Основы национальной экономики

  • Вид работы:
    Курсовая работа (т)
  • Предмет:
    Эктеория
  • Язык:
    Русский
    ,
    Формат файла:
    MS Word
    376,56 Кб
  • Опубликовано:
    2016-01-07
Вы можете узнать стоимость помощи в написании студенческой работы.
Помощь в написании работы, которую точно примут!

Основы национальной экономики

РЕФЕРАТ

Тема курсовой работы: Основы национальной экономики

Ключевые слова: национальная экономика, структура национальной экономики, валовой внутренний продукт, инфляция, безработица, макроэкономические пропорции, экономический рост

Объект исследования: национальная экономика как специфическая форма экономической системы

В работе изучена сущность, структура и виды национальной экономики; определены основные макроэкономические пропорции; проанализированы направления развития экономики Республики Беларусь, ее достижения и проблемы.

Автор работы подтверждает, что приведенный в ней цифровой материал правильно и объективно отражает состояние исследуемой проблемы.

ВВЕДЕНИЕ


Центральное место в изучении макроэкономики принадлежит понятию "национальная экономика". В наиболее общем виде ее определение дал американский ученый русского происхождения лауреат Нобелевской премии Василий Леонтьев: "Национальная экономика - саморегулирующаяся система, состоящая из большого числа различных взаимосвязанных видов деятельности".

Однако это определение представляется не совсем точным, т.к. его можно отнести и к политической, и к социальной системе, и к другим видам человеческой деятельности. Можно конкретизировать толкование этого понятия. Национальная экономика - исторически сложившаяся система общественного воспроизводства страны, взаимосвязанная совокупность отраслей, видов производства и территориальных комплексов, охватывающая все сложившиеся формы общественного труда.

Национальная экономика является исторически сложившейся системой общественного воспроизводства страны, взаимосвязанной системой отраслей и видов производств, охватывающей существующие в народном хозяйстве формы общественного труда. Национальная экономика состоит из ряда крупных сфер: материальное и нематериальное производство, непроизводственная сфера.

Национальная экономика является объектом изучения различных экономических наук. Так, экономические отношения и закономерности развития в ее отдельных отраслях изучают такие дисциплины, как экономика промышленности, строительства, сельского хозяйства и др. Экономическая же теория рассматривает национальную экономику как целостную систему, раскрывает содержание ее основных понятий, общие закономерности развития.

Актуальность темы исследования обусловлена тем, что при становлении рыночной экономики происходит структурная перестройка национальной экономики, меняется ее сбалансированность. Поэтому разрабатываются и осуществляются меры по планированию национальной экономики, исходя из их рациональности, целесообразности по отношению к народному хозяйству в целом или отдельным экономическим структурам. В макроэкономическом планировании особую роль играет экономическое прогнозирование, т.к. дает возможность вероятного виденья исследуемого объекта в будущем. Экономический прогноз может стать надежной основой для принятия государственных решений. Государственное регулирование экономических процессов обусловлено объективной необходимостью обеспечения общественного контроля за развитием социально-экономических отношений.

Исходя из сформулированной актуальности темы, определим цели и задачи исследования.

Целью данной работы служит раскрытие сущности и структуры национальной экономики, а также направлений трансформация экономики Республики Беларусь.

Объектом исследования является национальная экономика как специфическая форма экономической системы. В соответствии с этим предмет - направления трансформации экономики Республики Беларусь.

Для достижения поставленной цели выделены следующие задачи:

1) изучить сущность, структуру национальной экономики;

2)      определить основные макроэкономические пропорции;

)        проанализировать направления развития экономики Республики Беларусь, ее достижения и проблемы.

В ходе исследования использованы методы описания, анализа, сравнения, исторический.

 


1 Понятие национальной экономики, ее цели и структура. Виды структур. Система макроэкономических пропорций


1.1 Сущность и структура национальной экономики


Термин «национальная экономика» активно вошел в научный оборот, управленческую, хозяйственную практику последнего десятилетия как синоним понятия «экономика суверенной страны» наряду с терминами «народное хозяйство» (National economy - англ., Volkswirtschaft - нем., Gospodarka narodowa - польск.), «экономика республики». Слово «национальный» акцентирует внимание на том, что экономика рассматривается в своей целостности, в масштабе нации, государства, а не только в этническом аспекте [19, с. 14].

Следует различать национальную экономику как науку (научное направление и учебную дисциплину) и как область хозяйственной практики.

Как наука, национальная экономика имеет свои объект, предмет, инструментарий и субъект научного исследования. Предметом изучения национальной экономики являются социально-экономические процессы воспроизводства, закономерности функционирования и развития хозяйственной системы, ее структурно-функциональных элементов, потенциалов и механизмов. В качестве объекта национальной экономики выступает национальная хозяйственная система страны. Она исследуется рядом экономических дисциплин: теоретической (политической) экономией, экономической историей, экономической статистикой, эконометрикой, математическим моделированием, экономической и социальной географией и др.

Содержательный аспект раскрывается в анализе национальной экономики как области хозяйственной практики, анализе состояния, факторов, проблем, тенденций, параметров хозяйственной системы, механизмов ее развития как основы разработки экономической политики, включая цели, направления и пути их достижения, методы и средства подготовки и реализации макроэкономических решений органов управления и регулирования хозяйственной системы страны.

Органы управления и научные структуры могут выступать в качестве субъектов исследования национальной экономики. Таким образом, национальная экономика - это хозяйственная система страны, отвечающая принципам (методологическим императивам) суверенности, целостности, социальности, национальной ориентации. Ее характерные черты и условия:

-  суверенитет нации и государства;

-       территориальная целостность;

-       единство экономического пространства и юридической среды;

-       общность характера хозяйственных институтов, включая институт собственности;

-       наличие единого платежного средства - национальной денежной единицы - и целостной финансовой системы;

-       развитость внутреннего рынка и стабильность внешнеэкономических и геополитических отношений;

-       эффективные гарантии независимого распоряжения и приумножения национального богатства в интересах повышения благосостояния нации.

Национальная экономика как сложная система включает комплекс организационных, структурных, функциональных, институциональных и других подсистем, компонентов, характеристик (рисунок 1.1).

В организационном плане национальная экономика - это совокупность субъектов хозяйствования: организаций, учреждений, предприятий, производств, отраслей, регионов, их взаимосвязей и отношений.

В структурном плане национальная экономика - это хозяйственные комплексы: промышленность, агропромышленный комплекс (АПК), военно-промышленный комплекс (ВПК), топливно-энергетический комплекс (ТЭК), строительный комплекс и ряд других [7, с. 96].

В функциональном плане национальная экономика - это совокупность потенциалов: природно-ресурсного, демографического и трудового, научного и инновационного, производственного, экологического и др.

В институциональном плане национальная экономика - это совокупность институтов рынка и сегментов национального рынка: рынка факторов производства, рынка товаров и услуг, валютного рынка, фондового рынка, рынка объектов интеллектуальной собственности, рынка жилья и других.

Главной целью всей экономической политики является создание эффективной и конкурентоспособной экономики. При этом механизмы и методы достижения этой цели включают в себя набор инструментов, позволяющий создать благоприятную среду для хозяйственной деятельности всех субъектов экономики независимо от форм собственности.

Кроме нее перед национальной экономикой ставятся и др. цели:

. Стабильные высокие темпы роста национального объема производства. Это означает устойчивый рост производства товаров и услуг в данной стране без резких изменений, спадов и кризисов.

. Стабильность цен. Нужно учитывать, что неизменные в течение длительного времени цены замедляют темпы роста ВНП, снижают занятость населения. Низкие цены хороши для потребителя, но лишают стимула производителя, высокие же, наоборот, стимулируют производство, но снижают покупательную способность населения. Поэтому достижение стабильности цен в современной рыночной экономике означает не "замораживание" их на длительный период, а плановое регулируемое изменение.

. Поддержание внешнеторгового баланса. На практике это означает достижение относительного равновесия между экспортом и импортом, а также стабильный обменный курс национальной валюты на валюты других стран. Если в страну ввозится больше товаров, чем продается за границу, то возникает отрицательное сальдо торгового баланса. Если вывозится больше товаров, чем поступает в страну, то говорят о положительном сальдо. На состояние торгового баланса значительное влияние оказывает курс валюты - величина денежной единицы одной страны, выраженной в денежной единице другой страны. Повышение или понижение курса валют может изменить достигнутый баланс и вызвать положительное или отрицательное сальдо.

. Высокий уровень занятости. Он достигается в случае, если каждый желающий получить работу находит ее. Но это не означает, что полная занятость охватывает все трудоспособное население страны. В любой стране в каждый данный момент времени есть определенное количество людей, временно не работающих в связи со сменой места работы или места жительства. Кроме того, всегда есть структурная безработица, обусловленная несоответствием структуры новых рабочих мест, связанных с внедрением новых технологий, имеющейся структуре рабочей силы и отставанием последней по квалификационным требованиям и новым профессиям от спроса на эти профессии.

По уровням функционирования и управления национальная экономика подразделяется на макроуровень (экономика в целом), мезоуровень (отрасли, регионы) и микроуровень (предприятия и организации первичного производственного звена) [5, с. 237].

макроэкономический пропорция национальный система

Рис. 1.1 Схема системной модели национальной экономики

Все структурные компоненты, комплексы, потенциалы, сегменты национального рынка опосредованы:

-  формами и правами собственности;

-       движением материальных потоков различных видов ресурсов, участвующих в хозяйственном, воспроизводственном процессе и вовлеченных в экономический оборот в виде затрат сырья, энергии, капитала, труда;

-       финансовыми потоками (денежной массы - наличных и безналичных денег), движением ценных бумаг всех видов (акций, облигаций, векселей и др.);

-       юридической средой (законодательными и нормативно-правовыми актами органов государственной власти всех ветвей и уровней, также системой международных договоров и соглашений).

Социально-экономические процессы, протекающие в национальной экономике, в совокупности образуют единый процесс воспроизводства, который охватывает четыре стадии: производство, обмен, распределение, потребление. Их функционирование и конечный результат оцениваются комплексом важнейших социально-экономических показателей и макропараметров, в том числе накопления и потребления, характеризующих движение общественного продукта. Динамика воспроизводственного процесса описывается, как правило, тремя основными параметрами: объемом (масштабом) производства; темпом развития (скоростью роста или спада); пропорциями системы и процесса воспроизводства, характеризующими сбалансированность его компонентов, равномерность (пропорциональность) развития. Нарушение пропорций, или диспропорции, например в воспроизводственной, отраслевой, технологической, региональной структурах, ведет к падению эффективности и разрушению экономической системы.

Важнейшими характеристиками национальной экономики являются эффективность и конкурентоспособность, отражающие состояние, тенденции, закономерности ее развития, место и роль в системе мирохозяйственных связей, мировой экономике.

Структура национальной экономики представляет собой устойчивые количественные соотношения между ее составными частями. Различают воспроизводственную, социальную, территориальную структуры и инфраструктуру национальной экономики.

Воспроизводственная структура отражает ее деление на наиболее массовые виды экономических субъектов, которые воспроизводятся сами и в результате своей деятельности воспроизводят потоки товаров и услуг между ними. В экономике каждой страны можно выделить три крупные взаимосвязанные группы воспроизводственной структуры: домашние хозяйства, предприятия (предпринимательский бизнес), государство.

Особое место в воспроизводственной структуре занимает домашнее хозяйство. Оно является важной сферой национальной экономики, где потребляется значительная часть национального дохода, накапливаются огромные суммы денежных средств. Эта группа выступает основным поставщиком трудовых ресурсов.

Социальная структура национальной экономики означает деление ее на секторы - совокупности социально- экономических единиц, объединенных определенными социально-экономическими отношениями.

Национальную экономику можно разделить на подобные секторы по группам предприятий, населения, видам труда и другим признакам. Для экономической теории важное значение имеет деление национальной экономики на секторы в соответствии с формами собственности на средства производства.

Отраслевая структура предполагает деление национальной экономики на отрасли - качественно однородные группы хозяйственных единиц, выполняющие в процессе общественного воспроизводства одинаковые по социально- экономическому содержанию функции. В отраслевой структуре выделяют крупные народнохозяйственные отрасли (промышленность, сельское хозяйство, наука и др., причем каждая из них имеет подотрасли). Отраслевая структура играет важную роль в национальной экономике, т.к. именно в отраслевом "разрезе" осуществляется планирование и прогнозирование, происходит учет статистических данных [19, с. 17].

В структуре промышленности основное место принадлежит машиностроению, лесной, химической, легкой, продовольственной промышленности.

Территориальная структура определяется размещением производительных сил на территории страны и означает деление национальной экономики на экономические районы.

Инфраструктура включает в себя отрасли, обслуживающие производство. К ним относятся шоссейные и железные дороги, энерго-, водо- и газоснабжение, связь и другие отрасли.

Структура внешней торговли характеризуется соотношением различных товарных групп в экспорте и импорте.

Структура любой национальной экономики имеет тенденцию к усложнению под влиянием расширения и углубления разделения труда, специализации производства, возникновения новых видов производства и отмирания старых, а также других факторов.

Национальные экономики отличаются друг от друга и по структуре. Различия обусловлены сложившимися подходами к формированию экономик, традициями в производстве и другими факторами.

Переход национальной экономики к рынку невозможен без структурной перестройки страны. Структурные изменения происходят неравномерно, разными темпами. Если одни страны энергично приступают к преобразованиям, то в других, отмечаются незначительные изменения. Целью преобразований является не только установление эффективной экономической структуры народного хозяйства, но и прекращение спада производства, решение социальных проблем и в конечном итоге - формирование рыночных отношений. Это достигается путем ликвидации убыточных производств, созданием новых высокоэффективных рабочих мест, переориентацией производства на выпуск экспортной конкурентоспособной продукции, а также огромным вложением финансовых средств, в т.ч. иностранных инвестиций.

Общей особенностью экономического развития стран, возникших после распада, СССР является глобальная несбалансированность (несоответствие между взаимосвязанными отраслями, объемами произведенной продукции и потребностями в ней). Переход от административно-командной системы к рыночной в значительной степени определил деформацию воспроизводственного цикла.

Для ликвидации всеобщей несбалансированности необходимо более энергичное проведение рыночных реформ, формирование оптимальной структуры народного хозяйства адекватной внутренним потребностям каждой страны и запросом мирового рынка. Для современной внутриполитической обстановки нашей страны нельзя прибегать только к реализации экономического прогноза перехода к рынку, необходима проработка и составления политического прогноза.

1.2 Система макроэкономических пропорций

В большинстве развитых и развивающихся стран национальный продукт представляет собой сумму товаров и услуг, производимых во всех отраслях экономики. Он рассчитывается по системе национальных счетов (СНС), которая представляет взаимосвязь показателей развития экономики на макроуровне. СНС представляет собой способ упорядочения сбора, описания и увязки статистикой информации об экономических операциях, совершаемых хозяйственными субъектами в процессе общественного воспроизводства [2, c. 47].

Основной целью использования СНС является описание макроэкономических показателей, характеризующих результаты и пропорции экономического развития страны для обеспечения комплексного анализа процесса создания национального продукта и национального дохода. Система национальных счетов зародилась в 30-е годы ХХ века и сформировалось к 49-50 годам в наиболее развитых государствах и сейчас применяется в 150 странах мира. В основе этой системы лежит учение английского экономиста Дж. М. Кейнса об экономическом обороте. Непосредственным же создателем СНС является ученик Кейнса, профессор Кембриджского университета Ричард Стоун [2, c. 47].

Причиной возникновения СНС явилась потребность правительств в информации макроэкономического характера, необходимой для экономического анализа, разработки направлений экономической политики, принятия решений, направленных на регулирование рыночной экономики. Однако созданные СНС в отдельных странах существенно различались между собой, так как они сформировались на основе сложившихся национальных статистических и поэтому вошли в противоречие с объективными информационными потребностями в процессе сопоставления экономических показателей различных стран. В итоге возникли трудности в принятии хозяйственных и политических решений на международном и национальном уровне, а также в образовании и использовании бюджетов международных организаций. С целью преодоления возникших проблем статистическая комиссия ООН, обобщив опыт развития стран, разработала в качестве международного стандарта единую методику составления СНС. В 1993 г. эта же комиссия одобрила новую, пересмотренную систему национальных счетов, которую большинство стран мира посчитало необходимым внедрить в ближайшие годы [6, c. 119].

СНС изучает и фиксирует процесс создания, распределения и перераспределения национального продукта и национального дохода в стране. С ее помощью можно определить макроэкономические показатели состояния экономики за разные промежутки времени, чтобы на основе этой информации определить степень достижения целей национальной экономики, выработать экономическую политику, провести сравнительный анализ экономических потенциалов разных стран.

Особенностью СНС является ее всеобъемлющий характер. Во-первых, она учитывает деятельность всех участников процесса производства материальных благ и оказания услуг: органов государственного управления, армии, лиц свободной профессии, наемной прислуги и т.д. Во-вторых, СНС содержит показатели, которые в обобщающем виде описывают все экономические операции, стадии производственного процесса, его активы и пассивы.

В СНС изучаются операции между субъектами национальной экономики. К экономическим субъектам (агентам) национальной экономики здесь относятся хозяйственные единицы, совершающие экономические операции с материальными или финансовыми активами. Экономические агенты группируются в 6 секторов:

)   нефинансовые предприятия - производственные фирмы и предприятия, выпускающие товары и оказывающие услуги (кроме финансовых). В этот сектор входят государственные предприятия, частные компании, кооперативы, акционерные общества и другие фирмы, выпускающие продукцию или оказывающие услуги. Кроме того, сюда включают ремесленников, самостоятельных работников (частных врачей, юристов и др.), предпринимателей;

)   финансовые учреждения и организации - коммерческие банки, страховые компании, пенсионные фонды и другие юридические лица, занимающиеся посреднической деятельностью в области финансов между сберегателями и инвесторами, аккумулирующие временно свободные капиталы домашних хозяйств и юридических лиц и предоставляющие им ссуды;

)   государственные учреждения, оказывающие услуги, которые не являются объектом купли-продажи:

-  органы государственного управления (парламент, правительство, суды, министерства, ведомства);

-       государственные финансово-кредитные организации (национальный банк, государственные финансовые компании, налоговые инспекции и др.);

-       другие государственные учреждения;

4) частные некоммерческие организации, обслуживающие домашние хозяйства. Главная особенность таких организаций заключается в том, что их деятельность не финансируется и не контролируется государством. К ним относятся различные общественные фонды, партии, профсоюзы, ассоциации, религиозные организации;

)   домашние хозяйства. В эту группу входят собственно домашние хозяйства и лица, выполняющие экономические операции для обеспечения своей жизнедеятельности (солдаты, заключенные и др.);

)   заграница (остальной мир) - все экономические агенты за границей, осуществляющие операции с субъектами внутри страны [6, c. 119].

При анализе секторов необходимо указать на особый характер связи, осуществляемой между ними посредством экономических операций. Под операцией в СНС подразумевают экономическое действие по взаимному соглашению между институциональными единицами (субъектами) с целью создания, передачи, обмена, преобразования или ликвидации экономической стоимости. Различают операции между институциональными единицами и операции внутри институциональных единиц. К последним относятся строительство жилого дома, производство автомобиля, выпечка хлеба, выдача банком ссуды.

По характеру осуществления экономические операции разделены на:

а) операции, реализуемые на компенсационной основе, т.е. когда поток товаров и услуг имеет встречный ему - денежный;

б) трансферты, имеющие одностороннюю направленность. Примерами могут служить налоги, штрафы, рента, процент и т.д. Если же в основу классификации экономических операций положить иной критерий - характер связи экономических субъектов, то можно выделить три основные группы операций:

-  с материальными благами и услугами. Эти операции охватывают экономические процессы производства, распределения и обмена материальных благ и услуг (производство, импорт, инвестиции и др.). Они отражаются на счетах производства, потребления и капиталообразования в форме таких показателей, как продукция, потребление, валовые капитальные вложения и др.;

-       по распределению доходов между секторами (заработная плата, дивиденды и др.);

-       финансовые операции (с ценными бумагами, валютой, по изменению денежных активов и пассивов).

Современная СНС состоит из трех взаимосвязанных блоков. Первый позволяет сопоставить инвестиции и сбережения, дать количественную оценку созданию, распределению и конечному использованию национального дохода. Второй предназначен для анализа создания и распределения продукта между отраслями, отображаемого в таблицах «затраты - выпуск» В. Леонтьева. Третий блок представляет собой счета потоков фондов и отражает движение финансовых активов в виде покупок и продаж на денежном рынке [6, c. 120].

В экономической теории и статистике зарубежных стран для характеристики конечных результатов годового производства используются макроэкономические показатели, исчисленные на основе системы национальных счетов: валовой национальный продукт (ВНП), валовой внутренний продукт (ВВП), национальный доход (НД), чистый национальный продукт (ЧНП) и др.

В национальной статистике некоторых государств (США, Японии) основным показателем результативности национальной экономики считается валовой национальный продукт. Он представляет собой рыночную ценность всех конечных товаров и услуг, произведенных в экономике за определенный период времени (обычно за год). Следует отметить, что конечными товарами и услугами являются те из них, которые приобретаются в течение года для конечного потребления и не используются в целях промежуточного потребления (т.е. в производстве других товаров и услуг). ВНП характеризует стоимостной объем конечной пропорции, созданный резидентами на территории данного государства и иностранным сектором экономики, но не включает деятельность нерезидентов на экономической территории этой страны. При его расчете учитывается вся стоимость конечных товаров и услуг, которые производятся отечественными предприятиями (фирмами, организациями) внутри страны и к этой сумме прибавляется (или отнимается) сальдо между платежами за границу и платежами из за границы. Таким образом, в основу расчета ВНП положен национальный принцип: учитывается стоимость продукции, произведенной резидентами данной страны независимо от их нахождения [2, c. 47].

Валовой внутренний продукт является своеобразной модификацией ВНП, но в отличие от последнего охватывает результаты деятельности на территории данной страны всех экономических субъектов независимо от их национальной принадлежности. Различие между ВНП и ВВП двоякое. С одной стороны, при расчетах ВВП из ВНП вычитается сумма доходов от использования ресурсов данной страны за рубежом (заработная плата, проценты, дивиденды и т.д.). С другой стороны, при расчете ВВП к ВНП прибавляются аналогичные доходы иностранцев, получаемые в данной стране. Например, дивиденды, получаемые иностранными инвесторами, учитываются в ВНП страны их постоянного проживания и в ВВП страны, акции корпораций которой приобретены иностранцами. Таким образом, величина ВНП отличается от величины ВВП на сумму, равную сальдо торгового баланса, т.е. это разность между стоимостью экспорта и импорта страны. Положительное сальдо увеличивает размеры продукта общества, и, следовательно, ВНП будет больше ВВП.

Существуют три метода измерения ВВП (ВНП): производственный (по добавленной стоимости), распределительный (по доходам) и конечного использования (по расходам). Эти методы отражают процессы производства, распределения и использования национального продукта [2, c. 47].

Производственный метод базируется на исключении из стоимости всех выпущенных товаров и услуг той их части, которая была израсходована в процессе производства. Дело в том, что производство товаров и услуг охватывает несколько этапов: на одних предприятиях сырье превращается в промежуточный продукт (узлы, детали, комплектующие), который затем передается другим предприятиям, выпускающим готовый продукт. Поэтому расчет стоимости всей конечной продукции и услуг заключается в суммировании стоимости, добавленной на каждой стадии производства.

Добавленная стоимость - это стоимость, созданная в процессе производства. Она не включает стоимость потребленного сырья и материалов. Чтобы определить денежную величину добавленной стоимости, необходимо из объема продаж фирмы вычесть стоимость материалов и комплектующих, приобретенных у поставщиков.

Таким образом, чтобы рассчитать общий ВВП по стране, необходимо сложить стоимость, добавленную всеми ее производителями, включая отчисления на амортизацию, так как основные фонды предприятия участвуют в создании новой стоимости производимой продукции.

Следует отметить, что ВВП должен учитывать всю выпускаемую продукцию. Но часть ее не реализуется на рынках и поэтому с трудом поддается оценке. Это ремонт квартиры ее владельцем, домашняя работа по стирке, уборке, приготовлению пищи, все виды самообслуживания и др. Существует также «теневая» экономика: незаконные доходы от «подпольного» выпуска товаров, самогоноварения, продажи наркотиков и т.п. Объем теневой экономики достигает значительных размеров. В разных странах он составляет от 3 до 25 % ВВП. Эта часть ВВП подсчитывается приблизительно и образует условно начисленную стоимость.

Необходимо также учитывать, что в ВВП входит стоимость товаров, произведенных только за определенный период. Поэтому, например, сделки с уже существующими активами, например домами, не включаются в ВВП, так как они не являются результатами текущего производства. Но если дом построен в нынешнем году, его стоимость целиком учитывается в ВВП.

ВВП, рассчитанный по производственному методу, кроме добавленных стоимостей, включает и чистые косвенные налоги. В СНС это налоги на производство и импорт. Чистые косвенные налоги представляют собой разницу между суммой всех налогов на производство и импорт, уплаченных предприятиями, и субсидиями на производство и импорт, полученными от государства.

При расчете ВВП (ВНП) по распределительному методу (по доходам) суммируются все виды факторных доходов (заработная плата, рента, проценты и т.д.), а также два компонента, не являющимися доходами: амортизационные отчисления и чистые косвенные налоги на бизнес, т.е. налоги минус субсидии. Вместе с тем представляется важным рассмотрение потока доходов, которые получают владельцы факторов производства. Совокупный доход в экономике, получаемый владельцами факторов производства, называется валовым внутренним доходом. Если к валовому внутреннему доходу, представляющему собой сумму первичных доходов, добавить сальдо факторных доходов из-за границы, мы получим валовой национальный доход [5, c. 82].

Различают два вида доходов: трудовые и от собственности. Основную часть трудовых доходов составляет заработная плата. Кроме того, сюда входят доходы владельцев некорпорированных предприятий, получаемые как вознаграждение за их труд.

Доходы от собственности (предпринимательские доходы) включают:

1) рентные доходы, т.е. доходы от передачи прав (на землю, на патенты, на разработку недр и др.);

2)      прибыль от вложения собственного капитала в свои предприятия;

3)      прибыль корпораций - доход на капитал (оборудование, здания, патенты) в корпорированном секторе экономики;

4)      чистый процентный доход - выплаты бизнеса и внешнего мира фирмам и хозяйствам данной страны за предоставленные кредиты.

При анализе движения доходов принято выделять следующие фазы: образование доходов, первичное распределение, перераспределение, формирование конечных (располагаемых) доходов, использование располагаемых доходов для финансирования конечного потребления и сбережения.

Располагаемый доход - это доход, поступающий домашним хозяйствам. Отметим, что не весь валовой национальный доход поступает в распоряжение домашних хозяйств, так как отдельные его элементы исключаются из выплат этим хозяйствам.

Вместе с тем некоторые виды доходов, поступающих домашним хозяйствам, не включаются в валовой национальный доход и поэтому должны быть прибавлены к нему. Из валового национального дохода исключается часть прибыли фирм, которая остается в их распоряжении и налоги на прибыль корпораций; прибавляются: часть прибыли, поступающая в распоряжение акционеров корпорации в виде дивидендов, выплаты процентов правительством, так как они первоначально включаются в трансфертные платежи, трансфертные платежи - пособия на детей и другие социальные выплаты. В результате получается валовой располагаемый доход (ВРД). ВРД выступает в форме потребительских расходов домашних хозяйств - общие затраты домашних хозяйств на товары и услуги. Они составляют до 90 % ВРД. Остаток ВРД представляет собой национальные сбережения.

Сбережения - та часть ВРД, которая идет на накопления. Сбережения осуществляются путем покупки ценных бумаг, приобретения недвижимости или драгоценностей, а также помещением денег на депозит в банке. Доля личных сбережений в ВРД называется нормой личных сбережений. Она колеблется от 22% (в Италии) и 18% (в Японии) до 4% (в США).

При расчете ВВП (ВНП) по расходам (метод конечного использования) суммируются расходы всех экономических агентов, использующих этот продукт: домашних хозяйств, фирм, государства и иностранцев (расходы на наш чистый экспорт). Фактически речь идет о совокупном спросе на произведенный ВВП (ВНП). Расчет ВВП (ВНП) по расходам осуществляется по формуле [2, c. 49]:

ВВП (ВНП) = С + I + G + Хн                                                                (1.1)

где С - личные потребительские расходы, включающие расходы домашних хозяйств на товары длительного пользования и текущего потребления, на услуги, но не включающие расходы на покупку жилья;

I - валовые инвестиции, включающие производственные капиталовложения или инвестиции в основные производственные фонды (затраты фирм на приобретение новых производственных предприятий и оборудования); инвестиции в жилищное строительство; инвестиции в запасы (рост запасов учитывается со знаком "+", уменьшение - со знаком "-"). Валовые инвестиции (инвестиции, которые увеличивают запас капитала в экономике) можно также представить как сумму чистых инвестиций и амортизации;

G - государственные закупки товаров и услуг, например, на строительство и содержание школ, дорог, содержание армии и государственного аппарата управления и пр. Однако, это лишь часть государственных расходов, финансируются из госбюджета. Сюда не входят, например, чистый экспорт товаров и услуг за рубеж, рассчитываемый как разность экспорта и импорта.

При подсчете ВНП необходимо учесть все расходы, связанные с покупками конечных товаров и услуг, произведенных в данной стране, в том числе и расходы иностранцев, т.е. стоимость экспорта данной страны. Одновременно необходимо исключить из покупок экономических агентов данной страны те товары и услуги, которые были произведены за рубежом, т.е. стоимость импорта.

Приведенное уравнение ВВП (ВНП) часто называют основным макроэкономическим тождеством. Различие между составляющими ВВП (ВНП) - С, I, G, Хн - базируется главным образом на различии между типами покупателей, осуществляющих эти затраты (домашние хозяйства, фирмы, государство, иностранцы), а не на различии покупаемых благ и услуг. Так, автомобиль, купленный домашним хозяйством, включается в компонент С; если же он приобретен фирмой - это часть инвестиций в основные фонды и т.д. Исключение составляют инвестиции в жилищное строительство, которые включаются в ВВП (ВНП) без деления на составляющие в зависимости от того, кто осуществил эти инвестиции - домашние хозяйства, бизнес или государство.

Среди компонентов ВВП (ВНП) самыми большими обычно бывают потребительские расходы (С), а самыми изменчивыми - инвестиционные расходы (I).

На основе ВВП (ВНП) рассчитываются и другие макроэкономические показатели (чистый национальный продукт, национальный доход, личный доход, располагаемый личный доход, потребление, сбережения, валовой национальный располагаемый доход).

На основе ВВП (ВНП) рассчитываются и другие макроэкономические показатели (чистый национальный продукт, национальный доход, личный доход, располагаемый личный доход, потребление, сбережения, валовой национальный располагаемый доход):

Чистый национальный продукт можно получить из ВНП, вычитая из него амортизационные отчисления (А) [2, c. 51]:

ЧНП=ВВП - А                                                                               (1.2)

Существует разница между ценами, по которым покупают товары потребители, и продажными ценами фирм. Эта разница представляет собой косвенные налоги на бизнес (налог на добавленную стоимость, акцизные сборы, импортные пошлины, налоги на монопольные виды деятельности и т.д.).

Национальный доход (НД) - показатель, представляющий суммарный доход всех жителей страны, получается, если из ЧНП вычесть чистые косвенные налоги на бизнес, т.е. косвенные налоги за вычетом субсидий бизнесу.

Личный доход (ЛД), получается путем вычитания из национального дохода взносов на социальное страхование, нераспределенной прибыли корпораций, налогов на прибыль корпораций и добавления суммы трансфертных платежей. Необходимо также вычесть чистый процент и прибавить личные доходы, полученные в виде процента, в том числе процент по внутреннему государственному долгу.

Располагаемый личный доход (РЛД) исчисляется путем уменьшения личного дохода на сумму подоходного налога с граждан и некоторых неналоговых платежей государству. Располагаемый личный доход используется домашним хозяйством на потребление и сбережения.

Потребление (С) - важнейшая составляющая ВВП (ВНП). В долгосрочной перспективе изменения ВВП (ВНП) и потребительских расходов приблизительно одинаковы, но в краткосрочном периоде потребительские расходы колеблются в меньшей степени, чем ВВП (ВНП), так как они зависят главным образом от располагаемого дохода, прирост или уменьшение которого как по величине, так и по своим компонентам не совпадает с динамикой ВВП (ВНП). Например, две важнейших составляющих располагаемого личного дохода, отличающие его от ВВП (ВНП) - налоги (при прогрессивной системе налогообложения) и трансферты действуют как автоматические стабилизаторы в периоды спадов и подъемов: налоги снижаются в период спада, а трансферты растут, поэтому располагаемый личный доход сокращается не так быстро, как ВВП (ВНП).

Сбережения (S) определяются как доход за вычетом потребления.

Располагаемый доход может определяться не только на уровне домашних хозяйств (располагаемый личный доход), но и экономики в целом.

Систему основных макроэкономических показателей, введенную в статистическую практику системой национальных счетов (СНС), и которую широко используют в настоящее время страны с рыночной экономикой, и внедряют страны СНГ можно представить в виде системы основных показателей ВНП (ВВП), которая отражена на рисунке 1.2.

Рис. 1.2 Система основных показателей валового национального продукта

Валовой национальный располагаемый доход (ВНРД) получается путем суммирования ВНП и чистых трансфертов из за рубежа, т.е. трансфертов, полученных от «остального мира» за вычетом аналогичных трансфертов, переданных за рубеж. Валовой национальный располагаемый доход используется для конечного потребления и национального сбережения.

В экономической теории различают следующие виды ВВП (ВНП):

    номинальный ВВП (ВНП) - исчисляется в текущих или действующих ценах;

    реальный ВВП (ВНП) - скорректированный номинальный ВВП с учетом уровня цен (инфляция или дефляция). Например, реальный ВВП рассчитывается по формуле [2, c. 52]:

Реальный ВВП = Номинальный ВВП х 100                                (1.3)

Фактический ВВП - это ВВП при неполной занятости, который отражает реализованные возможности экономики. Потенциальный ВВП - это ВВП при полной занятости, он отражает потенциальные возможности экономики. Последние могут быть намного выше реальных. Разница между фактическим и потенциальным ВВП называется разрывом ВВП.

ВВП страны может быть выражен как в национальной валюте, и при необходимости справочно пересчитан по биржевому курсу в иностранную валюту, так и может быть представлен по паритету покупательной способности (ППС) (для более точных международных сравнений). Сегодня так называемая «рыночная стоимость» не может считаться определённой или стабильной величиной, следовательно ВВП и прочие подобные понятия и категории являются просто некой общепринятой абстракцией.

Реальный ВВП - более точная характеристика национальной экономики. Отношение номинального к реальному ВВП показывает изменение ВВП в результате изменения цен и называется дефлятором ВВП. При этом нужно иметь в виду, что дефлятор ВВП включает не только цены потребительских товаров и услуг, но также цены инвестиционных товаров, товаров, покупаемых правительством, а также товаров и услуг, купленных и проданных на мировом рынке.

-  фактический ВВП определяется в реальных условиях, а потенциальный - с учетом достижения полной занятости и использования всего производственного потенциала.

-       созданный ВВП исчисляется как совокупность рыночной стоимости конечной продукции и услуг, созданных за год.

-       распределенный ВВП исчисляется как сумма доходов всех предприятий, предпринимательских структур и населения, занятых производством материальных благ и оказанием услуг, т.е. сумма доходов в форме зарплаты, процента на капитал, ренты и прибыли, а также сумма амортизации и отчислений на социальное страхование.

-       использованный ВВП исчисляется как сумма конечного потребления материальных благ и услуг населением, инвестиций - предприятиями, государственных расходов и сальдо внешней торговли (экспорта и импорта).

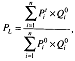
Индексы цен используются для оценки изменения темпов инфляции, динамики стоимости жизни.

Индекс потребительских цен (ИПЦ, или CPI в английской аббревиатуре - consumer price index) показывает изменение среднего уровня цен "корзины" товаров и услуг, обычно потребляемых средней городской семьей. Состав потребительской корзины фиксируется на уровне базисного года.

ИПЦ рассчитывается по типу индекса Ласпейреса, или индекса цен с базисными весами (набором благ, фиксированным по базисному году):

                                                                                        (1.4)

где Pi0 и Pit - цены i-го блага, соответственно, в базисном (0) и текущем (t) периоде;

Qi0 - количество i-го блага в базисном периоде;

PL - индекс потребительских цен.

Индекс данного типа не учитывает изменения в структуре весов в текущем периоде по сравнению с базисным, что несколько искажает результат. Так, ИПЦ, где используется потребительская корзина базисного года, не принимает во внимание изменений в структуре потребления в текущем периоде, например, замену более дорогих благ более дешевыми в условиях роста цен. Это приводит к завышению роста стоимости жизни, если в качестве оценочного показателя используется ИПЦ.

Индекс цен - неявный дефлятор ВВП, или, как его кратко называют, дефлятор ВВП, - рассчитывается по типу индекса Пааше, т.е. индекса, где в качестве весов используется набор благ текущего периода:

                                                                                      (1.5)

где Qit´- количество i-го блага в текущем периоде;

PP - дефлятор ВВП.

Если вместо Q мы подставим весь набор благ, представленный в ВВП, а вместо P, соответственно, их цены, то получим дефлятор ВВП. Фактически он равен отношению номинального ВВП к реальному е текущем периоде:

Дефлятор ВВП =(Номинальный ВВП)/(Реальный ВВП)

В отличие от индекса Ласпейреса индекс Пааше несколько занижает рост уровня цен в экономике, поскольку также не учитывает динамику структуры весов, но фиксирует ее уже в текущем периоде. Если с его помощью оценивать рост стоимости жизни, то не будет учтено влияние на потребителей повышения цен на блага, которые присутствовали в наборе базисного года, но отсутствуют в наборе текущего года. Индекс Фишера отчасти устраняет недостатки индексов Ласпейреса и Пааше, усредняя их значение:

                                                                                    (1.6)

где PF - индекс Фишера.

ВВП измеряется в номинальных и реальных величинах. Обычно используется номинальный ВВП в статистике, но для того, чтобы избежать искажений при анализе основного макроэкономического показателя, следует корректировать номинальный ВВП на уровень цен.

Таким образом, в итоге отметим, что приведенные выше определения и качественные признаки, отражая сущностные характеристики, общее содержание понятия «национальная экономика», позволяют научно обоснованно вести исследование реальных социально-экономических процессов, экономических структур и институтов и логически корректно, доказательно излагать основные цели, способы, характеристики и закономерности функционирования и развития социально-экономической системы Беларуси, ее конкретно-исторической формы - белорусской экономической модели.

В большинстве развитых и развивающихся стран национальный продукт представляет собой сумму товаров и услуг, производимых во всех отраслях экономики. Он рассчитывается по системе национальных счетов (СНС), которая представляет взаимосвязь показателей развития экономики на макроуровне. В экономической теории и статистике зарубежных стран для характеристики конечных результатов годового производства используются макроэкономические показатели, исчисленные на основе системы национальных счетов: валовой национальный продукт (ВНП), валовой внутренний продукт (ВВП), национальный доход (НД), чистый национальный продукт (ЧНП) и др.

2. Предпосылки становления, функционирования и развития национальной экономики Республики Беларусь. Современное состояние национальной экономики Республики Беларусь и ее главные макроэкономические пропорции

.1 Особенности становления и развития национальной экономики Республики Беларусь

Республика Беларусь после распада СССР стала самостоятельным суверенным государством и получила в наследство достаточно развитую относительно других бывших республик экономику с многоотраслевой структурой. Преимущественную роль в ней играли машиностроение, химическая и нефтехимическая, лесная и деревообрабатывающая, легкая и пищевая промышленность, животноводство, льноводство и картофелеводство. Продукция этих отраслей в больших объемах вывозилась за пределы страны для удовлетворения общесоюзных потребностей.

Однако в условиях переходного к рыночным отношениям периода сложившиеся производственно-экономические связи были нарушены, экономический кризис привел к потере или значительному сокращению рынков сбыта белорусских товаров, потере дешевых источников топливно-энергетических и сырьевых ресурсов. В связи с низким платежеспособным спросом населения и ухудшением финансового положения предприятий (более 1/3 - убыточные), такая экономика перестала быть востребованной как на внутреннем, так и на внешних рынках, а в число актуальнейших выдвинулась проблема ее модернизации и структурной перестройки в соответствии с современными требованиями рыночной экономики и мировыми тенденциями.

В первые годы экономического кризиса структурные преобразования осуществлялись стихийно, преимущественно на основе косвенного регулирования с помощью монетаристских подходов - либерализации хозяйственной жизни, приватизации, жесткой денежно-кредитной политики, что не привело к ожидаемому результату.

По мере выхода из кризисного состояния утвердилось мнение о необходимости использования инвестиционной составляющей как важнейшего рычага структурных преобразований и повышения роли государства в их осуществлении на основе разработки и реализации эффективной инновационно-инвестиционной политики, учитывающей специфические особенности нашей страны и мировой опыт.

В экономике Беларуси сложился ряд структурных деформаций, как унаследованных от бывшего СССР, так и возникших вследствие экономического кризиса. Основными из них являются:

-  несоответствие структуры производства внутреннему и внешнему спросу, выражающееся в неполном использовании созданных ранее для удовлетворения общесоюзных потребностей производственных мощностей, значительных объемах нереализованной готовой продукции, увеличении числа убыточных предприятий, росте дебиторской и кредиторской задолженностей;

-       высокие энерго- и материалоемкость производства, его зависимость от импортных поставок топливно-энергетических и сырьевых ресурсов;

-       высокий уровень физического и морального износа активной части основных фондов вследствие недостатка инвестиционных средств не только для расширенного, но и простого их воспроизводства;

-       недостаточный уровень развития наукоемких экспортных производств, имеющих высокую долю добавленной стоимости.

Системный подход к решению проблемы структурной перестройки и повышению на ее основе конкурентоспособности продукции означает, что недостаточно принять некий «план мероприятий» по ее улучшению - в действующей системе экономических координат его реализация вряд ли сможет оказать длительное, устойчивое воздействие на структуру экономики конкурентоспособность. Необходимо обновить не только технологии и парк действующего оборудования, но и воспроизводственную, отраслевую и технологическую структуры экономики, набор инструментов, стимулирующих работу предприятий.

При преобразовании структуры экономики предстоит усовершенствовать межсекторные, межотраслевые и межрегиональные пропорции (между государственным и частным секторами; производством, потреблением и накоплением; отраслями специализации, ориентированными на экспорт продукции, и вспомогательными и обслуживающими производствами; промышленностью и сельским хозяйством; отраслями, производящими товары, и сферой услуг; между крупным и мелким бизнесом), оптимизировать пропорции в уровне социально-экономического развития областей и г. Минска, усилить социальную ориентацию преобразований.

После развала традиционных хозяйственных связей борьба за предотвращение экономического коллапса в стране и необходимость проведения деятельности по социальной защите населения поставили государство как единственный институт, который был в состоянии обеспечить решение этих задач, в центр общественно-экономической системы Беларуси. Сегодня централизованное управление должно быть дополнено механизмами конкуренции и инновационной деятельности.

При определении направлений структурных преобразований необходимо исходить из принципов:

-  многоукладности экономики, обеспечения равных условий хозяйствования всем юридическим и физическим лицам;

-       концентрации ресурсов на эффективном использовании конкурентных преимуществ как базовых точек роста и приоритетных направлений структурной политики;

-       постепенной трансформации отношений собственности, развития предпринимательства, либерализации всех видов экономической деятельности;

-       перехода на инновационный путь развития;

-       социальной ориентации перспективной структуры экономики, ускоренной динамики сферы услуг;

-       приоритетности развития наукоемких, высокотехнологичных, конкурентоспособных, экспортоориентированных и импортозамещающих нересурсоемких отраслей и производств с высокой долей добавленной стоимости;

-       учета факторов глобализации экономики, региональной интеграции, прежде всего с Россией и другими странами СНГ;

-       гармонизации развития крупного производства (создание национальных и вхождение в транснациональные корпоративные структуры) и малого предпринимательства;

-       обеспечения рационального использования природно-экономических, демографических и других местных ресурсов;

-       комплексного развития производительных сил страны и ее регионов;

-       экологизации экономики, сохранения окружающей среды для нынешнего и будущих поколений;

-       рационального сочетания системы государственного регулирования и рыночного саморегулирования, государственной поддержки наиболее эффективных предприятий и производств.

В качестве критериев успешности реализации указанных структурных преобразований следует использовать обеспечение национальной безопасности (продовольственной, энергетической, финансовой, экологической, оборонной), повышение уровня эффективности и конкурентоспособности экономики Беларуси в сравнении со странами -торговыми партнерами.

В зависимости от того, какую часть структуры предприятия затрагивает реструктуризация, выделяют:

1  предметную реструктуризацию - систему кардинальных изменений в технологии и технических средствах предприятия;

2       организационную реструктуризацию - систему мер, связанных с организационно-экономическими преобразованиями, изменением юридического статуса предприятия. Оба вида реструктуризации на практике редко встречаются в чистом виде. Как правило, они проводятся одновременно.

Хотя программы структурной перестройки неоднократно фигурировали в правительственных документах, в большинстве стран СНГ, включая Беларусь, она так и не началась в крупных масштабах. Основная причина такой тенденции - недостаток теоретических разработок, финансовых средств, организационных мероприятий.

Основные направления структурных изменений экономики в Республике Беларусь выбраны таким образом, чтобы обеспечивать преодоление существующих в экономике диспропорций: сокращение разрыва между сферой производства и сферой услуг, уменьшение доли военного производства, преодоление значительной неравномерности в технической и технологической оснащенности предприятий различных отраслей и секторов экономики. Критериями оптимальной структуры экономики являются общая эффективность, конкурентоспособность, устойчивость к циклическим колебаниям.

Основой структурного преобразования национальной экономики Республики Беларусь должен стать переход на природоохранный, ресурсосберегающий, инновационный тип развития экономики; усиление взаимосвязи экономики и экологии, формирование экологоориентированной экономической системы, развитие ее в пределах хозяйственной емкости экосистем; рациональное природопользование, предполагающее нерасточительное расходование возобновимых и максимально возможное уменьшение потребления невозобновимых ресурсов, расширение использования вторичных ресурсов, безопасную утилизацию отходов.

Отраслевая структура Республики Беларусь характеризует деление национальной экономики на отрасли - качественно однородные группы хозяйственных единиц, выполняющие одинаковые по социально-экономическому содержанию функции в процессе общественного воспроизводства. В отраслевой структуре выделяют крупные народнохозяйственные отрасли (промышленность, сельское хозяйство, строительство, наука, транспорт и связь и др.), имеющие подотрасли. Отраслевая структура играет важную роль в национальной экономике, так как именно в отраслевом «разрезе» осуществляется планирование и прогнозирование, учитываются результаты функционирования национальной экономики.

Важнейшим средством структурной перестройки белорусской экономики, обеспечения устойчивости развития национальной экономики и решения социальных задач является дальнейший рост валового внутреннего продукта, развитие межотраслевых комплексов и отраслей народного хозяйства.

Динамика ВВП в Республике Беларусь в 1995-2012 гг. приведена в таблице 2.1.

Таблица 2.1 Динамика ВВП в Республике Беларусь в 1995-2012 гг.

Показатель

1995

2000

2001

2002

2003

2004

2005

2006

2007

2008

2009

2010

2011

2012

Валовой внутренний продукт:

в текущих ценах, млрд. руб.

121 403

9134

17173

26138

36565

49992

65 067

79 267

97 165

129 791

137 442

164 476

274 282

527385

в сопоставимых ценах, в процентах к предыдущему году

89,6

105,8

104,7

105,0

107,0

111,4

109,4

110,0

108,6

110,2

100,2

107,7

105,5

101,5

в сопоставимых ценах, в процентах к 2005 году

-

-

-

-

-

-

100

120,3

130,7

144

144,3

155,4

164

166,4

Валовой внутренний продукт на душу населения, тыс. руб.

11 909

915

1730

2649

3732

5138

6733

8253

10163

13622

14457

17330

31368

55724


Отметим, что в сопоставимых ценах в процентах в 2005 году ВВП в Республике Беларусь вырос за 6 лет на 66,4 % и составил в 2012 году 527 385 млрд. руб. или 55 724 тыс. руб. на человека.

В целом отмечается положительная динамика увеличения ВВП в стране, однако хотелось бы отметить, что начиная с 2008 года темп роста показателя серьезно снизился (с 110,2 % в 2008 году до 101,5 % в 2012 году), при этом сохранив положительный прирост.

В 2005 и 2012 распределение ВВП в Беларуси по производству товаров и услуг распределялось следующим образом (таблица 2.2):

Таблица 2.2 Структура ВВП в Республике Беларусь в 2005-2012 гг.

Показатель

2005

2012

Изменение


Млрд. руб.

% от итога

Млрд. руб.

% от итога

Млрд. руб.

% от итога

Производство товаров

30163,40

46,36

129339,40

47,16

99176,00

0,80

Производство услуг

26514,80

40,75

117789,20

42,94

91274,40

2,19

Косвенно измеряемые услуги финансового посредничества

-729,8

-1,12

-9359,3

-3,41

-8629,50

-2,29

Чистые налоги на продукты

9118,7

14,01

36512,8

13,31

27394,10

-0,70

ВВП

65067,10

100,00

274282,10

100,00

209215,00

0,00


Валовой внутренний продукт в 2020 г. предусматривается увеличить по сравнению с базисным 2005 годом в 2,0-2,3 раза, инвестиции в основной капитал - в 2,4-2,7, продукцию промышленности - в 1,6-1,7, сельского хозяйства - в 1,6, сферы услуг - в 2,3-2,6 раза. В результате Беларусь по производству ВВП на душу населения приблизится к странам Евросоюза с 30% в 2002 г. до 60% в 2020 г. с учетом того, что темпы роста ВВП в ЕС составят 2-3% в год.

В Республике Беларусь принята система определения не по отраслевому признаку, а по видам экономической деятельности. В связи с этим, исчисление доходов и добавленной стоимости в национальной экономике происходит по видам экономической деятельности.

В настоящее время виды экономической деятельности классифицируются по Общегосударственному классификатору видов экономической деятельности (ОКЭД), который совместим с Международной стандартной отраслевой классификацией (МСОК) на 4-разрядном уровне.

Рис. 2.1 Валовой внутренний продукт Республики Беларусь по видам экономической деятельности (в процентах к итогу)

Отмечается снижение доли строительства в ВВП на 1 п/п и прочих видов на 3,7 п/п. В структуре экономики страны в прогнозном периоде будет последовательно снижаться доля производства товаров до 37-38% в 2020 г. и возрастать доля сферы услуг - до 50-52% соответственно. В структуре использования ВВП к концу прогнозного периода потребуется увеличение удельного веса накопления до 30-31% и доли инвестиций - до 26-27% против соответственно 21-22% в 2005 г. При этом, несмотря на снижение в структуре ВВП доли конечного потребления, рост его объемов позволит последовательно увеличивать уровень потребления на душу населения.

В 1990-2012 гг. реструктуризацией национальной экономики Беларуси предусматривалось повысить конкурентоспособность национальной экономики, прежде всего за счет улучшения использования факторных условий (природные и трудовые ресурсы, научно-технический и инновационный потенциалы, производственная и социальная инфраструктура), а также создания привлекательного инвестиционного климата и благоприятных условий для предпринимательской деятельности, развития рыночной инфраструктуры, расширения внутреннего потребительского рынка. Для этого необходимо было ускорить формирование социально ориентированной рыночной (многоукладной) экономики, повысить уровень ее эффективности за счет приоритетного развития отраслей и производств, конкурентоспособных как на внутреннем, так и на мировых рынках. В решении этих задач первостепенное значение имела реализация Программы структурной перестройки и повышения конкурентоспособности экономики Республики Беларусь.

Показатели трансформации структуры сельского хозяйства отражены в таблице 2.3.

Таблица 2.3 Производство основных продуктов сельского хозяйства на душу населения, кг


Анализ таблицы 2.3 демонстрирует, что в целом структура производства продукции сельского хозяйства в 1995-2012 гг. не изменилась. Наблюдается рост производства всех видов продукции сельского хозяйства в расчете на душу населения.

Показатели структуры инвестиций в основной капитал приведены в таблице 2.4.

Таблица 2.4 Инвестиции в основной капитал


1995

2000

2005

2011

2012

Инвестиции в основной капитал (в фактически действовавших ценах; млрд. руб.)

22381,6

15095,8

98664,9

154442,4

в том числе:






строительно-монтажные работы (включая работы по монтажу оборудования)

12353,3

896,5

6459,0

44358,0

76226,7

затраты на приобретение машин, оборудования, транспортных средств

7020,6

684,9

7060,3

44672,3

63601,4

прочие работы и затраты

3007,7

227,6

1576,5

9634,6

14614,4

Индексы инвестиций в основной капитал (в сопоставимых ценах; в процентах к предыдущему году)

69,3

102,1

120,0

117,9

88,3

Удельный вес в общем объеме инвестиций, в процентах

100

100

100

100

100

строительно-монтажных работ (включая работы по монтажу оборудования)

55,2

49,6

42,8

45,0

49,4

затрат на приобретение машин, оборудования, транспортных средств

31,4

37,8

46,8

45,3

41,2

прочих работ и затрат

13,4

12,6

10,4

9,7

9,5

Инвестиции в основной капитал за счет иностранных источников






в фактически действовавших ценах; млрд. руб.

1484,9

77,6

420,8

13432,92)

15315,02)

в процентах от общего объема инвестиций

6,6

4,3

2,8

13,62)

9,92)


Анализ таблицы 2.4 свидетельствует о том, что в структуре инвестиций в основной капитал за 1995-2012 гг. произошли некоторые изменения. Так, доля затрат на приобретение машин, оборудования, транспортных средств возросла с 31,4% до 41,2 %. В то же время уменьшилась доля строительно-монтажных работ - с 55,2% до 49,4% и прочих работ и затрат - с 13,4% до 9,5%.

Динамика показателей внешней торговли представлена в таблице 2.5.

Таблица 2.5 Показатели внешней торговли


1995

2000

2005

2011

2012

Объем внешней торговли товарами Республики Беларусь

10 367

15 972

32 687

87 178

92 464

экспорт

4 803

7 326

15 979

41 419

46 060

импорт

5 564

8 646

16 708

45 759

46 404

сальдо

-761

-1 320

-729

-4 340

-344

со странами СНГ 1)

6 704

10 469

18 202

48 470

53 834

экспорт

3 027

4 399

7 060

20 375

23 693

импорт

3 677

6 070

11 142

28 095

30 141

сальдо

-650

-1 671

-4 082

-7 720

-6 448

из них с Россией

5 150

9 315

15 834

39 439

43 860

экспорт

2 185

3 710

5 716

14 509

16 309

импорт

2 965

5 605

10 118

24 930

27 551

сальдо

-780

-1 895

-4 402

-10 421

-11 242

со странами вне СНГ 2)

3 663

5 503

14 485

38 708

38 630

экспорт

1 776

2 927

8 919

21 044

22 367

импорт

1 887

2 576

5 566

17 664

16 263

сальдо

-111

351

3 353

3 380

6 104


Анализ таблицы 2.5 свидетельствует о том, что значительных изменений в структуре внешней торговли за 1995-2012 гг. не произошло. Около 50% товарооборота страны обеспечивается торговлей с Россией.

Показатели изменения сферы торговли представлены в таблице 2.6.

Таблица 2.6 Распределение розничного товарооборота торговли через все каналы реализации по формам собственности


1995

2000

2005

2010

2011

2012

Розничный товарооборот торговли через все каналы реализации

100

100

100

100

100

100

в том числе по формам собственности:







государственная

37,1

23,9

14,9

11,9

11,4

10,6

частная

62,7

75,5

83,0

83,2

82,9

83,3

из нее организаций потребительской кооперации

15,4

13,0

9,1

8,9

8,9

8,4

иностранная

0,2

0,6

2,1

4,9

5,7

6,1


На основе анализа таблицы 2.6 можно отметить значительные изменения в структуре распределения розничного товарооборота.

Товарооборот через организации частной формы собственности возрос с 62,7% до 83,3% в 2012 г. В то время товарооборот через организации государственной собственности уменьшился с 37,1% в 1995 г. до 10,6% в 2012 г.

Анализ статистической информации свидетельствует о неизменности, начиная с января-августа 2013 г., темпов экономического роста. При этом сохраняются высокие темпы роста потребительских и инвестиционных расходов в экономике при отрицательном сальдо внешней торговли товарами и услугами.

Объем валового внутреннего продукта в январе-ноябре 2013 г. составил 557 трлн. рублей и увеличился в сопоставимых ценах к уровню января-ноября 2012 г. на 0,9 процента (годом ранее - на 2 процента). Основной вклад в рост валовой добавленной стоимости по видам экономической деятельности обеспечили организации розничной торговли и строительстве при отрицательном вкладе предприятий промышленности [9].

В январе-октябре 2013 г. произошло сокращение энергоемкости ВВП на 12 процентов (прогноз на год - снижение на 7 процентов).

Импортоемкость ВВП, по оценке Национального банка, в январе-октябре 2013 г. составила 65,2 процента и снизилась по сравнению с аналогичным периодом прошлого года на 12,4 процентного пункта [9].

Объем промышленного производства в январе-ноябре 2013 г. сократился по сравнению с январем-ноябрем 2012 г. на 4,8 процента (годом ранее увеличился на 6,3 процента) преимущественно за счет сокращения темпов химического производства и производства кокса, нефтепродуктов и ядерных материалов [9]. Соотношение запасов готовой продукции на складах промышленных предприятий и среднемесячного объема промышленного производства на 1 декабря 2013 г. составило 74,3 процента и увеличилось с начала года на 17,8 процентного пункта, в том числе за ноябрь 2013 г. - на 1,2 процентного пункта.

Объем розничного товарооборота в сопоставимых ценах в январе-ноябре 2013 г. увеличился к уровню января-ноября 2012 г. на 17,8 процентов (в январе-ноябре 2012 г. к уровню января-ноября 2011 г. - на 14 процентов). Реализация платных услуг населению в январе-октябре 2013 г. по сравнению с январем-октябрем 2012 г. в сопоставимых ценах увеличилась на 8,5 процента (годом ранее - на 8,6 процента) [9].

Реальная заработная плата в январе-октябре 2013 г. по сравнению с январем-октябрем 2012 г. увеличилась на 17,9 процентов (в январе-октябре 2012 г. - 18,1 процента по сравнению с январем-октябрем 2011 г.) При этом увеличение заработной платы по-прежнему опережает рост производительности труда в экономике: за январь-октябрь 2013 г. прирост производительности труда составил 2,3 процента.

Реальные располагаемые денежные доходы населения в январе-октябре 2013 г. по сравнению с январем-октябрем 2012 г. выросли на 17,2 процента (годом ранее - на 18,1 процента) [9].

Инвестиции в основной капитал в январе-ноябре 2013 г. по сравнению с январем-ноябрем 2012 г. в сопоставимых ценах увеличились на 8,2 процента (годом ранее сократились на 14,7 процента). Ввод в эксплуатацию жилья за счет всех источников финансирования увеличился на 16,9 процента, при этом за ноябрь 2013 г по сравнению с октябрем уменьшился на 11,6 процента [9].

Производство продукции сельского хозяйства в январе-ноябре 2013 г. по сравнению с январем-ноябрем 2012 г. сократилось в сопоставимых ценах на 3,9 процента (в январе-ноябре 2012 г. по сравнению с январем-ноябрем 2011 г. увеличилось на 6,7 процента).

Объем перевозок грузов транспортом (без трубопроводного) сократился на 6,7 процентов (в январе-ноябре 2012 г. - на 1,9 процента). Объем грузооборота транспорта (без трубопроводного) сократился на 7,5 процента (в январе-ноябре 2012 г. увеличился на 2,6 процента). Объем пассажирооборота увеличился на 2,6 процента (в январе-ноябре 2012 г. - на 8,1 процента) [9].

Внешнеэкономическая деятельность в январе-октябре 2013 г. по сравнению с январем-октябрем 2012 г. характеризовалась падением средних цен и физических объемов торговли. Товарная масса экспорта уменьшилась на 19 процентов, импорта - на 7,7 процента. При этом средние цены экспорта уменьшились на 2 процента, импорта - на 0,4 процента.

В целом в январе-октябре 2013 г. внешнеторговое сальдо товарами и услугами сложилось отрицательным в размере 829,4 млн. долларов США или минус 1,4 процента к ВВП против положительного внешнеторгового сальдо в размере 3 702,5 млн. долларов США в январе-октябре 2012 г. или 7,1 процента к ВВП [9].

Численность занятых в экономике в январе-октябре 2013 г. составила 4 526,1 тыс. человек, что по сравнению с январем-октябрем 2012 г. меньше на 1,2 процента [9].

В режиме вынужденной неполной занятости в январе-октябре 2013 г. работали 84,1 тыс. человек или 2,5 процента от среднемесячной численности (в январе-октябре 2012 г. - 82,8 тыс. человек или 2,5 процента). В январе-октябре 2013 г. по сравнению с аналогичным периодом прошлого года численность работников, переведенных на работу с неполной рабочей неделей (днем), увеличилась на 23,9 процента и составила 30,3 тыс. человек, а численность работников, которым были предоставлены отпуска по инициативе нанимателя, уменьшилась на 7,8 процента и составила 53,8 тыс. человек [9].

Численность безработных, официально зарегистрированных в органах государственной службы занятости, на конец ноября 2013 г. составила 21,1 тыс. человек и уменьшилась по сравнению с декабрем 2012 г. на 3,8 тыс. человек. Уровень зарегистрированной безработицы на конец ноября 2013 г. составил 0,5 процента от экономически активного населения.

Сальдо бюджета расширенного правительства (консолидированный бюджет с фондом социальной защиты населения) в январе-октябре 2013 г. было сформировано с профицитом в 6,8 трлн. рублей, или 1,3 процента к ВВП (в январе-октябре 2012 г. - 1,8 процента к ВВП).

Совокупный государственный долг на 1 ноября 2013 г. составил 144,6 трлн. рублей, в том числе внутренний - 32,7 трлн. рублей. Внешний государственный долг на 1 ноября составил 12,2 млрд. долларов США [9].

Прирост потребительских цен в ноябре 2013 г. к декабрю 2012 г. составил 13,8 процента (в среднем за месяц 1,2 процента) против 20,1 процента в январе-ноябре 2012 г. (или 1,7 процента в среднем за месяц). В январе-ноябре 2013 г. по сравнению с аналогичным периодом прошлого года замедлился рост цен производителей промышленной и сельскохозяйственной продукции, в строительстве, а также тарифов на грузовые перевозки [9].

Приоритетными задачами денежно-кредитной политики в январе-ноябре 2013 г. явилась реализация мер, направленных на снижение инфляции, поддержание стабильности в денежно-кредитной сфере и на валютном рынке, защиту рублевых сбережений от инфляции.

2.2 Пути развития национальной экономики Республики Беларусь


В 2014-2020 гг. ставится задача приблизить структуру экономики Беларуси к структуре хозяйств экономически развитых стран по удельному весу сферы услуг, доле прогрессивных V и VI технологических укладов, создать условия для формирования постиндустриального общества. В целях обеспечения устойчивого экономического развития необходимо поддерживать рациональные пропорции между ВВП и расходами на экологию, социальную сферу и научно-инновационную деятельность. Инновационный потенциал страны будет ориентирован на повышение качества и конкурентоспособности выпускаемых товаров и услуг.

В Республике Беларусь основные направления социально-ориентированной политики экономического роста находят свое отражение в программных документах, утвержденных Президентом, Советом министров и другими органами государственного управления. Основным программным документом является Национальная стратегия устойчивого развития Республики Беларусь. В Национальной стратегии устойчивого развития Республики Беларусь на период до 2020 г. дальнейшее развитие получили основные положения действующих прогнозных документов, утвержденных Президентом или Советом Министров Республики Беларусь - Основные направления социально-экономического развития Республики Беларусь на период до 2010 г., Программа социально-экономического развития Республики Беларусь на 2001-2015 гг., Комплексный прогноз научно-технического прогресса на 2001-2020 гг., Программа развития промышленного комплекса Республики Беларусь на 1998-2015 гг., Программа структурной перестройки и повышения конкурентоспособности экономики Республики Беларусь, Концепция национальной безопасности Республики Беларусь и другие целевые и отраслевые программы, Программа социально-экономического развития Республики Беларусь на 2011- 2015 годы.

Так как к основным факторам экономического роста на этапе реструктуризации национальной экономики Беларуси относятся природно-ресурсный потенциал, научно-технический потенциал, народонаселение и трудовые ресурсы, то имеет смысл прокомментировать ситуацию в Беларуси.

По сравнению со странами Западной Европы Беларусь отличается большей сохранностью лесных и болотных массивов. Запасы древесины на одного человека составляют 130,4 м3, что в 2,2 раза выше среднеевропейского уровня. С уверенностью можно утверждать, что Беларусь является лесной страной. Об этом свидетельствует также комплексный показатель лесных ресурсов, по которому Беларусь входит в шестую (самую высокую) группу стран. Леса также составляют существенную часть рекреационных ресурсов страны.

Кроме того, в Беларуси имеется более высокая обеспеченность сельскохозяйственными землями в расчете на 1 жителя, в том числе и пахотными (соответственно 0,92 и 0,56 га), что превышает в 1,5-2,0 раза аналогичные показатели в странах Европы. Эта тенденция сохранится и в перспективе. В крупных сельхозпредприятиях благоприятные земли составляют 30,1%, хорошие и удовлетворительные - 59,5%, неудовлетворительные и плохие с заведомо убыточным производством - 10,4%.

За период проводимых реформ после 1991 г. в сельском хозяйстве произошли значительные структурные изменения. При снижении доли животноводства удельный вес растениеводства в валовой продукции сельского хозяйства вырос с 36% в 1990 г. до 53,8% в 2012 г. Увеличилась доля частного сектора в производстве продукции. Хозяйствами населения и фермерами, имеющими в пользовании около 14% всех сельскохозяйственных земель, производится 42,7% валовой продукции сельского хозяйства (в 1990 г. - 23,7%). Созданы и функционируют 2,4 тыс. крестьянских (фермерских) хозяйств на площади 113,8 тыс. га. На начало 2009 г. реорганизовано 325 сельскохозяйственных организаций, из них 15% - в акционерные общества, 39% - в сельскохозяйственные кооперативы, 24% - присоединены к другим организациям, 4% - преобразованы в частные унитарные арендные предприятия. В приложении Б приведены данные и динамике показателей продукции сельского хозяйства по категориям хозяйств. Отметим, что в целом производство сельскохозяйственной продукции в 2011 году увеличилось на 42762 млрд. руб. по сравнению с 2005 годом или на 332 % за 6 лет. При этом продукция животноводства и растениеводства занимают примерно одинаковую долю в общем объеме продукции сельского хозяйства по республике.

В перспективе развитие аграрных отношений будет ориентировано на крупное и среднее товарное производство в сочетании с мелким частным хозяйством. Удельный вес фермерских хозяйств в общем землепользовании возрастет до 10% за счет расширения земельных угодий через аренду земельных долей тех собственников, которые не желают заниматься предпринимательской деятельностью.

Приоритетным направлением институциональных преобразований в АПК должно стать развитие кооперации на базе предприятий по производству, переработке и сбыту сельскохозяйственной продукции, создание продуктовых специализированных и многоотраслевых агропромышленных формирований. Основными видами агропромышленных формирований станут аграрно-промышленные группы, холдинги, ассоциации.

Техническое и технологическое переоснащение сельского хозяйства требует значительных финансовых ресурсов. Основными мерами по активизации инвестиционной деятельности станут:

-  повышение платежеспособности предприятий, увеличение собственных источников финансирования;

-       расширение системы лизинговых операций как в рамках государственного финансирования, так и за счет возможностей организаций перерабатывающих и обслуживающих отраслей АПК, вовлеченных в интеграционные процессы и заинтересованных в закреплении своих поставщиков сырья (сырьевых зон);

-       привлечение иностранных инвестиций и свободных средств граждан при реализации предпринимательской деятельности;

-       сохранение централизованной государственной поддержки.

Активизации инвестиционной деятельности будет способствовать также развитие ипотечного кредитования с включением в финансовый оборот земельных ресурсов под жестким контролем государства. Предусматриваются новые подходы к социальному развитию села.

Длительность реструктуризации национальной экономики страны во многом определяется созданным производственным потенциалом, его структурой и качеством. За счет разработки собственных месторождений Беларусь обеспечивает годовое производство 1,8 млн. т нефти, 28 млн. т калийной соли, 1,0 млн. т каменной соли, 3,8 млн. т доломита, 40 тыс. т сапропелей, 700 тыс. т формовочных песков, 3,6 млн. м3 строительного камня, 19 млн. м3 строительных песков и песчано-гравийных материалов, 3,4 млн. м3 глинистого сырья для производства кирпича и легких заполнителей и 0,14 млн. т стекольных песков [12].

Вместе с тем, в связи с ограниченной собственной сырьевой базой или недостаточной изученностью недр, импорт сырья в страну составляет около 14 млн. т нефти, 287,1 тыс. т каменного угля, 16,7 тыс. т бентонитовых глин, 6 тыс. т трепела для цементного производства, 90,3 тыс. т гипса, 27 тыс. т каолина, 50,8 тыс. т гальки и щебня, 89,8 тыс. т кальцинированной соды и др.

На период 2014-2020 гг. ставится задача перехода к эффективному функционированию промышленного комплекса в условиях его экологизации. Для этого потребуется качественное обновление производственного, научно-технологического и кадрового потенциалов.

Структурная перестройка промышленности осуществляется в соответствии с Программой развития промышленного комплекса Республики Беларусь на 1998-2015 гг., которая предусматривает приоритетное развитие наукоемких и энергосберегающих подотраслей промышленности, экспортоориентированных и импортозамещающих производств. Динамика промышленности Республики Беларусь приведены в приложении А.

Главная цель структурных преобразований в промышленности - создание конкурентоспособной высокотехнологичной продукции на основе внедрения современных ресурсосберегающих и экологически безопасных технологий.

Реализация промышленной структурной политики будет сопровождаться государственной поддержкой, прежде всего, наиболее перспективных отраслей, конкретных предприятий и производств, выбранных в качестве приоритетов и «точек роста».

Для отраслей, подотраслей и производств, имеющих реальные возможности перспективного развития на собственной финансовой базе (самофинансирование), потребуется внесение изменений в налоговую систему, прежде всего, в части платы за пользование природными ресурсами. Привлечение иностранных инвестиций в эти производства должно осуществляться на условиях, обеспечивающих размещение значительной доли заказов на отечественных предприятиях и реинвестирования прибыли в Беларуси.

Для отраслей и производств, продукция которых способна расширять внешние рынки в конкуренции с другими странами, на первом этапе потребуются прямые государственные инвестиции и субсидии.

В дальнейшем они все более будут заменяться косвенными мерами: созданием условий для формирования внутреннего и внешнего спроса, в том числе путем государственной поддержки сбыта продукции на внешних рынках, предоставления государственных гарантий, а также в форме международных кредитов для закупки высокотехнологичной продукции.

Для развития социально ориентированных производств и отраслей предусматривается стимулирование внутреннего и внешнего спроса на их продукцию, включая защитные импортные тарифы в пределах, допускаемых международными нормами, общепризнанные методы нетарифного регулирования (сертификация импортируемой продукции и др.). В целях увеличения внутреннего спроса на продукцию этих отраслей и производств целесообразно использование комплекса мер: кредитование населения с целью покупки товаров длительного пользования отечественного производства; содействие предприятиям в формировании собственной сбытовой сети; поощрение развития системы лизинга; содействие развитию малого и среднего предпринимательства.

Для перехода к устойчивому развитию в промышленности предусматривается эффективное использование всех видов ресурсов на основе применения экологически чистых технологий.

Страна обеспечена строительными материалами более чем на 100 лет. В недрах Беларуси выявлены значительные запасы строительного камня - 576,6 млн. м3, цементного сырья - 460 млн. т, песков строительных - 476,1 млн. м3, песчано-гравийных и карбонатных материалов - 685,4 млн. м3 и 945 млн. т соответственно.

Основной целью строительного комплекса является более полное удовлетворение потребности населения и народного хозяйства страны в высокоэффективной строительной продукции, успешно конкурирующей на внутреннем и внешних рынках. Для достижения этой цели предусматривается: создание и внедрение ресурсосберегающих технологий и материалов, обеспечивающих улучшение качества, снижение материало-, энергоемкости и стоимости строительства; выпуск материалов и изделий с повышенными потребительскими свойствами, отвечающими требованиям сооружения зданий нового поколения, расширение экспортного потенциала, обеспечение охраны и рациональное использование земель, водного и воздушного бассейнов.

Сектор услуг в высокоразвитых странах занимает 60-70% в валовом национальном продукте, в Беларуси - 44,1% (2012 г.)

Развитие транспорта и связи также будет осуществляться в соответствии с программными документами в направлении модернизации производственного потенциала, особенно транспортных средств сообщения; гармонизации отношений с окружающей средой; создания и внедрения новых прогрессивных технологий и техники; укрепления транспортно-экономических связей с сопредельными государствами и совершенствования нормативно-правовой базы.

Мировой опыт показывает, что без развитых транспорта, коммуникаций, торговли, финансово-кредитных и страховых секторов, комплекса деловых услуг, а также современных систем образования и здравоохранения нельзя создать эффективную рыночную экономику.

Положительная динамика макроэкономических процессов, стабилизация положения на внутреннем потребительском рынке обусловили позитивные тенденции в развитии транспортного комплекса. Разработан и принят ряд нормативно-правовых актов, регулирующих деятельность транспорта и связи и направленных на стабилизацию их деятельности.

Для устойчивого развития транспорта необходимо: ускоренное обновление и модернизация парка подвижного состава, проведение гибкой тарифной политики, наращивание объемов экспортно-импортных перевозок, привлечение транзита грузов и пассажиров через территорию Беларуси, обеспечение экологической безопасности и безопасности движения.

Для создания в стране современной инфраструктуры связи и обеспечения устойчивой и качественной работы отрасли, требуется решение следующих задач:

-  внедрение современных технологий;

-       расширение номенклатуры и повышение качества услуг;

-       снижение эксплуатационных расходов;

-       развитие сетей телевидения и радиовещания.

Для реализации этих задач и более полного удовлетворения спроса на услуги электрической и почтовой связи должны предусматриваться следующие основные направления:

-  приоритетное развитие информационной инфраструктуры сетей связи;

-       построение магистральных и внутризоновых волоконно-оптических линий связи с применением систем SDH, DWDM;

-       внедрение программно-управляемых цифровых коммутационных систем на всех уровнях сети электросвязи, в том числе замена морально и физически устаревших АТС;

-       постепенный переход от аналого-цифровой к полностью цифровой сети электросвязи, организация на ее базе широкого спектра высококачественных дополнительных услуг;

-       дальнейшее развитие сети передачи данных и интеллектуальной сети, ускоренное развитие сетей цифровой сотовой подвижной связи;

-       строительство сетей радиовещания и цифрового телевидения, внедрение современных систем широкополосного радиодоступа;

-       повышение качества услуг почтовой связи, уменьшение затрат на обеспечение технологических процессов и их автоматизация.

Для реализации указанных приоритетов необходимо совершенствование экономических механизмов управления, организации и инвестирования перевозочного процесса.

Таким образом, можно сделать вывод, что после распада СССР в Республике Беларусь сложилась неэффективная структура экономики. Преимущественную роль в ней играли машиностроение, химическая и нефтехимическая, лесная и деревообрабатывающая, легкая и пищевая промышленность, животноводство, льноводство и картофелеводство. В условиях переходного к рыночным отношениям периода сложившиеся производственно-экономические связи были нарушены, экономический кризис привел к потере или значительному сокращению рынков сбыта белорусских товаров, потере дешевых источников топливно-энергетических и сырьевых ресурсов. В связи с низким платежеспособным спросом населения и ухудшением финансового положения предприятий, такая экономика перестала быть востребованной как на внутреннем, так и на внешних рынках, а в число актуальнейших выдвинулась проблема ее модернизации и структурной перестройки в соответствии с современными требованиями рыночной экономики и мировыми тенденциями.

Анализ экономических показателей свидетельствует об преимущественно эффективном функционировании экономики Республики Беларусь. Основные направления структурных изменений экономики в Республике Беларусь выбраны таким образом, чтобы обеспечивать преодоление существующих в экономике диспропорций: сокращение разрыва между сферой производства и сферой услуг, уменьшение доли военного производства, преодоление значительной неравномерности в технической и технологической оснащенности предприятий различных отраслей и секторов экономики. Критериями оптимальной структуры экономики являются общая эффективность, конкурентоспособность, устойчивость к циклическим колебаниям.

В качестве вывода стоит отметить, что системные трансформации всегда сопровождаются кризисами. Например, последствия освобождения цен в любой стране обычно одинаковы - это огромная инфляция, общий спад производства. Но потом неизбежно начинается рост экономики. Причем чаще всего в тех отраслях, где произошел наиболее резкий спад. Правда, при условии, что будут созданы новые экономические и правовые институты. И еще нужна жесткая антиинфляционная политика, без которой оздоровление экономики и переход от спада к росту невозможны в принципе.

Поэтому либерализация экономики и проведение ее структурной перестройки должны сопровождаться жесткой финансовой политикой, в том числе политикой направленной на ограничение доходов населения.

ЗАКЛЮЧЕНИЕ


Термин «национальная экономика» активно вошел в научный оборот, управленческую, хозяйственную практику последнего десятилетия как синоним понятия «экономика суверенной страны» наряду с терминами «народное хозяйство» (National economy - англ., Volkswirtschaft - нем., Gospodarka narodowa - польск.), «экономика республики». Слово «национальный» акцентирует внимание на том, что экономика рассматривается в своей целостности, в масштабе нации, государства, а не только в этническом аспекте.

По уровням функционирования и управления национальная экономика подразделяется на макроуровень (экономика в целом), мезоуровень (отрасли, регионы) и микроуровень (предприятия и организации первичного производственного звена).

Приведенные выше определения и качественные признаки, отражая сущностные характеристики, общее содержание понятия «национальная экономика», позволяют научно обоснованно вести исследование реальных социально-экономических процессов, экономических структур и институтов и логически корректно, доказательно излагать основные цели, способы, характеристики и закономерности функционирования и развития социально-экономической системы Беларуси, ее конкретно-исторической формы - белорусской экономической модели.

Структура экономики на уровне национального воспроизводства есть объект структурных преобразований. При этом одним из главных направлений структурных преобразований в экономике является комплексное реформирование основной массы предприятий, предусматривающее их техническую модернизацию и радикальное изменение систем управления, то есть реструктуризацию предприятий. Следствием этого является изменение организационной и производственной структуры стратегических государственных предприятий по отношению к технике, технологии, формам организации производства, системе управления, новому юридическому статусу.

Системный подход к решению проблемы структурной перестройки национальной экономики и повышению на ее основе конкурентоспособности продукции означает, что недостаточно принять некий «план мероприятий» по ее улучшению - в действующей системе экономических координат его реализация вряд ли сможет оказать длительное, устойчивое воздействие на структуру экономики конкурентоспособность. Необходимо обновить не только технологии и парк действующего оборудования, но и воспроизводственную, отраслевую и технологическую структуры экономики, набор инструментов, стимулирующих работу предприятий.

Можно сделать вывод, что после распада СССР в Республике Беларусь сложилась неэффективная структура экономики. Преимущественную роль в ней играли машиностроение, химическая и нефтехимическая, лесная и деревообрабатывающая, легкая и пищевая промышленность, животноводство, льноводство и картофелеводство. В условиях переходного к рыночным отношениям периода сложившиеся производственно-экономические связи были нарушены, экономический кризис привел к потере или значительному сокращению рынков сбыта белорусских товаров, потере дешевых источников топливно-энергетических и сырьевых ресурсов. В связи с низким платежеспособным спросом населения и ухудшением финансового положения предприятий, такая экономика перестала быть востребованной как на внутреннем, так и на внешних рынках, а в число актуальнейших выдвинулась проблема ее модернизации и структурной перестройки в соответствии с современными требованиями рыночной экономики и мировыми тенденциями.

Анализ экономических показателей свидетельствует об преимущественно эффективном функционировании экономики Республики Беларусь. Основные направления структурных изменений экономики в Республике Беларусь выбраны таким образом, чтобы обеспечивать преодоление существующих в экономике диспропорций: сокращение разрыва между сферой производства и сферой услуг, уменьшение доли военного производства, преодоление значительной неравномерности в технической и технологической оснащенности предприятий различных отраслей и секторов экономики. Критериями оптимальной структуры экономики являются общая эффективность, конкурентоспособность, устойчивость к циклическим колебаниям.

В 2014-2020 гг. ставится задача приблизить структуру экономики Беларуси к структуре хозяйств экономически развитых стран по удельному весу сферы услуг, доле прогрессивных V и VI технологических укладов, создать условия для формирования постиндустриального общества.

В целях обеспечения устойчивого экономического развития необходимо поддерживать рациональные пропорции между ВВП и расходами на экологию, социальную сферу и научно-инновационную деятельность. Инновационный потенциал страны будет ориентирован на повышение качества и конкурентоспособности выпускаемых товаров и услуг.

В качестве вывода стоит отметить, что системные трансформации всегда сопровождаются кризисами. Например, последствия освобождения цен в любой стране обычно одинаковы - это огромная инфляция, общий спад производства. Но потом неизбежно начинается рост экономики. Причем чаще всего в тех отраслях, где произошел наиболее резкий спад. Правда, при условии, что будут созданы новые экономические и правовые институты. И еще нужна жесткая антиинфляционная политика, без которой оздоровление экономики и переход от спада к росту невозможны в принципе.

Поэтому либерализация экономики и проведение ее структурной перестройки должны сопровождаться жесткой финансовой политикой, в том числе политикой направленной на ограничение доходов населения.

СПИСОК ИСПОЛЬЗОВАННОЙ ЛИТЕРАТУРЫ


1.     Базылев, Н.И. Макроэкономика: Учебник / Н.И.Базылев, С.П.Гурин - Минск: БГЭУ, 2008. - 216 с.

.       Головачев, А.С. Макроэкономика: Учеб. пособие / А.С.Головачев / - Минск: АУП, 2011. - 324 с.

3.     Глушаков, В.Е. Вызов времени. Беларусь на пороге тысячелетий. - Минск, 2008. - 380 с.

4.     Кузнецов, В.Н. Экономическая трансформация. Учебник. - Москва: Книга и бизнес, 2005. - 316 с.

5.     Лемешевский, И. М. Макроэкономика: мировой опыт и белорусская практика. Учебное пособие для студентов экономических специальностей вузов - 3-е изд. - Минск, 2009. - 440 с.

6.     Лутохина, Э.А. Макроэкономика: Социально-ориентированный подход: Учебник / Лутохина Э.А., Козловский В.В./ Под ред. Э.А.Лутохиной - Минск: ИВЦ Минфина, 2005. - 400 с.

7.      Мельник, В.А. Государственная идеология: Понятие, элементы, функции / В.А. Мельник. - Минск: Тесей, 2007. - 397 с.

.        Национальная стратегия устойчивого социально-экономического развития Республики Беларусь на период до 2020 г./ Национальная комиссия по устойчивому развитию Респ. Беларусь; Редколлегия: Я.М. Александрович и др. - Минск: Юнипак. - 200 с.

.        Плотницкий, М. И. Макроэкономика; Учеб. Пособие / Плотницкий М.И., Лобкович Э.И., Муталимов М.Г. и др. / Под ред. М.И. Плотницкого. - 2-е изд., стер. - Москва: Новое знание, 2008. - 426 с.

.        Попов, А.И. Экономическая теория / А.И. Попов. - СПб.: Питер, 2001. - 456 с.

11.   Статистический ежегодник Республики Беларусь, 2012 года: стат. сборник / Национальный статистический комитет Республики Беларусь. - Минск, [б.и.], 2012. - 715 с.

12.    Туманова, Е.А. Макроэкономика: Учебник / Е.А.Туманова - Москва: Инфра-М, 2007. - 400 с.

13.   Шимов В.Н. Экономическое развитие Беларуси на рубеже веков: проблемы, итоги, перспективы. Моногр. / В.Н. Шимов. 2-е изд. - Минск: БГЭУ, 2005. - 229 с.

14.    Шимов, В.Н. Национальная экономика Беларуси: Потенциалы. Хозяйственные комплексы. Направления развития. Механизмы управления: Учеб. пособие / Под общ.ред .В.Н. Шимова. - Минск: БГЭУ, 2005. - 431 с.

15.   Шимов, В.Н. Национальная экономика Беларуси: учебник / В.Н. Шимов [и др.]; под ред. В.Н. Шимова. - 3-е изд. - Минск: БГЭУ, 2009. - 751 с.

16.    Указ Президента Республики Беларусь от 9 ноября 2010 г. N 575 «Об утверждении концепции национальной безопасности Республики Беларусь» Консультант Плюс: Беларусь [Электронный ресурс] / ООО «ЮрСпектр», Нац. реестр правовых актов Респ. Беларусь. - Минск, 2002. - Дата доступа: 9.01.2014.

.        Постановление Совета Министров Республики Беларусь от 27 июня 2003 г. № 863 «О разработке национальной стратегии устойчивого социально-экономического развития Республики Беларусь на период до 2020 г.» Консультант Плюс: Беларусь [Электронный ресурс] / ООО «ЮрСпектр», Нац. реестр правовых актов Респ. Беларусь. - Минск, 2002. - Дата доступа: 9.01.2014.

.        Закон Республики Беларусь от 5 мая 1998 г. № 157-З «О государственном прогнозировании и программах социально-экономического развития Республики Беларусь» // Консультант Плюс: Беларусь [Электронный ресурс] / ООО «ЮрСпектр», Нац. реестр правовых актов Респ. Беларусь. - Минск, 2002. - Дата доступа: 12.01.2014.

ПРИЛОЖЕНИЕ 1

 

Структура объема промышленного производства по видам экономической деятельности в % к итогу

Показатель

2000

2005

2006

2007

2008

2009

2010

2011

Промышленность - всего

100

100

100

100

100

100

100

100

в том числе:

горнодобывающая

1,3

2,5

1,7

1,6

1,5

2,0

0,8

1,5

обрабатывающая

86,0

87,7

89,8

89,5

90,8

88,7

92,0

в том числе:

производство пищевых продуктов, включая напитки, и табака

19,3

17,6

17,5

17,0

16,7

20,3

20,1

17,6

текстильное и швейное производство

7,0

4,0

3,8

3,6

3,3

3,4

3,4

3,1

производство кожи, изделий из кожи и производство обуви

1,7

0,9

0,9

0,8

0,7

0,8

0,8

0,8

обработка древесины и производство изделий из дерева

1,7

1,9

1,8

1,8

1,7

1,6

1,5

1,3

целлюлозно-бумажное производство, издательская деятельность

1,7

1,9

2,0

1,9

1,7

1,8

1,9

1,6

производство кокса, нефтепродуктов и ядерных материалов

14,7

19,0

20,0

19,0

20,2

18,2

17,5

21,2

химическое производство

9,4

8,8

7,9

7,8

9,9

8,5

9,0

11,5

производство резиновых и пластмассовых изделий

2,3

2,5

3,3

3,5

3,1

3,2

3,5

3,6

производство прочих неметаллических минеральных продуктов

3,5

4,0

4,3

4,6

4,9

5,2

5,2

4,2

металлургическое производство и производство готовых металлических изделий

4,8

5,9

6,2

6,9

7,2

6,3

7,0

6,9

производство машин и оборудования

8,9

9,4

9,5

9,5

9,2

9,4

9,1

7,9

производство электро-оборудования, электронного и оптического оборудования

3,5

3,8

4,0

4,0

3,6

3,6

3,8

3,5

производство транспортных средств и оборудования

4,5

5,9

6,5

6,9

6,1

4,1

4,5

5,5

прочие отрасли промышленности

2,6

2,1

2,3

2,4

2,4

2,3

2,3

2,3

производство и распределение электроэнергии, газа и воды

12,7

9,8

8,5

8,9

7,7

9,3

9,6

7,6


ПРИЛОЖЕНИЕ 2

 

Продукция сельского хозяйства по категориям хозяйств (млрд р.)

Показатель

2000

2005

2006

2007

2008

2009

2010

2011

Хозяйства всех категорий

Продукция сельского хозяйства - всего

2 748

12 880

15 632

18 207

25 219

26 799

36 131

55 642

В том числе:

продукция растениеводства

1 491

6 775

8 466

9 887

14 010

14 341

20 248

29 270

продукция животноводства

1 257

6 105

7 166

8 320

11 209

12 458

15 883

26 372

Сельскохозяйственные организации

хозяйства - всего

1 671

7 896

9 604

11 656

16 889

18 414

22 879

39 431

В том числе:

растениеводства

751

3 115

3 776

4 751

7 432

7 739

9 004

16 081

продукция животноводства

920

4 781

5 828

6 905

9 457

10 675

13 875

23 350

Хозяйства населения

хозяйства - всего

1 060

4 891

5 912

6 414

8 114

8 159

12 885

15 463

В том числе:

продукция растениеводства

725

3 592

4 600

5 026

6 397

6 419

10 930

12 533

продукция животноводства

335

1 299

1 312

1 388

1 717

1 740

1 955

2 930

Крестьянские (фермерские) хозяйства

Продукция сельского хозяйства - всего

17

93

116

137

216

226

367

748

В том числе

продукция растениеводства

15

68

90

110

181

183

314

656

продукция животноводства

2

25

26

27

35

43

53

92



ПРИЛОЖЕНИЕ 3

 

Объем подрядных работ, выполненных по виду экономической деятельности "строительство" (млрд руб.)


2000

2005

2006

2007

2008

2009

2010

2011

Объем подрядных работ - всего

1 021,3

7 459,4

9 949,0

12 779,7

18 725,5

21 083,0

26 412,6

39 841,9

в том числе организациями государственной формы собственности

325,7

2 267,5

2 948,9

3 744,6

5 232,8

5 384,1

6 063,3

7 362,8



Не нашли материал для своей работы?
Поможем написать уникальную работу
Без плагиата!
Без нейросетей!