Создание автоматизированной информационной системы 'VIP–Клиника'

  • Вид работы:
    Дипломная (ВКР)
  • Предмет:
    Информационное обеспечение, программирование
  • Язык:
    Русский
    ,
    Формат файла:
    MS Word
    1,09 Мб
  • Опубликовано:
    2015-11-22
Вы можете узнать стоимость помощи в написании студенческой работы.
Помощь в написании работы, которую точно примут!

Создание автоматизированной информационной системы 'VIP–Клиника'

Список сокращений

SQL - Standard Query Language (Стандартный язык запросов)

АИС - автоматизированная информационная система

БД - база данных

ИД - индекс доходности

ИО - информационное обеспечение

ИС - информационная система

СУБД - система управления базами данных

ОС - операционная система

ПО - программное обеспечение

САП - сравнительный анализ продаж

ЦФ - целевая функция

ЧДД - чистый дисконтированный доход

ЧОД - чистый операционный доход

Содержание

Введение

. Аналитическая часть

.1 Описание предметной области

.1.1 Организационная структура и характеристика объекта управления

.1.2 Описание существующего уровня автоматизации

.1.3 Организация предметной области

.2 Сущность комплекса информационных задач

.2.1 Общие сведения о задачах

.2.2 Декомпозиция комплекса задач.

.3 Постановка задачи на проектирование

.3.1 Недостатки существующей информационной системы

.3.2 Требования, предъявляемые к разрабатываемой информационной системе.

.3.3 Обзор современных методов и программных средств для решения данной проблемы

.3.3.1 Обзор современных информационных систем для автоматизации медицинских учреждений

.3.3.1.1 MedWork - система для автоматизации медицинских учреждений

.3.3.1.2 ИС «PatientBase»

.3.3.1.3 ИС «BeautyBase»

.3.3.2 Подходы к созданию информационной системы Интернет-офиса

.3.4 Обоснование необходимости и направлений разработки ИС

. Проектная часть

.1 Информационное обеспечение разрабатываемой ИС

.1.1 Внемашинное ИО

.1.1.1 Описание входной и выходной информации решаемой задачи. Разработка технологических схем

.1.1.2 Нормативно справочная информация

.1.1.3 Оперативная информация

.1.2 Информационный анализ предметной области и построение инфологической модели данных

.1.3 Выбор СУБД

.1.4 Внутримашинная реализация данных

.2 Формализация расчетов (математическая модель)

.3 Алгоритмы и технология решения задач

.3.1 Разработка технологической схемы ввода и накопления информации

.3.2 Построение форм ввода-вывода информации

.3.2.1 Построение форм ввода вывода БД

.3.2.2 Построение форм ввода вывода сайта

.3.3 Разработка алгоритмов обработки информации

.4 Обоснование выбора системного обеспечения ИС

.4.1 Обоснование выбора операционной системы

.4.2 Обоснование выбора средств разработки

.5 Разработка программного обеспечения ИС

.6 Обоснование выбора технического обеспечения для функционирования ИС

.6.1 Выбор компьютера

.6.2 Выбор средства отображения информации

.6.3 Выбор печатающего устройства

.7 Разработка организационного обеспечения

. Расчет экономической эффективности от внедрения ИС

.1 Определение затрат на разработку продукта

.2 Определение доходов от внедрения в работу ИС

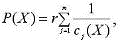
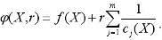
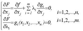
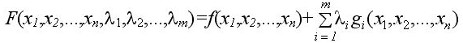
.3 Показатели эффективности

. Безопасность жизнедеятельности и охрана окружающей среды

.1 Законодательная база по охране труда

.2 Опасные и производственные вредные факторы, их классификация

.3.1 Статическое электричество

.3.2 Шум и вибрации, вызванные работой печатающей техники

.3.3 Электромагнитное излучение

.3.4 Микроклимат

.3.5 Электрическая опасность

.3.6 Пожарная безопасность

.4.1 Требования к микроклимату помещений для эксплуатации ЭВМ

Таблица 4.1 нормы микроклимата производственных помещений

.4.2 Требования к освещению помещений и рабочих мест с ЭВМ

.4.2.1 Расчёт искусственного освещения

.4.3 Требования к организации режима труда и отдыха при работе с ЭВМ

.4.4 Мероприятия по охране труда

.5 Охрана окружающей среды

Заключение

Список источников информации

Введение

В современном обществе хорошо развита сфера обслуживания как одна из исторически сложившихся и, в тоже время, постоянно развивающихся отраслей. Одной из систем сферы обслуживания являются медико-косметологические центры. В настоящее время прослеживается рост интересов, связанных с заботой о внешнем виде, состоянием кожи, волос, ногтей и всего тела, что приводит к росту числа различных фирм, предлагающих подобные услуги.

Немаловажную роль в развитии центра играет администратор, который, знакомит клиентов с услугами и помогает выбрать подходящие процедуры. Администратор - специалист, поддерживающий уровень сервиса и непосредственно общающийся с клиентами. От администратора центра зависит:

·  какое впечатление сложится у клиента после первого звонка или посещения косметологического центра;

·  запишется ли он на процедуры;

·        какими из предлагаемых услуг будет пользоваться клиент.

Администратор организует работу всей клиники: записывает клиентов на прием, составляет расписание для сотрудников, следит за дисциплиной и предупреждает конфликты, проверяет наличие средств работы сотрудников. Для повышения качества обслуживания клиентов необходимо оперативно реагировать на изменения, происходящие на рынке услуг, оптимизировать условия предварительной записи клиентов. На данный момент запись на прием и учёт клиентов, услуг и сотрудников в медико-косметологическом центре «VIP - Клиник» ведется вручную, что приводит к большим затратам времени и труда, а зачастую и к потере необходимой информации.

Для повышения конкурентоспособности медико-косметологического центра необходимо автоматизировать процесс записи клиента на прием, а также разработать программный модуль, позволяющий клиенту самостоятельно подбирать необходимый комплекс процедур на определенную сумму.

На сегодняшний день эффективным инструментом для привлечения новых клиентов является сайт. Традиционно веб-сайт считается, прежде всего, средством формирования имиджа, предоставления клиентам информации о фирме и ее услугах. В современных условиях этого не достаточно. Клиент ожидает, что сайт компании поможет ему выполнить какие-либо операции по взаимодействию с ней, а руководители фирмы осознают, что сайт может помочь им реально сократить затраты на организацию работы с клиентами, уменьшить время реакции на их обращения т.е. стать системой автоматизации. В медико-косметологическом центре «VIP - Клиник» есть только сайт-визитка, который состоит из главной страницы, где указан перечень услуг клиники без их описания и ссылки на прайс-лист с ценами на услуги. Поэтому необходимо создать «полноценный» сайт, на котором будет полная информация об услугах, клиники, реализовать возможность обратной связи с клиентом путем записи на прием через сайт.

В связи свыше сказанным целью дипломного проекта является создание автоматизированной информационной системы «VIP - Клиник», которая позволит вести учет клиентов, оплаты услуг, вести формирование отчетов о деятельности центра, а так же позволит клиентам самостоятельно подбирать услуги на сайте клиники на определенную сумму.

1.
Аналитическая часть

.1 Описание предметной области

Внешний вид человека, его мироощущение и процесс старения идут параллельно. Кожа в отличие от всех других органов обеспечивает не только жизнедеятельность всего организма, но и отражает внутреннее физическое и духовное состояние человека, выполняя присущую только ей эстетическую функцию. Косметические недостатки накладывают негативный отпечаток на психологическое состояние человека, являясь основной причиной плохого настроения, а порой и нервных срывов и значительно снижают качество жизни. Здесь на помощь приходят специалисты эстетической медицины.

Задача эстетической медицины улучшить внешний вид человека, помочь ему стать красивее и моложе. Миллионы людей во всем мире прибегают к современным методикам для того, чтобы стать более красивыми, привлекательными, восстановить былую красоту и чувствовать удовлетворение от своего внешнего вида. Клиники эстетической медицины существуют для того, чтобы люди могли проконсультироваться у специалистов и решить проблемы внешнего вида, которые вызывают беспокойство. Они помогают достичь хороших результатов и приобрести красивую внешность в короткие сроки.

В городе Старый Оскол всего 5 клиник оказывающих такие услуги. Среди них медико-косметологический центр «VIP - Клиник ».

1.1.1  Организационная структура и характеристика объекта управления

ООО Медико-косметологический центр «VIP - Клиник » был основан 28 ноября 2006 года и расположен по адресу микрорайон Жукова, 42.

Клиника оказывает своим клиентам следующие виды услуг:

1) Устранение морщин:)       мезотерапия - нехирургическое моделирование лица и тела внутрикожными микро-инъекциями;

b)      ботокс - это процедура введения в мимические мышцы одноименного препарата. При регулярном проведении процедур мышцы поддерживаются расслабленными, разглаживаются морщины любой глубины и не формируются новые;

c)       диспорт - те же действия что и при ботоксе, только с использование препарата «Диспотр»)         рестилайн - шведский препарат для устранения морщин на лице, коррекции формы губ и овала лица;

e)       пилинги (лечение пигментации) - стимуляция кожи, за счет снятия поверхностных слоев эпидермиса;

2) Антицеллюлитная программа:) серьга для похудения - в определенные точки ушной раковины устанавливается серьга, которая восстанавливает работу пищевого центра;

b)      антицеллюлитный массаж (вакуумный) - основан на том, что под прямым мануальным воздействием рук массажиста возникает повышенное "точечное" давление на зоны, подверженные липодистрофии (целлюлит);

3) Озонотерапия - это лечебная методика, основанная на применении озона в лечебно-профилактических целях. Уколы озоном применяются для омоложения лица, разглаживания морщин. Эффективное лечение озонотерапия показывает и при решении таких эстетических проблем, как удаление сосудистых звездочек, телеангиоэктазий, купероза и многих других;

4)  Лечение:)        растяжек;

b)      угревой сыпи;)    выпадения волос;

5)  Массаж:)        тайский - особое направление массажа, делающее акцент на точечное воздействие и практикуемое в Таиланде;

b)      классический;

6)  Стоун-терапия (вулканические камни) - это биоэнергетический массаж камнями и минералами;

7)      Татуаж;

8)      SPA-процедуры:

a)  SPA-маникюр - это дополнительный уход за кожей рук, который заключается в очищении, питании и увлажнении кожи рук и ногтей;

b)      SPA-педикюр - это качественный уход за кожей стопы и очень приятная оздоровительная процедура;

9)  Лечение повышенного потоотделения;

10) Эпиляция, биоэпиляция воском.

В центре систематически расширяется список оказываемых услуг, улучшается их качество. Эффективность проводимых услуг напрямую зависит от препаратов, используемых в работе, поэтому в клинике применяют широко известные и хорошо зарекомендовавшие себя на рынке продукты: израильская линия Anna Lotan, St.Tropez (США), Myoxy Caviar и другие, а так же только современное оборудование.

Клиентами центра являются жители города. Его цены ориентированы на клиентов со средним достатком и выше среднего.

В настоящее время в клинике работает 9 человек:

директор, он так же является врачом-неврологом и врачом-косметологом центра;

администратор;

бухгалтер;

3 медсестры;

врач-дермокосметолог;

массажист;

мастер спа-маникюра и педикюра.

Организационная структура предприятия - это состав, соподчиненность, взаимодействие и распределение работ по подразделениям и органам управления, между которыми устанавливаются определенные отношения по поводу реализации властных полномочий, потоков команд и информации.

Различают несколько типов организационных структур: линейные, функциональные, линейно-функциональные, дивизиональные, адаптивные.

Организационная структура медико-косметологического центра «VIP - Клиник » относится к линейной структуре, так как характеризуется тем, что во главе каждого подразделения стоит руководитель, сосредоточивший в своих руках все функции управления и осуществляющий единоличное руководство подчиненными ему работниками. Его решения, передаваемые по цепочке "сверху вниз", обязательны для выполнения нижестоящими звеньями.

Организационная структура клиники представлена на рис. 1.1.

Рис. 1.1. Организационная структура медико-косметологического центра.

Она включает в себя:

·  управленческую подсистему;

·  финансовую подсистему;

·        подсистему основных процессов, к ней относятся: врач-косметолог, врач-невролог, врач-дермокосмитолог, массажист, мастер спа-маникюра и педикюра;

·        обслуживающую подсистему.

Такая структура управления представляет организацию как совокупность взаимосвязанных элементов. Каждый элемент имеет свои цели и задачи.

Директор управляет администратором, имея при этом представление о действиях нижестоящих подчиненных. Он решает самостоятельно все вопросы функционирования медико-косметологического центра, организует всю работу предприятия и несет ответственность за его состояние и деятельность.Он заключает договоры, в том числе по найму работников. Издает приказы и распоряжения, обязательные к исполнению всеми работниками клиники. Он несет в пределах своих полномочий полную ответственность за деятельность предприятия. В обязанности директора входит и рассмотрение жалоб и предложений, принятие мер по устранению возникающих проблем, обеспечение систематического повышения квалификации работников клиники.

Бухгалтер не является постоянным работником клиники, он приходит только тогда, когда нужно сделать налоговый отчет или произвести другие расчеты. Бухгалтер выполняет следующие должностные обязанности:

. Отражает на счетах бухгалтерского учета операции, связанные с движением основных средств, товарно-материальных ценностей и денежных средств.

. Составляет отчетные калькуляции себестоимости продукции (работ, услуг), выявляет источники образования потерь и непроизводительных расходов, подготавливает предложения по их предупреждению.

. Производит начисление и перечисление налогов и сборов в федеральный, региональный и местный бюджеты, страховых взносов в государственные внебюджетные социальные фонды, платежей в банковские учреждения, средств на финансирование капитальных вложений, заработной платы рабочих и служащих, других выплат и платежей.

4. Выполняет отдельные служебные поручения своего непосредственного руководителя.

В обязанности администратора входит:

1) работа на телефоне:

·  прием всех входящих звонков;

·        регистрация полученной информации;

·        продажа по телефону (мотивирование пациентов на первичный прием);

2) работа на кассе (взаиморасчеты с пациентами);

3)      взаимодействие с пациентами в клинике:

·  информирование пациентов об услугах и сопутствующих товарах;

·        ответы на возражения;

·        расширение продаж;

4) обновление информации на сайте. При этом из-за отсутствия компьютера и доступа в интернет в клинике администратор вынужден выполнять эту работу дома;

5)      распределение клиентских потоков;

)        отслеживание приема специалистов;

)        продажа услуг и сопутствующих товаров;

)        взаимодействие с партнерами;

)        взаимодействие с персоналом и т. д.

Врач-невролог:

. Оказывает квалифицированную медицинскую помощь по своей специальности, используя современные методы профилактики, диагностики, лечения и реабилитации, разрешенные для применения в медицинской практике.

. Определяет тактику ведения больного в соответствии с установленными правилами и стандартами.

. Разрабатывает план обследования больного, уточняет объем и рациональные методы обследования пациента с целью получения в минимально короткие сроки полной и достоверной диагностической информации.

. В соответствии с установленными правилами и стандартами назначает и контролирует необходимое лечение, организует или самостоятельно проводит необходимые диагностические, лечебные, реабилитационные и профилактические процедуры и мероприятия.

. Вносит изменения в план лечения в зависимости от состояния пациента и определяет необходимость дополнительных методов обследования.

Косметолог должен уметь определить тип кожи человека и назначить процедуры, подходящие именно для этого типа. Врач-косметолог должен, кроме того, знать болезни кожи и методы их лечения, уметь поставить диагноз и предложить методы лечения. Современный косметолог помимо выполнения рядовых процедур по уходу должен владеть практически всеми методами терапевтической косметологии «по лицу» и «по телу» - это массаж, аппаратная косметология также получают распространение процедуры по введению гелей и рестилайна, обкалыванию гомеопатическими препаратами аккупунктурных точек и проблемных зон, электрофорез, озоно- и кислородотерапия всех частей тела, лимфодренаж тела и лица. На более высоком уровне выполняются процедуры по био- и электроэпиляции. Опытный специалист-косметолог поможет увеличить или изменить форму губ, придать выразительность бровям, очертить нижние и верхние веки с помощью перманентного макияжа.

Массажист принимает посетителей, выясняет необходимые сведения о травмах, заболеваниях, назначениях врача, противопоказаниях, целях посещения и пр. Определяет вид и тип массажа. Использует сертифицированное массажное оборудование и инвентарь, подготавливает массажные оборудование и инвентарь к сеансу массажа. Проводит сеанс массажа (общеоздоровительного, лечебного, спортивного, антицеллюлитного, косметического, иных видов массажа) в соответствии с правилами массажа. Определяет «проблемные» места клиента и проводит сегментарный массаж. Консультирует клиентов о возможности самомассажа, по иным профессиональным вопросам. Обеспечивает надлежащую чистоту и порядок в массажном кабинете. Изучает отечественный и зарубежный опыт в области массажа, систематически повышает свою квалификацию.

Мастер маникюра/педикюра: соблюдает требования личной гигиены и производственной санитарии; немедленно ставит в известность своего непосредственного руководителя о всех недостатках, обнаруженных во время работы; производит дезинфицирование инструмента.

Медсестра проводит лечебно-профилактические и диагностические мероприятия, назначаемые врачом. Проводит подготовку рабочего места врача, приборов, инструментария, бланков рецептов. Соблюдает санитарно-гигиенический режим в помещении клиники, условия стерилизации инструментария и материалов. Обеспечивает кабинет врача необходимыми медикаментами, стерильными инструментами, спецодеждой. Ведет учет расходов медикаментов, инструментов. Осуществляет контроль сохранности и исправности медицинской аппаратуры и оборудования, своевременным их ремонтом и списанием.

1.1.2  Описание существующего уровня автоматизации

В настоящее время в ООО Медико-косметологический центр «VIP - Клиник» не используются компьютерные технологии. Запись клиентов ведется по телефону или непосредственно в самой клинике.

Клиентов регистрируют в обычной тетради, в которой фиксируются данные о дате приема, фамилии пациента, наименовании оказываемой процедуры и сумме оплаты (см. Приложение 1).

Так же в медико-косметологическом центре «VIP - Клиник» есть свой сайт-визитка, который состоит из главной страницы, где указан перечень услуг клиники без их описания и ссылки на прайс-лист с ценами на услуги. Сайта-визитки достаточно в том случае, когда взаимодействие с клиентом происходит главным образом вне сети, однако потенциальные клиенты используют Интернет; когда невозможно предоставить подробное описание всей продукции компании, или когда конечная услуга принимает законченный вид только после личных контактов с клиентом.

Критерии выбора клиентом медико-косметологического центра различны и зависят от многих факторов. В первую очередь, его выбор обусловлен уровнем сервиса и профессионализмом сотрудников. Высокий уровень сервиса - это способность предвидеть и удовлетворять желания и потребности клиента, создать у клиента ощущение полного комфорта и, в конечном итоге, завоевать его доверие и симпатию. В любом случае, представление о клиники у клиента складывается с первого визита или даже с первого телефонного звонка, с того как его встретил администратор, как он с ним разговаривал, как быстро и оперативно смог ответить на его вопросы. Администратор - это лицо компании, и от его работы во многом зависит, придет ли клиент в клинику еще раз или выберет другую.

Таким образом, автоматизация рабочего места администратора позволит оптимизировать процесс предварительной записи клиента, избежать ошибок и неточностей в выборе клиентом услуги или времени оказания услуги, и в целом, улучшить работу всей фирмы.

Так же сложно представить себе современный бизнес без собственного сайта. С каждым днем пользователей Сети становится все больше и больше. На «правильно сделанные» сайты приходят только представители целевой аудитории, поэтому такой инструмент - весьма эффективный способ обращения к новым пользователям услуг клиники.

Посредством сайта можно организовать консультацию и запись клиентов клиники, разгрузив администратора. Многим потребителям интересно разбираться с услугами самостоятельно, а не звонить или приходить к администратору для их уточнения. К тому же клиенты будут приходить в клинику, зная для чего и какие процедуры им необходимы и администратору нужно будет только уточнять их стоимость, а не рассказывать обо всей процедуре в целом. Так же можно постоянно поддерживать обратную связь с клиентами, отслеживать реакцию потребителей на те, или иные мероприятия, осуществляемые клиникой.

1.1.3     Организация предметной области

Одной из наиболее часто встречающихся и наиболее ответственных операций в ежедневной деятельности клиники является операция "Запись пациента". Прием в любой клинике начинается именно с этой операции, причем количество параметров для этой операции практически неограниченно и определяется уникальными требованиями каждой клиники. Например - пациент может записаться различными способами, прийти прямо в клинику, пациент также может перенести прием, явиться позже или раньше, отменить прием, а может и просто не явиться.

На данный момент запись клиентов в медико-косметологическом центре «VIP - Клиник » осуществляется в обыкновенной тетради. Для записи клиент должен прийти в клинику либо позвонить.

Сайт клиники предоставляет желающим просмотреть информацию только о перечне услуг и цен без их описания. Осуществить запись на прием можно по средствам телефонной связи. Так же не редко клиенты клиники сталкиваются с проблемой подбора оптимального набора услуг на нужную им сумму. Помочь им может только администратор.

Всё это приводит к снижению прибыли организации. В медико-косметологическом центре не ведется учет клиентов, что затрудняет осуществлять календарный процесс планирования заказа услуг. Так же существует проблема составления финансовых отчетов, потому что не ведется учет клиентов.

На сегодняшний день стало очевидно, что важнейшими условиями для развития и конкурентоспособности бизнеса являются эффективное управление информацией и персоналом. От того, как организована работа по приему, обработке, передаче и хранению информации, зависит успешность любой организации. Информационные потоки, со всех сторон пронизывающие организацию, а также работающие с ними люди - ключевые факторы, на которых базируется система управления организацией.

Информационные потоки, проходящие через организацию делят на:

входные;

выходные;

внутренние.

К входным информационным потокам относится информация о клиенте, поступающая с любых информационных носителей - вербальных, бумажных, электронных.

К выходным информационным потокам относят информацию, которую предоставляет клиника клиентам (предоставление информации о видах услуг и их стоимости).

К внутренним информационным потокам относятся документы, создаваемые сотрудниками цента для процессов, протекающих в клинике.

Правильная постановка работы с информацией обеспечивает эффективную коммуникацию между участниками рабочего процесса, помогает решать различные процедурные и организационные вопросы, оптимизирует процессы принятия управленческих решений.

Схема информационных потоков медико-косметологического центра «VIP - Клиник » представлена ниже.

Рис. 1.2. Информационные потоки ООО медико-косметологического центра «VIP - Клиник»

1.2        Сущность комплекса информационных задач

1.2.1     Общие сведения о задачах

Существующий на сегодняшний день неавтоматизированный механизм учёта клиентов в клинике затруднен. Администратору медико-косметологического центра необходимо предоставлять полную информацию по каждому типу услуг. Также затруднён учёт свободного времени врачей. В одно и то же время, для одной и той же услуги и к одному врачу может быть записан только один клиент.

При неавтоматизированном учёте посетителей очень сложно предоставить бухгалтеру информацию для отчетов. В случае, если произошли какие-либо изменения в составе клиентов или услуг, администратору необходимо делать переучёт своих записей.

Для повышения качества обслуживания клиентов, необходимо оптимизировать условия предварительной записи клиентов. Для решения поставленных задач необходимо использовать современные информационные технологии.

Развитие Интернет коммуникации привело к увеличению объема on-line продаж и росту Интернет представительств компаний работающих в различных сферах бизнеса. Все больше потенциальных потребителей готовы использовать Интернет как рабочую среду - потребитель начинает воспринимать наличие интерактивных возможностей на сайте компании производителя или продавца товаров/услуг как один из существенных факторов при принятии решения о покупке товара или заказа услуги. На сегодняшний день Интернет сайт компании является не только визитной карточкой предприятия, но и одним из основных средств бизнеса. В современных условиях недостаточно предоставления потенциальным клиентам информации о фирме и ее продукции, необходим более гибкий подход предполагающий наличие на сайте компании различных сервисов и средств on-line общения с клиентом.

ООО Медико-косметологический центр «VIP - Клиник» специализируется в области предоставления различных косметологических услуг. Создание электронного бизнеса в организации позволит предоставить возможность клиентам записываться на прием, получать консультацию специалиста и подбирать услуги через Интернет.

Для этого необходимо автоматизировать основные задачи клиники:

1. Учет клиентов;

.Учет выполненных услуг;

. Осуществление подбора оптимального набора услуг на сайте клиники;

. Осуществление обратной связи с клиентами.

1.2.2     Декомпозиция комплекса задач

При учете клиентов записывают дату рождения и адрес клиента, эту информацию можно использовать для поздравления с днем рождения и другими праздниками. Это будет очень приятно клиентам и возможно побудит их прийти еще на какие-то процедуры. Зная номер телефона или электронный адрес клиента можно напоминать ему, когда следует ему прийти на следующую процедуру. Учитывая количество посещений клиентов, удобнее будет реализовать накопительную систему скидок.

Учет выполненных услуг ведется для подсчета потраченных медикаментов, популярности той или иной услуги. Помогает, выяснить следует ли оказывать существующие услуги или стоит ввести новый перечень услуг. При учете услуг бухгалтеру будет проще начислять рабочему персоналу зарплату, так как она зависит от стоимости выполненной услуги.

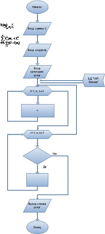
Подбор оптимального набора услуг позволит клиентам легко и быстро подобрать нужные ему услуги по введенным критериям: суммы, возраста и категории услуг.

Задачи, которые должны быть решены для осуществления обратной связи с клиентами:

разработка форм обратной связи с клиентами;

подтверждение записи на прием.

1.3        Постановка задачи на проектирование

1.3.1     Недостатки существующей информационной системы

На основе описания объекта управления можно сделать вывод, что значительными недостатками существующей системы управления клиникой являются:

. Отсутствие автоматизированной системы регистрации клиентов, что приводит к затруднению поиска клиентов в книге регистраций, оказываемых им услуг, количества посещений на процедуру и т.д.

. Отсутствие полноценного сайта в интернете. Интернет сейчас является главным источником информации для населения, сайт может являться дополнительной рекламой клиники и инструментом облегчающим работу администратора.

1.3.2     Требования, предъявляемые к разрабатываемой информационной системе

Современная мировая экономика диктует жесткие условия: конкуренция, повышение требований к продукции и услугам, стремление соответствовать европейскому уровню - все это непременно приводит к тому, что современным предприятиям, которые хотят расти и расширяться, не обойтись без автоматизации управления. Как показывает практика, в компаниях, где широко применяются информационные системы, добиться позитивных изменений гораздо проще.

Автоматизация помогает добиться максимальной управляемости своей компании, чувствовать изменения рынка и иметь возможность быстро на них реагировать, компания оказывается доступна для клиента в любой точке планеты 24 часа в сутки. Если еще вчера предприятию было необходимо просто иметь свое лицо в Интернете, то сегодня та компания, которая хочет динамично развиваться, должна быть доступна для полноценного оперативного управления вне рамок офиса. В будущем процесс доступности компании для клиента перерастет в процесс управления бизнеса клиентом. Но это возможно лишь в условиях чуткого реагирования предприятия на потребности клиента в режиме реального времени.

На сегодняшний день в ООО Медико-косметологическом центра «VIP - Клиник» практически вся информация о клиентах, сотрудника и приеме хранится в разрозненном состоянии на бумажных носителях, что приводит к необоснованному замедлению работы с клиентами. Кроме того, так как расположение медицинского центра не может быть удобным для всех клиентов, и часы его работы совпадают с часами работы большинства потенциальных клиентов, клиника недополучает возможную прибыль.

Решением всех перечисленных выше проблем может стать разработка корпоративного сайта с возможностью записи на прием и подбора услуг через формы обратной связи с клиентами.

Проектируемая ИС должна обеспечивать автоматизацию технологических процессов, происходящих в процессе взаимодействия организации с клиентами

1. Требования к структуре системы.

Интерфейс системы должен быть лёгким и интуитивно понятным, даже специально-неподготовленному пользователю.

Есть несколько простых правил, позволяющих интерфейсу офиса быть понятым клиенту.

Чем проще, тем лучше. Это вовсе не значит, что должен быть только текст и контактная информация, но на сайте не должно быть бесполезной информации, шрифт должен легко читаться. Графические элементы должны быть были чёткими, выразительными и быстро загружаться. На сайте офиса недопустимо использовать анимации и звуки, которые долго загружаются и отвлекают внимание клиента.

Человеческий глаз просматривает страницы сайта сверху вниз. Наибольшее внимание сосредотачивается на верхней левой части страницы. Поэтому в верхней части страницы сайта, как правило, размещается наиболее важная информация: название фирмы, логотип, само название сайта и т.д.

Чем проще выполнена верхняя часть страницы, тем легче запомнить название сайта и саму фирму.

Клиент должен без труда находить всю интересующую его информацию о предоставляемых услугах. На сайте желательно разместить данные о деятельности организации (какие услуги предоставляет, адрес, контактную информацию и т. д.).

Предоставляемые услуги должны быть распределены по группам. Для каждого вида услуг обычно предусмотрены: краткое и полное описание, плюс несколько фотографий.

Увеличению посещаемости корпоративного сайта и количества постоянных клиентов способствует также наличие обратной связи администратора с клиентами. Важно, чтобы администраторы как можно быстрее и максимально полно отвечали на письма.

Обратной, невидимой клиенту, стороной корпоративного сайта является система управления. Администратор имеет возможность полностью управлять содержимым корпоративного сайта:

добавлять или удалять предоставляемые услуги, описания и фотографии к ним, изменять их стоимость;

редактировать разделы сайта;

редактировать контактную информацию клиники;

составлять и рассылать письма с новостями клиники клиентам;

Система должна легко адаптироваться к постоянно меняющимся параметрам.

2. Требования к эргономике.

Экранная форма системы должна быть оформлена в спокойных цветах. Не должно быть использовано ярких и режущих глаза цветов.

Правильно примененный цвет может, например, передавать тонкие различия между однородными элементами. Неправильно примененный цвет может мешать работать с программой.

Особенно это относится к красному цвету. Для всех людей красный цвет ассоциируется с некой опасностью. Большое количество красного цвета в каком-либо месте на экране привлекает внимание, заставляет пользователя настораживаться, думая, что что-то не так.

Дорожные знаки красного цвета либо запрещают, либо предупреждают об опасности. Поэтому, если кнопка на экране окрашена красным, независимо от того, что на ней написано пользователь будет стараться избегать нажатия на нее.

В малых количествах красный цвет может исправно служить в качестве ненавязчивого указания наличия каких-либо проблем.

3. Требования к технической эстетике.

Защита рабочих мест в соответствии с нормами охраны труда: защитные экраны или мониторы со встроенными защитными экранами; правильное производственное освещение, исключающее повышенную яркость, тени и т. п.

4. Требования к защите информации от несанкционированного доступа.

Должно быть предусмотрено ограничение прав доступа, то есть у администратора должны быть собственные права доступа к системе, а именно уникальный пароль и имя входа.

При оформлении заказа клиент должен ввести контактную информацию: ФИО, e-mail, телефон и т.д.

. К функционированию системы предъявляются следующие требования:

информационное обеспечение должно быть достаточным для поддержания всех автоматизируемых функций объекта;

для кодирования информации должны использоваться принятые у заказчика классификаторы;

для кодирования входной и выходной информации, которая используется на высшем уровне управления, должны быть использованы классификаторы этого уровня;

должна быть обеспечена совместимость с информационным обеспечением систем, взаимодействующих с разрабатываемой системой;

формы документов должны отвечать требованиям корпоративных стандартов заказчика (или унифицированной системы документации);

структура документов и экранных форм должна соответствовать характеристикам терминалов на рабочих местах конечных пользователей;

графики формирования и содержание информационных сообщений, а также используемые аббревиатуры должны быть общеприняты в этой предметной области и согласованы с заказчиком;

в ИС должны быть предусмотрены средства контроля входной и результатной информации, обновления данных в информационных массивах, контроля целостности информационной базы, защиты от несанкционированного доступа.

1.3.3     Обзор современных методов и программных средств для решения данной проблемы

1.3.3.1        Обзор современных информационных систем для автоматизации медицинских учреждений

1.3.3.1.1  MedWork - система для автоматизации медицинских учреждений

Коробочные продукты:

) MedWork - Малая Клиника. Система "Малая клиника" предназначена для небольших клиник и частных кабинетов. "Малая клиника" - современная система автоматизации медицинских учреждений, обеспечивающая ввод, хранение и обработку информации на всех основных этапах лечебного процесса. Заполнение карты значительно ускоряется за счет использования формализованных схем лечения, пополняемых и настраиваемых справочников. Удобный интерфейс с возможностью группировки и сортировки документов позволяет врачу быстро найти необходимую информацию в карте пациента.

Данные из карты пациента могут быть представлены в произвольно задаваемом виде с помощью мощного и настраиваемого механизма выписок. Создание выписок происходит автоматически и освобождает пользователей от длительной работы по сбору информации: несколько секунд, и вы получаете готовую выписку в виде документа Microsoft Word.

"Малая клиника" позволяет получить любые статистические отчёты за любой срок: по лечебной работе, статистике приёмов, заболеваемости, разнообразные финансовые отчёты и т.п. Создание нового отчёта не требует дополнительного программирования и выполняется с помощью специального мастера, включенного в "Малую клинику". Открытый формат данных делает возможным доступ к системе из любых известных генераторов отчётов.

Простой и удобный интерфейс работы с группами пациентов даёт возможность планировать график приёмов на любом рабочем месте, от процедурного кабинета до планирования и учёта операционных списков.

) MedWork - Регистратура. Позволяет автоматизировать работу регистратуры:

. Расписание работы кабинетов. Расписание - позволяет видеть схему работы отделов, кабинетов, сотрудников Вашего учреждения. Возможен просмотр расписания, как на конкретный день, так и на месяц. Позволяет получать отчёты по посещаемости, загруженности кабинетов, контролировать лечебный процесс.

. Учёт оказываемых услуг. Позволяет быстро редактировать реестр услуг текущего пациента, проставлять отметки об оказании и оплате услуги, выписывать счёта, используя механизм скидок. Предусмотрено формирование комплексных услуг. Финансовые отчёты теперь можно формировать одним нажатием мыши.

Программно-аппаратный комплекс DEPO-MedWork. Сотрудничество Компании Depo Computers, одного из крупнейших российских производителей компьютеров и серверов, с фирмой «Мастер Лаб» ориентированно на решение вопросов автоматизации медицинских учреждений любого масштаба на базе программно-аппаратного комплекса DEPO-MedWork. Компания DEPO Computers является членом АРМИТ.

Услуги по автоматизации медицинских учреждений. Фирма "Мастер Лаб" оказывает услуги по автоматизации медицинских учреждений любого профиля. В основе решений - система MedWork, которая устанавливается непосредственно на рабочие места врачей, медсестёр, администраторов и др.

.3.3.1.2       ИС «PatientBase»- базовая информационная медицинская система, основные функции которой включены в остальные программы. Может быть использована как в крупных, так и небольших медицинских учреждениях, предназначена для автоматизации медицинских центров, больниц, поликлиник и детских поликлиник. Комплексная медицинская система легко обеспечит автоматизацию работы регистратуры большой поликлиники за счет возможности работы в локальной сети и ведения электронной картотеки пациентов.

Учитывая в интересах медицинских организаций-заказчиков изменения в финансовом законодательстве и введя новую ценовую политику, предприятием предлагаются новые, выгодные условия внедрения.

·  Электронная картотека пациентов

·        Составление расписания и запись на прием

·        Планирование лечения

·        Расчеты с клиентами

·        Встроенные справочники

·        Блокнот сотрудника

·        Отчетность

·        Категории доступа для пользователей

Картотека пациентов.

На смену вместительным стеллажам с регистрационными бумажными карточками приходит простая и удобная в работе электронная картотека. Электронная карточка каждого пациента содержит множество полезных сведений, при этом заполняется всего за 1 минуту. Администратор может быстро отсортировать записи в картотеке по разным параметрам или найти нужного пациента при помощи поиска по любому из полей электронной карты. Упростите и ускорьте процесс работы регистратуры для более быстрого и качественного обслуживания клиентов.

Составление расписания и запись на прием. Возможность составления расписания работы врачей и записи пациентов из электронной картотеки на прием к ним позволит лучше организовать рабочее время специалистов и избежать накладок при выписке талонов на посещение врача.

При составлении графиков работы можно использовать готовые стандартные схемы работы или создать собственную, используя настройки системы.

Запись на прием осуществляется на основании составленного графика работы врачей. При этом доступна такая функция, как поиск свободного времени. Искать можно по имени врача, предполагаемому интервалу посещения и времени начала и окончания приема.

Само расписание представляется двумя способами: в виде классической "книжки" и с помощью наглядной особенности программы расписания- "линейки". Составленное расписание приемов за любой период можно распечатать.

Планирование лечения. После обследования пациента врач может составить детальный план его лечения или реабилитации. В этом ему поможет удобный планировщик, позволяющий вносить в план, как отдельные операции, так и шаблоны лечения, привязанные к конкретным диагнозам.

Расчеты с клиентами. Использование системы в работе клиники помогает облегчить труд главного бухгалтера и экономиста, предоставляя большой объем систематизированных данных об оказанных врачами услугах, оплате лечения пациентами и организациями.

Оплата лечения проводится администратором-кассиром на основании данных, полученных в результате заполнения врачом амбулаторной карты пациента. Таким образом, отпадает необходимость дублирования записей, администратору просто нужно ввести внесенную пациентом сумму и программа автоматически зарегистрирует платеж в базе данных.

С помощью программы администратор может быстро узнать баланс пациента и историю его платежей и посещений, эффективно работать с клиентами страховыми компаниями, устанавливать скидки на оплату посещений и отдельных операций (при наличии соответствующих прав).

Для всех платежей автоматически формируются сопроводительные финансовые документы: квитанции, счета, счета-фактуры. Для главного бухгалтера или экономиста клиники доступны финансовые и маркетинговые отчеты для анализа работы клиники.

Встроенные справочники. Справочники - это основа работы программы. В системы включены специализированные медицинские (диагнозы по МКБ-10, детализированные операции с расходом материалов, анамнез, жалобы), экономические (категории оплаты, реклама, курс валюты) и другие справочники, для использования на всех этапах работы медицинского учреждения. Каждый из них изначально содержит множество понятий, и все доступны для дальнейшей настройки пользователями.

Ввод данных с помощью справочников позволяет ускорить процесс заполнения информации. Отпадает необходимость переписывать несколько раз за день одно и то же. При этом разными пользователями используются одинаковые понятия и формулировки, что упрощает систематизацию данных.

Блокнот сотрудника. Для лучшей организации работы врачей и администраторов в программу встроен Блокнот сотрудника, с помощью которого можно составлять заметки и задания, которые необходимо выполнить, а также отправлять их другим пользователям программы.

Отчетность. Программа предоставляет все важнейшие инструменты для контроля над работой клиники и подготовке разнообразной отчетности - о посещениях пациентов и оказанных услугах, эффективности рекламы, использовании материалов и многом другом. Атоматизированно, без каких-либо дополнительных действий Вы можете получить все типовые формы медицинской статистики.

Большой блок представляет собой финансовая отчетность, которую можно просмотреть за любой период работы клиники: сводные отчеты по врачам и пациентам, отчеты по льготным категориям пациентов и по безналичной оплате, кассовая книга, прайс-лист. С их использованием можно рассчитать заработную плату врачей, подготовить документы для бухгалтерии, страховых компаний и т.д.

Категории доступа для пользователей. Система поддерживает несколько уровней безопасности. Для всех сотрудников, работающих с программой, можно задать объем доступной ему информации, как для чтения, так и для редактирования, а также функции, которые он сможет выполнять, используя систему.

Помимо этого, для каждого пользователя устанавливается пароль доступа в систему. Настройка прав доступа для всех пользователей является прерогативой главного врача или руководителя клиники.

.3.3.1.3       ИС «BeautyBase»- специализированная система автоматизации салона красоты, управления салонами красоты и косметологическими клиниками. За счет гибкости настроек может быть использована при автоматизации практически любого медицинского центра или специализированной клиники, подходит для автоматизации СПА-центров и клиник пластической и эстетической хирургии. Содержит следующие модули: программа учета материалов салона красоты, электронная картотека пациентов, работа с цифровыми изображениями, планирование лечения и процедур, справочники с информацией по косметологии, справочники с сопутствующими диагнозами и многое другое.

Учитывая в интересах медицинских организаций-заказчиков изменения в финансовом законодательстве и введя новую ценовую политику, предприятием предлагаются новые, выгодные условия внедрения.

·  Амбулаторная карта;

·        Работа с изображениями;

·        Учет материалов;

·        Картотека пациентов;

·        Составление расписания и запись на прием;

·        Планирование лечения;

·        Расчеты с клиентами;

·        Встроенные справочники;

·        Блокнот сотрудника;

·        Отчетность;

·        Категории доступа для пользователей.

Амбулаторная карта. Электронная история болезни основана на стандартной бумажной медицинской карте пациента и содержит все необходимые пункты, но её нельзя потерять или забыть в кабинете у врача. Информацией из такой электронной амбулаторной карты могут пользоваться несколько специалистов сразу, не отходя от экрана своего компьютера. Для специализированных программ доступны дополнительные разделы, например: фотографии и рентгеновские снимки, одонтопародонтограмма, лабораторные исследования и многое другое. Все записи вводятся с помощью мастеров и встроенных редактируемых справочников, что ускоряет процесс заполнения амбулаторной карты врачами-специалистами.

Такая система имеет особую важность при заполнении подробной информации об оказанных пациенту услугах, так как позволяет впоследствии восстановить весь процесс лечения пациента и проконтролировать действия медицинского персонала.

Работа с изображениями. Косметологам необходимы многократные фотографии для оценки эффективности оказанных услуг. В программе BeautyBase реализована возможность работы с цифровыми изображениями всех современных форматов. Есть возможность хранения в базе данных как самих снимков, так и ссылок на локальные или сетевые ресурсы. Для каждого пациента можно установить персональную папку со снимками. Для удобства при работе со снимками возможно использование встроенного графического редактора или внешнего приложения, которое можно выбрать для каждого врача отдельно.

Учет материалов.         Количество медицинской техники, различного рода медикаментов и расходных материалов, которые используются в повседневной работе клиники, весьма велико. При этом очень важно отслеживать все материальные потоки внутри и вне медицинского учреждения. В этом поможет встроенный блок "Склад и учет материалов". С его помощью можно контролировать состояние всех складов клиники и финансовые отношения с поставщиками, прогнозировать предстоящие расходы по кабинетам и планировать закупки оборудования и материалов.

Картотека пациентов. На смену вместительным стеллажам с регистрационными бумажными карточками приходит простая и удобная в работе электронная картотека. Электронная карточка каждого пациента содержит множество полезных сведений, при этом заполняется всего за 1 минуту. Администратор может быстро отсортировать записи в картотеке по разным параметрам или найти нужного пациента при помощи поиска по любому из полей электронной карты. Упростите и ускорьте процесс работы регистратуры для более быстрого и качественного обслуживания клиентов.

Составление расписания и запись на прием. Возможность составления расписания работы врачей и записи пациентов из электронной картотеки на прием к ним позволит лучше организовать рабочее время специалистов и избежать накладок при выписке талонов на посещение врача.

При составлении графиков работы можно использовать готовые стандартные схемы работы или создать собственную, используя настройки системы.

Запись на прием осуществляется на основании составленного графика работы врачей. При этом доступна такая функция, как поиск свободного времени. Искать можно по имени врача, предполагаемому интервалу посещения и времени начала и окончания приема.

Само расписание представляется двумя способами: в виде классической "книжки" и с помощью наглядной особенности программы расписания - "линейки". Составленное расписание приемов за любой период можно распечатать

Планирование лечения. После обследования пациента врач может составить детальный план его лечения или реабилитации. В этом ему поможет удобный планировщик, позволяющий вносить в план как отдельные операции, так и шаблоны лечения, привязанные к конкретным диагнозам.

Расчеты с клиентами. Использование системы в работе клиники помогает облегчить труд главного бухгалтера и экономиста, предоставляя большой объем систематизированных данных об оказанных врачами услугах, оплате лечения пациентами и организациями.

Оплата лечения проводится администратором-кассиром на основании данных, полученных в результате заполнения врачом амбулаторной карты пациента. Таким образом, отпадает необходимость дублирования записей, администратору просто нужно ввести внесенную пациентом сумму и программа автоматически зарегистрирует платеж в базе данных.

С помощью программы администратор может быстро узнать баланс пациента и историю его платежей и посещений, эффективно работать с клиентами страховыми компаниями, устанавливать скидки на оплату посещений и отдельных операций (при наличии соответствующих прав).

Для всех платежей автоматически формируются сопроводительные финансовые документы: квитанции, счета, счета-фактуры. Для главного бухгалтера или экономиста клиники доступны финансовые и маркетинговые отчеты для анализа работы клиники.

Встроенные справочники. Справочники - это основа работы программы. В системы включены специализированные медицинские (диагнозы по МКБ-10, детализированные операции с расходом материалов, анамнез, жалобы), экономические (категории оплаты, реклама, курс валюты) и другие справочники, для использования на всех этапах работы медицинского учреждения. Каждый из них изначально содержит множество понятий, и все доступны для дальнейшей настройки пользователями.

Ввод данных с помощью справочников позволяет ускорить процесс заполнения информации. Отпадает необходимость переписывать несколько раз за день одно и то же. При этом разными пользователями используются одинаковые понятия и формулировки, что упрощает систематизацию данных.

Блокнот сотрудника. Для лучшей организации работы врачей и администраторов в программу встроен Блокнот сотрудника, с помощью которого можно составлять заметки и задания, которые необходимо выполнить, а также отправлять их другим пользователям программы.

Отчетность. Программа предоставляет все важнейшие инструменты для контроля над работой клиники и подготовке разнообразной отчетности - о посещениях пациентов и оказанных услугах, эффективности рекламы, использовании материалов и многом другом.

Автоматизировано, без каких-либо дополнительных действий Вы можете получить все типовые формы медицинской статистики.

Большой блок представляет собой финансовая отчетность, которую можно просмотреть за любой период работы клиники: сводные отчеты по врачам и пациентам, отчеты по льготным категориям пациентов и по безналичной оплате, кассовая книга, прайс-лист. С их использованием можно рассчитать заработную плату врачей, подготовить документы для бухгалтерии, страховых компаний и т.д.

Категории доступа для пользователей. Система поддерживает несколько уровней безопасности. Для всех сотрудников, работающих с программой, можно задать объем доступной ему информации, как для чтения, так и для редактирования, а также функции, которые он сможет выполнять, используя систему.

Помимо этого, для каждого пользователя устанавливается пароль доступа в систему. Настройка прав доступа для всех пользователей является прерогативой главного врача или руководителя клиники.

.3.3.2 Подходы к созданию информационной системы Интернет-офиса

Существуют различные подходы к решению проблемы создания основного инструмента электронного бизнеса - корпоративного портала:

1.  Аутсорсинг;

2.      Приобретение готовой системы;

.        Использование прототипов;

.        Разработка новой системы «под себя».

1.  Аутсорсинг.

Аутсорсинг предполагает передачу всех функций по созданию, техническому обслуживанию и развитию корпоративного портала сторонней IT-компании.

Преимущества аутсорсинга:

позволяет организации сконцентрироваться на основных видах деятельности;

высокое качество оказания услуг благодаря профессиональной специализации аутсорсинговой компании;

снижение стоимости разработки корпоративного портала и владения им по сравнению с содержанием собственной IT-службы;

отсутствие необходимости содержать собственное IT-подразделение, решать проблемы обучения и текучести кадров;

обеспечивает большую гибкость компании в случае изменения рыночной ситуации или потребительских предпочтений за счет возможности смены аутсорсинговой IT-компании;

прозрачность расходов на IT-сервисы.

Недостатки аутсорсинга:

существует риск прекращения деятельности компании-аутсорсера;

может повыситься стоимость услуг компании-аутсорсера;

риск получения некачественных услуг.

2.  Приобретение готовой системы.

Сегодня разработано много готовых систем для управления корпоративным сайтом. Покупка готового решения позволяет сэкономить средства на ее разработку.

Однако приобретение готовой системы не всегда является наилучшим решением. При использовании готового корпоративного сайта могут возникнуть следующие проблемы:

- несоответствие бизнес-процессов, реализованных в готовой системе, бизнес-процессам, сложившимся в компании;

сложность или невозможность внесения изменений в функциональность и дизайн готовой системы;

использование шаблонных решений не дает возможности выделиться среди конкурентов;

сложность адаптации шаблонного решения для продажи некоторых видов заказов

Корпоративные порталы, как правило, развиваются и существуют в динамике. Готовые системы не следует рассматривать как законченные программные продукты, поэтому торговая компания должна быть готова потратить значительные средства на их доработку и развитие.

Следует учесть, что такая доработка может быть невозможна без непосредственного участия компании-разработчика. Поэтому при выборе готового программного обеспечения для корпоративного сайта необходимо убедиться в надежности компании-разработчика. Уход этой компании с рынка может привести к невозможности дальнейшей эксплуатации приобретенной системы.

. Использование прототипов.

Подход, связанный с использованием прототипов заключается в том, что компания приобретает некое готовое решение и дорабатывает его в соответствии со своими требованиями. В качестве прототипа может быть выбрана коммерческая или бесплатная система с открытыми исходными текстами. Возможность использования системы в качестве прототипа должна быть оговорена в лицензионном соглашении.

При использовании такого подхода следует учитывать, что доработка системы, созданной другой компанией, может быть сопряжена со значительными трудностями, связанными с отсутствием или неполнотой технической документации и сложностями во взаимодействии с разработчиками системы-прототипа. Эти проблемы острее всего встают при использовании в качестве прототипа бесплатных решений с открытыми исходными текстами, так как за работоспособность бесплатной системы никто не несет ответственности.

Модификация прототипа и дальнейшее сопровождение модифицированной системы требует усилий квалифицированных IT-специалистов.

. Разработка новой системы «под себя».

Подход, при котором торговая компания самостоятельно разрабатывает новую систему под свои требования - самый дорогостоящий. Он предполагает наличие в компании отдела информационных технологий. Для разработки информационной системы корпоративного сайта необходимо привлечь на постоянной основе квалифицированных специалистов, знакомых с проблематикой электронной торговли и владеющими интернет-технологиями. Эти специалисты должны не только разработать Интернет-офис, но и выполнять его дальнейшее сопровождение и развитие.

Компания может выбрать такой подход по следующим причинам:

- в компании уже есть IT-отдел со специалистами необходимой квалификации или она собирается его создать по стратегическим соображениям;

компания не желает передавать конфиденциальную информацию сторонним разработчикам;

сложность бизнес-процессов компании диктует необходимость тесного взаимодействия IT-специалистов и менеджеров других подразделений компании.

1.3.4     Обоснование необходимости и направлений разработки ИС

Автоматизация рабочего места администратора необходима, так как от того, насколько аккуратно будет составлен график приема, зависит, например, будет ли образовываться очередь на прием к специалисту или наоборот, не будет ли пустовать кабинет специалиста, принося убытки клинике. Такой подход имеет ряд преимуществ. Первое заключается в оперативности доступа к информации: как только пользователь зарегистрировал новые данные в системе, они сразу становятся доступны всем заинтересованным сотрудникам компании. Во-вторых, существенно снижается тиражирование данных, а как следствие и появление ошибок, связанных с ним. Большим преимуществом для руководства является накопление статистических данных, которые можно использовать для анализа деятельности клиники. Руководство медико-косметологического центра получает эффективный инструмент управления.

Проведя анализ существующих информационных систем «MedWork - Малая Клиника», «MedWork - Регистратура», ИС «PatientBase», ИС «BeautyBase», можно сказать, что эти системы предполагают, в основном, комплексную автоматизацию всего процесса управления клиникой, т.е. реализуют ряд дополнительных функций, в которых медико-косметологический центр «VIP-Клиник» в настоящее время не нуждается. Они достаточно дорогостоящие. Недорогие же системы не имеют достаточных возможностей для эффективной реализации, поставленной в ДП задачи.

К тому же, при покупке готового программного продукта будет необходима его модификация и модернизация, что также повлечет за собой дополнительные затраты.

Таким образом, для решения поставленной проблемы по автоматизации рабочего места администратора и создания сайта клиники наиболее приемлемым вариантом является разработка ИС своими силами.

2. Проектная часть

2.1    Информационное обеспечение разрабатываемой ИС

Информационное обеспечение (ИО) является важным компонентом автоматизированных информационных систем и напрямую связано с организационной структурой объекта и функциональными подсистемами ИС. Его можно определить как совокупность единой системы классификации, унифицированной системы документации и информационной базы. Этот важнейший элемент ИС предназначено для отражения информации, характеризующей состояние управляемого объекта и являющейся основой для принятия управленческих решений. Информационное обеспечение включает совокупность единой системы показателей:

·  потоков информации - вариантов организации документооборота;

·  систем классификации и кодирования экономической информации;

·  унифицированную систему документации;

·  различные информационные массивы (файлы), хранящиеся в машине и на машинных носителях и имеющие различную степень организации.

Информационное обеспечение ИС является средством для решения следующих задач:

·  Обеспечение организации представления информации пользователям для выполнения ими профессиональных задач по подготовке управленческих решений, а также создания условий работы автоматизированным информационным технологиям (ИТ);

·  Обеспечение взаимной увязки задач функциональных подсистем на основе однозначного формализованного описания их входов и выходов на уровне показателей и документов;

·  Создание эффективной организации хранения и поиска данных, позволяющей формировать данные для решения регламентированных задач, а также функционировать в режиме информационно-справочного обслуживания.

Информационное обеспечение ИС состоит из двух комплексов:

·  Внемашинное ИО включает систему экономических показателей, потоки информации, систему классификации и кодирования, документацию.

·  Внутримашинное ИО - система специальным образом организованных данных, подлежащих автоматизированной обработке, накоплению, хранению, поиску, передаче в виде, удобном для восприятия техническими средствами (макеты/экранные формы для ввода первичных данных в ЭВМ или вывода результатной информации, структуры информационной базы: входных, выходных файлов, базы данных).

Своевременное формирование и выдача достоверной информации крайне важно при принятии правленческих решений. Успешное решение этой задачи во многом зависит от качества организации информационного обеспечения. Создание информационной системы позволит повысить качество информации, ее точность, объективность, оперативность и, как следствие этого, возможность принятия своевременных решений.

 <#"877993.files/image003.gif">

Рис. 2.1. Диаграмма потоков данных в нотации Гейна - Сарсона

На входе решаемых задач мы будем иметь желание клиента записаться на прием к врачу, подобрать нужные услуги на определенную сумму или получить информацию об услугах. Сделать это он может, позвонив по телефону, зайдя на страничку в интернете или придя лично в клинику, отсюда следует, что входной информацией является:

·   информация о клиенте;

·   перечень услуг;

·        информация о сотрудниках;

·        дата и время приема.

Выходной информацией является отчет о количестве человек посетивших врача в определенный период, отчет о предоставленных услугах определенному клиенту за определенный период времени, отчет об оказании услуги за определенный период времени, отчет о расходах препаратов. Также выходной информацией является экранная форма с отображением записанных клиентов на прием с указанием времени, даты и врача.

Процесс записи клиента на прием через сайт даёт возможность клиентам выбрать форму оплаты (наличную, безналичную). Наличная оплата предполагает, что клиент, записавшись на прием, через сайт клиники, оплачивать будет через кассу.

Безналичная форма оплаты за услугу производится с помощью электронного кошелька системы WebMoney.

WebMoney (WebMoney Transfer) - популярная электронная платёжная система, не являющаяся банковской.

Для того чтобы работать в системе, нужно использовать клиентскую программу WM Keeper Classic для ОС Microsoft Windows, либо WM Keeper Light или WM Keeper Mini, позволяющие использовать систему пользователям любых ОС. При регистрации в системе WMT, после принятия соглашения системы, пользователь получает 12-значный WM-идентификатор (WMID), например, WMID#012345678901. Пользователь может создавать произвольное количество WM-кошельков. Каждый такой кошелёк идентифицируется однобуквенным кодом вида используемых WM-знаков и 12-значным номером (например, Z123456789012 для WMZ-кошелька). Сервис аттестации WMT позволяет определить WMID владельца по номеру его кошелька, но не наоборот.

Для работы с электронными наличными пользователь должен установить у себя программу - электронный кошелек, которая выполняет несколько операций:

получает электронные купюры от другого электронного кошелька или банка-эмитента (для ввода в платежную систему);

хранит электронные купюры;

проверяет их подлинность;

передает их в другой электронный кошелек или в банк-эмитент (для погашения - вывода из платежной системы);

ведет журнал платежей (операций);

предоставляет информацию о состоянии кошелька и т.п.

Рассмотрим схему взаиморасчетов клиента медико-косметологического центра «VIP-Клиник» с помощью электронных денег.

1)  Клиент клиники обменивает реальные деньги на электронные. Хранение наличности у клиента осуществляется на запоминающем устройстве компьютера (для этого, как правило, требуется установить на компьютере ПО электронного кошелька);

2)      Клиент выбирает дату, время и услугу которую он хотел бы получить на сайте клиники и отправляет заказ администратору. Администратор, в ответ на заказ клиента (если в это на это время и дату еще ни кто не записан), направляет ему подписанный своей ЭЦП счет на оплату, в котором указывает:

наименование услуги;

стоимость услуги;

код сотрудника (администратора);

время и дату совершения операции.

С гражданско-правовой точки зрения этот счет - предложение заключить договор (оферта).

) Клиент, как правило, при помощи электронного кошелька, подписывает оферту и перечисляет электронному кошельку администратора электронные деньги за услугу.

) Деньги предъявляются электронным кошельком администратора эмитенту, который проводит их верификацию (подтверждение).

Эмитент - это организация, осуществляющая эмиссию (выпуск) пластиковых карт клиентам и отвечающая по всем платежам своих клиентов, совершенным в инфраструктуре данной платежной системы.

) В случае успеха верификации электронных купюр эмитент зачисляет соответствующую сумму денег на счет администратора, передавая сообщение об этом кошельку администратора. Электронный чек из банка пересылается кошельку клиента, после чего клиенту оказывается забронированная им услуга.

Таким образом, система электронных наличных позволяет на базе открытых аппаратных и телекоммуникационных решений осуществлять защищенные платежные транзакции.

Схема взаиморасчетов с использованием электронных денег представлена ниже.

Рис. 2.2. Схема взаиморасчетов с использованием электронных денег

.1.1.2 Нормативно справочная информация

Сотрудники медико-косметологического центра «VIP-клиник» в своей работе руководствуются медицинскими кодексами и федеральными законами РФ.

Закон «О защите прав потребителей» РФ от 23.11.2009. Настоящий Закон регулирует отношения, возникающие между потребителями и изготовителями, исполнителями, импортерами, продавцами при продаже товаров (выполнении работ, оказании услуг), устанавливает права потребителей на приобретение товаров (работ, услуг) надлежащего качества и безопасных для жизни, здоровья, имущества потребителей и окружающей среды, получение информации о товарах (работах, услугах) и об их изготовителях (исполнителях, продавцах), просвещение, государственную и общественную защиту их интересов, а также определяет механизм реализации этих прав.

Кодекс врачебной этики РФ одобрен Всероссийским Пироговским съездом врачей 7 июня 1997г. В котором описывается, как врач должен вести себя в обществе и с пациентом. Говориться о коллегиальности врачей, врачебной тайне, о научных исследованиях и биометрических испытаниях, о помощи больным в терминальном состоянии, о трансплантации, репродукции и геноме человека. Так же запрещает давать информацию о лечении или лекарствах в целях рекламы и выдачу справок не соответствующих действующим законодательным, нормативно-методическим и инструктивным документам. Настоящий кодекс действует на всей территории Российской Федерации и обязателен для всех врачей, входящих в Российскую медицинскую ассоциацию, ее региональные отделения (филиалы), а также профессиональные объединения, признавшие Этический кодекс врача официально. Врач, не входящий в профессиональные ассоциации, объединения, может лично принять Этический кодекс врача и руководствоваться им в своей профессиональной деятельности.

Этический кодекс медицинской сестры РФ. Принимая во внимание важнейшую роль в современном обществе самой массовой из медицинских профессий - профессии медицинской сестры, учитывая традиционно большое значение этического начала в медицине и здравоохранении, руководствуясь документами по медицинской этике Международного совета медицинских сестер и Всемирной организации здравоохранения, Ассоциация медицинских сестер России приняла настоящий Этический кодекс.

Этической основой профессиональной деятельности медицинской сестры являются гуманность и милосердие. Важнейшими задачами профессиональной деятельности медицинской сестры являются: комплексный всесторонний уход за пациентами и облегчение их страданий; восстановление здоровья и реабилитация; содействие укреплению здоровья и предупреждение заболеваний.

Этический кодекс дает четкие нравственные ориентиры профессиональной деятельности медицинской сестры, призван способствовать консолидации, повышению престижа и авторитета сестринской профессии в обществе, развитию сестринского дела в России.

В нем также описано, как должна вести себя медицинская сестра с пациентами и к обществу, как относиться к своей профессии и какие последствия ее ожидают в случае нарушения данного кодекса.

Положение о лицензировании медицинской деятельности. Настоящее Положение определяет порядок лицензирования медицинской деятельности, осуществляемой на территории Российской Федерации юридическими лицами и индивидуальными предпринимателями.

.1.1.3 Оперативная информация

Оперативной информацией являются данные о дате, времени приема, врача к которому записался клиент и самого клиента которые отображаются на рабочем месте администратора.

2.1.2     Информационный анализ предметной области и построение инфологической модели данных

Цель инфологического моделирования - обеспечение наиболее естественных для человека способов сбора и представления той информации, которую предполагается хранить в создаваемой базе данных.

Сущность - любой различимый объект (объект, который мы можем отличить от другого), информацию о котором необходимо хранить в базе данных.

Атрибут - поименованная характеристика сущности. Его наименование должно быть уникальным для конкретного типа сущности, но может быть одинаковым для различного типа сущностей.

Ключ - минимальный набор атрибутов, по значениям которых можно однозначно найти требуемый экземпляр сущности. Связь - ассоциирование двух или более сущностей. С помощью модели «сущность - связь» сделаем семантическое описание ПО и представление информации для обоснования выбора видов моделей и структур данных, которые в дальнейшем будут использованы в системе (см. рис. 2.3).

В результате анализа было выявлено, что центральной сущностью в нашей модели является сущность «Клиент». Сущность «Клиент» идентифицируется кодом клиента и характеризуется: фамилией, именем, отчеством; датой рождения; адресом прописки; номером телефона; адресом электронной почты.

Рис. 2.3 Инфологическая модель данных

Сущность «Клиент» связана отношением 1: М «Записывается» с сущностью «Прием». Сущность «Прием» идентифицируется кодом клиента, кодом сотрудника, кодом услуги и характеризуется датой оказания услуги и временем оказания услуги.

Сущность «Прием» связана отношением «Ведет» с сущностью» идентифицируется кодом сотрудника и характеризуется фамилией, именем, отчеством; датой рождения, адресом, номером телефона, паспортными данными, ИНН, пенсионным и статусом. Сущности «Прием» и «Сотрудник» связаны отношением М:1, много экземпляров сущности «Прием» связано с одним экземпляром сущности «Сотрудник».

Сущность «Прием» связана отношением М:1 «Включает» с сущность «Услугу».

С сущностью «Услуга» сущность «Препарат» связана отношением «Включает». Сущность «Препарат» идентифицируется кодом материала, характеризуется названием материала и кодом поставщика. Сущность «Услуга» связана с сущностью «Препарат» отношением М:М.

Сущность «Препарат» связана отношением М:М «Поставляет» с сущностью «Поставщик». Сущность «Поставщик» идентифицируется кодом поставщика и характеризуется наименованием поставщика, адресом, телефоном и №счета.

2.1.3     Выбор СУБД

Выбор системы управления баз данных (СУБД) представляет собой сложную многопараметрическую задачу и является одним из важных этапов при разработке приложений баз данных. Выбранный программный продукт должен удовлетворять как текущим, так и будущим потребностям предприятия, при этом следует учитывать финансовые затраты на приобретение необходимого оборудования, самой системы, разработку необходимого программного обеспечения на ее основе, а также обучение персонала. Кроме того, необходимо убедиться, что новая СУБД способна принести предприятию реальные выгоды.

В качестве возможных альтернатив могут выступать бесплатные СУБД: MySQL, PostgreSQL, MaxDB, Firebird, MS SQL Server Compact Edition.

. MySQL является относительно небольшой и быстрой реляционной СУБД основанной на традициях Hughes Technologies Mini SQL. Основные преимущества MySQL:

·   многопоточность;

·        поддержка нескольких одновременных запросов;

·        оптимизация связей с присоединением многих данных за один проход;

·        записи фиксированной и переменной длины;

·        ODBC драйвер в комплекте с исходником;

·        гибкая система привилегий и паролей;

·        до 16 ключей в таблице, каждый ключ может иметь до 15 полей.

Также есть поддержка ключевых полей и специальных полей в операторе CREATE, поддержка чисел длинной от 1 до 4, строк переменной длины и меток времени, интерфейс с языками C и Perl. Все операции работы со строками не обращают внимания на регистр символов в обрабатываемых строках, псевдонимы применимы как к таблицам, так и к отдельным колонкам в таблице, все поля имеют значение по умолчанию. INSERT можно использовать на любом подмножестве полей. Легкость управления таблицей, включая добавление и удаление ключей и полей.

. PostgreSQL - это свободно распространяемая объектно-реляционная система управления базами данных (ORDBMS). PostgreSQL поддерживается на всех современных Unix системах (34 платформы). PostgreSQL означает, что пользователь может настраивать систему путем определения новых функций, агрегатов, типов, языков, индексов и операторов. Объектно-ориентированность PostgreSQL позволяет перенести логику приложения на уровень базы данных, что сильно упрощает разработку клиентов, так как вся бизнес логика находится в базе данных. Функции в PostgreSQL однозначно определяются названием, количеством и типами аргументов.

Производительность PostgreSQL основывается на использовании индексов, интеллектуальном планировщике запросов, тонкой системы блокировок, системе управления буферами памяти и кэширования, превосходной масштабируемости при конкурентной работе.

Свободно распространяемая PostgreSQL, разработанная в Университете Беркли, реализована для платформы Windows и большинства коммерческих версий UNIX и поддерживает ANSI SQL 92, транзакции, триггеры, вложенные запросы, определяемые пользователем типы данных, но не поддерживает репликации. Данная СУБД довольно часто применяется в крупных и средних проектах, поскольку архитекторов приложений привлекает простота ее обслуживания.

. MaxDB - является промышленной базой данных, сертифицированной для приложений SAP и характеризующейся высокой доступностью, масштабируемостью и исчерпывающим набором функций. MaxDB дополняет линейку продуктов MySQL, нацеленную на масштабные приложения для mySAP ERP и иные приложения, требующие максимальной функциональности.

К основным достоинствам MaxDB относятся:

·    высокая скорость и надежность работы;

·              удобство использования и простота администрирования;

·              наличие лицензии GNU, либо под коммерческой лицензии.

4. Firebird - это СУБД, основанная на открытых исходных текстах Borland InterBase 6.0. Текущий официальный релиз Firebird поддерживает платформы Linux i386, Windows (Win32) и т.д. Он совместим со стандартом SQL'92, не требует постоянного администрирования, прост в установке и сопровождении, и, наконец, он бесплатен и доступен в полных исходных текстах.

. Microsoft SQL Server в проектах используют многие. Бывает, что и сами проекты невелики, и пользователей у этих приложений мало. Но при этом порой вообще не задумываются о применении вместо SQL Server бесплатного продукта Microsoft SQL Server 2000 Desktop Engine. А ведь это, по сути, тот же Microsoft SQL Server, только имеющий ограничение на число одновременно обрабатываемых запросов и не содержащий административных утилит и OLAP-сервера. Его можно включать в свои решения без дополнительных отчислений, будучи пользователем любого средства разработки Microsoft, например Visual Basic Standard, цена которого не превышает 100 долл., либо бесплатного ASP .NET WebMatrix.

СУБД Microsoft SQL Server 2008 Express Edition представляет собой дальнейшее развитие Microsoft SQL Server 2000 Desktop Engine (MSDE) и, как и ее предшественница, является бесплатной. Данный продукт основан на том же самом ядре, что и другие версии SQL Server 2008, хотя и обладает определенными ограничениями по сравнению с коммерческой версией SQL Server 2008: использует только один процессор, обладает ограничением на размер буферов - 1 Гбайт и ограничением на размер самой базы данных - 4 Гбайт, не имеет средств полнотекстового поиска, поддержки кластеров и зеркалирования данных, средств Business Intelligence.

Основные характеристики рассматриваемых СУБД сведены в таблицу 2.1.

Таблица 2.1. Основные характеристики СУБД

Характеристики

MySQL

PostgreSQL

MaxDB

Firebird

MS SQL Server

Версия

Mysql-5.0.x

PostgreSQL 8.x

MaxDB Version 7.5

Firebird 1.5.x

MS SQL Server Compact Edition 2.5

Лицензия

двойная: GPL и Commercial

BSD

двойная: GPL и Commercial

DPL & IPL

двойная: GPL и Commercial

Совместим с Windows

Да

Да

Да

Да

Да

Скорость

высокая

средняя

средняя

высокая

высокая

Стабильность

очень высокая

высокая

средняя

высокая

очень высокая

Целостность данных

да

да

да

да

да

Механизм обеспечения безопасности

да

да

да

да

да

Поддержка схем данных

да

да

да

нет

да

Поддержка вложенных запросов

да

да

да

да

да

Триггеры

да

да

да

да

да

Программные интерфейсы

ODBC, JDBC, C/C++, NET/Mono, ADO.Net, OLEDB, Delphi, Perl, Python, PHP, Embedded (C precompiler), Embeded in Java

ODBC, JDBC, C/C++, Embeded SQL (in C), Tcl/Tk, Perl, Python, PHP

ODBC ,JDBC, C/C++, Precompiler (Embedded SQL), Perl, Python, PHP

ODBC, JDBC, C/C++, PHP, Python, Perl, Kylix, Delphi, .NET/Mono, ADO

ODBC, JDBC, C/C++, NET/Mono, ADO.Net, OLEDB

Транзакции

да

да

да

да

да

Ограничение по внешним ключам

да

да

да

да

нет

Балансировка нагрузки

да

нет

нет

нет

да

Табличные пространства

да

нет

нет

нет

да

Поддержка режима работы 24/7

да

да/нет

да

да

да


Проанализировав несколько СУБД, наш выбор остановился на самой оптимальной системе MySQL, которая является одной из лучших современных систем управления небольшими базами данных, наиболее оптимальным образом использующей возможности операционной системы и предлагающей пользователям широкий набор мощных и гибких средств обработки и анализа разнообразной информации. Данная СУБД поможет поддерживать связь с клиентом через сайт компании в режиме реального времени, причем настроить функционирование работы СУБД можно самостоятельно, что будет наиболее экономичнее.

2.1.4     Внутримашинная реализация данных

Внутримашинное информационное обеспечение выполнено в виде набора таблиц базы данных и вспомогательных объектов БД, обеспечивающих корректную обработку и хранение данных.

Внутримашинное информационное обеспечение включает в себя все виды специально организованной информации, представленной в форме воспринимаемой техническими средствами компьютерной информационной системы управления. По содержанию внутримашинное информационное обеспечение являет собой совокупность сведений, представленных формализованно и используемых при решении задач в управлении.

Основной формой организации информации на машинных носителях является база данных (БД) под управлением системы управления базой данных (СУБД). Как правило, БД является интегрированным представлением данных многоцелевого использования, хранит данные, которые обеспечивают решение комплекса взаимосвязанных задач. В отдельных случаях используются «изолированные» массивы информации на машинных носителях, которые создаются и обслуживаются вне СУБД в прикладных программах. СУБД предоставляет интерфейс для работы пользователя с БД. Все операции с данными БД выполняет СУБД (объявление структуры базы данных, ввод, поиск, корректировка, удаление данных).

Схема взаимодействия сайта с базой данных представлена на рис. 2.4.

Рис. 2.4.Схема взаимодействия сайта с базой данных

В базе данных вся информация хранится в 11 таблицах. Таблица «Прием» (таблица 2.2.) содержит информацию о записанных на прием клиентов. Таблица «Клиенты» (таблица 2.3.) содержит информацию о каждом клиенте. В таблице «Услуги» (таблица 2.4.) хранятся наименования услуг, их стоимость и более подробные сведения о каждой услуге. Таблица «Сотрудники» (таблица 2.5.) содержит информацию о персонале. Таблица «Поставщики» (таблица 2.6.) содержит информацию о поставщиках поставляющих клинике материалы для оказания услуг. Таблица «Расход препарата» (таблица 2.7.) содержит информацию о том, сколько препарата тратиться на определенную услугу. Таблица «Препараты» (таблица 2.8.) содержит наименования материалов, которые нужны для оказания услуг.

Также разрабатываемая БД включает в себя таблицу - справочник - «Справочник должностей» (таблица 2.9.) который содержит список должностей и должностные инструкции. Таблица «Связь» (таблица 2.10.) служит для связи таблицы «Сотрудники» с таблицей «Справочник должностей». Таблица «Связь2» (таблица 2.11.) служит для связи таблицы «Препараты» с таблицей «Поставщики». Таблица «Связь3» (таблица 2.12.) служит для связи таблицы «Сотрудники» с таблицей «Услуги».

Ниже представлены структуры таблиц:

Таблица 2.2. Прием

Поле

Наименование реквизита

Тип данных

Максимальная длина

Ключевое

Код клиента

Числовой

10

Ключевое

Код сотрудника

Числовой

4

Ключевое

Код услуги

Числовой

10


Дата приема

Дата/время

10


Время приема

Дата/время

5


Таблица 2.3. Клиенты

Поле

Наименование реквизита

Тип данных

Максимальная длина

Ключевое

Код клиента

Числовой

10


Фамилия

Текстовый

20


Имя

Текстовый

15


Отчество

Текстовый

20


Дата рождения

Дата/время

10


Адрес

Текстовый

50


Телефон

Текстовый

50


E-mail

Текстовый

50

Таблица 2.4. Услуги

Поле

Наименование реквизита

Тип данных

Максимальная длина

Ключевое

Код услуги

Числовой

4


Наименование

Текстовый

50


Стоимость услуги

Денежный

6


Описание услуги

Поле MEMO



Таблица 2.5. Сотрудники

Поле

Наименование реквизита

Тип данных

Максимальная длина

Ключевое

Код сотрудника

Числовой

4


Фамилия

Текстовый

20


Имя

Текстовый

15


Отчество

Текстовый

20


Дата рождения

Дата/время

10


Адрес

Текстовый

50


Телефон

Текстовый

50


Паспортные данные

Текстовый

100


ИНН

Текстовый

30


Пенсионное

Текстовый

30


Статус

Текстовый

10


Таблица 2.6. Поставщики

Поле

Тип данных

Максимальная длина

Ключевое

Код поставщика

Числовой

4


Поставщик

Текстовый

50


Адрес

Текстовый

50


Телефон

Текстовый

50


№ счета

Текстовый

50


Таблица 2.7. Расход препарата

Поле

Наименование реквизита

Тип данных

Максимальная длина

Ключевое

Код препарата

Числовой

4

Ключевое

Код услуги

Числовой

4


Расход

Числовой

4

Таблица 2.8. Препараты

Поле

Наименование реквизита

Тип данных

Максимальная длина

Ключевое

Код препарата

Числовой

4


Наименование препарата

Текстовый

30


Таблица 2.9. Справочник должностей

Поле

Наименование реквизита

Тип данных

Максимальная длина

Ключевое

Код должности

Числовой

4

Ключевое

Код сотрудника

Числовой

4


Наименование должности

Текстовый

30


Должностная инструкция

Поле MEMO



Таблица 2.10. Связь

Поле

Наименование реквизита

Тип данных

Максимальная длина

Ключевое

Код сотрудника

Числовой

4

Ключевое

Код должности

Числовой

4


Таблица 2.11. Связь2

ПолеНаименование реквизитаТип данныхМаксимальная длина




Ключевое

Код поставщика

Числовой

4

Ключевое

Код препарата

Числовой

4


Таблица 2.12. Связь3

ПолеНаименование реквизитаТип данныхМаксимальная длина




Ключевое

Код услуги

Числовой

4

Ключевое

Код сотрудника

Числовой

4


Таблица 2.13. Подбор услуг

Поле

Наименование реквизита

Тип данных

Максимальная длина

Ключевое

Код услуги

Числовой

4


Максимальное кол.услуг

Числовой

4


Эффект от 1 процедуры

Числовой

4


аi

Числовой

4


Даталогическая модель данных представлена на рисунке 2.4.

Рис.2.4. Даталогическая модель системы.

2.2        Формализация расчетов (математическая модель)

Подарочные сертификаты медико-косметологической клиники «VIP-клиник» пользуются большим спросом у клиентов. Подарочные сертификаты бывают двух видов:

·    на определенную сумму;

·        на определенную процедуру.

Если подарен сертификат на определенную сумму, то возникает проблема подбора процедур, которые будут отвечать критериям возраста и категории услуг.

Пусть в косметологической клинике имеется - А множество всех процедур, которое включает следующие подмножества:

процедуры для лица - множество А1;

процедуры для тела - множество А2;

процедуры по уходу за волосами - множество А3;

процедуры для возрастной категории до 25 лет - множество А4;

процедуры для возрастной категории 26-35 лет - множество А5;

процедуры для возрастной категории 36-45 лет - множество А6;

процедуры для возрастной категории 46-55 лет - множество А7;

процедуры для возрастной категории от 56 лет - множество А8.

На первоначальном этапе путем исключения лишних категорий мы сужаем множество А до подмножества В, которое удовлетворяет заданным критериям. Далее из множества В необходимо подобрать такой комплекс процедур, чтобы достичь от него максимальный эффект.

 (2.1)

Предположим, что каждая процедура bi , где i=0,n (n - общее количество процедур входящих в подмножество В) характеризуется:

·        ценой ci;

·        эффективностью Эi(mi), где mi - кол-во проведенных процедур bi.

Зависимость эффективности процедуры от количества проведенных процедур рассчитывается по следующей формуле (2.2), полученной на основании статистических данных.

 (2.2)

 - первоначальный эффект (эффект от одной процедуры);

ai - константа, характеризующая увеличение эффективности от каждой последующей процедуры.

Следовательно, нам нужно подобрать комплекс таких процедур, эффективность от которых будет максимальной, т.е. целевая функция , при следующих ограничениях , где С - сумма сертификата; , где  - максимальное количество проведения i-процедуры.

Данная задача относится к задачам нелинейного программирования. Самыми распространенными методами решения таких задач являются:

метод штрафных функций;

метод множителей Лагранжа.

Метод штрафных функций. Основная идея методов штрафных функций состоит в преобразовании задачи условной оптимизации в задачу безусловной оптимизации или в последовательность задач безусловной оптимизации.

Пусть решается задача условной оптимизации

= f(X) → min,(X) > 0, j = 1, 2, . . . , m.

Построим функцию штрафа P(X):

, (2.3)

где r>0 - коэффициент штрафа.

Тогда можем записать новую целевую функцию в виде

. (2.4)

Если X принимает допустимые значения, т.е. cj(X)>0, то φ(X,r) принимает значения, которые больше f(X), но разность можно уменьшить за счет того, что r может быть очень малой величиной. Но если X хотя и допустим, но очень близок к границе (хотя бы одна из функций cj(X) близка к нулю), то значения функции P(X), а значит, и функции φ(X,r) становятся очень большими. Таким образом, P(X) создает «гребень с крутыми краями» вдоль каждой границы области ограничений. Следовательно, если поиск начинается из допустимой точки и производится поиск минимума функции φ(X,r) без ограничений, то минимум будет достигаться внутри допустимой области для задачи с ограничениями. Полагая r достаточно малой величиной для того, чтобы влияние P(X) было малым в точке минимума, можно сделать точку безусловного минимума функции φ(X,r) сколь угодно близкой к точке условного минимума функции f(X). В общем случае, решая последовательность задач безусловной оптимизации с уменьшающимся r, можно получить приближенное решение задачи условной оптимизации. На этом основан так называемый SUMT-метод Фиакко и Маккормика (метод

Недостатки метода: определяется только локальный минимум, трудности одномерного поиска (не везде определена функция) не позволяют использовать стандартные методы, плохая обусловленность Гессиана, существенно овражный характер штрафной функции вблизи границы.

Возможные пути преодоления: мультистарт, специальные методы одномерного поиска, использование на предварительных этапах "гибридных" методов в сочетании с алгоритмами, имеющими хорошие свойства локальной сходимости, и овражными алгоритмами.

Метод множителей Лагранжа. Пусть задана задача математического программирования: максимизировать функцию

= f(х1, х2, ..., хn) (2.5)

при ограничениях

(х1, х2, ..., хn) = 0, i=1, 2. ..., m. (2.6)

Ограничения в задаче заданы уравнениями, поэтому для ее решения можно воспользоваться классическим методом отыскания условного экстремума функций нескольких переменных. При этом полагаем, что функции f(х1, х2, ..., хn) и gi(х1, х2, ..., хn) (i=1, 2, ..., m) непрерывны вместе со своими первыми частными производными. Для решения задачи составим функцию

 (2.7)

Определим частные производные, приравняем их нулю. В результате получим систему уравнений

 (2.8)

Функция (2.7) называется функцией Лагранжа, а числа λi - множителями Лагранжа. Если функция Z= f(х1,х2,..., хn) в точке X(0)=(x1(0), x2(0), ..., xn(0)) имеет экстремум, то существует такой вектор Λ(0)=(λ1(0), λ2(0), ..., λm(0)), что точка (x1(0), x2(0), ..., xn(0), λ1(0), λ2(0), ..., λm(0)) является решением системы (2.8). Следовательно, решая систему (2.8), получаем множество точек, в которых функция Z может иметь экстремальные значения.

Решим задачу методом Лагранжа т.к. преимуществом этого метода является то, что для его непосредственного применения не требуется использовать сложные вычислительные алгоритмы.

 (2.10)

Запишем функцию Лагранжа L, которая состоит из ЦФ и ограничений умноженных на коэффициент Лагранжа .

 (2.11)

Применим теорему Куна-Таккера и получим систему линейных неравенств, находя частные производные по каждой неизвестной:

 (2.12)

Из 2-го уравнения системы можно выразить неизвестную :

= (2.13)

Следовательно, эффективность от i-процедуры будет ровняться:

= (2.14)

Подбор комплекса процедур, чтобы достичь от него максимальный эффект будет происходить следующим образом: для каждой из услуг входящих в подмножество В рассчитываем эффективность от i-процедуры (2.14) и если , то рассчитываем  и начинаем рассчитывать заново эффективность, но уже с меньшей суммой и до тех пор пока  или просто будет невозможно производить дальнейший расчет, т.е. остаток суммы сертификата будет меньше стоимости каждой из услуг подмножества В..

2.3 
Алгоритмы и технология решения задач

2.3.1     Разработка технологической схемы ввода и накопления информации

Пользователями разрабатываемой информационной системы являются: «клиенты» и «администратор». «Клиенты» сайта имеют право:

просматривать информацию на сайте;

регистрироваться на сайте;

записываться на прием;

доступа к своей личной странице;

подбирать услуги;

задавать вопросы специалистам;

пользоваться электронным кошельком.

К функциям администратора относят:

ввод, удаление, корректировка информации на сайте клиники;

обработка запросов клиентов;

составление отчетов (анализ информации о деятельности компании);

управление базой данных.

Администраторы подразделений управляют информацией отдельного вида услуг.

При входе на сайт клиенту предоставляется возможность регистрации. Регистрация осуществляется через форму, в которой клиенту необходимо заполнить поля (Фамилия, Имя, Отчество, Телефон, E-mail, Логин, Пароль, Дата рождения). Доступ клиента к информации на сайте будет осуществляться по паролю и логину. После успешной авторизации клиент получает возможность осуществлять доступные его ролевой группе бизнес-процессы (вход в личную страницу, запись на прием, подбор услуг). Вся информация, поступающая от клиентов, хранится в СУБД My SQL.

Технологическая схема ввода-вывода информации представлена ниже.

Рис. 2.5. Обобщенная технологическая схема ввода-вывода информации

2.3.2     Построение форм ввода-вывода информации

2.3.2.1        Построение форм ввода вывода БД

При запуске системы администратор должен ввести свой логин и пароль

Далее появляется главная форма - «VIP-Клиник», на которой администратор осуществляет запись на прием , а так же может переходить на другие формы.

Форма «Сотрудники» отображает всю информацию о сотрудниках и позволяет добавлять новых и удалять старых сотрудников.

Форма «Клиенты» позволяет администратору вводить в базу данных новых клиентов, удалять старых и осуществлять поиск клиентов в БД.

Форма «Услуги» позволяет добавлять и удалять услуги, препараты и поставщиков. Предоставляет возможность просмотреть список услуг, поставщиков и количество расходуемого материала на каждую услугу.

.3.2.2
Построение форм ввода вывода сайта

Главная форма предназначена для организации доступа к другим формам в виде меню и осуществления поиска по сайту

Форма «О компании» отображает информацию о компании.

Форма «Услуги и цены» содержит информацию об услугах с указанием их цены и при щелчке по любой услуге осуществляет доступ к форме с описанием данной услуги.

Форма «Задать вопрос» позволяет клиентам задавать интересующие вопросы об услугах врачах и о роботе клиники и получать ответы специалистов on-line.

Форма «Записаться на прием» позволяет клиенту оставить заявку о записи на прием на нужное ему время и дату на нужную услугу. В ответ администратор клиники, после получения заявки обрабатывает ее и перезванивает клиенту для уточнения информации для записи

Форма «Контакты» отображает информацию об адресе, телефоне и времени работы клиники.

Форма «Подбор услуг» позволяет посетителю сайта ввести сумму, которую он готов потратить, свой возраст и категорию услуг и получить перечень допустимых ему услуг.

Форма «Регистрация» позволяет клиенту зарегистрироваться на сайте для доступа к формам запись на прием, задать вопрос, подбор услуг

2.3.3     Разработка алгоритмов обработки информации

Алгоритм работы взаимодействия клиента с сайтом VIP-Клиник представлен на рис.2.28 и имеет следующую последовательность действий: клиент, посетив сайт, может ознакомиться с перечнем услуг и ценами на услуги. Для того чтобы задать вопрос специалисту, подобрать услуги или записаться на прием клиент должен пройти регистрацию или войти в свой кабинет.

Рис. 2.28. Общий алгоритм взаимодействия клиента с сайтом VIP-Клиник

Для получения консультации специалиста нужно ввести вопрос и ожидать ответа. Чтобы подобрать услуги клиент должен ввести сумму, которую он готов потратить, интересующую его категорию услуг и свой возраст и в ответ он получит перечень услуг удовлетворяющих введенным критериям.

Работа с сайтом со стороны администратора выглядит иначе. Если клиент записывается на прием через сайт, администратор получает заявку на электронную почту клиники, обрабатывает ее и если на интересующее клиента время врач свободен, то администратор осуществляет запись на прием и звонит клиенту по указанному им контактному телефону для подтверждения заявки.

Рис. 2.29. Общий алгоритм взаимодействия администратора с сайтом VIP-Клиник

Если же врач занят, то администратор звонит клиенту и предлагает запись на другое время или день. Для проведения консультации клиенту, администратор должен проверить есть ли вопросы от клиентов, и ответить на них. Алгоритм взаимодействия администратора с сайтом VIP-Клиник представлен на рис.2.29.

Рис. 2.30 Алгоритм подбора услуг клиентам на определенную сумму

Алгоритм работы программного модуля, позволяющего клиенту самостоятельно подбирать необходимый комплекс процедур на определенную сумму, возраст и категорию услуг представлен на рисунке 2.30.

.4      Обоснование выбора системного обеспечения ИС

2.4.1     Обоснование выбора операционной системы

Для функционирования разрабатываемой системы необходимо выбрать следующее системное обеспечение:

поддержка работы выбранной СУБД MySQL;

независимость от типа аппаратной архитектуры;

поддержка многопроцессорной обработки данных;

осуществление многопользовательского режима работы;

хорошее сетевое быстродействие;

обеспечение надежности работы;

расширяемость и адаптивность;

совместимость с различными версиями программного обеспечения;

быть открытость, т. е. поддержка связи с другими ОС.

Данным требованиям для ОС рабочей станции удовлетворяют Windows 2000 Server, Windows XP Professional, Unix.

Для обоснования выбора ОС необходимо рассмотреть пользовательские характеристики перечисленных выше ОС.

1.  Операционная система Windows 2000 значительно отличается в лучшую сторону от Windows NT 4.0 с точки зрения аппаратной и программной совместимости, но она не может сравниться с Windows 98 по простоте. Windows 2000, будучи прямым потомком NT, обладает всеми ее достоинствами, а многие из ее ограничений при этом снимает. В Windows 2000 появилась поддержка шины USB, PC-карт, шины AGP и DVD-устройств, а также технологии Plug&Play.

В Windows 2000 упрощена установка и администрирование. Кроме того, предусмотрена возможность самовосстанавовления файлов и автоматическая настройка программного обеспечения по сети.

Windows 2000 характеризуется повышенной производительностью, надежностью и качеством работы в сети. Собственная файловая система NTFS 5 обеспечивает более эффективное использование дискового пространства и лучшую защиту информации - позволяет ограничивать доступ к файлам и папкам и зашифровывать их для того, чтобы их нельзя было получить без пароля для входа в систему.

Основные требования Windows 2000: рекомендуется не менее 64 Мбайт оперативной памяти; процессор Pentium или Pentium II (166 МГц или выше); свободное дисковое пространство - не менее 650 Мбайт (на некоторых машинах может потребоваться до 1 Гбайт).

В целом следует отметить, что Windows2000 Server обладает удобным интерфейсом, имеет большое количество утилит и поддерживаемых программных продуктов, но не обеспечивает хорошего сетевого быстродействия.

Стоимость операционной системы - около 9760 руб.

2. В основе системы Windows XP Professional лежит проверенный код Windows NT® и Windows 2000, характеризуемый 32-разрядной вычислительной архитектурой и полностью защищенной моделью памяти.

Операционная система Windows XP Professional обеспечивает надежную вычислительную среду, отвечающую потребностям всех бизнес-пользователей.

Средство проверки драйверов устройств в операционной системе Windows XP Professional, созданное на основе аналогичного средства системеы Windows 2000, обеспечивает еще более тщательное испытание драйверов.

Драйверы устройств, прошедшие эти испытания, являются наиболее надежными в работе, что обеспечивает максимальную стабильность системы.

Предохраняет основные системные файлы от перезаписи при установке приложений. Если произошла перезапись файла, правильная версия будет восстановлена благодаря защите Windows.

Защищая системные файлы, операционная система Windows XP Professional предотвращает наиболее типичные системные неполадки, распространенные в предыдущих версиях Windows.

Допускается одновременная работа нескольких приложений, обеспечивая в то же время быструю реакцию системы и высокую стабильность ее работы.

Быстрая реакция системы обеспечивается даже при исполнении наиболее ресурсоемких приложений.

Поддерживается до 4 ГБ оперативной памяти и до двух симметричных микропроцессоров. Пользователи, которым требуется наивысшее быстродействие, смогут работать с новейшим оборудованием.

Операционная система Windows XP Professional адаптируется к особенностям работы конкретного пользователя. Упорядоченная рабочая среда повышает производительность труда пользователя, позволяя ему быстро и легко находить важные данные и приложения. Администратор может выбрать оптимальные параметры вычислительной среды.

В целом следует отметить такие преимущества ОС Windows XP Professional, как наличие эффективного интерфейса пользователя, полная поддержка цифровой мультимедийной технологии, улучшенная совместимость с приложениями и устройствами, повышенная надежность, усиление защиты системы безопасности, поддержка 64-разрядных систем

Стоимость операционной системы - 5300 руб.

3. Операционная система Unix - это многопользовательская, многозадачная операционная система. На сегодняшний день существует много различных модификаций операционных систем относящихся к семейству Unix. Обеспечивает многопользовательский режим со средствами защиты данных от несанкционированного доступа; разнообразные средства взаимодействия процессов, в том числе и через сеть; графический режим с использованием программы XWindows.

Все версии Unix условно можно разделить на две категории: коммерческие версии Unix (SCO Unix, Solaris, HP UX и т.д.) и некоммерческие версии Unix (FreeBSD, Linux BlackCat, Linux RedHat и т.д.).

Стоимость коммерческих версий Unix в зависимости от версии изменяется от нескольких тысяч до сотен тысяч долларов. Стоимость некоммерческих версий Unix как правило не превышает 500 руб., но установка данных версий нецелесообразна, так как особое внимание уделяется, главным образом, защите данных.

В целом следует отметить, что ОС Unix обладает неудобным пользовательским интерфейсом, имеет не большое количество утилит и поддерживаемых программных продуктов, но в то же время обеспечивает хорошее сетевое быстродействие.

Результаты сравнительного анализа характеристик ОС можно представить в виде таблицы 2.14.

Таблица 2.14. «Сравнительные характеристики ОС»

Требование

Windows XP Professional

Windows2000 Server

Unix

Независимость от типа аппаратной архитектуры

+

+

Поддержка работы с выбранной СУБД

+

+

+

Хорошее сетевое быстродействие

+

-

+

Надежность

+

+

+

Удобный пользовательский интерфейс

+

+

-

Большое количество утилит и поддержи создаваемых программных продуктов

+

+

-

Высокая стоимость

+

+

-


В качестве ОС создаваемой ИС может быть выбрана операционная система Windows XP Professional , т.к. она наиболее полно соответствует всем предъявляемым требованиям. Несмотря на высокую стоимость Windows XP Professional обладает лучшим сетевым быстродействием и поддерживает большее количество утилит и программных продуктов.

2.4.2     Обоснование выбора средств разработки

Нередко многие задачи, стоящие перед исполнителями даже в достаточно крупных проектах, легко решаются с помощью недорогих или даже бесплатных редакций СУБД, инструментов моделирования, средств разработки. Поэтому для реализации дипломного проекта воспользуемся именно этими версиями, проанализировав их возможности.

1) ASP .NET WebMatrix

Начало проекту WebMatrix положило небольшое C# приложение, предназначенное для тестирования серверных компонентов ASP .NET, а затем обросшее инструментарием для разработки кода. Над этим проектом группа разработчиков ASP .NET трудилась в свободное время, а затем полученный результат был предоставлен для всеобщего доступа и бесплатной загрузки.

Продукт WebMatrix предназначен для всех желающих создавать ASP .NET-приложения и Web-сервисы, включая приложения, использующие ADO .NET. Этот инструмент позволяет создавать Web-сервисы XML и Web-приложения, являющиеся их клиентами. Помимо этого с его помощью можно создавать Web-приложения, поддерживающие мобильные устройства, включая мобильные телефоны, пейджеры и PDA (для создания таких приложений имеется специальная версия Mobile Internet Toolkit). С помощью этого продукта удобно осуществлять поддержку существующих Web-сайтов, а также создавать пользовательский интерфейс Web-приложений.

2) Семейство продуктов Express компании Microsoft

Семейство продуктов Express включает средства разработки Visual Web Developer Express Edition, Visual C# Express Edition, Visual C++ Express Edition, Visual J# Express Edition, Visual Basic Express Edition. Это семейство продуктов, в отличие от профессиональных версий Visual Studio, предназначено не для профессиональных, а для всех остальных разработчиков: студентов и преподавателей, программистов-любителей. Данные продукты, будучи бесплатными, тем не менее позволяют создавать довольно широкий спектр типов приложений, а поскольку они ориентированы на непрофессионалов, то обладают обширным набором возможностей, упрощающих разработку.

) C#Builder Personal

Borland C#Builder Personal <#"877993.files/image037.jpg">

Рис. 2.31. Взаимосвязь PHP и MySQL

Выбран язык PHP за его простоту и скорость написания Web приложений, при этом обслуживание большого числа пользователей, на РНР скриптах, происходит довольно быстро.

.6      Обоснование выбора технического обеспечения для функционирования ИС

2.6.1     Выбор компьютера

Для обеспечения реализации функций стоящей задачи необходимо выбрать компьютер для администратора, который должен удовлетворять следующим требованиям:

1 объем оперативной памяти должен превышать 128 Мбайта для нормального функционирования компьютера под управлением операционной системы MS Windows ХР Professional;

2 компьютер должен быть недорогим;

3 иметь высокую надежность работы.

В таблице 2.15 приводится список компьютеров в сборке предлагаемых на сегодняшний день рынком информационных технологий.

Таблица 2.15

Название

Объем оперативной памяти, Mb

Объем винчестера, Gb

Материнская плата

Цена, руб

Core 2 Duo E7300 2.66

1024

250

ASUS P5QL

13324

Cel 430 1.8

1024

200

iG31

7539

Core 2 Duo E7500 2.93

2048

320

ASUS P5QL

14851

Pentium Dual-Core E5300 2.6

2048

320

iG31

10594

Core 2 Duo E7500 2.93

1024

320

iG31

11959


Вышеперечисленным требованиям более всего подходит компьютер Pentium Dual-Core E5300 2.6, стоимость которого составляет 10594 руб.

2.6.2     Выбор средства отображения информации

Монитор является важнейшим устройством отображения информации. Типы мониторов, существующих в настоящее время, отличаются большим разнообразием.

Наиболее популярными на данный момент являются ЖК мониторы, мы их и рассмотрим. В таблице 2.16 приводится список ЖК мониторов предлагаемых на сегодняшний день рынком информационных технологий.

Таблица 2.16

Диагональ

Частота

Разрешение

Цена, руб

Samsung SyncMaster 743N AKB

17

5 мс

1280*1024

5980

Samsung SyncMaster 723N KSU

17

5 мс

1280x1024

5850

Samsung SyncMaster E1720NR

17

5 мс

1280x1024

6045

LG Flatron L1742S-BF

17

5 мс

1280x1024

5297

Dell E1709W

17

8мс

1440*900

4907

Аcer V173Db

17

5мс

1280*1024

5752

На основании таблицы выбираем ЖК монитор Samsung SyncMaster 723N KSU, стоимость которого составляет 5850 руб.

2.6.3    
Выбор печатающего устройства

Принтеры можно подразделить на три основных вида:

1 матричные;

2 струйные;

3 лазерные.

Среди выше перечисленных принтеров, лазерные принтеры обеспечивают лучшее качество печати, печатают быстрее, бесшумные. Стойкость и низкая себестоимость отпечатанного материала. В таблице 2.16 приведены сравнительные характеристики лазерных принтеров, предлагаемых рынком информационных технологий, и примерные цены на них:

Таблица 2.17Сравнительные характеристики лазерных принтеров

Модель

Формат бумаги

Максим. скорость печати, стр. А4/мин

Расчётная нагрузка, стр/мес

Цена, руб

Canon i-SENSYS LBP-3250

A4

23

8000

7767

HP LaserJet P1102

A4

18

5000

4972

Samsung ML-2525

A4

24

12000

5460

Xerox Phaser 3155

A4

24

15000

4940


Принтер должен быть:

1 недорогим;

2 со средней скоростью печати;

3 хорошим качеством печати;

4 должен иметь невысокую себестоимость распечатанной страницы.

Исходя из вышесказанного, выбираем принтер Xerox Phaser 3155, который соответствует вышеперечисленным характеристикам. Затраты на приобретение данного вида оборудования составят 4940 руб.

2.7   
Разработка организационного обеспечения

Для внедрения и поддержания функционирования данной ИС необходимо ознакомить, обеспечить необходимой документацией и обучить администратора работе с системой, а также нормам техники безопасности и гигиеническим нормам при работе с ПК.

Для эффективной работы АИС требуется изменение и дополнение функциональных обязанностей администратора.

В обязанности администратора входит отслеживание поступления заявок о записи на прием через сайт, перезванивать клиентом для уточнения записи, отвечать на вопросы, задаваемые на сайте, ведение базы данных клиентов, сотрудников и услуг.

Для обеспечения безопасности и достоверности данных, хранящихся в централизованной базе данных, при работе системы необходимо разграничить права доступа пользователей к таблицам баз данных. Разграничение прав доступа будет осуществляться на уровне СУБД, где предусмотрена подобная возможность, путем указания для каждой таблицы пользователя и действий, которые он сможет производить с данной таблицей. При входе в базу данных главный администратор должен знать пароль доступа. Разграничение прав доступа и выдача соответствующих паролей возлагается на администратора БД.

3.
Расчет экономической эффективности от внедрения ИС

Разработка программного обеспечения сопряжена с капитальным вложением, как на приобретение техники и программного обеспечения, так и на разработку проектов, выполнение подготовительных работ и т.д. Поэтому необходимо экономическое обоснование целесообразности ведения разработок.

Хорошо составленный бизнес-план является частью успеха хорошего распространения и продаж разрабатываемого программного обеспечения. Он содержит данные необходимые для эффективного внедрения на рынок и успешного варьирования в зависимости от состояния рынка, а также содержит ряд показателей дающих представления об экономической и коммерческой эффективности данной работы.

3.1    Определение затрат на разработку продукта

В данном разделе определяются необходимые инвестиции для разработки и реализации программного продукта. Для этого произведём расчет единовременных (таблица 3.1) и текущих (таблица 3.2) затрат.

Наименование технического средства и ПО

Тип или модель

Стоимость

1

Операционная система

MS Windows XP Professional

6300

2

Системный блок


10594

3

Монитор


5850

4

Принтер


4940

5

Клавиатура и мышь


2000

6

Стол компьютерный


5000

7

Стул


2000

Итого



36684


Подсчитаем единовременные затраты:

Зк = 6300 + 10594 + 5850 + 4940 + 2000 + 5000 + 2000 = 36684 р.

Затраты на создание программного продукта складываются из расходов по оплате труда разработчика и расходов по оплате машинного времени при отладке кода.

Таблица 3.2 Календарный план-график основных этапов выполнения дипломной работы

Наименование этапа

Дата начала

Длительность, недель

1.Подготовительный (подбор, изучение литературы, анализ состояния вопроса, составление технического задания)

01.10.2009

6

2.Теоретическая разработка (разработка теоретических обоснований)

15.11.2009

6

3.Проектирование и выполнение технического задания на ЭВМ

01.01.2010

12

4.Консультации с руководителем проекта

01.04.2010

4

5.Машинные расчёты и отчёт в электронном виде

01.05.2010

3


Затраты на теоретическую часть и работу с литературой

Зт = Ср * Тт                                                                          (3.1)

где Ср = 30 руб./час - тарифная ставка инженера II категории;

Тт - время, затраченное на работу с литературой и теоретический анализ;

Зт = 30 × 168 = 5040 руб.

Затраты на теоретические разработки

Зрс = Ср * Тр                                                                                         (3.2)

где Тр - время, затраченное на теоретические разработки.

Зрс= 30 × 264 = 7920 руб.

Затраты на проектирование и выполнение технического задания на ЭВМ

Зп = Ср* Тп                                                                 (3.3)

где Тп - время, затраченное на проектирование и выполнение технического задания на ЭВМ.

Зп = 30 × 140 = 4200 руб.

Затраты на оплату машинного времени

Зм = См * Тм (3.4)

где См =30 руб./час - стоимость одного часа машинного времени;

Тм =140 + 178 час - время использования машины.

Зм = 30 × 318 = 9540 руб.

Затраты на консультацию с руководителем

Зкп = Скр * Ткп (3.5)

где Скр =35руб./час - тарифная ставка ведущего инженера;

Ткп - время консультаций с руководителем.

Зкп = 35 × 230 = 8050 руб.

Полные затраты при использовании ЭВМ для расчетов и составления отчета

Зсум = Зт + Зтр + Зп + Зм + Зкп             (3.6)

Зсум = 5040 + 7920 + 4200 + 9540 + 8050 = 34750 руб.

Таблица 3.3 Составляющие затрат при проектировании

Наименование затрат

Обозначение

Сумма



в рублях

в %

1.Работа с литературой и теоретическая часть

Зт

5040

14,5

2.Теоретические разработки

Зтр

7920

22,79

3.Проектирование и выполнение технического задания на ЭВМ

Зп

4200

12,09

4.Оплата машинного времени

Зм

9540

27,45

5.Консультация с руководителем

Зкп

8050

23,16

ИТОГО

Зсум

34750

100


На основании значений, подученных по данным формулам, составляется календарный план-график работы над проектом.

Затраты на накладные расходы, связанные с проектированием и отладкой ПП. Накладные расходы, связанные с проектированием и отладкой ПП, в том числе стоимость используемых материалов (бумаги, картриджей к принтерам и т.п.), описаны в таблице.

Для выполнения работ необходимо материалов на сумму 748 руб.

Таблица 3.4 Потребности

Материалы

Потребность

Стоимость одной ед., руб.

Общая стоимость, руб.

Примечания

Бумага

500 листов.

0.28

140

Печать текстов

Расходные материалы для лазерного принтера

1 шт.

400

400

Для печати необходимых данных

Перезаписываемый диск CD-RW

2 шт.

23

46

Резервирование данных и материалов

Использование сети Internet

18 часов

9

162

Поиск информации и литератур.

Итого



748



Оплата за пользование электричеством составляет

Зэ=0,5кВатт*318 часа* 2,36 руб= 375,24 руб.

Текущие затраты (себестоимость) (С) включают затраты на постановку задачи, разработку алгоритмов и программ, а также затраты, связанные с содержанием и эксплуатацией ВТ. Рассчитываем их по следующей формуле:

С = Зпр + Нз + Змаш + Зн + Зэ, (3.7)

где Зпр - затраты на заработную плату проектировщиков и программистов;

Зпр = 25019,2 руб.

Таблица 3.5 Текущие затраты

Наименование статей затрат

Сумма

1.Затраты на заработную плату (Зпр)

25019,2

2.Отчисления (ЕСН) с фонда оплаты труда (Зф)

6505

3.Затраты, связанные с использованием машинного времени (Змаш)

9540

5.Накладные расходы (Зн)

748

6.Расходы на электричество при пользовании вычислительной техникой

375,24

Итого затрат (З)

42187,44


Сведем расчет затрат в общую таблицу 3.6:

Таблица 3.6 Расчет затрат на разработку программного средства

Затраты и ожидаемые доходы от внедрения ИС

годы

Затраты

2009 4 квартал

2010 1 квартал

2010 2 квартал

2010 3 квартал

2010 4 квартал

1.Капитальные затраты

36684





3.Текущие затраты:

42187,44

42187,44

42187,44

42187,44

42187,44

Заработная плата

25019,2

25019,2

25019,2

25019,2

25019,2

Отчисление на социальные нужды

6505

6505

6505

6505

6505

Затраты, связанные с использованием машинного времени

9540

9540

9540

9540

9540

Накладные расходы

748

748

748

748

748

-Расходы на электричество при пользовании вычислительной техникой

375,24

375,24

375,24

375,24

375,24

Итого затрат:

78871,44

42187,44

42187,44

42187,44

42187,44

ЕСН - единый социальный налог от фонда оплаты труда (ЕСН = 26 % от Зпр);

ЕСН = 26%*Зпр = 6505 руб.

Змаш - затраты, связанные с использованием машинного времени на разработку и отладку программ. Змаш = 9540 руб.

Зн - накладные расходы, связанные с проектированием и отладкой ПП, в том числе стоимость используемых материалов. После расчета единовременных и текущих затрат составим общую таблицу потребности в инвестициях (3.6).

3.2  Определение доходов от внедрения в работу ИС

Таблица 3.7 Доходы

Доходы/Годы

2008 4 квартал

2009 1 квартал

2009 2 квартал

2009 3 квартал

2009 4 квартал

1 Снижение затрат на ручную обработку больших объемов информации1

12150

12150

12150

12150

12150

2.Привлечение дополнительных клиентов, тыс. руб.2

35000

45000

55000

65000

70000

Итого доходов тыс. руб.:

47150

57150

67150

77150

82150


На данный момент при отсутствии информационной системы клиники работа по обработке информации имеет большие временные затраты. Вся информация обрабатываются вручную, что может занять достаточно долгое время. Зная заработную плату за день (в среднем она составляет 300 руб/день) можно подсчитать, что подобное ведение работы с документацией обходится предприятию в сумму равную 300*3дн/нед*4,5нед= 4050 рублей в месяц.

За счет введения в эксплуатацию сайта количество клиентов должно увеличиться, при этом, чем дольше будет работать сайт, тем больше клиентов узнает о существовании клиники и посетит ее, из-за чего увеличится прибыль.

.3      Показатели эффективности

Расчет экономической эффективности проводится по следующим показателям:

а) чистый дисконтированный доход (ЧДД) или интегральный эффект;

б) индекс доходности (ИД);

в) внутренняя ставка доходности (ВСД);

г) срок окупаемости;

Чистый дисконтированный доход - превышение интегральных результатов над интегральными затратами. Определяется как сумма текущих эффектов за весь расчетный период, приведенная к начальному шагу.

Метод дисконтированных денежных потоков предполагает анализ потоков инвестиционного капитала, причем как затратных, так и прибыльных, с учетом их временно-стоимостной оценки.

Выбор данного метода был обусловлен следующими причинами:

- необходимость инфляционной корректировки показателей;

-        обеспечение наглядности и простоты расчета срока окупаемости;

         стабильность и предсказуемость денежных потоков;

         равномерность денежных потоков.

Этот метод нашел широкое применение в зарубежной практике в ходе оценки инвестиций в материальные и нематериальные активы, особенно в случаях нестабильной макроэкономической ситуации (инфляция, возможность кризисных ситуаций и т. д.).

Суть этого метода заключается в отнесении предполагаемых денежных потоков (и положительных, и отрицательных) к временным интервалам, начиная с момента начала инвестирования. Как правило, при малых показателях рентабельности продукта сроком анализа этого метода выбирают нормативный «срок жизни» продукта, или срок окупаемости продукта-субститута. В данном случае для установления срока окупаемости достаточно ограничиться сроком в 3 года.

К недостаткам данного метода можно отнести то, что он не позволяет учесть случайные риски (как внешние, так и внутренние), а также известную условность расчета срока окупаемости, связанную с выбором ставки дисконтирования.

Чистый дисконтированный доход определяется как сумма текущих эффектов за весь расчетный период:

            (3.8)

где Дt - результаты, достигаемые на t-ом шаге расчета;

Рt - затраты, осуществляемые на том же шаге;

Дt - Рt - эффект достигаемый на t-ом шаге.

1/(1+ а) - коэффициент приведения по времени результатов и затрат;

а - норма дисконта, равная приемлемой для инвестора норме дохода на капитал -0,14.


Д = Цпр*N,                                                                          (3.9)

где Цпр - цена продажи ПП, руб;- объем продаж по периодам в соответствии с исследованиями рынка, шт.

Расходы (Р) включают, кроме текущих затрат, расходы на тиражирование и рекламу:

Р = Зтир*N+Зр,                         (3.10)

Р = Зтир*N + Зр*n мес;                                                                 (3.11)

где n - количество месяцев в рассматриваемом периоде

Таблица 3.8 Технико-экономические показатели работы

Периоды

Показатели

1/(1+a)t

Дисконтированные

Годовая экономическая эффективность

ЧДД с нарастающим итогом

(годы)

Д.руб.

Р.руб.


Д.руб.

Р.руб.



2009 4 кв.

47150

78871,44

0,877192

41359,6028

69185,3962

-27825,793

-27825,7934

2010 1 кв.

57150

42187,44

0,769467

43975,0391

32461,8429

11513,1962

-16312,5972

2010 2 кв.

67150

42187,44

0,674971

45324,3027

28475,2986

16849,0041

536,4068448

2010 3 кв.

77150

42187,44

0,59208

45678,972

24978,3395

20700,6325

21237,03937

2010 4 кв.

82150

42187,44

0,455586

37426,3899

19220,007

18206,3829

39443,42223

Итого:

330750

247621,2


213764,306

174320,884




Индекс доходности - представляет собой отношение суммы приведенных эффектов к величине капитальных вложений:

        (3.12)

Индекс доходности строится из тех же элементов, что и ЧДД. Если ЧДД положителен, то ИД > 1 и наоборот. Индекс доходности: 1,255225

Расчет ЧДД инвестиционного проекта показывает, является ли он эффективным при некоторой заданной норме дисконта a.

Срок окупаемости - минимальный временной интервал (от начала осуществления проекта), за пределами которого интегральный эффект становится положительным и в дальнейшем остается неотрицательным. Это период (измеряемый в месяцах, кварталах или годах), начиная с которого первоначальные вложения и другие затраты, связанные с проектом, покрывается суммарными результатами его осуществления.

Определим срок окупаемости графически. Для этого необходимо построить график срока окупаемости проекта (рис 3.1).

Рис. 3.1 График окупаемости

В данном разделе дипломной работы проведён анализ основных разделов бизнес-плана, осуществлена калькуляция темы с оценкой экономической эффективности реализации программного продукта.

Затраты на разработку составляют 42187,44 руб. ежеквартально. Экономический эффект от использования данного ПП за расчётный период (1 год и 3 месяца) составит 39443,42, при этом разработчик покроет свои расходы на создание автоматизированной системы ориентировочно за 6,5 месяцев и затем начнёт получать прибыль. Можно сделать вывод о целесообразности и актуальности разработки данного программного продукта.

4.     
Безопасность жизнедеятельности и охрана окружающей среды

Жизнедеятельность - это способ существования человека, его повседневная работа и отдых. БЖД - наука о сохранении жизни, здоровья и работоспособности человека в процессе его жизнедеятельности, призванная выявить опасные и вредные факторы, а также разрабатывать методы и средства защиты людей от их воздействия. В центре внимания дисциплины БЖД находится человек: его жизнь, здоровье, сохранение потомства. Вопросом безопасности человека на производстве занимается охрана труда.

Охрана труда - это система технических, санитарно-гигиенических и правовых мероприятий, непосредственно направленных на обеспечение безопасных для жизни и здоровья человека условий труда. Основной задачей охраны труда является - сведение к минимуму вероятности поражения или заболевания работающего с одновременным обеспечением комфортных условий труда при максимальной производительности.

Техника безопасности - система организационных и технических мероприятий и средств, предотвращающих воздействие на работающих опасных производственных факторов. Опасный производственный фактор - производственный фактор, воздействие которого на работающего в определенных условиях приводит к травме или к другому внезапному резкому ухудшению здоровья.

К мероприятиям по технике безопасности относятся также:

- применение предохранительных устройств, приборов, систем (ограждения, блокировки, заземления и зануления, автоматические отключения и др.);

-  сигнализация и маркировка;

-        создание нормальных условий труда (режим труда и отдыха, надзор за ведением работ и др.);

         подготовку и снаряжение персонала - профессиональный и медицинский отбор, обучение, тренировки, инструктирование, обеспечение средствами индивидуальной защиты, а так же аварийно-спасательные меры.

Применение необходимых мер по охране труда и окружающей среды позволяет значительно уменьшить не только негативное воздействие производства на окружающую среду, но, а также и снизить до минимума возможность случайных происшествий, уровень травматизма и профессиональные заболевания рабочих на предприятии.

.1 Законодательная база по охране труда

Охрана труда - это система законодательных актов и соответствующих им социально-экономических, технических, гигиенических и организационных мероприятий, обеспечивающих безопасность, сохранение здоровья и работоспособности человека в процессе труда.

Конституция РФ (статьи 2,7,24,37,41,42,45,60) декларирует, что в РФ охраняются труд и здоровье людей, их право на труд в безопасных условиях.

Трудовой кодекс РФ(ст.209-218) дает основы охраны труда, утверждает основные направления государственной политики в области охраны труда, устанавливает обязанности работодателя по охране труда.

Федеральный закон «Об основах охраны труда в РФ» от 23 июня 1999 года устанавливает правовые основы регулирования отношений в области охраны труда между работодателями и работниками и направлен на создание условий труда, соответствующих требованиям сохранения жизни и здоровья работников в процессе трудовой деятельности.

Закон Белгородской области «Об охране труда» от 25 марта 1999 года направлен на создание работникам здоровых и безопасных условий труда, предупреждение несчастных случаев на производстве и профессиональных заболеваний. Закон определяет систему управления охраной труда на территории Белгородской области и порядок регулирования отношений в сфере охраны труда между работодателем и работниками в организациях любых организационно-правовых форм и форм собственности.

Согласно постановлению правительства от 23.05.2003 г. обязательными к исполнению являются следующие нормативные документы:

Межотраслевые правила по охране труда (ПОТ Р М), межотраслевые типовые инструкции по охране труда (ТИ Р М)- Утверждает: Минтруд России

Отраслевые правила по охране труда (ПОТ РО), типовые инструкции по охране труда (ТИР О)- Утверждают: федеральные органы исполнительной власти

Правила безопасности (ПБ), правила устройства и безопасной эксплуатации (ПУБЭ), инструкции по безопасности (ИБ)-Утверждают: Госгортехнадзор России, Госатомнадзор России

Государственные стандарты системы стандартов безопасности труда (ГОСТ Р ССБТ)- Утверждают: Госстандарт России, Госстрой России

Строительные нормы и правила (СНиП), своды правил по проектированию и строительству(СП)- Утверждает: Госстрой России

Государственные санитарно-эпидемиологические правила и нормативы (санитарные правила (СП), гигиенические нормативы (ГН), санитарные правила и нормы (СанПин), санитарные нормы (СН)- Утверждает: Минздрав России

Задача охраны труда - свести к минимуму вероятность поражения или заболевания работающего с одновременным обеспечением комфорта при максимальной производительности труда. Реальные производственные условия характеризуются, как правило, наличием некоторых опасностей и вредными факторами.

.2 Опасные и производственные вредные факторы, их классификация

Производственная среда - это часть техносферы, обладающая повышенной концентрацией негативных факторов. Основными носителями травмирующих и вредных факторов в производственной среде являются машины и другие технические устройства, химически и биологически активные предметы труда, источники энергии, нерегламентированные действия работающих, нарушения режимов и организации деятельности, а также отклонения от допустимых параметров микроклимата рабочей зоны.

На человека в процессе его трудовой деятельности могут воздействовать опасные (вызывающие травмы) и вредные (вызывающие заболевания) производственные факторы. Опасные и вредные производственные факторы (ГОСТ 12.0.003-74) подразделяются на четыре группы: физические, химические, биологические и психофизиологические.

Опасный фактор - это воздействие на человека, которое в определенных условиях приводит к травме или другому внезапному резкому ухудшению здоровья. Вредный фактор - это такое воздействие на человека, которое в определенных условиях приводит к заболеванию или снижению работоспособности.

К опасным физическим факторам относятся: движущиеся машины и механизмы; различные подъемно-транспортные устройства и перемещаемые грузы; незащищенные подвижные элементы производственного оборудования (приводные и передаточные механизмы, режущие инструменты, вращающиеся и перемещающиеся приспособления и др.); отлетающие частицы обрабатываемого материала и инструмента, электрический ток, повышенная температура поверхностей оборудования и обрабатываемых материалов и т.д.

Вредными для здоровья физическими факторами являются: повышенная или пониженная температура воздуха рабочей зоны; высокие влажность и скорость движения воздуха; повышенные уровни шума, вибрации, ультразвука и различных излучений - тепловых, ионизирующих, электромагнитных, инфракрасных и др. К вредным физическим факторам относятся также запыленность и загазованность воздуха рабочей зоны; недостаточная освещенность рабочих мест, проходов и проездов; повышенная яркость света и пульсация светового потока.

Химические опасные и вредные производственные факторы по характеру действия на организм человека подразделяются на следующие подгруппы: общетоксические, раздражающие, сенсибилизирующие (вызывающие аллергические заболевания), канцерогенные (вызывающие развитие опухолей), мутогенные (действующие на половые клетки организма). В эту группу входят многочисленные пары и газы: пары бензола и толуола, окись углерода, сернистый ангидрид, окислы азота, аэрозоли свинца и др., токсичные пыли, образующиеся, например, при обработке резанием бериллия, свинцовистых бронз и латуней и некоторых пластмасс с вредными наполнителями. К этой группе относятся агрессивные жидкости (кислоты, щелочи), которые могут причинить химические ожоги кожного покрова при соприкосновении с ними.

К биологическим опасным и вредным производственным факторам относятся микроорганизмы (бактерии, вирусы и др.) и макроорганизмы (растения и животные), воздействие которых на работающих вызывает травмы или заболевания.

К психофизиологическим опасным и вредным производственным факторам относятся физические перегрузки (статические и динамические) и нервно-психические перегрузки (умственное перенапряжение, перенапряжение анализаторов слуха, зрения и др.).

Между вредными и опасными производственными факторами наблюдается определенная взаимосвязь. Во многих случаях наличие вредных факторов способствует проявлению травмоопасных факторов. Например, чрезмерная влажность в производственном помещении и наличие токопроводящей пыли (вредные факторы) повышают опасность поражения человека электрическим током (опасный фактор).

.3 Анализ опасных и вредных факторов при работе с ПК

информационный система ввод автоматизация

Большую часть времени активной жизнедеятельности человека занимает целенаправленная профессиональная работа, осуществляемая в условиях конкретной производственной среды, которая при несоблюдении принятых нормативных требований может неблагоприятно повлиять на его неработоспособность и здоровье.

Производственная среда - это часть окружающей человека среды, включающая природно-климатические факторы и факторы, связанные с профессиональной деятельностью (шум, вибрация, токсичные пары, газы, пыль, ионизирующие излучения и др.), называемые вредными и опасными факторами.

Вредными и опасными производственными факторами на рабочем месте оператора ЭВМ предприятия являются:

-    статическое электричество, вырабатываемое ЭВМ в процессе работы;

-        шум и вибрации, вызванные работой печатающей техники;

         электромагнитное излучение;

         состояние микроклимата в помещении (кабинете);

         электробезопасность на рабочем месте;

         пожаробезопасность на рабочем месте.

Воздействие неблагоприятных факторов приводит к снижению работоспособности, вызываемое развивающимся утомлением. Длительное нахождение человека в зоне комбинированного воздействия различных неблагоприятных факторов может привести к профессиональному заболеванию.

.3.1 Статическое электричество

В ПК разрядные токи статического электричества чаще всего возникают при прикосновении к любому из элементов. Такие разряды опасности для человека не представляют, но кроме неприятных ощущений они могут привести к выходу из строя ЭВМ.

Для снижения величины возникающих зарядов статического электричества покрытие технологических полов следует выполнять из однослойного поливинилхлоридного антистатического линолеума.

Используют следующие методы: метод исключающий или уменьшающий образование зарядов статического электричества, метод устраняющий заряды.

Основным приемом для устранения зарядов является заземление электропроводных частей технологического оборудования для отвода в землю образующихся зарядов статического электричества. Для этой цели можно использовать обычное защитное заземление, предназначенное для защиты от поражения электрическим током.

Другим методом защиты является нейтрализация заряда статического электричества ионизированным газом.

К общим мерам защиты от статического электричества в помещениях с ПК можно отнести общие и местное увлажнение воздуха.

.3.2 Шум и вибрации, вызванные работой печатающей техники

Шум - это беспорядочное сочетание различных по частоте и силе звуков, неблагоприятно воздействующих на организм человека, мешающих его производственной работе и отдыху.

Шум вызывает изменения в нервной системе, оказывает влияние на психику человека, сердечнососудистую систему, пищеварение, ухудшает сон. Работа в условиях сильного шума может вызывать головную боль, головокружение, ослабление внимания. Вибрация - это сотрясение конструкции, машин, механизмов, сооружений, возникающее вследствие неуравновешенных силовых воздействий. Вибрация вызывает раздражение нервных окончаний.

В помещениях оборудованных ПК шум в основном механический (работа вентиляторов охлаждения блока питания системных блоков ПК, работа жесткого диска ПК).

Местная вибрация малой интенсивности может оказывать благоприятное воздействие на организм человека. При увеличении интенсивности колебаний и длительности их воздействия возникают изменения, приводящие в ряде случаев к развитию профессиональной патологии - вибрационной болезни.

В клинике используются матричные принтеры, которые вызывают наиболее сильные вибрации по сравнению с другой техникой, находящейся в клинике. Это явление в техническом плане объясняется высокой скоростью печати головки принтера, которая в процессе работы создаёт вибрацию и шум.

Для защиты от вибраций применяют следующие методы: снижение виброактивности машин, виброизоляция, виброгашение, а также индивидуальные средства защиты.

.3.3 Электромагнитное излучение

Электромагнитные поля, характеризующиеся напряженностями электрических магнитных полей, наиболее вредны для организма человека. Основным источником этих проблем, связанных с охраной здоровья людей, использующих в своей работе автоматизированные информационные системы на основе персональных компьютеров, являются дисплеи (мониторы).

ПЭВМ являются источниками таких излучений как:

-  мягкого рентгеновского;

- ультрафиолетового 200-400 нм;

-  видимого 400-700 нм,

   ближнего инфракрасного 700-1050 нм;

   радиочастотного 3 кГц-30 МГц;

   электростатических полей;

Ультрафиолетовое излучение полезно в небольших количествах, но в больших дозах приводит к дерматиту кожи, головной боли, рези в глазах. Инфракрасное излучение приводит к перегреву тканей человека (особенно хрусталика глаза), повышению температуры тела. Уровни напряженности электростатических полей должны составлять не более 20 кВ/м. Поверхностный электростатический потенциал не должен превышать 500В. При повышенном уровне напряженности полей следует сократить время работы за компьютером, делать пятнадцатиминутные перерывы в течении полутора часов работы и, конечно же, применять защитные экраны. Защитный экран, изготовляемый из мелкой сетки или стекла, собирает на себе электростатический заряд. Для снятия заряда экран монитора заземляют.

Для защиты пользователей персональной ЭВМ от вредного воздействия электромагнитного излучения предусматривается:

-  удаление рабочего места от источника ЭМИ не менее чем на 0.6 - 0.7м;

   экранирование системного блока и ВДТ

   рациональное размещение рабочих мест в помещении таким образом, чтобы работники не попадали под перекрестное ЭМИ;

   использование защитных экранов на ВДТ, поглощающих потоки ЭМИ или полностью или частично рассеивающие их

   делать перерывы, суммарное время которых должно составлять 50 минут при 8-ми часовой.

.3.4 Микроклимат

Похожие работы на - Создание автоматизированной информационной системы 'VIP–Клиника'

 

Не нашли материал для своей работы?
Поможем написать уникальную работу
Без плагиата!
Без нейросетей!