Граф и его элементы
Содержание
Введение
. Граф и его элементы
.1 Основные понятия
.2 Ориентированный граф
.3 Неориентированный граф
.4 Смежность
.5 Маршруты и пути
. Постановка задачи коммивояжера и алгоритмы решения
.1 Задача коммивояжера
.2 Методы решения задачи коммивояжера
. Понятия транспортной сети
.1 Понятие увеличивающая дуга, цепь, разрез
. Алгоритм Флойда-Уоршелл
. Постановка задачи
. Решение задачи аналитическим методом
. Создание приложения для решения задачи
.1 Описание алгоритма
.3 Тестирование программы
.4 Руководство пользователя
Заключение
Список использованных источников
Приложение A. Расчет элементов для матриц
Введение
Теория графов представляет собой раздел математики, имеющий широкие
практические приложения. Теория графов - область дискретной математики,
особенностью которой является геометрический подход к изучению объектов. Во
многих случаях жизни в частности, в проектной практике нам приходится рисовать
на бумаге точки, изображающие города, отдельные объекты, железнодорожные узлы и
т.п., и соединять эти точки линиями или стрелками, обозначающими некоторые
связи или отношения. Такие схемы под различными названиями встречаются всюду,
электрические цепи, в физике - радиосхемы; в экономике - диаграммы организации
работ и т.д. В основном все схемы рассматриваются в абстрактной форме как
самостоятельные математические объекты, названные графами. Такой подход к
изучаемым объектам дает возможность теории графов иметь самые разнообразные и
многочисленные приложения, в том числе и в области градостроительного проектирования
и научных исследований. Первая работа по теории графов, принадлежавшая Эйлеру,
появилась в 1736 году и была связана c решением задачи о Кёнигсбергских мостах.
Однако, эта работа Эйлера была единственной в течение почти ста лет. Вначале
теория графов казалась незначительным разделом математики, так как имела дело
лишь c математическими развлечениями и головоломками, например, в схемотехнике,
топология межсоединений элементов на печатной плате или микросхеме, задача o
перевозках, задача o кругосветном путешествии и др. Развитие математики и ее
приложении послужило сильным толчком к развитию теории графов. Уже в середине Х
века графы использовались при построении эхем электрических цепей и
молекулярных схем. Впервые термин «граф» ввел в 1936г. венгерский математик
Денеш Кёниг. B его работе теория графов была представлена как отдельная
математическая дисциплина, находящая в настоящее время широкое применение в
автоматике, телемеханике, кибернетике, электронике, физике, экономике,
психологии, биологии и других областях науки.
1. Граф и его элементы
1.1 Основные
понятия
Граф - это множество точек, называемых вершинами, и множество линий,
называемых ребрами, которые соединяют пары вершин (или вершину саму с собой).
Геометрически граф можно представить как набор вершин (точек),
определенные пары которых соединены линиями.
Например: сеть дорог, соединяющая города 1, 2, 3, 4, 5 можно представить
в виде графа следующим образом: города обозначим точками (вершинами), а дороги
неориентированными линиями (рисунок 1). Неориентированные линии означают
наличие двустороннего движения между соответствующей парой городов. Пересечения
линией не считаются вершинами.
Рисунок 1 - Граф сети дорог
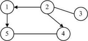
Рассмотрим другой пример, ориентированный граф (рисунок 2).
Рисунок 2 - Граф
Таким образом, математически граф можно рассматривать как множество
кружков и множество соединяющих их линий. Кружки называются вершинами графа,
линии со стрелками - дугами, без стрелок -ребрами.
В зависимости от наличия или отсутствия ориентации у пар элементов из множества
V различают графы:
а) ориентированные
<#"877790.files/image003.gif">
Рисунок 3 - Ориентированный граф
1.3
Неориентированный граф
В неориентированном графе отношения симметричны, то есть (u, v) = (v, u).
В неориентированном графе нет дуг, связи называют ребрами.
Рисунок 4 - Неориентированный граф
1.4 Смежность
задача коммивояжер транспортный приложение
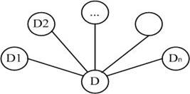
Пусть D1, D2- вершины, е = (D1, D2) - соединяющее их ребро (рисунок
5). Тогда вершина D1 и ребро е
инцидентны, вершина D2 и ребро е также
инцидентны.
Рисунок 5 - Смежные вершины
Две вершины называются смежными, если они соединены ребром/дугой (рисунок
5).
Два ребра называются смежными, если они соединены вершиной/узлом (рисунок
6).
Рисунок 6 - Смежные ребра
Смежные вершины - две вершины, инцидентные одному ребру.
Смежные ребра - два ребра, инцидентные одной вершине.
Множество вершин, смежных с вершиной V, называется множеством смежности
вершины V и обозначается Г+(V) (рисунок 7).
Рисунок 7 - Множество смежности
.5 Маршруты и
пути
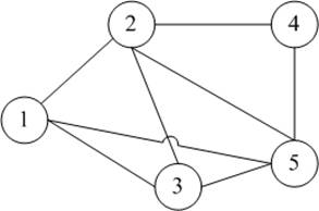
Одно
из наиболее простых свойств, которым может обладать граф это свойство быть
связным <#"877790.files/image008.gif">
Рисунок
8 Граф для иллюстрации маршрутов
Указанный
маршрут соединяет вершины Do и Dn, и его можно обозначить Do,D1,D2,...,Dn
(наличие ребер подразумевается). Эта последовательность иногда называется (Do-Dn) -
маршрутом. Маршрут замкнут, если D = Dn, и открыт в противном случае.
Цепь
- маршрут с различными ребрами.
Простая
цепь-маршрут с различными вершинами (а значит, и ребрами).
Цикл-
замкнутая цепь.
В
помеченном графе J на рисунке 8 D1 D2 D3 D4 -
маршрут, который не является цепью, а D1 D2 D4 D3 D2 -
цепь, где D1 D2 D4 D3 - простая цепь и D2 D4 D3 D2 -
простой цикл.
Обозначим
через Jn граф состоящий из одного простого цикла с n вершинами,
и через Pn простую цепь с n вершинами. Jn часто
называют треугольником.
2. Постановка задачи коммивояжера и алгоритмы решения
2.1 Задача
коммивояжера
Задача коммивояжера - задача математического программирования по
определению оптимального маршрута движения коммивояжера, цель которого состоит
в том, чтобы посетить все объекты, записанные в задании, за кратчайший срок и с
наименьшими затратами. В теории графов - это поиск пути, связывающего два или
более узла, с использованием критерия оптимальности.
Задача коммивояжера является типичной задачей оптимизации, которая широко
применяется при разработке программного обеспечения. Задача о коммивояжере
является упрощенной моделью для многих других задач дискретной оптимизации, а
также часто является подзадачей. В своей области (оптимизации дискретных задач)
она служит своеобразным катализатором, стимулирующим разработку наиболее
эффективных методов, алгоритмов и способов их машинной реализации.
Задача коммивояжера формулируется очень просто: на плоскости (в
пространстве) расположены N городов, заданы расстояния между каждой парой
городов. Требуется найти маршрут минимальной длины с посещением каждого города
ровно один раз и с возвращением в исходную точку.
В задаче коммивояжера целевой функцией, которую надо минимизировать,
является стоимость обхода.
Особенностью задачи о коммивояжере является необходимость дополнительно
учитывать расстояния от города до города, которые предполагаются известными.
Эти «расстояния» можно заменить на количество затраченного времени, стоимость
проезда или предполагать другие произвольные значения. В общем случае мы даже
не предполагаем, что стоимость проезда из I в J обязательно совпадает со
стоимостью обратного проезда из I в J. Данная задача соединяет в себе простоту
условия и сложность решения, обусловленную большими размерами поискового
пространства.
На графах задача формулируется следующим образом: требуется найти
гамильтонов цикл наименьшей стоимости во взвешенном полном графе. Т.е. выйдя из
стартовой вершины, посетить каждую вершину графа ровно один раз и вернуться в
начальную по кратчайшему пути.
.2 Методы решения задачи коммивояжера
Задачи коммивояжера решаются посредством различных методов, выведенных в
результате теоретических исследований. Все эффективные методы (сокращающие
полный перебор) - методы эвристические. В большинстве эвристических методов
находится не самый эффективный маршрут, а приближённое решение. Зачастую
востребованы так называемые any-time алгоритмы, то есть постепенно улучшающие
некоторое текущее приближенное решение.
Выделяют следующие группы методов решения задач коммивояжера, которые
относят к простейшим:
а) Полный перебор.
Полный перебор (или метод «грубой силы») - метод решения задачи путем
перебора всех возможных вариантов. Сложность полного перебора зависит от
количества всех возможных решений задачи. Если пространство решений очень
велико, то полный перебор может не дать результатов в течение нескольких лет
или даже столетий.
б) Случайный перебор.
Обычно выбор решения можно представить последовательностью выборов. Если
делать эти выборы с помощью какого-либо случайного механизма, то решение
находится очень быстро, так что можно находить решение многократно и запоминать
«рекорд», т. е. наилучшее из встретившихся решений. Этот наивный подход существенно
улучшается, когда удается учесть в случайном механизме перспективность тех или
иных выборов, т. е. комбинировать случайный поиск с эвристическим методом и
методом локального поиска. Такие методы применяются, например, при составлении
расписаний для Аэрофлота.
в) Жадные алгоритмы (метод ближайшего соседа, метод включения
ближайшего города, метод самого дешевого включения).
Жадный алгоритм - алгоритм нахождения наикратчайшего расстояния путём
выбора самого короткого, ещё не выбранного ребра, при условии, что оно не
образует цикла с уже выбранными рёбрами. «Жадным» этот алгоритм назван потому,
что на последних шагах приходится жестоко расплачиваться за жадность. При
решении задачи коммивояжера жадный алгоритм превратится в стратегию «иди в
ближайший (в который еще не входил) город». Жадный алгоритм, очевидно, бессилен
в этой задаче. Рассмотрим для примера сеть (рисунок 9), представляющую узкий
ромб. Коммивояжер стартует из города 1. Алгоритм «иди в ближайший город»
выведет его в город 2, затем 3, затем 4; на последнем шаге придется платить за
жадность, возвращаясь по длинной диагонали ромба. В результате получится не
кратчайший, а длиннейший тур.
Рисунок 9 - граф для примера
3. Понятия транспортной сети
Транспортной сетью называется конечный Связный орграф G(V, E) без петель,
каждой дуге которого поставлено в соответствие некоторое неотрицательное число
c(ei), называемое пропускной способностью дуги, и существует:
- ровно одна вершина Vo = S, в которую не заходит ни одна дуга, называемая источником
или началом сети;
- ровно одна вершина Vn=t, из которой не выходит ни одной дуги; эта вершина называется
стоком или концом сети.
Потоком сети называется неотрицательная функция f(1) такая, что f(e)
меньше или равно c(e). (Поток не может превышать пропускную способность дуги.)
Дуга e=(Vi,Vj) называется
насыщенной потоком f, если f(Vi, Vj) = c(Vi, Vj)=c(e) (Поток называется полным, если
содержит насыщенную дугу f(e)=c(e).)
3.1 Понятие увеличивающая дуга, цепь, разрез
Рассмотрим данные понятия на примере:
Разрезом L сети S(N, U) называется множество насыщенных дуг, отделяющих источник s
от стока t.
Пусть задана сеть S=(N, U) с множеством вершин N и множеством дуг U.
Определение: дуга u є U,
соединяющая вершины i є N, j є N сети
S, называется допустимой дугой, если
она обладает одним из следующих свойств:
а) направление дуги совпадает с направлением
потока, и значение потока по этой дуге меньше ее пропускной способности:
u=(i, j), j(u)<c(u) (1)
б) направление дуги противоположного направлению
потока, и величина потока отлична от нуля:
u=(j, i), j(u)>0 (2)
Дуги, обладающие первым свойством, называют
увеличивающими; дуги, обладающие вторым свойством, - уменьшающими.
Увеличивающей цепью, соединяющей вход и выход сети,
называется простая цепь, все дуги которой являются допустимыми.
Пример 1: построим увеличивающую цепь для сети S=(N, U), представленной
на рисунке 10.
Рисунок 10 - увеличивающая цепь
Над каждой дугой указана ее пропускная способность, в
скобках - поток по этой дуге.
Цепь (s, 1,
2, 4, t) является увеличивающей, так как все
дуги - допустимые:
- дуга (s, 1) - увеличивающая, так как она проходит по направлению
потока, и поток по ней меньше ее пропускной способности:
< 10;
- дуга (1,2) - также увеличивающая
дуга: 12 < 15;
- дуга (2,4) - уменьшающая, так как она
проходит против потока и поток по ней 3 > 0;
- дуга (4, t) - увеличивающая: 1 < 4.
4.
Алгоритм Флойда-Уоршелл
Алгоритм Флойда является одним из методов поиска кратчайших путей в
графе. В отличии от алгоритма Дейкстры, который позволяет при доведении до
конца построить ориентированное дерево кратчайших путей от некоторой вершины,
метод Флойда позволяет найти длины всех кратчайших путей в графе.
Прежде чем представлять алгоритмы, необходимо ввести некоторые
обозначения. Перенумеруем вершины исходного графа целыми числами от 1 до N.
Обозначим через di,jm длину кратчайшего пути из вершинм i в вершину j, который
в качестве промежуточных может содержать только первые m вершин графа. (Напомним,
что промежуточной вершиной пути является любая принадлежащая ему вершина, не
совпадающая с его начальной или конечной вершинами.) Если между вершинами i и j
не существует ни одного пути указанного типа, то условно будем считать, что
di,jm=∞. Из данного определения величин di,jm следует, что величина
di,j0, представляет длину кратчайшего пути из вершины i в вершину j, не
имеющего промежуточных вершин, т. е. длину кратчайшей дуги, соединяющей i с j
(если такие дуги присутствуют в графе). для любой вершины i положим di,im= 0.
Отметим далее, что величина di,jmпредставляет длину кратчайшего пути между
вершинами i и j.
Обозначим через Dm матрицу размера NxN, элемент (i, j) которой совпадает
с di,jm. Если в исходном графе нам известна длина каждой дуги, то мы можем
сформировать матрицу D0. Наша цель состоит в определении матрицы DN,
представляющей кратчайшие пути между всеми вершинами рассматриваемого графа.
В алгоритме Флойда в качестве исходной выступает матрица D0. Вначале из
этой матрицы вычисляется матрица D1. Затем по матрице D1 вычисляется матрицав
D2 и т. д. Процесс повторяется до тех пор, пока по матрице DN-1 не будет
вычислена матрица DN.
Рассмотрим основную идею, лежащую в основе алгоритма Флойда. Суть
алгоритма Флойда заключается в проверке того, не окажется ли путь из вершины i
в вершину j короче, если он будет проходить через некоторую промежуточную
вершину m. Предположим, что нам известны:
1) кратчайший путь из вершины i в вершину m, в котором в качестве
промежуточных допускается использование только первых (m - 1) вершин;
2) кратчайший путь из вершины m в вершину j, в котором в качестве
промежуточных допускается использование только первых (m - 1) вершин;
) кратчайший путь из вершины i в вершину j, в котором в качестве
промежуточных допускается использование только первых (m - 1) вершин.
Поскольку по предположению исходный граф не может содержать контуров
отрицательной длины, один из двух путей - путь, совпадающий с представленным в
пункте 3, или путь, являющийся объединением путей из пунктов 1 и 2 - должен
быть кратчайшим путем из вершины i в вершину j, в котором в качестве
промежуточных допускается использование только первых m вершин. Таким образом,
di,jm=min{ di,mm-1+ dm,jm-1; di,jm-1}, (3)
где di,jm - элемент матрицы Dm, di,jm-1 - элементы матрицы Dm-1 найденой
на предыдущем шаге алгоритма.
Из соотношения видно, что для вычисления элементов матрицы Dm необходимо
располагать лишь элементами матрицы Dm-1. Более того, соответствующие
вычисления могут быть проведены без обращения к исходному графу. Теперь мм в
состоянии датьформальное описание алгоритма Флойда для нахождения на графе
кратчайших путей между всеми парами вершин.
Алгоритм:
) перенумеровать вершины графа от 1 до N целыми числами,
определить матрицу D0, каждый элемент di,j которой есть длина кратчайшей дуги
между вершинами i и j. Если такой дуги нет, положить значение элемента равным ∞.
Кроме того, положить значения диагонального элемента di,iравным 0;
) для целого m, последовательно принимающего значения 1...N
определить по элементам матрицы Dm-1элементы Dm;
) алгоритм заканчивается получением матрицы всех кратчайших путей
DN, N - число вершин графа. Для определения по известным элементам матрицы Dm-1
элементов матрицы Dm в алгоритме Флойда применяется рекурсивное соотношение
указанное в формуле (3).
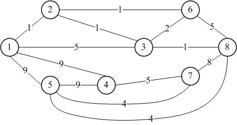
5. Постановка задачи
Найти путь наименьшей длины между вершинами 1 и 8.
Построить коммуникационную сеть минимальной длины, используя Алгоритм
Флойда-Уоршелл.
Рисунок 11 - Граф задачи с весом ребер
6. Решение
задачи аналитическим методом
Обозначим через di,jm длину кратчайшего пути из вершины i в вершину j,
который в качестве промежуточных может содержать только первые m вершин графа.
На основании исходных данных формируем матрицу длин кратчайших дуг D0
(Таблица 1), каждый элемент которой равен длине кратчайшей дуги между вершинами
i и j. Если такой дуги нет, положим значение элемента равным ∞.
Таблица 1- Матрица D0
|
D0=
|
|
1
|
2
|
3
|
4
|
5
|
6
|
7
|
8
|
|
1
|
0
|
1
|
5
|
9
|
9
|
∞
|
∞
|
∞
|
|
2
|
1
|
0
|
1
|
∞
|
∞
|
1
|
∞
|
∞
|
|
3
|
5
|
1
|
0
|
∞
|
∞
|
2
|
∞
|
1
|
|
4
|
9
|
∞
|
∞
|
0
|
9
|
∞
|
5
|
∞
|
|
5
|
9
|
∞
|
∞
|
9
|
0
|
∞
|
4
|
4
|
|
6
|
∞
|
1
|
2
|
∞
|
∞
|
0
|
∞
|
5
|
|
7
|
∞
|
∞
|
∞
|
5
|
4
|
∞
|
0
|
8
|
|
8
|
∞
|
∞
|
1
|
∞
|
4
|
5
|
8
|
0
|
Представим матрицу D1 (Таблица 2). включив в нее рассчитанные элементы из
приложения A.
Таблица 2- Матрица D1
|
D1=
|
|
1
|
2
|
3
|
4
|
5
|
6
|
7
|
8
|
|
1
|
0
|
1
|
5
|
9
|
9
|
∞
|
∞
|
∞
|
|
2
|
1
|
0
|
1
|
10
|
10
|
1
|
∞
|
∞
|
|
3
|
5
|
1
|
0
|
14
|
14
|
2
|
∞
|
1
|
|
4
|
9
|
10
|
14
|
0
|
9
|
∞
|
5
|
∞
|
|
5
|
9
|
10
|
14
|
9
|
0
|
∞
|
4
|
4
|
|
6
|
∞
|
1
|
2
|
∞
|
∞
|
0
|
∞
|
5
|
|
7
|
∞
|
∞
|
∞
|
5
|
4
|
∞
|
0
|
8
|
|
8
|
∞
|
∞
|
1
|
∞
|
4
|
5
|
8
|
0
|
Представим матрицу D2 (Таблица 3). включив в нее рассчитанные элементы из
приложения.
Таблица 3 - Матрица D2
|
D2=
|
|
1
|
2
|
3
|
4
|
5
|
6
|
7
|
8
|
|
1
|
0
|
1
|
2
|
9
|
9
|
2
|
∞
|
∞
|
|
2
|
1
|
0
|
1
|
10
|
10
|
1
|
∞
|
∞
|
|
3
|
2
|
1
|
0
|
11
|
11
|
2
|
∞
|
1
|
|
4
|
9
|
10
|
11
|
0
|
9
|
11
|
5
|
∞
|
|
5
|
9
|
10
|
11
|
9
|
0
|
11
|
4
|
4
|
2
|
1
|
2
|
11
|
11
|
0
|
∞
|
5
|
|
7
|
∞
|
∞
|
∞
|
5
|
4
|
∞
|
0
|
8
|
|
8
|
∞
|
∞
|
1
|
∞
|
4
|
5
|
8
|
0
|
Представим матрицу D3
(Таблица 4). включив в нее рассчитанные элементы из приложения.
Таблица 4 - Матрица D3
|
D3=
|
|
1
|
2
|
3
|
4
|
5
|
6
|
7
|
8
|
|
1
|
0
|
1
|
2
|
9
|
9
|
2
|
∞
|
3
|
|
2
|
1
|
0
|
1
|
10
|
10
|
1
|
∞
|
2
|
|
3
|
2
|
1
|
0
|
11
|
11
|
2
|
∞
|
1
|
|
4
|
9
|
10
|
11
|
0
|
9
|
11
|
5
|
12
|
|
5
|
9
|
10
|
11
|
9
|
0
|
11
|
4
|
4
|
|
6
|
2
|
1
|
2
|
11
|
11
|
0
|
∞
|
3
|
|
7
|
∞
|
∞
|
∞
|
5
|
4
|
∞
|
0
|
8
|
|
8
|
3
|
2
|
1
|
12
|
4
|
3
|
8
|
0
|
Представим матрицу D4
(Таблица 5). включив в нее рассчитанные элементы из приложения.
Таблица 5 - Матрица D4
|
D4=
|
|
1
|
2
|
3
|
4
|
5
|
6
|
7
|
8
|
|
1
|
0
|
1
|
2
|
9
|
9
|
2
|
14
|
3
|
|
2
|
1
|
0
|
1
|
10
|
10
|
1
|
15
|
2
|
|
3
|
2
|
1
|
0
|
11
|
11
|
2
|
16
|
1
|
|
4
|
9
|
10
|
11
|
0
|
9
|
11
|
5
|
12
|
|
5
|
9
|
10
|
11
|
9
|
0
|
11
|
4
|
4
|
|
6
|
2
|
1
|
2
|
11
|
11
|
0
|
16
|
3
|
|
7
|
14
|
15
|
16
|
5
|
4
|
16
|
0
|
8
|
|
8
|
3
|
2
|
1
|
12
|
4
|
3
|
8
|
0
|
Представим матрицу D5
(Таблица 6). включив в нее рассчитанные элементы из приложения.
Таблица 6 - Матрица D5
|
D5=
|
|
1
|
2
|
3
|
4
|
5
|
6
|
7
|
8
|
|
1
|
0
|
1
|
2
|
9
|
9
|
2
|
13
|
3
|
|
2
|
1
|
0
|
1
|
10
|
10
|
1
|
14
|
2
|
|
3
|
2
|
1
|
0
|
11
|
11
|
2
|
15
|
1
|
|
4
|
9
|
10
|
11
|
0
|
9
|
11
|
5
|
12
|
|
5
|
9
|
10
|
11
|
9
|
0
|
11
|
4
|
4
|
|
6
|
2
|
1
|
2
|
11
|
11
|
0
|
15
|
3
|
|
7
|
13
|
14
|
15
|
5
|
4
|
15
|
0
|
8
|
|
8
|
3
|
2
|
1
|
12
|
4
|
3
|
8
|
0
|
Представим матрицу D6.
(Таблица 7). включив в нее рассчитанные элементы из приложения.
Таблица 7 - Матрица D6
|
D6=
|
|
1
|
2
|
3
|
4
|
5
|
6
|
7
|
8
|
|
1
|
0
|
1
|
2
|
9
|
9
|
2
|
13
|
3
|
|
2
|
1
|
0
|
1
|
10
|
10
|
1
|
14
|
2
|
|
3
|
2
|
1
|
0
|
11
|
11
|
2
|
15
|
1
|
|
4
|
9
|
10
|
11
|
0
|
9
|
11
|
5
|
12
|
|
5
|
9
|
10
|
11
|
9
|
0
|
11
|
4
|
4
|
|
6
|
2
|
1
|
2
|
11
|
11
|
0
|
15
|
3
|
|
7
|
13
|
14
|
15
|
5
|
4
|
15
|
0
|
8
|
|
8
|
2
|
1
|
12
|
4
|
3
|
8
|
0
|
Представим матрицу D7.
(Таблица 8). включив в нее рассчитанные элементы из приложения.
Таблица 8 - Матрица D7
|
D7=
|
|
1
|
2
|
3
|
4
|
5
|
6
|
7
|
8
|
|
1
|
0
|
1
|
2
|
9
|
9
|
2
|
13
|
3
|
|
2
|
1
|
0
|
1
|
10
|
10
|
1
|
14
|
2
|
|
3
|
2
|
1
|
0
|
11
|
11
|
2
|
15
|
1
|
|
4
|
9
|
10
|
11
|
0
|
9
|
11
|
5
|
12
|
|
5
|
9
|
10
|
11
|
9
|
0
|
11
|
4
|
4
|
|
6
|
2
|
1
|
2
|
11
|
11
|
0
|
15
|
3
|
|
7
|
13
|
14
|
15
|
5
|
4
|
15
|
0
|
8
|
|
8
|
3
|
2
|
1
|
12
|
4
|
3
|
8
|
0
|
Представим матрицу D8, включив в нее рассчитанные элементы.
Таблица 9 - Матрица D8
|
D8=
|
|
1
|
2
|
3
|
4
|
5
|
6
|
7
|
8
|
|
1
|
0
|
1
|
2
|
9
|
7
|
2
|
11
|
3
|
|
2
|
1
|
0
|
1
|
10
|
6
|
1
|
10
|
2
|
|
3
|
2
|
1
|
0
|
11
|
5
|
2
|
9
|
1
|
|
4
|
9
|
10
|
11
|
0
|
9
|
11
|
5
|
12
|
|
5
|
7
|
6
|
5
|
9
|
0
|
7
|
4
|
4
|
|
6
|
2
|
1
|
2
|
11
|
7
|
0
|
11
|
3
|
|
7
|
11
|
10
|
9
|
5
|
4
|
11
|
0
|
8
|
|
8
|
3
|
2
|
1
|
12
|
4
|
3
|
8
|
0
|
В результате, нами получена матрица длин кратчайших путей между каждой
парой вершин графа. Ниже представлена таблица путей. Каждый элемент Cij
таблицы, это путь из вершины i в вершину j:
Таблица 10- Таблица путей
|
i/j
|
1
|
2
|
3
|
4
|
5
|
6
|
7
|
8
|
|
1
|
-
|
d1-2=1-2
|
d1-3=1-2-3
|
d1-4=1-4
|
d1-5=1-2-3-8-5
|
d1-6=1-2-6
|
d1-7=1-2-3-8-7
|
d1-8=1-2-3-8
|
|
2
|
d2-1=2-1
|
-
|
d2-3=2-3
|
d2-4=2-1-4
|
d2-5=2-3-8-5
|
d2-6=2-6
|
d2-7=2-3-8-7
|
d2-8=2-3-8
|
|
3
|
d3-1=3-2-1
|
d3-2=3-2
|
-
|
d3-4=3-2-1-4
|
d3-5=3-8-5
|
d3-6=3-6
|
d3-7=3-8-7
|
d3-8=3-8
|
|
4
|
d4-1=4-1
|
d4-2=4-1-2
|
d4-3=4-1-2-3
|
-
|
d4-5=4-5
|
d4-6=4-1-2-6
|
d4-7=4-7
|
d4-8=4-1-2-3-8
|
|
5
|
d5-1=5-8-3-2-1
|
d5-2=5-8-3-2
|
d5-3=5-8-3
|
d5-4=5-4
|
-
|
d5-6=5-8-3-6
|
d5-7=5-7
|
d5-8=5-8
|
|
6
|
d6-1=6-2-1
|
d6-2=6-2
|
d6-3=6-3
|
d6-4=6-2-1-4
|
d6-5=6-3-8-5
|
-
|
d6-7=6-3-8-7
|
d6-8=6-3-8
|
|
7
|
d7-1=7-8-3-2-1
|
d7-2=7-8-3-2
|
d7-3=7-8-3
|
d7-4=7-4
|
d7-5=7-5
|
d7-6=7-8-3-6
|
-
|
d7-8=7-8
|
|
8
|
d8-1=8-3-2-1
|
d8-2=8-3-2
|
d8-3=8-3
|
d8-4=8-3-2-1-4
|
d8-5=8-5
|
d8-6=8-3-6
|
d8-7=8-7
|
-
|
В результате следуя из таблицы 10 и таблицы 9, кратчайший путь из вершины
1 в вершину 8, проходчит через вершины 1-2-3-8 и имеет вес равный 3.
. Создание
приложения для решения задачи
7.1 Описание
алгоритма
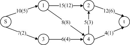
Ниже приведен алгоритм (рисунок 3) работы программы в упрощенном виде,
для лучшего восприятия хода работы программы.
Рисунок 12 - Алгоритм работы программы
7.2 Разработка программы
Для программной реализации алгоритма Флойда был использован язык
программирования Delphi 7. Для
оформления формы были использованы такие компоненты как: button (кнопка возврата условия, а так же
для нахождения пути), StringGrid (отвечает за количество вершин), edit (для установки из какой в какую вершину будем искать
кратчайший путь ), label
(комментарий), LabelPath (вывод
ответа), mainmenu (выпадающее меню).
В программном коде, было использовано всего две функции для обращения к
алгоритму Флойда и восстанавливленния самого кратчайшего пути между любыми
двумя заданными вершинами.
Остальной код программы состоит из процедур, отвечающих за функции такие
как:
- чтение
матрицы из Edit - procedure TForm1.InputMatrix;
- нахождение перспективной пары из множества конкурирующих пар
- procedure TForm1.Konkurir;
- привидение (вычитание минимума элементов) матрицы, нахождение
нижней оценки (границы) - procedure TForm1.Etap;
- вычеркивание из матрицы строки и столбца, определение новой
диагонали - procedure TForm1.DelStrStolb;
- нахождение оптимального пути - procedure TForm1.OpredilPuti;
- проверка на замкнутость пути - procedure ProverkaIskl;
- процедура, описывающая нажатие на кнопку "найти" - procedure TForm3.Button2Click;
- увеличение/уменьшение количествава вершин указанных в Edit1 - procedure TForm3.Button1Click;
- несколько простейших процедур, описывающих выпадающее меню.
В практически всех процедурах используются циклы с параметрами, для
перебора всех имеющихся строк и столбцов.
7.3
Тестирование программы
Введем исходные данные в матрицу StrinGrid (рисунок 13).
Рисунок 13 - Ввод исходных данных
Вводим значения в edit’ы,
от какой и до какой вершины желаем найти кратчайший путь (рисунок 14).
Рисунок 14 - Ввод вершин
Нажимаем кнопку «Найти» и смотрим результат (рисунок 15).
Рисунок 15 - Результат работы
Длина пути, найденное программным способом, совпадает с аналитическим.
Можно сделать вывод, что и программное и аналитическое решение является верным.
7.4
Руководство пользователя
Запустив приложение Floid.exe, откроется окно позволяющее решать
задачи методом алгоритма Флойда-Уоршелла
Все что вам требуется - это:
- ввести количество вершин;
- ввести вершины между которыми желаем найти кратчайший путь;
- нажать кнопку Найти;
- посмотреть результат работы программы.
При необходимости можно очистить форму при помощи кнопки «Очистить».
В представленной программе можно ввести данные задачи двумя способами:
вручную, либо программно, нажав на кнопку «Задача».
Заключение
Теория графов находит широкое применение в различных областях науки и
техники, будь то физика, химия, математика и пр.
В процессе выполнения данной курсовой работы, цель была достигнута,
поставленные задачи выполнены.
В начале курсовой работы была рассмотрена теория графов в общем, изучены
понятия путей и маршрутов, постановку задач коммивояжера, понятие транспортной
сети и алгоритм Флойда-Уоршелла. Данная мне тема «Задачи на графах» может найти
свое применение в программах для транспортных и коммуникационных сетей, таких
как коммутация информационного пакета в Internet, где вершины - роутеры, а ребра это
связи между роутерами. Таким образом, чем короче будет путь, тем быстрее пакет
достигнет пункта назначения и меньше будут информационные потери.
В данной курсовой работе реализованы поставленные задачи с помощью языка
программирования Delphi, был
разработан программный продукт «Алгоритм Флойда» для нахождения кратчайших
путей графа между его вершинами. Преимуществом данной программы является то,
что в ней реализованы принципы динамического программирования, то есть,
пользователь сам определяет количество вершин графа, количество ребер (дуг) и
их вес. В программе использован алгоритм Флойда-Уоршелла, который помогает
последовательно вычислить все значения длин кратчайших путей между вершинами.
Список
использованных источников
1 Бурков,
В.Н., Заложнев, А.Ю., Новиков, Д.А. Теория графов в управлении организационными
системами. - Москва: Синтег, 2001.
Новиков,
Ф.А. Дискретная математика для программистов. - Санкт-Петербург: Питер, 2002.
Новиков,
Ф.А. Дискретная математика: Учебник для вузов. Стандарт третьего поколения.
Санкт-Петербург: Питер, 2011.
Прилуцкий,
М.Х. Математические основы информатики. - Нижний Новгород, 2000.
Партыка,
Т.Л., Попов, И.И. Математические методы- Москва, 2005.