Основы экономического обоснования управленческого решения

  • Вид работы:
    Курсовая работа (т)
  • Предмет:
    Эктеория
  • Язык:
    Русский
    ,
    Формат файла:
    MS Word
    148,69 Кб
  • Опубликовано:
    2015-10-29
Вы можете узнать стоимость помощи в написании студенческой работы.
Помощь в написании работы, которую точно примут!

Основы экономического обоснования управленческого решения

 

 

 

 

 

 

 

 

 

 

 

 

 

 

Основы экономического обоснования управленческого решения



СОДЕРЖАНИЕ

ВВЕДЕНИЕ

СУЩНОСТЬ УПРАВЛЕНЧЕСКОГО РЕШЕНИЯ, ЭТАПЫ РАЗРАБОТКИ И РЕАЛИЗАЦИИ УПРАВЛЕНЧЕСКОГО РЕШЕНИЯ

.1 Сущность управленческого решения

.2 Этапы разработки и реализации управленческого решения

.3 Методы оценки последствий реализаций управленческих решений

ОЦЕНКА ЭКОНОМИЧЕСКОГО ОБОСНОВАНИЯ УПРАВЛЕНЧЕСКИХ РЕШЕНИЙ ООО «ШАТЕР ДЕВЕЛОПМЕНТ»

.1 Краткая характеристика ООО «Шатер Девелопмент»

.2 Анализ деятельности ООО «Шатер Девелопмент»

.3 Расчет экономического обоснования принятия управленческого решения на ООО «Шатер Девелопмент»

ЗАКЛЮЧЕНИЕ

СПИСОК ИСПОЛЬЗОВАННОЙ ЛИТЕРАТУРЫ

ПРИЛОЖЕНИЯ

ВВЕДЕНИЕ


Актуальность темы управленческих решений обусловливается как тенденциями развития отечественной и зарубежной теории социального управления, так и необходимостью включения зарубежного опыта в отечественную практику управления и его адаптации применительно к условиям модернизирующегося российского общества. В связи с этим можно сформулировать следующие положения, характеризующие актуальность исследования:

         особенности современного этапа развития российского общества диктуют необходимость разработки новых направлений развития корпоративной культуры, которая в свою очередь влияет на разработку эффективных, высокотехнологичных бизнес-процессов. Поэтому социальные технологии разработки и принятия управленческих решений (как индивидуальных, так и групповых) обладают первостепенным значением, поскольку управлять - это и означает принимать конструктивные решения;

         в современной России наблюдается сложная ситуация, связанная с принятием управленческих решений - это отсутствие традиций и общепринятых методов и технологий обсуждения позиций и точек зрения, некомпетентность управленцев, принимающих решения, а также трудности практической реализации коммуникативных технологий.

Практическая реализация этих положений требует исследования феномена экономического обоснования управленческих решений.

Целью работы выступает изучение процесса экономического обоснования управленческих решений. Исходя из темы и цели работы, возникают следующие задачи:

         сформулировать сущность управленческого решения;

         изучить этапы разработки и реализации управленческого решения;

         рассмотреть методы оценки последствий реализации управленческих решений;

         рассмотреть практическое применение экономического обоснования управленческих решений.

Объектом исследования является процесс принятия решений в системе управления.

Предметом работы является экономическое обоснование управленческих решений.

1. СУЩНОСТЬ УПРАВЛЕНЧЕСКОГО РЕШЕНИЯ, ЭТАПЫ РАЗРАБОТКИ И РЕАЛИЗАЦИИ УПРАВЛЕНЧЕСКОГО РЕШЕНИЯ


1.1 Сущность управленческого решения


Эффективное управление предприятием - залог успешности бизнеса. Предприятие представляет собой сложнейший механизм, управление которым требует учета огромного количества факторов, поэтому от того, как оно построено и каким образом принимаются управленческие решения, зависят как текущие результаты работы предприятия, так и его развитие.

Сущность управления на протяжении десятилетий остается неизменной. Так, определяя понятие «управление», классик менеджмента А. Файоль приводит шесть его функций:

) технические операции (производство, обработка);

) коммерческие операции (закупка, продажа, обмен);

) финансовые операции (распоряжение средствами);

) страховые операции (страхование, охрана имущества и лиц);

) учетные операции (бухгалтерия, учет, статистика и др.);

) административные операции (предвидение, организация, распорядительство, координация и контроль).

Необходимо отметить, что подходы к пониманию сущности управления разнятся в зависимости от направлений науки, в рамках которых оно анализируется. По мнению Кивалова С. В., управлять - это означает предвидеть (учитывать будущее и разрабатывать программу действий), организовывать (создавать двойной - материальный и социальный - организм учреждения), распоряжаться (принуждать коллектив работать надлежащим образом), координировать (взаимосвязывать, объединять, гармонизировать все действия и усилия) и контролировать (обеспечивать, чтобы все происходило в соответствии с установленными правилами).

Важный вклад в теорию управления внесла наука кибернетика, предметом которой стали процессы управления в сложных динамических системах. Кибернетика определяет управление как «целенаправленное влияние субъекта управления - управляющей системы - на объект управления - сложную динамическую систему».

В настоящее время ученые по разному трактуют сущность понятия «управление». Так, Карданская Н. А. дает следующее определение этого понятия: «Под процессом управления будем понимать целенаправленное воздействие субъекта управления (управляемой подсистемы) на объект управления (управляемую подсистему), что обеспечивает сохранение, функционирование и развитие системы». По мнению Лопатникова Л. И.: «Процесс управления - совокупность действий субъекта управления, который осуществляет управление экономической системой и соответствующим поведение субъекта управления». Кизим Н. А. трактует понятие управления, как «...совокупность последовательных действий управляющей подсистемы, направленных на управляемую подсистему для достижения целей крупномасштабной экономико-производственной системы».

Существуют и другие определения сущ-ности понятия «управление». В табл. 1.1 приведены основные из них.

Таблица 1.1

Существующие подходы к определению понятия «управление»

Автор

Содержание

Карданская Н. А.

Целенаправленное воздействие субъекта управления (управляемой подсистемы) на объект управления (управляемую подсистему), что обеспечивает сохранение, функционирование и развитие системы

Лопатников Л. И.

Совокупность действий субъекта управления, который осуществляет управление экономической системой и соответствующим поведение субъекта управления

Кизим Н. А.

Совокупность последовательных действий управляющей подсистемы, направленных на управляемую подсистему для достижения целей крупномасштабной экономико-производственной системы

Шинкаренко В. Г., Бондаренко А. С.

Процесс функционирования системы органов и работников управления, направленный на достижение поставленных целей путем реализации определенных функций с использованием соответствующих методов и принципов управления

М. Мескон, М. Альберт, Ф. Хедоури

Процесс планирования, организации, мотивации и контроля, необходимый для того, чтобы сформулировать и достичь цели организации

Хохлачев Е. Н.

Формирование и реализация воздействий, выбранных из множества возможных на основании определенной информации, обеспечивающих желаемое движение (функционирование, поведение) объекта, приводящее к поставленной цели

Бочаров М. К.

Определение цели и факт (результат) ее достижения с помощью необходимых и достаточных способов, средств и воздействий

Волков В. Н., Воронков В. А., Денисов А. А.

Процесс организации такого целенаправленного воздействия на некоторую часть среды, называемую объектом управления, в результате которого удовлетворяются потребности субъекта, взаимодействующего с этим объектом


На основе теории контент-анализа, а также данных табл. 1.1 сущность понятия «управление» предлагается сформулировать как совокупность последовательных воздействий субъекта управления на объект управления для достижения последним цели и обеспечения функционирования и развития предприятия.

Следовательно, можно сформулировать следующее определение процесса принятия управленческого решения - это целеполагающее действие, ориентированное на минимизацию ситуации неопределенности и целедостижения в результате взаимодействия субъектов, выполняющих определенные социальные роли. Данное взаимодействие рассматривается как трансакция между индивидами и деятельность, ограниченная внутриорганизационными нормами и правилами.

В процессе управления организациями принимается огромное количество самых разнообразных решений, обладающих различными характеристиками. Тем не менее, существуют некоторые общие признаки, позволяющие это множество определенным образом классифицировать.

Одна из возможных классификаций представлена в табл.1.2.

Таблица 1.2

Классификация управленческих решений

Классификационный признак

Группы управленческих решений

Проблемы

Рутинные

Новаторские

Значимость цели

Стратегические

Тактические

Сфера воздействия

Глобальные

Локальные

Срок реализации

Долгосрочные

Краткосрочные

Прогнозируемые последствия

Корректируемые

Некорректируемые

Характер информации

Детерминированные

Вероятностные

Метод разработки

Формализованные

Неформализованные

Количество критериев выбора

Однокритериальные

Многокритериальные

Форма принятия

Единоличные

Коллегиальные

Способ фиксации

Документированные

Недокументированные


1.2 Этапы разработки и реализации управленческого решения


С позиции структурного подхода управленческий цикл содержит в себе следующие стадии:

) принятие управленческого решения;

) реализация управленческого решения;

) контроль за реализацией принятого решения.

С позиции процессного подхода управленческий цикл состоит из следующих фаз:

) целеполагания;

) определение ситуации;

) выявление проблемы;

) выбор и принятие решения;

)        организация выполнения решения;

) распоряжение по реализации решения;

) учет результатов выполнения решения;

) контроль за реализацией решения.

С позиции функционального подхода управленческий цикл содержит в себе следующие функции:

) анализ;

) планирование;

) организация;

) регулирование;

) координация;

)учет;

) контроль.

все три подхода к характеристике управленческого цикла взаимосвязаны между собой.

Анализ работ целого ряда ученых показал, что данная схема взаимосвязи трех подходов к характеристике управленческой деятельности предприятий должна иметь следующий вид (табл. 1.3).

Таблица 1.3

Предлагаемая схема взаимосвязи трех подходов к характеристике управленческой деятельности на предприятии

Структурный подход (стадии управленческого цикла)

Процессный подход (фазы управленческого цикла)

Функциональный подход (функции управленческого цикла)

1. Принятие управленческого решения

1. Выбор цели 2. Оценка ситуации 3.Выявление  проблемы 3. Выбор и принятие решения

1. Целеполагание 2. Анализ и прогнозирование 3. Диагностика 4. Планирование

2.Реализация управленческого решения

Б.Распоряжения по выполнению решения 6. Выполнение решения 7. Учет и контроль за результатами по выполнению решения

5. Организация 6. Регулирование и координация 7. Учет и контроль


Как видно из табл. 1.3, управленческая деятельность состоит из 2 этапов: принятие и реализация управленческого решения. Каждый из этих этапов предполагает свою технологию проведения. Ученые при этом предлагают раз-личные алгоритмы ее осуществления. Так, Ивасенко А. Г., Никонова Я. И., Плотникова Е. Н. характеризуют последовательность работ при принятии управленческого решения следующим образом (табл. 1.4).

Таблица 1.4

Последовательность принятия управленческого решения различными школами

Американская

Немецкая

Японская

Российская

Диагноз проблем

Постановка проблемы (идентификация)

Постановка задачи

Постановка проблемы

Формулировка критериев и ограничений

Поиск (добывание) информации

Предложение альтернативных решений

Разработка вариантов решений

Выявление альтернатив

Оценка

Выбор наилучшего решения

Выбор решения

Оценка альтернатив

Принятие решения



Окончательный выбор





Авторы предлагают следующие основные этапы разработки управленческих решений (рис. 1.1).

Рис. 1.1 Основные этапы разработки управленческих решений

Джонсон, Джерри, Шоула, Кивен, Уиттингтон, Ричара фазы процесса принятия управленческих решений рассматривают следующим образом (рис. 1.2).

Рис. 1.2 Фазы процесса принятия управленческих решений

Основываясь на проведенном выше исследовании и работах целого ряда ученых в зависимости от поставленной задачи предлагается следующая модель принятия управленческого решения на предприятии (табл. 1.5).

Таблица 1.5

Модель принятия управленческого решения на предприятии в зависимости от поставленной задачи(подхода)

Целевой подход

Ситуационный подход

Проблемный подход

Выбор цели

Оценка ситуации

Выявление проблемы

Оценка ситуации

Выявление проблемы

Оценка ситуации

Выявление проблемы

Выбор цели

Выбор цели

Выбор и принятие решения

Выбор и принятие решения

Выбор и принятие решения


Каждый из приведенных этапов в свою очередь имеет свой инструментарий, который используется при его проведении. Наиболее широко применяемым является следующий инструментарий (табл. 1.6).

Таблица 1.6

Инструментарий, используемый при принятии управленческого решения на предприятии

Этап принятия управленческого решения

Инструментарий

Выбор цели

Декомпозиция дерева целей Матрица ценностей и целей Метод Дельфи Метод мозговой атаки

Оценка ситуации

Матричный подход Метод сравнения Метод прогнозирования Pest-анализ

Swoot-анализ Метод Дельфи


Выявление проблемы

Pest-анализ Swoot-анализ Метод Дельфи

Выбор и принятия решения

Матричный подход Математическое моделирование


Представленный в табл. 1.6 инструментарий позволяет принимать эффективные управленческие решения на различных этапах их формирования.

 

1.3 Методы оценки последствий реализаций управленческих решений

управленческий решение реализация оценка

Эффект (лат. effectus - исполнение, действие), результат, следствие каких- либо причин, действий. Эффектом системы управления в общем случае является суммарная ожидаемая величина годового роста благосостояния организации, которая достигается усилиями ее менеджеров.

Эффективность менеджмента - это сотрудничество людей в последовательном движении к общей цели, ценность которой превышает затраты ресурсов, энергии или усилий. Цели ранее были определены как такое положение дел, которого бы организация желала достичь в будущем.

«Эффективность» характерна не для всякого взаимодействия, а лишь для целенаправленного; поэтому данная категория носит управленческий характер и отражает, прежде всего, степень достижения поставленных целей. В отличие от эффекта эффективность - это всегда определенное соотношение (результата с целями или результата с затратами на его получение), т.е. величина относительная. Эффективность менеджмента в зарубежной литературе принято выражать двумя ключевыми терминами: Effectiveness и Efficiency. Effectiveness (эффективность) обозначает степень достижения целей организации, стратегических или оперативных; успешность деятельности, взаимоотношения с внешней средой и др. Под efficiency понимают экономичность, которая является внутренним параметром функционирования организации. Например, соотношение между объемом выпуска продукции и ресурсами, необходимыми для этого выпуска. Чем меньше потребление ресурсов для выпуска единицы продукции, тем экономичнее организация.

Целевой аспект эффективности очень трудно отделить от экономичности, так как формирование двух аспектов эффективности менеджмента в равной степени определяется в организациях следующими обстоятельствами: качеством целеполагания; адекватностью принятых стратегий поставленным целям; уровнем мотивации персонала к достижению целей; экономичностью используемых ресурсов; процессами взаимодействия персонала на разных уровнях иерархии; креативностью и компетенциями топ-менеджеров, их способностями к обучению и управлению знаниями и др.

Таким образом, главная цель эффективного менеджмента - обеспечение формирования и функционирования такого состояния управляемой системы (организации), которая в максимальной степени, на сколько это возможно, соответствует требованиям внешней среды организации и наиболее эффективному использованию ресурсов и возможностей внутренней среды организации.

Управленческие решения как результат управленческой деятельности ме-еджеров могут оцениваться простыми и сложными показателями. К первым относятся результаты, время, затраты ресурсов. Сложные показатели строятся для более подробной оценки, к ним относятся эффективность, интенсивность, производительность.

К результатам управленческих решений относятся: качество решения, своевременность, степень соответствия целям, критериям как индикаторам успешности, требованиям заказчика, а также устойчивость, точность, внутренняя непротиворечивость (согласованность), возможность развития, степень усовершенствования процедуры принятия решения и т.д.

К затратам управленческих решений относятся: информационные затраты, временные затраты, технические затраты, трудовые ресурсы, прочие затраты.

Эффективность представляет соизмерение ресурсов (затрат) на достижение результатов. Основными факторами эффективности решений являются три группы факторов: использование ресурсов, фактор времени и целенаправленность управления.

Первый фактор характеризует структуру, качество ресурсов, их экономию в процессах управления и возможность пополнения и накопления.

Второй фактор отражает своевременность решений, экономию времени, использование новых технологий и потенциал персонала, способного решать проблемы достаточно оперативно и профессионально.

Третий фактор отражает реальность и значительность цели, в соответствии с которой и рассматривается результат деятельности менеджера, его стратегия, учет рыночных процессов экономического развития. Цели и потребности системы управления определяют: ориентированность решения на пользователя, наглядность решения для пользователя, возможность многократного повторного использования.

Интенсивность представляет собой соизмерение усилий и времени, а производительность - соизмерение результата и времени.

Эффективность деятельности организации - это ее свойство, связанное со способностью организации в рамках нормативной системы общественных ценностей формулировать и достигать цели в соответствии с предъявляемыми потребностями в виде результатов, соотнесенных с затратами, путем использования соответствующих средств и с учетом факторов-условий ее функционирования.

Сравнение фактической отдачи осуществляемого решения с ожидаемой предполагает эффективность или результативность решения. Необходимость такого сравнения обуславливается тем, что оценка эффективности данного решения является одним из методов определения степени устойчивости внутренней и внешней среды при выработке решения, проявляемой как ответная реакция среды при выработке решения на ее изменения. Это позволяет не только удостовериться в выполнении решения, но и в случае значительных расхождений между реальной отдачей и ожидаемой принять необходимые действия по корректировке и уточнению процесса решения.

При выборе альтернатив необходимо добиваться того, чтобы окончательная формулировка решения отражала механизм измерения его эффективности. В случае невозможности определить и измерить эффективность решения, рекомендуется избегать его утверждения, ибо в этом случае, видимо, неверно определены его переменные в процессе анализа проблемы. Решение эффективно, если оно способствует приближению к поставленной цели. В случае же многоцелевой деятельности, эффективным можно считать решение, при котором достигается положительный результат и оно превалирует над некоторыми второстепенными целями.

Таким образом, эффективность управленческого решения - это ресурсная результативность, полученная по итогам подготовки или реализации управленческого решения в организации. В качестве ресурсов могут быть финансы, материалы, здоровье персонала, организация труда и др. Различают организационную, экономическую, психологическую, правовую, этическую, технологическую и социальную эффективность управленческих решений.

Измерение и оценка эффективности управленческих решений необходимы для всех организаций, так как позволяют активно воздействовать на их текущее состояние и тенденции развития, устанавливать размеры и направления изменений, выявлять наиболее важные факторы роста, отслеживать и корректировать неуправляемые процессы, принимать решения об изменениях и прогнозировать их воздействие на ключевые параметры, а также планировать дальнейшее совершенствование организации и ее подразделений.

Существует несколько подходов к измерению эффективности управленческих решений организации, это традиционные подходы, включающие целевой, ресурсный, подход внутренних процессов и современные подходы измерения эффективности управленческих решений на основе концепции ценностно - ориентированного управления (Value Based Management - VBM).

Целевой подход (goal approach) к измерению эффективности менеджмента привязан к выходным данным, т.к. оценивается насколько организация достигает своих целей в смысле желаемого состояния на выходе.

Целевой подход к измерению эффективности состоит в выявлении целей организации и оценке того, насколько хорошо организация достигает этих целей. В целевом подходе измеряется степень приближения организации к этим целям.

Показатели измерения эффективности строятся в основном на основе оперативных целей, которые оказываются более продуктивными (отражают то, чем организация реально занимается), чем показатели на основе долгосрочных целей, т.к. они довольно абстрактны и трудно измеряемы.

На практике организации имеют множество целей (прибыльность (рентабельность); рост; доля рынка; социальная ответственность; благосостояние работников; качество товаров и услуг; научные исследования и развитие; экономичность; финансовая стабильность; экологичность и др.), которые не могут быть легко достигнуты одновременно, поэтому они образуют совокупность результатов, желательных для организации.

Выбор и обоснование альтернатив выполняется с использованием методов сравнения различных вариантов, где альтернативы сравниваются по затратам, рискам и вероятности достижения цели (успеха).

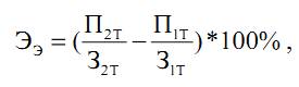
Данный метод позволяет вместо рыночной стоимости УР использовать рыночную стоимость произведенной продукции. Так, при реализации двух вариантов УР относительная экономическая эффективность для первого решения определяется:


где П1т - прибыль, полученная за реализацию товара при 1-м варианте УР; П2т - прибыль, полученная за реализацию товара при 2-м варианте УР; З1Т - затраты на производство товара при 1-м варианте УР; З2Т - затраты на производство товара при 2-м варианте УР.

Целевой подход часто используется в коммерческих организациях, так как в них выходные цели обычно поддаются измерению. Коммерческие фирмы обычно оценивают свою работу с позиций прибыльности, роста, занимаемой доли рынка или дохода от инвестиций.

Ресурсный подход (resource-based approach): эффективность определяется путем наблюдения за началом процесса управления и оценки способности организации эффективно добывать ресурсы, необходимые для успешной деятельности.

Таким образом, при ресурсном подходе рассматривается и оценивается «вход» системы управления организацией, т.к. предполагается, что для того, чтобы быть эффективной, организация должна уметь добывать ценные ресурсы и управлять ими. С точки зрения ресурсного подхода, эффективность организации определяется как ее способность, абсолютная или относительная, добывать редкие и ценные ресурсы, успешно интегрировать их и управлять ими.

В широком смысле показатели эффективности, согласно ресурсному подходу, включают в себя следующие характеристики:

•        покупательская позиция - способность организации добывать из окружающей среды редкие и ценные ресурсы, включая финансовые ресурсы, сырье, человеческие ресурсы, знания и технологии;

•        способность тех, кто в организации принимает решения, видеть и правильно интерпретировать свойства окружающей среды;

•        способность менеджеров использовать осязаемые (например, запасы сырья, люди) и неосязаемые (например, знания, корпоративная культура) ресурсы в повседневной деятельности организации для достижения наилучших результатов;

•        способность организации реагировать на изменения в окружающей среде.

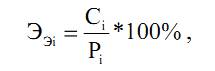
Ресурсный подход определения Ээ по непосредственным результатам деятельности основан на оценке непосредственного эффекта от УР при достижении целей, реализации функций, методов и др. Основные параметры при оценке Ээ - стандарты использования ресурсов (временных, материальных, финансовых и др.). Определение Ээ осуществляется по следующей формуле:


где Сэі - стандарт на использование (трату) ресурса; РЭі - реальное использование (затраты) /ресурса.

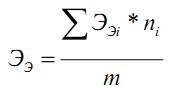
При расчете Ээ необходимо определить значение Ээ по нескольким ресурсам (m) и затем по приоритетности ресурсов (ni) найти среднее значение Ээ:


Наилучшей альтернативой считают ту, которая обеспечивает наименьшие затраты ресурсов.

Разновидностью применения ресурсного подхода является метод анализа эффективности затрат, который является более усовершенствованным видом или вариантом традиционного маржинального анализа. Это метод основывается на сопоставлении альтернатив в тех случаях, когда оптимальное решение нельзя выразить в денежных единицах, как это имеет место при маржинальном анализе, представляющем собой фактически традиционный вид анализа затрат и результатов.

Анализ эффективности затрат представляет собой метод осуществления выбора из нескольких альтернатив для определения предпочтительного варианта в тех случаях, когда цели далеко не столь конкретны, как те, которые выражены определенными количественными показателями такими, как сбыт, издержки или прибыль.

Основными особенностями анализа эффективности затрат являются сосредоточение внимания на результатах программы или системы, сопоставление вклада каждой альтернативы с эффективностью в отношении достижения желаемой цели и сравнение стоимости каждой из этих альтернатив на основе ее эффективности.

Отличительными особенностями анализа эффективности затрат являются следующие положения: цели обычно ориентированы на выпуск продукции или на конечные результаты и, как правило, не поддаются точному определению; альтернативы обычно представляют собой целые системы, программы или стратегии, рассчитанные на достижение целей; критерии эффективности должны соответствовать целям и быть сформулированы как можно более точно; оценка издержек производства, как правило, является обычной и традиционной, но сюда могут входить как неденежные, так и денежные издержки, несмотря на то, что первые можно элиминировать, выразив их в виде отрицательных факторов эффективности; критерии решений, хотя они и являются определенными, обычно не столь конкретны, как стоимость или прибыль и могут включать в себя достижение какой-либо цели с наименьшими затратами, с наличными ресурсами или обеспечивать снижение издержек по отношению к эффективности, в особенности с учетом потребности в первых для достижения других целей.

Ценность метода анализа эффективности затрат заключается в том, что он побуждает того, кто принимает решение, рассмотреть различные альтернативы с учетом их эффективности по отношению к затратам. Этот метод нашел широкое применение при принятии инновационных решений.

Ресурсный подход используется тогда, когда другие подходы к оценке эффективности менеджмента, невозможно реализовать из-за отсутствия необходимого количества показателей (для некоммерческих и социальных организаций бывает трудно измерить степень достижения целей или внутреннюю эффективность).

Ресурсный подход обладает бесспорными достоинствами, когда другие подходы измерения эффективности недоступны, но у него есть и несомненный недостаток - не учитывает связь деятельности организации с нуждами потребителей.

Таким образом, ресурсный подход наиболее ценен тогда, когда показатели достижения целей сложно получить и измерить (т.е. невозможно реализовать целевой подход к оценке и измерению эффективности менеджмента).

Подход внутренних процессов (internal process approach) эффективность оценивается на основе внутренней активности организации и ее экономичности (efficiency).

При подходе внутренних процессов эффективность оценивается с точки зрения непрерывности, рациональности, синхронности и экономичности организации производства. Важным элементом эффективности в данном подходе является то, как организация использует свои ресурсы и возможности, и как это отражается на экономичности.

Основные показатели эффективности менеджмента с точки зрения подхода внутренних процессов:

•        оценка корпоративной культуры, в т. ч. социально-психологического климата;

•        взаимовыручка, групповая лояльность и работа единой командой;

•        взаимное доверие и общение между работниками и руководством;

•        методы принятия управленческих решений в данной организации;

•        организация горизонтальных и вертикальных коммуникаций;

•        вознаграждения менеджеров;

•        взаимодействие подразделений организации.

Подход внутренних процессов важен, поскольку эффективное использование ресурсов и согласованное внутреннее функционирование организации являются одной из сторон общей эффективности менеджмента.

На практике подход внутренних процессов реализован с помощью, так называемых косвенных методов оценки эффективности управленческих решений по конечным результатам. Данный метод основан на расчете эффективности производства в целом и выделении из него фиксированной (статистически обоснованной) части (К):


где П - прибыль, полученная за реализацию товара; ОЗ - общие затраты; К - доля УР в эффективности производства (К = 20-30%).

Подход внутренних процессов также имеет и свои недостатки: не учитываются общий результат на выходе и взаимоотношения организации с внешней средой. Использование только подхода внутренних процессов не дает полного представления об эффективности менеджмента.

2. ОЦЕНКА ЭКОНОМИЧЕСКОГО ОБОСНОВАНИЯ УПРАВЛЕНЧЕСКИХ РЕШЕНИЙ ООО «ШАТЕР ДЕВЕЛОПМЕНТ»

 

2.1 Краткая характеристика ООО «Шатер Девелопмент»


Организационно-правовая форма ООО (общество с ограниченной ответственностью). Полное наименование ООО "Шатер Девелопмент":

ИНН: 7710687422

ОГРН: 1077759491545

ОКПО: 82492107

Адрес: 109012,ГОРОД МОСКВА, УЛИЦА ИЛЬИНКА,4,

Дата регистрации: 28.08.2007

Наименование должности первого руководителя Генеральный директор - Ф.И.О. руководителя О.А. Меркулова.

Является членом СРО НП Первая Национальная

Основной вид деятельности ООО "ШАТЕР ДЕВЕЛОПМЕНТ" ОКВЭД 2001: Производство общестроительных работ по возведению зданий 45.21.1

ОКВЭД 2007: Производство общестроительных работ по возведению зданий 45.21.1

Дополнительные виды деятельности по ОКВЭД:

.11    Разборка и снос зданий; производство земляных работ.

.11.1 Разборка и снос зданий, расчистка строительных участков.

ООО «Шатер Девелопмент» предлагает весь комплекс работ от возведения дороги с «нулевой отметки» до благоустройства земель.

В предложения фирмы и еще входит дорожное возведение (возведение авто дорог), ремонт дорог, земельные работы, благоустройство местности, асфальтирование, укладка брусчатки, разные виды ремонтных работ (ремонт крыши, ремонтно-строительные работы, благоустройство земли и так далее). При исполнении дорожных дел употребляется лишь профессиональное свежайшее оборудование. Все работы исполняют грамотные эксперты.

Сферой работы фирмы считается помимо прочего профессиональная укладка брусчатки.

Помимо прочего фирма оказывает предложения по аренде ДСТ (дорожно-строительной техники), в которую входит аренда самосвалов и грузовых газелей до асфальтоукладчика, катков и низкорамной платформы.

Основная хозяйственная работа сообщества не носит сезонный характер.

Общество с ограниченной ответственностью «Шатер Девелопмент» считается юридическим лицом и имеет самостоятельный баланс, круглую печать со собственным названием, угловой штамп, фирменный и товарные символы (символику), расчетный и другие счета в руб. и заграничной СКВ в учреждениях банков, также иные средства визуальной идентификации.

ООО «Шатер Девелопмент» имеет гражданские права и несет прямые обязанности, нужные для воплощения всех видов работы, не запрещенных федеральными законами.

Правовое положение ООО «Шатер Девелопмент» определяется Гражданским кодексом РФ, Федеральным Законом «Об обществах с ограниченной ответственностью», действующими общепризнанными мерками и законодательными актами и его Уставом.

Главным документом, регламентирующим работа и правой статус сообщества, считается Устав компании.

Высшим органом управления ООО «Шатер Девелопмент» считается собрание учредителей. В его зонах ответственности вопросы определения основных направлений предпринимательской работы, обсуждение и утверждение смет, докладов и балансов, избрание и отзыв исправного органа и ревизионной комиссии, определение критерий оплаты труда должностных лиц, распределения прибыли и определение порядка покрытия ущербов и др.

Согласно Уставу компании Высшим управляющим органом (исполнительным органом ООО «Шатер Девелопмент») считается директор, избираемый единым собранием учредителей. Он решает вопросы по исследованию, реализации и достижению поставленных перед предприятием и его управляющим составом целей, политики предприятия, и еще организация и управление текущей работы фирмы, распоряжение имуществом, найм и уход с работы персонала.

ООО «Шатер Девелопмент» имеет в собственности обособленное имущество, учитываемое на самостоятельном балансе, имеет возможность от своих данных получать и воплощать в жизнь имущественные и собственные неимущественные права, нести прямые обязанности, быть истцом и ответчиком в суде.

ООО «Шатер Девелопмент» отвечает по собственным обязательствам исключительно в пределах собственного имущества и имущественных прав.

Выполнение работ и предоставление услуг исполняется по стоимостям и тарифам, устанавливаемым ООО «Шатер Девелопмент» лично, (не считая случаев, предусмотренных законодательством).

Главной целью ООО «Шатер Девелопмент» считается получение прибыли для удовлетворения финансовых потребностей учредителей.

Главный вид работы ООО «Шатер Девелопмент»:

• возведение построек;

• капитальный и текущий ремонт построек;

• аварийный ремонт;

• текущий ремонт дворовых земель;

• благоустройство;

• мероприятия, сосредоточенные на озеленении и содержании зеленых насаждений.

На предприятии действуют высококвалифицированные аттестованные эксперты, которые прошли курсы повышения квалификации и имеют многолетний опыт работы.

ООО «Шатер Девелопмент» помимо главных видов работы, осуществляет строительство по договорам строительного подряда, организует и координирует мероприятия сосредоточенные на строительстве, реконструкции, капитальному ремонтным работам объектов капитального строительства, обеспечивает соблюдение требований проектной документации, технических регламентов, техники безопасности в ходе работ. Кроме того привлекается в виде субподрядной организации на солидных объектах капитального строительства и для осуществления текущих ремонтных работ в целях восстановления эксплуатационных характеристик объектов капитального строительства, привлекается для выполнения подрядных работ по обслуживанию и содержание объектов наружного благоустройства.

Строительно-монтажные работы, сделанные ООО «Шатер Девелопмент», выделяются достойным уровнем, сжатыми сроками и высочайшим уровнем организации строительного процесса.

Среди постоянных заказчиков предприятия:

Правительство г. Москвы,

ДЖКХиБ г. Москвы,

ГУП «Кольцевые Магистрали»,

ГУ КРиБ, ГУ ИС районов г. Москвы,

префектуры г. Москвы.

Каждый год приобретается строительная техника, общее число техники составляет 38 единиц.

На все виды работы оформлены надлежащие свидетельства, лицензии, знаки соответствия, сертификаты качества Госстандарта Рф.

Не взирая на «молодость» фирмы и благодаря квалифицированным управленческим решениям, введению в создание ведущих технологий и высочайшей трудоспособности персонала, «Шатер Девелопмент» постоянно развивается, расширяет сферы работы, доводит до совершенства качество производства работ.

Под структурой управления понимается упорядоченная совокупность стойко взаимосвязанных составляющих, обеспечивающих функционирование и становление организации как общего целого. ОСУ ориентируется помимо прочего как форма разделения и кооперации управленческой работы, в масштабах которой осуществляется процесс управления по подходящим функциям, направленным на решение поставленных задач и достижение намеченных целей. С данных позиций структура управления видится в виде рационального распределения высокофункциональных прямых обязанностей, прав и ответственности, порядка и форм взаимодействия между входящими в ее состав элементами управления и работающими в них людьми.

Организационная структура ООО «Шатер Девелопмент» представлена на рис. 2.1. В ООО «Шатер Девелопмент» присутствует линейно-функциональная организационная структура, которая базирована на так именуемом «шахтном» принципе построения и квалификации управленческого процесса исходя из прямых обязанностей, возложенных на заместителей управляющего - многофункциональных управляющих.

Все участки компании выведены в прямое подчинение начальнику для обеспечения наибольшей продуктивности их работы. Структура управления наиболее приемлема для успешной координации по фронтам работы подразделений. Управлением компании в общем занимается генеральный директор. В его ведении пребывают вопросы стратегического характера.

Заместитель директор подчиняется лично генеральному директору и практически организует работу фирмы на оперативном уровне. Помимо прочего в его зонах ответственности присутствуют вопросы поступления/выбытия экономических потоков.

Главными задачами бухгалтерии считаются: составление абсолютной и достоверной информации о хозяйственных действиях и итогах работы компании; обеспечение контроля за наличием и перемещением имущества и разумным применением денежных ресурсов; своевременное предотвращение неблагоприятных явлений в хозяйственно-финансовой работы.

Рис. 2.1 Организационная структура ООО «Шатер Девелопмент»

К функциям управляющего складским хозяйством относится организация приёма и отгрузки продукта, обеспечение доставки и упаковки продуктов, также контроль за их соответствующим сбережением. В повиновении управляющего складским хозяйством пребывают водители и складские рабочие.

Все отделы соединены между собой внутренней телефонной линией, что гарантирует стремительную взаимосвязь по образующимся в ходе работы вопросам.

Определяя систему управления предприятием возможно помимо прочего отметить последующие факторы.

Организационную культуру ООО «Шатер Девелопмент» возможно охарактеризовать как бюрократическую. Например, ей присуще последующие данные:

. Организация следует - мощным управлением;

. Лидерство основывается на - власти и положении;

. С хроническими неувязками управляются при помощи - закрепления начальства и следования правилам.

. Ежедневная работа - находится в зависимости от неизменности курса и активности управления;

. Функции и обязанность - предписываются и закрепляются;

. Информация и данные - контролируются, и доступ к ним урезан.

В последний год происходит не слишком заметная трансформация организационной культуры. Так, по каким-либо чертами она приближается к органической организационной культуре. К примеру, по образующимся в ходе работы задачам поощряется творческий расклад.

ООО «Шатер Девелопмент» считается юридическим лицом, имеет круглую печать и штампы со собственным названием (символом), собственный торговый знак, расчетный и другие счета в банках, иные реквизиты, нужные для хозяйственной и другой работы; ведет бухгалтерский учет и статистическую отчетность.

ООО «Шатер Девелопмент» владеет абсолютной хозяйственной самодостаточностью в вопросах определения формы управления, принятия хозяйственных решений, исполнения работ, установления тарифов на работы, оплаты труда, распределения прибыли, другими словами лично воплотит в жизнь собственную работа, приобретенной прибылью, оставшейся в его постановлении в последствии уплаты налогов и прочих неотъемлемых платежей.

2.2 Анализ деятельности ООО «Шатер Девелопмент»


Приведенный анализ финансового положения и эффективности деятельности ООО "Шатер Девелопмент" выполнен за период с 01.01.2012 по 31.12.2013 г. (2 года) (приложение 1,2). Деятельность ООО «Шатер Девелопмент» отнесена к отрасли «Строительстао», что было учтено при качественной оценке значений финансовых показателей.

Структура имущества и источники его формирования представлена в приложении 3.

Активы организации на 31 декабря 2013 г. характеризуются большой долей (91,7%) иммобилизованных средств и малым процентом текущих активов. Активы организации за два последних года увеличились на 3 905 тыс. руб. (на 38,1%). Хотя имело место увеличение активов, собственный капитал уменьшился в 3,9 раза, что негативно характеризует динамику изменения имущественного положения организации.

Рост величины активов организации связан с ростом следующих позиций актива баланса (в скобках указана доля изменения данной статьи в общей сумме всех положительно изменившихся статей):

-                 основные средства - 6 603 тыс. руб. (88,1%)

-       дебиторская задолженность - 891 тыс. руб. (11,9%)

Одновременно, в пассиве баланса прирост наблюдается по строкам:

-                 долгосрочные заемные средства - 9 252 тыс. руб. (85,7%)

-       краткосрочные заемные средства - 1 546 тыс. руб. (14,3%)

Среди отрицательно изменившихся статей баланса можно выделить "отложенные налоговые активы" в активе и "нераспределенная прибыль (непокрытый убыток)" в пассиве (-1 725 тыс. руб. и -4 613 тыс. руб. соответственно).

Собственный капитал ООО "Шатер Девелопмент" на 31 декабря 2013 г. равнялся -5 554,0 тыс. руб., при том, что на первый день анализируемого периода собственный капитал ООО "Шатер Девелопмент" составлял -941 тыс. руб. (т.е. произошло изменение -4 613,0 тыс. руб.).

В табл. 2.1 обобщены основные финансовые результаты деятельности ООО "Шатер Девелопмент" за два исследуемых года.

Таблица 2.1

Результаты деятельности ООО «Шатер Девелопмент»

Показатель

Значение показателя, тыс. руб.

Изменение показателя

Средне- годовая величина, тыс. руб.


2012 г.

2013 г.

тыс. руб.  (гр.3 - гр.2)

± % ((3-2) : 2)


1

2

3

4

5

6

1. Выручка

7 704

-4 230

-35,4

9 819

2. Расходы по обычным видам деятельности

22 637

11 843

-10 794

-47,7

17 240

3. Прибыль (убыток) от продаж (1-2)

-10 703

-4 139

+6 564

-7 421

4. Прочие доходы и расходы, кроме процентов к уплате

1 524

3 951

+2 427

+159,3

2 738

5. EBIT (прибыль до уплаты процентов и налогов) (3+4)

-9 179

-188

+8 991

-4 684

6. Проценты к уплате

-

-

-

-

-

7. Изменение налоговых активов и обязательств, налог на прибыль и прочее

2 623

-

-2 623

-100

1 312

8. Чистая прибыль (убыток) (5-6+7)

-6 556

-188

+6 368

-3 372

Справочно: Совокупный финансовый результат периода

-6 556

-188

+6 368

-3 372

Изменение за период нераспределенной прибыли (непокрытого убытка) по данным бухгалтерского баланса (измен. стр. 1370)

136

-4 749

х

х

х


За последний год годовая выручка равнялась 7 704 тыс. руб. За рассматриваемый период (с 31 декабря 2011 г. по 31 декабря 2013 г.) имело место значительное снижение выручки - на 4 230 тыс. руб., или на 35,4%.

За 2013 год убыток от продаж составил -4 139 тыс. руб. Финансовый результат от продаж в течение анализируемого периода резко вырос (на 6 564 тыс. руб.).

Обратив внимание на строку 2220 формы №2 можно отметить, что организация учитывала общехозяйственные (управленческие) расходы в качестве условно-постоянных, относя их по итогам отчетного периода на счет реализации.

Отсутствие данных по строкам 2430, 2450 и 2421 "Отчета о прибылях и убытках" за последний год говорит о том, что организация не применяет ПБУ 18/02 "Учет расчетов по налогу на прибыль". Однако этому противоречит наличие данных по строке 1160 "Отложенные налоговые активы" и 1420 "Отложенные налоговые обязательства" Баланса. Следовательно одна из форм отчетности заполнена неверно.

За 2013 год организация получила убыток, как от продаж, так и в целом от финансово-хозяйственной деятельности, что и обусловило отрицательные значения всех трех представленных в таблице показателей рентабельности за данный период (табл. 2.2).

Таблица 2.2

Анализ рентабельности

Показатели рентабельности

Значения показателя (в %, или в копейках с рубля)

Изменение показателя


2012 г.

2013 г.

коп., (гр.3 - гр.2)

± % ((3-2) : 2)

1

2

3

4

5

1. Рентабельность продаж (величина прибыли от продаж в каждом рубле выручки). Нормальное значение для данной отрасли: 4% и более.

-89,7

-53,7

+36

2. Рентабельность продаж по EBIT (величина прибыли от продаж до уплаты процентов и налогов в каждом рубле выручки).

-76,9

-2,4

+74,5

3. Рентабельность продаж по чистой прибыли (величина чистой прибыли в каждом рубле выручки).

-54,9

-2,4

+52,5

Cправочно: Прибыль от продаж на рубль, вложенный в производство и реализацию продукции (работ, услуг)

-47,3

-34,9

+12,4

Коэффициент покрытия процентов к уплате (ICR), коэфф. Нормальное значение: не менее 1,5.

-

-

-

-


Убыток от продаж в анализируемом периоде составляет -53,7% от полученной выручки. Однако имеет место рост рентабельности обычных видов деятельности по сравнению с данным показателем за 2012 год (+36%).

Показатель рентабельности, рассчитанный как отношение прибыли до процентов к уплате и налогообложения (EBIT) к выручке организации, за 2013 год составил -2,4%. Это значит, что в каждом рубле выручки организации содержалось -2,4 коп. убытка до налогообложения и процентов к уплате.

По состоянию на 31.12.2013 коэффициент текущей (общей) ликвидности не укладывается в норму (0,11 против нормативного значения 2). При этом нужно обратить внимание на имевшее место за два года негативное изменение - коэффициент текущей ликвидности снизился на -0,11 (табл. 2.3).

Таблица 2.3

Расчет коэффициентов ликвидности

Показатель ликвидности

Значение показателя

Изменение показателя (гр.4 - гр.2)

Расчет, рекомендованное значение


31.12.2011

31.12.2012

31.12.2013



1

2

3

4

5

6

1. Коэффициент текущей (общей) ликвидности

0,22

0,17

0,11

-0,11

Отношение текущих активов к краткосрочным обязательствам.  Нормальное значение: 2 и более.

2. Коэффициент быстрой (промежуточной) ликвидности

0,10

0,05

0,11

+0,01

Отношение ликвидных активов к краткосрочным обязательствам.  Нормальное значение: 1 и более.

3. Коэффициент абсолютной ликвидности

0,007

0,01

0,003

-0,004

Отношение высоколиквидных активов к краткосрочным обязательствам.  Нормальное значение: 0,2 и более.


Значение коэффициента быстрой (промежуточной) ликвидности также не соответствует норме - 0,11 при норме 1. Это свидетельствует о недостаточности у ООО "Шатер Девелопмент" ликвидных активов (т. е. наличности и других активов, которые можно легко обратить в наличность) для погашения краткосрочной кредиторской задолженности. Значения коэффициента быстрой ликвидности в течение всего проанализированного периода не соответствовали нормативным.

Коэффициент абсолютной ликвидности, как и два другие, имеет значение ниже нормы (0,003). При этом c начала периода коэффициент абсолютной ликвидности практически не изменился.

Анализ соотношения активов по степени ликвидности и обязательств по сроку погашения представлен в табл. 2.4.

Таблица 2.4

Анализ соотношения активов по степени ликвидности и обязательств по сроку погашения

Активы по степени ликвидности

На конец отчет-ного периода, тыс. руб.

При-рост за анализ. период, %

Норм. соотно-шение

Пассивы по сроку погашения

На конец отчет-ного периода, тыс. руб.

При-рост за анализ. период, %

Излишек/ недостаток платеж. средств тыс. руб., (гр.2 - гр.6)

1

2

3

4

5

6

7

8

А1. Высоколиквидные активы (ден. ср-ва + краткосрочные фин. вложения)

33

-48,4

П1. Наиболее срочные обязательства (привлеченные средства) (текущ. кред. задолж.)

8 920

-8

-8 887

А2. Быстрореализуемые активы (краткосрочная деб. задолженность)

919

+32,8 раза

П2. Среднесроч-ные обязательства (краткосроч. обязательства кроме текущ. кредит. задолж.)

1 546

-

-627

А3. Медленно реализуемые активы (прочие оборот. активы)

223

-89,1

П3. Долгосрочные обязательства

9 252

+6,2 раза

-9 029

А4. Труднореализуемые активы (внеоборотные активы)

12 989

+59,8

П4. Постоянные пассивы (собственный капитал)

-5 554

-3,9 раза

+18 543


Как видно из таблицы, по состоянию на 31.12.2013 ни одно из четырех неравенств не выполняется, что говорит о дисбалансе соотношения активов по степени ликвидности и обязательств по сроку погашения. Активы организации не покрывают соответствующие им по сроку погашения обязательства.

Основные показатели платежеспособности и финансовой устойчивости организации представлены в табл. 2.5.

Таблица 2.5

Основные показатели платежеспособности и финансовой устойчивости организации

Показатель

Значение показателя

Изменение показателя (гр.4-гр.2)

Описание показателя и его нормативное значение


31.12.2011

31.12.2012

31.12.2013



1

2

3

4

5

6

1. Коэффициент автономии

-0,09

-0,11

-0,39

-0,3

Отношение собственного капитала к общей сумме капитала. Нормальное значение для данной отрасли: 0,4 и более (оптимальное 0,5-0,7).

2. Коэффициент финансового левериджа

-11,9

-10,36

-3,55

+8,35

Отношение заемного капитала к собственному.  Нормальное значение для данной отрасли: 1,5 и менее (оптимальное 0,43-1).

3. Коэффициент обеспеченности собственными оборотными средствами

0,29

0,66

-6,87

-7,17

Отношение собственных оборотных средств к оборотным активам.  Нормальное значение: 0,1 и более.

4. Индекс постоянного актива

-8,64

-7,66

-2,34

+6,3

Отношение стоимости внеоборотных активов к величине собственного капитала организации.

5. Коэффициент покрытия инвестиций

0,05

-0,05

0,26

+0,21

Отношение собственного капитала и долгосрочных обязательств к общей сумме капитала. Нормальное значение для данной отрасли: 0,65 и более.

6. Коэффициент маневренности собственного капитала

-

-

-

-

Отношение собственных оборотных средств к источникам собственных средств. Нормальное значение для данной отрасли: не менее 0,35.(коэффициент не рассчитывается при отрицательном собственном капитале)

7. Коэффициент мобильности имущества

0,21

0,18

0,08

-0,12

Отношение оборотных средств к стоимости всего имущества. Характеризует отраслевую специфику организации.

8. Коэффициент мобильности оборотных средств

0,03

0,06

0,03

-

Отношение наиболее мобильной части оборотных средств (денежных средств и финансовых вложений) к общей стоимости оборотных активов.

9. Коэффициент обеспеченности запасов

-0,56

-0,96

-

+0,56

Отношение собственных оборотных средств к стоимости запасов. Нормальное значение: 0,5 и более.

10. Коэффициент краткосрочной задолженности

0,87

0,94

0,53

-0,34

Отношение краткосрочной задолженности к общей сумме задолженности.


Коэффициент автономии организации на 31 декабря 2013 г. составил -0,39. Данный коэффициент характеризует степень зависимости организации от заемного капитала. Полученное здесь значение показывает, что ООО "Шатер Девелопмент" не имеет собственного капитала и полностью зависит от кредиторов. Коэффициент автономии стремительно снизился за два последних года (-0,3).

За весь анализируемый период имело место очень сильное уменьшение коэффициента обеспеченности собственными оборотными средствами - на 7,17 (до -6,87). На 31.12.2013 значение коэффициента не удовлетворяет нормативному, находясь в области критических значений. В течение всего анализируемого периода коэффициент обеспеченности собственными оборотными средствами сохранял значение, не соответствующее нормативу.

Коэффициент покрытия инвестиций за весь анализируемый период стремительно вырос - с 0,05 до 0,26 (т. е. +0,21). Значение коэффициента на 31.12.2013 значительно ниже допустимой величины (доля собственного капитала и долгосрочных обязательств в общей сумме капитала организации составляет 26%).

Коэффициент краткосрочной задолженности организации показывает на практически равное соотношение долгосрочной и краткосрочной задолженности (47% и 53% соответственно). При этом за весь анализируемый период доля долгосрочной задолженности выросла на 34%.

2.3 Расчет экономического обоснования принятия управленческого решения на ООО «Шатер Девелопмент»


Для улучшения финансового состояния ООО «Шатер Девелопмент» было принято управленческое решение по реализации следующих мер:

.        Перезаключение договоров с поставщиками, в результате чего ожидается снижение текущих издержек на 11,65%

.        Снижение текущих издержек на материальные затраты за счет внедрения прогрессивных технологий. Ожидаемое уменьшение текущих издержек составляет 6%.

.        Оптимизация затрат на персонал путем реализации проекта оценки и развития персонала ООО «Шатер Девелопмент».

Для стоимостной оценки экономических результатов мероприятий по совершенствованию системы аттестации персонала по производственным факторам, воспользуемся следующими показателями экономического эффекта, рассчитывающимися по формулам:

. Снижение себестоимости, за счет уменьшения текущих издержек:


Где:

 - стоимость продукции до и после мероприятий (28000), руб/ м2.;

 - себестоимость единицы продукции ( кв. м) до (17000) и после (14000=17000*(100%-11,65%-6%) мероприятий, руб.;

=825 000 руб.

Снижение себестоимости продукции принесет компании дополнительно 825 0000 рублей в год.

. Повышение уровня трудовой дисциплины:


Где:

ПП - число прогулов рабочих в год, дн. (20);

ЗС - среднемесячный заработок одного рабочего (15701,97), руб.;

ПФ - годовой полезный фонд времени одного рабочего (250), дн.

=9647,29 руб.

Учитывая количество , «склонных» немотивированно отсутствовать на рабочем месте ( 12): 9647,29*12=115767,48 руб.

Сумма всех показателей экономической эффективности от производственных факторов равна:

=825000+115767,48= 940767,48 руб.

Разработка и внедрение проекта совершенствования организации оценки и развития персонала ООО «Шатер Девелопмент» требует определенных инвестиций, поэтому необходимо определить его целесообразность выявить лучший вариант.

В связи с этим необходимо определить затраты для реализации проекта (табл. 2.6)

Таблица 2.6

Затраты на реализацию проекта

Вид затрат

Наименование единиц измерения

Сумма

Затраты на приобретение новых технологий производства бетона

руб./2014 г.

15 000

Затраты на установку программного оборудования и оргтехники

руб./2014 г.

1500

Срок использования проекта после его внедрения

2015 - 2019гг.

5

Ежегодное значение дополнительного дохода, которое планируется получать после внедрения проекта за счет внедрения аттестации

руб.

22229

Текущие ежегодные затраты

руб.

8 000

Годовой дисконт

%

10


При оценке экономической эффективности проекта совершенствования развития технического персонала используются следующие показатели: чистый дисконтированный доход, индекс доходности, срок окупаемости, рентабельность инвестиций.

На основании табл. 2.6. составим таблицу расчета показателей экономической эффективности (табл. 2.7).

Таблица 2.7

Расчет показателей экономической эффективности

Периоды

Доходы

Текущие затраты, К

Ставка

СТ*D

CT*K

ЧDD

ЧТС

2014(у=1)

0

15000

1, 00

0,00

15000,00

-15000,00

-15000,00

2015(у=2)

940767,5

1 500

0,91

856098,41

1365,00

854733,41

839733,41

2016(у=3)

940767,5

0

780837,01

0,00

780837,01

1620570,42

2017(у=4)

940767,5

0

0,75

705575,61

0,00

705575,61

2326146,03

2018(у=5)

940767,5

0

0,69

649129,56

0,00

649129,56

2975275,59

2019(у=6)

940767,5

0

0,62

583275,84

0,00

583275,84

3558551,42

Итого:

4703837

16500


3574916,42

16365,00

3558551,42



ЧDD - чистый дисконтированный доход показывает превышение интегральных экономических затрат над интегральными затратами. Как видно из табл. 3.2. проект эффективен, так как является положительным с 2016 г.

Индекс доходности рассчитывается по формуле:

ИД= (СТ*D)/( CT*K)

Где:

ИД - индекс доходности,

СТ*D - произведение дохода на ставку,*K - произведение затрат на ставку.

Соответственно, индекс доходности равен ИД=3 574 916,42/16 365= 218,45.

Рентабельность проекта показывает, какой доход приносит каждый вложенный рубль инвестиций.

Показатель рассчитывается по формуле:

Р=(ИД)/(n * 100 %)

Где:

Р- рентабельность,= 5 лет.

Рентабельность данной работы равна Р=(218,45 - 1)/(5*100%)= 43,49

Таким образом, расчет показателей показал, что проект эффективен. Данное утверждение подтверждает индекс доходности, который больше 1. Из расчетов рентабельности видно, что проект приносит доход равный 43,49 руб. на каждый вложенный рубль.

Срок окупаемости меньше расчетного срока (5 лет), что означает эффективность проекта.

Оценка проекта совершенствования организации оценки и развития персонала требует определения не только экономических, но и социальных последствий его реализации.

Социальная эффективность проявляется в возможности достижения позитивных, а также избежания отрицательных с социальной точки зрения изменений на предприятии.

К социальным результатам внедрения проекта совершенствования развития технического персонала можно отнести:

-       обеспечение должностных лиц оргтехникой,

-       повышение качества, оперативности и обоснованности информации,

-       обеспечение сотрудников ООО «Шатер Девелопмент» необходимой информацией,

-       распределение обязанностей работников учреждения,

-       формирование механизма обратной связи между уровнями управления ООО «Шатер Девелопмент»,

-       создание благоприятного социально - психологического климата,

-       повышение содержательности труда.

ЗАКЛЮЧЕНИЕ


Исследование проводилось на базе ООО «Шатер Девелопмент». Ниже по качественному признаку обобщены важнейшие показатели финансового положения (по состоянию на 31 декабря 2013 г.) и результаты деятельности ООО "Шатер Девелопмент" за два года.

С позитивной стороны результаты деятельности организации характеризуют следующие показатели:

         снижение убыточности продаж (+36 процентных пункта от рентабельности за 2012 год равной -53,7%);

         снижение убытка до процентов к уплате и налогообложения (EBIT) на рубль выручки ООО "Шатер Девелопмент" (+74,5 коп. с рубля расходов от данного показателя рентабельности за 2012 год).

Следующие 3 показателя финансового положения и результатов деятельности организации имеют отрицательные значения:

         отрицательная динамика изменения собственного капитала организации ООО "Шатер Девелопмент" при том что, активы организации увеличились на 3 905 тыс. руб. (на 38,1%);

         за 2013 год получен убыток от продаж (-4 139 тыс. руб.), хотя и наблюдалась положительная динамика по сравнению с предшествующим годом (+6 564 тыс. руб.);

         убыток от финансово-хозяйственной деятельности за 2013 год составил -188 тыс. руб. (+6 368 тыс. руб. по сравнению с предшествующим годом).

Для улучшения финансового состояния ООО «Шатер Девелопмент» было принято управленческое решение по реализации следующих мер:

         Перезаключение договоров с поставщиками, в результате чего ожидается снижение текущих издержек на 11,65%

         Снижение текущих издержек на материальные затраты за счет внедрения прогрессивных технологий. Ожидаемое уменьшение текущих издержек составляет 6%.

         Оптимизация затрат на персонал путем реализации проекта оценки и развития персонала ООО «Шатер Девелопмент».

Ожидается, что данные мероприятия будут приносить экономию по издержкам в сумме 940767,48 руб.

Расчет показателей показал, что проект эффективен. Данное утверждение подтверждает индекс доходности, который больше 1. Из расчетов рентабельности видно, что проект приносит доход равный 43,49 руб. на каждый вложенный рубль.

Срок окупаемости меньше расчетного срока (5 лет), что означает эффективность проекта.

Оценка проекта совершенствования организации оценки и развития персонала требует определения не только экономических, но и социальных последствий его реализации.

К социальным результатам внедрения проекта совершенствования развития технического персонала можно отнести:

-       обеспечение должностных лиц оргтехникой,

-       повышение качества, оперативности и обоснованности информации,

-       обеспечение сотрудников ООО «Шатер Девелопмент» необходимой информацией,

-       распределение обязанностей работников учреждения,

-       формирование механизма обратной связи между уровнями управления ООО «Шатер Девелопмент»,

-       создание благоприятного социально - психологического климата,

-       повышение содержательности труда.

 

СПИСОК ИСПОЛЬЗОВАННОЙ ЛИТЕРАТУРЫ


1.      Административное право / под. ред. Кивалова С. В. // http://www.vuzlib.net/beta3/ №т1/1/7366/7401/

.        Большаков А. Менеджмент.- СПб.: Питер, 2013.- 160 с.

.        Бочаров М. К. Наука управления - новый подход.- М.: Знание, 2012.

.        Волкова В. Н., Воронков В. А., Денисов А. А. и др. Теория систем и методы системного анализа в управлении и связи.- М.: Радио и связь, 2013.- 248 с.

.        Волкова В. Н., Воронков В. А., Денисов А. А. и др. Теория систем и методы системного анализа в управлении и связи.- М.: Радио и связь, 2013.- 248 с.

.        Джонсон Дж., Шоулз К., Уингстон Р. Корпоративная стратегия: теория и практика; Пер. с англ.- М.: ООО «И.Д. Вильямс», 2013.- 800 с.

.        Забродский В. А., Кизим Н. А. Развитие крупномасштабных экономико-производственных систем.- Харьков: Бизнес Информ, 2013.- 72 с.

.        Ивасенко А. Г., Никонова Я. И., Плотникова Е. Н. Разработка управленческих решений. 2-е изд. перераб. и доп.- М.: КноРус, 2010.- 168 с.

.        Карданская Н. Л. Основы принятия управленческих решений.- М.: Русская Деловая литература, 2012.- 288 с.

.        Кизим Н. А. Крупномасштабные экономико-производственные системы: организация и хозяйствование.- Харьков: Бизнес Информ, 2013.- 228 с.

.        Коротков Э. М. Концепция менеджмента.- М.: ДЕКА, 2012.- 304 с.

.        Коротков Э. М. Концепция менеджмента.- М.: ДЕКА, 2013.- 304 с.

.        Лопатников Л. И. Экономико-математический словарь.- М.: МБР, 2012.- 704 с.

.        Менеджмент: Учебник для вузов/ М. М. Максимцов, А. В. Игнатьева, М. А. Комаров и др.; Под ред. М. М. Максимцова, А. В. Игнатьевой.- М.: Банки и биржи, ЮНИТИ, 2013.- 448 с.

.        Мескон М., Альберт М., Хедоури Ф. Основы менеджмента.- СПб: Вильямс, 2012.- 672 с.

.        Управленческие решения (методы принятия и реализации) : учебное пособие / Л.А. Трофимова, В.В. Трофимов. - СПб. : Изд-во СПбГУЭФ, 2011. - 190 с.

.        Хохлачев Е. Н. Теоретические основы управления. Часть 2. Анализ и синтез систем управления. Учебное пособие.- М.: РВСН, 2012.

.        Шинкаренко В. Г., Бондаренко А. С. Управление конкурентоспособностью предприятия / Министерство образования и науки Украины. Харьковский национальный автомобильно-дорожный университет.- Харьков: ХНАДУ, 2013.- 186 с.

ПРИЛОЖЕНИЕ 1


Форма №1 "Бухгалтерский баланс"

Показатель

31.12.2013

31.12.2012

31.12.2011

1

2

3

4

Актив I. ВНЕОБОРОТНЫЕ АКТИВЫ Нематериальные активы

21

40

40

Результаты исследований и разработок

0

0

0

Нематериальные поисковые активы

0

0

0

Материальные поисковые активы

0

0

0

Основные средства

12968

4068

6365

Доходные вложения в материальные ценности

0

0

0

Финансовые вложения

0

0

0

Отложенные налоговые активы

0

1725

1725

Прочие внеоборотные активы

0

336

0

ИТОГО по разделу I

12989

6169

8130

II. ОБОРОТНЫЕ АКТИВЫ Запасы

0

943

1115

Налог на добавленную стоимость по приобретенным ценностям

223

223

922

Дебиторская задолженность

919

113

28

задолженность участников (учредителей) по взносам в уставный капитал

0

0

0

Финансовые вложения (за исключением денежных эквивалентов)

0

30

30

Денежные средства и денежные эквиваленты

33

55

34

Прочие оборотные активы

0

0

0

ИТОГО по разделу II

1175

1364

2129

БАЛАНС

14164

7533

10259

Пассив III. КАПИТАЛ И РЕЗЕРВЫ Уставный капитал (складочный капитал, уставный фонд, вклады товарищей)

49

49

49

Собственные акции, выкупленные у акционеров

0

0

0

Переоценка внеоборотных активов

0

0

0

Добавочный капитал (без переоценки)

4770

4770

4770

Резервный капитал

0

0

0

Нераспределенная прибыль (непокрытый убыток)

-10373

-5624

-5760

ИТОГО по разделу III

-5554

-805

-941

IV. ДОЛГОСРОЧНЫЕ ОБЯЗАТЕЛЬСТВА Заемные средства

9252

0

0

Отложенные налоговые обязательства

0

463

1501

Оценочные обязательства

0

0

0

Прочие долгосрочные обязательства

0

0

0

ИТОГО по разделу IV

9252

463

1501

V. КРАТКОСРОЧНЫЕ ОБЯЗАТЕЛЬСТВА Заемные средства

1546

1790

0

Кредиторская задолженность

8920

6085

9699

Доходы будущих периодов

0

0

0

Оценочные обязательства

0

0

0

Прочие краткосрочные обязательства

0

0

0

ИТОГО по разделу V

10466

7875

9699

БАЛАНС

14164

7533

10259


ПРИЛОЖЕНИЕ 2


Форма №2 "Отчет о прибылях и убытках"

Показатель

За год

За год


2013

2012

2012

2011

Выручка

7704

11934

11934

19226

Себестоимость продаж

(5485)

(13753)

(13753)

(18724)

Валовая прибыль (убыток)

2219

1819

1819

502

Коммерческие расходы

0

(12)

(12)

(40)

Управленческие расходы

(6358)

(8872)

(8872)

(8745)

Прибыль (убыток) от продаж (стр.2100-2210-2220)

4139

10703

10703

8283

Доходы от участия в других организациях

0

0

0

0

Проценты к получению

0

0

0

0

Проценты к уплате

0

0

0

0

Прочие доходы

6364

8221

8221

12681

Прочие расходы

(2413)

(6697)

(6697)

(3129)

Прибыль (убыток) до налогообложения (стр.2200+2310+2320-2330+2340-2350)

188

9179

9179

1269

Текущий налог на прибыль

0

2624

2624

(906)

СПРАВОЧНО: постоянные налоговые обязательства (активы)

0

2624

2624

619

Изменение отложенных налоговых обязательств

0

1

1

3

Изменение отложенных налоговых активов

0

0

0

0

0

0

0

0

Чистая прибыль (убыток) (стр.2300-2410+2430+2450+2460)

188

6556

6556

366

Результат от переоценки внеоборотных активов, не включаемый в чистую прибыль (убыток)

0

0

0

0

Результат от прочих операций, не включаемый в чистую прибыль (убыток) периода

0

0

0

0

Совокупный финансовый результат периода

188

6556

6556

366


ПРИЛОЖЕНИЕ 3


Структура имущества и источники его формирования

Показатель

Значение показателя

Изменение за анализируемый период


в тыс. руб.

в % к валюте баланса

тыс. руб. (гр.4-гр.2)

± % ((гр.4-гр.2) : гр.2)


31.12.2011

31.12.2012

31.12.2013

на начало анализируемого периода (31.12.2011)

на конец анализируемого периода (31.12.2013)



1

2

3

4

5

6

7

8

Актив

1. Внеоборотные активы

8 130

6 169

12 989

79,2

91,7

+4 859

+59,8

в том числе: основные средства

6 365

4 068

12 968

62

91,6

+6 603

+103,7

нематериальные активы

40

40

21

0,4

0,1

-19

-47,5

2. Оборотные, всего

2 129

1 364

1 175

20,8

8,3

-954

-44,8

в том числе: запасы

1 115

943

-

10,9

-

-1 115

-100

дебиторская задолженность

28

113

919

0,3

6,5

+891

+32,8 раза

денежные средства и краткосрочные финансовые вложения

64

85

33

0,6

0,2

-31

-48,4

Пассив

1. Собственный капитал

-941

-805

-5 554

-9,2

-39,2

-4 613

2. Долгосрочные обязательства, всего

1 501

463

9 252

14,6

65,3

+7 751

+6,2 раза

в том числе:  заемные средства

-

-

9 252

-

65,3

+9 252

-

3. Краткосрочные обязательства*, всего

9 699

7 875

10 466

94,5

73,9

+767

+7,9

в том числе:  заемные средства

-

1 790

1 546

-

10,9

+1 546

-

Валюта баланса

10 259

7 533

14 164

100

100

+3 905

+38,1


Похожие работы на - Основы экономического обоснования управленческого решения

 

Не нашли материал для своей работы?
Поможем написать уникальную работу
Без плагиата!
Без нейросетей!