Расчет камеры жидкостного ракетного двигателя
Министерство образования Российской
Федерации
"МАТИ" - Российский
государственный технологический университет им. К.Э. Циолковского
Кафедра: "Технология производства двигателей летательных
аппаратов"
Курсовой проект
"Расчет камеры жидкостного ракетного
двигателя"
По дисциплине:
"Теория, расчет и проектирование
ракетных двигателей"
Студент: Сурков Г.Г.
Группа: 2РАД-4ДБ-147
Руководитель: Ярославцев Н.Л.
Москва 2012 г.
Содержание
Введение
1. Исходные данные расчета ЖРД
1.1 Выбор значений давления в камере и на срезе сопла
1.1.1 Выбор значений давления в камере ЖРД
1.1.2 Выбор значения давления на срезе сопла
1.2 Выбор жидкостного ракетного топлива
2. Анализ пневмогидравлической схемы ДУ Схема ЖРД
2.1 Системы газогенерации
2.2 Конструктивная схема ТНА
2.3 Система запуска двигателя
2.4 Управление двигателем
2.5 Выключение двигателя
3. Определение основных параметров ЖРТ и его продуктов сгорания
3.1 Определение основных параметров жидкого ракетного топлива
3.2 Определение основных параметров продуктов сгорания ЖРТ
4.Определение коэффициентов потерь
4.1 Расчёт действительных значений параметров камеры двигателя
4.2 Расчёт площади и диаметра смесительной головки камеры
4.3 Определение объёма камеры сгорания двигателя
5. Профилирование сопла
5.1 Профилирование сужающейся части сопла
5.2 Протяженность цилиндрической части камеры сгорания
5.3 Профилирование расширяющейся части сопла
6. Расчёт значений массовых секундных компонентов по участкам
магистралей горючего, окислителя и генераторного газа
6.1 По величине коэффициента соотношения компонентов топлива К1
вычисляются массовые секундные расходы горючего и окислителя
6.2 В первом приближение по номограмме находится относительный
расход топлива в пристеночном слое
6.3 Определение коэффициента соотношения компонентов в
газогенераторе К1, ГГ
7. Расчёт основных параметров ТНА и ГГ
7.1 Расчёт потребных значений давлений компонентов на выходе из
насосов и турбины
7.2 Уравнение баланса мощностей ТНА
7.3 Расчёт параметров насосов
7.4 Расчёт параметров турбины
7.5 Проверка сходимости уравнения баланса мощностей
8. Проектирование смесительной головки
8.1 Расчет однокомпонентной центробежной форсунки
9. Проектировочный расчет системы охлаждения камеры сгорания
9.1 Определение распределения плотности теплового потока и
подогревов охладителя по длине камеры
9.2 Определение параметров оребрения
9.3 Определение температуры огневой стенки со стороны охладителя
9.4 Расчет поясов завес
10. Проектировочный прочностной расчет узлов камеры сгорания
10.1 Определение толщины наружной оболочки цилиндрической части
камеры
10.2 Расчет наружного сферического днища
10.3 Расчет среднего и внутреннего ("огневого") днищ
Литература
Введение
Камера двигателя является основным агрегатом жидкостного
ракетного двигателя в значительной мере определяющим такие показатели двигателя
как удельный импульс тяги, удельную массу, габаритные размеры, надежность и
т.д.
Конструктивные схемы выполненных камер многообразны. В современных
ЖРД преимущественное применение получили цилиндрические камеры сгорания,
которые в сочетании с плоской смесительной головкой позволяют осуществить
процесс создания тяги при высокой расходонапряженности с одновременной
организацией надежной системы топливной защиты и обеспечением требуемых
термопрочностных характеристик. Указанная конструкция камер достаточно
технологична в изготовлении.
В данной работе приводится упрощенная методика
газодинамического расчета камеры ЖРД, применимая для двигателей с дожиганием и
без дожигания генераторного газа. Газодинамический расчет включает три этапа:
определение газодинамических размеров камеры сгорания; профилирование
сверхзвукового сопла; проектирование смесительной головки, определение основных
параметров газа в расчетных сечениях камеры.
Также мы определяем параметры проточного охлаждений в
критическом сечении сопла, оцениваем распределение плотности теплового потока
по длине камеры.
Затем после оценки гидравлических потерь в топливных
магистралях определяем потребные напоры насосов; затем из уравнения
энергетического баланса находим массовый секундный расход или давление
генераторного газа.
Данные расчеты камеры позволяют оценить толщины днищ
смесительной головки и наружной стенки камеры.
1. Исходные
данные расчета ЖРД
1.1 Выбор
значений давления в камере и на срезе сопла
Выбор указанных параметров при проектировании ЖРД назначают в
основном из условия реализации оптимального удельного импульса двигателя, что
соответствует высоким значениям давления в камере рк и степени расширения сопла
по давлению
1.1.1 Выбор
значений давления в камере ЖРД
Предельный уровень давления в камере ЖРД с дожиганием
определяется из условия равенства потребной мощности насосов и располагаемой при
этом мощности турбины ТНА. Рабочее давление в камере рк назначается ниже его
предельно возможного значения, с целью снижения тепловых потоков к внутренней
стенке камеры со стороны продуктов сгорания топлива, а также для обеспечения
возможности регулирования тяги в процессе работы двигателя.
1.1.2 Выбор
значения давления на срезе сопла
Оптимальное значение давления на срезе сопла
определяется конкретным соотношением
между создаваемой соплом тягой и его длиной (массой), при которых конечная
скорость ракеты максимальна.
1.2 Выбор
жидкостного ракетного топлива
В настоящее время существуют тенденции широкого использования
для ракетоносителей ЖРТ с низкокипящими и криогенными компонентами.
Топливо: Кислород (О2, ж) + водород (Н2, ж). Топливо кислород
+ водород обеспечивает наиболее значительный удельный импульс тяги. При
проектировании ТНА, работающих на указанных компонентах топлива, необходимо
предусмотреть последовательно расположенные насосы по водороду, т.к. резкое увеличение
давления в насосах может вызвать разрушение магистралей.
жидкостный ракетный двигатель топливо
2. Анализ
пневмогидравлической схемы ДУ Схема ЖРД
Двигатель работает на высококипящем двухкомпонентном топливе
(жидкий водород + жидкий кислород). ЖРД с двумя газогенераторами (8 и 9).
2.1 Системы
газогенерации
Газогенератор (8 и 9) должен обеспечивать минимальное
давление в двигателе, в который подается практически весь окислитель и
незначительная часть горючего, соответствующая принятой температуре. При
большом расходе рабочего тела потребная мощность турбины (5) обеспечивается при
малой степени расширения газа в ней, что определяет уменьшение давления в
газогенераторе.
2.2
Конструктивная схема ТНА
В двигателях с дожиганием на несамовоспламеняющемся топливе
применяются 3-х насосные схемы ТНА с осевой одноступенчатой реактивной
турбиной. Трехнасосная схема состоит из трех шнекоцентробежных насосов (4)
(окислителя и горючего). Реактивная турбина (5) при большом расходе газа и
относительно низкой температуре развивает необходимую мощность, таким образом,
достигается превышение давления в газогенераторе по сравнению с давлением в
камере.
Также помимо основной турбины применяется пусковая активная
турбина (3) для раскрутки ротора при запуске двигателя.
2.3 Система
запуска двигателя
Основным требованием с системе запуска является обеспечение
надежного выхода на номинальный режим работы без значительного повышения
давления газов.
Запуск ЖРД с дожиганием на несамовоспламеняющемся топливе
помимо основной турбины, работающей на продуктах сгорания основного топлива,
требует дополнительных устройств для раскрутки ротора ТНА и для розжига
топлива. В моем случае я использую пиротехнические шашки (2) для зажигания
топлива и стартерную турбину (3) для раскрутки ротора ТНА.
2.4
Управление двигателем
В современных ракетах значение тяги двигателей в полете может
регулироваться путем варьирования соотношения компонентов топлива или за счет
изменения частоты оборотов насосов.
2.5
Выключение двигателя
При достижении расчетной скорости полета и соответствующего
ей угла тангажа система управления полетом выдает команду на выключение ДУ
данной ступени, запуск двигателя следующей ступени.
Для повышения надежности выключение происходит в два этапа:
прекращается подача топлива в газогенератор. Резко
уменьшается скорость вращения ротора ТНА. Понижается давление в топливных
магистралях
прекращается процесс горения в камере, ДУ выключается,
одновременно запускается ДУ второй ступени.
Пояснение к схеме:
1) Камера двигателя
) Пиротехническая шашка
) Стартерная турбина
) Три ступени насосов
) Две основные турбины
) Топливный бак с окислителем
) Топливный бак с горючим
) Газогенератор окислительного типа
) Газогенератор восстановительного типа
) Газовод охлаждаемый
3.
Определение основных параметров ЖРТ и его продуктов сгорания
3.1
Определение основных параметров жидкого ракетного топлива
Исходные данные: P=500 кН,
давления в камере
=25000 кПа, давления на срезе сопла
=25 кПа, тип ЖРТ: Н2+О2;
αок = 0,7; К1= 5,556; ρт= 0.3449 г/см3; рн=0 (Прототип - третья
ступень РН), lт = 1002 Дж/кг; S = 17.98 Дж/кг.
3.2
Определение основных параметров продуктов сгорания ЖРТ
Значения основных параметров продуктов сгорания находятся для
трех сечений камеры двигателя: на входе в сопло (индекс "с"); в
критическом сечении (индекс "*"); в выходном сечении ("а").
|
Параметр
|
Сечение
"с"
|
Сечение
"*"
|
Сечение
"а"
|
|
ε
|
1,0
|
1.747
|
1000
|
|
р, кПА
|
25000
|
14309
|
25
|
|
Т, К
|
3260
|
3017
|
1106
|
|
μ, кг/
(кмоль)
|
12.90
|
13.00
|
13.22
|
|
а, м/с; М
|
1620
|
1
|
4,670
|
|
n
|
-
|
1.157
|
1.207
|
|
W, м/с
|
-
|
1562
|
4389
|
|
β, , -23544548
|
|
|
|
|
-139,98
|
|
|
|
|
Cpf, Дж/ ( ) 3,9903,9382,962
|
|
|
|
|
Cp, Дж/ ( ) 6,5135,9132,962
|
|
|
|
|
0,95130,90000,3907
|
|
|
|
|
0,63850,39470, 1974
|
|
|
|
|
1, 2001,0480, 1979
|
|
|
|
|
χ
|
1,170
|
1,170
|
1,270
|
4.Определение
коэффициентов потерь
Коэффициент потерь 
, которые обусловлены некачественной организацией процессов,
протекающих в камере сгорания двигателя (смешение, испарение, горение
компонентов топлива)
Определяется коэффициент 
(где 
- коэффициент тяги в пустоте) потерь в сопловом блоке, которые
включают потери на трение 
и потери на рассеивание 
вектора скорости потока в выходном сечении сопла
где 
- угол раствора расширяющейся части сопла на его срезе, 
. Тогда
Рассчитывается коэффициент общих значений потерь в камере
двигателя 
, учитывающий потери в камере и сопловом блоке двигателя в целом
4.1 Расчёт
действительных значений параметров камеры двигателя
Удельный импульс тяги
Расход топлива через камеру двигателя:
Диаметр и площадь выходного сечения сопла:
Диаметр и площадь критического сечения сопла
4.2 Расчёт
площади и диаметра смесительной головки камеры
Основными параметрами смесительной головки камеры являются:
площадь поперечного сечения смесительной головки камеры - Fk;
относительная площадь сечения смесительной головки -
;
расходонапряженность смесительной головки -
;
относительная расходонапряженность смесительной головки -
а) минимально возможное значение относительной площади поперечного
сечения камеры
Значение Fk лежит в
допустимом диапазоне изменения указанной величины, Fk =2…8
б) относительная расходонапряженность смесительной головки
в) Площадь и диаметр камеры
г) Длина смесительной головки камеры
4.3
Определение объёма камеры сгорания двигателя
Vk = Vц + Vc - объём камеры
Vц - объём цилиндрической части камеры, Vc - объём сужающейся части
камеры. Объём камеры сгорания двигателя рассчитывается по уравнению:
Vk = Lпр · F*
а) выбор значения приведённой длины камеры - Lпр
Прототипом проектируемого двигателя является ЖРД с
дожиганием, поэтому приведённая длина камеры Lпр =0.7 м
б) объём камеры сгорания
Vk = Lпр · F* = 0.7 · 0,012 = 0,0084 м3
в) время пребывания топлива в камере - τ
,
где R,Tk,pk, - параметры продуктов сгорания топлива в
камере. В соответствии со статистическими данными по ЖРД, значение τ должно находится в приделах τ = (0,0015…0,0030) с.
Газовая постоянная определяется из выражения:
,
где μс - молекулярная масса продуктов сгорания
топлива.
5.
Профилирование сопла
5.1
Профилирование сужающейся части сопла
Уравнение параболы для сужающейся части сопла
L = Ac ·
Исходными данными для определения Ас и nс являются: радиус критического сечения сопла -
= 0,061 м, радиус цилиндрической части
камеры -
= 0,105 м, угол касательной в месте
соединения параболы с расширяющейся частью сопла - β2 = 500, угол касательной в месте соединения
параболы с цилиндрической частью сопла - β1 = 850, tgβ1 = 11,43, tgβ2 = 1, 19

, 
, nc = 3,65,
Ас = 154
Уравнение параболы для сужающейся части сопла: L = 154·
|
r, м
|
0,061
|
0.07
|
0.08
|
0.085
|
0.09
|
0.095
|
0.105
|
|
L, м
|
0.0056
|
0.0094
|
0.015
|
0.019
|
0.023
|
0.029
|
0.04
|
Длина сужающейся части сопла:
Lc = Lk - Lc* = 0,04 - 0,0056 = 0,0344 м
5.2
Протяженность цилиндрической части камеры сгорания
а) Объём сужающейся части сопла
б) Объём цилиндрической части камеры:
Vц = Vk - Vc = 0,0084 -
= 0,00764 м3
в) Протяжность цилиндрической части камеры:
5.3
Профилирование расширяющейся части сопла
,
, угол касательной в критическом сечении β3 = 700 угол касательной на срезе сопла - β4 = 800, tgβ3 = 1, 19, tgβ4 = 5,67
Уравнение параболы расширяющейся части сопла
, np = 1.83
Ap =
6.61
Уравнение параболы расширяющейся части сопла:
|
r, м
|
0.061
|
0.108
|
0.155
|
0.202
|
0.25
|
0.3
|
0.393
|
|
L, м
|
0.039
|
0.112
|
0.218
|
0.354
|
0,52
|
0,73
|
1, 19
|
Длина расширяющейся части сопла:
Lp = La - Lp,* = 1,19 - 0.039= 1,15м
6. Расчёт
значений массовых секундных компонентов по участкам магистралей горючего,
окислителя и генераторного газа
6.1 По
величине коэффициента соотношения компонентов топлива К1 вычисляются
массовые секундные расходы горючего и окислителя
где:
- массовый секундный расход горючего,
- массовый секундный расход окислителя
6.2
В первом приближение по номограмме находится относительный расход топлива в
пристеночном слое
где:

- относительный и массовый секундный расходы топлива через
периферийные форсунки, соответственно,
- относительный и массовый секундные
расходы топлива через пояса завес, соответственно.
P / 
6.3
Определение коэффициента соотношения компонентов в газогенераторе К1, ГГ
О2, ж+ Н2, ж
1) Для данной схемы ЖРД массовый секундный расход
горючего в газогенераторах равен
Так как в схеме имеются 2 газогенератора - окислительный и
восстановительный, то массовые секундные расходы горючего и окислителя в них
соответственно равны
- окислительный газогенератор
- восстановительный газогенератор
Тогда суммарный массовый секундный расход окислителя через
газогенераторы равен
Определяются массовые секундные расходы горючего 
и окислителя 
через головку камеры
7. Расчёт
основных параметров ТНА и ГГ
7.1 Расчёт
потребных значений давлений компонентов на выходе из насосов и турбины
Значения давлений рассчитываются исходя из принятой к разработке
ПГС по магистралям окислителя, горючего и рабочего тела турбины. При этом
учитывается значения давлений в соответствующих агрегатах (камере двигателя рк
или газогенераторе ргг.) и сумма потерь давлений на рассматриваемом
участке магистрали
где n - количество местных сопротивлений.
Давление в газогенераторе ргг для ЖРД с дожиганием
определяется из уравнения баланса мощностей ТНА
Потери давления на элементах магистралей:
на охлаждающем тракте
на форсунках
на трение в магистралях "насос-камера",
"насос-газогенератор"
на элементах автоматики
давление надува баков с компонентами топлива
Давление на входе в насос равно:
где рж и ρ - давление насыщенного пара, и плотность
компонента, соответственно.
Давление на выходе из насоса
определяется по наиболее напряженной ветви магистрали:
Давление на входе в турбину равно
Давление на выходе из турбины
где р = рн, генераторный газ выбрасывается в головку
камеры
7.2 Уравнение
баланса мощностей ТНА
Общий вид уравнения
где
- мощность и кпд турбины ТНА,
- мощность и кпд насоса,
n - число насосов, совмещённых с турбиной.
В выбранной схеме ЖРД ТНА включает в себя две турбины,
обеспечивающие работу насосов окислителя и горючего, соответственно.
Следовательно, уравнение баланса мощностей ТНА составляется для магистрали
окислителя и горючего раздельно.
- Для магистрали окислителя
- Для магистрали горючего
где:
- удельная работа турбины
и
- массовый секундный расход компонентов
через газогенератор и кпд турбины,
- действительная удельная работа насоса горючего,
и
- массовые секундные расходы горючего, подаваемого в головку
камеры ЖРД и газогенератор,
- действительная удельная работа насоса окислителя,
и
- массовые секундные расходы окислителя, подаваемые в головку
камеры ЖРД и газогенератор,
и
- кпд турбины и насосов,
= 0,6…0,8,
= 0,5…0,6

7.3 Расчёт
параметров насосов
Удельная работа
Потребная мощность насоса
Вт
Объёмная подача
Динамический напор перед насосом
Угловая скорость вращения ротора
- критический антикавитационный коэффициент для
шнекоцентробежного насоса
= 3000. Число оборотов ротора
Коэффициент быстроходности
7.4 Расчёт
параметров турбины
Полезная удельная работа
Перепад давления на турбине
Потребная мощность турбины
Число оборотов ТНА.
Число оборотов ТНА устанавливается, исходя из условия
предотвращения кавитации в насосах. Для этого выбирается число оборотов ТНА
равным минимальному значению числа оборотов насосов
и
7.5 Проверка
сходимости уравнения баланса мощностей
Расчет основных параметров ТНА и ГГ заканчивается проверкой
сходимости уравнения баланса мощностей. Для этого проверяется равенство
потребных мощностей турбины и соответствующего ей насоса.
- Для магистрали окислителя

- Для магистрали горючего
Уравнения баланса мощностей ТНА сходятся. Следовательно
расчет проведен верно.
8.
Проектирование смесительной головки
Проектирование смесительной головки начинается с выбора схемы
смесеобразования, которая принимается обычно по прототипу. Для данного ЖРД
целесообразно применять плоскую головку камеры сгорания, т.к. в сочетании с
цилиндрической камерой сгорания она обеспечивает хорошую однородность поля
скоростей и концентрацию компонентов топлива по поперечному сечению камеры.
Для получения лучшего распыла и смешения компонентов топлива в
двигателях с дожиганием, выполненных по схеме "газ-жидкость", с
диаметром камеры 
стоило бы применять двухкомпонентные газожидкостные форсунки с
внутренним смешением компонентов топлива. Однако для камер малого и среднего диаметров
(до 0,25 … 0,3м) применяются мелкорасходные однокомпонентные форсунки по
сотовой схеме с целью размещения большего числа форсунок. Это особенно важно
для камер малого диаметра, так как при большом диаметре и большом количестве
форсунок схема их расположения не имеет существенного значения.
Задаются геометрическими характеристиками выбранной схемы
размещения и форсунок
- диаметр корпуса форсунки по огневому днищу
- минимальное расстояние между корпусами
форсунок
- расстояние между осями смежных форсунок
- расстояние от оси пристеночных форсунок до
стенки камеры
- количество форсунок горючего 
- количество форсунок окислителя 
- количество периферийных форсунок 
Общее количество форсунок 
Определяются расходы компонентов топлива через форсунку
8.1 Расчет
однокомпонентной центробежной форсунки
Расчет форсунки горючего
Исходные данные для расчета:
- секундный расход горючего 
- перепад давления на форсунке 
- плотность компонента топлива 
- угол конуса распыла 
- коэффициент динамической вязкости 
Зная угол 
по графику определяется в первом приближении геометрическая
характеристика 
и коэффициент расхода 
Находим площадь и диаметр сопла форсунки в первом приближении
Из конструктивных соображений задаемся числом входных отверстий 
и плечом закрутки 
Рассчитываем в первом приближении радиус входных отверстий
форсунки:
Вычисляют число Рейнольдса, как функцию параметров на входе в
форсунку:
Находим коэффициент трения
Определяем значение эквивалентной геометрической характеристики в
первом приближении
Полученное значение Aэ найдено
верно, т.к. отличие от геометрической характеристики A’ составляет 3%
Толщина стенки форсунки 
, толщина стенки сопла форсунки 
, а высота форсунки h=0,007 м.
Расчет форсунки окислителя
Исходные данные для расчета:
- секундный расход горючего 
- перепад давления на форсунке 
- плотность компонента топлива 
- угол конуса распыла 
- коэффициент динамической вязкости 
Зная угол 
по графику определяется в первом приближении геометрическая
характеристика 
и коэффициент расхода 
Находим площадь и диаметр сопла форсунки в первом приближении
Из конструктивных соображений задаемся числом входных отверстий 
и плечом закрутки 
Рассчитываем в первом приближении радиус входных отверстий
форсунки:
Вычисляют число Рейнольдса, как функцию параметров на входе в
форсунку:
Находим коэффициент трения
Определяем значение эквивалентной геометрической характеристики в
первом приближении

Толщина стенки форсунки 
, толщина стенки сопла форсунки 
, а высота форсунки h=0,006 м.
9.
Проектировочный расчет системы охлаждения камеры сгорания
Эффективность системы охладителя камер ЖРД во многом
определяет надежность и экономичность двигателя.
Цель расчета состоит в определении:
- плотности теплового потока в критическом
сечении и ее изменения по длине камеры;
- подогрева охладителя в расширяющейся,
сужающейся и цилиндрической частях камеры ЖРД;
- параметров оребрения в критическом
сечении;
- температуры огневой стенки со стороны
охладителя;
- параметров поясов завес.
9.1
Определение распределения плотности теплового потока и подогревов охладителя по
длине камеры
Исходными данными для определения количества тепла,
сообщенного охладителю в расширяющейся части сопла, являются:
- закон изменения плотности теплового потока
по длине расширяющейся части сопла
где 
- плотность теплового потока в критическом сечении,

- текущее значение плотности теплового потока по длине камеры,

- радиусы критического и текущего сечения камеры;
- уравнение контура расширяющейся части
сопла
- значения радиусов критического сечения и
среза сопла соответственно
- удельная массовая теплоемкость охладителя
- расход охладителя
Тогда элементарное количество тепла, передаваемой охладителю
в расширяющейся части сопла
Кроме того
где 
- подогрев охладителя в расширяющейся части сопла. Исходными
данными для определения количества тепла, сообщенного охладителю в сужающейся
части сопла, являются: закон изменения плотности теплового потока по длине
сужающейся части сопла
- уравнение контура сужающейся части сопла
- значение радиуса камеры ЖРД
Тогда элементарное количество тепла, передаваемой охладителю
в сужающейся части сопла
Кроме того
где 
- подогрев охладителя в сужающейся части сопла.
Исходными данными для определения количества тепла, сообщенного
охладителю в цилиндрической части камеры, являются:
- закон изменения плотности теплового потока
по длине цилиндрической части камеры
- длина цилиндрической части камеры
Тогда элементарное количество тепла, передаваемой охладителю
в цилиндрической части камеры
Кроме того
где 
- подогрев охладителя в цилиндрической части камеры.
Тогда суммарное количество тепла, сообщаемое охладителю равно
Кроме того
Принимая значение подогрева охладителя равным
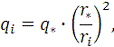
Определяется плотность теплового потока в критическом сечении
Определяется плотность теплового потока в цилиндрической
части камеры и на срезе сопла соответственно
По значениям теплового потока 
, рассчитываемым по формулам
- для цилиндрической части камеры и
сужающейся части сопла
- для расширяющейся части сопла
для рассматриваемых сечений 
строится зависимость 
Для цилиндрической части камеры
Для сужающейся части сопла при 
- при 
- при 
- при 
Для критического сечения сопла
Для расширяющейся части сопла при 
- при 
- при 
- при 
|
Параметры
|
Цилиндрическая
часть камеры
|
Сужающаяся
часть сопла
|
Крити-ческое
сечение сопла
|
Расширяющаяся
часть сопла
|
|
|
150
|
100
|
110
|
120
|
140
|
95
|
160
|
300
|
400
|
500
|
|
|
|
54,2
|
47
|
41,3
|
32,7
|
|
40,9
|
11,7
|
6,6
|
4,2
|
.1.1. Рассчитываются подогревы охладителя
- в расширяющейся части сопла
- в сужающейся части сопла
- в цилиндрической части камеры
9.2
Определение параметров оребрения
Задаются параметрами оребрения внутренней оболочки в
критическом сечении:
- толщина огневой стенки из стали
- толщина гофра
- расстояние между гофрами (по оси)
Определяется число каналов тракта охлаждения в критическом
сечении
Тогда число каналов тракта охлаждения 
Рассчитывается высота гофра в критическом сечении сопла (причем
она должна быть не менее 
где 
- скорость охладителя в критическом сечении. Тогда
9.3
Определение температуры огневой стенки со стороны охладителя
В связи с тем, что критическое сечение сопла является наиболее
теплонапряженным, следует определить температуру огневой стенки со стороны
охладителя 
.
Задается температура поверхности внутренней стенки 
, которая меньше предельно допустимой температуры 
материала стенки на 
Для стали 

, тогда
Определяется теплопроводность для стальной внутренней стенки
Температура огневой стенки рассчитывается из равенства
Проверяется выполнение условие
где 
;

- температура перегрева.
Условие выполняется.
9.4 Расчет
поясов завес
Для организации внутреннего охлаждения используют завесное
охлаждение, расчет которого проводят по величине массового секундного расхода
горючего через пояса завес 
.
В данном курсовом проекте применяются 2 пояса завес. Первый пояс
малого расхода располагается на расстоянии 
от огневого днища смесительной головки. Второй пояс большого
расхода - в конце цилиндрического участка камеры.
Определяется число отверстий в поясах завес
где 
- шаг отверстий. Тогда
Количество отверстий принимается равным 
Рассчитывается расход охладителя через одно отверстие
- для первого пояса завесы
- для второго пояса завесы
Определяется диаметр отверстия поясов завес
где 
- коэффициент расхода;

- перепад давления между трактом охлаждения и камерой сгорания

- давление в тракте охлаждения

- перепад давления на форсунках;

- гидравлическое сопротивление на участке от пояса завесы до
смесительной головки
- для первого пояса завесы
- для второго пояса завесы
Тогда диаметры отверстия поясов завес
- для первого пояса завесы
- для второго пояса завесы
10.
Проектировочный прочностной расчет узлов камеры сгорания
Цель расчета состоит в определении толщин основных элементов
камеры:
- днищ форсуночной головки;
- наружной оболочки цилиндрической части
камеры.
Исходными данными расчета являются геометрические размеры
проточной части камеры и параметры газового потока.
Используется допущение - все расчеты выполняются без учета
краевого эффекта, а рассчитываемые элементы работают в области упругих
деформаций.
10.1 Определение
толщины наружной оболочки цилиндрической части камеры
Толщина наружной оболочки 
цилиндрической части камеры определяется для номинального режима
работы двигателя без учета краевого эффекта по безмоментной теории прочности.
Внутренняя оболочка работает в области пластических деформаций, т.к. ее
температура значительно выше, чем у наружной. Поэтому ее деформации стесняются
наружной оболочкой.
В целях упрощения расчета считается, что внутренняя и наружная
оболочки равномерно нагреты по толщине до температуры охладителя 
связи между оболочками считаются абсолютно жесткими. Это
позволяет рассматривать двухстенную оболочку как одностенную двухслойную.
Толщина наружной стенки 
определяется из выражения
где 
- коэффициент запаса прочности;

- предел прочности материала наружной оболочки, для стали 
при температуре 
,

- погонные силы (отнесенные к единице длины) в меридиальном и
окружном направлениях соответственно;

- толщина внутренней стенки;

- нагрузки, передаваемые от внутренней оболочки к наружной.
Для материала внутренней стенки - сталь 
при температуре 
,
Тогда толщина наружной стенки равна
10.2
Расчет наружного сферического днища
Сферическое днище имеет меньший вес и длину, чем газовод.
Кроме того, большой объем между сферическим и огневым днищами исключает
необходимость применения перфорированной решетки для выравнивания давления
перед форсунками.
Наружное днище рассчитывается как тонкостенная оболочка вращения,
нагруженная внутренним давлением. Меридиональные 
и окружные 
напряжения по толщине днища неизменны и равны 
причем 
. Следовательно, днище рассчитывается по безмоментной теории. В
месте крепления днища к силовому кольцу имеют место изгибающие напряжения в
материале сварного шва, для уменьшения которых толщина силового кольца в
указанной зоне принимается равной толщине сферического днища. Для этого же
силовое кольцо и днище выполняются из пластического материала 
.
Толщина сферического днища определяется из выражения
где 
- коэффициент запаса прочности днища; 
- наружный радиус сферического днища, который равен
(
- внутренний радиус камеры сгорания, 
- толщина внутренней стенки, 
- высота оребрения, 
- толщина наружной стенки); 
- давление газов на внутреннюю поверхность сферического днища

- предел прочности материала сферического днища.
Для материала 
, при температуре 
Тогда толщина сферического днища равна
.3 Расчет
среднего и внутреннего ("огневого") днищ
Внутреннее днище испытывает нагрузку от перепада давления,
равную
Через припой и форсунки она передаётся на среднее днище. Эта
нагрузка в паяных соединениях вызывает напряжения среза и изгибные напряжения в
днищах.
Ширина паяных соединений в местах крепления форсунок может
быть определена без учета крепления внутреннего днища к силовому кольцу по
формуле
где

- радиус камеры сгорания; 
- радиус форсунки; 
- количество форсунок; 
- перепад давления на форсунках; 
- коэффициент запаса прочности припоя; 
- допустимые
касательные напряжения для марки припоя Г70НХ при 
. Тогда ширина паяных соединений равна
Толщина среднего днища без учета связи с внутренним днищем
определяется из выражения
где 
- коэффициент запаса прочности среднего днища; 
- предел прочности материала среднего днища.
Для материала Х17Н5М3 при температуре 
Тогда толщина среднего днища равна
Толщина внутреннего днища принимается равной толщине среднего
днища
В настоящее время среднее днище, как правило, выполняется
сферически, что обеспечивает его повышенные прочностные характеристики и
исключает необходимость его жесткой связи с наружным сферическим днищем.
Литература
1.
Г.В. Куликов Н.Л. Ярославцев Расчет камеры жидкостного ракетного двигателя
.
Г.В. Куликов Н.Л. Ярославцев Альбом конструкций и элементов камер ЖРД
.
Лабораторный практикум по курсу "Теория расчет и проектирование ракетный
двигателей"
.
Н.Л. Ярославцев Термодинамические и теплофизические свойства рабочих тел ЖРД
(Методические указания к курсовому проекту по дисциплине "Теория, расчет и
проектирование ракетных двигателей")
.
В.Г. Попов Н.Л. Ярославцев. Жидкостные ракетные двигатели