Решение задач с применением теории графов
Решение
задач с применением теории графов
Содержание
Введение
Задание №1
Задание №2
Задание №3
Задание №4
Задание №5
Заключение
Список используемых источников
Введение
граф дискретная
математика
Теория графов - раздел дискретной математики, изучающий свойства графов.
В общем смысле граф представляется как множество вершин (узлов), соединённых
рёбрами. В строгом определении графом называется такая пара множеств G=(V,E),
где V есть подмножество любого счётного множества, а E - подмножество V×V.
В последнее время теория графов стала простым, доступным и мощным
средством решения вопросов, относящихся к широкому кругу проблем. Это проблемы
проектирования интегральных схем и схем управления, исследования логических
цепей, блок-схем программ, экономики и статистики, химии и биологии, теории
расписаний и дискретной математики.
Целью данной работы является практическое закрепление
научно-теоретических материалов теории графов и получение навыков применения
полученных знаний для решения конкретных задач.
1 Задание №1
Формулировка задания
Дана матрица смежности для графа G. На основе аналитических выражений
для прямого и обратного транзитивных замыканий найти все компоненты связности
для данного графа. Результаты вычислений проверить путем непосредственных
преобразований матриц смежности. В отчете о выполненном задании привести два
рисунка: графическое изображение исходного графа, когда его вершины в порядке
возрастания номеров расположены по окружности, наподобие циферблата, и этого же
графа, но разложенные на сильно связанные подграфы.
Матрица смежности представлена на
рисунке 1.1.
Рисунок 1.1 - Матрица смежности
исходного графа
Решение
Для начала приведем графическое
изображение исходного графа, расположив его вершины по окружности в порядке
возрастания номеров. Получившийся граф, представлен на рисунке 1.2.
Рисунок 1.2 - Графическое изображение
исходного графа
Степени оператора прямого
транзитивного замыкания для первой вершины:
G0(1) = {1};
G1(1) = {1, 2, 8, 18};
G2(1) = {1, 2, 8, 18, 6, 12, 4, 16, 5, 14};
G3(1) = {1, 2, 8, 18, 6, 12, 4, 16, 5, 14, 3, 15, 10, 13, 17};
G4(1) = {1, 2, 8, 18, 6, 12, 4, 16, 5, 14, 3, 15, 10, 13, 17,
11, 7}.
Остальные степени оператора G находить не нужно, так как это не
приводит к появлению во множестве Gk(1) новых вершин. Следовательно, прямое транзитивное
замыкание
G+(1) = 
= {1, 2,
3, 4, 5, 6, 7, 8, 10, 11, 12, 13, 14, 15, 16, 17, 18}.
Степени
оператора обратного транзитивного замыкания для первой вершины:
G-1(1) = {1, 11, 12};
G-2(1) = {1, 11, 12, 3, 13, 2, 4, 7, 14, 15};
G-3(1) = {1, 11, 12, 3, 13, 2, 4, 7, 14, 15, 6, 17, 8, 5,
9, 16, 18, 10}.
Остальные
степени оператора не находим по той же причине. Следовательно, обратное
транзитивное замыкание
G-(1) =
={1,2, 3,
4, 5, 6, 7, 8, 9, 10, 11, 12, 13, 14, 15, 16, 17, 18}.
Таким
образом, компонента связности для вершины 1
C1 = G+(1)∩G-(1) = {1, 2, 3, 4, 5, 6, 7, 8, 10, 11, 12, 13, 14, 15,
16, 17, 18}.
После
этих вычислений остается вершина 9, не вошедшая в компоненту. Не вычисляя G+(9) и G-(9),
можно заключить, что C2 = {9}.
Проверим
найденные компоненты связности путем непосредственных преобразований матрицы
смежности. Слева от матрицы приписываем столбец, i-й элемент
которого является длиной пути из первой вершины в i-ю. Снизу
приписываем строку, i-й элемент которой является длиной пути из i-й
вершины в первую. Получившаяся матрица с приписанными столбцом и строкой
представлена на рисунке 1.3.
Рисунок
1.3 - Преобразования матрицы смежности
По
приписанным столбцу и строке записываем прямое и обратное транзитивные
замыкания вершины 1:
G+(1) = {1, 2, 3, 4, 5, 6, 7, 8, 10, 11, 12, 13, 14, 15,
16, 17, 18};
G-(1) = {1, 2, 3, 4, 5, 6, 7, 8, 9, 10, 11, 12, 13, 14,
15, 16, 17, 18}.
Следовательно,
компонента связности вершины 1
C1= G+(1)∩G-(1) = {1, 2, 3, 4, 5, 6, 7, 8, 10, 11, 12, 13, 14, 15,
16, 17, 18}.
Компонента
связности вершины 9
C9 = {9}.
На
рисунке 1.4 представлен граф, разложенный на сильно связанные подграфы.
Рисунок
1.4 - Граф, разложенный на сильно связанные подграфы
Задание
№2
Формулировка
задания.
Задан
ориентированный граф с 18 вершинами без контуров. Необходимо произвести
разбивку графа на классы порядка. Затем найти два пути, максимального и
минимального веса. Пути начинаются в вершине нижнего уровня, а заканчиваются в
вершине верхнего уровня.
Матрицы
смежности и весов представлены на рисунках 2.1 и 2.2.
Рисунок
2.1 - Матрица смежности заданного графа
Рисунок
2.2 - Матрица весов заданного графа
Решение
Чтобы
найти классы порядка, воспользуемся алгоритмом Демукрона. Снизу от матрицы
смежности приписываем массив M, элементы которого получаются суммированием элементов
в столбцах и являются полустепенями захода для вершин. Первые четыре элемента
массива равны нулю, поэтому вершины 1, 2, 3 и 4 относим к первому уровню, а
вместо нулей в массиве пишем *. Далее в матрице смежности складываем первые
четыре строки и их сумму вычитаем из массива М. Затем в полученном массиве
снова ищем нулевые элементы и так повторяем всю процедуру, пока не получим
массив, полностью состоящий из *. Все преобразования массива до получения
требуемого представлены на рисунке 2.3. В результате вычислений получили
следующие классы порядка:
N0 = {1, 2, 3, 4};
N1 = {5, 6, 7, 8};
N2 = {9, 10, 11, 13};
N3 = {12, 14, 15};4 = {16, 17};5
= {18}.

Для
нахождения путей максимального и минимального веса проанализируем все возможные
пути.
Из
вершины 1, принадлежащей нулевому уровню, к вершине 18, принадлежащей пятому
уровню, ведут пути: 1, 16, 18; 1, 5, 10, 14, 16, 18; 1, 5, 10, 14, 17, 18; 1,
5, 13, 16, 18; 1, 5, 13, 14, 16, 18; 1, 5, 13, 14, 17, 18; 1, 5, 13, 17, 18; 1,
5, 13, 15, 18; 1, 5, 16, 18; 1, 5, 14, 16, 18; 1, 5, 14, 17, 18; 1, 5, 18; 1,
5, 15, 18. Их веса: 6, 33, 36, 19, 32, 35, 26, 36, 5, 23, 26, 4, 22.
Из
вершины 2, принадлежащей нулевому уровню, к вершине 18, принадлежащей пятому
уровню, ведут пути: 2, 7, 12, 18; 2, 7, 17, 18; 2, 10, 14, 16, 18; 2, 10, 14,
17, 18; 2, 12, 18; 2, 14, 16, 18; 2, 14, 17, 18; 2, 17, 18; 2, 15, 18; 2, 5,
10, 14, 16, 18; 2, 5, 10, 14, 17, 18; 2, 5, 13, 16, 18; 2, 5, 13, 17, 18; 2, 5,
13, 14, 16, 18; 2, 5, 13, 14, 17, 18; 2, 5, 13, 15, 18; 2, 5, 16, 18; 2, 5, 14,
16, 18; 2, 5, 14, 17, 18; 2, 5, 18; 2, 5, 15, 18. Их веса: 29, 28, 18, 21, 15,
26, 29, 13, 17, 42, 45, 28, 35, 41, 44, 45, 14, 32, 35, 13, 31.
Из
вершины 3, принадлежащей нулевому уровню, к вершине 18, принадлежащей пятому
уровню, ведут пути: 3, 6, 16, 18; 3, 6, 17, 18; 3, 6, 11, 12, 18; 3, 6, 9, 17,
18; 3, 5, 10, 14, 16, 18; 3, 5, 10, 14, 17, 18; 3, 5, 13, 16, 18; 3, 5, 13, 14,
16, 18; 3, 5, 13, 14, 17, 18; 3, 5, 13, 17, 18; 3, 5, 13, 15, 18; 3, 5, 16, 18;
3, 5, 14, 16, 18; 3, 5, 14, 17, 18; 3, 5, 18; 3, 5, 15, 18. Их веса: 9, 13, 34,
23, 33, 36, 19, 32, 35, 26, 36, 5, 23, 26, 4, 22.
Из
вершины 4, принадлежащей нулевому уровню, к вершине 18, принадлежащей пятому
уровню, ведут пути: 4, 16, 18; 4, 17, 18; 4, 8, 11, 12, 18; 4, 8, 15, 18; 4, 8,
9, 17, 18; 4, 9, 17, 18. Их веса: 15, 7, 33, 37, 17, 15.
Оптимальный
путь, отвечающий максимальному общему весу 45 - 2, 5, 13, 15, 18. Оптимальные
пути, отвечающие минимальному общему весу 4 - 1, 5, 18; 3, 5, 18.
Изобразим
граф, расположив его вершины по уровням класса порядка.
Рисунок 2.4 - Топологически
сортированный граф
Задание №3
Формулировка задания.
Дана матрица смежности графа. Найти
центр графа и отклонение от центра для каждой вершины. Используя матрицу
смежности, рассчитать общее число путей длиной 1, 2, 3, 4, 5, 6, а также с
помощью поименованной матрицы смежности получить и все элементарные пути,
указанной длины (в каждой следующей поименованной матрице все неэлементарные
пути следует опускать). Матрица смежности:
A(G) = 
.
Решение.
Изобразим
данный граф.
Рисунок 3.1 - Исходный граф
Составим матрицу R, элементы которой r(vi, vj) являются расстояниями (длинами
путей) от вершины i до вершины j. Получим:
R = 
.
Отклонения вершин от центра графа:
D(1) = 
(0+3+1+2+2+1)
= 
;
D(2) = 
(3+0+2+2+1+1)
= 
;
D(3) = 
(1+4+1+3+3+2)
= 
;
D(4) = 
(1+1+2+0+1+2)
= 
;
D(5) = 
(2+1+1+2+0+1)
= 
;
D(6) = 
(2+2+1+1+1+1)
= 
.
В
данном графе минимальное отклонение от центра у вершин 4 и 5. Следовательно,
множество вершин {4, 5} - центр графа.
Просуммировав
все элементы данной матрицы смежности A(G), получим
количество путей длиной 1, равное 16.
Чтобы
получить количество путей длиной 2, 3, 4, 5 и 6, возведем матрицу A(G) в
соответствующие степени:
A2(G)
= 
;3(G)
= 
;4(G)
= 
;5(G)
= 
;6(G)
= 
.
Теперь
просуммируем все элементы каждой из получившихся матриц и получим
соответственно: количество путей длиной 2, равное 44; количество путей длиной
3, равное 121; количество путей длиной 4, равное 326; количество путей длиной
5, равное 876; количество путей длиной 6, равное 2357.
Далее
найдем все элементарные пути заданной длины. Для этого составим поименованную
матрицу смежности и вспомогательную матрицу:
A(G) = 
;
A’(G) = 
.
С
помощью вспомогательной матрицы вычислим степени матрицы A(G).
Так как в данном графе имеется 6 вершин, то максимальная степень поименованной
матрицы для определения всех элементарных путей будет равна 5.
Вычислив
по формуле A2(G) = A(G) ∙
A’(G), получим следующие элементарные пути длиной 2: 1, 6,
3; 1, 6, 4; 1, 6, 5; 2, 5, 3; 2, 6, 3; 2, 6, 4; 2, 6, 5; 2, 5, 6; 3, 1, 6; 4,
5, 2; 4, 1, 3; 4, 5, 3; 4, 2, 5; 4, 1, 6; 4, 2, 6; 4, 5, 6; 5, 3, 1; 5, 6, 3;
5, 6, 4; 5, 2, 6; 6, 3, 1; 6, 4, 1; 6, 4, 2; 6, 5, 2; 6, 5, 3; 6, 4, 5.
Аналогично
вычислим элементарные пути длиной 3: 1, 6, 4, 2; 1, 6, 5, 2; 1, 6, 5, 3; 1, 6,
4, 5; 2, 5, 3, 1; 2, 6, 3, 1; 2, 6, 4, 1; 2, 6, 5, 3; 2, 5, 6, 3; 2, 5, 6, 4;
2, 6, 4, 5; 3, 1, 6, 4; 3, 1, 6, 5; 4, 5, 3, 1; 4, 2, 5, 3; 4, 1, 6, 3; 4, 2,
6, 3; 4, 5, 6, 3; 4, 1, 6, 5; 4, 2, 6, 5; 4, 5, 2, 6; 4, 2, 5, 6; 5, 6, 3, 1;
5, 6, 4, 1; 5, 6, 4, 2; 5, 2, 6, 3; 5, 2, 6, 4; 5, 3, 1, 6; 6, 5, 3, 1; 6, 4,
5, 2; 6, 4, 1, 3; 6, 4, 5, 3; 6, 4, 2, 5.
Элементарные
пути длиной 4: 1, 6, 4, 5, 2; 1, 6, 4, 5, 3; 1, 6, 4, 2, 5; 2, 6, 5, 3, 1; 2,
5, 6, 3, 1; 2, 5, 6, 4, 1; 2, 6, 4, 1, 3; 2, 5, 3, 1, 6; 3, 1, 6, 4, 2; 3, 1,
6, 5, 2; 3, 1, 6, 4, 5; 4, 2, 5, 3, 1; 4, 2, 6, 3, 1; 4, 5, 6, 3, 1; 4, 1, 6,
5, 2; 4, 1, 6, 5, 3; 4, 2, 6, 5, 3; 4, 5, 2, 6, 3; 4, 2, 5, 6, 3; 4, 5, 3, 1,
6; 5, 2, 6, 3, 1; 5, 2, 6, 4, 1; 5, 6, 4, 1, 3; 5, 3, 1, 6, 4; 6, 4, 5, 3, 1;
6, 4, 2, 5, 3.
Элементарные
пути длиной 5: 1, 6, 4, 2, 5, 3; 2, 5, 6, 4, 1, 3; 2, 5, 3, 1, 6, 4; 3, 1, 6,
4, 5, 2; 3, 1, 6, 4, 2, 5; 4, 2, 6, 5, 3, 1; 4, 5, 2, 6, 3, 1; 4, 2, 5, 6, 3,
1; 4, 2, 5, 3, 1, 6; 5, 3, 1, 6, 4, 2; 5, 2, 6, 4, 1, 3; 6, 4, 2, 5, 3, 1.
Задание
№4
Формулировка
задания.
Дана
матрица смежности графа. Построить для данного графа дополнительный и
двойственный. Указать остовы (не менее 5), базисные циклы, базисные разрезы,
найти ранг и цикломатическое число, подсчитать количество возможных остовов.
Матрица смежности:
A(G) = 
.
Решение
Изобразим
данный граф в планарной укладке.
Рисунок 4.1 - Исходный граф в
планарной укладке
Изобразим отдельно двойственный и
дополнительный графы.
Рисунок 4.2 - Двойственный граф G’
Рисунок
4.3 - Дополнительный граф 
Изобразим
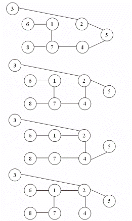
один из остовов исходного графа G.
e3
e2 e1
e4
e8 e9 e5
e7 e6
Рисунок 4.4 - Один из остовов
исходного графа G
Остовные ребра для выбранного остова:
e1, e2, e3, e4, e5, e6, e7.
Хорды: e8, e9.
Базисные циклы: 125471, 2452.
Базисные разрезы: e2; e3; e7; e1e8; e6e8; e4e8e9; e5e8e9.
Ранг графа G k=7, цикломатическое число графа l=2.
Матрица Кирхгофа графа G:
K = 
.
Чтобы
найти количество возможных остовов для графа G, необходимо
найти какое-либо алгебраическое дополнение матрицы Кирхгофа. Вычислив
алгебраическое дополнение K22,
получили возможное количество остовов равное 11.
Один
из возможных остовов мы указали в начале задания. Укажем еще 4 возможных
остова.
Рисунок 4.5 - Примеры возможных
остовов
5 Задание №5
Формулировка задания.
Матрица смежности:
A(G) = 
.
Решение
Изобразим
двудольный граф G.

Рисунок 5.1 - Двудольный граф
Изобразим реберный граф Gр.
Рисунок 5.2 - Реберный граф
Максимальные паросочетания для
двудольного графа G:
1) e1, e3;
) e1, e5;
) e1, e6;
) e1, e7;
) e2, e5;
) e2, e6;
) e2, e7;
) e3, e4;
) e4, e6;
) e4, e7.
Минимальные реберные покрытия для
двудольного графа G:
) e1, e2, e4, e6, e7;
2) e1, e2, e5,
e6, e7;
) e1, e3, e4,
e6, e7;
) e1, e3, e5,
e6, e7.
Чтобы записать максимальные вершинные
независимые множества реберного графа, достаточно переписать максимальные
паросочетания двудольного графа, поменяв обозначения ребер обозначениями
вершин:
) 1, 3;
) 1, 5;
) 1, 6;
) 1, 7;
) 2, 5;
) 2, 6;
) 2, 7;
) 3, 4;
) 4, 6;
) 4, 7.
Минимальные вершинные покрытия
являются дополнениями к максимальным вершинным независимым множествам:
) 2, 4, 5, 6, 7;
) 2, 3, 4, 6, 7;
) 2, 3, 4, 5, 7;
) 2, 3, 4, 5, 6;
) 1, 3, 4, 6, 7;
) 1, 3, 4, 5, 7;
) 1, 3, 4, 5, 6;
) 1, 2, 5, 6, 7;
) 1, 2, 3, 5, 7;
) 1, 2, 3, 5, 6.
Найдем минимальные вершинные покрытия
реберного графа с помощью КНФ. Для данного графа КНФ имеет вид:
f(Gp) =
(1v2)(1v4)(2v3)(2v4)(3v5)(3v6)(3v7)(4v5)(5v6)(5v7)(6v7). (1)
Преобразуем f(Gp),
раскрывая скобки и используя закон поглощения:
f(Gp) =
(1v24)(2v34)(3v567)(6v7) = (12v134v24v234)(35v3467v567v4567) (6v7) =
(12v134v24)(356v357v3467v567) = 12356 v 12357 v 123467 v 12567 v v13456 v 13457
v 13467 v 134567 v 23456 v 23457 v 23467 v 24567. (2)
Для проверки по принципу
двойственности составим для функции (2) двойственную:
(Gp)
= (1v2v3v5v6)(1v2v3v5v7)(1v2v3v4v6v7)(1v2v5v6v7)(1v3v4v5v6)
(1v3v4v5v7)(1v3v4v6v7)(1v3v4v5v6v7)(2v3v4v5v6)(2v3v4v5v7)(2v3v4v6v7)
(2v4v5v6v7). (3)
Преобразуем
функцию (3), используя тождества поглощения и идемпотентности. Получим:

(Gp)
= (1v2v3v5v6)(1v2v3v5v7)(1v2v3v4v6v7)(1v2v5v6v7)(1v3v4v5v6)
(1v3v4v5v7)(1v3v4v6v7)(1v3v4v5v6v7)(2v3v4v5v6)(2v3v4v5v7)(2v3v4v6v7)
(2v4v5v6v7) = (1v2v3v5v67)(1v5v6v23v24v37v47)(1v3v4v7v56)(2v3v4v5v67)
(2v4v6v7v35) = (1v5v23v24v26v36v37v67) (3v4v12v15v27v57v67v56) (2v4v6v7v35) =
(12v13v14v15v35v45v57v67v56v23v24v36v37)(2v4v6v7v35) = =12v14v23v24v35v36v37v45v56v57v67
(4)
Так
как функция (4) является двойственной для функции (1), значит вершинные
покрытия были найдены верно.
Заключение
В данной работе были решены
конкретные задачи с применением теории графов.
Главной задачей было практическое
закрепление научно-теоретических материалов теории графов и получение навыков
применения полученных знаний для решения конкретных задач.
Все поставленные цели и задачи были
решены в данной работе.
Полученные знания в ходе выполнения
работы окажутся очень полезными в дальнейшем изучении специальности.
Список используемых источников
1. Белов В.В., Воробьев Е.М.,
Шаталов В.Е. Теория графов. - М.: Высш. школа, 1976. - С. 392.
. Берж К. Теория графов и ее
приложения. М.: ИЛ, 1962. 320c.
. Емеличев В.А., Мельников О.И.,
Сарванов В.И., Тышкевич Р.И. Лекции по теории графов. М.: Наука, 1990. 384с.
. Кристофидес Н. Теория
графов. Алгоритмический подход. М.: Мир, 1978. 429c.
5. Уилсон Р. Введение в теорию графов. Пер с англ. М.: Мир,
1977. 208с.
6. Харари Ф. Теория графов. - М.: КомКнига, 2006. - 296
с.