Графики основных элементарных функций
Федеральное
агентство по образованию
Южно-Уральский
государственный университет
Кафедра
математического анализа
Реферат
на тему:
Графики основных элементарных функции
Челябинск,
2008
Основные
понятия и свойства функций
Область определения и область значений функции. В элементарной
математике изучаются функции только на множестве действительных чисел R.
Это значит, что аргумент функции может принимать только те действительные
значения, при которых функция определена, т.e. она также принимает только
действительные значения. Множество X всех допустимых действительных
значений аргумента x, при которых функция y = f ( x )
определена, называется областью определения функции. Множество Y
всех действительных значений y, которые принимает функция, называется областью
значений функции. Теперь можно дать более точное определение функции:
правило (закон) соответствия между множествами X и Y, по которому
для каждого элемента из множества X можно найти один и только один элемент из
множества Y, называется функцией.
Функция считается заданной, если: задана область
определения функции X; задана область значений функции Y;
известно правило ( закон ) соответствия, причем такое, что для каждого значения
аргумента может быть найдено только одно значение функции. Это требование
однозначности функции является обязательным.
Монотонная функция. Если для любых двух
значений аргумента x1 и x2 из условия x2
> x1 следует f ( x2 )
> f ( x1 ), то функция f ( x ) называется
возрастающей; если для любых x1 и x2
из условия x2 > x1 следует f (
x2 ) < f ( x1 ), то
функция f ( x ) называется убывающей. Функция,
которая только возрастает или только убывает, называется монотонной.
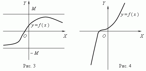
Ограниченная и неограниченная функции. Функция называется ограниченной,
если существует такое положительное число M, что | f ( x )
|
M для всех значений x . Если такого числа не существует, то
функция - неограниченная.
Непрерывная и разрывная функции. Функция y = f ( x )
называется непрерывной в точке x = a, если :
) функция определена при x = a, т.e. f ( a
) существует;
) существует конечный предел limx
af(x) ;
) f ( a ) = limx
af(x) .
Если не выполняется хотя бы одно из этих условий, то функция
называется разрывной в точке x = a.Если функция
непрерывна во всех точках своей области определения, то
она называется непрерывной функцией.
Чётная и нечётная функции. Если для любого
x из области определения функции имеет место: f ( x
) = f ( x ), то функция называется чётной; если же
имеет место: f ( x ) = f ( x ),
то функция называется нечётной. График чётной функции симетричен
относительно оси Y ( рис.5 ), a график нечётной функции симметричен
относительно начала координат ( рис.6 ).
Периодическая функция. Функция f ( x ) - периодическая,
если существует такое отличное от нуля число T , что для любого
x из области определения функции имеет место: f ( x + T
) = f ( x ). Такое наименьшее число называется периодом
функции. Все тригонометрические функции являются периодическими.
Нули функции. Значение аргумента, при котором функция равна 0, называется нулём
( корнем ) функции. Функция может иметь несколько нулей. Например,
функция y = x ( x + 1 ) ( x3 ) имеет три
нуля: x = 0, x = 1, x = 3. Геометрически нуль
функции - это абсцисса точки пересечения графика функции с осью Х
.
На рис.7 представлен график функции с нулями: x = a,
x = b и x = c .
Асимптота. Если график функции неограниченно приближается к некоторой прямой
при своём удалении от начала координат, то эта прямая называется асимптотой.
Степенная
функция
Определение. Степенной функцией с вещественным
показателем a называется функция y = x n , x >
0.
Заметим, что для натуральных n степенная функция
определена на всей числовой оси. Для произвольных вещественных n это
невозможно, поэтому степенная функция с вещественным показателем определена
только для положительных x .
К основным свойствам степенной функции y = x a при
a > 0 относятся:
· Область определения
функции − промежуток (0; +∞).
· Область значений функции −
промежуток (0; +∞).
· Для любых a график
функции проходит через точку (1; 1).
· Функция строго монотонно
возрастает в области определения функции, то есть, если x1
< x2 то ar1 < ar2
.
· График степенной функции
при a > 0 изображен на рисунке.
функция асимптота степенной логарифмический
К основным свойствам степенной функции y = x a
при a < 0 относятся:
· Область определения
функции − промежуток (0; +∞).
· Область значений функции −
промежуток (0; +∞).
· Для любых a график
функции проходит через точку (1; 1).
Функция строго монотонно возрастает в области определения
функции, то есть, если x1 < x2 то ar1
> ar2
· График степенной функции
при a < 0 изображен на рисунке.
Справедливы следующие свойства степенной функции:
o xa1xa2
= xa1 + a2
o xa1
: xa2
= xa1 - a2
o (xa1)a2
= xa1 a2
o xa1
> xa2, x > 1, a1 > a2
o xa1
< xa2, 0 < x < 1, a1 < a2
Квадратичная
функция
Определение.
Функция, заданная формулой y = ax2 + bx + c
, где x и y - переменные, а a, b, c
- заданные числа, причем a
=0 , называется квадратичной функцией.
График квадратичной функции - парабола. Если a > 0 , то
ветви параболы направлены вверх. Если a < 0 , то ветви параболы
направлены вниз.
|
Функция
|
y=ax2
|
y=ax2+bx+c
|
|
Область определения
|
R
|
R
|
|
Вершина параболы
|
(0;0)
|
(x0;y0);x0=−b2ay0=−4ab2−4ac
|
Нули функции x = 0 при b2−4ac
0
x1
2=−b2a
2a
b2−4ac
|
при b2−4ac 0 нулей нет
|
|
|
Экстремумы
|
минимум в вершине, если a
> 0 максимум в вершине, если a < 0
|
минимум в вершине, если a
> 0 максимум в вершине, если a<0
|
Область значений
0;+
, еслиa
> 0
Логарифмическая
функция
Определение.
Функция y = loga х (где а > 0, а
=1) называется логарифмческой.
Построение графиков. График логарифмической функции logaх можно
построить, воспользовавшись тем, что функция logaх обратна
показательной функции y = ax. Поэтому достаточно
построить график функции y = ax, а затем отобразить
его симметртрично относительно прямой у = х.
Свойства функции у = logaх , a > 1:
. D(f) = (0; +
);
. не является ни четной, ни нечетной;
. возрастает на (0; +
);
. не ограничена сверху, не ограничена снизу;
. не имеет ни наибольшего, ни наименьшего значений;
. непрерывна;
. E(f) = (-
;+
);
. выпукла вверх;
. дифференцируема.
Свойства функции у = logaх
, 0 < a < 1 :
1. D(f) = (0;+
);
. не является ни четной, ни нечетной;
. убывает на (0; +
);
. не ограничена сверху, не ограничена снизу;
. нет ни наибольшего, ни наименьшего значений;
. непрерывна;
. E(f) = (-;
+
);
. выпукла вниз;
. дифференцируема.
Свойства
функции у = ln х :
1. D(f) = (0; +
);
. не является ни четной, ни нечетной;
. возрастает на {0; +
);
. не ограничена сверху, не ограничена снизу;
. не имеет ни наибольшего, ни наименьшего значений;
. непрерывна;
. E(f) = (-
;+
);
. выпукла вверх;
. дифференцируема.
Функция
корень
Определение: Квадратный корень из числа
a - это такое число, квадрат которого (результат
умножения на себя) равен a, то есть решение уравнения x2
= a относительно переменной .x
Квадратным корнем называют также функцию
x вещественной переменной x, которая каждому x
0 ставит в соответствие арифметическое значение корня. Эта
функция является частным случаем степенной функции x
с a=21. Эта функция является гладкой при x
> 0 , в нуле же она непрерывна справа, но не дифференцируема.
Свойства
функции y=√
x
· Область определения - луч [о;+
) . Это следует из, того что выражение √
x определено лишь при x
0.
· Функция y=√
x ни четна,
ни нечетна.
· Функция y=√
x возрастает
на луче [о;+
) .
Функция
y=
n√x .
· При четном n функция y=
nx обладает теми же свойствами, что и функцияy=
x и график ее напоминает график функции y=
x .
· При нечетном n функция y=
n√
x обладает теми же свойствами. что и функция y=
3√
x , и график
ее напоминает график функции y=
3√
x .
Функция
модуль
Ключевые слова: модуль, функция модуль, преобразование
графика модуль
Определение: Функция модуль является биссектрисами
первого и второго координатных углов
Свойства:
· Функция модуль является
четной функцией
· Производная функции
модуль в точке x=0 несуществует
· График функции модуль
симметричен относительно оси ординат
Показательная
функция
Ключевые слова: функция, показательная
функция, график, степень, основание степени
Определение. При a > 0, a ≠ 1,
определена функция y = a x , отличная от
постоянной. Эта функция называется показательной функцией с основанием a.
Основные свойства показательной функции y = a x при a > 1:
· Область определения
функции − вся числовая прямая.
· Область значений функции − промежуток (0;+
) .
· Функция строго монотонно возрастает на всей числовой
прямой, то есть, если x1 < x2 , то
ax1 < ax2 .
· При x = 0 значение функции равно 1.
· Если x > 0 , то a x > 1 и
если x < 0, то 0 < a < 1.
Графики показательных функций с основанием 0 < a
< 1 и a > 1 изображены на рисунке.
Основные свойства показательной функции y = a x при 0 < a <
1:
· Область определения
функции − вся числовая прямая.
· Область значений функции − промежуток (0;+
) .
· Функция строго монотонно возрастает на всей числовой
прямой, то есть, если x1 < x2 , то
ax1 > ax2 .
· При x = 0 значение функции равно 1.
· Если x > 0 , то 0 < a < 1 и если x
< 0, то a x > 1.
К общим свойствам показательной функции как при 0
< a < 1, так и при a > 1 относятся:
o ax1 ax2 = ax1
+ x2, для всех x1 и
x2.
o
nax=axn
для любого x и любого n
N
n
=1.
o (ab)x =
ax bx для любых a, b > 0; a,b
=1.
o (ba)x=bxax
для любых a, b > 0; a,b
=1.
o ax1 = ax2, то x1 =
x2.
Функция
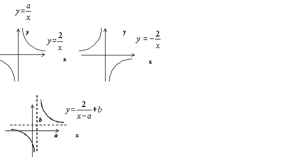
обратной пропорциональности
Определение:
Переменные x и y связаны обратно пропорциональной зависимостью y=xk
, где k
=0 , k - коэффициент обратной пропорциональности.
· Графиком обратной
пропорциональности y=xk является кривая, состоящая из двух
ветвей, симметричных относительно начала координат. Этот график называется
гиперболой.
· Область определения функции функции y=xk есть
множество всех чисел, отличных от нуля, т.е D(f)=(−
;0)
(0:+
)
· Гипербола не имеет общих точек с осями координат, а лишь
сколь угодно близко к ним приближается, т.к. x
=0 .
Если k > 0 , то ветви гиперболы в I и III
координатных четвертях, если k < 0, то ветви гиперболы расположены во
II и IV координатных четвертях координатной плоскости.
Тригонометрические функции
При построении тригонометрических функций мы используем радианную
меру измерения углов. Тогда функция y = sin x
представляется графиком ( рис.19 ). Эта кривая называется синусоидой.
График
функции y = cos x представлен на рис.20; это также синусоида,
полученная в результате перемещения графика y = sin x вдоль оси Х
влево на
/2.
Из этих графиков очевидны характеристики и свойства этих
функций:
- область определения: -
< x < +
; область значений: -1
y
+1;
эти функции периодические: их период 2
;
функции ограниченные ( | y |
1 ), всюду непрерывные, не монотонные, но имеющие так называемые интервалы
монотонности, внутри которых они ведут себя, как монотонные функции ( см.
графики рис.19 и рис.20 );
функции имеют бесчисленное множество нулей ( подробнее см. раздел
«Тригонометрические уравнения» ).
Графики функций y = tan x и y = cot x
показаны соответственно на рис.21 и рис.22
Из графиков видно, что эти функции: периодические ( их период
), неограниченные, в целом не монотонные, но имеют
интервалы монотонности ( какие? ), разрывные ( какие точки разрыва имеют эти
функции? ). Область определения и область значений этих функций:
Обратные тригонометрические функции
Функции y = Arcsin x ( рис.23 ) и y = Arccos x
( рис.24 ) многозначные, неограниченные; их область определения и
область значений соответственно: -1
x
+1 и -
< y < +
. Поскольку эти функции многозначные, не
рассматриваемые в элементарной математике, в качестве обратных
тригонометрических функций рассматриваются их главные значения: y =
arcsin x и y = arccos x; их графики выделены на рис.23 и
рис.24 жирными линиями.
Функции y = arcsin x и y = arccos x обладают
следующими характеристиками и свойствами:
у обеих функций одна и та же область определения: -1
x
+1 ;
их области значений: -
/2
y 
/2 для y = arcsin x и 0
y 
для y = arccos x;
функции ограниченные, непериодические, непрерывные и монотонные ( y
= arcsin x - возрастающая функция; y = arccos x - убывающая
);
каждая функция имеет по одному нулю ( x = 0 у функции y
= arcsin x и x = 1 у функции y = arccos x).
Функции y = Arctan x ( рис.25 ) и y = Arccot x
( рис.26 ) - многозначные, неограниченные функции; их область
определения: - 
x
+
. Их главные значения y = arctan x и y =
arccot x рассматриваются в качестве обратных тригонометрических функций;
их графики выделены на рис.25 и рис.26 жирными ветвями.
Функции y = arctan x и y = arccot x имеют
следующие характеристики и свойства:
у обеих функций одна и та же область определения: - 
x
+
;
их области значений: -
/2 < y <
/2 для y = arctan x и 0 < y <
для y = arccos x;
функции ограниченные, непериодические, непрерывные и монотонные ( y
= arctan x - возрастающая функция; y = arccot x - убывающая
);
только функция y = arctan x имеет единственный ноль
( x = 0 );
функция y = arccot x нулей не имеет.
Литература
Математический энциклопедический словарь./ Гл. ред. Ю.В.
Прохоров; Ред. кол.: С.И. Адян, Н.С. Бахвалов, В.И. Битюцков, А.П. Ершов, Л.Д.
Кудрявцев, А.Л. Онищик, А.П. Юшкевич.- М.: Сов. энциклопедия, 1988. - 847 с.,
ил
Политехнический словарь /Редкол.: А.Ю. Ишлинский (гл. ред.) и
др. - 3 - е изд,, перераб. и доп. - М.: Советская энциклопедия, 1989. - 656 с.
с ил.
Сайты:
http://www.kchgta.ru/analitich/Ag/02/06/t_c.html://elib.ispu.ru/library/math/sem1/index.html://www.college.ru/mathematics/courses/function/content/chapter2/section2/paragraph3/theory.html