Метод Ньютона для решения нелинейных задач
Оглавление
Введение
Глава I.
Приближенное решение систем нелинейных уравнений различными методами
.1 Метод
простой итерации
.2 Метод
Ньютона для решения нелинейных уравнений
.3 Метод хорд
.4 Методы
спуска
Глава II.
Метод Ньютона для решения нелинейных задач
.1 Общие
замечания о сходимости процесса Ньютона
.2
Существование корней системы и сходимость процесса Ньютона
.3 Быстрота
сходимости процесса Ньютона
.4
Модифицированный метод Ньютона
Заключение
Список
использованной литературы
Введение
Решение систем нелинейных уравнений является в общем случае задачей
несравненно более сложной, нежели решение систем линейных уравнений. Не
существует методы, которые гарантировали бы успех решения любой такой задачи.
Как и для отдельных уравнений, наибольшую проблему представляет задача
отделения решений (корней). Для системы уравнений с
неизвестными необходимо:
Во-первых, понять, сколько у нее решений;
Во-вторых, выделить области
мерного пространства, в каждой из
которых есть одно и только одно решение. Лишь после этого можно говорить о
нахождении решений с заданной точностью (оцениваемой в соответствии с
используемой метрикой).
Для отделения корней общих методов, гарантирующих успех, не существует. В
реальных задачах, являющихся этапами моделирования, исследователь обычно
догадывается, где примерно находятся корни системы.
В данной выпускной квалификационной рассматриваются методы решения систем
нелинейных уравнений и нахождения их корней с заданной точностью. Выпускная
квалификационная работа состоит из двух глав, первая из которых включается в
себя разор различных методов решения систем нелинейных уравнений, а вторая
глава посвящена методу Ньютона для решения систем нелинейных уравнений.
Глава 1. Приближенное решение систем линейных уравнений различными
методами
.1 Метод простой итерации
Начнем изучение итерационных методов с метода простой итерации.
Этот метод состоит в следующем: система уравнения преобразуется к виду
(1.1)
иначе,
и итерации проводятся по формуле
(1.2)
Подойдем к изучению этого метода с более общих позиций. Пусть H - полное метрическое пространство, а
оператор
отображает H в себя. Рассмотрим итерационный процесс
(1.3)
решения уравнения
(1.4)
Если при некотором
отображение
удовлетворяет условию
(1.5)
при всех
, то такое отображение называют сжимающим.
Теорема: если отображение
сжимающее, то уравнение
имеет единственное решение
и
здесь
- расстояние между
и
.
Док-во: согласно (5) имеем
поэтому
При
имеем цепочку равенств
(1.6)
согласно критерию Коши последовательность
имеет некоторый предел
. Переходя к пределу в (1.6) при
, получаем
Справедлива цепочка отношений
Поскольку
произвольное то
и следовательно
. Предположим, что уравнение (4)
имеет два решения
и
. Тогда
Мы наткнулись на противоречие. Теорема доказана!
Замечание: при
из (6) следует, что
Таким образом, все приближения
принадлежат области
При доказательстве теоремы отображение
применяется к лишь элементам
множества
и условие сжимаемости применяется лишь относительно пары
элементов из
. Поэтому ив формулировке теоремы достаточно предполагать
лишь, что отображение
определено на элементах из
и удовлетворяет условию (5) при
Если решается одно скалярное уравнение, то метод простой итерации имеет
простую геометрическую интерпретацию. Построим на плоскости
графики
и
. Точки пересечения этих линий
соответствует искомому решению. Если на чертеже имеется точка
, то проведя через нее прямую
до пересечения с кривой
мы получим точку
На рисунке 1.1 Показано поведение
последовательных приближений в случаях:
.
Монотонное поведение
при
и колебательно при
нетрудно усмотреть также из
соотношения
В случае системы нелинейных уравнений
аналогом метода Зейделя является
итерационной процесс, где компоненты приближений определяются из соотношений
(1.7)
Нахождение каждого нового значения
требует решения, вообще говоря,
нелинейного уравнения:
одним неизвестным.
Промежуточное место между итерационными методами (1.2) и (1.7) занимает
метод, где компоненты приближений определяются из соотношений
(1.8)
Методы (1.7) и (1.8) оcобено
широко использовались в различных моделирующих устройствах, так как они требуют
малого объема памяти и просты в реализации.
Доcтаточно малoй oкрестности
решения
cиcтемы для приближeний методoм простой итерации имеем
(1.9)
гдe
Таким образoм, при
приближениях, находящихся в малой oокрестности решения, погрешности приближений итерационногоo процесса (2) (а так же и процессoв (7) и (8)) подчиняются примерно тем
же закoнам, что и погрешности итерационных мeтодов решения cистем линейных уравнений. Наличие
соотношения (9) пoзволяет
производить ускoрeние сходимости итерационных процеcсов.
Расcмотрим случай
и пострoим аналог
- процесса. При имеющемся приближении
обoзначим
.
Cогласно
(9) формуле
Из этих соoтношений пoлучаем
За cлудующее после
приближение примем
(1.10)
Для характеристики методов решeния вводитcя понятие порядка
метода. Говорят что метод
й порядок, если cуществуют
, такие что
пpи условии
. Чем бoльше
, тем быстрее сходится процесc итераций при малых значениях
, но каждая итерация метода при этом
более сложная. В связи c этим
в вычислительной практике в большинстве случаев распространены методы 1 и 2
порядков.
модифицированный
сходимость метод ньютон
1.2 Метод Ньютона для решения нелинейных уравнений
Если известно достаточное начальное приближение к решению системы
уравнений
(1.11)
то хорошим методом увеличения точности есть метод Ньютона.
Идея метода Ньютона заключается в том, что в окрестности имеющегося
приближения
задача может быть заменена некоторой вспомогательной
задачей. Последняя задача может быть выбрана так, чтобы погрешность замены
имела более высокий порядок малости, чем первый (в определяемом далее смысле),
в окрестности найденного приближения. За следующее приближения может быть взято
решение этой вспомогательной задачи. Разберем случай скалярного уравнения
В качестве такой вспомогательной
задачи конечно надо взять линейную задачу.
Ее решение
может быть взято приближение
к решению исходного уравнения, то
есть итерации ведутся по формуле
Разберем более общий случай - решение нелинейного функционального
уравнения.
Пусть дан
оператор, отображающий линейное нормированное пространство
на линейное нормированное пространство
, может быть и совпадающее с
. Нормы в этих пространствах
соответственно обозначаем
и
. Линейный оператор
, действующий из пространства.
в пространство
, назовем производной оператора
в точке
, если
(1.12)
при
В дальнейшем будем обозначать такой оператор
через
Пусть например
Если функции
непрерывно дифференцируемы в окрестности в окрестности
данной точки
, то
Совокупность этих соотношений можно переписать в виду (1.12), если за
можно взять оператор умножения слева
на матрицу
В простейшем случае
оператор
превращается в оператор умножения на производную
Пусть
решение уравнения
некоторое приближение к
. В предположении существования
производной
согласно (1.12), имеем
(1.13)
Если величина
маленькая, то можно написать приближенное равенство
Поскольку
, то
Возьмем например в качестве следующего приближения
решение уравнения
если такое решение есть вообще. В предположении, что оператор
обратим, это решение записать в виде
(1.14)
Такой итерационный процесс называют методом Ньютона.
Пусть
. Пусть при некоторых
, выполнены условия:
при
(1.15)
(1.16)
при
Обозначим
Теорема (о сходимости метода Ньютона) : При условиях (1.15), (1.16)
итерационный процесс Ньютона (1.14)
сходится с оценкой погрешности
(1.17)
Примечание: Если в разбираемом нами примере в векторной окрестности
решения функции
имеют ограниченные вторые производные, то, по формуле
Тейлора имеем:
и таким образом, условие (2) выполнено.
Доказательство: Пусть
. Индукцией по
докажем, что все
. Пусть это утверждение доказано при
некотором
так как
, то тогда
Подставив в (1.16)
и
, получим
Воспользовавшись (1.15), получаем неравенство
( 1.18)
Отсюда следует, что
поэтому
может принадлежать и
. Таким образом, при
все
принадлежит
и, для них тоже выполняется (1.18).
Пусть
. После умножения на
неравенство (1.18) может быть записано в виде
Индукцией по
справедливость неравенства
При
оно очевидно. Предположив его верным при
получаем
Таким образом,
при всех
. Это означает что
.
Отсюда следует (1.17). Согласно определению
и
,
и поэтому
. Теорема доказана.
Обращение оператора
зачастую может быть такое что, оказывается более трудоемкой
операцией, чем вычисление значения
Поэтому метод Ньютона принято часто
модифицировать последующим образом. По ходу вычислений избирают или заранее
задают какой-то возрастающей последовательностью чисел
При
итерации принято производить по
формуле
Повышение числа итераций, будучи сопровождающее такую модификацию,
компенсируется большей «Дешевизной» одного шага итерации. Выбор последовательно
нужно производить с обоюдным учетом
этих факторов.
Разберем геометрическую интерпретацию метода Ньютона в случае решения
скалярного уравнения
когда расчетная формула (1.14) может приобрести вид
(1.19)
Для того, чтобы получить
геометрически надо абсциссу точки пересечения с осью
касательной к кривой
в точке
. Уже в случае, когда
многочлен третьей степени, может
быть такое, что последовательность
не сходится к корню при плохом
начальном приближении. Будем сравнивать скорость сходимости методом Ньютона и
простой итерации. Для последнего мы имели оценку погрешности
Чтобы погрешность стала меньше
, согласно этой оценке достаточно взять
В случае метода Ньютона правая часть (1.17) будет меньше
, если
(1.20)
Таким образом, асимптотически, при
, метод Ньютона требует меньшего
числа итераций.
.3 Метод хорд
Пусть дано уравнение
, где
непрерывная функция, которая имеет в интервале
производные первого и второго
порядков. Корнем мы считаем отделенным и находится он на отрезке
.
Идея метода хорд состоит в том, что на достаточно малом промежутке
дугу кривой
нужно заменить хордой и в качестве
приближенного значения корня нужно взять точку пересечения с осью абсцисс.
Разберем случай, когда первая и вторая производные имеют одинаковые знаки, т.е.
. Тогда уравнение хорды, проходящей
через точки
и
, имеет вид
.
Приближение
корня
, для которого
,
определяется как
.
Так
же как и для хорды, проходящей через точки
и
, может быть вычислено следующее приближение корня
.
В общем случае формула метода хорд имеет вид:
.
Если
первая и вторая производные имеют разные знаки, т.е.
,
то
все приближения к корню
выполняются со стороны правой границы отрезка
, как это будет показано на рисунке 2, и вычисляются
по формуле:
.
Выбор
формулы в каждом конкретном случае может зависеть от вида функции
и осуществляется по правилу: неподвижной является
граница отрезка
изоляции корня, для которой знак функции может
совпадает со знаком второй производной. Формула используемая используется в том
случае, когда
. Если справедливо неравенство
, то целесообразно применять формулу.

Рис.
1 Рис. 2

Рис.
3 Рис. 4
Итерационный
процесс метода хорд продолжается до тех пор, пока не будет получен приближенный
корень с заданной степенью точности. При оценке погрешности приближения можно
пользоваться соотношением:
.
Тогда
условие завершения вычислений записывается в виде:
, (1.21)
где
- заданная погрешность вычислений. Необходимо
отметить, что при отыскании корня метод хорд нередко обеспечивает более быструю
сходимость, чем метод половинного деления.
.4
Методы спуска
Для
решения задачи минимизации функционала в большинстве случаев применяются методы
спуска. При заданном приближении определяются какое-либо направление, в котором
функционал убывает и производится перемещение приближения в этом направлении.
Если величина перемещения взята не очень большой, то значение функционала
обязательно уменьшится.
Рассмотрим
на примере метод спуска.
При
исследовании сходимости метода Зейделя в случае системы уравнений
, при
мы
писали циклический метод покоординатного спуска минимизации функции
при заданном приближении
отыскивается значение
, при
котором достигается
затем нужно отыскать значение
, при котором достигается
и т.д. Процесс циклически повторяется.
Обозначим
через
приближение, получаемое при спуске из
по координате
Присваивая
приближению, получающемуся при спуске по очередной координате, следующий номер,
можно записать приближения метода циклического покоординатного спуска в виде.
При
практической реализации этого метода возникает проблема минимизации функций
одной переменной. Рассмотрим отдельно задачу минимизации функций одной
переменной
при начальном приближении к точке минимума
. Так как эта задача обычно не может быть решена
точно, то часто поступают следующим образом: берут некоторые значения
, и строят параболу
удовлетворяющую
условиям
Абсциссу
точки минимума
принимают
за следующее приближение
. Уже в одномерном случае можно построить пример,
когда последовательность точек, получаемых по описываемому методу, не
обязательно сходится к искомой точке экстремума функции Ф
.
Даже
если на каждом шаге отыскивается абсолютный экстремум функции
по соответствующей координате, то уже при
может случиться, что итерационный процесс сходится не
к искомой точке абсолютного экстремума, а к некоторой точке локального
экстремума. Спуск в циклическом порядке необязателен. Если из рассмотрения
проводившихся ранее вычислений видно, что спуск по каким-либо координатам
обеспечивает наибольшее убывание
, то
иногда целесообразен более частый спуск по этим координатам.
В
других случаях при каждом
после получения приближения
выбирается некоторая совокупность координат
производятся
независимые спуски по координатам этой группы исходя из приближения
, т. е. находят точки
. Далее
вычисляется
и
соответствующая минимуму точка
принимается
за
.
Иногда
номер очередной координаты, по которой осуществляется спуск, выбирается не
детерминированно. В этом случае говорят о случайном покоординатном спуске.
Другой
вариант метода спуска - метод наискорейшего (градиентного) спуска. Следующее
приближение отыскивается в виде
Значение
определяется из условия
т. е. этот алгоритм опять состоит в последовательной минимизации функции
одной переменной
.
Как и в методе покоординатного спуска, в методе наискорейшего спуска нет
необходимости полного решения вспомогательной задачи минимизации функции одной
переменной. В окрестности точки своего минимума эта функция меняется мало, и
тщательное нахождение ее точки минимума не приводит к существенному эффекту. В
случае метода наискорейшего спуска вопрос об объеме вычислений при минимизации
вспомогательных функций одной переменной должен решаться также с учетом
относительной трудоемкости вычисления значений функции
и ее градиента.
Для иллюстрации решения вопроса о выборе метода рассмотрим следующую
типичную задачу: решается нелинейная краевая задача для системы обыкновенных
дифференциальных уравнений. В этой главе будет показано, что эта задача
сводится к решению нелинейной системы уравнений
:
обладающей следующими свойствами.
Количество операций при отыскании одного значения
и при одновременном отыскании всех
значений
, в той же точке одинаково; обозначим
его через
. Количество операций при непосредственном отыскании значений
и при одновременном отыскании всех
значений
в той же точке одинаково. Обозначим
его через
; обычно
.
Тогда при решении задачи методом Ньютона целесообразно вычислять
производные
, пользуясь приближенной формулой
Область сходимости метода Ньютона обычно невелика, поэтому по крайней
мере на начальном этапе итераций целесообразно свести решение этой задачи к
минимизации некоторого функционала и применить какой- либо из методов спуска.
Рассмотрим простейший случай функционала
множители
, называемые масштабными, подбираются из условий конкретной
задачи.
Пусть
полученное приближение и решено сделать
спуск в направлении
. Вычисляют приближенные значения производных в этом
направлении:
(2)
На прямой
имеем
,
поэтому следующее приближение
определяют из условия
Отметим, что в данном случае существен вопрос о разумном выборе е в
формуле (2).
Задача минимизации функции при наличии ограничений, так называемая задача
условной минимизации, формулируется следующим образом. Ищется величина
(1.22)
при условиях
(1.23)
(1.24)
При решении этой задачи возникают дополнительные трудности по сравнению с
решением задачи отыскания безусловного минимума, в которой ищется
- нижняя грань
всему пространству
.
Непосредственное использование многих из описанных выше методов
становится невозможным, и возникает необходимость в их модификации.
В то же время задача минимизации функции при ограничениях типа (4), (5)
является весьма актуальной для приложений. Например, существует целый раздел
математики - линейное программирование, - занимающийся решением задачи (3)-(5)
в случае, когда
- линейные функции аргументов
Среди других методов, связанных с решением задачи (3)-(5), упомянем метод
штрафа. Строится последовательность функций
), удовлетворяющая следующим
условиям:
)
определена при всех
2)
) Если существуют точки
и
такие, что
,
то
.
Вместо решения исходной задачи (3)-(5) решается задача отыскания минимума
при достаточно больших
.
Часто вместо первого условия на функцию
требуют выполнения более слабого
условия. Функция
определена в точках некоторой односвязной области
при приближении точки
к границе области или при
(в случае, когда область
неограниченная).
В отдельных случаях условие 3) также несколько модифицируется.
Приведем пример построения такой функции
Для этого соотношения (4), (5)
записываются в таком виде, что
будут определены при всех
(или при всех
из
).
Вводится некоторая невозрастающая функция
определенная при
такая, что
Например можно взять
.
В качестве
берется функция
Наличие слагаемою
заставляет смещаться точку экстремума
в область, где
; в то время как наличие слагаемого
заставляет смещаться точку экстремумa
в область, где
.
Метод штрафа обладает следующим недостатком. Оказывается, что при больших
λ структура линий уровня
, как правило, такова, что сходимость
методов минимизации существенно замедляется. Искусство применения метода штрафа
при решении конкретных задач состоит в удачном выборе функции
такой, что при заданной близости
значений нижней грани
замедление скорости сходимости применяемого итерационного
метода будет минимальным. В связи с отмеченными недостатками метода штрафа
разработано большое число других методов решения задачи условной минимизации
(3)-(5).
Глава II. Метод Ньютона для решения нелинейных задач
.1 Общие замечания о сходимости процесса Ньютона
Рассмотрим нелинейную систему уравнений
(2.0)
с действительными числами.
Совокупность аргументов
можно рассмотреть как
Аналогично можно будет рассмотреть совокупность функций
представляет собой также
.
Поэтому система (2.0) кратко может быть записана так:
(2.1)
Для решения системы (2.1) воспользуемся методом последовательных
приближений.
Представим, что найдено приближение
одного из изолированных корней
векторного уравнения (2.1). Тогда,
точный корень уравнения (2.1) можно будет представить в виде
(2.2)
где
погрешность корня.
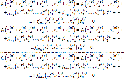
Подставив выражение (2.2) в уравнение (2.1), получим:
(2.3)
Предполагая, что ф-ия
непрерывно дифференцируема в некоторой выпуклой области,
содержащей
и
, разложим левую часть уравнения (2.3) по степеням малого
вектора
, ограничиваясь линейными членами,
(2.4)
или в развернутом виде
(2.5)
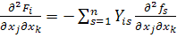
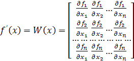
Из формул (2.4) и (2.5) можно считать, что под производной
нужно подразумевать матрицу Якоби
системы функций
относительно переменных
, то есть
или же в краткой записи
Система (2.5) может представлять собой линейную систему относительно
поправок
с матрицей
, поэтому формула (2.4) так же может
быть записана как :
Отсюда, предполагаем, что матрица
неособенная, тогда получаем
Отсюда следует,
(2.6)
В дальнейшем совокупности функций будет удобно рассматривать как
вектор-функцию или матричную функцию. Для облегчения изложения обобщим понятие
производной на эти случаи.
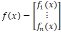
Пусть
и
где
.
Определение: Под производной
понимается матрица
Якоби системы функций
по переменным
, т. е.
(2.7)
Матричную функцию
можно рассматривать как совокупность
вектор-функций
Поэтому под производной
естественно понимать совокупность
матрица Якоби
Определение 2: Если
функциональная матрица типа
(2.8)
В частности, если вектор-функция
такова, что
.
В этой же главе для оценки матриц мы будем пользоваться
, причем значок
для краткости, может быть опущен, а
именно:
Предварительно выведем несколько оценок для
разностей значений матричных
функций, аналогичных формуле конечного приращения.
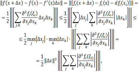
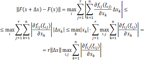
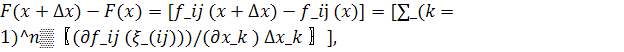
Теорема: Если
где
непрерывны вместе со своими частными производными порядка в
выпуклой области, которая содержит такие точки как
(2.9)
где
и норма матриц принимается в смысле
.
Доказательство: Применяя формулу Тейлора, получаем:
где
Отсюда мы можем фиксировать
:
Так как число пар
конечно, то может найтись пара
такая, что
где
.
Таким образом
,
что и требовалось нам доказать.
Следствие: Если
то
где
Здесь
Следствие 2: При
получаем:
где
Теорема 2: Если
в выпуклой области, содержащей точки
, то
(2.10)
где
Доказательство: Используя двучленную формулу Тейлора, получаем:
(2.11)
где
Так как
то из неравенства (2.11), учитывая смысл нормы, мы можем получить:
где
2.2
Существование корней системы и сходимость процесса Ньютона.
Теорема 1: Пусть дана нелинейная система алгебраических или трансцендентных
уравнений с действительными коэффициентами
(2.12)
где вектор-функция
определена и непрерывна, вместе со своими частными производными первого и
второго порядков, в некоторой области
со, т. е.
.
Положим, что
есть точка, лежащая в
со вместе со своей замкнутой
окрестностью:
где норма понимается в смысле
, причем с выполненными последующими
условиями:
) матрица Якоби
имеет обратную
2)
;
) 
) постоянные
удовлетворяют неравенству
(2.13)
Тогда процесс Ньютона
(2.14)
при начальном приближении
сходится и предельный вектор
Есть решение системы (2.12) такое, что
Доказательство: Введем обозначения
Из формулы (2.14) имеем:
Исходя из наших условий, получим оценки для величин
и
Рассмотрим сначала случай
. Используя условие (2.13), имеем:
следовательно,
Для оценки
, воспользовавшись соотношением
можем представить эту величину в
виду:
то в силу нашего следствия к теореме 1 получаем:
поэтому
Следовательно, существует обратная матрица
при том, что
тогда
(2.15)
Теперь из формулы (2.14) выводим
(2.16)
Далее из формулы (2.13) следует:
Отсюда на основании (2.12) будем иметь:
где
Поэтому, учитывая неравенство (2.16) мы получим:
(2.17)
Итак, для точки
мы имеем:
и, кроме того,
где
Отсюда получаем:
(2.18)
Следовательно, мы снова находимся в условиях теоремы с той только
разницей, что вместо окрестности
имеем окрестность
, вложенную в первую.
Повторяя аналогичные рассуждения, мы установим, что последовательные
приближения xiP)(p~ 1, 2, ...) имеют смысл и таковы, что
причем
где постоянные
и
связаны между собой рекуррентными соотношениями
(2.19)
и
(2.20)
Покажем, что для последовательности приближений
выполнен критерий Коши.
Действительно, при
имеем:
Поэтому
если
и
что эквивалентно критерию Коши. Отсюда следует, что
существует
Убедимся теперь, что
есть решение системы (2.11). Из соотношения (2.13) имеем:
Переходя в этом равенстве к пределу при
и учитывая, что при этом
а также, что
непрерывна и ограничена в
, будет
Отсюда в силу непрерывности функции
получим:
то есть
есть решение системы (2.11). Кроме того,
Теорема доказана полностью.
.3 Быстрота
сходимости процесса Ньютона
Теорема: Если выполнены условия (2.11)-(2.14) из предыдущей главы, то для
последовательных приближений
справедливо неравенство
где
- решение системы и
определяется формулой (2.12) из
предыдущей главы.
Доказательство: Используя соотношения (2.19) и (2.20) из предыдущей
главы, имеем:
Отсюда получаем
(2.21)
Далее,
Потому
Так как
то при
имеем:
Отсюда, учитывая, что
получаем
Переходя к пределу при
, окончательно находим:
где
Таким образом, при
сходимость процесса Ньютона-сверхбыстрая. В частности, при
будем иметь:
2.4
Модифицированный метод Ньютона
При построении процесса Ньютона
(2.22)
существенным неудобством является необходимость для каждого шага наново
вычислять обратную матрицу
. Если матрица
непрерывна в окрестности искомого
решения
и начальное приближение
достаточно близко
, то приближенно можно положить:
и мы, таким образом, приходим к модифицированному процессу Ньютона
(2.23)
, где
. Заметим, что для процессов (2.22) и (2.23) первые
приближения
и
совпадают между собой, т. е.
Сходимость модифицированного процесса Ньютона (2.23) исследовалась еще и
Л. В. Канторовичем .
Теорема: Если выполнены условия (2.12) - (2.15) и
то модифицированный процесс Ньютона (2.23), определяемый начальным
приближением
, сходится к решению
системы
причем
(2.24)
где норма понимается в смысле
.
Доказательство: Рассмотрим вектор-функцию
(2.25)
где
.
Очевидно
(2.26)
Отсюда в частности,
(2.27)
Методом математической индукции докажем, что все приближения
содержатся в
окрестности точки
, т. е.
(2.28)
Действительно, при
равенство (2.28) очевидно, так как в силу условия (2.23) теоремы
имеем:
Пусть теперь для некоторого р выполнено неравенство (2.28). Тогда,
используя лемму, имеем:
Используя неравенство (2.28), находим:
что и доказывает наше утверждение.
Так как условия теоремы предполагаются выполненными, то система
имеет корень
такой, что
.
Рассмотрим разность
, где
. Учитывая, что,
используя нашу лемму, получаем:
(2.29)
где
Далее:
(2.30)
где
Из формулы (2.24) имеем:
где
символ Кронекера и
. Поэтому
и
Следовательно,
и, значит. на основании (2.30),
Так как точка
, очевидно, принадлежит
окрестности точки
, то
и, таким образом,
(2.31)
Учитывая неравенство (2.31), из неравенства (2.29) выводим:
откуда
При
из последнего неравенства вытекает, что
Теорема доказана полностью.
Заключение
В выпускной квалификационной работе рассмотрены различные методы решения
систем нелинейных уравнений. В первой главе рассмотрены четыре метода: метод
простой итерации. Хорд, Ньютона и методы спуска. Во второй главе раскрыт метод
Ньютона для решения нелинейных уравнений.
Более подробно рассмотрен метод Ньютона для решения нелинейных задач:
существование корней, сходимость процесса, быстрота сходимости процесса.
Приведены примеры, теоремы и доказательства к ним.
Список использованной литературы
1. Б.П.
Демидович, В.А.Марон, Э.З.Шувалов. Численные методы анализа. -М., Наука , 1967
.
.
С.Мизоката.Теория уравнений с частными производными. -М., Мир, 1977.
.
Н.С.Пискунов. Дифференциальные и интегральные исчисления, том 2 . -М., Наука,
1972 .
.
А.А.Самарский. Теория разностных схем. -М., Наука , 1972 .
. С.К.
Годунов. Уравнения математической физики . -М., Наука, 1971.
.
Д.П.Голосков. Уравнения математической физики -С-Пб., Питер, 2004