости возвращается на исходный уровень [16]. Данная зависимость может возникнуть в любом возрасте, но наиболее подверженными этому являются подростки. Вслед за этим возникает вопрос: "В чем же причина компьютерной зависимости?".

По мнению директора Института реабилитации Национального Научного Центра наркологии Росдрава, доктора медицинских наук, профессора Т.Н. Дудко, к пусковым механизмам формирования игровой зависимости относятся [17]:

воздействие вещества (продукта) или вида активности, которые изменяют психическое состояние. Это алкоголь, наркотики (часто анаша, марихуана), никотин, первый выигрыш (удача, денежный куш), пища, секс, спорт;

систематическое использование психоактивных веществ или определенных видов аддиктивной (зависимой) деятельности для снятия психического и физического дискомфорта;

фрустрации (состояние психики, возникающее при крушении надежд; бессильная ярость), стрессы, переутомление с чувством дискомфорта, которые снимаются психоактивными веществами или определенными видами аддиктивной (зависимой) деятельности;

низкая устойчивость к фрустрациям, повышенная конфликтность, несдержанность и агрессивность, инфантилизм, дефицит внимания, склонность к депрессиям и рискованному поведению, эмоциональная неустойчивость, психопатии, акцентуации характера, страх одиночества и мучительное желание его избежать;

формирование зависимого стиля жизни взамен привычного (естественного) и индивидуального для каждого человека;

иррациональное мышление, неадекватная самооценка, ложные представления (постоянная вера в крупную удачу, предвкушение удовольствия от предстоящей игры, фантазии на эти темы и пр.);

способность вводить себя в состояние транса во время игры и т.д.

Рассматривая данную тему, врач-психиатр Р.М. Гусманов говорит о том, что "прежде всего компьютер дает все те эмоции, которые может, но не всегда дает ребенку жизнь. Это широчайший спектр - от положительных эмоций до отрицательных, таких как восторг, удовольствие, увлеченность, досада, гнев, раздражение. И все это можно испытать, не двигаясь с места! Есть и другой важный аспект: ребенок в игре получает власть над миром. Компьютерная мышка - как бы аналог волшебной палочки, благодаря которой, практически не прикладывая усилий, ты становишься властелином мира. У ребенка создается иллюзия овладения этим миром. Проиграв, он может переиграть, вернуться назад, что-то переделать, заново прожить неудавшийся кусок жизни. Это особенно засасывает детей, которые болезненно ощущают свою неуспешность, детей, которым в силу тех или иных причин не удается идти в жизни по пути, так сказать, "радостного взросления" [18] .

Игорь Спрейс, старший научный сотрудник лаборатории нейрофизиологии Иркутского института усовершенствования врачей, заметил тот факт, что "причина компьютерной зависимости - в том, что игрок получает только положительные эмоции, адреналин, а вместе с ними - мощный выброс в мозг гормона удовольствия. На ощущение счастья легко подсесть. Похожий процесс идет в мозгу наркомана. Не ест и не пьет человек потому, что гормон удовольствия сильно снижает потребности в этом. Даже обычный здоровый компьютерщик может просидеть трое суток перед компьютером на одном кофе" [19]. Директор Петропавловского филиала общественного фонда "Освобождение" Н. Ковальская также говорит о схожести компьютерной зависимости с наркоманией. "Механизм возникновения зависимости - один и тот же, не важно подсел ли человек на иглу, или игру, - считает она. - В любом случае причина кроется в каких-то глубинных психологических проблемах, с которыми человек, а подросток в первую очередь, не может справиться в одиночку. А игра дает азарт, дает адреналин и, кажется, проблемы отступают".[20]

.2 Проявление особенностей агрессивного поведения в подростковом возрасте

Подростковый возраст по своим особенностям один из самых сложных, периодов в онтогенезе и в то же время один из самых значимых периодов в жизни детей. В этом отрезке жизни человек начинает искать себя, экспериментирования в разных ролях - от дворового хулигана до примерного отличника, у него возникает огромное желание доказать свою взрослость и независимость от родителей, не смотря на то, что он очень раним и уязвлен.

Важным событием становится то, что в этот период происходит коренная перестройка ранее сложившихся психологических структур, но возникают новые образования, закладываются основы социального поведения, вырисовывается общая направленность в формировании нравственных представлений и социальных установок. С одной стороны возникает обесценивание прежде установившейся системы интересов и протестующий характер поведения по отношению к взрослым. С другой стороны, этот возраст отличается массой положительных факторов: возрастает самостоятельность ребенка, значительно более многообразным и содержательным становится его отношение с другими детьми и взрослыми, значительно изменяется и качественно расширяется сферы его деятельности, развивается ответственное отношение к себе, другим людям. Л.С. Выготский ключевой проблемой этого периода называл проблему интересов подростка, когда имеет место разрушение и отмирание прежних групп (доминант) интересов и развития новых. К ним он относил "эгоцентрическую доминанту" (интерес подростка к собственной личности), "доминанту дали" (доминирование широких интересов, устремлённых в будущее, над сегодняшними текущими интересами), "доминанту усилия" (тяга к сопротивлению, преодолению, волевым усилиям, что нередко проявляется в упрямстве, протесте, хулиганстве), "доминанту романтики" (стремление к неизвестному, рискованному, героическому). Появление новых интересов приводит к преобразованию старой и возникновению новой системы мотивов, что меняет социальную ситуацию развития подростка. Смена социальной ситуации развития ведёт к смене ведущей деятельности, результатом которой становится новые психологические новообразования подросткового возраста, к которому относят и самосознание личности [21].

Определение подросткового возраста в качестве пубертатного периода, где главную роль играет половое созревание, оно и другие изменения, связаны с развитием организма, оказывает свое влияние на психическое развитие. Тревожащие моменты в поведении подростка - такие как агрессивность, жестокость, повышенная тревожность принимают устойчивый характер обычно в процессе стихийно - группового общения, складывающегося в различных компаниях.

Многие современные психологи утверждают, что человек не рождается эгоистом или альтруистом, скромным или хвастуном, атеистом или религиозным - он становится таким (К. Матиак, Л. Ловелле, К. Андерсен). Ядром конфликтной ситуации, приведшей к нравственной деформации личности, является не биологические свойства, а негативное влияние социума, в котором живет подросток.

Современные дети живут в мире, сложном по своему содержанию и тенденциям социализации. Это связано с тем, что тип и ритм технико-технологических преобразований предъявляет все более новые требования к растущим людям. Подростки, в силу их слаборазвитой и уязвленной психики, больше других возрастных групп, страдают от нестабильности социальной, экономической и моральной обстановки в стране, потеряв сегодня необходимую ориентацию в ценностях и идеалах, - старые разрушены, новые - не созданы [22]. Многие подростки склоняются к мысли, что большинство взрослых обычно говорят неправду, что сейчас почти все живут по "закону джунглей": каждый сам за себя. На сегодняшний день общество через фильмы, книги, компьютерные игры, диктует жестокие правила жизни, не соблюдая которых человек становится слабым. Ведь для многих подростков типично умышленное подражание определенным манерам, как конкретных людей, так и тем стереотипам, которые предлагаются различными средствами информации. После этого мы удивляемся, почему наши дети становятся агрессивными.

Данные современной науки убеждают, что агрессивный подросток это, прежде всего обычный ребенок, которому свойственна нормальная наследственность. Черты и качества агрессивности он приобретает под воздействием ошибок, недоработок, упущений в воспитательной работе, сложностей в окружающей его среде. Агрессивность в личностных характеристиках подростка формируется в основном как форма протеста против не понимания взрослых, из-за неудовлетворенности своим положением в обществе, что проявляется в соответствующем поведении [23]. Так же могут влиять и природные особенности - его темперамент, например, возбудимость и сила эмоций, способствующие формированию таких черт характера как вспыльчивость, раздражительность, неумение держать себя. Подросток ищет выхода внутреннему напряжению.

В науке осуществлялись попытки типологии по раскрытию причин агрессивности подростков. При этом одни исследователи полагают, что необходимо базироваться на психодинамических различиях, другие берут за основу их особенности психосоциального развития.

Примером таких типологий являются следующие высказывания [24]:

П.П. Бельский, исходя из мотивации и поведения подростков, предложил:

·        Подростки, стремящиеся удовлетворить элементарные и низменные потребности.

·        Слабовольные дети, поддающиеся внушаемости.

·        Подростки, действующие под влиянием истории.

С.Я. Беличева выделила такие группы как:

·        Подростки глубоко педагогически запущены, их суждения примитивны, поверхностны их процессы внимания, запоминание ослабленное.

·        Дети характеризуются аффективными нарушениями, они раздражительны, озлобленны, гневливы, проявляются истеричные формы поведения.

·        Подростки развязные, конфликтные.

В западных работах выделяются две группы:

. Подростки с социализированными формами антиобщественного поведения - характерны эмоциональные расстройства.

. Дети, отличающиеся не социализированным агрессивным поведением - различные психические нарушения.

Безусловно, истоки агрессивности лежат в семье, отношения ее членов (ссоры, отторжение ребенка, его принуждения, в том числе наказанием, страхом), в меньшей мере со сверстниками, учителями [25].

Но не стоит отрицать и тот факт, что детей учит, то, что их окружает. К примеру:

Если ребенка часто критиковать - он учится осуждать.

Если ребенку часто демонстрировать враждебность - он учится драться.

Если ребенка часто высмеивают - он учиться быть робким.

Если ребенка часто позорят - он учится чувствовать себя виноватым.

Если к ребенку часто бывают, снисходительны окружающие - он учиться быть терпеливым.

Если ребенка часто хвалят - он учится оценивать.

Если с ребенком обычно честны - он учится справедливости.

Если ребенок живет с чувством безопасности - он учиться верить.

Если ребенка часто одобряют - он учится хорошо к себе относиться.

Если ребенок живет в атмосфере дружбы и чувствует себя нужным - он учится находить в этом мире любовь.

На основе наблюдений выделяют четыре группы определенного типа поведения подростков. Они разделены условно.

Первая группа: характеризуются устойчивым комплексом у подростков аномальных и аморальных, примитивных потребностей, стремление к потребительскому время препровождению, деформации ценностей и отношений. Эгоизм, равнодушие к переживаниям других, неуживчивость, отсутствие авторитета - являются типичными особенностями этих детей. Они эгоистичны, циничны, озлоблены, грубы, вспыльчивы, драчливы. В их поведении преобладает физическая агрессивность.

Вторую группу: составляют подростки с деформированными потребностями и ценностями. Обладая более широким кругом интересов, они отличаются обостренным индивидуализмом, желанием занять привилегированное положение за счет притеснения слабых, младших. Их характеризует импульсивность, быстрая смена настроений, лживость, раздражительность. У детей извращено представление о мужестве, о товариществе. Им доставляет удовольствие чужая боль. Стремление к применению физической силы проявляться у них ситуативно, в основном против тех, кто слабее.

Третью группу: подростков характеризует конфликт между деформированными позитивными потребностями, ценностями, отношениями, взглядами. Они отличаются односторонностью интересов, притворством, лживостью. Эти дети апатичные не стремятся к достижению успеха. В их поведении преобладает косвенная и вербальная агрессия.

В четвертую группу: входят подростки, которые отличаются слабодеформированными потребностями, но, в то же время, у них наблюдается отсутствие определенных интересов и весьма ограничен круг общения. Они безвольны, мнительны, заискивают перед более сильными товарищами. Для этих детей характерно трусливость, мнительность. В их поведении преобладает вербальная агрессия и негативизм [26].

Рост агрессивных тенденций в подростковой среде отражает одну из острейших проблем нашего общества, где за последние годы растет молодежная преступность, особенно преступность среди подростков [27]. При этом тревожит факт увеличения числа преступлений против личности, влекущие за собой тяжкие повреждения. Участились случаи групповых драк подростков, которые носят ожесточенный характер, чаще всего в них они отождествляют себя с компьютерными персонажами. Мало того дети снимают подобные случаи и распространяют их, объясняя это действие, как развлечение.

В свою очередь, агрессия и агрессоры всегда оценивались крайне отрицательно, как выражение антигуманизма, наличие культа грубости. Но имеются случаи, когда об агрессивных действиях говорят как об энергитично наступательных и дают им положительную окраску. Это обычно делается, если речь идет о спортивных состязаниях.

В подростковой жизни нередко встречаются формы насильственного поведения, определяемого в терминах "задиристость", "драчливость", "озлобленность", "агрессивность", "жестокость", "враждебность" [27].

Причины агрессии ребенка необходимо искать в общественном воспитании, в ценностях социума [28]. Наказание детей может способствовать как подавлению агрессии, так и ее стимуляции, включая овладение формами агрессивных действий. Ребенок учится, что сильный и старший может проявлять, демонстрировать агрессивные действия, кто сильнее, тот и прав. А такую информацию он черпает из окружающего его мира, тат как другого источника у него нет. Это общество учит детей быть агрессивными через жестокость и агрессивность в фильмах, компьютерных играх, СМИ. Подробнее о влиянии в частности компьютерных игр говорится в следующей главе.

.3 Влияние компьютерных игр на агрессивное поведение подростков

Общественность уже привыкла говорить о негативном влиянии алкогольной, табачной, наркотической зависимости, но теперь появилась еще одна - компьютерная. Речь идет даже не о пристрастиях к компьютерным программам, общении в интернете, а о массовом интересе к играм, которые полны насилия, агрессии и жестокости. И кто знает, к каким последствиям может привести современных подростков увлечения такими компьютерными играми.

В последнее время педагоги и родители стали замечать, что дети, часто играющие в компьютерные игры, становятся равнодушными к занятиям, к одноклассникам, ведут себя агрессивно, раздраженно. Главный врач Костанайского областного центра проблем формирования здорового образа жизни Н. Жаркова говорит так же о вреде компьютерной зависимости, она утверждает, что дети превращаются в односторонне развитых безликих людей [29].

На сегодня в общественном мнении утвердились две полярные точки зрения на агрессию в компьютерных играх и ее влияние на детей. Первая - "игры вредны", вторая - "игры полезны" [30].

Радикальные сторонники того что компьютерные игры негативно влияют на подростков утверждают, что "игры заставляют убивать", "виноваты в убийствах", более того, они представляют собой "стимуляторы убийства" (Д. Бака, Д. Томпсон, Д. Гроссман). Американский психолог Давид Гроссман отмечает, что открыто продавая жестокие игры, "мы приучаем детей убивать, так же как армия муштрует солдат. Телевидение скоро приравняет страдание и смерть к таким удовольствиям, как любимая газированная вода, шоколадка или духи. А видео- и компьютерные игры довершат зловещее образование, научат прицеливаться и стрелять, как учатся военные, тренируясь на мишенях. Таким образом, "прицелься" - "стреляй" превратится в инстинктивное движение в стрессовой ситуации".

Менее решительно настроенные исследователи отмечают, что компьютерные игры могут "повышать уровень агрессивности подростка", "приводить к выбору агрессивных стратегий поведения" (А.Сакамото, К. Дилл, К. Матиак, Л. Ловелле, К. Андерсен, И. Бурлаков).

Острота и актуальность первой точки зрения поддерживается рядом факторов. Во-первых, за последнее время в СМИ очень часто говориться о преступлениях, в которых виновны подростки-геймеры. А во-вторых, игры с сюжетами войн, гангстерских, мафиозных разборок способны укоренить и породить самые разные фобии (страхи), нарушения сна, неврозы, агрессию. Это и естественно ничему положительному такие игры привести не могут. Детский врач-психиатр Костанайской областной психиатрической больницы Т. Андрющенко о данной проблеме говорит следующее: "Я, как психиатр, могу сказать об однозначном вреде компьютерных "войнушек" для детской психики. Разве эта монотонная стрельба, погони могут вызвать у мальчишек другие чувства, кроме тяготения к культу насилия, жестокости, агрессии? Раньше дети воспитывались на добрых сказках с принцами, сегодня - на воинственных баталиях" [29]. Действительно ведь сегодня игровой рынок в основном заполнен агрессивными видеоиграми. Об этом говориться в работе А. Федорова "Школьники и компьютерные игры с экранным насилием", в ней был проведен анализ жестоких игр. Были получены следующие результаты [31]:

· практически все компьютерные игры, доступные посетителям компьютерных залов (а в основном - это подростки, молодежь до 18 лет), представляли собой интерактивное действие на криминальные, военные, фантастические и спортивные (например, автогонки) темы;

·        только 17,24% (15 из 87) компьютерных игр не содержали никаких сцен насилия;

·        55,17% (48 из 87) компьютерных игр включали в себя интерактивные сцены разнообразных убийств ("Doom", "Young Blood", "Final Doom" и др.);

·        39,08% (34 из 87) компьютерных игр основывались на интерактивных сценах драк (разной степени жестокости): "Kensei", "Hercules" и др.;

·        35,63% (31 из 87) компьютерных игр изображали интерактивные сцены катастроф ("X-COM", "Resident Evil" и др.);

В целом 82,75% (72 из 87) компьютерных игр обязательно содержали хотя бы один из видов экранного насилия (убийства, драки, катастрофы). В итоге, статистика исследований в разных странах находится приблизительно на одном уровне: 80-90% игр содержат виртуальное насилие.

Сторонники "пользы игр" полностью отвергают аргументы своих оппонентов. "Нет! - утверждает психоаналитик Микаэль Стора. - Обвинять игры - это искать "козла отпущения" вместо решения серьезных проблем. Игры могут спровоцировать активные действия у неуравновешенных людей, но не в состоянии превратить нормального подростка в убийцу". Представители этого подхода считают, что видеоигры не толкают детей на преступления, а, напротив, помогают выстроить отношения в жизни и учат эффективной командной работе, развивают ловкость, внимание и скорость реакции (Т. Райт, П. Бриденбах), исполняют роль сказок в современном мире (Г. Петрусь). Как показали исследования С. Шимаи, дети, чаще играющие в игровые приставки, более социализированы, чем их неиграющие сверстники [32]. При этом утверждается, что проведенные изыскания на тему обусловливания преступлений играми, малочисленны и спорны. Скотт Макдэниел, директор Sony Online Entertainment, когда ему предложили на упаковках игры делать надписи о ее потенциальной опасности, сказал: "Любым продуктом нужно пользоваться ответственно, ведь на автомобили не вешают предупреждения типа "Не дави людей". Во всем нужно знать меру, а тем, у кого есть дети, следует интересоваться, чем они занимаются". Таким образом, считают приверженцы этой позиции, "игровой продукт" не может иметь негативного влияния на психику подростка. А если что-то случается, то это результат семейной, педагогической запущенности и индивидуальных отклонений ребенка. "Ведь миллионы людей играют в "стрелялки", и никто после этого не берет оружие, начиная расстреливать все движущееся вокруг себя", - звучат справедливые замечания.

Стоит отметить, что указанные подходы несколько тенденциозны, и окончательно полагаться на них не имеет смысла. Те, кто пишет о "полезности" игр, как правило, проводят свои исследования на деньги крупных медиа-корпораций. Известно, что Sony спонсировало такие проекты. Игровая промышленность с оборотами только в США более 10 млрд. долларов в год вынуждена поддерживать имидж безопасности и полезности своей продукции. Не исключено, что именно из этих соображений появляются конъюнктурные научные исследования. Те же, кто говорит о "вреде игр" порой не могут быть названы беспристрастными. Хотя это и редкие случаи, но иногда стремление к научной сенсационности, терминологическим новшествам и саморекламе затушевывает проблему исследования, отводя ее на второй план. Полагаем, что предвзятость исследований как нельзя лучше характеризуется нежеланием слушать собственных оппонентов. Ведь куда более эффективным было бы не настаивать на однозначной вредности или полезности игр, а признать обе точки зрения взаимодополняющими.

Об этом как раз говорят сторонники третьего подхода, утверждающие, что компьютерные игры ни вредны, ни полезны. "Игры не обладают ни признаком вредности, ни признаком полезности, точно так же как и любой другой предмет. Ведь ножом можно отрезать лимон, а можно и зарезать старушку. И почему-то еще никому не пришло в голову запретить ножи. Дело не в предметах, а в том как, кем и с какой целью они используются" [33]. Указанная позиция характерна для многих научных исследований. Например, она прослеживается в диссертации о влиянии видеоигр на человека, защищенной Н. Йи (колледж Хэнфорд). Исследование предполагало изучение лиц играющих в "EverQuest". Примечательным является то, что Н. Йи выявил два противоречащих факта. С одной стороны, он отмечает "прямую корреляцию между временем, проводимым за игрой заядлыми игроками, и предрасположенностью к неврастении". Последняя характеризуется депрессией, раздражительностью, частыми переменами настроения. Но, вместе с тем, Н. Йи считает, что эта, же игра помогает человеку. "Такая среда, как EverQuest, помогает застенчивым или необщительным людям, - говорит он. - У них появляется возможность безбоязненно испытать новые ощущения. Им ничто не мешает поупражняться в красноречии или примерить на себя роль лидера. Особенно это касается тинэйджеров: они могут испробовать разные роли и манеры поведения в то самое время, когда в жизни для них это проблематично". Важный итог его работы - это утверждение о разноплановом влиянии игр, как вредном, так и полезном. А это означает только одно. Видеоигра не обладает устойчивыми ценностными характеристиками, как полагают представители двух первых подходов. Она должна изучаться в контексте социальных отношений с акцентом на частичную детерминацию подростковой агрессии, без придания играм статуса единственного источника преступлений.

На ряду с первой группой ученных власти многих стран также открыто признают негативное влияние жестоких компьютерных игр на детей. Иногда с критикой производителей игр выступают первые лица государства.

В Германии, перед выборами, глава Христианско-социального союза Штойбер в резких тонах потребовал запретить насилие в компьютерных играх. Канцлер Г. Шредер собирал круглые столы для обсуждения этой проблемы. Премьер-министр Латвии А. Калвитис в интервью Radio SWH заявил, что министерство по делам детей и семьи должно искать способы покончить с подростковым насилием, которое вызывают компьютерные игры. В Белоруссии власти также обеспокоены этой проблемой. Так, отдел образования горисполкома города Молодечно взял под постоянный контроль работу компьютерных клубов в городе [34]. Все это говорит о том, что проблема компьютерных игр признана официальными лицами разных стран.

Проблема жестоких игр актуальна и для Казахстана. Но если за рубежом к решению этой проблемы привлекаются значительные силы, то в нашей стране ситуация иная. Масштабы научной деятельности, направленной на изучение игрового насилия, в Казахстане и Западе несоизмеримы. Надо признать, что в Казахстане на данный момент она практически не ведется. Ограничиваются лишь заявлениями в СМИ. Так, прокурор Северо-Казахстанской области А.И. Жапаров заявил о необходимости обратить внимание на жестокие игры, поскольку "материалы ряда уголовных дел, способы и обстоятельства совершения преступлений подростками часто свидетельствуют о том, что взяты они из фильмов, компьютерных игр и других произведений" [35].

В психологии воздействие игр на психику объясняется теорий стимулирования. Теория стимулирования говорит о том, что игра влияет на человека и его сознание. В зависимости от качественной оценки этого влияния, исследователи разделяются на две группы (позитивная/негативная оценка).

Сторонники теории позитивного стимулирования стараются обнаружить все достоинства жестоких игр. В качестве основных доводов они используют учение о катарсисе и исследования об улучшении физических и социальных показателей людей, играющих в жестокие игры. Под катарсисом обычно понимают сопереживание игрока в процессе игры, завершающееся его духовным очищением и духовной разрядкой. К физической и социальной стимуляции относятся исследования на тему улучшения зрения у тех, кто играет в жестокие игры (Ш. Грин, Д. Бейвелир), повышения социализации (Т. Райт) и т.д.

Теория негативного стимулирования исходит из отрицательного воздействия жестоких игр на психику подростка. В настоящее время она представляет собой попытки изучения того, как игры влияют на агрессию и преступления.

а. Во-первых, это так называемый "Синдром Вельда" (А. Асмолов). Данный синдром развивается поэтапно. Сначала подросток играет в жестокие игры, "убивая" объект неприязни в виртуальном мире. Потом совершает убийство по-настоящему. Для реального убийства ему необходимо преодолеть психологический барьер. В это ему помогают жестокие игры. Они ориентируют сознание на допустимость такого поведения, пусть даже виртуального. Игра сама может стать формой поведения на время "заменяющего" реальную агрессию.

Таким образом, для "синдрома Вельда" характерен ряд особенностей. Во-первых, определенность объекта агрессии, когда ребенок понимает, кому он хочет причинить вред. Во-вторых, методичное воспроизведение агрессии направленной на реальный объект в символических формах игры. В-третьих, деформация сознания, переориентируемого посредством игровой деятельности на допустимость агрессивного поведения. В-четвертых, ситуация систематического вытеснения агрессии, порождающая психологические проблемы. Отметим, тем не менее, что "синдром Вельда" понятие спорное. И, если признать его факт, то необходимо помнить, что он всего, лишь составная часть тех процессов, в результате которых формируется мотивация убийства.

б. Еще одна попытка терминологически выразить влияние игр на агрессию была предпринята журналистами. Подобное влияние обозначили как "эффект Лары Крофт". Агрессия рассматривается здесь как прямое следствие жестокости игр. Первоначально негативный опыт приобретается в игре. В последующем он переноситься в реальность. Можно предположить, что, говоря об "эффекте Лары Крофт", журналисты подразумевают научение агрессии, когда "дети, которые часто сталкиваются с жестокостью в играх, с большой долей вероятности будут рассматривать насилие как эффективный способ решения конфликтов, а агрессивное поведение считать приемлемым" (Конгресс США). Агрессия в указанном случае есть результат научения.

в. Третий вариант был предложен психиатрами и обозначен как "синдром патологических игровых перевоплощений". Это значит, что человек идентифицирует себя с персонажем знакомой ему игры (виртуальной, реальной) и ведет себя подобающим образом. Явление это достаточно редкое. Оно характерно для людей страдающих шизофренией. На сегодня случаев перевоплощений игроков в персонажей жестоких игр не отмечалось. Тем не менее, исключить подобное нельзя. И.В. Макаров описал некоторые особенности указанного синдрома. "Для больных этой группы характерно наличие утверждений, что они являются каким-либо животным, сказочным персонажем или, реже, неодушевленным предметом. Подобная симптоматика, прежде всего, должна рассматриваться как бредоподобная в структуре патологического фантазирования и бредоподобных игровых перевоплощений" [36].

г. Возможен и четвертый вариант. Обозначим его как "феномен послеигровой жестокости". Он означает, что агрессивное поведение игрока обусловлено проявлением некоторых его личностных качеств в благоприятной ситуации. Таким образом, для агрессии необходимо 2 условия: 1) наличие определенных личностных качеств игрока, которые преимущественно выработались в процессе игровой практики (внутренние признаки) и 2) благоприятные условия (внешние признаки). Если первое условие развивает готовность к агрессии, то второе является ее катализатором.

Остановимся на внутренних признаках. Их несколько. Перечислим по порядку:

1) Предрасположенность к агрессии, т.е. склонность к совершению агрессивных поступков, имевшаяся до начала игровой практики. М. Чабанянц в работе "Психологические аспекты участия подростков в компьютерных играх и подростковая криминальная агрессия" перечисляет личностные факторы, которые, по его мнению, в сочетании с жестокими играми могут вызвать негативные последствия. Это дисгармоничность структуры личности, в виде сочетания обидчивости, обостренного самолюбия, сниженного порога фрустрации, негативизма и т.д. (характерные для проявления кризиса подросткового возраста). В исследованиях компании Gallup <#"879110.files/image001.gif">

Диаграмма 1

Таблица 2

Тест-опросник для установления компьютерной зависимости от компьютерных игр и интернет-игр

Испытуемые

Низкий уровень компьютерной зависимости

Средний уровень компьютерной зависимости

Высокий уровень компьютерной зависимости

Зависимость отсутствует

Р1


+



Р2

+




Р3


+



Р4

+




Р5




+

Р6



+


Р7



+


Р8


+



Р9

+




Р10

+




Р11


+



Р12

+




Р13


+



Р14

+




Р15

+




Р16

+




Итого

8

5

2

1


·        12,5% - имеют высокий уровень компьютерной зависимости;

·        31,3% - имеют средний уровень компьютерной зависимости;

·        50% - имеют низкий уровень компьютерной зависимости;

·        6,2% - компьютерная зависимость отсутствует.

Диаграмма 2

В результате из полученных данных, которые указаны в двух графиках мы получили следующие результаты (см. Диаграмму 3):

Диаграмма 3

Из данного графика можно сделать следующие выводы. В результате проведенной коррекционной работы количество испытуемых с отсутствием компьютерной зависимости повысилось на 6,2%, количество испытуемых с низким уровнем повысилось на 37,5%, в то время как количество испытуемых с высоким уровнем компьютерной зависимости понизилось на 18,8%, соответственно число испытуемых со средним уровнем понизилось на 24,3%.

При анализе данных по тревожности испытуемых подростков до коррекционной (см. Таблицу 3) и после коррекционной (см. Таблицу 4) работы, мы получили следующие результаты.

Таблица 3

Личностная шкала проявления тревоги (Дж. Тейлор, адаптация Т.А. Немчинова)

Испытуемые

Очень высокий уровень тревоги;

Высокий уровень тревоги

Средний (с тенденцией к высокому) уровень тревоги

Средний (с тенденцией к низкому) уровень тревоги

Низкий уровень тревоги

Р1



+



Р2




+


Р3



+



Р4


+




Р5





+

Р6

+





Р7


+




Р8



+



Р9




+


Р10



+



Р11


+




Р12





+

Р13


+




Р14





+

Р15



+



Р16




+


Итого

1

4

5

3

3


·        6,25% - очень высокий уровень тревоги (ОВУТ);

·        25% - высокий уровень тревоги (ВУТ);

·        31,25% - средний (с тенденцией к высокому) уровень тревоги (СУТ1);

·        18,75% - средний (с тенденцией к низкому) уровень тревоги (СУТ2);

·        18,75% - низкий уровень тревоги (НУТ).

Диаграмма 4

Таблица 4

Личностная шкала проявления тревоги (Дж. Тейлор, адаптация Т.А. Немчинова)

Испытуемые

Очень высокий уровень тревоги;

Высокий уровень тревоги

Средний (с тенденцией к высокому) уровень тревоги

Средний (с тенденцией к низкому) уровень тревоги

Низкий уровень тревоги

Р1



+



Р2





+

Р3





+

Р4



+



Р5





+

Р6

+





Р7


+




Р8




+


Р9






Р10




+

+

Р11


+




Р12





+

Р13


+




Р14





+

Р15




+


Р16





+

Итого

1

3

2

3

7


·        6,25% - очень высокий уровень тревоги (ОВУТ);

·        18,75% - высокий уровень тревоги (ВУТ);

·        12,5% - средний (с тенденцией к высокому) уровень тревоги (СУТ1);

·        18,75% - средний (с тенденцией к низкому) уровень тревоги (СУТ2);

·        43,75% - низкий уровень тревоги (НУТ).

Диаграмма 5

Чтобы проследить изменения уровня тревожности после коррекционной работы нужно сравнить график 4 и график 5 (см. График 6).

Диаграмма 6

Итак, можно сделать следующие выводы: очень высокий уровень тревоги остался без изменений - 6,25%, высокий уровень тревоги понизился на 6,25%, средний (с тенденцией к высокому) уровень тревоги понизился на 18,75%, средний (с тенденцией к низкому) уровень тревоги остался без изменений 18,75%, а вот низкий уровень тревоги повысился на 25%.

Для выявления уровня агрессивности учащихся мы использовали методику диагностики показателей и форм агрессии А. Басса и Д. Арки. Из полученных данных по результатам, которые были получены до коррекционной (см. Таблицу 5) и после коррекционной (см. Таблицу 6) работы можно сделать следующие выводы:

Таблица 5

Методика диагностики показателей и форм агрессии А. Басса и Д. Арки

Испытуемые

Физическая агрессия

Вербальная агрессия

Косвенная агрессия

Негативизм

Раздражительность

Подозрительность

Обида

Чувство вины,

Р1

В

В

В

С

В

С

С

Р2

В

В

С

Н

В

С

Н

В

Р3

В

С

Н

В

С

С

Н

В

Р4

С

С

В

В

В

В

С

Н

Р5

Н

В

С

С

Н

Н

В

В

Р6

В

В

В

В

В

В

С

С

Р7

В

Н

В

В

В

С

Н

Н

Р8

В

В

С

С

В

Н

С

В

Р9

В

С

Н

В

С

С

Н

С

Р10

В

С

Н

В

Н

Н

С

Н

Р11

В

С

В

Н

Н

В

В

С

Р12

С

В

С

С

С

С

С

Н

Р13

В

С

В

С

С

С

Н

С

Р14

Н

В

С

Н

С

Н

Н

С

Р15

С

С

В

В

В

В

С

Н

Р16

В

В

С

Н

В

Н

Н

Н

Высокий

68,8%

50%

43,8%

43,8%

50%

25%

12,4%

25%

Средний

25%

43,8%

37,5%

31,2%

31,2%

43,8%

43,8%

37,5%

Низкий

6,2%

6,2%

18,7%

25%

18,8%

31,2%

43,8%

37,5%


Таблица 6

Методика диагностики показателей и форм агрессии А. Басса и Д. Арки

Испытуемые

Физическая агрессия

Вербальная агрессия

Косвенная агрессия

Негативизм

Раздражительность

Подозрительность

Обида

Чувство вины

Р1

С

В

В

Н

В

С

Н

Н

Р2

С

С

Н

Н

С

С

Н

С

Р3

В

Н

Н

В

Н

Н

Н

С

Р4

Н

Н

В

С

С

С

С

Н

Р5

Н

В

Н

Н

Н

Н

В

С

Р6

В

С

С

В

С

В

Н

С

Р7

В

Н

В

С

В

С

Н

Н

Р8

Н

С

С

Н

В

Н

С

В

Р9

Н

Н

Н

С

Н

С

Н

Н

Р10

С

Н

Н

Н

Н

Н

С

Н

Р11

В

С

С

Н

Н

В

В

С

Р12

Н

В

Н

С

С

С

С

Н

Р13

В

Н

С

Н

С

Н

Н

С

Р14

Н

В

Н

Н

Н

Н

Н

С

Р15

Н

С

С

В

В

С

С

Н

Р16

С

В

Н

Н

Н

Н

Н

Н

Высокий

31,3%

31,3%

18,7%

18,7%

25%

12,6%

12,6%

6,3%

Средний

25%

31,3%

31,3%

25%

31,3%

43,7%

31,3%

43,7%

Низкий

43,7%

37,4%

50%

56,3%

43,7%

43,7%

56,1%

50%


С помощью полученных результатов по таблицам 5 и 6, можно сказать, что высокие уровни по всем шкалам в среднем понизились на 32,84%, средние уровни так же понизились, но на 8,6%, а вот низкие уровни повысились на 24,9%.

Для диагностики личности подростка, был проведен проективный тест "Несуществующее животное" и получены следующие результаты личностных качеств:

Результаты до коррекционной работы:

1)      Заинтересованность в информации о себе - 2,9%

)        Страх - 3,58%

)        Отношение к внешности - 1,27%

)        Вербальная агрессия - 2,02%

)        Основательность, обдуманность - 1,51%

)        Самостоятельность - 0,76%

)        Эгоцентризм - 1,27%

)        Конформность суждений и банальность - 0,76%

)        Агрессивность - 5,04%

)        Болтливость - 1,95%

)        Желание обратить на себя внимание - 2,5%

)        Конкуренция - 2,3%

)        Проявление шизоидности - 0,51%

)        Положительно оценивают свои действия - 1,05%

)        Недовольство собой - 1,76%

)        Защита от окружающих - 1,51%

Результаты после коррекционной работы:

.        Заинтересованность в информации о себе - 1,9%

.        Чувственность - 1,06%

.        Страх - 2,5%

.        Отношение к внешности - 1%

.        Вербальная агрессия - 1,9%

.        Основательность, обдуманность - 1,02%

.        Самостоятельность - 1,25%

.        Эгоцентризм - 1,05%

.        Конформность суждений и банальность - 0,76%

.        Агрессивность - 4%

.        Болтливость - 1%

.        Желание обратить на себя внимание - 1,25%

.        Конкуренция - 2%

.        Проявление шизоидности - 0,24%

.        Положительно оценивают свои действия - 2,25%

.        Недовольство собой - 1%

.        Защита от окружающих - 2%

При сравнении результатов до и после коррекционной работы можно сделать следующие выводы (см. Таблицу 7).

Таблица 7

Несуществующее животное

Личностные качества

Уровень понизился на (%)

Уровень остался без изменений

Уровень повысился на (%)

Заинтересованность в информации о себе

1



Чувственность

0,98



Страх

1,98



Отношение к внешности

0,27



Вербальная агрессия

0,12



Основательность, обдуманность

0,49



Самостоятельность



0,49

Эгоцентризм

0,22



Конформность суждений и банальность


+


Агрессивность

1,04



Болтливость

0,95



Желание обратить на себя внимание

1,25



Конкуренция

0,3



Проявление шизоидности

0,27



Положительно оценивают свои действия



1,2

Недовольство собой

0,76



Защита от окружающих



0,49


Для выявления степени агрессивности нами был использован "Рисуночный тест изучение фрустрации по Розенцвейгу".

Полученные результаты до коррекционной (см. Таблицу 8) и после коррекционной (см. Таблицу 9)работы следующие:

Таблица 8

Рисуночный тест изучение фрустрации по Розенцвейгу

Испытуемые

Средняя агрессия

Низкая агрессия

Высокая агрессия

Неадекватность по отношению к фрустрации

Излишняя фрустрационная нагруженность, подверженность фрустрации

Р1

+




+

Р2



+


+

Р3

+



+


Р4



+

+


Р5

+



+


Р6

+



+


Р7





+

Р8

+



+


Р9



+


+

Р10



+


+

Р11

+




+

Р12



+


+

Р13

+




+

Р14


+



+

Р15



+

+


Р16



+

+


Итого

6

1

9

7

9


·        56,25% - высокий уровень агрессии;

·        37,5% - средний уровень агрессии;

·        6,25% - низкий уровень агрессии.

Диаграмма 7

Таблица 9

Рисуночный тест изучение фрустрации по Розенцвейгу

Испытуемые

Умеренная агрессия

Низкая агрессия

Высокая агрессия

Неадекватность по отношению к фрустрации

Излишняя фрустрационная нагруженность, подверженность фрустрации

Р1

+




+

Р2


+



+

Р3

+



+


Р4



+

+


Р5


+


+


Р6



+

+


Р7



+


+

Р8

+



+


Р9

+




+

Р10


+



+

Р11

+



+


Р12



+


+

Р13

+



+


Р14


+



+

Р15



+

+


Р16

+



+


Итого

7

4

5

9

7


·        31,25% - высокий уровень агрессии;

·        43,75% - средний уровень агрессии;

·        25% - низкий уровень агрессии.

Диаграмма 8

Учитывая данные до коррекционной работы (см. Диаграмму 7) и после коррекционной (см. Диаграмму 8) получим следующие результаты (см. Диаграмму 9):

Диаграмма 9

По данным графика 9 можно сказать, что высокий уровень агрессии снизился на 25%, средний уровень понизился на 6,25%, а низкий уровень повысился на 18,75%.

Для математической обработки полученных результатов, воспользуемся методом ранговой корреляции Спирмена, он позволит определить силу и направленность корреляционной связи между двумя признаками.

Но сначала обобщим полученные результаты полученные после коррекционной работы.

Исходя из анализа проведенных методик: методика диагностики показателей и форм агрессии А. Басса и Д. Арки, "Рисуночный тест изучение фрустрации по Розенцвейгу", мы можем обозначить 3 уровня агрессивности (см. Диаграмму 10):

Высокий - 28,1% (4 человека);

Средний - 32,8% (5 человек);

Низкий - 39,1% (7 человек).

Диаграмма 10

Исходя из анализа тест-опросника для установления компьютерной зависимости от компьютерных игр и интернет-игр, выявлены 4 уровня компьютерной зависимости (см. Диаграмму 11)

Высокий - 12,5% (2 человека);

Средний - 31,3% (5 человек);

Низкий - 50% (8 человек);

Зависимость отсутствует - 6,2% (1 человек).

Диаграмма 11

Также мы можем выделить 3 уровня шкалы тревожности (см. Диаграмму 12):

Высокий - 25% (4 человека);

Средний - 31,25% (5 человек);

Низкий - 43,75% (7 человек).

Диаграмма 12

Подсчитаем ранговую корреляцию между уровнем компьютерной зависимости и уровнем агрессивности подростков.

Сформулируем гипотезы:

Н0 - Корреляция между уровнем компьютерной зависимости и уровнем агрессивности подростков не отличается от 0.

Н1 - Корреляция между уровнем компьютерной зависимости и уровнем агрессивности подростков значительно отличается от 0.

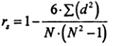
Коэффициент ранговой корреляции Спирмена подсчитывается по формуле:

 (1)

где d - разность между рангами по двум переменным;- количество ранжируемых значений (количество испытуемых).

Мы получили эмпирическое значение rs = 0,8

Критическое rs = 0,63

эмп.> rs крит.

Следовательно, Н0 отвергается.

Мы получили корреляционную зависимость со знаком "+", это значит, что при возрастании значений одной переменной будут возрастать значения второй переменной и наоборот. Т.е. чем будет выше уровень компьютерной зависимости, тем выше будет уровень агрессивности подростков и, наоборот, чем ниже уровень компьютерной зависимости, тем ниже у подростков будет уровень агрессивности.

Подсчитаем ранговую корреляцию между уровнем компьютерной зависимости и уровнем тревожности.

Сформулируем гипотезы:

Н0 - Корреляция между уровнем компьютерной зависимости и уровнем тревожности подростков не отличается от 0.

Н1 - Корреляция между уровнем компьютерной зависимости и уровнем тревожности подростков значительно отличается от 0.

Подсчитаем эмпирическое значение rs =0,7

Критическим значением rs = 0,57

эмп. > rs крит.

Следовательно, Н0 -отвергается. Мы получили корреляционную зависимость со знаком "+", это значит, что при возрастании значений одной переменной будут возрастать значения второй переменной и наоборот. Т.е. чем будет выше уровень компьютерной зависимости, тем выше будет уровень тревожности подростков и, наоборот, чем ниже уровень компьютерной зависимости ,тем ниже у подростков будет уровень тревожности.

.3 Коррекционная программа по снижению компьютерной зависимости у подростков

Этапы

Цели

Время проведения

Формы работы




Кол-во дней

Кол-во часов


1

Организационный

Установление контакта, сплочение коллектива

2

4

Тренинговые упражнения

2

Основной

Снижение уровня компьютерной зависимости

5

10

Тренинговые упражнения

3

Заключительный

Формирование умения эмоционального контроля

1

2

Лекция-беседа

Примечание: Срок проведения коррекционной программы 1 месяц по 2 раза в неделю.

Содержание программыэтап: Организационный

Для достижения цели данного этапа, а именно установления контакта и сплочение коллектива были предложены следующие методики.

День первый:

. Знакомство. Упражнение "Неужели это я?". По кругу передается пакет с различными небольшими предметами. Каждый участник достает один предмет. Затем участник называет свое имя и пытается найти сходство между доставшимся ему предметом и собой.

. "Подъем". Это упражнение заключается в том, что ученики должны не договариваясь, понять друг друга. Они встают в ряд плечо к плечу и смотрят строго вперед. Задача ребят, не договариваясь вставать в том количестве участников, какую цифру называет ведущий. Ребята должны без переговоров понять, что вставать нужно тем, кто стоит в начале, поняв это, они без труда справятся с заданием и в дальнейшем будут лучше понимать друг друга.

. "Паутина". Ребята встают в круг плечо к плечу и беспорядочно берутся за руки (спутываются). Их задача: не расцепляя рук, распутаться и образовать "хоровод".

. Рефлексия. "Свечка". Ребята садятся в круг, передают свечку друг другу и высказывают мнение о тренинге, рассказывают, что нового они узнали об участниках тренинга. В завершении все аплодируют друг другу и благодарят за проведенный день.

День второй:

. "Представь друга". Участникам предлагается образовать пары. После этого каждый участник опрашивает своего партнера в течении нескольких минут, стараясь собрать как можно больше информации о нем. Потом происходит смена ролей в парах.

Для того, чтобы лучше структурировать процедуру, ведущий может предложить участникам макет вопросника, который они могут использовать в процессе сбора информации.

После истечения времени участники возвращаются в круг, и каждый представляет своего партнера, рассказывая о том, что ему удалось о нем узнать. По окончании представляемому участнику дается возможность исправить неточности, добавить или разъяснит некоторые моменты, а также ответить на вопросы, заданные группой.

. "Живой шрифт". Участникам, объединенным в команды по9-10 человек, предлагается коллективно придумать, как можно создать и продемонстрировать "живой шрифт", в котором участники телами изображали бы каждую из букв алфавита. Потом каждой из подгрупп предлагается продемонстрировать получившийся у нее "шрифт". Команда, у которой "шрифт" получился наиболее четким, объявляется победителем.

. "Круг". Участники закрывают глаза и начинают хаотично перемещаться по помещению, издавая при этом гудение, как потревоженные пчелы (что позволяет избежать разговоров). По условному сигналу ведущего все останавливаются в тех положениях, где их застал сигнал, после чего пытаются встать в круг, не открывая глаз и не разговаривая, можно только трогать друг друга руками. Когда все занимают свои места и останавливаются, ведущий подает повторный условный сигнал, по которому участники открывают глаза. Как правило, построить идеально ровный круг не удается, вместо него получается какая-нибудь другая фигура, форму которой целесообразно нарисовать на бумаге и показать участникам при обсуждении.

4. "Ниточка и иголочка". Игра направлена на формирование сплоченности группы, умения согласовывать свои действия с действиями других, достигать группового успеха за счет слаженных индивидуальных усилий. Эта игра дает возможность участникам обнаружить, проявить, а при регулярном обращении к ней развить и сформировать в себе следующие качества:

·        контактность,

·        организованность и собранность, логику и сообразительность,

·        быстроту реакции.

Игра проходит среди учащихся всего класса. Особенностью является то, что лучшее место для ее проведения - спортивная площадка на улице или спортивный зал.

Никаких особенных реквизитов для проведения этой игры не нужно, необходима только фантазия. Продолжительность игры - 20 минут.

Вначале по команде выбираются иголочки, желательно, чтобы это были менее активные дети. Тогда им удастся побыть в роли ведущего, лидера и понять, хотя бы в игре, что от них что-то да зависит. Затем к иголочкам прикрепляются ниточки. Желательно, чтобы количество детей в ниточке у каждой иголочки было одинаково, хотя может быть любое.

Детям предлагается по команде ведущего начинать движение. Задача участников не отцепиться друг от друга, иначе ниточка порвется. Задача иголочки не пересекаться с другими иголочками, так как можно уколоть друг друга. Движения ведущих произвольны.

Эту игру можно усложнять. Тогда, чтобы отследить движения игроков, желательно участие не одного, а большего числа ведущих.

Иголочкам предлагается двигаться не просто, а преодолевая различные препятствия. Кроме того, можно менять "иголочки".

Примерные препятствия:

·        грибы, которые нужно собрать в лукошко;

·        большая гора, которую нужно обойти;

·        самолет, летящий в небе, от звука которого нужно закрыть уши и посмотреть на небо от любопытства;

·        речка, которую можно только переплыть;

·        ежик, которого так хочется потрогать, а он колючий;

·        ручеек, из которого хочется попить водички; пенек, на который можно присесть - отдохнуть от долгой дороги.

По окончании игры дети сами проводят анализ, выделяя наиболее крепкую ниточку, наиболее размышляющую иголочку.

. Упражнение на завершение: "Аплодисменты". Участникам предлагается встать в круг, один из желающих выходит в центр круга, а остальные ему бурно аплодируют. Они продолжают это делать ровно столько, сколько он захочет. Он благодарит группу (говорит спасибо, кланяется и т.д.) и возвращается в круг. После этого выходит следующий участник.этап: Основной

Целью данного этапа является снижение уровня компьютерной зависимости. Так как это основной этап коррекционной работы он состоит из 5 дней по 2 часа в среднем на каждое занятие.

День первый:

.Упражнение на снятие напряженности :"Колечко".

Оборудование: на роль колечка хорошо подходит сердечник от изоленты, для детей можно использовать что-то яркое, например, заколку.

Группа выходит из комнаты. Ведущий размещает колечко в комнате так, чтобы оно было в поле зрения участников. Например, повесить на гвоздик, надеть на горлышко бутылки, положить на стол, где и так куча всяких предметов, заколку можно приколоть к занавеске. Группа заходит в комнату и молча ищет колечко.

Нашедший молча и никоим образом не показывая виду, что он нашел, садится на свое место. Чем меньше остается ищущих, тем сложнее найти предмет. Последнему приходится совсем тяжело.

. "Что важнее". Участникам тренинга дается следующая инструкция: задайте себе вопрос о том, что важнее для вас: реальный мир или виртуальный. Подумайте над ответом, потому что от этого ответа многое зависит. Если вам важен реальный мир, то почему тогда так много времени тратите на виртуальный? Напишете на бумаге все, что вас привлекает в виртуальном мире и чего вы, можете бояться в реальном мире. Прочитайте эти ответы и сделайте свои замечания, выскажите свое мнение по уже готовым ответам. Иногда дать ответ "согласен" или "не согласен" гораздо проще, чем дать развернутый ответ самостоятельно.

. "Самогипноз". Инструкция: нужно нарисовать от руки страшное существо, сидящее за компьютером, и перечеркнуть весь рисунок ярким красным цветом. Повесить его на самое видное место как предостерегающий рисунок. Рядом повесьте еще один лист бумаги, на котором нарисован нормальный человек, можно даже повесить свою любимую фотографию. Затем внимательно посмотрите на оба рисунка и определите, какой из них должен быть примером для подражания, а какой - нет. Хороший рисунок (свою фотографию) мысленно зарядите потоком мощной положительной энергии, при этом можно даже вслух говорить фразы "Я хочу быть таким", "Я смогу стать таким", и т.д. А на отрицательный пример выплесните всю негативную энергию, для того, чтобы в будущем он вас сам отталкивал и внушал недоверие и отвращение. Подсознательно вы сами будете себя контролировать, глядя на эти рисунки. (Продолжать данное упражнение тренер задает как домашнее задание.)

. Рефлексия. Каждый высказывает свои впечатления по проведенным упражнениям.

День второй:

1. Упражнение "Прекрасный ужасный рисунок". Участники делятся на две группы. Каждой группе дается по листу бумаги и по одному фломастеру. Первый участник создает "прекрасный" рисунок и передает его соседу справа. Тот в течение 30 секунд превращает "прекрасный" рисунок в "ужасный" и передает следующему человеку, который должен снова сделать рисунок "прекрасным". Так лист проходит весь круг. Рисунок возвращается первому автору.

. Упражнение "Я и мой жизненный путь". Упражнение заключается в составлении и изучении (хронологии) своей жизни в контексте истории своей семьи. В этом так называемом отчете можно отразить все изменения, которые можно считать значимыми и которые оказывали влияние на человека. Для того чтобы не отвлечься от главной задачи, используется методика "вопрос-ответ". Например, можно использовать такие вопросы: как характеризовался человек в школьные. Как окружающие люди относились к конкретным поступкам этого человека? Можно задавать другие вопросы, которые могли бы оказать помощь в составлении характеристики. Будет лучше, если вопросы будет задавать каждый присутствующий по очереди, так "больной" сможет отвечать спокойно, зная заранее, что его не станут засыпать кучей вопросов со всех сторон. Важно отметить также и изменение его самочувствия, внешних признаков психологического состояния. Нельзя забывать и о мнении самого "больного", большое значение имеет его личное отношение к жизни, к конкретной ситуации.

. Упражнение "Избавление от негативных эмоций". Это упражнение поможет снять нервное напряжение и избавиться от негативных эмоций. Такое упражнение состоит из нескольких шагов. Это упражнение желательно выполнять совместно с человеком, зависимым от компьютера, своим примером показывая, как можно избавляться от плохого настроения, таких негативных эмоций, как ярость, гнев, злость. Чаще всего это упражнение состоит из нескольких шагов.

Закрыв глаза и расслабившись, можно представить себе картину, которая должна напоминать реальную негативную ситуацию. Можно абстрагироваться от самого себя в этой ситуации и посмотреть на свои действия как бы со стороны. Следующим шагом необходимо попытаться оценить собственные действия и поступки, дать адекватную оценку своему "двойнику". Прокручивая негативную ситуацию повторно, но уже со стороны, как наблюдатель, а не участник, человек может увидеть то, что не видел, находясь в гуще событий. Таким образом, можно мысленно исправлять ситуацию так, как это хочется самому человеку. А когда все идет именно так, то и настроение будет постепенно исправляться в лучшую сторону. Такое упражнение можно применять перед сном, для того чтобы избавиться от плохого настроения. Особенно это полезно людям с неустойчивой психикой и легко возбудимым.

. Рефлексия. Каждый высказывает свои впечатления по проведенным упражнениям.

День третий:

1. Упражнение "Бумажные мячики" или "Снежки".

Материалы: Старые газеты или что-то подобное; клейкая лента, которая будет обозначать разделительную линию.

Цель: разрядить обстановку, наладить контакт.

Ход упражнения: Все берут по большому листу газеты, как следует комкают его и делают хорошие, достаточно плотные мячики. Участники делятся на две команды, и каждая выстраивается в линию. Расстояние между командами должно составлять примерно 4 метра. За делительную линию перебегать нельзя. По команде ведущего игроки бросают свои мячи на сторону противника. Смысл в том, чтобы как можно быстрее забросить мячи, оказавшиеся на своей стороне, на сторону противника. Услышав команду "Стоп!", игра прекращается. Выигрывает та команда, на чьей стороне оказалось

. Упражнение "Создание линии времени". Данное упражнение направлено на составление "вероятной линии жизни", которая будет составляться из событий прошлых лет, планироваться из того, что есть на данный момент. При этом необходимо описать каждый возможный вариант событий. Например, если человек, подверженный компьютерной зависимости, будет продолжать жить так, как живет на данный момент, то его будущая жизнь может сложиться так, а если он изменит свое отношение к компьютеру, то его жизнь может быть вот такой, т.е. надо создать что-то наподобие алгоритма вероятных событий жизни человека. Составление такого алгоритма дает возможность рассмотреть все возможные варианты будущего конкретного человека. Все полученные результаты должны быть рассмотрены вместе с "больным". Надо добиться того, чтобы он понял, как может сложиться его дальнейшая жизнь. Взрослого человека сложно убедить в рациональности такого подхода, но все, же желание родственников может стать решающей силой в противостоянии интернетной и компьютерной зависимости.

. Упражнение "Работа с беспокойством". Главный козырь этого упражнения - это самовнушение, которое помогает регулировать свое состояние в зависимости от того, каких результатов необходимо достичь. Например, перед выступлением в большой аудитории человек может решить, как он будет себя вести, что будет говорить, где будет стоять и как, будет реагировать на вопросы, которые вызывают у него беспокойство. Выстроив, таким образом, свое "виртуальное" поведение, можно добиться того, что уровень стрессового состояния и беспокойства значительно снизится. Это упражнение можно использовать не только перед выступлениями, но и в любой другой жизненной ситуации. Например, в случае, когда человек вынужден не по своей воле жить длительное время без компьютера.

. Рефлексия. Каждый высказывает свои впечатления по проведенным упражнениям.

День четвертый:

1. Упражнение: "Конкурс хвастунов". Участники тренинга садятся в круг, тренер объявляет: "Сегодня мы с вами проведем конкурс хвастунов. Выиграет тот, кто лучше похвастается. Но хвастаться мы будем не собой, а своим соседом. Ведь это так приятно и так почетно - иметь самого лучшего соседа. Посмотрите внимательно на того, кто сидит справа от вас. Подумайте, что в нем есть хорошего, какие добрые поступки он совершил, чем может понравиться. Не забывайте, что это конкурс, и выиграет тот, кто найдет в своем соседе больше достоинств". Такая организация игры вызывает даже у замкнутого или враждебно настроенного ребенка интерес к сверстнику и желание найти у него хорошие черты.

. Упражнение "Работа с привязанностью". Избавиться от компьютерной и Интернет-зависимости (или хотя бы снизить уровень зависимости) можно с помощью этого упражнения. Можно представить свою зависимость в виде нити, ленты. Затем необходимо попытаться представить, с кем может связывать эта лента-привязанность, что может произойти с человеком, если эту ленту-привязанность разорвать или же оставить, как есть. Кроме того, для ленты-привязанности необходимо провести экологическую проверку, т.е. решить, что может произойти в случае, когда интернет-зависимость будет побеждена. Не будет ли хуже, и если будет, то какова степень этой угрозы.

. Упражнение "Интернет-склад". Для того чтобы ребенок не испытывал болезненную привязанность к Интернету, можно использовать такое упражнение. Тренер рассказывает ему о том, как выглядит захламленный склад, в который складывается все, что только можно в определенном порядке или в беспорядке. Затем участникам дается задание всем вместе нарисовать словесную картинку о том, какие вещи там могут храниться и как там можно что-то, потом найти. При сложных случаях зависимости можно добавить несколько фраз о том, какой в этом складе беспорядок и как там грязно. А в грязи копаться не очень-то приятно.

. Упражнение-рекомендация. Участники тренинга внимательно следят за тем, что говорит психолог, следуя его указаниям. Психолог: "После того как работа за компьютером закончена, не стоит резко вставать со своего рабочего места, лучше всего посидеть с закрытыми глазами пару минут. При этом наш мозг успевает перестроиться на другую работу, а именно: восстановить функции глазных мышц и способность видеть дальше полуметра. С закрытыми глазами представьте себе, что перед вами "Черный квадрат" Малевича. Что вы там видите? Да, все, что угодно, но важно увидеть спокойствие и услышать тишину. Еще можно мысленно представить себе, что все негативные эмоции собираются в один большой клубок и этот клубок выбрасывается в корзину для мусора, вы накрываете ее плотной крышкой и нажимаете кнопку на крышке "Стереть". Так можно закончить работу за компьютером. Все это описывается и читается долго, но в применении - это очень легко и быстро выполняется и запоминается".

. Рефлексия. Каждый высказывает свои впечатления по проведенным упражнениям.

День пятый:

1. Упражнение "Черепаха". Инструкция: Тренер встает у стены помещения, остальные участники располагаются вдоль противоположной стены. По сигналу ведущего они начинают движение. Далее тренер говорит: "Представьте себе, что все мы - черепахи. Я - большая черепаха, а вы - маленькие черепашки. Я пригласила вас в гости на день рождения. Я жду вас в гости. Но вот беда: праздничный торт еще не готов. По моей команде вы можете идти ко мне, нигде не останавливаясь. Помните: вы - черепахи и должны идти как можно медленнее, чтобы дойти только в тот момент, когда торт будет уже готов".

Тренер следит, чтобы никто не останавливался и не спешил. Через 2-3 минуты он дает новый сигнал, по которому все "замирают". Побеждает тот, кто оказался дальше всех от черепахи-именинницы.

. Упражнение "Круг субличностей". Данное упражнение помогает выявить скрытые желания человека, его тайные мечты, сформировать точные образы и составить план действия по его выполнению.

Инструкция: Первым шагом будет устное высказывание своих целей, и потом фиксирование их на листе бумаги.

. Перечислите все свои самые смелые желания, какие могут быть у вас на данный момент времени, запишите их на бумаге по порядку.

. После того как записаны все мечты, внимательно перечитайте весь список.

. В процессе чтения этого списка постарайтесь сосредоточиться на своих внутренних ощущениях, что вы чувствовали, когда вслух произносили своих заветные желания. Запомните эти переживания и ощущения.

. Составить список основных желаний (10-20 желаний).

. Из этих 5-6 желаний выберите очень важные желания.

. А теперь на большом листе бумаги нарисуйте круг диаметром 20 см, внутри него - круг поменьше (это кольцо - ваше "я"), в этом кольце разместите те 5-6 субличностей, которые являются выразителями желаний.

. Цветными карандашами или фломастерами нарисуйте символы, которые соответствуют и отражают ваши собственные желания.

. Дайте каждой субличности (5-6 желаниям в малых кругах) название, имя (например, "Критик", "Саботажник", "Любовь", "Вечность" и т.д.).

. Раскрасьте свое "Я" разными цветами в зависимости от того, в каком цвете вы видите свои желания.

. Упражнение "По следам субличностей". Стоя в середине комнаты, каждый участник тренинга должен по очереди изобразить любую из своих субличностей из предыдущего упражнения и ответить на вопросы, которые будет задавать ему остальных. Эти вопросы надо записывать в том порядке, в котором они задавались. Вопросы могут быть самые разные, но они должны касаться тех сфер жизни, в которых человек испытывает проблемы. Например: "в каких жизненных ситуациях появляется эта субличность?", "Как часто?", "Какие обстоятельства провоцируют появление этой субличности?", "Помогает ли субличность действовать в какой-либо ситуации?", "Каким образом помогает?", "Препятствует ли она в чем-нибудь?", "Что происходит с вашим телом, эмоциями, мыслями?" После того как все вопросы и ответы записаны, можно сделать выводы по каждому пункту. В соответствии с поставленными целями те ответы, которые не могут быть признаны правильными, необходимо детально изучить и изменить тип данной субличности.

. Рефлексия. Каждый высказывает свои впечатления по проведенным упражнениям.этап: Заключительный

Целью данного этапа является формирование умения эмоционального контроля. При помощи лекции-беседы, а также полученными в ходе коррекционной работы навыками, выявляются и закрепляются наиболее эффективные способы контролирования компьютерной зависимости. В завершение беседы каждый для себя составляет правила и график работы на компьютере.

Выводы

Проанализировав психологическую литературу по проблеме исследования компьютерной зависимости и ее влиянии на подростков можно сделать следующие выводы.

Проблема психологической зависимости от компьютера на самом деле является актуальной на сегодняшний день. Хотя как определение "компьютерная зависимость" не признана на международном уровне. Пока не ясно к чему данная проблема может привести, но ясно точно одно она влечет за собой последствия намного страшнее алкогольной или наркотической зависимости. И в первую очередь страдают подростки, которые увлекаются компьютерными играми.

Механизм формирования компьютерной зависимости основан на частично непонимаемых требованиях организма и психической системы, заключающихся в желании окунуться в роль своего персонажа и тем самым отрешиться от действительности. Что в первую очередь характерно для подросткового периода. Данные механизмы работают независимо от сознания человека и характера мотивации игровой деятельности. Эти мотивы проявляются уже после первого знакомства ребенка с той или иной компьютерной игрой. Можно сказать, что независимо от того, зачем подросток стал играть в ту или иную игру, у него сразу происходит формирование игровой зависимости.

По мнению российского психолога Л.В. Усковой можно выделить следующие симптомы компьютерной зависимости они могут быть психические и физические [10].

Психические признаки: "потеря контроля" над временем, проведенным за компьютером, намеренная ложь относительно времени проведенного за компьютером, невыполнение обещаний, утрата интереса к социальной жизни и внешнему виду, оправдание собственного поведения, раздраженное поведение при отвлекании от компьютера, избыточная агрессивность, социальная дезадаптация, деградация социальных связей, антисоциальное поведение и т.д.

Физические признаки: нарушения со стороны глаз (ухудшение зрения, дисплейный синдром, синдром "сухого глаза"), опорно-двигательного аппарата (искривление позвоночника, нарушения осанки, карпальный синдром), пищеварительной системы (нарушение питания, хронические запоры, геморрой). Как правило, люди, страдающие компьютерной зависимостью, пренебрегают сном и отдыхом, поэтому они страдают общим истощением организма - хронической усталостью. Некоторые из этих признаков могут возникнуть и у людей вовсе не страдающих компьютерной зависимостью, но которые вынуждены проводить долгое время за компьютером.

В данной работе были так же показаны факторы того, что компьютерные игры действительно влияют и на агрессивное поведение подростков. Агрессивные фантазии, возникшие на почве видеонасилия, представляют реальную опасность не только для самого подростка, но и для общества. Она заключается не столько в возможности их оперативной реализации, сколько в постепенном формировании у подростка установки на их рациональное использование в качестве универсального инструмента для разрешения собственных проблем и спонтанно возникающих желаний.

Радикальные сторонники того что компьютерные игры негативно влияют на подростков утверждают, что "игры заставляют убивать", "виноваты в убийствах", более того, они представляют собой "стимуляторы убийства" (Д. Бака, Д.Томпсон, Д. Гроссман). Американский психолог Давид Гроссман отмечает, что открыто продавая жестокие игры, "мы приучаем детей убивать, так же как армия муштрует солдат. Телевидение скоро приравняет страдание и смерть к таким удовольствиям, как любимая газированная вода, шоколадка или духи. А видео- и компьютерные игры довершат зловещее образование, научат прицеливаться и стрелять, как учатся военные, тренируясь на мишенях. Таким образом, "прицелься" - "стреляй" превратится в инстинктивное движение в стрессовой ситуации".

Менее решительно настроенные исследователи отмечают, что компьютерные игры могут "повышать уровень агрессивности подростка", "приводить к выбору агрессивных стратегий поведения" (А. Сакамото, К. Дилл, К. Матиак, Л. Ловелле, К. Андерсен, И. Бурлаков).

И все же сведений о связи жестоких компьютерных игр с агрессией и преступлениями немало. Об этом говорится в научных исследованиях и очень часто афишируется в СМИ.

Так как в дипломной работе затрагивается проблема влияния компьютерных игр на агрессивное поведение подростков, нами была проведена исследовательская работа. Ее результаты показаны в экспериментальной части, в ней мы показали влияние компьютерной зависимости на агрессивность подростков с помощью проведения коррекционной программы направленной на снижение зависимости.

После проведения коррекционной программы нам удалось проследить то, что действительно компьютерная зависимость имеет влияние на агрессивное поведение подростков. Мы получили следующие результаты:

Если до коррекционной работы уровни агрессивного поведения составляли в среднем

·        56,25% - высокий уровень агрессии;

·        37,5% - средний уровень агрессии;

·        6,25% - низкий уровень агрессии.

То после коррекционной работы они распределились следующим образом:

·        31,25% - высокий уровень агрессии;

·        43,75% - средний уровень агрессии;

·        25% - низкий уровень агрессии.

Таким образом, мы можем увидеть то, что высокий уровень агрессивности снизился на 25%, уровень средней агрессивности повысился на 6,25%, а уровень низкой агрессии повысился с 6,25% до 25%, т.е. на 18,75%.

В итоге проведенная коррекционная работа, направленная на снижение компьютерной зависимости не только помогла, но и показала то, что действительно компьютерная зависимость влияет на агрессивное поведение подростков.

В результате наша дипломная работа является еще одним доказательством того, что компьютерная зависимость действительно влияет на агрессивное поведение подростков.

Рекомендации

Определенную проблему в современном обществе составляет привязанность детей и подростков к компьютерным играм. Для того чтобы снизить степень этой привязанности, родители могут использовать следующие рекомендации.

.  Стройте отношения в семье на принципах честности и умении признавать ошибки.

2.      Не оскорбляйте своего ребенка и его круг общения.

.        Будьте другом и помощником своему ребенку. Позиция "Я - старший, поэтому делай так, как тебе говорят" никогда не приведет к доверительным отношениям.

.        Сделайте так, чтобы ребенок мог вам довериться всегда и при любых обстоятельствах.

.        Не бойтесь показывать свои чувства ребенку, если вы расстроены сложившейся "компьютерной" ситуацией. Тогда он увидит в вас не противника, а близкого человека, который тоже нуждается в заботе.

.        Если вдруг возник конфликт, который выражен в приказном тоне с вашей стороны о прекращении работы за компьютером, то не следует торговаться с ребенком: "Сначала сделаешь что-то (уроки, выполнишь домашние обязанности), только потом можешь поиграть".

.        Родителям следует самостоятельно устанавливать время, которое отводиться для компьютерных игр.

.        Необходимо также показывать своим примером, что и как надо делать (например, если время, отведенное для компьютерных игр, закончилось, это не значит, что ребенка надо отправить гулять или делать уроки, а самому усаживаться за те же игры). Надо идти с ним гулять или вместе с ним делать уроки или же заняться домашними делами.

.        Можно попробовать метод кнута и пряника, что, впрочем, и так повсеместно применяется в каждой семье, разница заключается в том, что не каждый родитель умеет правильно применять эту методику. В идеальном варианте родители должны стать больше другом ребенку, чем строгим воспитателем, который только и знает, что наказывать за все подряд. Правилам работы за компьютером надо учить детей с первых дней, ясно и четко (без лишнего ужаса) объяснять им все отрицательные и положительные стороны влияния компьютеров на человека. В процессе того, как развивается ребенок и как он реагирует на компьютерные игры, можно судить по его отношению к окружающей среде и общему поведению.

10.    Родителям необходимо принимать действенное участие в жизни ребенка: вместе с ним изучать новинки на "компьютерном" рынке, делать покупки и учить новые программы. Тогда общность интересов сблизит не только на время вынужденного времяпрепровождения, но и даст дополнительные возможности понять, чем хочет заниматься ваш ребенок.

Если использовать эти несложные советы хотя бы частично, то со временем ребенок поймет, что родители желают ему только хорошего и являются его друзьями.

А что можно сделать, чтобы предотвратить развитие компьютерной зависимости у детей? Можно выделить ряд рекомендаций, которые должны помочь родителям в данном вопросе.

1.      Будьте внимательны: вовремя заметить и предупредить появление и развитие компьютерной зависимости легче, нежели потом с ней бороться.

2.      Всегда нужно оговаривать время игры ребенка на компьютере и точно сохранять эти рамки. Количество времени нужно выбирать исходя из возрастных особенностей ребенка. Например, до 5 лет не рекомендуется ребенка допускать до компьютера, не стоит мешать ребенку, познавать мир постепенно и без вмешательства искусственного интеллекта. А, уже начиная с 5 до 7 лет ребенку можно начинать знакомиться с компьютером, но желательно не более 2 ч. в день и не подряд, а по 15-20 мин. с перерывами. При этом надо объяснить ребенку, что реальная жизнь и герои компьютерных игр - две разные вещи, не совместимые между собой. С 7 лет ребенок может самостоятельно отличить виртуальный образ игры от реального. После 12 лет наступает наименее тревожный период, так как ребенок может различать образы различных реальностей. Но это всего лишь усредненные данные, всегда нужно исходить из конкретных личностных и индивидуальных особенностей детей в том или ином возрасте.

.        Нужно больше времени общаться с ребенком, развивать в нем гармоничную эмоциональную сферу, посещать различные мероприятия, чтобы ребенок научился общению с различными людьми.

.        Категорически запрещается играть в компьютерные игры перед сном.

.        Помните, что компьютерная зависимость реже проявляется у подростков, занимающихся спортом. Поэтому необходимо привить ребенку интерес к активным играм и физическим упражнениям. Пусть он двигается и испытывает радость от этого. Ведь когда ребенок сидит за компьютером, все его физические нагрузки заключаются лишь в движении мышкой по столу.

.        Поощряйте его творческие начинания от увлечения музыкой до катания на лыжах.

.        Необходимо следить, чтобы игра на компьютере не подменяла реальное общение со сверстниками и друзьями.

.        Следует проводить обсуждение игр вместе с ребенком, выбирать развивающие игры.

.        Постоянно проявляйте внимание, содействуйте развитию интересов и склонностей подростка.

10.    Нужно показывать ребенку личный положительный пример. Если вы договорились, что ребенок будет играть 30 мин., то вы сами не должны играть дольше.

11.    Культивируйте чувство семейной, коллективной общности. Одиночество (в силу разных причин) - повод и основание для ухода в виртуальный мир. Если развивать эмоциональную сферу и коммуникативные способности ребенка, то, возможно, он не убежит от вас в другую, компьютерную реальность.

.        Учитывайте личный пример в использовании возможностей компьютера: делайте акцент на применении компьютера в своей работе, используйте его в качестве помощника в совместном с ребенком досуговом творчестве (компьютерный дизайн, моделирование и прю), попутно прививая навыки культуры общения с совместной техникой.

.        Корректно используйте свое право на запрет, так как "запретный плод всегда сладок".

.        Всегда ищите возможность подчеркнуть полноту жизненных проявлений в реальности и односторонность переживаний в режиме on-line.

Заключение

В современном мире компьютерных технологий присутствует довольно много соблазнов, которые доступны без ограничения по возрасту. К этим соблазнам также можно отнести и компьютерные игры. Да именно компьютерные игры становятся сегодня для подростков манящими соблазнами. В них подросток находит много чего запретного и не доступного для него в реальном мире. В игре любой слабый и на вид не красивый мальчуган может стать прекрасным сильным рыцарем или в большинстве случаев накаченным бандитом вооруженным "до зубов".

Да именно такие персонажи чаще привлекают подростков в компьютерных играх. Потому что там они могут, по их мнению, добиться многого в жизни, умирать и оживать заново, убивать и ходить безнаказанными. Но далеко не все понимают, что это все может быть только в виртуальном мире. Они не задумываются о том, что добиваясь больших достижений в виртуальном мире, в реальности становятся похожими на героев из игры и постепенно, теряя свою индивидуальность, остаются никем.

Под влиянием компьютерных игр дети очень сильно меняются в поведении и далеко не в лучшую сторону. Многие исследования показывают что дети, играющие в компьютерные игры, приобретают новый вид зависимости, которая называется компьютерной. Эта пока еще молодая разновидность зависимости уже имеет на своем счету миллионы жертв. И большинство из них это подростки с их еще не окрепшей психикой.

Дети, у которых есть компьютерная зависимость, значительно отличаются повышенным уровнем агрессивности, замкнутости, тревожности, жестокости и дезадаптации от своих сверстников, не имеющих зависимости от компьютера. На сегодняшний день есть много случаев, где криминальное поведение подростков связывают именно с компьютерной зависимостью.

В современной медицинской и психологической литературе, а так же в печатных изданиях, имеется множество теорий, взглядов, мнений освещающих проблему влияния компьютерных игр на агрессивное поведение подростков. Это говорит о том, что ученые еще пока не пришли к единому мнению. И все же, к сожалению, этой проблеме специалисты психологии и медицины уделяют не достаточно серьезное внимание. Большинство фактов и результаты различных исследований нам рассказывают на страницах печатных изданий и с экранов телевизора журналисты.

В нашей республике эта проблема до сих пор остается в невесомости. Да многие говорят о существовании негативного влияния компьютерных игр на агрессивное поведение подростков, но пока никто в серьез не занялся исследованиями этой проблемой на государственном уровне, да этой проблемой следует занимается именно на государственном уровне так как современные геймеры-подростки - это будущее страны.

В нашем исследовании мы обращаемся к проблеме влияния компьютерной зависимости на агрессивное поведение подростков, а именно изучению особенностей и степени влияния компьютерных игр на агрессивное поведение подростков, которое стало целью нашего исследования.

На основе изученной современной специальной литературы и имеющихся психологических исследований, касающихся данной проблемы мы выдвинули гипотезу о том, что склонность к агрессивным реакциям в подростковом возрасте находится в зависимости от влияния компьютерных игр. С целью подтверждения или опровержения выдвинутой нами гипотезы мы разработали комплексное психологическое исследование, направленное на изучение особенностей личности подростков имеющие компьютерную зависимость.

Результаты проведенного исследования подтвердили выдвинутую нами гипотезу и позволили проследить, как именно уровень компьютерной зависимости влияет на уровень агрессивности подростков. Это в свою очередь позволило нам дать практические рекомендации родителям для профилактики компьютерной зависимости, а так же для правильного поведения с уже зависимыми детьми.

В своем исследовании мы не претендуем на полноту освещения всех сторон данной проблемы. В ней еще много неизученных нюансов, которые следует рассматривать на более высоком уровне. Мы считаем, что к решению данной проблемы необходим комплексный подход.

Список использованных источников

1. "Мозг тонко чувствует виртуальное насилие" // Газета "Байкал-инфо" от 24 июня 2005 г. <#"879110.files/image014.jpg">


Обработка результатов теста

Каждый из полученных ответов оценивается, в соответствии с теорией, Розенцвейга, по двум критериям: по направлению реакции (агрессии) и по типу реакции.

По направлению реакции подразделяются на:

·        Экстрапунитивные: реакция направлена на живое или неживое окружение, осуждается внешняя причина фрустрации, подчеркивается степень фрустрирующей ситуации, иногда разрешения ситуации требуют от другого лица.

·        Интропунитивные: реакция направлена на самого себя, с принятием вины или же ответственности за исправление возникшей ситуации, фрустрирующая ситуация не подлежит осуждению. Испытуемый принимает фрустрирующую ситуацию как благоприятную для себя.

·        Импунитивные: фрустрирующая ситуация рассматривается как нечто незначительное или неизбежное, преодолимое "со временем, обвинение окружающих или самого себя отсутствует.

По типу реакции делятся на:

·        Препятственно-доминантные. Тип реакции "с фиксацией на препятствии". Препятствия, вызывающие фрустрацию, всячески акцентируются, независимо от того, расцениваются они как благоприятные, неблагоприятные или незначительные.

·        Самозащитные. Тип реакции "с фиксацией на самозащите". Активность в форме порицания кого-либо, отрицание или признание собственной вины, уклонения от упрека, направленные на защиту своего "Я", ответственность за фрустрацию никому не может быть приписана.

·        Необходимо-упорствующие. Тип реакции "с фиксацией на удовлетворение потребности". Постоянная потребность найти конструктивное решение конфликтной ситуации в форме либо требования помощи от других лиц, либо принятия на себя обязанности разрешить ситуацию, либо уверенности в том, что время и ход событий приведут к ее разрешению.

Для обозначения направления реакции используются буквы:

·        Е - экстрапунитивные реакции,

·        I - интропунитивные реакции,

·        М - импунитивные.

Типы реакций обозначаются следующими символами:

·        OD - "с фиксацией на препятствии",

·        ED - "с фиксацией на самозащите",

·        NP - "с фиксацией на удовлетворение потребности".

Из сочетаний этих шести категорий получают девять возможных факторов и два дополнительных варианта.

Вначале исследователь определяет направление реакции, содержащееся в ответе испытуемого (Е, I или М), а затем выявляет тип реакции: ED, OD или NP.

Описание смыслового содержания факторов, используемых при оценке ответов (взрослый вариант)


OD

ED

NP

Е

Е’. Если в ответе подчеркивается наличие препятствия.  Пример: "На улице сильный дождь. Мой плащ был очень кстати" (рис.9).  "А я рассчитывал, что мы с ней пойдем вместе" (8).  Встречается главным образом в ситуациях с препятствием.

Е. Враждебность, порицание направлены против кого-либо или чего-либо в окружении.  Пример: "разгар рабочего дня, а вашего заведующего нет на месте" (9).  "Изношенный механизм, новыми их уже не сделать" (5).  "Мы уходим, она сама виновата" (14).  E. Испытуемый активно отрицает свою вину за совершенный проступок.  Пример: "В больнице лежит полно людей, при чем здесь я?" (21).

е. Требуется, ожидается или явно подразумевается, что кто-то должен разрешить эту ситуацию.  Пример: "Все равно, Вы должны найти для меня эту книгу" (18).  "Она могла бы объяснить нам, в чем дело" (20).

I

I’. Фрустрирующая ситуация интерпретируется как благоприятно- выгодно-полезная, как приносящая удовлетворение.  Пример: "Мне одному будет даже проще" (15).  "Зато теперь у меня будет время чтобы дочитать книгу" (24).

I. Порицание, осуждение направлено на самого себя, доминирует чувство вины, собственной неполноценности, угрызения совести.  Пример: "Это я опять пришел не вовремя" (13). I. Субъект, признавая свою вину, отрицает ответственность, призывая на помощь смягчающие обстоятельства.  Пример: "Но сегодня выходной, здесь нет ни одного ребенка, а я очень спешу" (19).

i. Субьект сам берется разрешить фрустрирующую ситуацию, открыто признавая или намекая на свою виновность.  Пример: "Как нибудь сам выкручусь" (15).  "Я сделаю все возможное, чтобы искупить свою вину" (12).

М

М’. Трудности фрустрирующей ситуации не замечаются или сводятся к ее полному отрицанию.  Пример: "Опоздал так опоздал" (4).

М. Ответственность лица, попавшего во фрустрирующую ситуацию, сведена до минимума, осуждение избегается.  Пример: "Мы же не могли знать, что машина сломается" (4).

m. Выражается надежда, что время, нормальный ход событий разрешат проблему, просто надо немного подождать, или же взаимопонимание и взаимоуступчивость устранят фрустрирующую ситуацию.  Пример: "Подождем еще минут 5" (14).  "Было бы хорошо, если бы это не повторилось." (11).


Так, ответ испытуемого в ситуации №14 "Подождем еще минут пять", по направлению реакции является импунитивным (m), а по типу реакции - "с фиксацией на удовлетворение потребности" (NP).

Сочетанию тех или иных двух вариантов присваивается собственное буквенное значение.

·        Если в ответе с экстрапунитивной, интропунитивной или импунитивной реакцией доминирует идея препятствия, добавляется значок "прим" (Е’, I’, М’).

·        Тип реакции "с фиксацией на самозащите" обозначается прописными буквами без значка (Е, I, M).

·        Тип реакции "с фиксацией на удовлетворение потребности" обозначается строчными буквами (е, i, m).

·        Экстра- и интропунитивные реакции самозащитного типа в ситуациях обвинения имеют еще два дополнительных варианта оценки, которые обозначаются символами Е и I.

Появление дополнительных вариантов подсчета Е и I обусловлено разделением ситуации теста на два типа. В ситуациях "препятствия" реакция субъекта обычно направлена на фрустрирующую личность, а в ситуациях "обвинения" она чаще является выражением протеста, отстаивания своей невиновности, отвержения обвинения или упрека, короче - настойчивого самооправдания.

Проиллюстрируем все эти обозначения на примере ситуации №1. В этой ситуации персонаж слева (шофер) произносит: "Мне очень жаль, что мы забрызгали Ваш костюм, хотя очень старались объехать лужу".

Возможные варианты ответов на эти слова с оценкой их с помощью вышеописанных символов:

·        Е’ - "Как это неприятно".

·        I’ - "Я совсем не испачкался". (Субъект подчеркивает как неприятно вовлекать во фрустрирующую ситуацию другое лицо).

·        М’ - "Ничего не случилось, он немного забрызган водой".

·        Е - "Вы неуклюжи. Вы недотепа".

·        I - "Ну конечно, мне надо было остаться на тротуаре".

·        М - "Ничего особенного".

·        е - "Вам придется почистить".

·        i - "Я почищу".

·        m - "Ничего, высохнет".

Так как ответы бывают нередко в форме двух фраз или предложений, каждое из которых может, иметь несколько отличную функцию, то в случае необходимости их можно обозначить двумя соответствующими символами. Например, если испытуемый говорит: "Сожалею, что явился причиной всего этого беспокойства, но буду рад исправить положение", то это обозначение будет: Ii. В большинстве случаев для оценки ответа достаточно одного счетного фактора.

Оценка большинства ответов зависит от одного фактора. Особый случай представляют взаимопроникающие или взаимосвязанные комбинации, используемые для ответов.

За основу подсчета всегда принимается явное значение слов субъекта и так как ответы нередко бывают в форме двух фраз или предложений, каждая из которых может иметь отличную функцию, то можно устанавливать за одной группой слов одну счетную величину, а за другой - другую.

Полученные данные в виде буквенных выражений (Е, I, М, Е’, М’, I ’, е, i, m) выносятся в таблицу.

Далее вычисляется GCR - коэффициент групповой конформности, или, иначе говоря, мера индивидуальной адаптации субъекта к своему социальному окружению. Он определяется путем сравнения ответов испытуемого со стандартными величинами, полученными путем статистического подсчета. Ситуаций, которые используются для сравнения, всего 14. Их значения представлены в таблице. В детском варианте количество ситуаций другое.

Общая таблица GCR для взрослых

Номер ситуации

OD

ED

NP

1

М’

Е


2


I


3




4




5



i

6



e

7


Е


8




9




10


Е


11




12


Е

m

13



е

14




15

Е’



16


Е

i

17




18

Е’


е

19


I


20




21




22

М’



23




24

М’




·        Если ответ испытуемого идентичен стандартному, ставится знак "+".

·        Когда в качестве стандартного ответа даются два типа ответов на ситуацию, то достаточно, чтобы хотя бы один из ответов испытуемого совпадал со стандартным. В этом случае ответ также отмечается знаком "+".

·        Если ответ субъекта дает двойную оценку, и одна из них соответствует стандартному, он оценивается в 0,5 балла.

·        Если же ответ не соответствует стандартному, его обозначают знаком "-".

Оценки суммируются, считая каждый плюс за единицу, а минус за ноль. Затем, исходя из 14 ситуаций (которые принимаются за 100%), вычисляется процентная величина GCR испытуемого.

Таблица для пересчета в проценты GCR для взрослых

GCR

Процент

GCR

Процент

GCR

Процент

14

100

9,5

68

5

35,7

13,5

96,5

9

64,3

4,5

32,2

13

93

8,5

60,4

4

28,6

12,5

90

8

57,4

3,5

25

12

85

7,5

53,5

3

21,5

11,5

82

7

50

2,5

17,9

11

78,5

6,5

46,5

2

14,4

10,5

75

6

42,8

1,5

10,7

10

71,5

5,5

39,3

1

7,2


Количественная величина GCR может рассматриваться в качестве меры индивидуальной адаптации субъекта к своему социальному окружению.

Следующий этап - заполнение таблицы профилей. Осуществляется на основании листа ответов испытуемого. Подсчитывается, сколько раз встречается каждый из 6 факторов, каждому появлению фактора присваивается один балл. Если же ответ испытуемого оценен при помощи нескольких счетных факторов, то каждому фактору придается равное значение. Так, если ответ был оценен "Ее", то значение "Е" будет равняться 0,5 и "е", соответственно, тоже 0,5 балла. Полученные числа заносятся в таблицу. Когда таблица заполнена, цифры суммируются в колонки и строчки, а затем вычисляется процентное содержание каждой полученной суммы.

Таблица профилей


OD

ED

NP

сумма

%

Е






I






М






сумма






%







Таблица для пересчета баллов профилей в проценты

Балл

Процент

Балл

Процент

Балл

Процент

0,5

2,1

8,5

35,4

16,5

68,7

1,0

4,2

9,0

37,5

17,0

70,8

1,5

6,2

9,5

39,6

17,5

72,9

2,0

8,3

10,0

41,6

18,0

75,0

2,5

10,4

10,5

43,7

18,5

77,1

3,0

12,5

11,0

45,8

19,0

79,1

3,5

14,5

11,5

47,9

19,5

81,2

4,0

16,6

12,0

50,0

20,0

83,3

4,5

18,7

12,5

52,1

20,5

85,4

5,0

20,8

13,0

54,1

21,0

87,5

5,5

22,9

13,5

56,2

21,5

89,6

6,0

25,0

14,0

58,3

22,0

91,6

6,5

27,0

14,5

60,4

22.5

93,7

7,0

29,1

15,0

62,5

23,0

7,5

31,2

15,5

64,5

23,5

97,9

8,0

33,3

16,0

66,6

24,0

100,0


Полученное таким образом процентное отношение Е, I, M, OD, ED, NP, представляет выраженные в количественной форме особенности фрустрационных реакций испытуемого.

На основании профиля числовых данных составляются три основных и один дополнительный образец.

·        Первый образец выражает относительную частоту разных направлений ответа, независимо от его типа. Экстрапунитивные, интропунитивные и импунитивные ответы располагаются в порядке их убывающей частоты. Например, частоты Е - 14, I - 6, М - 4, записываются Е > I > М.

·        Второй образец выражает относительную частоту типов ответов независимо от их направлений. Записываются знаковые символы так же, как и в предыдущем случае. Например, мы получили ОД - 10, ED - 6, NP - 8. Записываются: OD > NP > ED.

·        Третий образец выражает относительную частоту трех наиболее часто встречающихся факторов, независимо от типа и направления ответа. Записываются, например, Е > Е’ > М.

·        Четвертый дополнительный образец включает сравнение ответов Е и I в ситуациях "препятствия" и ситуациях "обвинения". Сумма Е и I рассчитывается в процентах, исходя также из 24, но поскольку только 8 (или 1/3) тестовых ситуаций позволяют подсчет Е и I, то максимальный процент таких ответов будет составлять 33%. Для целей интерпретации полученные проценты могут быть сравнены с этим максимальным числом.

Анализ тенденций

Анализ тенденций проводится на основании листа ответов испытуемого и ставит целью выяснение того, имело ли место изменение направления реакции или типа реакции испытуемого во время проведения опыта. Во время проведения опыта испытуемый может заметно изменить свое поведение, переходя из одного типа или направления реакций к другому. Наличие таких перемен свидетельствует об отношении испытуемого к своим собственным ответам, (реакциям). К примеру, реакции испытуемого экстрапунитивной направленности, (с агрессией на окружение), под влиянием пробужденного чувства вины могут смениться ответами, содержащими агрессию на самого себя.

Анализ предполагает выявить существование таких тенденций и выяснить их причины, которые могут быть различны и зависят от особенности характера испытуемого.

Тенденции записываются в виде стрелы, над которой указывается численная оценка тенденции, определяемая знаком "+" (положительная тенденция) или знаком "-" (отрицательная тенденция), и вычисляемая по формуле:

(а-б) / (а+б),

где

·        "а" - количественная оценка проявления фактора в первой половине протокола (ситуации 1-12),

·        "б" - количественная оценка во второй половине (от 13 до 24).

Тенденция может быть рассмотрена как показатель в том случае, если содержится как минимум в четырех ответах испытуемого, и имеет минимальную оценку ±0,33.

Анализируются пять типов тенденций:

·        Тип 1. Рассматривается направление реакции в графе ОD. Например фактор Е’ появляется шесть раз: три раза в первой половине протокола с оценкой, равной 2,5 и три раза во второй половине с оценкой в 2 балла. Соотношение равно + 0,11. Фактор I’ появляется в целом только один раз, фактор М’ появляется три раза. Тенденция 1-го типа отсутствует.

·        Тип 2. Аналогично рассматриваются факторы Е, I, M.

·        Тип 3. Аналогично рассматриваются факторы е, i, m.

·        Тип 4. Рассматриваются направления реакций, не учитывая графы.

·        Тип 5. Поперечная тенденция - рассматривают распределение факторов в трех графах, не учитывая направления, например, рассмотрение графы OD указывает на наличие 4 факторов в первой половине (оценка, обозначенная 3) и 6 во второй половине (оценка 4). Аналогично рассматриваются графы ED и NP. В целях выявления причин той или иной тенденции рекомендуется проведение беседы с испытуемым, в процессе которой с помощью дополнительных вопросов экспериментатор может получить необходимую, интересующую его информацию.

Интерпретация результатов теста

Первый этап интерпретации заключается в изучении GCR, уровня социальной адаптации испытуемого. Анализируя полученные данные, можно предположить, что испытуемый, имеющий низкий процент GCR, часто конфликтует с окружающими, поскольку недостаточно адаптирован к своему социальному окружению.

Данные, касающиеся степени социальной адаптации испытуемого, могут быть получены с помощью повторного исследования, которое заключается в следующем: испытуемому повторно предъявляются рисунки, с просьбой дать в каждом задании такой ответ, который по его мнению было бы нужно дать в этом случае, т. е. "правильный", "эталонный" ответ. "Индекс рассогласования" ответов испытуемого в первом и во втором случаях дает дополнительную информацию о показателе "степени социальной адаптации".

На втором этапе, изучаются полученные оценки шести факторов в таблице профилей. Выявляются устойчивые характеристики фрустрационных реакций испытуемого, стереотипы эмоционального реагирования, которые формируются в процессе развития, воспитания и становления человека и составляют одну из характеристик его индивидуальности. Реакции испытуемого могут быть направлены на окружающую его среду, выражаясь в форме различных требований к ней, либо на самого себя как виновника происходящего, либо человек может занять своеобразную примиренческую позицию. Так, например, если в исследовании мы получаем у испытуемого оценку М - нормальную, Е - очень высокую и I - очень низкую, то на основании этого можно сказать, что субъект в фрустрационной ситуации будет с повышенной частотой отвечать в экстрапунитивной манере и очень редко в интропунитивной. То есть, можно сказать, что он предъявляет повышенные требования к окружающим, и это может служить признаком неадекватной самооценки.

Оценки, касающиеся типов реакций, имеют разный смысл.

·        Оценка OD (тип реакции "с фиксацией на препятствии") показывает, в какой степени препятствие фрустрирует субъекта. Так, если мы получили повышенную оценку OD, то это говорит о том, что во фрустрационных ситуациях у субъекта преобладает более чем нормально идея препятствия.

·        Оценка ED (тип реакции "с фиксацией на самозащите") означает силу или слабость "Я" личности. Повышение ED означает слабую, уязвимую личность. Реакции субъекта сосредоточены на защите своего "Я".

·        Оценка NP - признак адекватного реагирования, показатель той степени, в которой субъект может разрешать фрустрационные ситуации.

Третий этап интерпретации - изучение тенденций. Изучение тенденций может иметь большое значение в понимании отношения испытуемого к своим собственным реакциям.

В целом можно добавить, что на основании протокола обследования можно сделать выводы относительно некоторых аспектов адаптации испытуемого к своему социальному окружению. Методика ни в коем случае не дает материала для заключений о структуре личности. Можно лишь с большей долей вероятности прогнозировать эмоциональные реакции испытуемого на различные трудности или помехи, которые встают на пути к удовлетворению потребности, к достижению цели.

Похожие работы на - Особенности влияния компьютерной зависимости на формирование агрессивности у подростков

 

Не нашли материал для своей работы?
Поможем написать уникальную работу
Без плагиата!
Без нейросетей!