Функция y = [x] и некоторые ее применения

  • Вид работы:
    Курсовая работа (т)
  • Предмет:
    Математика
  • Язык:
    Русский
    ,
    Формат файла:
    MS Word
    306,91 Кб
  • Опубликовано:
    2016-05-29
Вы можете узнать стоимость помощи в написании студенческой работы.
Помощь в написании работы, которую точно примут!

Функция y = [x] и некоторые ее применения

СОДЕРЖАНИЕ

Введение

1. Понятие целой части действительно числа, функция

. Свойства функции и ее график

. Примеры процессов, описываемых функцией

. Применение свойств, при решении задач

Заключение

Библиографический список

ВВЕДЕНИЕ


Данная курсовая работа посвящена изучению функции  и некоторых ее применений. В ней дается свойства этой функции, график, примеры процессов, описываемых функцией, применение свойств рассматриваемой функции.

Актуальность данной работы обусловлена тем, что функция  встречаются в школьном курсе математики, а также на математических олимпиадах.

Объект исследования: функция  .

Предмет исследования: определение функции , ее свойства и приложения.

Цель исследования: дать определение функции , описать ее свойства и приложения.

Задачи исследования:

. Дать определение понятия функции  .

. Рассмотреть свойства функции и построить ее график.

. Рассмотреть примеры процессов, описываемых функцией  .

. Рассмотреть примеры функции  , встречающихся на математических олимпиадах.

. Применить свойства рассматриваемой функции при решении задач на делимость, при нахождении целой части иррациональных выражений, при решении уравнений и систем уравнений и при решении геометрических задач.


1. ПОНЯТИЕ ЦЕЛОЙ ЧАСТИ ДЕЙСТВИТЕЛЬНОГО ЧИСЛА, ФУНКЦИЯ

действительный число функция задача

Действительные числа - понятие достаточно абстрактное. Основной смысл использования в математике всего множества действительных чисел заключается в необходимости измерения непрерывных величин. Наглядно понятие вещественного числа можно представить себе при помощи числовой прямой. Если на прямой выбрать направление, начальную точку и единицу длины для измерения отрезков, то каждому вещественному числу можно поставить в соответствие определённую точку на этой прямой, и обратно, каждая точка будет представлять некоторое, и притом только одно, вещественное число. Вследствие этого соответствия термин числовая прямая обычно употребляется в качестве синонима множества вещественных чисел.

В различных вопросах теории чисел, математического анализа, теории рекурсивных функций и в других вопросах математики используются понятия целой и дробной частей действительного числа. Рассмотрим более подробно тему понятия целой части действительного числа.

Целой частью действительного числа х называется наибольшее целое число, не превосходящее х.

Целая часть числа обозначается символом [х ] и читается так: “целая часть х” или: “целая часть от х ”. Иногда целая часть числа обозначается Е(х) и читается так: “антье х ” или “ антье от х ”. Второе название происходит от французского слова entiere - целый.

Функция целая часть числа имеет вид y = [x].

2. СВОЙСТВА ФУНКЦИИ И ЕЕ ГРАФИК

Свойства функции y = [x].

1. Функция имеет смысл для всех значений переменной x, что следует из определения целой части числа <#"878765.files/image004.gif">, функция принимает одно значение . Поэтому функция неубывающая, то есть для любых  имеет место равенство . Поэтому же при функция отрицательна,  , при .)

. Точек экстремума функция не имеет, так как не меняет характер монотонности.

. Так как функция y = [x] постоянна на каждом интервале [n ; n+1), она не принимает наибольшего и наименьшего значений на области определения.

График функции имеет следующий вид.

Рис.1  График функции y =[x]

3. ПРИМЕРЫ ПРОЦЕССОВ, ОПИСЫВАЕМЫХ ФУНКЦИЕЙ


 


Известно, что многие реальные процессы описываются непрерывными функциями. Например, зависимость пути движения тела от времени его движения, зависимость массы тела от его объема и др.

Но есть некоторые процессы, например, процесс работы электрических часов. Известно, что минутная стрелка этих часов движется скачкообразно: в промежутке между последовательными целыми минутами она находится в покое, а затем мгновенно меняет свое положение. Поэтому если показания минутной стрелки рассматривать как функцию времени, то её график представляет собой ступенчатую фигурку.

Рассмотрим еще несколько таких процессов и их графики.

Пример1:. Плата за багаж при перевозке груза зависит от его массы по следующему закону: за первые 30 кг она составляет 20 рублей, а за каждые последующие полные или неполные 10кг возрастает на 10 рублей. График зависимости стоимости перевозки от массы груза представлен на рис.2. График зависимости представлен в ограниченном виде.

Рис.2 ( График представлен в ограниченном виде)

Пример 2: Стоимость звонка со стационарного телефона на мобильный зависит от времени разговора и составляет за каждую полную и неполную минуту 1,5 рубля. График зависимости стоимости звонка от времени разговора представлен на рис.3.

Рис.3 ( График представлен в ограниченном виде)

Эти графики называются, графики, описываемые функцией  .

4. ПРИМЕНЕНИЕ СВОЙСТВ, ПРИ РЕШЕНИИ ЗАДАЧ


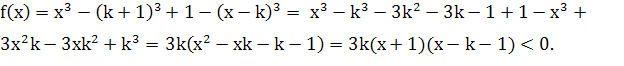
1. Применение свойств рассматриваемой функции при решении задач на делимость.( Задача из «Антье», журнал «Квант» Мордкович А.Г., Смышляев В.В.  1976. №5 )

Задача: Сколькими нулями оканчивается число 1976!?

Решение: Задача будет решена, если мы найдем, чему равна максимальная степень числа 10, на которую делится 1976!. Но поскольку 10=2*5, нам достаточно подсчитать, в какой степени число 5 в разложении на простые множители числа 1976! ( т.к. 2 войдет сомножителем большее число раз, чем 5). Число 1976 меньше , но больше, чем , поэтому количество нулей на конце числа мы получаем посчитав .

Ответ: число 1976! оканчивается 492 нулями.

. Применение свойств рассматриваемой функции при решении уравнений. .( Задача из Алексеева В., Ускова Н. Задачи, содержащие целую и дробную части числа// Математика. 1997. №17.)

Задача: Решить уравнение

Решение: Проведём замену [х] = а, аz. и получим новое кубическое уравнение За3+2а2+5а-10=0. Первый корень этого уравнения найдём путём подбора: а=1 - корень уравнения. Делим наше уравнение на (а-1). Получаем квадратное уравнение 3а2 + 5а +10=0. Это уравнение имеет отрицательный дискриминант, а значит, не имеет решений. То есть, а=1 - единственный корень уравнения. Проводим обратную замену: [х]=а=1. Полученное уравнение решаем по определению целой части числа: х[1 ;2).

Ответ: х[1 ;2).

. Применение свойств рассматриваемой функции при решении геометрических задач. ( Задача из Алексеева В., Ускова Н. Задачи, содержащие целую и дробную части числа// Математика. 1997. №17.)

Задача: Сколько целых точек расположено на сторонах и внутри треугольника, образованного прямыми , x = 10 и осью абсцисс?

Решение : Найдём значения функции y = x- при целых x = 1, 2, . . ., 10 (заметим, что у = 0 при x = ); получим ординаты , , , , , , , , , . Легко подсчитать, что общее число целых точек, лежащих в данном треугольнике (учитывая точки на границе), равно сумме целых частей этих ординат плюс десять точек, лежащих на оси абсцисс:

[]+[]+[]+[]+[]+[]+[]+[]+[]+[]+10 =1+2+2+3+4+4+5+6+10=37

Таким образом, внутри данного треугольника лежат 37 целых точек.

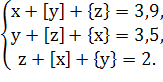
. Применение свойств рассматриваемой функции при решении системы уравнений. (Задача из «Сборник задач по алгебре с углубленным изучением, 8 класс» Звавич Л.И., Рязановский Р.А)

Задача№1: Решите систему уравнений

 

Решение: Приведем схему решения:

) Если сложить все три уравнения, то в левой части помимо суммы 𝑥 + 𝑦 + 𝑧 соберутся пары [𝑥] + {𝑥}, [𝑦] + {𝑦} и [𝑧 ] + {𝑧} ( т.к. {𝑥}= , которые сворачиваются в 𝑥, 𝑦 и 𝑧 соответственно. Таким образом, имеем , или .

) Складывая первые два уравнения, получим в левой части , или, что означает:

) Выполним аналогичные пункту 2) действия для второго и третьего уравнений: [𝑧 ] = 0 и {𝑦} = 0,8.

) В заключение, складывая подобным образом первое и третье уравнение, найдем: [𝑥] = 1 и {𝑧} = 0,2. Подытожим: 𝑥

Ответ:

. Применение свойств рассматриваемой функции при нахождении целой части иррациональных выражений.( Задача из «Сборник задач по алгебре с углубленным изучением, 8 класс» Звавич Л.И., Рязановский Р.А)

Задача: Найти целую часть числа

Решение:

По свойству функции:

 

 

 

+0,7+0,5+0,5+0,4 < х < 1+0,8+0,6+0,5+0,5.

Т.е. 3,1< x <3,4 и, следовательно, [x]=3.

. В различных математических олимпиадах последних лет присутствуют задачи, основанные на применении целой части действительного числа. Рассмотрим некоторые из них.

( Задачи взяты с сайта «Олимпиады точных наук»

Задача 1. Решить уравнение

 

Решение: Найдем ОДЗ системы: .

Рассмотрим два случая:  и .

Если , то  и . В этом случае уравнение решений не имеет.

Если же  , то  и уравнение принимает вид  откуда .

Задача 2. Определите количество действительных решений уравнения

 

При

где n

Решение: Приведем уравнение к виду

.

Разобьем полуинтервал  сначала на единичные промежутки с целочисленными концами  на такие промежутки, на которых функция  постоянна.

Таким образом, полуинтервал  будет разбит на промежутки

 )

где  такое, что  Рассмотрим функцию на полуинтервале  ). На указанном промежутке  и  Но самое главное, функция  строго возрастает. Интуитивно понятно, при  функция  растет быстрее, чем функция , ведь функция состоит из фрагментов  на полуинтервале [0;1).

Разберем три случая расположения промежутка

 )

относительно концов полуинтервала.

, то есть

 следовательно,  решение исходного уравнения.

Других решений нет, так как функция  возрастает.

,

где m принимает такие натуральные значения, что

 

На левом конце полуинтервала

В качестве значения первого конца возьмем

,

где  сколь угодно малое положительное число. Тогда на «правом конце»

Делаем вывод, что во 2-м случае решение исходного уравнения существует, причем такое решение единственное, поскольку функция f(x) возрастает.

, то есть .

Покажем, что на данном промежутке

 

Значит, в последнем случае исходное уравнение не имеет решений.

Осталось произвести подсчёт количества решений. Общее количество промежутков вида  равно  Количество полуинтервалов, проанализированных в 3-м случае, на которых отсутсвуют решения, равно

Ответ: .

ЗАКЛЮЧЕНИЕ


В данной работе была рассмотрена функция  и некоторые ее применения.

При этом мы:

Подобрали и изучили литературу по данной теме.

Дали определение функции  и узнали, что она называется функция «Антье» или «Целая часть числа».

Рассмотрели задачи с данной функцией.

В ходе работы, мы дали определение понятия целой части действительно числа, узнали, что она используется в различных вопросах теории чисел, математического анализа, теории рекурсивных функций и в других вопросах математики, тем самым выполнили первую, поставленную нами задачу. Затем мы подробно рассмотрели свойства функции и построили ее график и тем самым выполнили вторую задачу. Также, мы узнали, что многие реальные процессы описываются непрерывными функциями и функция  не исключение. Рассмотрели примеры этих процессов для нашей функции. Один из примеров процесса был скачкообразное движение минутной стрелки. И на этом третья задача была выполнена. Далее мы перешли к практической части нашей курсовой работы, и рассмотрели применение свойств при решении задач на делимость, при нахождении целой части иррациональных выражений, при решении уравнений и систем уравнений и при решении геометрических задач. И было выяснено, что в различных математических олимпиадах последних лет присутствуют задачи, основанные на применении целой части действительного числа и некоторые из них были рассмотрены. Тем самым, мы выполнили четвертую и пятую задачу, поставленную нами, для достижения поставленной цели.

Таким образом, можно сказать, что функция  представляет наибольшую сложность, как в логическом, так и в техническом плане, для участников математических олимпиад.

Изучение данной темы входит только в программу школ и классов с углубленным изучением математики и для этой темы отводится только 34 строки школьного учебника ( 9класс). Хотя функция  является довольно-таки интересной темой.

Библиографический список


1. Арнольд И.В. Теория чисел.  M., 1939.

. Виноградов И.М. Основы теории чисел.  M., 1949.

. Мордкович А.Г., Смышляев В.В. Антье//Квант .  1976. №5

. Звавич Л.И., Рязановский А.Р. Алгебра - 8. Задачник для классов с углубленным изучением математики.  M.:Мнемозина, 2002. стр. 156.

. Алексеева В., Ускова Н. Задачи, содержащие целую и дробную части числа// Математика. 1997. №17. С.59-63.

. Олимпиады точных наук, 10 класс, математика , 2015 г.

Похожие работы на - Функция y = [x] и некоторые ее применения

 

Не нашли материал для своей работы?
Поможем написать уникальную работу
Без плагиата!
Без нейросетей!