Элементы статистики в аналитической химии

  • Вид работы:
    Курсовая работа (т)
  • Предмет:
    Химия
  • Язык:
    Русский
    ,
    Формат файла:
    MS Word
    863,79 Кб
  • Опубликовано:
    2016-05-20
Вы можете узнать стоимость помощи в написании студенческой работы.
Помощь в написании работы, которую точно примут!

Элементы статистики в аналитической химии

Введение

Основная особенность аналитических определений заключается в том, что их результат зависит от множества факторов: общего химического состава анализируемого объекта, его физических свойств, условий проведения эксперимента и т.д. Отклонение любого фактора от нормы ведет к появлению ошибок, которые в некоторой степени влияют на полученный результат.

В общем случае эти ошибки можно измерить или учесть. Но существуют погрешности, которых нельзя избежать данными способами. Подобные погрешности можно только оценить с помощью методов математической статистики, поэтому обработка результатов является одним из наиболее важных этапов проведения количественного анализа.

Целями данной работы является рассмотреть классификацию погрешностей и определить методы статистической обработки результатов, которые позволяют их оценить.

Для достижения целей курсовой работы были поставлены следующие задачи:

. Провести обзор научной литературы: учебных пособий, статей, рефератов, электронных ресурсов, соответствующих целей курсовой.

. Выделить наиболее значимую и важную информацию.

. На основе комплексного исследования выделить характерные особенности и обобщить весь собранный материал.

Глава 1. Классификация погрешностей

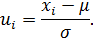
Результат измерений физической величины всегда отличается от истинного значения на некоторую величину, которая называется погрешностью.

Погрешности подразделяются в зависимости от:

источника возникновения;

способа выражения;

знака;

условия проведения измерения;

источника возникновения.

Рассмотрим подробно каждый из этих видов.

1.1 Классификация погрешностей по источнику возникновения

По источникам происхождения погрешности делятся на методологические, реактивные, инструментальные, индивидуальные, инструментальные, погрешности предубеждения.

. Методологические погрешности - одни из самых трудно устраняемых и трудно поддающихся учету. Возникает из-за несовершенства метода измерения или упрощения, допущенного при измерении.

К металогическим погрешностям в аналитической химии относятся погрешности отбора пробы, погрешность разделения и концентрирования, пренебрежение сигналом контрольного опыта, неполное промывание осадка при гравиметрическом определении, индикаторные погрешности в титрометрии. Они присущи всей методике анализа и отдельным стадиям.

. Реактивные погрешности, то есть использование недостаточно чистых реактивов, недостаточная чистота воды. Чтобы избежать этой ошибки используют реактивы специальных марок, учитывая при этом специфику проводимого анализа.

. Инструментальные погрешности обусловлены несовершенством измеряемых средств измерений или ошибке при их выборе. Причинами их возникновения являются неточности, допущенные при изготовлении и регулировке приборов, изменение параметров элементов конструкции и схемы вследствие старения. В высокочувствительных приборах могут сильно проявляться их внутренние шумы.

. Индивидуальные погрешности возникают из-за работы конкретного химика-аналитика.

. Погрешности предубеждения появляются из-за того, что, например, при повторном измерении аналитик из двух равновероятных показаниях выберет то, которое, будет ближе к предыдущему результату.

1.2 Классификация погрешностей по способу выражения

Абсолютная погрешность измерений - это разница между измереннымх и истинными хист значениями измеряемой величины:


Δх - абсолютная погрешность;

хi - единичное измерение;

хист- истинное значение.

Абсолютная погрешность измеряется в тех же единицах, что и измеряемая величина.

Поскольку истинное значение определить невозможно, то вместо него на практике используют действительное значение измеряемой величины. Его находят экспериментально, путем применения достаточно точных средств и методов измерения. Оно мало отличается от истинного значения и для решения поставленных задач может использоваться вместо него. Таким образом на практике используется иная формула:


хд - действительное значение.

Относительная погрешность измерений - это отношение абсолютной погрешности измерения к истинному значению измеримой величины.


D - относительная погрешность.

Погрешность зависит от многих факторов: методики эксперимента, класса точности приборов, используемых реактивов, класса точности приборов, индивидуальных особенностей наблюдателя и т.д.

Приведенная погрешность измерения - это отношение абсолютной погрешности к номинирующему значению:


γ - приведенная погрешность;

хn - номинирующее значение.

Номинирующее значение - это установленное значение ширины диапазона или определенное значение, к которому относится выражение значения характеристики.

Номинирующее значение принимается равным:

. Конечному значению диапазона измерений (для приборов с односторонней шкалой):

. Сумме конечных значений диапазона измерений (для приборов с двухсторонней шкалой):


3. Разности конечного и начального значений диапазона (для приборов с безнулевой шкалой):


При логарифмическом, гиперболическом и степенном характере шкалы прибора приведенную погрешность выражают в процентах от длины шкалы.

1.3 Классификация погрешностей по знаку

В зависимости от того, завышают или занижают погрешности результат измерения они могут делиться на:

положительные (единичное значение измерения больше, чем истинное значение хi>xист);

отрицательные (единичное значение измерения меньше, чем истинное значение хi<xист).

1.4 Классификация погрешностей в зависимости от условий проведения эксперимента

1. Основная погрешность - погрешность, возникающая в нормальных условиях применения средства измерения (температура, влажность, атмосферное давление и т.д.), которое нормируется и указывается в стандартных или технических условиях.

.Дополнительная погрешность от воздействия влияющей величины - это изменение статистической функции преобразования, которое вызвано отклонением одной из влияющей величин от установленного при нормальных условиях номинального диапазона, причем все другие влияющие величины сохраняют свое номинальное значение или свой номинальный диапазон.

Дополнительная погрешность возникает, когда один или несколько влияющих параметров отклоняются от нормального значения. Например, изменение влажности, температуры окружающей среды и т.д. значение дополнительной погрешности нормируется и указывается в технической документации на средства измерения.

1.5 Классификация погрешностей по способу выражения

1.5.1 Систематическая погрешность

Систематическая погрешность - это погрешность, которая в ходе измерения одной и той же величины остается постоянной или изменяется каким-либо закономерным образом. Систематическая погрешность обусловлена постоянно действующей причиной и оказывает постоянное влияние от опыта к опыту, которое отражается на результатах анализа, завышая или занижая их. Это значит, что знак систематической погрешности от опыта к опыту не меняется.

Мерой систематической погрешности принято считать разность между средним значением определенной величины и ее истинным значением:


Источники систематических погрешностей многочисленны. Наиболее важными из них являются погрешности, обусловленные применяемыми приборами и реактивами, погрешности метода и погрешности, связанные с индивидуальными особенностями аналитика. Также систематические ошибки могут возникать из-за сорбции ионов металлов стеклом, выщелачивания стекла, из-за гидролиза ионов металлов, соосаждения, улетучивания при разложении проб, особенно при анализе микроколичеств.

Приборы, которые используют на практике, характеризуются определенным классом точности. Часто удается снизить погрешность определения именно при использовании приборов с более высоким классом точности. Источником систематической погрешности может быть также применение непроверенных разновесов, некалиброванной мерной посуды, неоткалиброванных весов и т.д.

Систематические погрешности можно измерить и учесть. Их можно существенно уменьшить введением поправок, которые находят при калибровке или сравнении полученных результатов с результатами другого измерительного прибора, имеющего более высокий класс точности и тем самым меньшую систематическую погрешность. Применение реактива с определяемым компонентом или мешающую примесь, также вызывает систематическую погрешность. Ее можно исключать практически до нуля, если тщательно предварительно очистить реактив.

Методы оценки систематических погрешностей

Систематические погрешности должны быть обнаружены и учтены в первую очередь, поскольку последующая оценка случайной погрешности имеет смысл только при устранении систематической или в том случае, когда случайная погрешность превышает систематическую.

Наиболее распространенными практическими приемами обнаружения систематической погрешности являются:

).варьирование массы навески;

).выполнение анализа независимым методом;

).проведение холостого опыта;

).анализ стандартных образцов.

Если нет возможности предварительно учесть систематическую погрешность, для оценки правильности используют стандартные образцы.

Стандартные образцы - это различные материалы, содержание определенных элементов в которых известно с высокой степенью точности. Их применяют в различных аналитических методах для построения градуировочных графиков и контроля правильности анализа, для объективной метрологической характеристики различных методов и т.д.

К стандартным образцам предъявляется ряд требований:

. состав стандартного образца по некоторым компонентам удостоверяется официальным свидетельством (паспортом);

. содержание эталонированных элементов в пределах регламентированных и указанных погрешностей не должно отличаться от истинного значения;

. высокая химическая однородность по всей массе, чтобы обеспечить тождественность проб для анализа, поэтому обычно изготавливается в виде монолитного образца, мелкой металлической стружки, порошка;

. содержание эталонируемых элементов в стандартном образце устанавливается с точностью, заведомо превышающей точность определения этих элементов в производственных образцах.

Идеальные эталоны должны отличаться от проб лишь содержанием определяемого компонента, что практически невыполнимо.

Простейшие стандартные образцы - стандарт-титры (наборы химических реактивов, содержащие точно известное количество вещества). Главная проблема заключается в том, что следует установить истинное значение, которое, как правило, неизвестно. При анализе сложных объектов для оценки правильности используют стандартные образцы сплавов, почв, сухих смесей.

При использовании стандартных образцов систематическая погрешность будет равна:


При этом величина хст должна быть установлена максимально доверительно.

Также надежные эталоны имеются для различных групп сплавов черных и цветных металлов. Значительно сложнее приготовление эталонов для анализа руд, минералов, горных пород, что связано с разнообразием составов этих минералов.

Методы устранения систематических погрешностей:

. Релятивизация - это метод, основанный на относительности измерения, т.е. определении по разности. Аналитическое измерение проводят относительно какого-либо другого объекта, а результат анализа определяют по разности. В итоге систематические ошибки измерения взаимно вычитаются.

Например, если вгравиметрий сбита нулевая отметка на весах, то определив массу по разности полного и пустого тигля ошибка ликвидируется. Так же и в объемном анализе - отбор одной пипеткой и титрование одной бюреткой, устраняет систематическую ошибку.

. Рандомизация - это перевод систематических погрешностей в разряд случайных - усреднение данных, основанное на компенсации систематических ошибок.

Возможность рандомизации основана на том, что систематическая ошибка единичного явления (процесса, метода исполнения анализа, прибора) при рассмотрении ее в более широком классе однотипных явлений (серия приборов, группа процессов и методов) становится величиной переменной, т.е. приобретает черты случайной погрешности. Например, переход от серии анализа, выполненных лишь одним человеком к серии однотипных опытов, выполненных группой аналитиков, позволяет рандомизировать субъективные погрешности.

1.5.2 Случайные погрешности

Случайная погрешность - это погрешность, которая при повторных измерениях изменяется случайным образом. Причины возникновений данных погрешностей неизвестны. Они возникают в результате неконтролируемых изменений в результате измерения. Знак случайной погрешности в серии измерений также не остается постоянным от опыта к опыту. Случайные погрешности нельзя измерить или учесть, но можно оценить по законам математической статистики.

1.5.3 Промахи

Промахи (грубые погрешности) - это погрешности, которые резко искажают результаты анализа, делают его недостоверным, а по величине значительно отличаются от ожидаемого результата.

Основная причина грубых погрешностей - неправильная работа химика-аналитика.

Глава 2. Статистическая обработка результатов измерений

Как уже отмечалось ранее, погрешность измерений зависит не только от контролируемых, но и от целого ряда неконтролируемых факторов, то есть он является случайно величиной.

Случайной величиной называется измеряемая по ходу опыта численная характеристика, принимающая только одно и только одно возможное и неизвестное заранее значение вследствие воздействия различных факторов, которые не могут быть заранее учтены. Однако это не значит, что значения изменяются произвольно, не подчиняясь никаким законам. Опыт подсказывает, что частота появления тех или иных значений случайной величины в значительной степени предсказуема.

Случайные величины бывают дискретными и непрерывными. Дискретной называют случайную величину, которая принимает отдельные изолированные значения с определенными вероятностями. Число возможных значений дискретной случайно величины может быть ограниченным и бесконечным. Примером бесконечной дискретной случайной величины в аналитической химии является результат подсчета числа квантов в спектральных методах анализа или числа структурных единиц при минералогическом анализе.

Случайная величина считается непрерывной в том случае, если она может принимать все значения из некоторого конечного конечного или бесконечного промежутка. Например, результаты гравиметрического или титриметрического анализа ограничены, если выражены в процентах (0÷100%) и неограниченны, если выражены в единицах массы. Стоит отметить, что непрерывность случайных величин является математической абстракцией, так как на практике всегда имеют дело с выборкой округленных результатов изменений.

Большинство случайных величин, с которыми сталкиваются на практике, являются непрерывными. Для того, чтобы математически описать случайную величину, необходимо указать множество ее значений и соответствующее случайно величине распределение вероятностей для этого множества (таблично, аналитически или графически).

2.1 Оценивание генеральных параметров

Математическое ожидание

Оценками математического ожидания μобычно служит среднее арифметическое , а иногда и среднее геометрическое хr, медиана (серединное значение)  или мода. Если провели n измерений случайной величины Х: х1, х2, … хn, то их среднее арифметическое или выборочное среднее можно найти по формуле:


Если результат изменения выдается в виде логарифма искомой величины, то конкретной оценкой математического ожидания является среднее геометрическое xr:


Значение xrв сегда немного меньше , найденного по той же выборке. Если случайная погрешность измерений не столь велика (менее 20%), то различие между xrи несущественно, поэтому на практике обычно для характеристики μ пользуются средним арифметическим.

Чтобы найти медиану, результаты измерения располагают в ряд (ранжированный ряд) в порядке возрастания их значений Если n- нечетное число, то медиана равна среднему члену ряда. Если n - четное число, то значение  равно полусумме двух средних членов ряда. Медиана в отличие от среднего арифметического нечувствительна к выделяющимся измерениям, поэтому при низком качестве измерений и малом числе n она является лучшей оценкой математического ожидания.

Мода - наиболее часто встречающееся значение величины при большой серии измерений.

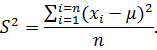
Генеральная дисперсия

Оценка генеральной дисперсии σ2 служит выборочная дисперсия, которую рассчитывают по формуле:


Величину f=n-1 называют числом степеней свободы выборочной характеристики и определяют как число измерений, используемое для расчета данной характеристики, за вычетом числа связей, которые наложили на выборку при вычислении этой характеристики. Значение fуказывает на надежность определения генерального параметра по данной выборке.

Если известно математическое ожидание данной совокупности измерений, то дисперсию S2вычисляют по формуле:


При использовании данной формулы на выборку не наложили ни одной связи, поэтому f=n.

Положительное значение корня квадратного из дисперсии называют стандартным отклонением:

Относительное стандартное отклонение (коэффициент вариации V) равно:

в частях ;

в процентах .

2.2 Распределение случайных величин

Основной характеристикой случайной величины является закон ее распределения, который можно задать в дифференцированной и интегрированной формах.

Если случайная величина Х принимает значения х1, х2, … хn и нам известна вероятностьР1, Р2, … Рn появления каждого из этих значений, то графическое или аналитическое представление зависимости P=φ(х)называется дифференцированным законом распределения или плотностью вероятности случайной величины.

Интегрированный закон распределения F(x) случайной величины указывает вероятность события, когда случайные величина Х принимает i-е значения, для которых xi<xa, где ха - некоторое определенное значение этой случайной величины. Интегральная функция представляет монотонно возрастающую кривую, которая стремится к единице (или к 100%). Ордината кривой соответствует точке ха, определяет вероятность события, когда случайная величина Х окажется меньше ха.разность двух ординат, соответствующих точкам ха и хb, определяет вероятность того, что случайная величина Х принимает значения из интервала ха ÷ хb: P(ха >xi> хb)=F(хb)-F(ха).

Функция распределения случайной величины является некоторой абстрактной математической моделью, при помощи которой описываются экспериментально наблюдаемые величины. Одна из задач статистической обработки цифрового материала заключается в нахождении этой функции, чтобы в дальнейшем использовать ее для статистической обработки данных.

Ниже рассмотрим некоторые распределение случайных величин, которые чаще всего применяются в аналитической химии.

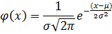
Нормальное распределение случайной величины

Наиболее применяемым в практике измерения является нормальный закон распределения Гаусса. Этот закон является основой классической теории погрешностей измерений и современной статической обработки результатов эксперимента. Кроме того, это предельный закон для некоторых других законов распределения.

Функция плотности вероятностей нормального закона распределения определяется формулой:


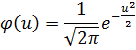
Табулировать его относительно хiне представляется возможным, т.к. параметры и  зависят от абсолютных значений измеренной случайной величины, поэтому в практике обычно пользуются нормальным законом распределения, где вместо переменной xi используется переменная ui:


                                                                                                                                                                                            

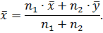
Рис. 1 График дифференциальной кривой нормированного закона распределения

В этом случае независимо от конкретного значения случайной величины математическое ожидание u=0, а (u)=1. Функция плотности вероятности приобретает вид:


Для кривойцентр симметрии совпадает с началом координат, а на ось абсцисс наносится величина ui- отклонение от среднего выражения в долях .

Пользуясь табулированными значениями функции можно подсчитать, что в области (u=1) лежит 68,2% всех результатов измерения, то есть около 16% результатов измерения отклоняются от среднего менее чем , и около 16% - больше чем . Вероятность появления результатов за пределами  равно соответственно 5% и 0,3% (Рис 1).

Распределение Пуассона

Результаты измерения целочисленных величин часто подчиняются закону распределения Пуассона, например, подсчет числа квантов в радиохимии или структурных единиц в минералогическом анализе. Функция плотностей вероятности в этом случае имеет вид:

Рис 2. График плотности вероятности распределения Пуассона

Из формулы видно, что плотность вероятностей закона Пуассона характеризуется одним параметром . Генеральная дисперсия связана с  соотношением

Для малых значений  функциясущественно ассиметрична, но асимметрия снижается с ростом , и форма кривой распределения приближается к нормальному сопротивлению со значением генеральных параметров  и . Для практических целей при  можно считать, что результаты измерения подчиняются нормальному закону распределения.

Распределение Стьюдента

Рис. 3 График плотности вероятности  распределения Стьюдента

Нормальный закон распределения случайных величин показывает, что вероятность появления малых отклонений от среднего значительно больше вероятности появления больших отклонений. Поэтому естественно ожидать того, что если исследователь выполнил небольшое число измерений одной величины, то среди них результатов с большим отклонением от среднего не будет. Если по этой выборке оценить дисперсию S2, то ее значение будет меньше соответствующей генеральной дисперсии. В силу этих обстоятельств классическая теория ошибок, основанная на нормальном законе распределения, не применима для обработки малого числа измерений. Статистика малых выборок стала возможна с появлением распределения Сттьюдента (t-распределение).

Если обработке подвергается небольшое количество измерений, то вместо генеральной дисперсии  вынуждены пользоваться выборочной дисперсией S2, близость значения которой к генеральной дисперсии  зависит от числа степеней свободы f, по которой рассчитывали S2. В этом случае переменную заменяют на новую переменную , не содержащую неизвестной величины

Функцияпотности вероятностей t-распределения симметрична относительно , то есть максимум t-распределения и нормального распределения соответствует одному значению абсциссы. Однако в случае с t-распределением высота и ширина кривой зависит не только от S, но и от f, по которым рассчитывается S.

В Таблице 1 указаны значения t в зависимости от степеней свободыf.

Таблица 1. Коэффициенты t распределения Стьюдента

Число степеней свободы f

Уровень значимости α


0,10

0,05

0,02

0,01

1

6,31

12,71

31,82

63,66

2

2,92

4,30

6,97

9,93

3

2,35

3,18

4,54

5,84

4

2,13

2,78

3,75

4,60

5

2,02

2,57

3,37

4,03

6

1,94

2,45

3,14

3,71

7

1,90

2,37

3,00

3,50

8

1,86

2,31

2,90

3,36

9

1,83

2,26

2,82

3,25

10

1,81

2,23

2,76

3,17

20

1,73

2,09

2,53

2,75

1,66

1,96

2,33

2,58


Рис. 4 График плотности вероятности распределения Фишера

Распределение Фишера

Отношение двух выборочных дисперсий , пренадлезащих различным совокупностям, подчиняется распределению Фишера или F-распределению. Функцияплотности вероятностей определяется сложным выражением, зависящим от значений Fи степеней свободы f1 иf2, по которым подсчитываются выборочные дисперсии. Величина F изменяется в пределах . Кривая плотности вероятностей ассиметрична, поэтому , но асимметрия уменьшается с увеличением значений f1 и f2.

Таблица 2. Значение F для уровня значимости α=0,10

f2

f1


1

2

3

4

5

6

7

8

9

10

1

39,86

49,50

53,83

55,83

57,24

58,20

58,91

59,44

59,86

60,20

2

8,36

9,00

9,16

9,24

9,29

9,33

9,35

9,37

9,38

9,39

3

5,54

5,46

5,39

5,34

5,31

5,28

5,27

5,25

5,24

5,23

4

4,54

4,32

4,19

4,11

4,05

4,01

3,98

3,95

3,94

3,92

5

4,06

3,78

3,61

3,52

3,45

3,40

3,37

3,34

3,32

3,30

6

3,78

3,46

3,29

3,18

3,11

3,05

3,01

2,98

2,96

2,94

7

3,59

3,26

3,07

2,96

2,88

2,83

2,78

2,75

2,72

2,70

8

3,46

3,11

2,92

2,81

2,73

2,67

2,62

2,59

2,56

2,54

9

3,36

3,01

2,81

2,69

2,61

2,55

2,51

2,47

2,44

2,42

10

3,28

2,92

2,73

2,61

2,52

2,46

2,41

2,38

2,35

2,32

f2

f1


1

2

3

4

5

6

7

8

9

10

1

161,4

199,5

215,7

224,6

230,2

234,0

236,8

238,9

240,5

241,9

2

18,51

19,0

19,16

19,25

19,30

19,33

19,35

19,37

19,39

19,40

3

10,13

9,55

9,28

9,12

9,01

8,94

8,89

8,85

8,81

8,79

4

7,71

6,94

6,59

6,39

6,26

6,16

6,09

6,04

6,00

5,96

5

6,61

5,79

5,41

5,19

5,05

4,95

4,88

4,82

4,77

4,74

6

5,99

5,14

4,76

4,53

4,39

4,28

4,21

4,15

4,10

4,06

7

5,59

4,74

4,35

4,12

3,97

3,87

3,79

3,73

3,68

3,64

8

5,32

4,46

4,07

3,84

3,69

3,58

3,50

3,44

3,39

3,35

9

5,12

4,26

3,86

3,63

3,48

3,37

3,29

3,23

3,18

3,14

10

4,46

4,10

3,71

3,48

3,33

3,22

3,14

3,07

3,02

2,98


Таблица 4. Значение F для уровня значимости α=0,025

f2

f1


1

2

3

4

5

6

7

8

9

10

1

647,8

799,5

846,2

899,6

921,8

937,1

948,2

956,7

963,3

968,6

2

38,51

39,00

39,16

39,25

39,30

39,33

39,36

39,37

39,39

39,40

3

17,44

16,04

15,44

15,10

14,88

14,74

14,62

14,54

14,47

14,42

4

12,22

10,65

9,98

9,60

9,36

9,20

9,07

8,98

8,90

8,84

5

10,01

8,43

7,76

7,39

7,15

6,98

6,85

6,76

6,68

6,62

6

8,81

7,26

6,60

6,23

5,99

5,82

5,70

5,60

5,52

5,46

7

8,07

6,54

5,89

5,52

5,29

5,12

4,99

4,90

4,82

4,76

8

7,57

6,06

5,42

5,05

4,82

4,65

4,53

4,43

4,36

4,30

9

7,21

5,71

5,08

4,72

4,48

4,32

4,20

4,10

4,03

3,96

10

6,94

5,46

4,83

4,47

4,24

4,07

3,95

3,85

3,78

3,72


Χ2- распределение

Рис. 5 График плотности вероятности    Χ2- распределение

Пусть имеем выборочную совокупность х1, х2, … хn, которая подчиняется нормальному закону распределения с генеральными параметрами μ и σ2. Если в нормальном законе распределения переменную  возвести в квадрат и просуммировать, то величина χ2 подчиняется χ2-распределению с числом степеней свободы f=n-1. Величина χ2 изменяется в пределах . Функция плотности вероятностей ассиметрична, но асимметрия уменьшается с увеличением f.

Таблица 5. Значения в зависимости от вероятности P ( и числа степеней свободы

Число степеней cвободыf

Вероятность P (


0,99

0,95

0,90

0,80

0,50

0,20

0,10

0,05

0,01

1

0,0002

0,0039

0,016

0,0642

0,455

1,64

2,71

3,84

6,64

2

0,0201

0,103

0,211

0,446

1,39

3,22

4,61

5,99

9,21

3

0,115

0,352

0,548

1,005

2,37

4,61

6,25

7,82

11,3

4

0,297

0,711

1,06

1,65

3,36

6,25

7,77

9,49

13,3

5

0,554

1,14

1,61

2,34

4,35

7,77

9,24

11,1

15,1

6

0,872

1,63

2,20

3,07

5,35

9,24

10,6

12,6

16,8

7

1,24

2,17

2,83

3,82

6,35

10,6

12,0

14,1

18,5

8

1,65

2,73

3,49

4,59

7,34

12,0

13,4

15,5

20,1

9

2,09

3,32

4,17

5,38

8,34

17,3

14,7

16,9

10

2,56

3,94

4,86

6,18

9,34

18,5

16,0

18,3

23,2


r-распределение

Ели в переменной номинированного нормального закона заменить генеральные параметры на их выборочные оценки


то получим распределение относительно отклонения или r-распределение. Функция φ(r) плотности вероятностей зависит от значения riи числа степеней свободы f=n-2. При больших значениях nr-распределение переходит в нормальное распределение.

Таблица 6. Значение r для различных уровней значимости

Число степеней свободы f

Уровень значимости α


0,01

0,05

0,01

0,001

1

1,397

1,409

1,414

1,414

2

1,559

1,645

1,715

1,730

3

1,611

1,757

1,918

1,982

4

1,631

1,814

2,051

2,178

5

1,640

1,848

2,142

2,329

6

1,644

1,870

2,208

2,447

7

1,647

1,885

2,256

2,540

8

1,648

1,895

2,294

2,616

9

1,649

1,903

2,324

2,678

10

1,649

1,910

2,398

2,730



Глава 3. Статистическое оценивание результатов измерений

3.1 Методы исключения грубых ошибок

При проведении любого измерения встречаются результаты, которые резко отличаются от остальных. Вполне естественно, что в подобных случаях возникают подозрения о наличии грубых ошибок (промахов), допущенных исследователем при получении результатов. Единственным надежным методом выявления грубых ошибок является детальный анализ условий эксперимента. Если было установлено, что были нарушены стандартные условия, то сомнительный результат следует отбросить вне зависимости от его величины.

Если в ходе проведения эксперимента был получен результат, который резко отличается от предыдущих, и условия оставались прежними, то этот сомнительный результат надо исключить, но заменить тремя новыми, подряд проведенными измерениями.

На практике далеко не всегда удается воспользоваться приведенными выше рекомендациями для исключения выбросов, поэтому для их обнаружения обычно обращаются статистическим критериям. Стоит отметить, что данные критерии являются условными, поскольку они базируются на нормальном законе распределения случайных величин, допускающем изменение xот.

Метод исключения выбросов при известном σ

Если оценка S стандартного отклонения σ надежно установлена (оценка при ), то на практике для исключения промахов допустимо применять «правило трех σ»: одно, по меньшей мере, из 10, отдельных измерений может быть квалифицированно как содержащее грубую погрешность, если его значение лежит вне области , где 3σ рассчитывается по формуле:


где V - коэффициент вариации.

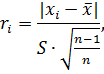
Метод исключения выбросов при неизвестном σ

Пусть имеется n изменений x1, x2, x3, … xb … xnи среди них значение xi вызывает сомнение, так как существенно отличается от остальных значений. Выдвигается нуль-гипотеза, которая заключается в том, что сомнительное значение xi принадлежит данной совокупности, то есть не является выбросом. Для принятия или отклонения ее можно используют r-критерий, значение которого рассчитывается по формуле:


где  и S - соответственно среднее значение и стандартное отклонение, подсчитанное по всем n измерениям, включая и сомнительный результат.

Полученное значение ri подчиняется r-распределению с числом степеней свободы f=n-2; его сопоставляют с табличным значением rmax(min), значения которых приведены в таблице 7. Если рассчитанное значение (0,05;f=n-2), то принимают нуль-гипотезу: результат xi принадлежит данной совокупности. При (0,01, f=n-2) нуль гипотезу отвергают, то есть считают, что сомнительный результат является выбросом и исключают его из совокупности измерений.

Таблица 7. Значения  для различных уровней значимости

Число степеней свободы f

Уровень значимости α


0,10

0,05

0,025

0,01

1

1,406

1,412

1,414

1,414

2

1,645

1,689

1,710

1,723

3

1,791

1,869

1,917

1,955

4

1,894

1,996

2,067

2,130

5

2,041

2,093

2,182

2,265

6

2,097

2,172

2,273

2,374

7

2,146

2,238

2,349

2,464

8

2,190

2,294

2,470

2,540

9

2,229

2,343

2,519

2,606

10

2,264

2,387

2,563

2,663


Можно дать следующие рекомендации для выявления выбросов:

. Если среди n измерений имеются два результата, из которых один выказывает сомнения в силу того, что он значительно больше остальных, а другой из-за того, что он значительно меньше, то следует по всем n результатам рассчитать и S и сначала проверить гипотезу о том, можно ли отбросить, как грубое то значение, которое больше отличается от среднего. Если окажется, что данное значение не является выбросом, то принимают нуль-гипотезу: оба результата принадлежат одной совокупности. Если окажется, что максимально отклоняющееся измерение является выбросом, то его отбрасывают, по оставшимся (n-1) результатам подсчитывают и Sи проверяют гипотезу о наличии грубой ошибки во втором сомнительном результате.

. Если среди измерений имеются два результата, которые высказывают сомнения, потому что они значительно меньше (или больше) остальных, то сначала произвольно отбрасывают худший из значительных результатов. По оставшимся (n-1) измерениям подсчитывают  и S и проверяют гипотезу о наличии грубой ошибки в лучшем из сомнительных результатов. Если окажется, что это измерение можно квалифицировать как выброс, то нужно отбросить оба сомнительных результата. Если окажется, что второе измерение не содержит грубой ошибки, то проверяют гипотезу о наличии промаха в худшем из сомнительных результатов. При этом и Sрассчитывают по всем n измерениям.

2.2 Сравнение двух дисперсий

В любой экспериментальной работе, включая решение задач по аналитической химии, нередко требуется сравнить точность результата измерений.

Если мы имеем две серии измерений: x1, x2, x3 …, xb … xn1иy1, y2, y3 … yb… yn2. По результатам измерений рассчитаны выборочные дисперсии при числе степеней свободыf1=n1-1 и при числе степеней свободы f2=n2-1. Значение больше значения . Величина служит оценкой генеральной дисперсии , а - генеральной дисперсии . Нужно сравнить генеральные дисперсии по известным выборочным. Несмотря на то, что выдвигается нуль-гипотеза, которая заключается в том, что генеральные дисперсии равны: . Выборочные дисперсии характеризуют одну и ту же генеральную дисперсию  и называются однородными. Следовательно необходимо проверить однородность выборочных дисперсий.

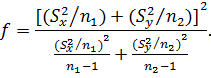
Принятие или подтверждение выдвинутой нуль-гипотезы проводят с помощью F-критерия. Для этого находят отношение при условии, что в числитель обязательно ставится большая по величине выборочная дисперсия. При поверке гипотезе о равенстве  следует различать два случая.

В первом случае заранее известно, что  не может быть меньше , поэтому проверяют справедливость одного из двух положений: . В этих условиях рассчитанное значение F сравнивают с табличным с использованием одностороннего F-критерия. Обычно таблицы для критерия F составлены для односторонней функции φ(F), поэтому для принятия нуль-гипотезы находят табличное значение находят табличное значение при уровне значимости α=0,05 и числе степеней свободы для большей дисперсии , которое откладывается по горизонтали, и меньшей дисперсии , которое откладывается по вертикали соответственно. Если справедливо неравенство , принимают нуль-гипотезу: выборочные дисперсии однородны, то есть они характеризуют одну и ту же генеральную дисперсию. Это позволяет усреднить выборочные дисперсии. При этом больший статистический вес имеет та дисперсия, которая определена более надежно, то есть рассчитана по большему числу измерений, поэтому усредненная дисперсия рассчитывается по формуле:


Если ,то принять нуль-гипотезу нельзя, но и недостаточно оснований для ее отбрасывания. Чтобы принять решение, необходимо сравнить значение F сравнить с табличным F(0,01,. Если , нуль-гипотезу отбрасывают: дисперсии  неоднородны.

Во втором случае сравнивают дисперсии , когда из условий постановки эксперимента нельзя определить, какая генеральная дисперсия больше, то есть справедливо может быть любое из трех положений: . В этом случае пользуются двухсторонним критерием F: критическая область в функции плотности вероятностей φ(F) состоит из двух частей, то есть α=2α1, где α1 и α - уровень значимости соответственно для одностороннего и двухстороннего F-критерия. Чтобы найти значение двухстороннего F-критерия для уровня значимости α=0,05 по таблицам, составленным для одностороннего F-критерия, следует использовать α1=0,025 и т.д. В остальном нуль-гипотезу проверяют по тем же правилам, что и в первом случае.

2.3 Сравнение нескольких дисперсий

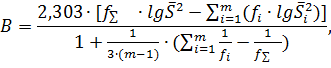
При создании стандартных образцов, проверке качества работа нескольких однотипных приборов и т.п. возникает задача оценить однородность нескольких (m) дисперсий , каждая из которых определена с числом степеней свободы  соответственно. При решении этих вопросов формируется нуль-гипотеза: сравнимые дисперсии однородны. Принять или отвергнуть ее можно с помощью критериев Бартлетта или Кохрена.

При сравнении дисперсий с помощью критерия Бартлетта рассчитывают величину В:

где ; .

Бартлетт показал, что величина В распределена приближённо как критерий χ2 с числом степеней свободы  при условии, что для всех сравнимых дисперсий спреведливо условие: .

Если , то отбрасывают гипотезу об однородности дисперсий, то есть одна или нескольких выборочных дисперсий из рассматриваемой совокупности характеризуют другие генеральные дисперсии. Если , то нуль-гипотезу принимают: сравнивание дисперсии однородны и их можно усреднить с учетом числа степеней свободы каждой дисперсии.

Если число степеней свободы для всех выборок одинаково, то есть , то для сравнения дисперсий вместо приближенного критерия Бартлетта используется критерий Кохрена. Этот критерий основан на законе распределения отношения максимальной выборочной дисперсии к сумме всех сравнительных дисперсий:


Для установления однородности/неоднородности дисперсий используют табличные значения . При принимают, что сравнимые дисперсии однородны. Если , то дисперсия характеризует другую генеральную дисперсию. Ее исключают из рассмотрения и проверяют по критерию Кохрена большую из оставшихся дисперсий.

2.3 Сравнение двух средних результатов

В экспериментальной работе часто возникает ситуация, когда требуется сравнить между собой два результата измерения: сопоставление результатов одной пробы, полученные разными методиками; сравниваются измерения, сделанные разными приборами и т.д. С позиции статистически данные задачи решаются одинаково.

Пусть в разных условиях получены две выборки:

х1, х2, х3, …, хn1 (проведено n1измерений),

у1, у2, у3, …, уn2 (проведено n2измерений),

и требуется сравнить их средние результаты . Для каждой выборки рассчитывается дисперсии , характеризующие воспроизводимость этих измерений. Значения  можно сравнить с помощью t-критерия, если есть основания полагать, что имеем дело с нормально распределенными наблюдениями.

Однако прежде чем оценивать значимость различия между х и у, следует проверить однородность дисперсий  с помощью F-критерия. При этом можно наблюдать два случая: результаты анализа равноточные и неравноточные.

Сравнение равноточных результатов

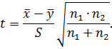
При дисперсии  однородны и, следовательно, сравнивают равноточные результаты измерения, воспроизводимость которых характеризуется средней дисперсией S2,рассчитывается по формуле . Дисперсия S2определена при числе степеней свободы . Значимость расхождения средних результатов оценивают по формуле:


Рассчитанное значение t сравнивают с табличным значением t-критерием, установленным для уровня значимости α и числа степеней свободы , по которым определенаS2. Если , то различие между носит систематический характер. При принимают нуль-гипотезу различие между случайно. Оба результата характеризуют одно и то же математическое ожидание, оценка которого равна:


Сравнение неравноточных результатов

Если при оценке однородности дисперсий  получили, что  дисперсии являются неоднородными. В этом случае можно рассчитывать значения t-критерия по формуле:


Величину fв общем случае рассчитывают по формуле:


Следует отметить, что в зависимости от того, насколько различаются по величине дисперсии , число степеней свободы f изменится в пределах .

После определения величины f находят табличное значение t(α, f) для принятия или опровержения нуль-гипотезы применяют алгоритм, который был описан выше для равноточных результатов.

Заключение

Исходя из вышеперечисленного, можно сделать вывод, что методы математической статистики обработки результатов находят широкое применение на практике. Они не только позволяют оценить вклад случайной погрешности, но и помогают определить промахи (грубые погрешности) и исключить их без проведения дополнительных измерений; сравнить две или несколько дисперсий, что, например, применимо в случаях, когда нужно сравнить воспроизводилось двух методик анализа или при установке нового оборудования возник вопрос: не изменилось ли воспроизводилось результатов измерения. Сравнение нескольких дисперсий находит свое применение при изготовлении стандартных образцов, проверке качества однотипных приборов, установленных в лаборатории и т.д.

Таки образом, математическая статистика является одним из ключевых компонентов при проведении анализа.

Список литературы

1. ГармашA.B. Метрологические основы аналитической химии / А.В. Гармаш, А.М.Сорокина - Москва 2012 г.

. Дёрффель К. Статистика в аналитической химии / К. Дёрффель - М.: Мир 1994 г.

. Классификация погрешностей измерений [Электронный ресурс] Режим доступа:http://metrob.ru/HTML/pogreshnost/klassifikacia-pogreshnosti.htmlДата доступа: 27.11.2015 погрешность химия случайный дисперсия

. Краткие сведения о статической обработке эксперементальных данных [Электронный ресурс] Режим доступа:http://alnam.ru/book_a_chem2.php?id=26Дата доступа: 1.12.2015

. Сергеев А.Г. Метрология, стандартизация, сертефикация / А.Г. Сергеев, М.В. Латышев, В.В. Терегеря - Москва 2005 г.

. Смагунова А.Н. Методы математической статистики в аналитической химии / А.Н. Смагунова, О.Р. Карпукова - Феникс, 2012.

. Теория вероятностей и статистика в аналитической химии [Электронный ресурс] Режим доступа:http://chemstat.com.ru/lections Дата доступа: 1.12.2015

Похожие работы на - Элементы статистики в аналитической химии

 

Не нашли материал для своей работы?
Поможем написать уникальную работу
Без плагиата!
Без нейросетей!