Оценка и прогноз добычи меди

  • Вид работы:
    Курсовая работа (т)
  • Предмет:
    Эктеория
  • Язык:
    Русский
    ,
    Формат файла:
    MS Word
    188,14 Кб
  • Опубликовано:
    2015-06-17
Вы можете узнать стоимость помощи в написании студенческой работы.
Помощь в написании работы, которую точно примут!

Оценка и прогноз добычи меди

Российский Государственный Геологоразведочный Университет

Кафедра менеджмента и маркетинга











Курсовая работа

По дисциплине: «Статистика»

На тему:

«Оценка и прогноз добычи меди»

Выполнили: студенты гр. УП-13

Грачёва Г.И

Обликин Н.Ю

Проверила: доцент Рыжова Л.П.




Москва, 2014 год.

Содержание

. Мировой рынок меди: добыча руды, производство, потребление, мировые цены на медь

.1.     Мировое производство меди в 1960-2006 годах

.2.     Мировое потребление меди в 1960-2006 годах

.3.     Мировые цены на медь и биржевые запасы

.4.     Перспективы развития рынка меди

.        Вариационный анализ

.1.     Вариационный анализ по объему добываемой меди

.        Корреляционно-регрессионный анализ

.1.     Корреляционно-регрессионный анализ между объемом добычи меди и экспортом меди с 1998 по 2010 год.

.        Многофакторный анализ

.        Вывод

.        Список использованной литературы


Глава 1. Мировой рынок меди: добыча руды, производство, потребление, мировые цены на медь

1.1    Мировое производство меди в 1960-2006 годах

Мировое производство первичной меди в 1900 году составляло всего 495 тыс. тонн, а в 1997 году - 11526 тыс. тонн. В период с 1900 по 1960 год производство меди в мире росло на 3.2% ежегодно, с 1960 по 1970 год - 3.4% в год, в 1970-х годах - на 2.6%, в 1980-х годах - на 2.2% и в 1990-х годах - на 3.1% в год.

Рис.1. Производство первичной меди в мире


Традиционно главный мировой поставщик медной руды и концентратов Чили увеличила свою долю в объемах мировой добычи меди с 13% в 1978 году до 29% в 1997 году. В 1997 году в Чили было произведено 3392 тыс. тонн меди (в виде руды и концентратов). Страны Африки, напротив, сократили добычу меди на 52% в период с 1978 по 1997 год.

Рис.2. Производство медных концентратов в мире


Получение металлической меди. Плавка - это пирометаллургический процесс, используемый для получения металлической меди. Заводы по выплавке первичной меди используют медный концентрат как сырье. Заводы по производству вторичной меди - медный лом. Примерно половина ежегодно выплавляемой меди в мире приходится на четыре страны - Чили, Китай, Японию и США.

Рис.3. Объемы выплавки меди по регионам


Производство рафинированной меди. Доля рафинированной меди, произведенной по технологии SX-EW ("Экстракция растворителем - электроэкстракция"), в общем объеме произведенной в мире рафинированной меди постоянно растет и в настоящее время составляет уже более 13%. Между тем, основным способом производства рафинированной меди все же по-прежнему остается получение медных катодов методом электролиза. По такой технологии, в частности, работает крупнейший производитель меди в России - ГМК "Норильский Никель".

Рис.4. Объемы производства рафинированной различными способами


Особую роль на мировом рынке меди, наряду с США, в последние десятилетия стали играть Чили и страны Юго-Восточной Азии. Так, за последние 30 лет Чили превратилась в крупнейшего производителя рафинированной меди в мире. Производство рафинированной меди в этой стране выросло на 1425% по отношению к уровню 1960 году (177 тыс. тонн). Производство рафинированной меди в странах Азии выросло на 800% за этот же период, главныи образом за счет увеличения производства в Японии и Китае.

Рис.5. Объемы производства рафинированной меди по регионам

медь добыча цена анализ

Мировое производство первичной меди в 2005 году, по оценке Cochilco, выросло на 6,9%, примерно до 15,3 млн т. Эксперты прогнозируют, что в ближайшие годы мировое производство меди также будет расти.

Отмечается, что почти все медные компании мира стремятся воспользоваться нынешней небывало высокой рыночной конъюнктурой. Например, вторая по величине мировая медная компания - американская Phelps Dodge планирует в ближайшие два года ввести в эксплуатацию новые мощности в США и Южной Америке. В среднесрочной перспективе это обстоятельство (вместе с предпринимаемыми правительством Китая мерами по ограничению вывоза из страны цветных металлов) может привести к росту предложения и снижению мировых цен на медь.

Расширяют производство Grupo Mexico, BHP Billiton, KGHM и другие крупнейшие компании. Мексиканская медная компания Grupo Mexico, третий по величине производитель меди в мире, в течение двух лет планирует инвестировать 450 млн дол. в увеличение производства. Для сравнения, Freeport McMoran, владеющая вторым по величине в мире (после чилийского Эскондида) рудником Грасберг (Grasberg) в Индонезии, в 2005 г. запланировала 180 млн дол. капиталовложений. Компания планирует стать основным поставщиком меди на рынки Китая и США по невысоким ценам.

В Азии восемнадцать компаний, занимающихся медью, образовали Азиатский медный клуб (Asian Copper Club - ACC). Членами клуба стали девять компаний из Китая, шесть - из Японии, две - из Индии и одна - из Кореи. В число китайских участников входят Jiangxi Copper, Tongling Nonferrous Metals Group, Yunnan Copper, Baiyin Nonferrous Metals, Jinchuan Group, Daye Non-Ferrous, Zhongtiaoshan Nonferrous, Huludao Nonferrous Metals и Yantai Penghui Copper Industry. Японию представляют Pan Pacific Copper, Mitsubishi Materials, Sumitomo Metal Mining, Dowa Mining, Furukawa и Nippon Mining & Metals, Индию - Birla Copper и Sterlite Industries, Южную Корею - LG Nikko Copper.

Между тем, основная тяжесть увеличения поставок меди на мировой рынок ляжет на Чили. Крупнейший в мире производитель меди, чилийская Codelco в 2004 году произвела 1,84 млн. т рафинированной меди по сравнению с 1,58 млн. т в 2003 году. Увеличение объемов производства предполагается достигнуть за счет расширения добычи на комплексах Andina и El Teniente. Компания рассчитывает, что расширение работ на этих рудниках позволит ей к 2008 г. достигнуть объемов производства меди в 2,3 млн. т. Codelco также приступила к выполнению предварительного ТЭО по подземному руднику Chuquicamata. Начало подземной добычи ожидается в 2013 г, капзатраты, по предварительным данным, составят около $500 млн. Объем добычи подземного рудника должен составить 120-125 тыс. т руды в сутки. На сегодняшний день, Chuquicamata является одним из крупнейших открытых рудников в мире.

Чилийская компания Escondida в 2005 г. вложила средства в расширение рудника Эскондида-Норте (Escondida Norte), что позволит компании работать на полную мощность до 2008 г. Escondida планирует расширить и производство медных катодов - до 180 тыс.т.

Мировое потребление меди в 1960-2006 годах

С начала 20-го века, промышленный спрос на рафинированную медь увеличился с 494 тыс. тонн/год до более чем 17000 тыс. тонн/год. В довоенный период, спрос на медь увеличивался в среднем на 3.1% ежегодно. После Второй мировой войны (в 1945-1973 годах) спрос на медь увеличивался уже на 4.5% ежегодно. С 1974 года - года первого нефтяного кризиса, темпы роста спроса на медь замедлились до 2.4% в год, а 1990-х годах снова выросли - примерно до 2.9%.

Рис.6. Объемы потребления меди в мире


Сейчас рост потребления меди в основном обеспечивают две страны - Китай и США, а Япония выступает лишь катализатором активности покупателей на рынке. В Америке развитие строительной отрасли во многом определяет состояние экономики в целом. А индустрия Китая стремительно наращивает мощности в различных отраслях уже несколько лет, что вывело страну в мировые лидеры по объёмам потребления основных металлов. Нынешнее повышение спроса прогнозировалось, но мировые медные компании не успели к нему заранее подготовиться, так как строительство новых рудников - дело длительное и дорогостоящее.

По опубликованной оценке, мировое потребление меди в 2005 году увеличилось на 4,2%, до 17,1 млн т. (Данные Чилийской медной ассоциация Cochilco). Китай был лидером в потреблении меди, его уровень вырос на 8,4%, до 3,6 млн т. США также увеличили потребление меди - примерно на 3,0%, до 2,6 млн т.

Рис.7. Объемы потребления меди по регионам


Вместе с тем, медный рынок, как и рынок цветных металлов в целом, подвержен циклическим колебаниям. Ещё с середины 90-х годов динамика спроса на цветные металлы, в частности на медь, стала определяться главным образом изменением потребностей стран Азии. Но в 1998-2002 годах экономики этих стран находились в состоянии кризиса, производители начали консервировать проекты создания новых мощностей и разработки крупных месторождений, многие компании сократили производство.

В 2002 г. впервые за двадцать лет выплавка рафинированной меди уменьшилась по отношению к предыдущему году. С 2002-2003 года спад сменился оживлением экономики в развитых странах, спрос на медь стал расти; особенно быстро увеличивает потребление Китай. Но законсервированные мощности не могли быть введены в строй мгновенно, а расширение рудной базы и вовсе требовало долгих лет. Так что на рынке сформировался значительный дефицит меди, который в прошлом году вырос до рекордных величин, а складские запасы металла, напротив, уменьшились до критических отметок.

Производители начали активно отыгрывать благоприятную конъюнктуру и заявлять о восстановлении работы старых и введении в строй новых мощностей. Однако из-за долгих сроков реализации новых крупных инвестиционных проектов в 2004-2006 годах на рынке меди сохранялось превышение спроса над предложением и значительно выросли цены на данный металл.

1.2 Мировые цены на медь и биржевые запасы

Мировые цены на медь остаются на рекордно высоком уровне. Цена наличной меди на Лондонской бирже металлов (LME) в декабре 2006 года колебалась в диапазоне 6500-7000 дол./т. Данные о росте экономики в Китае, США, Японии продолжают стимулировать спрос на медь со стороны биржевых спекулянтов. Запасы металла на складах LME снизились за декабрь 2006 года со 155 до 180 тыс.т. Динамика этого показателя говорит о наращивании производства меди, что в перспективе может негативно сказаться на ценах.

Рис.8. Среднемесячные цены на медь на ЛБМ, долл./т

Стабильно высокий спрос на медь со стороны Америки, Китая и Японии, и биржевое напряжение последних лет весьма успешно использовали спекулянты. Особенно подстегнули цены на медь данные о росте промышленного производства в Японии. Эта страна - третий крупнейший в мире потребитель меди. Положительная динамика, которую вдруг показала японская экономика, заставила игроков поверить, что на медном рынке сохранится высокий спрос.

1.3 Перспективы развития рынка меди

Спрос на медь сохранит свою силу в течение достаточно долгого времени в первую очередь благодаря росту благосостояния растущего населения в Азиатском регионе и росту использования меди в различных важных секторах. Такое мнение на международной конференции по мировому рынку меди высказал президент и исполнительный директор шведской компании Boliden Ян Йоханссон.

По его оценкам, спрос на медь за период времени до 2010 г. увеличится на 5-7 млн т в Китае и на 1 млн т в Индии. Он весьма пессимистично настроен по отношению к предположениям о возможном обрушении спроса на металлы в Китае. "Почему мы должны ожидать этого? Ведь Китай и, в меньшей степени, Индия проходят такие же точки развития, как Япония и Южная Корея в начале зарождения экономического бума 43 и 20 лет назад соответственно", - сказал эксперт. Кроме того, по его словам, интенсивность в глобальном масштабе использования меди также возрастает. Например, в такой важной для мировой экономики отрасли, как автомобилестроение США, за последние тридцать лет количество меди на один автомобиль возросло в среднем на 10 фунтов (прибл. 4,5 кг), что при гигантских объёмах производства автомобилей даёт огромные объёмы использующейся меди.

В выступлении г-на Йоханссона прозвучали и предостережения по поводу проблем, с которыми столкнётся медная промышленность в частности и человечество в целом. Во-первых, это напряжённость с медным концентратом - если до 2016 года сохранятся текущие темпы роста спроса на концентрат (5% в год), то всех существующих и возможных мощностей просто не хватит для удовлетворения такого спроса. В какой-то степени в производстве кабелей и труб медь можно заменить алюминием и пластиком, однако пока такая замена практически микроскопическая и составляет менее 1%. Во-вторых, это энергетические проблемы, являющиеся наибольшей потенциальной угрозой растущим экономикам Индии и Китая, в которых в ближайшие четыре года пересчитанный из ВНП рост потребления меди оценивается в 6% и 9% соответственно.

.       

.        Вариационный анализ

Вариация - различия в значениях изучаемого признака у разных единиц данной совокупности в один и тот же период или момент времени. Причина вариации - различные условия существования разных единиц совокупности.

Вариационный ряд - упорядоченное распределение единиц совокупности по возрастающим (убывающим), т. е. ранжированным, значениям признака и подсчет числа единиц с тем или иным его значением.

Вариационный ряд по форме бывает:

ранжированный - перечень отдельных единиц совокупности в порядке возрастания или убывания изучаемого признака;

дискретный вариационный - таблица, которая состоит из двух строк или графов, включающих:

·        конкретные значения - xi варьирующего признака Х,

·        количество единиц совокупности - fi - (частоту) с данным значением признака xi;

интервальный ряд - в нем вместо дискретного ряда записывают интервал.

Абсолютные показатели вариации.

.        Размах вариации (R) - абсолютная величина разности между максимальными и минимальными значениями (вариантами) признака.

R=xmax - xmin

 

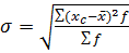
2.      Среднее линейное отклонение () - это средняя арифметическая оценка абсолютных значений (модуля) отклонений отдельных вариант от их средней арифметической. Определяют по формуле:

 

.        Средняя арифметическая. Выборочной средней арифметической называют среднее арифметическое значение признака выборочной совокупности. Она вычисляется последующей формуле:

 

где n - число элементов выборки.

.        Средняя арифметическая интервального ряда распределения рассчитывается в тех случаях, когда в столбце вариантов не одно, а два значения, показывающие верхнюю и нижнюю границу. Среднее значение интервала находится путем отыскания простой Хсер . Между верхней и нижней границами интервала. Число случаев f умножается на эту величину, и находится сумма этих произведений. Формула вычисления в этом случае:

 

 

5.      Выборочным средним квадратическим отклонением (стандартом) называют квадратный корень из выборочной дисперсии.

 

6.      Выборочной дисперсией называют среднее арифметическое квадратов отклонения наблюдаемых значений признака от их среднего значения. То есть выборочная дисперсия есть средняя взвешенная квадратов отклонений с весами, равными соответствующим частотам.

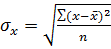
.        Квадратичное (стандартное) отклонение - обобщающая характеристика вариабельности признака в совокупности. Оно равно квадратному корню из среднего квадрата отклонений отдельных значений признака от средней арифметической. Его вычисляют по формуле:

 

Относительные показатели вариации.

1.      Коэффициент вариации служит для сравнения величин рассеяния по отношению к выборочной средней двух вариационных рядов: тот из рядов имеет большее рассеяние по отношению к выборочной средней, у которого коэффициент вариации больше. Коэффициент вариации- безразмерная величина, поэтому он пригоден для сравнения рассеяния вариационных рядов, варианты которых имеют различную размерность.

Коэффициентом вариации (V) называют выраженное в процентах отношение выборочного среднего квадратического отклонения к выборочной средней. Можно вычислить по формуле:

 

Если < 30%, то совокупность будет однородная.

Линейный коэффициент вариации:

 

2.      Коэффициент осцилляции (коэффициент вариации по вариационному размаху):

 

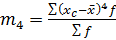
.        Асимметрией теоретического распределения называют отношение центрального момента третьего порядка к кубу среднего квадратического отклонения:

, где

Асимметрия положительна, если «хвост» кривой распределения находится справа; асимметрия отрицательна, если «хвост» кривой распределения располагается слева. Практически определяют знак асимметрии по расположению кривой распределения относительно моды (точки максимума ): если «длинная часть» кривой расположена правее моды, то асимметрия положительна, если слева - отрицательна.

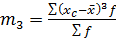
.        Для оценки крутости, то есть большего или меньшего подъёма кривой теоретического распределения по сравнению с нормальной кривой, пользуются характеристикой- эксцессом, которая определяется равенством:

, где

Для нормального распределения эксцесс равен нулю. Поэтому если эксцесс некоторого распределения отличен от нуля, то кривая этого распределения отличается от нормальной кривой: если эксцесс положительный, то кривая имеет более высокую и острую вершину, чем нормальная кривая. Если эксцесс отрицательный, то сравниваемая кривая имеет более низкую и плоскую вершину, чем нормальная кривая.

Структурные показатели вариации.

.        Мода (Мо)- наиболее часто встречаемое значение признака в исследуемой статистической совокупности. В статистике моду также используют как выборочную непараметрическую оценку математического ожидания, что будет корректно только при симметричном (нормальном) распределении.

Мода вычисляется по формуле:

 

где

x0 - нижняя граница модального интервала;

h - протяженность модального интервала (шаг);

f2 - число наблюдений (частоты) в модальном интервале;1 - число наблюдений (частоты) в интервале, предшествующем модальному;

f3 - число наблюдений (частоты) в интервале, следующим за модальным.

.        Медиана (Ме) - середина ранжированной исследуемой статистической совокупности.

Медиану так же, как и моду, в статистике рассматривают как выборочную непараметрическую оценку математического ожидания, что будет корректно только при симметричном (нормальном) распределении.

В интервальном ряду медиану вычисляют как:

 

где

x0 - нижняя граница медианного интервала;

h - протяженность медианного интервала (шаг);

∑f - число наблюдений (объем ) выборки;

Smed-1 - сумма накопленного числа наблюдений (частоты) в интервале, предшествующем медианному;

fmed - число наблюдений (частоты) в медианном интервале.

2.1    Вариационный анализ по объему добываемой меди

В таблице приведены данные о количестве добываемой меди по годам с 1998 по 2010 год.

Год

Кол-во, т.

1998

394

1999

411

2000

413

2001

421

2002

450

2003

451

2004

447

2005

452

2006

425

2007

423

2008

419

2009

402

2010

395


Создаем упорядоченный ряд распределения:

Xi

394

395

402

411

413

419

421

423

425

447

450

451

452

f

1

1

1

1

1

1

1

1

1

1

1

1

1


1)      R = 452 - 394 = 58;

2)      

3)      

4)                             

Добыча меди отклоняется от средней добычи на 17,077 т.

5)                              ;

Так как  и  отличаются, то совокупность менее однородная.

6)                        D = (20,05)2 = 402;

7)      

8)       = +(-)

Так как что < 30%, то совокупность однородная.

9)       = +(-)

10)   

11)    => ;

 => ;

Эксцесс положительный, следовательно, то кривая имеет более высокую и острую вершину, чем нормальная кривая.

12)    Мо = 446 + 13*;

Значит, наиболее часто встречаемое значение объема добычи меди в исследуемой статистической совокупности равно 452,5 т.

13)    Ме = 420 + 13*.

Значит, 50% объема добычи меди в год в период с 1998 по 2010 года меньше 422,2 т, а 50% - больше.


Мографич. = 452,5, что равно Моаналит. = 452,5.


Меграфич. = 423, что равно Меаналит. = 422,2 ≈ 423.

Выводы

Средний объем добываемой меди в год 425,5 т. Исходя из данных, можно сказать, что добыча меди в год отклоняется от средней на 17,077 т.

Значение среднего квадратического отклонения  = 20,05 и

 = 17,077 различаются, что говорит о менее однородной совокупности. Но значение квадратичного коэффициента вариации  = 3,5%, что намного меньше 30% доказывает, что совокупность однородная.

Наш вариационный ряд с левосторонней асимметрией, так как

= 425,5 < Ме = 422,2 < Mo = 452,5, то есть наименьшим является значение средней, а наибольшим - моды.

Так же мы рассчитали Мо. В нашем вариационном ряду интервал 446-459 т., в который попало максимальное значение частоты f = 4, является модальным. Полученное значение моды свидетельствует о том, что в рассматриваемой совокупности наиболее типичным объемом добычи меди является 452,5 т., что выше ранее рассчитанного среднего объема добычи меди 425,5 т.

Рассчитали медиану ряда распределения объемов добываемой меди.

Медианным является интервал объемов меди 420-433 т, поскольку его кумулятивная частота равна 9, что больше половине суммы всех частот

( ). Тогда Ме = 422,2.

Полученное значение говорит о том, половина объема добываемой меди в год в период с 1998 по 2010 года меньше 422,2 т, а вторая половина больше 422,2 т.

3. Корреляционно-регрессионный анализ

Регрессионно-корреляционный анализ - раздел математического статистики, объединяющий методы для определения регрессионной зависимости и тесноты корреляционной связи между двумя (парная или частная) или несколькими (многомерная или множественная) факторами.

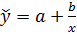
Если между случайными величинами x и y существует корреляционная связь, то получаем уравнение регрессии:

 

где

 - теоретическое значение у, полученное из уравнения ,

 - погрешность отклонения теоретического значения у от фактических (экспериментальных) данных.

Уравнение зависимой средней величины  от x, то есть  называют уравнение регрессии.

Связь между х и у на диаграмме рассеяния представлена прямой линией. Для оценки величин переменной простого выборочного анализа х и у используют метод наименьших квадратов, с помощью которого можно найти линию регрессии:

 

Параметр b указывает наклон линии регрессии. Если b<0, линия регрессии будет направлена вниз, если b>0, то линия регрессии направлена вверх.

С помощью уравнения прямой  можно удовлетворить требованиям метода наименьших квадратов, используя формулы:

 ,

Наиболее подходящей является та линия, для которой сумма всех квадратов отклонения будет минимальной:

 

Для подбора наилучшей линии регрессии используют «коэффициент аппроксимации» - e:

 

где n - количество экспериментальных точек.

Упрощенно считают, что если коэффициент аппроксимации e < 33%, то линейная модель  - наилучшая аппроксимация корреляционного поля точек и ее можно использовать для дальнейшего анализа. Если e > 33%, то наилучшая модель  .

Квадратическая ошибка оценки, проверка их типичности.

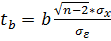
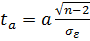
Применительно к совокупности, у которой число параметров исследования меньше 30 (n<30), для проверки типичности параметров уравнения регрессии используется t- критерий Стьюдента. При этом вычисляется фактическое значение t-критерия:

,

где σε- остаточная среднеквадратическая погрешность.

,

Полученные ta и tb сравнивают с критическим tk из таблицы Стьюдента с учётом принятого уровня значимости (а=0,01=99% или а=0,05=95%) и m- числа параметров исследуемого уравнения (степень свободы).

tb < tкр < ta

Вывод: по проверенным на типичность параметрам уравнения регрессиипроизводится построение математической модели связи ў=а+bх. Смысловое содержание полученных таким образом моделей состоит в том, что они характеризуют среднюю величину результативного признака , рассчитанного по факторному - X.

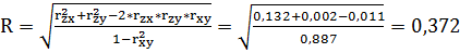
Определение коэффициента корреляции.

Основная задача- определение и выражение формы аналитической зависимости результативного признака У от факторного X и измерение тесноты связи. Изучение отношения между признаками- главная задача научных исследований. Взаимосвязь явлений и их признаков является главной задачей корреляционного анализа. "Корреляция" означает соответствие, соотношение, сопоставление. При обработке статистических данных необходимо проследить изменение признака одного от другого, то есть найти уравнение связи, а также тесноту связи и коэффициент корреляции r:

 = ÖD, 0<|г|<1 -1<г<1,

где D- коэффициент детерминации (доля соотношений признаков X и У в коэффициенте корреляции).

Для измерения надёжности коэффициента корреляций используется формула:

 

Статистическая оценка тесноты связи.

Существуют критерии оценки коэффициента корреляции:

) Критерий Пирсона

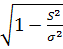
η =

S2 - погрешность выборки,

σ2 - погрешность генеральной совокупности.

η Є (0;1]

Если η→1, корреляционная связь тесная;

если η→0, корреляционная связь отсутствует.

Здесь

, р - количество изучаемых параметров

, n - число наблюдений.

3.1 Корреляционно-регрессионный анализ между объемом добычи меди и экспортом меди с 1998 по 2010 года

Нам даны два столбика значений - по добыче меди и экспорту за границу с 1998 по 2010 гг. Наша задача:

определить форму связи между этими признаками;

найти уравнение регрессии, т. е. теоретическое уравнение зависимости экспорта меди за границу от общей добычи меди;

измерить тесноту связи между этими признаками.

Год

Добыча меди, т.

Экспорт меди, т.

1998

394

334

1999

411

374

2000

413

397

2001

421

421

2002

450

391

2003

451

356

2004

447

291

2005

452

431

2006

425

424

2007

423

420

2008

419

398

2009

402

394

2010

395

390


`x =  = 423,308

`y =  = 386,231 =  = -0,088 = 386,231 + 0,088*423,308 = 423,482

 = a + bx = 423,482 - 0,088x

1)      MAPE = *0,98*100% = 7,5%

MAPE < 33%, значит модель пригодна для дальнейшего исследования.

)        dx =  = 20,12

)        dy =  = 38,22

4)     

5)      r = -0,088* = - 0,046

Коэффициент корреляции близок к нулю, значит наблюдается низкая теснота связи между объемом добычи меди и ценами на медь.

)        de = S =  = 38,182

)        h =  = 0,045

h стремится к нулю, значит корреляционная связь отсутствует.

8)      dr =  = 0,277

8) m =  = 0,0056

m <= 2,6, значит коэффициент корреляции ненадёжен.

) ' = -0,088  = - 0,096

10) ta = 423,482* = 36,785

tb = 0,088* = 0,154

При уровне значимости a=0,01 tкр= 9,924

tb < tкр < ta

Значит параметры уравнения подобраны верно, ошибки нет.

В рассмотренном уравнении , характеризующем зависимость экспорта от размера объемов добываемой меди, параметр b<0. Следовательно, с возрастанием объема добычи уменьшается экспорт.

Для удобства интерпретации параметра b используют коэффициент эластичности. В нашем случае Э = - 0,096. Это означает, что с увеличением объема меди на 1% следует ожидать уменьшения экспорта в среднем на 0,096%

Исходя из расчетов мы можем сказать, что наша модель пригодна для дальнейшего использования, так как МАРЕ = < 33%

Коэффициент корреляции r = -0,046 близок к нулю, значит наблюдается низкая теснота связи между объемом добычи меди и экспортом меди. Коэффициент корреляции ненадежен, так как  <=2,6.

Мы можем быть уверены, что параметры уравнения подобраны верно, ошибки нет, так как       tb = 0,154 < tкр = 9,924 < ta = 36,785.

Рис.9.


Многофакторный анализ.

Год

Добыча меди, т. (z)

Цена меди $ за т. (x)

Экспорт меди, т. (y)

394

1650

334

1999

411

1436

374

2000

413

1825

397

2001

421

1678

421

2002

450

1515

391

2003

451

1634

356

2004

447

2450

291

2005

452

3129

431

2006

425

4689

424

2007

423

5652

420

2008

419

6948

398

2009

402

5187

394

2010

395

7558

390


В таблице приведены данные. При изучении трех переменных одну будем рассматривать как функцию (z) - показатель объема добычи меди, а две другие как аргументы - цена меди за 1т. (x) и экспорт меди за границу (y).

Для систематизации данных построим трехмерную корреляционную таблицу.

Находим средние арифметические величины:

 

 

 

Линейное уравнение зависимости от двух факторных переменных определяется по формуле:

Zxy = a + bx + cy

Найдем уравнение связи Z с факторами x, y.

;

;

;

;

;

;

;

;

;

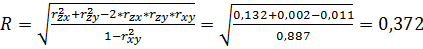
Коэффициент множественной корреляции R всегда положителен и находится в пределах от 0 до 1.

;

Следовательно, связь между величинами не очень тесная.

Исследуем парные зависимости множественной корреляции при линейной зависимости.

Получим следующие уравнения регрессии:

, где

;

 

 

 

;

;

 

где х2 - это х, х3 - это у.

 - уравнение регрессии при линейной зависимости между объемом добываемой меди и ценами на медь.

 - уравнение регрессии при линейной зависимости между объемом добываемой меди и экспортом меди за границу.

Построим график функции уравнения регрессии

Исследуем парные зависимости множественной корреляции при линейной зависимости.

Рис.10. Получим следующие уравнения регрессии:

График 1. Линейная зависимость между объемами добытой меди и ценой на медь.

Рис.11. Построим график функции уравнения регрессии

 

График 2. Линейная зависимость между объемами добытой меди и экспортом меди.

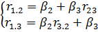
Коэффициенты корреляции объема добываемой меди с каждым фактором оказались:

с ценами на медь r1.2 = -0,363;

с экспортом r1.3 = - 0,046.

Обнаружены следующие пропорции в изменении интересующих нас показателей:

.        С увеличением цены на медь на 1 тысячу рублей средний объем добычи будет уменьшаться на 0,003т.; в то же время существует постоянная часть среднего объема добычи меди, не изменяющаяся с изменением цены, которая выражается числом 433,773 т.

.        С увеличением экспорта меди на 1т. средний объем добычи увеличится на 810,38 т. постоянная часть среднего объема добытой меди составляет 313416,998т.

Однако в этих пропорциях отражено неявное влияние не только тех факторов, которые включены в уравнения, но и тех, которые им неявно сопутствуют.

Для выявления явного влияния всех факторов на результативный используют методы множественной корреляции.

Переходим к соотношениям между факторами, которые важно установить для получения в дальнейшем множественных связей.

где  - экспорт меди за границу, x - цены на медь.

0,029*3488,538 = 285,063;

;

;

Построим график для уравнения регрессии:

Рис.12.

График 3. Линейная зависимость величины экспорта меди и цены на медь.

Коэффициент между парой факторов 2 и 3:

;

Этот коэффициент свидетельствует о менее тесной зависимости между факторами. Составим таблицу 2:


y

x2

x3

y

1

x2

1

x3

1


Подставляя коэффициенты корреляции между переменными x2, x3 и y в уравнение множественной регрессии

;

с применением стандартизированного масштаба по формуле

;

уравнение имеет следующий вид:

;

где параметры  находят из системы линейных уравнений:

;

В стандартизированные уравнения подставляем коэффициенты корреляции и получаем систему уравнений:

;

;

,046 =0,1211968 + 0,112896* + ;

,112896* = -0,167968;

;

;

В стандартизированном виде имеем:

;

;

R Є (0;1)

Преобразуем переменные по формуле:

,

получим коэффициенты

;

;

и уравнение в натуральном масштабе:

.

Вывод

Согласно полученному уравнению, при постоянном экспорте х3 увеличение цен на медь на $1 влечет уменьшение добычи меди х2 в среднем на 0,003 т. Если сопоставить эту величину в уравнении парной регрессии:
 с величиной аналогичного показателя в 0,003т., то станет очевидным, что резкое сокращение объемов добываемой меди не зависит от увеличения цены.

При постоянной цене меди х2, увеличение экспорта на 1 т. влечет увеличение добычи меди х3 в среднем на 0,079 т. Если сопоставить эту величину в уравнении парной регрессии: с величиной аналогичного показателя в 810 т., то станет очевидным, что резкое сокращение объемов добываемой меди на 1 т. вызвано закреплением цен на медь.

Эти величины меньше, чем аналогичные показатели в уравнениях парной регрессии, так как изменения учитываются в других уравнениях, и сопровождается неявным изменением; поэтому в уравнениях парной регрессии изменение добычи меди больше, чем в уравнениях множественной регрессии.

Заметим также, что каждое уравнение регрессии определяет постоянную часть средней себестоимости, не зависящую от изменения факторов, включаемых в уравнение.

Так по уравнению  постоянная часть среднего объема, не изменяющаяся с увеличением цены на медь и экспорта меди, составляет 0,207 т.

Вывод: все линии регрессии несущественно различаются между собой, имеют в основе одну и ту же линию регрессии и, закономерность, выражаемая уравнением  , сохраняется на протяжении тринадцати лет. Учитывая это обстоятельство, объединяют материала различных лет для совместной статистической обработки.

Список использованной литературы

1.      <http://shporas.ru/statistika/9-variacionnyi-analiz.htm>

2.      <http://www.ereport.ru/articles/commod/copper.htm>

3.      <http://www.armada-climate.ru/news/view/?id=46>

4.      <http://www.aup.ru/books/m77/12_1.htm>

5.      <http://www.grandars.ru/student/statistika/korrelyacionno-regressionnyy-analiz.html>

6.      <http://www.grandars.ru/student/statistika/statistika.html>

7.      <http://www.nauchforum.ru/node/2094>

8.      <http://ecnmx.ru/article/a-3.html>

9.      <http://www.ngpedia.ru/id30929p1.html>

Похожие работы на - Оценка и прогноз добычи меди

 

Не нашли материал для своей работы?
Поможем написать уникальную работу
Без плагиата!
Без нейросетей!