Оценка конкурентоспособности товара

  • Вид работы:
    Курсовая работа (т)
  • Предмет:
    Эктеория
  • Язык:
    Русский
    ,
    Формат файла:
    MS Word
    134,89 Кб
  • Опубликовано:
    2016-01-08
Вы можете узнать стоимость помощи в написании студенческой работы.
Помощь в написании работы, которую точно примут!

Оценка конкурентоспособности товара

Оглавление

 

АННОТАЦИЯ

. ТЕОРЕТИЧЕСКИЙ РАЗДЕЛ

. СПЕЦИАЛЬНЫЙ РАЗДЕЛ

.1 МЕТОДЫ ОЦЕНКИ КОНКУРЕНТОСПОСОБНОСТИ. ОЦЕНКА КОНКУРЕНТОСПОСОБНОСТИ ТОВАРА - 1

.2 РАСЧЕТ КОНКУРЕНТОСПОСОБНОСТИ ОТЕЧЕСТВЕННОЙ БЫТОВОЙ ТЕХНИКИ ФИРМЫ ДИФФЕРЕНЦИАЛЬНЫМ МЕТОДОМ

.3 РАСЧЕТ КОНКУРЕНТОСПОСОБНОСТИ МИКРОВОЛНОВОЙ ПЕЧИ PLUTON. КОМПЛЕКСНЫМ МЕТОДОМ

.4 АНАЛИЗ РЕЗУЛЬТАТОВ РАСЧЕТА

. ОРГАНИЗАЦИОННО - ЭКОНОМИЧЕСКИЙ РАЗДЕЛ

.1 РАСЧЕТ ИНТЕГРАЛЬНОГО ПОКАЗАТЕЛЯ КОНКУРЕНТОСПОСОБНОСТИ МИКРОВОЛНОВОЙ ПЕЧИ PLUTON. ПО ГОДАМ

.2 РАСЧЕТ ИНДЕКСА КОНКУРЕНТОСПОСОБНОСТИ

ПРАКТИЧЕСКАЯ ЧАСТЬ.

ЗАКЛЮЧЕНИЕ

СПИСОК ЛИТЕРАТУРЫ

конкурентоспособность товар индекс показатель

АННОТАЦИЯ


В данной курсовой работе рассматривается, оценка конкурентоспособности товара.

В теоретической части работы рассматриваются основные аспекты оценки конкурентоспособности товара. Так же в практической части оценивается эффективность капиталовложений предприятия в технологические процессы и выбирается лучший проект из нескольких альтернативных вариантов.

ВВЕДЕНИЕ

Товар - главный объект на рынке. Он имеет стоимость и потребительную стоимость (или ценность), обладает определенным качеством, техническим уровнем и надежностью, задаваемой потребителями полезностью, показателями эффективности в производстве и потреблении, другими весьма важными характеристиками. Именно в товаре находят отражение все особенности и противоречия развития рыночных отношений в экономике. Товар - точный индикатор экономической силы и активности производителя. Действенность факторов, определяющих позиции производителя, проверяются в процессе конкурентного соперничества товаров в условиях развитого рыночного механизма, позволяющего выявить отличия данного товара от товара-конкурента как по степени соответствия конкретной общественной потребности, так и по затратам на ее удовлетворение. Для этого товар должен обладать определенной конкурентоспособностью.

Конкурентоспособность товара - это такой уровень его экономических, технических и эксплуатационных параметров, который позволяет выдержать соперничество (конкуренцию) с другими аналогичными товарами на рынке. Кроме того, конкурентоспособность - сравнительная характеристика товара, содержащая комплексную оценку всей совокупности производственных, коммерческих, организационных и экономических показателей относительно выявленных требований рынка или свойств другого товара.

Она определяется совокупностью потребительских свойств данного товара-конкурента по степени соответствия общественным потребностям с учетом затрат на их удовлетворение, цен, условий поставки и эксплуатации в процессе производительного и (или) личного потребления.

1. ТЕОРЕТИЧЕСКИЙ РАЗДЕЛ


Проблема качества и конкурентоспособности продукции носит в современном мире универсальный характер. От того, насколько успешно она решается, зависит многое в экономической и социальной жизни любой страны, практически любого потребителя.

Конкурентоспособность - концентрированное выражение всей совокупности возможностей страны, любого производителя создавать, выпускать и сбывать товары и услуги.

Фактор конкуренции носит принудительный характер, заставляя производителя под угрозой вытеснения с рынка непрестанно заниматься системой качества и в целом конкурентоспособностью своих товаров, а рынок объективно и строго оценивает результаты их деятельности.

В условиях развитого конкурентного рынка маркетинг становится эффективным средством решения проблемы качества и конкурентоспособности товаров, испытывая, в свою очередь, их обратное воздействие, которое расширяет либо снижает его возможность.

Конечная цель всякой фирмы - победа в конкурентной борьбе. Победа не разовая, не случайная, а как закономерный итог постоянных и грамотных усилий фирмы. Достигается она или нет - зависит от конкурентоспособности товаров и услуг фирмы, т. е. от того, насколько они лучше по сравнению с аналогами - продукцией и услугами других фирм. В чем же сущность этой категории рыночной экономики и почему она при всех стараниях любой фирмы не может быть жестко гарантирована?

Обычно под конкурентоспособностью товара понимают некую относительную интегральную характеристику, отражающую его отличия от товара-конкурента и, соответственно, определяющую его привлекательность в глазах потребителя. Но вся проблема заключается в правильном определении содержания этой характеристики. Все заблуждения начинаются именно здесь.

Большинство новичков сосредотачивается на параметрах товара и затем для оценки конкурентоспособности сопоставляет между собой некоторые интегральные характеристики такой оценки для разных конкурирующих товаров. Нередко эта оценка просто-напросто охватывает показатели качества, и тогда (нередкий случай) оценка конкурентоспособности подменяется сравнительной оценкой качества конкурирующих аналогов. Практика же мирового рынка наглядно доказывает неверность такого подхода. Более того, исследования многих товарных рынков однозначно показывают, что конечное решение о покупке только на треть связано с показателями качества товара. А другие две трети? Они связаны со значительными и достаточно весомыми для потребителя условиями приобретения и будущего использования товара.

Чтобы полнее понять существо проблемы, вычленим несколько важных следствий этого положения.

. Конкурентоспособность включает три основные составляющие. Одна из них жестко связана с изделием как таковым и в значительной мере сводится к качеству. Другая связана как с экономикой создания сбыта и сервиса товара, так и с экономическими возможностями и ограничениями потребителя. Наконец, третья отражает все то, что может быть приятно или неприятно потребителю как покупателю, как человеку, как члену той или иной социальной группы и т. д.

. Покупатель - главный оценщик товара. А это приводит к очень важной в рыночных условиях истине: все элементы конкурентоспособности товара должны быть настолько очевидны потенциальному покупателю, чтобы не могло возникнуть малейшего сомнения или иного толкования в отношении любого из них. Когда мы формируем "комплекс конкурентоспособности", в рекламе очень важно учитывать особенности психологического воспитания и интеллектуальный уровень потребителей, многие другие факторы личного характера. Интересный факт: почти все зарубежные пособия по рекламе особо выделяют материал, связанный с рекламой в малограмотной или интеллектуально неразвитой аудитории.

. Как известно, каждый рынок характеризуется "своим" покупателем. Поэтому изначально неправомерна идея о некой абсолютной, не связанной с конкретным рынком, конкурентоспособности.

О чем говорит практика? Коль сформирован определенный общий взгляд на конкурентоспособность, попробуем обратиться к разбору практического примера. Возможно, он в чем-то обогатит общее определение, а вкупе со всем тем, что мы уже знаем, позволит составить достаточно полное представление об обсуждаемом предмете.

В ожесточенной борьбе американских и японских производителей почти на всех рынках передовых технологий позиции японцев пока выглядят предпочтительнее. За счет чего? Почти единодушный ответ в 70-е годы был таким: цена и качество. Но уже десятилетие назад уровень сбытовой, рекламной и сервисной культуры японских фирм стал привлекать все большее внимание маркетологов всего мира. А сегодня уже говорят и о том, что "философия качества", характерная для японцев, становится лишь составной частью формирующейся ныне их собственной "философии обслуживания". Все это более или менее совпадает с основными позициями, отмечавшимися ранее. Но вот что интересно: ряд американских исследователей и бизнесменов давно и упорно говорят о том, что Япония быстрее сформировала путем умелой пропаганды мнение о высочайшем качестве своих товаров, нежели действительно показывает его на практике.

Даже допуская здесь значительную (и весьма!) долю преувеличения и уязвленного самолюбия, заметим, что в целом "имидж страны" дает ощутимую прибавку к конкурентоспособности ее товаров.

Рыночное хозяйство, а вслед за ним и его ученые давно и хорошо поняли, что пытаться схематически выразить конкурентоспособность товара - это все равно что пытаться схемой показать всю сложность и все тонкости рыночного процесса. Для них конкурентоспособность стала поэтому просто удобным, концентрирующим внимание и мысль термином, за которым выстраивается все разнообразие стратегических и тактических приемов менеджмента в целом и маркетинга в частности. Конкурентоспособность - не показатель, уровень которого можно вычислить для себя и для конкурента, а потом победить. Прежде всего - это философия работы в условиях рынка, ориентирующая на:

понимание нужд потребителя и тенденций их развития;

знание поведения и возможностей конкурентов;

знание состояния и тенденций развития рынка;

знание окружающей среды и ее тенденций;

умение создать такой товар и так довести его до потребителя,

чтобы потребитель предпочел его товару конкурента

Конкурентоспособность предприятия определяется следующими факторами:

1 Качество продукции и услуг;

2 Наличие эффективной стратегии маркетинга и сбыта;

3 Уровень квалификации персонала и менеджмента;

4 Технологический уровень производства;

5 Налоговая среда, в которой действует предприятие;

6 Доступность источников финансирования.

Чтобы определить первоочередные меры по реформированию промышленности, следует определить причины потери конкурентоспособности российскими предприятиями.

2. СПЕЦИАЛЬНЫЙ РАЗДЕЛ

 

2.1 Методы оценки конкурентоспособности


Оценка производится путем сопоставления параметров анализируемой продукции с параметрами базы сравнения.

Сравнение проводится по группам технических и экономических параметров.

При оценке используются дифференциальный и комплексный методы оценки.

Дифференциальный метод оценки конкурентоспособности, основанный на использовании единичных параметров анализируемой продукции и базы сравнения и их сопоставлении.

Результат оценки:

достигнут ли уровень в целом;

по каким параметрам он не достигнут;

какие из параметров наиболее сильно отличаются от базовых.

Если за базу оценки принимается потребность, расчет единичного показателя конкурентоспособности производится по формуле:

     (i = 1, 2, 3,...,n),                                                   (2.1)

где qi - единичный параметрический показатель конкурентоспособности по i-му параметру;- величина i-го параметра для анализируемой продукции;о - величина i-го параметра, при котором потребность удовлетворяется полностью;- количество параметров.

Анализ результатов оценки:

при оценке по нормативным параметрам единичный показатель может принимать только два значения - 1 или 0. Если анализируемая продукция соответствует обязательным нормам и стандартам, показатель равен 1, если параметр продукции в нормы и стандарты не укладывается, то показатель равен 0;

при оценке по техническим и экономическим параметрам единичный показатель может быть больше или равен единице, если базовые значения параметров установлены нормативно-технической документацией, специальными условиями, заказами, договорами;

если анализируемая продукция имеет параметр, значение которого превышает потребности покупателя, обусловленные характером использования (эксплуатации) этой продукции, социальными условиями, традициями, физиологическими особенностями, то указанное повышение не будет оцениваться потребителем как преимущество и единичный показатель по данному параметру не может иметь значения больше 100% и при расчетах должна использоваться минимальная из двух величин - 100% или фактически значение этого показателя.

Если за базу оценки принимается образец, расчет единичного показателя конкурентоспособности проводится по формуле:

     (i = 1, 2, 3,...,n),                                                   (2.2)

,                                                                                (2.3)

где qi`, qi - единичный показатель конкурентоспособности по i-му техническому параметру;- величина i-го параметра для анализируемой продукции;0 - величина i-го параметра для изделия, принятого за образец.

Анализ результатов оценки:

из формул (2.2) и (2.3) выбирают ту, в которой росту единичного показателя соответствуют повышение конкурентоспособности (например, для оценки производительности - формула (2.2), а для удельного расхода топлива - формула (2.3);

если технические параметры продукции не имеют физической меры (например: комфортность, внешний вид, соответствие моде), для придания этим параметрам количественных характеристик необходимо использовать экспертные методы оценки в баллах.

Дифференциальный метод позволяет лишь констатировать факт конкурентоспособности анализируемой продукции или наличия у нее недостатков по сравнению с товаром - аналогом. Он может использоваться на всех этапах жизненного цикла продукции, особенно при ее сравнении с гипотетическим образцом. Он не учитывает влияние на предпочтение потребителя при выборе товара весомости каждого параметра.

Комплексный метод оценки конкурентоспособности. Основывается на применении комплексных (групповых, обобщенных и интегральных) показателей или сопоставлении удельных полезных эффектов анализируемой продукции и образца.

Расчет группового показателя по нормативным параметрам производится по формуле:

,                                                                                     (2.4)

где Iнп - групповой показатель конкурентоспособности по нормативным параметрам;нi - единичный показатель конкурентоспособности по i-му нормативному параметру, рассчитывается по формуле (2.1);- число нормативных параметров, подлежащих оценке.

Анализ результатов:

если хотя бы один из единичных показателей равен 0 (то есть продукция по какому-либо параметру не соответствует обязательной норме), то групповой показатель также равен 0, что говорит о неконкурентоспособности данного товара на рассматриваемом рынке.

Расчет группового показателя по техническим параметрам (кроме нормативных) производится по формуле:

,                                                                                  (2.5)

где Iтп - групповой показатель конкурентоспособности по техническим параметрам;- единичный показатель конкурентоспособности по i-му техническому параметру, рассчитывается по формулам (2.1), (2.2), (2.3);- весомость i-го параметра в общем наборе из n технических параметров, характеризующих потребность;- число параметров, участвующих в оценке.

Анализ результатов:

а) полученный групповой показатель Iтп характеризует степень соответствия данного товара существующей потребности по всему набору технических параметров, чем он выше, тем в целом полнее удовлетворяются запросы потребителей;

б) основой для определения весомости каждого технического параметра в общем наборе являются экспертные оценки, основанные на результатах рыночных исследований, спросов потребителей, семинаров, выставок образцов;

в) в случае трудностей, возникающих при проведении рыночных исследований, а также в целях упрощения расчетов и проведения ориентировочных оценок из технических параметров может быть выбрана наиболее весомая группа или применен комплексный параметр - полезный эффект, который в дальнейшем участвует в сравнении (для повышения точности оценки необходимо учесть влияние на его величину эргономических, эстетических и экологических параметров).

Расчет группового показателя по экономическим параметрам производится на основе определения полных затрат потребителя на приобретение и потребление (эксплуатацию) продукции.

Полные затраты потребителя определяются по формуле:

,                                                                                   (2.6)

где З - полные затраты потребителя на приобретение и потребление (эксплуатацию) продукции;

Зс - единовременные затраты на приобретение продукции;

Сi - средние суммарные затраты на эксплуатацию продукции, относящиеся к i-му году ее службы;

Т - срок службы;

i - год по порядку.

При этом,

,                                                                    (2.7)

где Сj - эксплуатационные затраты по j-ой статье;

n - количество статей эксплуатационных затрат.

В том случае, если продукция может быть продана после эксплуатации, полные затраты должны быть уменьшены на величину выручки за нее (соответственно показатель для данной статьи вводится в формулу со знаком минус).

Расчет группового показателя по экономическим параметрам производится по формуле:

,                                                                                          (2.8)

где Iэп - групповой показатель по экономическим параметрам;

З, Зо - полные затраты потребителя соответственно по оцениваемой продукции и образцу.

Формулы (2.6) и (2.8) не учитывают коэффициента приведения эксплуатационных затрат к расчетному году, так как отношения полных затрат в определенной степени компенсирует влияние коэффициента приведения на величину Iэп.

В случае необходимости учета коэффициента приведения эксплуатационных затрат формулы (2.6) и (2.8) принимают вид:

                                                                     (2.9)

Соответственно подсчет группового показателя по экономическим параметрам проводится по формуле:

,                                                                         (2.10)

где Iэп - групповой показатель по экономическим параметрам;

З, З0 - единовременные затраты на приобретение соответственно анализируемой продукции и образца;

Сi, С0i - суммарные затраты на эксплуатацию или потребление соответственно анализируемой продукции и образца в i-ом году;

Т - срок службы товара;

ai - коэффициент приведения эксплуатационных затрат к расчетному году.

Величина срока службы для изделий промышленного назначения принимается равной амортизационному периоду. Для продукции потребительского назначения оценка срока службы должна проводится на основе сведений о фактических сроках службы аналогических изделий, а также скорости морального старения товаров данного класса.

Расчет интегрального показателя конкурентоспособности производится по формуле:

                                                                                      (2.11)

где К - интегральный показатель конкурентоспособности анализируемой продукции по отношению к изделию-образцу;

Анализ результатов. По смыслу показатель К отражает различие между сравниваемой продукцией в потребительском эффекте, приходящемся на единицу затрат покупателя по приобретению и потреблению изделия.

Если К<1, то рассматриваемый товар уступает образцу по конкурентоспособности, а если К>1, то превосходит, при равной конкурентоспособности К=1.

Если анализ проводится по нескольким образцам, интегральный показатель конкурентоспособности продукции по выбранной группе аналогов может быть рассчитан как сумма средневзвешенных показателей по каждому отдельному образцу:

                                                                                (2.12)

где Кср - интегральный показатель конкурентоспособности продукции относительно группы образцов;

Кi - показатель конкурентоспособности относительно i-го образца;

Ri - весомость i-го образца в группе аналогов;

N - количество аналогов.

Смешанный метод оценки представляет собой сочетание дифференциального и комплексного методов. При смешанном методе оценки конкурентоспособности используется часть параметров рассчитанных дифференциальным методом и часть параметров рассчитанных комплексным методом.

Обзор рынка.

ОЦЕНКА КОНКУРЕНТОСПОСОБНОСТИ ТОВАРА - 1

Текущее состояние рынка мелкой бытовой техники и прогноз его развития на 2001 год.

Российский рынок бытовой техники, несмотря ни на что, продолжает развиваться, хоть 2000 год оказался и не таким благоприятным, как планировалось. Многие сегменты рынка стагнировали, многим компаниям пришлось туго, особенно тем, что работали на корпоративном рынке. А если вспомнить 1999 год, когда переориентация на корпоративный рынок стала повальным явлением, то радоваться, вроде бы, нечему. Вместе с тем, рынок развивался - в первую очередь, благодаря появлению новых ниш. И главным событием 2000 года стало становление и существенное увеличение доли рынка SOHO.

Однако на рынке аппаратных средств наблюдался устойчивый рост. Так, емкость рынка бытовой техники увеличилась, по сравнению с 1999 годом, на 250 - 300 тысяч персональных компьютеров и достигла 1,2 миллиона (Таблица 2.1.). Произошло это в первую очередь за счет активного роста рынка домашней техники. Так, если в начале 2000 года домой покупался в среднем каждый десятый товар, то к его концу, по оценкам ряда фирм, для дома покупалось 40 - 50% всех продаваемых товаров.

Таблица 2.1 Емкость рынка бытовой техники в России

Года.

1999

2000

2001

Количество проданных, тыс. шт.

1000

1200

1500-1600



Предполагается, что в 2001 году российский рынок быт. техники будет заметно расти. По предварительным оценкам, он должен увеличиться на 300 - 350 тысяч и достичь цифры 1,5 - 1,6 миллиона предметов . Причем доля рынка SOHO составит около 60%. Немаловажным является тот факт, что планируемый прирост рынка (согласно прогнозу) будет практически полностью распределен между тремя - четырьмя крупнейшими российскими производителями.

Перспективные ниши на рынке бытовой техники и периферии.

В настоящее время наиболее перспективными нишами для продвижения являются:

рынок кухонных принадлежностей (в первую очередь Москва и С.- Петербург);

рынок малого бизнеса в регионах.

Как было показано, рынок бурно развивается и в 2000 году может составить около 60% от всего объема рынка бытовой техники.. Исходя из долгосрочных стратегических целей развития компьютерного бизнеса наиболее предпочтительным партнером на рынке компьютерной техники является компания Hewlett-Packard. Она известна по своим инновационным разработкам и активной маркетинговой политике. Ее торговая марка на рынке принтеров и сканеров не тускнеет.

Исходя из этого компания, одной из первых заключившая соглашение с фирмой Hewlett-Packard, считает, что ее периферийная техника должна найти широкий спрос в следующий сферах и направлениях:

параллельное продвижение периферии Hewlett-Packard через розничную торговую сеть;

продвижение Hewlett-Packard через сеть региональных дилеров и партнеров.

Если в 1999 году соотношение рынков Москвы и регионов оценивалось как 60% к 40%, а в 2000 году - как 50% на 50%, то в 2001 году это соотношение должно измениться в пользу региональных рынков 40% к 60%. Предоставление региональным партнерам продукции известной фирмы, стабильный канал поставок и товарных кредитов также будут способствовать увеличению доли продукции Hewlett-Packard на рынке.

 

2.2 Расчет конкурентоспособности отечественной бытовой техники фирмы дифференциальным методом


Исходные данные представлены в таблице 2.2. Данные изделия прошли полные испытания в независимой лаборатории общества потребителей. Оценки в баллах по качеству обслуживания в пределах от 1 до 5 установлены экспертами на основании технических параметров изделия. За образец принята модель микроволновой печи pluton. Экспертная комиссия предприятия также установила приоритетность технических параметров и установила на них соответствующие коэффициенты весомости, представленные в таблице 2.2.

Таблица 2.2.

Исходные данные.

Модели

Параметры характеризуются

Экономические параметры

микроволновой печи pluton.

Быстро-действие, , (Р1)

Объем (Р2)

Качество обслужи-вания, (Р3)

Цена, млн. Руб.

Расходы на эксплуатацию в год, млн. руб.

1

150

16

3,8

3,85

0,81

2

166

16

4,5

4,2

0,94

3

200

32

4,8

5,3

1,11

Образец

200

32

5

5,8

1,38

Коэф-т весомости

30%

50%

20%

 

Используемая в таблице группа параметров, характеризует выполнение основных функций изделия и некоторые его технические характеристики.

По техническим параметрам:

Чтобы распределить приведенные в таблице 2.2. модели по уровню конкурентоспособности (дифференциальным методом), нужно выполнить следующие пункты:

рассчитать единичные параметры по каждой модели по техническим и экономическим параметрам;

сделать выводы об уровне конкурентоспособности отечественной микроволновой печи pluton.

Расчет единичного показателя конкурентоспособности производится по формуле (2.1):

,

поэтому расчет единичного показателя для первой модели:

, ,

расчет единичного показателя для второй модели:

, ,

расчет единичного показателя для третьей модели:

, ,

По экономическим параметрам:

расчет единичного показателя для первой модели:

расчет единичного показателя для второй модели:

расчет единичного показателя для третьей модели:

Выводы:

в целом уровень конкурентоспособности не достигнут;

по техническим параметрам микроволновая печ pluton. пока не конкурентоспособны, хотя третья модель по техническим характеристикам является идентичной модели - образцу. Но по качеству обслуживания отечественная фирма пока отстает от своих западных конкурентов. Хоть отечественные собираются из тех же комплектующих, что и импортные, они имеют более низкую цену по сравнению с импортными, так как сборка происходит на отечественном предприятии. Так что по экономическим параметрам отечественные микроволновые печи вполне конкурентоспособны.

2.3 Расчет конкурентоспособности микроволновой печи pluton. комплексным методом


Чтобы распределить приведенные в таблице 2.2. модели печи по уровню конкурентоспособности (комплексным методом), нужно выполнить следующие пункты:

рассчитать групповой показатель по техническим параметрам;

рассчитать групповой показатель по экономическим параметрам путем суммирования одновременных и эксплуатационных затрат;

рассчитать интегральный показатель конкурентоспособности;

сделать соответствующие выводы о конкурентоспособности анализируемых моделей по отношению к образцу.

Расчет групповых показателей по техническим параметрам.

Групповой показатель рассчитывается по формуле (2.5):


для конкретной модели:

тп = q1·a1 + q2·a2 + q3·a3

Отсюда, показатель по техническим параметрам для первой модели равен:

Iтп = 0,75·30% + 0,5·50% + 0,76·20% = 0,75·0,3 + 0,5·0,5 + 0,76·0,2 = 0,627

для второй модели:

Iтп = 0,83·30% + 0,5·50% + 0,9·20% = 0,83·0,3 + 0,5·0,5 + 0,9·0,2 = 0,679

для третьей модели:

Iтп = 1·30% + ·50% + 0,96·20% = 1·0,3 + 1·0,5 + 0,96·0,2 = 0,992

Расчет групповых показателей по экономическим параметрам.

Групповой показатель по экономическим параметрам рассчитывается по формуле (2.10):

, где ai приведена в таблице 2.3.

Таблица 2.3

Коэффициенты приведения эксплуатационных затрат к расчетному году

Т, лет

Е,% 8

9

10

11

12

13

14

1

1,0

1,0

1,0

1,0

1,0

1,0

1,0

2

0,926

0,917

0,909

0,901

0,893

0,885

0,877

3

0,857

0,842

0,826

0,812

0,797

0,783

0,77

4

0,794

0,772

0,751

0,731

0,712

0,693

0,675

5

0,735

0,708

0,683

0,659

0,636

0,613

0,592

6

0,681

0,650

0,621

0,594

0,576

0,543

0,519

7

0,630

0,596

0,565

0,535

0,507

0,480

0,456

8

0,584

0,547

0,513

0,482

0,452

0,425

0,4

9

0,54

0,502

0,467

0,434

0,404

0,376

0,351

10

0,5

0,46

0,424

0,391

0,361

0,333

0,308


Следовательно, групповой показатель по экономическим параметрам для первой модели равен:

,

так как в течение Т = 4 года, Е = 14%, С0, С1 всегда были постоянны и равны соответственно С0 = 1,38, а С1 = 0,81, то С0 и С1 можно вынести за знак суммы и тогда групповой показатель по экономическим параметрам будет рассчитываться по формуле:


для второй модели:

для третьей модели:

Расчет интегрального показателя.

Интегральный показатель конкурентоспособности рассчитывается по формуле (2.11):

,

но так как групповой показатель по нормативным параметрам не указан, то в расчете интегрального показателя он не будет учитываться и формула примет вид:

,

Тогда для первой модели:


для второй модели:


для третьей модели:

 

2.4 Анализ результатов расчета


В результате полученных групповых показателей по техническим параметрам третья модель печи наиболее конкурентоспособная, то есть в целом третья модель полнее удовлетворяет запросы потребителя, чем все остальные модели . Так как групповой показатель характеризует степень соответствия исследуемого изделия соответствующим потребностям по всем техническим параметрам

А из полученных расчетов по экономическим параметрам видно, что первая модель более конкурентоспособная по экономическим параметрам из всех остальных моделей, так как имеет самый маленький групповой показатель, который у первой модели равен 0,629. А это значит, что покупатель будет с большей охотой покупать первую модель, чем все остальные. Но так как срок морального старения у печи очень маленький, то выгоднее покупать третью модель. Хоть она и дороже, но по техническим параметрам она вполне конкурентоспособная.

Из расчетов интегрального показателя конкурентоспособности видно, что первая и вторая модели уступают образцу по конкурентоспособности в целом, так как у них интегральный показатель меньше единицы. А третья модель превосходит образец по конкурентоспособности в целом, потому что у нее интегральный показатель больше единицы и равен 1,147. Это говорит о том, что для российских покупателей выгоднее покупать третью модель, так как она по техническим параметрам не уступает образцу, а ее стоимость гораздо меньше.

3. ОРГАНИЗАЦИОННО - ЭКОНОМИЧЕСКИЙ РАЗДЕЛ

 

3.1 Расчет интегрального показателя конкурентоспособности микроволновой печи pluton. по годам


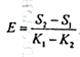
Так как в мире постоянно появляется что-то новое и ничто не стоит на месте, то за определенное время произошли некоторые изменения и в технологиях. Поэтому необходимо проанализировать изменения уровня конкурентоспособност микроволновой печи . и. Это можно выяснить, рассчитав индекс конкурентоспособности по годам:

                                                                                 (3.1)

Таблица 3.1.

Основные характеристики сравниваемых печей первой модели

Наименование

Величины параметров.

Параметра.

За 2000год

За 2001 год

Размерность.

Образец

1 модель

Образец

1 модель

Быстродействие, (Р1)

200

150

200

150

Объем, (Р2)

32

32

16

Качество обслуживания (Р3)

 5

 4,2

 5

 3,8

Цена, млн. руб.

6,1

5,1

5,8

3,85

Расходы на эксплуатацию в год, млн. руб.

 1,38

 1,27

 1,26

 0,81


Рассчитаем для первой модели 2000 и 2001годов выпуска групповой показатель по техническим параметрам, который рассчитывается по формуле (2.5):


Для данного случая формула (2.5) принимает вид:

тп = q1·a1 + q2·a2 + q3·a3,

где q1, q2, q3, рассчитываются по формуле (2.1):


Значит для первой модели 2000 года выпуска:

Iтп = 0,30·0,75 + 0,50·0,50 + 0,84·0,20 = 0,643;

а для первой модели 2001 года выпуска:

Iтп = 0,30·0,75 + 0,50·0,50 + 0,76·0,20 = 0,627

Из расчетов видно, что групповой показатель по техническим параметрам уменьшился за год.

Теперь рассчитаем для этих телевизоров групповой показатель по экономическим параметрам, который рассчитывается по формуле (2.10):

,

так как Сi и Со постоянны, то формула принимает вид:

,

где ai приведены в таблице 2.3. (для Т = 4 года, Е = 14%).

Отсюда групповой показатель по экономическим параметрам для первой модели 2000 года выпуска равен:

;

а для первой модели 2001года выпуска:

Из расчетов видно, что групповой показатель по экономическим параметрам уменьшился за год.

Произведем последний расчет перед расчетом индекса конкурентоспособности. Рассчитаем интегральный показатель конкурентоспособности по формуле (2.11):

,

по так как групповой показатель по нормативным параметрам не указан, то следовательно:


Поэтому для первой модели 2000года выпуска:

;

а для первой модели 2001 года:


3.2 Расчет индекса конкурентоспособности


Теперь рассчитаем индекс конкурентоспособности по формуле (3.1):


Из расчетов видно, что индекс конкурентоспособности равен 123% - это говорит о том, что за один год первая модель 2001 года стала более конкурентоспособная, с точки зрения увеличения дальнейшего сбыта продукции, чем первая модель 2000 года на 23%.

.

ОЦЕНКА КОНКУРЕНТОСПОСОБНОСТИ ТОВАРА -2

В качестве товара для проведения практического анализа конкурентоспособности мы выбрали такой товар как журнал . И хотя в кругах профессионалов существует дискуссия по поводу того, является ли журнал товаром или услугой, мы исходим из того, что товаром является все то, что продается на рынке и имеет своего покупателя и продавца.

Модель оценки конкурентоспособности рассматриваемого товара включает в себя следующие этапы:

1. Структурирование, формирование в классификационный ряд основные параметры, по которым будет оцениваться конкурентоспособность исследуемого товара. Как правило их число ограничивается десятью.

2. Каждый параметр разбивается на уровни качества. Они могут быть бинарными (“да - нет” или “ 1 - 0”), трехфакторными (“да - частично - нет” или “+1 0 -1), но лучше всего и привычней - “ученические” 5-ти бальные шкалы при шести уровнях от “0” (отсутствие признака) до “5” (признак отлично выражен).

3. Стоится матрица-таблица “Параметры * Уровни” (10 * 6 = 60 ячеек) и по ней оценивается исследуемый продукт.

4. Рассчитывается общий индекс качества К0 (как среднеарифметическое показателей качества), строится графическое отображение матрицы.

5. По итоговым показателям индекса качества К0 оценивается конкурентоспособность товара в соответствии с интервалами:

5,00 - 4,51: крайне высокая конкурентоспособность товара;

,50 - 3,51: высокая конкурентоспособность товара;

,50 - 2,51: средняя конкурентоспособность товара;

,50 - 1,51: низкая конкурентоспособность товара;

,50 - 0,00: отсутствие конкурентоспособности товара.

В качестве основных параметров оценки конкурентоспособности рассматриваемого издания мы выбрали следующие

Название.

1. Заголовки.

2. Содержание.

3. “Лицо” журнала.

4. Язык.

5. Графика.

6. Экономика.

7. Полиграфия.

8. Реклама.

9. Дизайн.

Данные параметры оцениваются по пятибалльной шкале с шестью уровнями (Табл. 1).

Табл. 1. Матрица оценки .

Параметры оцениваемого издания

Уровни оценки издания ( 0- 6 баллов)


0 “очень плохо”

1 “Плохо”

2 “Неудовлетворительно”

3 “Удовлетворительно”

4 “Хорошо”

5 “Отлично”

1. Название и эпиграф (слоган)

Серое скучное название и исполнение

Название повторяет, копирует что-то известное

Название не понятно без разъяснений

Название не броское, эпиграф “деловой”

Название и эпиграф выбраны “в точку”

Образно проработана каждая буквица

2. Заголовки (построение, шрифтовая гарнитура)

Не привлекают внимания, совершенно не интересны.

Стандартны, узкопрофессиональны

Шаблонные, примелькавшиеся

До 10 - 20% привлекают внимание

Оригинальны, но не скандальны

Все оригинальны, немного скандальны

3. Содержание (информативность, интерес)

Все можно узнать из 2-3 других изданий

Новая, полезная информация не более 2-5%

Перепечатки из других изданий до 30-50%

Интересны по фактам до 10 - 20 % материалов

Интересно до 50-70% материалов

Прочитывается от первой до последней строки

4. “Лицо” журнала (изюминка, образ, узнаваемость)

как вкладыш к другой

Повторяет, копирует официозы

Привлекает внимание не более 1-2 строчек в газете

Своих “индивидуальных” материалов не более 10-20%

Издалека узнается среди других 20 - 30 газет

Даже цена, редколлегия поданы оригинально

5. Язык (форма изложения, подачи материалов)

На странице встречается 5-10 непонятных слов

Стандартный, сухой, официальный язык

Интересен язык в 1 - 2 заметках

Интересны по языку 10 - 20 % материалов

Интересен язык 50-70 % материалов

Неповторимо-индивидуальный, авторский

 

6. Графическое оформление (фото, заставки)

Графического оформления нет

Применяется лишь 3-5 видов шрифтов

Выделяются 1-2 материала из 20 - 40 блоков

Выделяются 1-2 страницы (привлекают внимание)

Все страницы отличительно оформлены)

Каждый материал имеет графический акцент

 

7. Экономика (цена, окупаемость, прибыль)

Цена назначена без расчета

Маркетинговый анализ рынка не проводится

Определена цен и прибыль (без гарантий)

Существует неструктурированный план на первые 6-8 месяцев

Имеется бизнес-план на 1-3 года

Проводится мониторинг по каждому выходу, проводится корректировка

 

8. Полиграфическое качество (бумага, краска)

не хочется брать в руки даже для обертки

Бумага плохая, “сырая”, крупнозернистая

Краска плохая, маркая, неяркая

Нет проплешин, размывов, неаккуратностей

Оригинальный подход (например цветная бумага)

Цвет, печать, бумага великолепна

 

9. Реклама (подача, эффект)

Реклама не отличается от информации

Вся реклама однообразна, скучна

Интересны 1-2 из 20-30 рекламных блоков

Интересны, привлекательны 10-20% рекламных блоков

Интересны, индивидуальны 50-70% рекламы

С интересом рассматривается каждая реклама

 

10. Дизайн (оформление, верстка и др.)

Дизайна, единого образца и подхода нет

“Доморощенный”, несовременный дизайн

Смешанное заполнение страниц

Четкое разделение страниц и разделов

Совмещение модулей с образным решением

Все номера ярки, особенно праздничные

 


Для рассматриваемго журнала ализ показателей конкурентоспособности показал, что (рис. 2) общий индекс качества К0 составляет: К0 = (4+3+3+5+3+2+2+1+4+3)/10=3,00, что в соответствии с приведенной выше шкалой конкурентоспособности означает, издание обладает средним уровнем конкурентоспособности, и для его повышения необходимо в первую очередь предпринять следующие меры:

·   Улучшить качество полиграфии ;

·   Улучшить графическое оформление

·   Реорганизовать системы управления .

При устранении данных недостатков (хотя бы до уровня 4-х баллов согласно нашей матрицы) конкурентоспособность возрастет до уровня: К0 = (4+3+3+5+3+4+4+4+4+3)/10 = 3,70, что означает высокую конкурентоспособность издания, а, следовательно, увеличение его прибыльности.

Практическая часть


Задача 1

Разработаны четыре варианта технологического процесса изготовления шифера, обеспечивающие качество выпускаемой продукции в соответствии с действующими стандартами и техническими условиями. Основные показатели использования различных вариантов технологического процесса приводится в таблице, а их размерность указана в примечании.

Норма эффективности капиталовложений (Ен)

Вариант 1

Вариант 2

Вариант 3

Вариант 4


q

s

k

q

s

k

q

s

k

q

s

k

0, 2

3

76,5

115

3

78

110

3

71

116

3

85

86


Примечание: задаваемые показатели имеют следующие размерности:

q - млн. м2;

s -руб./ м2;

k - млн. руб.

Выбор лучшего варианта технологического процесса следует осуществлять путем расчета коэффициентов сравнительной эффективности дополнительных капитальных вложений и подтвердить полученное решение приведенных затрат.

Решение:

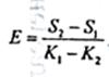
Выбор лучшего варианта осуществляется одним из методов: первый - по коэффициенту эффективности дополнительных капиталовложений, второй - путем расчета приведенных затрат. Коэффициент эффективности определяется по формуле:

(1)

где S2, S1 - себестоимость годового объема производства продукции по двум сравнительным вариантам;

К1 и К2 - капиталовложения по двум сравнительным вариантам.

При Е>Ен внедряется более капиталоемкий вариант, при Е<Ен - менее капиталоемкий.

Приведенные затраты определяются по формуле:

(2)

где S - себестоимость годового объема производимой продукции по варианту;

Ен - нормативный коэффициент эффективности дополнительных капиталовложений;

К - капиталовложения.

В связи с исходным условием о равенстве производственной программы и об одинаковом уровне качества продукции по сравниваемым вариантам для выбора лучшего варианта целесообразно применить расчет коэффициента эффективности дополнительных капитальных вложений или расчет приведенных затрат. При этом следует обратить внимание на приведение в сопоставимый вид используемых показателей. Так как показатель себестоимости изготовления задан в руб./ м2, то и капитальные вложения следует перевести в рубли, умножив их на 1000.

Оценка эффективности капиталовложений по коэффициенту эффективности дополнительных капиталовложений:


. Сравниваем между собой варианты 1 и 2:

Е = 78 000 - 76 500 / 115 000 - 110 000 = 1 500 / 5 000 = 0,3

Поскольку Е>Ен, то к внедрению принимается более капиталоемкий вариант, т.е. вариант 1. Вариант 2 исключается из дальнейшего анализа как неэффективный.

. Сравниваем между собой варианты 1 и 3:

Е = 71 000 - 76 500 / 115 000 - 116 000 = (-5 500) / (-1 000) = 5,5

Поскольку Е>Ен, то к внедрению принимается более капиталоемкий вариант, т.е. вариант 3. Вариант 1 исключается из дальнейшего анализа как неэффективный.

. Сравниваем между собой варианты 3 и 4:

Е = 85 000 - 71 000 / 116 000 - 86 000 = 14 000 / 30 000 = 0,46

Поскольку Е>Ен, то к внедрению принимается более капиталоемкий вариант, т.е. вариант 3. Вариант 4 исключается из анализа как неэффективный.

Проверим полученный расчет путем расчета приведенных затрат:


П1 = 76 500+ 0,2 × 115 000 = 76 500 + 23 000 = 99 500 руб.

П2 = 78 000 + 0,2 × 110 000 = 78 000 + 22 000 = 100 000 руб.

П3 = 71 000 + 0,2 × 116 000 = 71 000 + 23 200 = 94 200 руб.

П4 = 85 000 + 0,2 × 86 000 = 85 000+ 17 200 = 102 200 руб.

П3 → min.

Следовательно, третий вариант действительно является наилучшим.

Задача 2

Для условий, которые представлены в предыдущем задании, надо, определить лучший вариант технологического процесса, если капиталовложения осуществляются в течение четырех лет в долях от общей суммы вложений. Удельный вес вложений по годам предложен в таблице.

Удельный вес вложений по годам, %

Третий год

Второй год

Первый год

Нулевой год

10

20

30

40


Решение:

Задача решается по формулам (1) и (2). Предварительно определяются капиталовложения по вариантам с помощью формулы:


где Кi - капиталовложения по варианту в i-том году;

t - период, в течение которого осуществляются вложения.

Прежде чем начать поиск лучшего варианта технологического процесса, необходимо подготовить информацию о капитальных затратах по годам вложений. Их структура (в процентах) приводится в задании. Тогда вложения по годам и по вариантам составят в тыс. руб.

Вариант 1.

115 000 × 0,1 = 11 500 тыс. руб. - третий год

000 × 0,2 = 23 000 тыс. руб. - второй год

000 × 0,3 = 34 500 тыс. руб.- первый год

000 × 0,4 = 46 000 тыс. руб. - нулевой год

Вариант 2.

110 000 × 0,1 = 11 000тыс. руб. - третий год

000 × 0,2 = 22 000тыс. руб. - второй год

000 × 0,3 = 33 000тыс. руб. - первый год

000 × 0,4 = 44 000тыс. руб. - нулевой год

Вариант 3.

000 × 0,1 = 11 600тыс. руб. - третий год

000 × 0,2 = 23 200тыс. руб. - второй год

000 × 0,3 = 34 800тыс. руб. - первый год

000 × 0,4 = 46 400тыс. руб. - нулевой год

Вариант 4.

86 000 × 0,1 = 8 600тыс. руб. - третий год

000 × 0,2 = 17 200тыс. руб. - второй год

000 × 0,3 = 25 800тыс. руб. - первый год

000 × 0,4 = 34 400тыс. руб. - нулевой год

Для более наглядного представления этих данных, представим их в виде таблицы (см. таблицу):

Порядковый год

Вариант 1

Вариант 2

Вариант 3

Вариант 4

Третий год

11 500

11 000

11 600

8 600

Второй год

23 000

22 000

23 200

17 200

Первый год

34 500

33 000

34 800

25 800

Нулевой год

46 000

44 000

46 400

34 400

Итого:

115 000

110 000

116 000

86 000


Пересчитаем вложения с учетом фактора времени.

Вариант 1.

500 (1 + 0,2)3 + 23 000 (1 + 0,2)2 + 34 500 (1 + 0,2)1 + 46 000 (1 + 0,235)0 = =19 872 + 33 120 + 41 400 + 46 000 = 140 392 тыс. руб.

Вариант 2.

000 (1 + 0,2)3 + 22 000 (1 + 0,2)2 + 33 000 (1 + 0,2)1 + 44 000 (1 + 0,2)0 = =19 008 + 31 680 + 39 600 + 44 000 = 134 288 тыс. руб.

Вариант 3.

600 (1 + 0,2)3 + 23 200 (1 + 0,2)2 + 34 800 (1 + 0,2)1 + 46 400 (1 + 0,2)0= =20 044,8 + 33 408 + 41 760 + 46 400 = 141 612,8 тыс. руб.

Вариант 4.

600 (1 + 0,2)3 + 17 200 (1 + 0,2)2 + 25 800 (1 + 0,2)1 + 34 400 (1 + 0,2)0 = =14 860 + 24 768 + 30 960 + 34 400 = 104 988 тыс. руб.

Далее составим таблицу исходных данных с учетом вновь полученных значений капиталовложений:

Ен = 0,2

Вариант 1

Вариант 2

Вариант 3

Вариант 4

q

3 000

3 000

3 000

3 000

s

76 500

78 000

71 000

85 000

k

140 392

134 288

141 612,8

104 988


. Сравниваем между собой варианты 1 и 2:

Е = 78 000 - 76 500 / 140 392 - 134 288 = 1 500 / 6 104 = 0,24

Поскольку Е>Ен, то к внедрению принимается более капиталоемкий вариант, т.е. вариант 1. Вариант 2 исключается из дальнейшего анализа как неэффективный.

. Сравниваем между собой варианты 1 и 3:

Е = 71 000 - 76 500 / 140 392 - 141 612,8 = (-5 500) / (-1 220,8) = 4,5

Поскольку Е>Ен, то к внедрению принимается более капиталоемкий вариант, т.е. вариант 3. Вариант 1 исключается из дальнейшего анализа как неэффективный.

. Сравниваем между собой варианты 3 и 4:

Е = 85 000 - 71 000 / 141 612,8 - 104 988 = 14 000/ 36 624,8 = 0,38

Поскольку Е>Ен, то к внедрению принимается более капиталоемкий вариант, т.е. вариант 3. Вариант 4 исключается из анализа как неэффективный.

Проверим полученный расчет путем расчета приведенных затрат:

П1 = 76 500 + 0,2 × 140 392 = 76 500 + 28 078,4 = 104 578,4 руб.

П2 = 78 000 + 0,2 × 134 288 = 78 000 + 26 857,6 = 104 857,6 руб.

П3 = 71 000 + 0,2 × 141 612,8 = 71 000 + 28 322,56 = 99 322,56 руб.

П4 = 85 000 + 0,2 × 104 988 = 85 000 + 20 997,6 = 105 997,6 руб.

П3 → min.

Следовательно, третий вариант действительно является наилучшим.

Задача 3


Ен = 0,4

Варианты технологического процесса


первый

второй

третий

четвертый

пятый

Ежегодный объем производства кирпича, млн. шт. (q)

83

85

90

94

98

Себестоимость изготовления руб. / тыс. шт. (s)

256

259,3

257,4

255,2

252,7

Капиталовложение в оборудование, тыс. руб. (k)

530

680

720

773

810


Решение:

Выбор лучшего варианта осуществляется по приведенному эффекту. Приведенный эффект определяется по формуле:


где Э - годовой приведенный экономический эффект по варианту;- ежегодный объем производства продукции в натуральном выражении;-цена реализации единицы продукции;

S - себестоимость производства единицы продукции по варианту;

Ен - норматив эффективности капиталовложений;

Ky - удельные капиталовложения по варианту.

Удельные капиталовложения определяются по формуле:


где К - капиталовложения по варианту.

Согласно приведенным исходным данным альтернативные варианты отличаются объемом производства кирпича. Поэтому для выбора лучшего варианта технологического процесса применять формулу приведенных затрат не следует. Решение такой задачи возможно только путем применения формулы приведенного эффекта.

В процессе расчета надо следить, чтобы строго выдерживалась размерность показателей. С учетом этого требования определим приведенный эффект:

Э1 = 83 000 000 × [0,285 - (0,256 + 0,4 × (530 000 / 83 000 000))] = 83 000 000 × × [0,285 - 0,25] = 2 905 000

Э2 = 85 000 000 × [0,285 - (0,2593 + 0,4 × (680 000 / 85 000 000))] = 85 000 000 × × [0,285 - 0,2625] = 1 912 500

Э3 = 90 000 000 × [0,285 - (0,2574 + 0,4 × (720 000 / 90 000 000))] = 90 000 000 × × [0,285 - 0,2606] = 2 196 000

Э4 = 94 000 000 × [0,285 - (0,2552 + 0,4 × (773 000 / 94 000 000))] = 94 000 000 × × [0,285 - 0,258] = 2 538 000

Э5 = 98 000 000 × [0,285 - (0,2527 + 0,4 × (810 000 / 98 000 000))] = 98 000 000 × × [0,285 - 0,256] = 2 842 000

Таким образом, самым выгодным из всех является вариант 1, поскольку приведенный эффект наиболее значителен.

Задача 4

Разработаны пять вариантов технологического процесса изготовления черепицы, причем каждый отличается от других качеством готовой продукции и производительностью используемого оборудования. Определить, какой из вариантов экономически выгоднее при следующих исходных данных.

Ен = 0,9

Варианты технологического процесса


первый

второй

третий

четвертый

пятый

Ежегодный объем производства черепицы, тыс. м2 (q)

2 350

2 570

2635

2 480

2 740

Цена черепицы руб. / м2

376

394

381

423

415

Себестоимость изготовления руб. / м2 (s)

342

346

348

357

352

Капиталовложение в оборудование, тыс. руб. (k)

35 250

44 500

53 600

48 700

65 300


Решение:

В связи с тем, что альтернативные варианты отличаются объемом производства и качеством производимой продукции, выбор лучшего варианта осуществляется по формуле:


И по формуле:

Определим приведенный эффект по вариантам:

Э1 = 2 350 000 × [376 - (342 + 0,9 × (35 250 000 / 2 350 000))] = 2 350 000 × [385 - - 355,5] = 69 325 000

Э2 = 2 570 000 × [394 - (346 + 0,9 × (44 500 000 / 2 570 000))] = 2 570 000 × [394 - - 361,5] = 83 525 000

Э3 = 2 635 000 × [381 - (348 + 0,9 × (53 600 000 / 2 635 000))] = 2 635 000 × [381 - - 366,3] = 38 734 500

Э4 = 2 480 000 × [423 - (357 + 0,9 × (48 700 000 / 2 480 000))] = 2 480 000 × [423 - - 374,6] = 120 032 000

Э5 = 2 740 000 × [415 - (352 + 0,9 × (65 300 000 /2 740 000))] = 2 740 000 × [415 - - 373,4] = 113 984 000

Таким образом, лучшим с точки зрения экономики является вариант 4, поскольку его приведенный эффект самый высокий.

Задача 5

Разработан технический проект строительства и эксплуатации кирпичного завода производственной мощностью М (тыс. шт./год). Период строительства и освоения производственной мощности нового предприятия (∆Т) равен 0,8 года.

Признано целесообразным 10% производственной мощности завода, использовать в качестве резерва.

В соответствии с проектом ежегодные постоянные расходы завода составляют С (тыс. руб./год), а переменные - V (руб./шт). Рыночная цена кирпича на момент проектирования завода определяется как Zp (руб./шт). Прогнозируемые исследования показывают, что к началу эксплуатации завода цена кирпича изменится: от αmin = 1,14, до αmax = 1,2. Капиталовложения в создание завода определяются как К (тыс. руб.). Норма эффективности капитальных вложений (Ен), установленная фирмой, равна 0,20. Ожидаемый спрос на кирпич составляет 1,25 М. Величиной инфляционных ожиданий можно пренебречь. Все необходимые расчеты провести при затратном ценообразовании.

При расчетах примем, что планируемый выпуск кирпича составляет 85% производственной мощности предприятия, а налоги определяются как: λ = 0,215 величины постоянных затрат (условно-постоянные годовые налоги) и β = 0,28 балансовой прибыли предприятия (переменные налоги, зависящие от производственной деятельности предприятия).

Необходимо определить величину следующих показателей, характеризующих эффективность будущего бизнеса:

годовую производственную программу;

       ожидаемую цену реализации кирпича за единицу продукции;

       годовую выручку от продажи кирпича;

       годовые переменные текущие затраты;

       условно-постоянные текущие затраты на единицу продукции;

       себестоимость производства единицы продукции;

       себестоимость производства годовой товарной продукции;

       величину годовой балансовой прибыли предприятия;

       рентабельность производства кирпича;

       годовую производственную программу самоокупаемости деятельности предприятия;

       характеристику и степень надежности будущего бизнеса;

       величину годового совокупного налога (при отсутствии льгот по налогообложению);

       годовую производственную программу самоокупаемости предприятия с учетом его налогообложения;

       долю выручки, остающуюся в распоряжении предприятия после выплаты налогов;

       долю балансовой прибыли, изымаемую в бюджет в качестве налогов (совокупный налог в процентах от балансовой прибыли);

       коэффициент эффективности и срок окупаемости капитальных вложений (с учетом риска предпринимательства).

M

V

Z

C

K

10 000

0,220

0,823

2 500

3 700


Решение:

. Определим годовую производственную программу завода по формуле:


где М - годовая производственная мощность предприятия;

Км - коэффициент использования производственной мощности. = 0,85 × 10 000 = 8 500 тыс. шт.

. Определим ожидаемую цену одного кирпича по формуле:

 = (1,14 + 1,2 / 2) × 0,823 = 0,96291 руб./ шт.

. Определим годовую выручку от продажи кирпича по формуле:

= 8 500 000 × 0,96291 = 8 184 735 руб. / год

. Определим годовые переменные затраты предприятия по формуле:

пер. = 0,220 × 8 500 000 = 1 870 000 руб. / год

. Определим условно-постоянные затраты на единицу продукции по формуле:

ед. = 2 500 000 / 8 500 000 = 0,29411765 руб. / шт.

. Определим себестоимость производства единицы продукции по формуле:

ед. = 0,220 + 0,29411765= 0,51411765 руб. / шт.

. Определим себестоимость годовой товарной продукции по формуле:

 = 0,51411765 × 8 500 000 = 4 370 000,025 руб. / год

. Определим величину годовой балансовой прибыли предприятия по формуле:


Пб = 8 500 000 × (0,96291 -0,51411765) = 3 814 734,975 руб. /год

. Определим рентабельность изготовления кирпича по формуле:

= 0,96291- 0,51411765 /0,51411765 = 0,87 или 87 %

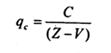
. Определим годовую производственную программу самоокупаемости деятельности предприятия по формуле:

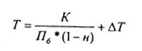
с = 2 500 000 / 0,96291 - 0,220 = 2 500 000 / 0,74291 = 3 365 146 шт. / год

. Определим характеристику и степень надежности будущего бизнеса. Отношение производственной мощности предприятия к производственной программе самоокупаемости составляет:


000 000 / 3 365 146 = 2,9 - степень надежности бизнеса

. Определим величину годового совокупного налога предприятия (при отсутствии льгот по налогообложению) по формуле:


Н = 0,215 × 2 500 000 + 0,28 × 3 814 734,975 = 537 500 + 1 068 125,793 =

= 1 605 625,793 руб. / год

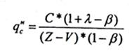
. Определим годовую производственную программу самоокупаемости с учетом налогообложения по формуле:

нс = 2 500 000 × (1 + 0,215 - 0,28) / (0,96291 - 0,220) × (1 - 0,28) = 2 337 500 /

/ 0,74291 × 0,72 = 2 337 500 /0,5348952 = 4 370 014,91 шт. / год

Полученный результат свидетельствует о том, что, что с учетом налогообложения производственная программа самоокупаемости возросла (на 16,83 %). Это существенно сокращает величину чистой прибыли, повышает риск вложений в данный бизнес.

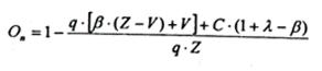
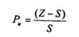
. Определим долю выручки, остающуюся в распоряжении предприятия после выплаты налогов, по формуле:


Оn = 1 - (8 500 000 [0,28 × (0,96291 - 0,220) + 0,220] + 2 500 000 × (1 + 0,215 - 0,28)) / 8 500 000 / 0,96291 = 1 - (3 638 125,8 + 2 337 500 / 8 184 735) = 1 -

(5 975 625,8 / 8 184 735) = 1 - 0,73 = 0,27 или 27 %.

Это значит, что в распоряжении предприятия после выплаты налогов останется почти 27 % всей выручки или:

0,27 × 8 184 735 = 2 209 878,45 руб. / год - выручка

. Определим совокупный налог в процентах от балансовой прибыли по формуле:

н = 1 605 625,793 / 3 814 734,975 = 0,42 или 42 %.

Это достаточно высокий результат, который позволяет вывод о том, что почти 61 % балансовой прибыли остается предприятию для социального и производственного развития.

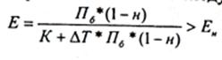
. Определим коэффициент эффективности и срок окупаемости капитальных вложений с учетом риска предпринимательства последующим формуле:


И по формуле:


Е = 3 814 734,975×(1 - 0,42) / 3 700 000 + 0,8 × 3 814 734,975 × (1 - 0,42) = 0,4> 0,2

T = 3 700 000 / 3 814 734,975 × (1 - 0,42) + 0,8 = (3 700 000 / 2 212 546,2855) + 0,8= = 2,4 > 0,2

Следовательно, с учетом риска эффективность капитальных вложений полностью удовлетворяет требованиям теории и установленному предпринимателем ограничению нормы эффективности. Теперь можно определить срок окупаемости капитальных вложений по формуле:

Т = 3 700 000 / 3 814 734,975 × (1 - 0,42) + 0,8 = (3 700 000 / 2 212 546,2855) + 0,8 = 2,4 года

Вывод: проект будущего бизнеса обеспечивает предпринимателю достаточно высокий доход и может быть рекомендован к реализации с учетом неопределенности будущей рыночной ситуации и риска вложений.

ЗАКЛЮЧЕНИЕ


В данной работе мы рассмотрели процесс оценки конкурентоспособности товаров.

В результате получилось, что отечественная бытовая техника в данный момент времени являются на рынке вполне конкурентоспособными, что говорит о том, что отечественная промышленность не стоит на месте, а развивается и по качеству готовые изделия не уступают импортным аналогам. Но так как сборка происходит на территории России, то это позволяет снизить цену, что выгодно для отечественных покупателей, а значит и для отечественных производителей. На данный момент времени фирма добилась нужного соотношения качества и цены - при высоком качестве доступная

Тем не менее разрабатываемая Государственная политика промышленного развития, направленная на повышение конкурентоспособности промышленных предприятий, должна обеспечивать решение двух важнейших задач: реформирование предприятий с целью повышения качества и эффективности их управления и разработку мер государственного регулирования, стимулирующих развитие отечественных товаропроизводителей.

Список литературы


1.       Багиев Г. Л. и др. Маркетинг: Учебник для ВУЗов / М.: “Экономика”, 2010г.

2.       Бодди Д. Основы менеджмента. - СПб.: Питер, 2002.

.         Диксон П. Управление маркетингом: Учебное пособие. - М.: Бином, 2009

.         Соловьев Б. А. Управление маркетингом М.: ИНФРА-М, 2012.

.         Бухалков М. Маркетинг, Москва 2001

.         Русинова Ф.М, Разу М.Л менеджмент 2010

.         Экономика предприятия / Под ред. проф. Н.А. Сафронова. - М.: “Юристъ”, 2000

.         Фатхутдинов Р. Конкурентоспособность России и подготовка кадров// Общество и экономика. - 2009

Похожие работы на - Оценка конкурентоспособности товара

 

Не нашли материал для своей работы?
Поможем написать уникальную работу
Без плагиата!
Без нейросетей!