Исследование устойчивости относительно части переменных в критическом случае пары чисто мнимых и одного нулевого корней

  • Вид работы:
    Дипломная (ВКР)
  • Предмет:
    Математика
  • Язык:
    Русский
    ,
    Формат файла:
    MS Word
    735,29 Кб
  • Опубликовано:
    2015-07-13
Вы можете узнать стоимость помощи в написании студенческой работы.
Помощь в написании работы, которую точно примут!

Исследование устойчивости относительно части переменных в критическом случае пары чисто мнимых и одного нулевого корней

Министерство образования и науки Российской Федерации

Федеральное государственное автономное образовательное учреждение высшего профессионального образования

«Уральский федеральный университет имени первого Президента России Б.Н.Ельцина»

Институт математики и компьютерных наук

Кафедра механики и математического моделирования






Исследование устойчивости относительно части переменных в критическом случае пары чисто мнимых и одного нулевого корней

Допустить к защите:

Зав. кафедрой: к.ф.-м.н., доцент, Близоруков М.Г.

Нормоконтролер: к.ф.-м.н., доцент, Горшков А.В.

Квалификационная работа на степень магистра наук по направлению «Механика и математическое моделирование» студента гр. МГМХ-2

Карасева А.А.

Научный руководитель: к.ф.-м.н., профессор, Прокопьев В.П.


Екатеринбург

ОГЛАВЛЕНИЕ

Введение

. Приведение уравнений к специальному виду

. Устойчивость относительно переменных с одним нулевым и парой чисто мнимых корней в частном случае

. Критический случай двух нулевых корней

. Критический случай одного нулевого и пары чисто мнимых корней.

. Критический случай двух пар чисто мнимых корней.

. Уменьшение числа рассматриваемых переменных в относительной устойчивости

Пример. Устойчивость механической системы в критическом случае двух пар чисто мнимых корней.

Заключение

ЛИТЕРАТУРА

Введение


Основы теории устойчивости движения заложены в известной работе русского академика А.М. Ляпунова «Общая задача об устойчивости движения» [3], написанной в 1892 году. К настоящему времени теория является общепризнанной во всем мире и находит широкое применение в различных областях науки и техники.

Значительным преимуществом теории служит то, что задача об устойчивости решается в общей математической форме, решая задачу об устойчивости механического движения, мы изучаем влияние малых отклонений на решения систем дифференциальных уравнений. Такие системы, однако, описывают не только механические движения, но и моделируют иные процессы и явления в радиотехнике, биологии, экономике, социологии и других областях. Поэтому термин «устойчивость движения» понимается в обобщенном смысле.

Наиболее значимым является прямой или второй метод Ляпунова, который позволяет рассматривать устойчивость дифференциальных уравнений без поиска их решений, а рассматривая лишь функцию, которая называется функцией Ляпунова. Данный метод развивал Н.Г. Четаев [5].

До работ Ляпунова в исследованиях устойчивости ограничивались рассмотрением лишь первого приближения [Раусс, 1877; Жуковский, 1882]. Некоторые из подобных исследований не потеряли своего значения и в настоящее время. Однако, как показал Ляпунов, задача об устойчивости не всегда решается членами низшего порядка. Он сумел четко разделить при каких случаях она решается, а при каких - нет.

Эти случаи являются критическими случаями устойчивости, в том смысле, что устойчивость определяется членами высших порядков. Рассмотрение нелинейных членов в общем случае представляет большие трудности, поскольку предполагает подбор функции неизвестного вида, что чрезвычайно сложная и творческая задача, так как алгоритмов ее построения не существует. Первым их рассмотрел сам Ляпунов [3], и развил некоторые методы решения этой задачи в разных случаях.

Наибольший вклад в дальнейшее развитие теории критических случаев внесли И.Г. Малкин [1] [6] и Г.В. Каменков [7].

Впервые задачу об устойчивости по части переменных поставил А.М. Ляпунов, поскольку такая задача является более общей, и позволяет рассматривать устойчивость более сложных систем. Однако, сам Ляпунов ее не рассматривал. Первые общие теоремы сформулировал И.Г. Малкин в 1937 году.

Проведенные в дальнейшем исследования раскрыли большое методологическое сходство в изучении устойчивости по всем переменным и относительной устойчивости с помощью функций Ляпунова. И, вместе с тем, были выявлены определенные различия в решениях ряда идентичных вопросов.

В данном вопросе больших результатов добился академик В.В. Румянцев [2]. Он доказал основные общие теоремы, а результаты были применены для изучения устойчивости космических аппаратов, проведено систематическое исследование вопроса. Соответственно, в задаче о частичной устойчивости возникает вопрос об устойчивости по первому приближению. Эта задача решается, но не в столь широком случае как в устойчивости по всем переменным. Результаты в теории устойчивости по первому приближению относительно части переменных получили А.С. Озиранер, В.П. Прокопьев.

При изучении первого приближения, также возникает вопрос о критических случаях. Его изучение вызывает трудности, поскольку и теория критических случаев, и теория частичной устойчивости являются нетривиальными вопросами. Некоторыми исследованиями занимались В.П. Прокопьев [10], М.Г. Лизунова [11], В.Н. Щенников.

В данной работе поставлена задача об устойчивости в критических случаях по части переменных. Изучается, возможно, ранее не исследованный, случай одного нулевого и пары чисто мнимых корней, в частном и в общем виде, а также изучаются несколько сходных случаев. Целью является вывод каких-либо критериев устойчивости, асимптотической устойчивости или не устойчивости используя некоторые предположения.

В первой главе приводится преобразование общего вида обыкновенных дифференциальных уравнений возмущения к специальному виду, удобному для исследования.

Во второй доказывается устойчивость по части переменных с одним нулевым и парой чисто мнимых корней в некотором частном случае, с конкретным видом нелинейных частей уравнений.

В третьей, четвертой и пятой размещены основные результаты. Рассмотрены случаи одного нулевого и пары чисто мнимых корней. Также рассмотрен случай двух нулевых, в предположениях достаточных для использования его в двух других случаях.

В шестой главе дается некоторое обобщение, где в переменных, относительно которых рассматривается устойчивость, кроме критических, присутствуют также переменные устойчивые по первому приближению.

Также рассмотрен пример применения методов к рассмотрению конкретной механической системе.


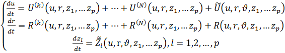
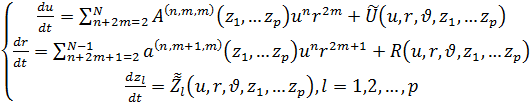
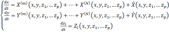
1. Приведение уравнений к специальному виду

.1      Уравнения возмущения

Рассмотрим систему обыкновенных дифференциальных уравнений -го порядка.

               (1.1)

Где  раскладываются в степенные ряды по степеням ,

Тогда перепишем систему в виде:

 (1.2)

Здесь  - постоянные, а  - степенные ряды, разложенные по степеням ,  не ниже второго порядка.

Выделим из (1.2) линейную часть и получим систему первого приближения

 (1.3)

Характеристическое уравнение которого:

          (где  - символы Кронекера)

Пусть имеет один нулевой и пару чисто мнимых корней, а также  корней с отрицательной действительной частью, где .

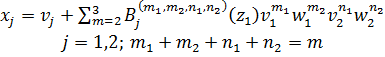
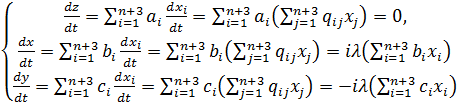
Подберем замену переменных:

 (1.4)

Выберем ее так чтобы в силу уравнений (1.3) получалось

 (1.5)

Здесь  мнимая единица,

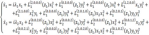
Подставляем (1.4) в (1.5) и в силу (1.3) получаем:

 (1.6)

Из этого следуют следующие равенства:

 

 

 

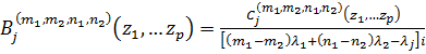
Приравнивая коэффициенты перед  к нулю, запишем следующую систему алгебраических уравнений:

 

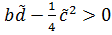
Так как определители матриц ,  и  , существует нетривиальное решение этой системы , .

Найдя такое решение, выразим из соответствующих уравнений (1.4) переменные  изначальных уравнений. Так как , то пусть без ограничений общности .

 (1.8)

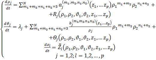
Подставим полученные выражения в уравнения (1.2) и получим:

 

Здесь , ,,  - функции разложимые в ряд по всем переменным, начиная со второй степени. Они получаются из  соответствующими заменами.

.2     
Выделение уравнений с отрицательными действительными частями собственных чисел

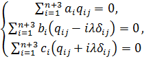
Теперь выделим  переменных с соответствующими им корнями характеристического уравнения, у которых действительная часть отрицательна.

 

И делая размышления подобные ранее приведенным, выводим:

 

Здесь ,  корни характеристического уравнения матрицы .

 

Пусть тогда  и получаем:

 

И приравняем к нулю коэффициенты перед :

 

Эта система линейных однородных уравнений имеет нетривиальное решение. Матрица этой системы имеет определитель равный нулю, поскольку  являются корнями характеристического уравнения матрицы .

a)        - вещественное

В таком случае в качестве коэффициентов  возьмем отвечающий  собственный вектор матрицы

 

Так как вектор  нетривиальный, без ограничения общности возьмем , тогда:

 

Тогда соответствующее уравнение в системе (1.9) заменяется на

 

б)  и сопряженный к нему корень

Тогда этим корням отвечают комплексно сопряженные вектора

 

 

Однако, область определения вещественна поэтому:

 (1.10)

Так как вектора линейно независимы, для матрицы  существует минор второго порядка отличный от нуля, и пусть, без ограничения общности, этим минором будет:

 

Тогда из уравнения (1.10) будем иметь:

 

Таким образом, соответствующие уравнения в системе (1.9) заменяются следующими уравнениями:

 

 

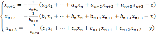
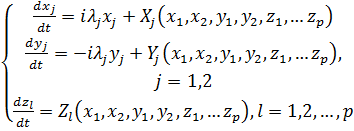
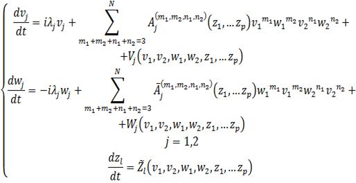
Тогда, сделав в (1.9) подобных замен (случаи а,б) и сделав замены для оставшихся переменных:

 

Получим систему:

 (1.11)

Где  появляются при соответствующих заменах и удовлетворяют условиям (1.12):

Разложимы в степенные ряды, которые сходятся в окрестности нуля. Все функции кроме  не содержат членов ниже второго порядка. В  также включены члены первого порядка.

Пусть  сходятся в области

 (1.13)

Также, пусть:

 

 

 

 

Где  некоторые достаточно малые положительные постоянные.

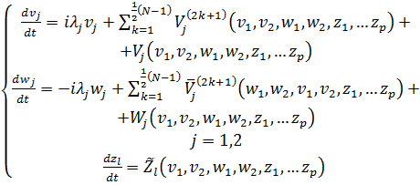
Далее исследуем устойчивость невозмущенного движения относительно переменных  системы (1.11), т.е. будем рассматривать критический случай одного нулевого и пары чисто мнимых корней.

2. Устойчивость относительно переменных с одним нулевым и парой чисто мнимых корней в частном случае

Возьмем систему (1.11) из предыдущей главы. Исследуем устойчивость системы с двумя чисто мнимыми и одним нулевым корнем в частном случае, с конкретным видом правых частей. Воспользуемся заменой указанной И.Г. Малкиным [1. п.96.11] для сведения рассматриваемого случая к случаю двух нулевых корней.

И произведем замену:

 (2.1)

Тогда из системы (1.11) получим

 (2.2)

 здесь уравнения с отрицательными действительными корнями. Примем пока, что они отсутствуют, и будем рассматривать устойчивость лишь относительно двух нулевых корней. Перепишем систему (2.2):

 (2.3)

Таким образом, любую систему с одним нулевым и парой чисто мнимых корней можно привести к рассмотрению системы с двумя нулевыми корнями с помощью замены аналогичной (2.1).

Пусть функции имеют конкретный вид:

 

 (2.4)

 

аналитические функции разложимые в окрестности нуля по степеням .

 уже имеют порядок разложения не ниже четвертого.

Подставляя (2.4) в (1.11), при этом делая замену (2.1), получим систему:

 (2.5)

Где ,

Доказывать устойчивость будем согласно теореме Ляпунова об асимптотической устойчивости относительно части переменных [2].

Функцию Ляпунова возьмем в виде:

 

Очевидно, что она удовлетворяет условиям теоремы [2, п.6.2]. Она знакоопределенная по совокупностям переменных , и допускает по ним бесконечно малый высший предел.

Вычислим производную от функции  в силу уравнений (2.5)

 (2.6)

Функции  будем рассматривать как зависящие от  параметров.

Произведем замену:

 

Тогда (2.6) запишется как

 (2.8)

Так как (2.8) представляет собой квадратичную форму относительно . Применим критерий Сильвестра для определения знакоопределенности формы. Составим матрицу квадратичной формы:

 

Выпишем главные миноры, и применим критерий для определения устойчивости. Рассматривая главные миноры по критерию Сильвестра, получаем, что асимптотическая устойчивость будет в случае:

)

)

)

А неустойчивость будет достигаться в случае:

)

)

)

Обозначим функции характеризующие устойчивость:

 (2.9)

Тогда возможны три случая:

)        Если при всех  функции , то невозмущенное движение системы (2.3) устойчиво асимптотически по .

)        Если при всех  функции , то невозмущенное движение системы (2.3) неустойчиво по .

)        Если  не принимают значения одного знака, или обращаются в ноль, задача об устойчивости не решается способом, изложенным в данной главе.

3. Критический случай двух нулевых корней


Как показано в предыдущей главе, мы можем привести задачу об устойчивости по переменным с одним нулевым и парой чисто мнимых корней к задаче об устойчивости по переменных с двумя нулевыми корнями. Переходим к критическому случаю двух нулевых корней, так как случай одного нулевого и двух мнимых можно свести к этому случаю с помощью замены. Рассмотрим систему уравнений такого вида:

 (3.1)

Правые части удовлетворяют условиям:

 - разложимы в ряд по степеням . Они сходятся в области  . В ней они непрерывны и ограничены вместе со своими частными производными и обращаются в ноль в начале координат.

 и  представляют собой совокупности k-го порядка по степеням .  и  одновременно не обращаются в ноль при любой совокупности .

Функции  и  имеют порядок по  выше  определенны и непрерывны в области .

 

 

Для начала пусть . Тогда система (3.1) будет системой из трех уравнений.

 (3.1’)

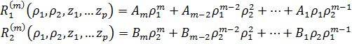
В этом случае обобщим метод изложенный Малкиным И.Г. в [1] и [6]. Для выведения условия устойчивости относительно  рассмотрим две формы:

 (3.2)

Будем рассматривать случай лишь, когда G может обращаться в ноль при . (как мы покажем, случай одного нулевого и пары чисто мнимых корней сводится именно к такому случаю).

Тогда уравнение

 (3.3)

будет определять на плоскости x,y при фиксированном , одну или несколько прямых, проходящие через начало координат. Чтобы это показать составим систему уравнений:

 (3.4)

Рис. 3.1

Все поверхности определяемые уравнением , содержат интегральные кривые (3.4). Всякая интегральная кривая уравнений (3.1’) необходимо будет касаться интегральных кривых (3.4) и движение по ним будет направленно в ту же сторону. Значит все интегральные кривые (3.1’), будут касаться поверхностей , располагаясь в поверхностях образованных первыми двумя уравнениями из (3.1’).

Запишем уравнение (3.3), подставив в него (3.4), получаем тождество:

 

 

Получим семейство кривых, пересекающихся в точке

 

Где  рассматривается как параметр.

Соответственно, при условии, что обе правые части не обращаются одновременно в ноль ни при каком , в пространстве уравнение (3.3) будет образовывать область пересекающихся по прямой  поверхностей, таких, что если провести через них сечение , мы получим плоскость с пересекающимися в центре (0,0,const) прямыми. На рисунке (рис. 3.1) показано как выглядят поверхности, определяемые уравнением  в пространстве.

Форма P в силу (3.4) примет вид:

 

Что очевидно является производной положительной знакоопределенной по  формы  , допускающей бесконечно малый высший предел по . Если  на поверхностях, задаваемых уравнением . То  < 0 везде в области, кроме начала координат, где она обращается в ноль. Значит,  является знакоопределенной отрицательной по переменным . На основании теоремы [2 п.6.2] невозмущенное движение системы (3.4) асимптотически устойчиво.

Если это так, то и движение системы (3.1’) в малой окрестности  будет также устойчиво асимптотически.

Теперь вернемся к системе (3.1) и заметим, что если увеличить число переменных z, ничего в рассуждениях не поменяется. Тогда:

 (3.5)

И если на поверхностях ,  то движение асимптотически устойчиво относительно .

Теорема [2 п.6.2] также дает равномерно асимптотическую устойчивость, благодаря чему она обратима.

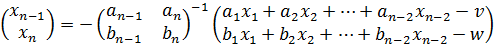
Пусть теперь форма  может принимать положительные значения. Без ограничения общности будем полагать, что она принимает положительные значения при некотором наборе  на прямой . К этому можно перейти, при фиксированных , соответствующим поворотом осей. Но если уравнение (3.3) имеет решение то  при  должна обращаться в ноль на плоскости .

Тогда на плоскости при фиксированном наборе  :

 (3.6)

Здесь  зависят от выбора плоскости и, следовательно, от набора , однако на плоскости они являются константами.

Так как форма  имеет вид (3.4) то:

 

 - фиксированный набор.

При  нечетном,  должен быть положительным, а при  четном,  может быть как положительным, так и отрицательным. Но в последнем случае замена  меняет знак . Поэтому будем его предполагать положительным.

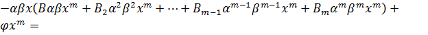
Для доказательства неустойчивости будем использовать теорему Четаева Н.Г. [1,п.48][5]. А для этого рассмотрим функцию:

 (3.7)

Где  некоторая положительная постоянная. Составим полную производную от этой функции. В силу уравнений (3.1) будем иметь:

 

Ненаписанные члены имеют порядок, не меньший .

Функция  принимает положительные значения при . То же самое имеет место по отношению к ее производной.

 

Если  достаточно мало и, в случае четного . Это следует из вида  и того, что коэффициент .

Следовательно, вблизи начала координат существует область .

)        Допустим теперь, что .

Покажем, что  можно выбрать такой малой, чтобы область  была полностью заключена внутри области .

 когда  (в силу (3.7)). Тогда только при ,  принимает положительные значения. Мы можем заменить это неравенство, взяв где .

 

 

 

Где  - некоторая аналитическая функция, обращающаяся в ноль при .

 

Рис. 2.2

Значит, при достаточном малом , знак этого выражения совпадает со знаком  (по крайне мере при ).  - константа при фиксированном наборе , и будет определяться следующим соотношением:

 

Выберем столь малым, что знак будет совпадать со знаком , и так как , то  при .

Таким образом, в достаточно малой окрестности координат существует область , заключенная внутри области . Следовательно, движение будет неустойчиво по теореме Н.Г.Четаева [1,п.48][5].

)        Теперь допустим .

При таких значениях,  будет положительно лишь при некоторых . Что значит, теперь, область  заключена внутри , и условия теоремы Четаева не выполняются. Однако, покажем, что будет также неустойчивость.

Пусть  есть такая положительная величина, что при  величина  положительна. Составим функцию:

уравнение корень нулевой мнимый

 

Область  целиком заключена внутри . Однако же,  не всюду положительна в области  и на границе , так как она обладает теми же свойствами что и .

Пусть  есть границы области , а  границы области . Также эти области ограничены . (Рис 3.2) Внутри рассмотрим область , ограниченную отрезком  гиперболы  и отрезком  гиперболы . При этом  фиксированное число, а  сколь угодно мало. Так что  расположено сколь угодно близко к точке .

Внутри   и для нее существует положительный нижний предел. Пусть . Пусть:

 

Рассматриваем кривую, выходящую в момент  из точки  дуги . Уравнение этой интегральной кривой:

 

Будем двигаться вдоль этой дуги в сторону уменьшения  до момента . При этом интегральная кривая будет приближаться к началу координат, по крайней мере, пока не покинет области , так как в ней . Но если бы кривая в какой-то момент  покинула бы область , что она может сделать только через границы  и , то должны выполняться условия  и . Что, однако, невозможно, так как на границах  производная , как указывалось ранее.

Тогда при  интегральная кривая будет оставаться внутри области . Допустим она при  будет проходить через точку  и докажем, что точка тогда будет лежать внутри области . Для этого нужно показать, что интегральная кривая при убывании  от  до  проходит через .

Если же от противного предположить, что все время  интегральная кривая находится внутри , тогда будем иметь:

 

Поскольку . А  (так как точка расположена на соответствующей гиперболе).

Отсюда:

 

Что невозможно, так как в области  (где по предположению располагается точка ), .

Таким образом, точка  располагается в области . Рассмотрим теперь кривую, выходящую из точки  в момент времени . Очевидно, что это будет та же самая кривая, она придет в точку  при .

Значит, движение в момент времени  располагается сколь угодно близко к началу координат (так как  сколь угодно мало), а в момент времени  на некотором расстоянии от него. Это означает, что невозмущенное движение будет неустойчиво.

)        Рассмотрим последний случай

Рассмотрим функцию:

 

И область:

 (3.8)

Так как, все переменные лежат в этой области тогда:

 

Тогда:

 

Следовательно, можно принять , где , очевидно, что при таком соотношении .

Составим производную от , в силу уравнений (4.1).

 

Запишем ее в соответствии с (4.6), заменяя при этом  на .

 

Где  аналитическая функция, обращающаяся в ноль при , а  коэффициент перед  в , его можно предполагать сколь угодно малым, поскольку, если в системе (3.1) сделать замену , где  постоянная, то  не изменится, а в форме  коэффициент перед  умножится на , которое мы можем положить малым.

Так как  и  численно мало, то вблизи начала координат  будет принимать положительные значения (при , если четное) при всех .

Следовательно, при , достаточно малом, во всей области (2.8)  принимает положительные значения, что удовлетворяет условиям теоремы Четаева.

Таким образом движение неустойчиво при каком-то фиксированном наборе , то оно будет неустойчиво относительно .

На основании доказанного можно сформулировать теорему.

Теорема (3.9): Если предложена система возмущенного движения (3.1) при соответствующих наложенных на правые части ограничениях. Составим формы (3.5) и при этом здесь форма  не знакоопределенная. Тогда возможны следующие из двух случаев:

)Если на поверхностях, определяемых уравнением , форма  принимает лишь отрицательные значения, то невозмущенное движение  равномерно асимптотически устойчиво относительно .

)Если на поверхностях, определяемых уравнением , форма  может принимать положительные значения, то невозмущенное движение  неустойчиво относительно .

4. Критический случай одного нулевого и пары чисто мнимых корней


Таким образом, рассмотрим систему уравнений:

 (4.1)

Правые части удовлетворяют условиям:

 - разложимы в ряд по степеням . Они сходятся в области (4.2):

 

В ней они непрерывны и ограничены, вместе со своими частными производными, и обращаются в ноль в начале координат.

Распишем тогда правые части по степеням .


 ,  и  представляют собой совокупности k-го порядка по степеням .

Функции  и  имеют порядок по  выше N, определенны и непрерывны в области (4.2) и

 

 

 

При этом x и y являются комплексно сопряженными решениями, так что если во втором уравнении (4.3) заменить  на ,  на , а  на , то оно перейдет в третье уравнение. Первое уравнение при такой замене не изменится.

Обобщим метод изложенный Малкиным И.Г. в [1 п.96]

Произведем нелинейную замену:

 (4.4)

Формы  мы будем подбирать исходя из нужных нам свойств.

)        Пусть система (4.3) приобретет следующий вид:

 (4.5)

Формы  и  получаются друг из друга заменой  на ,  и .

2)       и  таковы что:

 (4.6)

 

При этом

 (4.7)

Дальше мы покажем, что формы  в преобразовании (4.4) действительно найдутся, такие, чтобы данные условия выполнялись.

Пусть тогда эти формы имеют вид:

 (4.8)

 

Так как второе уравнение переходит в третье при комплексном сопряжении и соответствующих заменах, то

 

 должны быть ограничены, чтобы замена не повлияла на устойчивость.

Таким образом, нам остается определить только .

Посчитаем производные по времени от первых двух выражений (4.4).

 

Приравняем эти выражения с соответствующими правыми частями системы (4.2) при подстановке в них (4.4).

 

 

 

 

 

Производные от новых переменных распишем в силу (4.5). И получим окончательно систему:

(4.9)

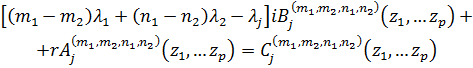
Зададим число  и приравняем коэффициенты при соответствующих , где . На основании (4.8) будем иметь следующие выражения:


 коэффициенты при соответствующих степенях, получаются при подстановке в правые части (4.3) замены (4.4). То есть в них входят и комплексно сопряженные с ними величины, где . Допустим, что порядки ниже уже вычислены, и величины известны.

Если , тогда

 

Если

 

Если , тогда

 

Если

 

 здесь должны быть ограничены, поскольку, , мы должны рассматривать устойчивость относительно  эквивалентной исходной задаче. Для функций  при достаточно малых  должно выполняться неравенство подобного типа:

 

И оно, очевидно, будет выполняться при ограниченных  и исходных предположениях.

Заметим  будут ограничены, только в том случае если ограничены соответствующие . Если же такое условие не выполняется, то нужно ограничивать .

Таким образом, соответствующую замену можно подобрать при указанных условиях.

Тогда уравнения (4.1) примут следующий вид:

(4.10)

Произведем замену уже указанную ранее (2.1):

 

Тогда система (4.10) преобразуется следующим образом:

 

 

 

 

 

 

Таким образом, сократив второе и третье уравнение на  и  соответственно, получаем:

 

Выделяя вещественные и мнимые части, получаем:

 (4.11)

А также уравнение

 (4.12)


 

 

Функции  при достаточно малых  при всех значениях , а также при обсужденных ранее ограничениях на коэффициенты первой замены, удовлетворяют условиям:

 

Так как  входит в эти функции только в виде синуса и косинуса, которые могут быть ограничены единицей.

Задача устойчивости невозмущенного движения  относительно  эквивалентна задачи устойчивости невозмущенного движения  относительно , где  рассматривается как произвольная функция времени. Поэтому уравнение (4.12) мы отбросим. Таким образом, исследование сводится к рассмотрению системы (4.11), применим для этого метод, изложенный в главе 4.

В самом деле, запишем эти уравнения в виде:

 

Где  и  формы -го порядка переменных , где коэффициенты зависят от совокупности . При этом  содержат только четные степени , а  только нечетные. Видно, что система удовлетворяет всем условиям теоремы (4.9), нужно только также потребовать, чтобы  не обращались в ноль при любой совокупности , и проверить, чтобы  не являлась знакоопределенной.

Рассмотрим формы  из (3.5), тогда:

 

Учитывая (4.11), получаем:

 (4.13)

Таким образом, мы можем вынести:

 

где  форма m-го порядка переменных . Следовательно,  не знакоопределенная по , поскольку обращается в ноль при .

В этом случае, согласно (3.9), невозмущенное движение будет асимптотически устойчиво при  на поверхностях . И оно будет неустойчиво, если  может принимать положительные значения на поверхностях .

5. Критический случай двух пар чисто мнимых корней

Рассмотрим также еще один случай, который приводится к двум нулевым корням. Критический случай двух пар чисто мнимых корней.

Таким образом, рассмотрим систему уравнений:

 (5.1)

Где для удобства обозначений

Правые части удовлетворяют условиям:

 - разложимы в ряд по степеням . Они сходятся в области:

 (5.2)

В ней они непрерывны и ограничены вместе со своими частными производными, и обращаются в ноль в начале координат.

Распишем тогда правые части по степеням .

 (5.3)

,  представляют собой совокупности k-го порядка по степеням .

Функции  и  имеют порядок по  выше N, определенны и непрерывны в области (5.2) и

 

При этом  и  являются комплексно сопряженными решениями, так что, если в первой группе уравнений (5.3) заменить  на ,  на , а  на , то оно перейдет во вторую.

Обобщим метод изложенный Малкиным И.Г. в [1 п.95] до случая относительной устойчивости. И, как и в предыдущей главе, сведем изучаемую систему к критическому случаю двух нулевых корней.

Произведем нелинейную замену:

(5.4)

Некоторые формы, подлежащие определению порядка , переменных .

Эти формы мы подберем таким образом, чтобы уравнения (5.1) приняли вид:

 (5.5)

 предполагаем нечетным,  и  получаются друг из друга заменой  на ,  и .

1)       таковы, что:

 (5.6)

При этом

 (5.7)

Дальше мы покажем, что формы  в преобразовании (5.3) действительно найдутся, такие, чтобы данные условия выполнялись.

Пусть тогда эти формы имеют вид:

 (5.8)

комплексное сопряжение . Следовательно, будем искать только первую пару. должны быть ограничены, чтобы замена (5.4) не повлияла на устойчивость.

Продифференцируем первую группу выражений (5.4) по времени:

 

Тогда согласно (5.1), запишем:

 

 

В силу уравнений (5.5) перепишем его как:

(5.9)

Зададим число и приравниваем коэффициенты при , где , тогда принимая во внимание (5.6) и (5.8), запишем:

 (5.10)

 

переменные коэффициенты при соответствующих степенях, получаются при подстановке в правые части (5.1) замены (5.3). То есть в них входят и комплексно сопряженные с ними величины, где . Допустим, что порядки ниже уже вычислены, и величины известны.

Тогда будем различать два случая:

А) Первый случай. Пусть выполняется одновременно

 

Тогда очевидно, что может быть только нечетно. Следовательно, согласно (5.10), запишем:

 

 остается произвольной, положим тождественно равным нулю.

Б) Второй случай.

 

 (5.11)

 

 здесь должны быть ограничены, поскольку, мы должны рассматривать устойчивость относительно  эквивалентной исходной задаче. Для функций  при достаточно малых  должно выполняться неравенство подобного типа:

 

И оно, очевидно, будет выполняться при ограниченных  и исходных предположениях.

Заметим  будут ограничены, только в том случае если ограничены соответствующие . Если же такое условие не выполняется, то нужно ограничивать .

Таким образом, соответствующую замену можно подобрать при указанных условиях.

Тогда уравнения (5.1’) примут следующий вид:

(5.12)

Произведем замену:

 (5.13)

Тогда система (5.9) преобразуется следующим образом:

 

 

 

 

 

 

 

 

 

Преобразуя и приравнивая мнимую и действительную часть, приводим систему к виду:

 (5.14)

Где

 

 

Функции  при достаточно малых  при всех значениях , а также при обсужденных ранее ограничениях на коэффициенты первой замены, удовлетворяют условиям:

 

Так как  входит в эти функции только в виде синуса и косинуса, и может быть ограничено единицей.

Задача устойчивости невозмущенного движения  относительно  эквивалентна задачи устойчивости невозмущенного движения  относительно  где  рассматриваются как произвольные функция времени. Применим для этого метод, изложенный в главе 3.

В самом деле, запишем эти уравнения в виде:

 (5.15)

Где  и  формы -го порядка переменных , где коэффициенты зависят от совокупности . При этом  содержит только нечетные степени . Видно, что система удовлетворяет всем условиям теоремы (3.9), нужно только также потребовать, чтобы  не обращались в ноль при любой совокупности , и проверить, чтобы  не являлась знакоопределенной.

Рассмотрим формы  из (3.5), тогда:

 

Учитывая (5.6) запишем тогда:

 

Где коэффициенты функции переменных .

 

 

 

 - здесь форма  порядка с коэффициентами, зависимыми от . Тогда  не знакоопределенная по , поскольку обращается в ноль не только при

. Тогда мы можем воспользоваться теоремой (3.9), если  на всех поверхностях , то невозмущенное движение будет асимптотически устойчиво относительно переменных . Если хоть в какой-то точке поверхностей, , то движение будет неустойчиво.

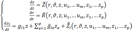
6. Уменьшение числа рассматриваемых переменных в относительной устойчивости

Рассмотрим такую систему  уравнений возмущенного движения:

 (6.1)

Рассматриваем область  (6.2)

 функции непрерывные вместе со своими производными, ограниченные по совокупности переменных в области (6.2)

 

 

 

Функции также разложимы в степенные ряды в области (6.2) по степеням , в которых коэффициенты зависят от совокупности . При этом  имеют порядок разложения, начиная со второго.

Здесь постоянные,  таковы, что характеристическое уравнение

 (6.3)

имеет корни только с отрицательными действительными корнями.

Условие (6.4): Все правые части ограничены по модулю константой , все их частные производные ограничены константой .

Теорема (6.5): Рассмотрим систему (6.1) с наложенными на нее ограничениями.

Если невозмущенное движение системы устойчиво, устойчиво равномерно асимптотически, или неустойчиво относительно , то невозмущенное движение системы (6.1) будет соответственно устойчиво, устойчиво равномерно асимптотически (при вып. усл. 6.4), или неустойчиво относительно

Замечание:
Равномерность асимптотической устойчивости требуется для выполнения теоремы о существовании функции [2 п.14.2]. Равномерность будет выполняться, например, в теореме об асимптотической устойчивости [2 п.6.2].

Доказательство:

)        Рассмотрим для начала устойчивость.

Пусть невозмущенное движение системы (6.1) устойчиво относительно . Тогда, согласно теореме о существовании функции Ляпунова [2 п.13.1], в области   существует , такая что:

 

Где , обращается в ноль только при

(что означает, что определенноположительная по )

И ее производная в силу (6.1):

 

Рассмотрев устойчивость невозмущенного движения системы (6.1) относительно , заметим, что оно будет устойчиво по линейному приближению. [2 п.35.5]

Для этого нужно выполнение следующих условий:

А) Все корни характеристического уравнения (6.3) должны иметь отрицательные действительные части

Б) ,

Эти условия, очевидно, выполняются.

Значит, в области  существует , такая, что:

 

Где , обращается в ноль только при

(что означает, что знакоопределенная положительная по )

И ее производная в силу (6.1):

 

Перейдем тогда в область , что является сужением области (6.2) и составим функцию

 

 будет обращаться в ноль только при , что соответственно означает, что знакоопределенная по совокупности .

И ее производная , тогда по теореме об устойчивости по части переменных [2 п.5.1], невозмущенное движение системы (6.1) устойчиво.

)        Теперь рассмотрим асимптотическую устойчивость.

Пусть невозмущенное движение системы (6.1) устойчиво равномерно асимптотически. И выполняется условие (6.4).

Тогда, согласно теореме о существовании функции Ляпунова [2 п.14.2], существует

в области  существует , такая, что:

 

 

Где  принадлежат классу . Что означает, они непрерывные, строго возрастающие и обращаются в ноль только в нуле.

Согласно теореме о линейном приближении[2 п.35.5], невозмущенное движение системы (6.1), вообще говоря, асимптотически устойчиво. Функция Ляпунова в этой теореме , а ее производная . При этом, так как  зависит только от  можно подобрать такую , что можно записать.

 

 

Где  принадлежат классу .

 существует в области , а  существует в области .

Пусть  б.о.о.

Тогда в области  построим .

Пусть  тогда:

 

 

Так как:

Пусть вектор  составлен из координат  и .

 

Пусть , , и они также принадлежат классу .

И поскольку они строго возрастающие очевидно:

 

 

А функцию , подберем из класса  так, чтобы она была больше, чем сумма, причем чтобы выполнялось .

Тогда движение будет равномерно асимптотически устойчиво.

)        Случай неустойчивости тривиален. Если невозмущенное движение системы (6.1)

неустойчиво относительно , то решение системы (6.1) очевидно также будет неустойчиво относительно .

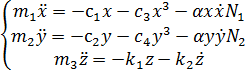
Пример. Устойчивость механической системы в критическом случае двух пар чисто мнимых корней.

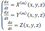
Рис.7.1

Рассмотрим для примера малые колебания около положения равновесия системы представленной на рисунке.

Тела 1 и 2 с массами  прикреплены пружинами с нелинейными характеристиками к неподвижным опорам. Грузы скользят по поверхности с переменным коэффициентом трения скольжения. Тела 1 и 2 имеют валики 4, на которых расположена невесомая балка 5. Предполагаем, что валики свободно вращаются, так что на балку движение грузов не влияет. Посередине отрезка  (расстояние между боковыми стенками) к балке прикреплена пружина с линейной характеристикой, на которой подвешен груз 3 массы . Груз 3 движется в жидкости, испытывая архимедову силу  и силу сопротивления .

Рис.7.2

Обозначим силы, и введем обобщенные координаты . Далее найдем дифференциальные уравнения движения методом Лагранжа.

 

 

 

 

 

 

 

Вводя возможные перемещения по переменным , найдем обобщенные силы:

 

 

 

 (7.1)

Рис.7.3

Для нахождения сил трения нужно определить силу, с которой балка действует на валики. Груз 3 будет таким образом влиять на движения первых двух.

Рассмотрим горизонтальную балку 5. Поскольку она покоится, мы можем рассмотреть ее равновесие (Рис.7.3). Здесь силы  силы реакции, с которой действуют валики 4 на балку.

Тогда:

 

Отсюда получаем:

 

Исходя из этого, и поскольку грузы 1 и 2 не движутся по вертикали, запишем силы реакции поверхности. И разложим выражения в ряд по всем переменным, затем отбросим члены выше второго порядка.


Подставляя это в уравнения (7.1), получаем дифференциальные уравнения второго порядка следующего вида:


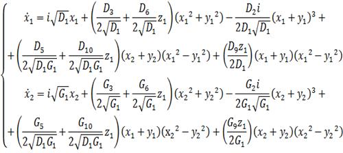
Сделаем замену:

 

Подставив в уравнения, преобразовав, и отбросив порядки выше третьего, получаем:

Уравнения с сопряженными корнями получаются из этих, комплексным сопряжением и подстановкой ,  где .

Заметим также, что второе из данных уравнений также получается из первого подстановкой  где  и .

(7.2)

Дальше изучим устойчивость относительно  невозмущенного движения приведенной системы. Приведенные ниже рассуждения основаны на методе, изложенном в главе 5, и потому мы упускаем некоторые выкладки

Выпишем уравнения в виде:

(7.3)

Где коэффициенты представляют собой либо постоянные, либо функции зависящие от .

Нелинейную замену (5.4) будем искать до третьего порядка. Тогда замену будем искать, согласно (5.8), в виде:

 

Пусть , запишем коэффициенты перед формами при подстановке этой нелинейной замены. Можно приравнять, согласно (5.10), (5.11) и делая очевидные преобразования, следующие коэффициенты

 

Для второго уравнения выражения выпишутся похожим образом. И мы получаем выражения коэффициентов замены второго порядка:

 (7.4)

Зная их, можем определить коэффициенты перед третьим порядком. Заметим, что нам не нужны дальнейшие коэффициенты замены, нужно только определить коэффициенты , для составления нового вида системы. Среди коэффициентов перед третьим порядком ненулевыми являются только:

 

Используя (7.4) мы найдем эти коэффициенты и выразим через изначальные константы, приведенные в (7.2).

 (7.5)

Заметим также, что все полученные  будут линейными функциями . Так как по  система совершает малые колебания,  будет мало и коэффициенты  будут ограниченными, что означает, что устойчивость невозмущенного движения относительно исходных переменных будет эквивалентна устойчивости относительно новых переменных.

В итоге мы с помощью нелинейной замены перешли к виду:

 

Более высокие порядки мы отбросили, для изучения устойчивости они не требуются.

Произведем замену, указанную в (5.13):

 

Тогда, как показано в главе 5, исследование сведется к изучению критического случая двух нулевых корней, то есть получаем следующих два уравнения:

 

Составим формы  из (3.5).  будет иметь следующий вид:

 

И уравнение  в пространстве будет задавать следующие поверхности:

 

 

Форма  запишется в виде

 

Тогда на поверхностях  эта форма принимает следующие значения:

 

Согласно (7.5) , где  - суть некоторые постоянные. Притом равные:

 

Где

Значит . И форма  на поверхностях  будет принимать значение следующих знаков:

 

Отсюда согласно теореме (3.9) получаем, что данная механическая система устойчива асимптотически относительно .

Заключение

Теория критических случаев является сложной, давно изучаемой проблемой. Устойчивость по части переменных вносит в нее еще некоторые дополнительные трудности для исследования. Поэтому полученные критерии произведены лишь при наложенных жестких условиях.

В ходе исследования были рассмотрены: случай одного нулевого и пары чисто мнимых корней, случай двух нулевых корней и случай двух пар чисто мнимых. Для последнего случая приведен так же пример решения механической системы. Изучены критерии устойчивости, асимптотической устойчивости, и неустойчивости. Были получены следующее критерии:

)        Решение задачи об устойчивости по части переменных с одним нулевым и парой чисто мнимых корней в частном случае, когда правые части имеют вид (2.4) может быть выполнено, если функции  (2.9) имеют значения одного знака. В случае если они всегда положительны, то достигается асимптотическая устойчивость. Если же они всегда отрицательны, то достигается неустойчивость.

)        Доказана теорема (3.9), для критического случая двух нулевых с двумя группами решений, когда форма  (3.5) не знакоопределенная.

)        С помощью теоремы (3.9), исследованы критические случаи пары чисто мнимых и одного нулевого, и двух пар чисто мнимых корней. И показано, что оба случая водятся к случаю двух нулевых, когда  (3.5) не знакоопределенная.

)        Доказана теорема (6.5), позволяющая при некоторых ограничениях на систему, в частности, при непрерывности и ограниченности правых частей со своими частными производными, рассматривать более общую задачу устойчивости относительно не только критических переменных, но и также относительно переменных устойчивых по линейному приближению.

Все результаты получены также при предположении, что правые части уравнений возмущенного движения разложимы в ряды, в области, являющейся окрестностью начала координат по критическим переменным, изучаемой в теории устойчивости по части переменных.

ЛИТЕРАТУРА

1.      Малкин И.Г. - Теория устойчивости движения. - М.: Наука., 1966 - 533с.

.        Румянцев В.В., Озиранер А.С. - Устойчивость и стабилизация движения по отношению к части переменных. - М.: Наука. Гл. ред. Физ.-мат., 1987. - 256с.

.        Ляпунов А.М. - Общая задача об устойчивости движения.- М.-Л.: Гостехиздат,1950 - 473с.

.        Воротников В.И., Румянцев В.В - Устойчивость и управление по части координат фазового вектора динамических систем: теория, метод и приложения. - М.: Научный мир, 2001. - 320 с.

.        Четаев Н.Г. - Устойчивость движения. - Гостехиздат, Изд.2-е,1956 - 176 с.

.        Малкин И.Г. - Об устойчивости движения в смысле Ляпунова.// Математический сборник, т.3(45):1 - С.47-101

.        Каменков Г.В. - Устойчивость и колебания нелинейных систем, Избранные труды. Том II. - М.: Наука, 1972 - 215с.

.        Н. Руш, П. Абетс, М. Лалуа - Прямой метод Ляпунова в Теории устойчивости движения - М.: Изд. Мир, 1980. - 300с.

.        Ляпунов А.М. - Исследование одного из особенных случаев устойчивости - Л.: Изд. ЛУ, 1963 - 117с.

.        Прокопьев В.П. - Об устойчивости части переменных в критическом случае одного нулевого корня.// ПММ, т.39:3 - С.422-426

.        Лизунова М.Г. - Об устойчивости части переменных в критическом случае пары чисто мнимых корней.//Устойчивость и нелинейные колебания - Свердловск УрГУ,1991 - С.59-65

Похожие работы на - Исследование устойчивости относительно части переменных в критическом случае пары чисто мнимых и одного нулевого корней

 

Не нашли материал для своей работы?
Поможем написать уникальную работу
Без плагиата!
Без нейросетей!