Математическое моделирование задач электроэнергетики с помощью аппарата линейной алгебры и теории графов

  • Вид работы:
    Курсовая работа (т)
  • Предмет:
    Физика
  • Язык:
    Русский
    ,
    Формат файла:
    MS Word
    346,73 Кб
  • Опубликовано:
    2014-07-01
Вы можете узнать стоимость помощи в написании студенческой работы.
Помощь в написании работы, которую точно примут!

Математическое моделирование задач электроэнергетики с помощью аппарата линейной алгебры и теории графов















ПОЯСНИТЕЛЬНАЯ ЗАПИСКА

К курсовой работе по дисциплине

Математические задачи электроэнергетики

Содержание

Введение

. Математическое моделирование задач электроэнергетики с помощью аппарата линейной алгебры и теории графов

.1 Представление синусоидального тока комплексными величинами

.2 Матричная алгебра

.3 Определитель матрицы и его свойства

.4 Вычисление обратной матрицы

. Расчет установившихся режимов электрических систем

.1 Схема замещения электрической сети как связный граф

2.2 Первая и вторая матрицы инциденций

.3 Матричная форма записи уравнений состояния электрической сети

3. Методы решения линейных алгебраических уравнений

3.1 Решение систем линейных алгебраических уравнений методом Гаусса

3.2 Решение систем линейных алгебраических уравнений в MATLAB

. Приближенные методы решения нелинейных алгебраических уравнений

.1 Метод деления отрезка пополам

4.2 Метод Ньютона

.3 Метод простой итерации

5. Применение вероятностно-статистических методов в задачах электроснабжения

5.1 Основные определения

.2 Прогнозирование уровня электропотребления на промышленном предприятии

.3 Вычисление числовых характеристик случайных величин в системе MATLAB

. Расчетная часть

Задание №1

Задание №2

Задание №3

Задание №4

Задание №5

Заключение

Список используемой литературы

Введение

При изучении дисциплины «Математические задачи в электроэнергетике» рассматриваются математические методы и подходы для решения электроэнергетических задач.

Целью данного курса является: связать математику как общетеоретический курс с ее практическими применениями в работе специалиста в области электроэнергетики и дать конкретный математический аппарат для прикладных исследований.

Данная курсовая работа состоит из двух основных составных частей:

·   математическое моделирование задач электроэнергетики с помощью аппарата линейной алгебры и теории графов,

·        стохастическое моделирование задач электроэнергетики.

В первом разделе курсовой работы «Математическое моделирование задач электроэнергетики с помощью аппарата линейной алгебры и теории графов» решаются следующие задачи.

·   Задачи матричной алгебры.

·        Расчет установившегося режима разомкнутой электрической сети.

·        Расчет установившегося режима замкнутой электрической сети.

·        Решение системы линейных алгебраических уравнений методом Гаусса, методом Жордана-Гаусса.

·        Решение с заданной точностью  нелинейного алгебраического уравнение методом деления отрезка пополам, методом Ньютона, методом простой итерации.

Во втором разделе курсовой работы «Стохастическое моделирование задач электроэнергетики» решается задача прогнозирования уровня электропотребления на промышленном предприятии по результатам наблюдений в течение ряда лет за динамикой выпуска продукции и электропотребления.

Особенностью выполнения данной курсовой работы является использование для ее выполнения систем компьютерной математики.

В ходе работы над данным курсовым проектом каждое задание выполняется двумя способами:

1.  задача решается аналитическим способом,

2.      задача решается в системе компьютерной математики MATLAB.

Современная компьютерная математика предлагает целый набор интегрированных программных систем и пакетов программ для автоматизации математических расчетов. MATLAB - одна из систем автоматизации математических расчетов, построенная на расширенном представлении и применении матричных операций. Система MATLAB применима для практических расчетов в любой области науки и техники, в том числе в электроэнергетике.

матрица электрический уравнение синусоидальный

.       
Математическое моделирование задач электроэнергетики с помощью аппарата линейной алгебры и теории графов

1.1 Представление синусоидального тока комплексными величинами

Любое вещественное число можно изобразить графически на числовой оси Ох. Понятие вещественного числа можно обобщить, если ввести в рассмотрение число z, образованное парой вещественных чисел х,у, взятых в определенном порядке. Такое число z = (x,y) называется комплексным. Вещественные числа х,у составляют соответственно вещественную и мнимую части комплексного числа г. Часто используются обозначения

x=Rez         y = lmz

Комплексные числа также можно изображать графически. Это изображение будет двумерным на плоскости, образованной двумя взаимно перпендикулярными осями Ох и Оу. Комплексное число на плоскости хОу представляется точкой М{х,у); эту точку также называют изображением комплексного числа и обратно, пару чисел (х,у), образующих комплексное число z , называют аффиксом точки М .

Любое комплексное число можно представить в одной из трех форм.

·        Алгебраической

·        Тригонометрической

·        Показательной

z = x + jy

z = |z|cosa + j[z|sin а

z = |z|eja

Где |z| =  - модуль комплексного числа

 - аргумент комплексного числа

Аргумент а может являться линейной функцией времени t , т.е. а =

Закон Ома для участка цепи синусоидального тока без источника ЭДС можно сформулировать таким образом: комплексная амплитуда тока в цепи синусоидального тока равна отношению комплексной амплитуды напряжения к комплексному сопротивлению цепи.

Два комплексных числа z = (x,y) и z' = (х',у') считаются равными, если совпадают изображающие их точки. Это означает, что равенство z и z' имеет место в том, и только в том случае, когда

х=х', y=у'

Т.е. другими словами два комплексных числа равны, когда равны их действительные и комплексные части.

Для алгебраической формы представления комплексных чисел справедливо; при сложении двух комплексных чисел складываются отдельно их действительные и комплексные части.

(х, у) + (х', у') = (х + х',у + у').

Умножение двух комплексных чисел следует производить как умножение двух алгебраических двучленов, приводя подобные при нулевой и первой степени числа j и помня, что j2 =-1.

(х, у) * (х', у') = (хх'- уу,ху' + х'у)

Если число z = (х,у), то число z'=(х-у) называется комплексно сопряженным к числу z .

Вычитание и деление определяются как операции обратные операциям сложения и умножения, деление на 0 для комплексного числа не определено.

Деление комплексных чисел удобно выполнять с помощью умножения делимого и делителя на число сопряженное делителю. В результате этой, не изменяющей дробь операции, в знаменателе получаем вещественное число.

.2 Матричная алгебра

Матрицей размера (mхn) называется прямоугольная таблица:


составленная из элементов aij и содержащая m строк и n столбцов. Положение элементов в таблице определяется двойным индексом ij, первый означает номер строки, второй номер столбца на пересечении которых стоит данный элемент. Запись группы величин в виде матрицы не предусматривает каких-либо действий над ними. Это лишь одна из форм упорядоченной записи в виде условной таблицы.

Если в матрице А строки сделать столбцами, а столбцы строками, то получается транспонированная матрица АТ.

Квадратной матрицей называется матрица, в которой число строк совпадает с числом столбцов. Если элементы в квадратной матрице располагаются симметрично относительно главной диагонали, то такая матрица называется симметричной.

Диагональной матрицей называется матрица, в которой все элементы, кроме стоящих на главной диагонали, равны 0.

Единичная матрица, это диагональная матрица, у которой на главной диагонали стоят 1.

Операции над матрицами.

Сложение матриц. Складывать можно только матрицы, имеющие одинаковую размерность. Сложением двух матриц называется операция, при которой складываются элементы, стоящие на одинаковых местах в соответствующих таблицах.

Умножение матрицы на число. Для того чтобы умножить матрицу А на число , необходимо каждый элемент этой матрицы умножить на число .

Умножение матриц. Умножение матриц в алгебре матриц не коммутативно. Для того, чтобы произведение матриц существовало, необходимо чтобы число столбцов первой матрицы равнялось числу строк второй матрицы. Если матрица А имеет размерность (и хот), а матрица В размерность (mхn), то матрица С=А-В имеет размерность (nхm). В качестве элементов расположенных на пересечении i -той строки и j -го столбца матрицы произведения, принимают суммы попарных произведений, расположенных на одинаковых местах указанных строк матрицы множимого и столбцов матрицы- множителя.


Так как произведение матриц не коммутативно, следует различать умножение матрицы А на некоторую другую матрицу слева и справа, причем в общем случае эти матрицы могут иметь разную размерность.

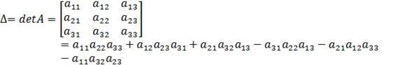
.3 Определитель матрицы и его свойства

Основной числовой характеристикой квадратной матрицы является ее определитель. Рассмотрим квадратную матрицу:

A=

Определителем или детерминантом второго порядка называется число, вычисленное по следующему правилу:

=

Рассмотрим теперь квадратную матрицу третьего порядка:


Определителем третьего порядка называется число, вычисленное по следующему правилу:


Основные свойства определителей матрицы

·        Величина определителя не изменяется при транспонировании матрицы.

·        При перестановки местами строк или столбцов матрицы, определитель меняет лишь знак, сохраняя абсолютную величину.

·        Определитель, содержащий пропорциональные строки или столбцы равен нулю.

·        Общий множитель элементов некоторой строки или столбца можно выносить за знак определителя.

·        Если все элементы некоторой строки или столбца равны нулю, то и сам определитель равен нулю.

·        Если к элементам отдельной строки или столбца определителя прибавить элементы другой строки или столбца, умноженные на произвольный невырожденный множитель Z, то величина определителя не изменится.

Минором матрицы называется определитель, полученный вычеркиванием из квадратной матрицы одинакового числа столбцов и строк.

Если все миноры порядка выше r, которые можно составить из матрицы, равны нулю, а среди миноров порядка r хотя бы один отличен от нуля, то число r называется рангом этой матрицы.

Вычисление определителя матрицы путем разложения по элементам строки или столбца

Определитель матрицы равен сумме произведений элементов какой- либо строки (какого- либо столбца) матрицы на соответствующие алгебраические дополнения элементов этой строки (этого столбца). При вычислении определителя матрицы таким способом следует руководствоваться следующим правилом: выбирать отроку или столбец с наибольшим числом нулевых элементов. Этот прием позволяет значительно сократить объем вычислений.

.4 Вычисление обратной матрицы

При решении матричных уравнений широко используют обратную матрицу. Она в известной степени заменяет операцию деления, которая в явном виде в алгебре матриц отсутствует.

Квадратные матрицы одинакового порядка, произведение которых дает единичную матрицу Е, называются взаимообратными или обратными. Обозначается обратная матрица А-1 и для нее справедливо

А*А-1 =Е.

Вычислить обратную матрицу можно только для такой матрицы А, для которой


Классический алгоритм вычисления обратной матрицы

.        Записывают матрицу АT, транспонированную к матрице А.

.        Заменяют каждый элемент матрицы АТ определителем, полученным в результате вычеркивания строки и столбца, на пересечении которых расположен данный элемент.

.        Этот определитель сопровождают знаком плюс, если сумма индексов элемента четная, и знаком минус - в противном случае.

.        Делят полученную матрицу на  определитель матрицы А.

Решение задач линейной алгебры в системе MATLAB

При создании матриц в системе MATLAB символы пробел и запятая используются для отделения элементов внутри строки в матрице, символ точка с запятой отделяет строки в матрице.

При создании матриц необходимо следить за равенством длин строк, ее образующих.

В MATLAB операция транспонирования матрицы выполняется с помощью либо оператора «.'», либо функции transpose()

Элементарными матричными преобразованиями являются:

·   перестановка местами двух строк матрицы,

·        умножение всех элементов строки матрицы на число, отличное от нуля,

·        прибавление ко всем элементам строки матрицы соответствующих элементов другой строки, умноженных на одно и тоже число.

Система MATLAB позволяет выполнять поэлементное умножение матриц.

При выполнении поэлементного умножения размерности матриц должны быть одинаковыми.

При поэлементном умножении матриц умножаются значения соответствующих элементов этих матриц и записываются в результирующую матрицу.

Для нахождения определителя (детерминанта) и ранга матриц в MATLAB имеются следующие функции:

det(X) - возвращает определитель квадратной матрицы X. Если X содержит только целые элементы, то результат - тоже целое число. Использование условия det(X)=0 как теста на вырожденность матрицы действительно только для матрицы малого порядка с целыми элементами.

2. Расчет установившихся режимов электрических систем

.1 Схема замещения электрической сети как связный граф

Схемы замещения современных сложных электрических систем содержат сотни и более узлов и ветвей. Для упрощения анализа электрических систем используется подход, суть которого заключается в аналитическом представлении конфигурации схемы замещения электрической сети с помощью процедур алгебры матриц и элементов теории графов.

Схемой замещения электрической цепи называется графическое изображение электрической цепи, показывающее последовательность соединения ее участков и отображающее свойства рассматриваемой электрической цепи.

Ветвью называется участок электрической цепи, в которой в любой момент времени ток имеет одно и то же значение.

Узлом называется место соединения двух или большего числа ветвей. Одна из ветвей, соединяющихся в узле, может быть источником тока.

Контуром называется любой замкнутый путь, проходящий но нескольким ветвям. Если схема электрической цепи не содержит контуров, то она называется разомкнутой.

Рис.1 Граф электрической сети

Основные определения теории графов

Граф можно представить, если представить множество точек на плоскости X={1,2,3,4,5}, называемых вершинами графа и множества направленных отрезков U = (u1,u2,u3,u4,u5,u6), соединяющих все или несколько вершин и называемых дугами. Таким образом любой граф G можно определить как пару множеств X, UG = (X, U).

Путем в графе G называется такая последовательность дуг  = (ul,u2---uk), в которой конец каждой предыдущей дуги совпадает с началом следующей. Длиной пути  называется число  равное числу дуг на этом пути.

Циклом называется конечная цепь, у которой начальная и конечная вершины совпадают.

Деревом называется конечный, связный, неориентированный граф, не имеющий циклов. Если в дереве n вершин, в нем всегда (n-1) ребро.

Все элементы схем замещения делятся на активные и пассивные.

К активным элементам схем замещения относятся источники ЭДС и тока. Пассивные элементы схем замещения: сопротивления и проводимости создают пути для протекания электрического тока. Пассивные элементы обычно разделяются на поперечные и продольные.

Поперечные пассивные элементы - это ветви, включенные между узлами схемы и нейтралью.

К продольным пассивным элементам относятся ветви, соединяющие все узлы, кроме узла с напряжением равным нулю.

.2 Первая и вторая матрицы инциденций

При расчете установившихся режимов электрические схемы наиболее удобно представлять в виде матриц инциденций.

Первая матрица инциденций, называется также матрицей соединений, обозначается . Показывает взаимосвязь между узлами и ветвями исходного графа. Матрица  прямоугольная матрица число строк которой определяется числом узлов сети, а число столбцов числом ветвей. Элементы матрицы . могут принимать одно из трех значений:


Здесь {u1,u2,…um} ветви соответствующего графа схемы замещения, {1,2,…n} узлы соответствующего графа схемы замещения.

Если в матрице  выделить строку, соответствующую некоторому узлу, принятому за балансирующий узел, то матрица  без последней строки называется матрицей соединений без балансирующего узла и обозначается М.

Вторая матрица инциденций называется также матрицей контуров и обозначается N. Она связывает ветви и независимые контуры соответствующего графа схемы замещения. Для составления матрицы N нужно определить число независимых контуров схемы. Это число определяется по формуле к=т-n+1, где к - число независимых контуров, т - число ветвей, n- число узлов.

Строки матрицы N соответствуют независимым контурам схемы, столбцы ветвям. Элементы матрицы N определяются по следующим правилам:


.3     
Матричная форма записи уравнений состояния электрической сети

Целью расчета установившегося режима является определение мощностей и токов в ветвях схемы замещения и напряжений в узлах.

Исходными данными о нагрузках потребителей обычно служат значения мощностей Sн1=Pн1+ jQн1, которые принимаются постоянными, или как функции напряжения узлов. Исходными данными об источниках питания служат постоянные значения активных и реактивных мощностей или значения активной мощности и напряжения в точках их подключения.

Один из источников питания, обычно самый мощный, играет роль балансирующего узла, для него задается базисное напряжение. Для решения поставленной задачи, т.е. для определения напряжений в узлах, токов и мощностей в ветвях схемы могут быть использованы различные формы уравнений состояния: обобщенное уравнение состояния, уравнения узловых напряжений, уравнения контурных токов.

Обобщенное уравнение состояния

Обобщенное уравнение состояния для схемы произвольной конфигурации имеет вид

A*I = F       (1)

Матричная форма записи уравнения, где А матрица параметров схемы замещения, где I - вектор- столбец токов в ветвях, т - число ветвей в схеме замещения, F- вектор-столбец исходных параметров режима. Уравнение (1) объединяет два матричных уравнения. Уравнение по первому закону Кирхгофа

M*I=J

Уравнение по второму закону Кирхгофа:

N*Zв*I=Ek

где М матрица размерностью ((n-1)xm) матрица соединений ветвей в узлах (без балансирующего узла), здесь n- число узлов схемы замещения, n- число ветвей, N- матрица размерностью (nхm), матрица соединений ветвей в независимые контуры, к - число независимых контуров.

Zв-diagZ1 диагональная матрица сопротивлений ветвей.

вектор-столбец задающих токов в узлах.

Ek=NE- вектор-столбец контурных ЭДС ветвей, входящих в каждый независимый контур. Матрицы М и NZB можно рассматривать как блоки одной объединенной матрицы параметров схемы замещения


а вектор-столбцы J и  как блоки одной объединенной матрицы исходных параметров режима


Для формирования обобщенного уравнения состояния (1) необходимо предварительно определить матрицы инциденций М и N, которые в аналитическом виде отображают конфигурацию схемы замещения электрической сети. Матрица А обобщенного уравнения состояния является квадратной матрицей порядка (тхт). Тогда из уравнения (1) используя метод обратной матрицы можно сразу определить токи в ветвях:

I=A-1*F

При известных токах в ветвях можно определить напряжения в узлах. Для этого сначала по закону Ома определяем падение напряжения в ветвях схемы

UB=ZBI-E

Если ЭДС в ветвях отсутствует Е =0, то закон Ома принимает вид

Затем из уравнения  определяем напряжения в узлах схемы замещения. Здесь матрица представляет собой напряжения узлов относительно базисного .

3. Методы решения систем линейных алгебраических уравнений

Краткие теоретические сведения

Все методы решения систем линейных алгебраических уравнений можно разделить на две группы :

·        точные методы;

·        методы последовательных приближений.

С помощью точных методов, проделав конечное число операций, можно получить точные значения неизвестных. При этом предполагается, что коэффициенты и правые части системы известны точно, а все вычисления проводятся без округлений. К точным методам решения систем линейных алгебраических уравнений относятся такие методы как метод обратной матрицы, метод Крамера (определителей), метод Гаусса и др.

Точные методы решения систем линейных алгебраических уравнений применяют для решения систем относительно небольшой размерности (до 10!). Привлекательными в методах последовательных приближений является их самоисправляемость и простота реализации на ПК.

Система линейных алгебраических уравнений называется совместной, если она имеет хотя бы одно решение, и несовместной, если она не имеет ни одного решения.

Решить систему линейных алгебраических уравнений - значит определить, является ли она совместной или нет. В случае если система совместна, нужно найти ее решение.

Для определения совместности системы можно использовать теорему Кронекера - Капелли, смысл которой состоит в следующем: для того, чтобы система линейных алгебраических уравнений была совместной, необходимо и достаточно, чтобы ранг матрицы коэффициентов системы А был равен рангу ее расширенной матрицы коэффициентов.

3.1 Решение систем линейных алгебраических уравнений методом Гаусса

В электроэнергетических задачах наибольшее распространение получил метод последовательных исключений Гаусса. Он относится к классу точных методов решения систем линейных алгебраических уравнений. Процесс решения по методу Гаусса состоит из двух этапов: прямой ход метода и обратный ход. На первом этапе (прямой ход) система приводится к треугольному виду, на втором этапе (обратный ход) идет последовательное определение неизвестных из этой треугольной системы.

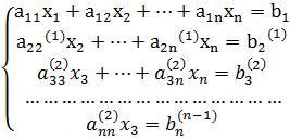
Пусть дана система линейных алгебраических уравнений п - го порядка.


Будем считать, что коэффициент , который называют ведущим элементом первого шага, отличен от нуля (в случае, если =0, нужно поменять местами первое уравнение с i-тым уравнением, в котором 0). Разделим теперь почленно первое уравнение системы на коэффициент . Введем множители:


Прибавим теперь к каждому i- тому уравнению системы первое уравнение, умноженное на mi1. Проделав эту операцию, мы исключим неизвестное x1, из всех уравнений, начиная со второго. Преобразованная система примет вид:


Здесь индекс (1) означает новые значения коэффициентов и правых частей, которые получаются после выполнения первого шага прямого хода метода Гаусса.

Переходя, к выполнению второго шага прямого хода метода Гаусса предположим, что элемент , который называют ведущим элементом второго шага, не равен нулю. Разделим второе уравнение на коэффициент . Введем множители:


Прибавим к i-тому уравнению системы (3), второе уравнение, умноженное на тi2, в результате исключим неизвестное x2 из всех уравнений, кроме первых двух.

Проведя далее аналогичные преобразования, после n-го шага придем к треугольной системе вида :


Второй этап - обратный ход метода Гаусса реализуется следующим образом. Из последнего уравнения системы (4) определяем хn. По найденному значению хn из       n-го уравнения определяем неизвестное x(n-1). Затем по значениям хn и x(n-1) из (n-2)- го уравнения находим x(n-2) и т.д.

Последовательное вычисление неизвестных продолжается до тех пор, пока из первого уравнения системы (4) не определим . На этом процесс решения заканчивается.

.2 Решение систем линейных алгебраических уравнений в системе MATLAB

Решение систем линейных алгебраических уравнений методом

Жордана-Гаусса

Метод Жордана - Гаусса является одной из модификаций метода Гаусса, в котором матрица коэффициентов при неизвестных последовательно приводится к единичной матрице, а на месте столбца свободных членов в расширенной матрице в результате располагается решение системы линейных алгебраических уравнений:


Сущность этого метода заключается в том, что, начиная со второго шага, зануляются все элементы в соответствующем столбце, кроме элемента, стоящего на главной диагонали. Это достигается с помощью алгебраических преобразований аналогичных классическому методу Гаусса. Если имеется система линейных алгебраических уравнений n-го порядка, то на каждом шаге прямого хода метода Гаусса в каждом столбце матрицы коэффициентов зануляется ровно (n-1) коэффициент.

Стандартной функцией, которая реализует метод Жордана-Гаусса в системе MATLAB , является функция rref(). Аргументом у этой функции является расширенная матрица коэффициентов.

Для решения систем линейных алгебраических уравнений с помощью MATLAB можно применять оператор «\», который самостоятельно выбирает лучший метод для решения заданной системы уравнений. При этом решение системы линейных алгебраических уравнений любого порядка достигается одной командой:

»Х =(А\В)’

4. Приближенные методы решения нелинейных алгебраических уравнений

Необходимость отыскания корней характеристического уравнения всегда возникает при расчете переходного процесса в линейных электрических цепях. В общем случае характеристическое уравнение может быть сколь угодно высокого порядка. Значения, которые могут принимать корни характеристического уравнения дают представление о характере переходного процесса и в общем случае могут принимать комплексные значения.

Алгебраическое уравнение m - ной степени задается в следующем виде:

а0хт+ а1x(m-1) + …. + ат =0

Относительно небольшое количество задач отыскания корней нелинейных алгебраических уравнений можно решить аналитически, на практике почти всегда приходится находить решение уравнений с помощью численных методов.

Приближенное решение нелинейных алгебраических уравнений состоит из двух этапов:

· этап отделения корней

· этап уточнения корней

Пусть требуется найти корни уравнения f(x) = 0. Этап отделения корней этого уравнения заключается в нахождении всех интервалов в области определения функции f(x), на концах которых функция меняет знак. Количество интервалов определяется по числу корней. Не существует универсального метода, позволяющего отделить все корни нелинейного алгебраического уравнения. В качестве возможных способов отделения корней могут быть предложены следующие способы.

·     Графический способ. Приближенно строится график функции f(x) и по графику определяются интервалы на оси Ох, на которых функция f(x) меняет знаки.

·        Табличный способ. Строится таблица, состоящая из двух строк, в первой строке с каким-то произвольным шагом изменяется значение аргумента х, желательно на отрезке симметричном относительно 0. Во второй строке вычисляются соответствующие значения функции f(x). Если в соседних ячейках второй строки функция меняет знак (причем неважно с + на - или с - на +), то считается что на этом интервале находится хотя бы один корень.

·        Способ нахождения верхних и нижних границ положительных и отрицательных корней.

.1 Метод деления отрезка пополам

После отделения корней можно уточнить его одним из методов последовательных приближений. Одним из таких методов является метод деления отрезка пополам. Этот метод является наиболее простым надежным методом уточнения корня на отрезке [а,b] в том случае, когда функция f(x) из уравнения f(x) = 0 является непрерывной функцией и принимает на концах отрезка [а,b] значения разных знаков, т.е. f(a)-f(b)<0.

Очевидно, что середина отрезка [а,b] служит приближением к искомому корню уравнения. Обозначим середину отрезка [a,b] точкой x1=.

В этой точке определяется знак функции f(x) , затем выбирается та половина отрезка, на концах которой функция f(x) принимает значения разных знаков и деление повторяется по тому же самому алгоритму. Если требуется найти корень с точностью д , то деление отрезка пополам продолжается до тех пор, пока длина последнего отрезка содержащего корень не станет меньше величины 2∙д. Тогда середина последнего отрезка даст значение корня с требуемой точностью. В этом методе можно не вычислять само значение функции f{x), достаточно лишь определить знак значения функции. Обозначим погрешность на п шаге через  , где x*- точное значение корня, тогда погрешности на n- том и (n+1) шаге связаны неравенством , где n = 1,2,.., что позволяет отнести метод деления отрезка пополам к методам, имеющим линейную скорость сходимости.

.2 Метод Ньютона

Метод Ньютона применяется к решению уравнения, когда функция f(x) является непрерывно дифференцируемой функцией. Также вначале отделим корень уравнения на отрезке [а, b].

Для начала вычислений требуется задание одного начального приближения x0 внутри отрезка [а,b]. Первое приближение вычисляется через это начальное по формуле:


Общая формула метода Ньютона может быть записана с помощью рекуррентного соотношения:


где n = 0,1,… и f'(xn)≠0.

Каждое последующее приближение вычисляется через предыдущее. Геометрически точка хn+1 является значением абсциссы точки пересечения касательной к кривой y=f(x) в точке (хn,) с осью абсцисс, поэтому часто метод Ньютона называют также методом касательных.

На практике можно встреться со случаем сходимости метода Ньютона, когда х0 далеко от искомого корня, так и со случаем расходимости метода для х0 - близких к корню. Возможен также случай зацикливания метода. Часто при неудачном выборе начального приближения х0 нет монотонного убывания последовательности | f(xn)|. В таком случае вычисления можно проводить по модифицированному методу Ньютона:

 n = 1,2,..,

а сомножители 0 < аn < 1 выбираются так, чтобы выполнялось неравенство


Сомножители 0 < аn < 1 сжимают отображение. Рекомендуется всегда выбирать достаточно тесные границы корня [а,b], и в качестве начального приближения х0 выбирать такую точку отрезка [а,b], где знаки функции f(x0) и ее кривизны f"(x0) совпадают.

Условием выхода из итерационного процесса по методу Ньютона является выполнение неравенства

.3 Метод простой итерации

Метод простой итерации применяется к решению уравнения с выделенным значением неизвестного в правой части х=ц(х) и состоит в построении последовательности {хn}, начиная с некоторого начального значения х0 по правилу

 n = 0,1,...

Если ц(хп)- непрерывная функция, а {xn}- сходящаяся последовательность, то значение х* = lim хп является корнем уравнения.

Условием сходимости процесса итераций, т.е. условие существования предела, есть соблюдение неравенства, носящего название принципа сжатых отображений:

(x)|<1,

где ц'(х) =  для всех х в интервале отделения корня. Сходимость будет тем более быстрой, чем меньше величина |ц'(х)|. Погрешности метода на п и п+1 связаны неравенством ,

что позволяет отнести метод простой итерации к классу методов с линейной скоростью сходимости. Во всех итерационных методах уточнения корней уравнений в качестве критерия окончания процесса вычислений выбрано условие:


При этом предполагается, что чем больше проделано уточнений, тем выше точность определения корня.

Метод простой итерации имеет линейную скорость сходимости, чтобы увеличить скорость сходимости следует выбирать достаточно близкие значения интервала отделения корня [а,b], что при высокой скорости вычислений современных ПК не представляет больших затруднений.

Следует четко уяснить, что во всех итерационных методах есть условие входа в итерационный процесс и условие выхода из итерационного процесса, в противном случае он может продолжаться бесконечно, бесконечно близко можно приближаться к точному решению, но в общем случае точное решение не достижимо.

Решение нелинейных алгебраических уравнений в системе МATLAB

В начале отделим корни нелинейного алгебраического уравнения. Пусть нелинейное алгебраическое уравнение имеет вид

x3-3,5*x2 +5,5*x+ 4 = 0

В MATLAB рекомендуется строить график функции f(x) для приближенного определения корней и интервалов, в пределах которых они находятся. Создается m-файл для исследуемой функции

%функция, корни которой ищутся

function f-funl(х)

f=x.^3-3. 5*х.^2+5.5*х+4

Далее в командном окне набирается последовательность команд

»х=-1:0.1:1;

» plot(x,fun1(x)); grid on;

В результате выполнения этого набора команд появляется график исследуемой функции .

Из графика видно, что перемена знака функции f(x) происходит на отрезке [-0.6, -0.4]. Этот отрезок является интервалом отделения корня.

Одним из возможных путей приближенного нахождения корпя является построение графика функции с небольшим значением шага h - шага изменения аргумента x по оси абсцисс.

»х=-1:0.01:1;

» plot(x,fun1(x)); grid on;

Из графика функции видно, что приближенное значение корня x = -0.525 f(x = -0.525) = 0.0031 .

Для решения систем нелинейных уравнений следует также использовать функцию solve из пакета Symbolic Math Toolbox. Эта функция способна выдавать результат в символьной форме, а если такого нет, то она позволяет получить решение в численном виде. Для нелинейного алгебраического уравнения x3-3.5-х2+5,5-х+4= 0 решение с помощью функции solve получается следующим образом:

» solve('x^3-3.5*x^2+5.5*x+4') =

.5253

.88779*i + 2.01265

.0126 5 - 1.88779*i

Как видно из приведенного фрагмента данное уравнение третьего порядка имеет три корня: один действительный и два комплексно-сопряженных корня, функция solve легко их находить.

5. Применение вероятностно - статистических методов в задачах электроснабжения

.1 Основные определения

Теория вероятностей - это математическая наука, изучающая закономерности случайных событий, случайных величин и случайных функций. В теории вероятностей рассматривается следующая модель изучаемых явлений реальной жизни: проводится опыт (испытание) в результате чего происходят случайные события А, В, С... (обозначения событий).

Событие называется достоверным, если оно обязательно происходит в результате опыта (обозн. U).

Событие называется невозможным, если оно не может произойти в результате рассматриваемого опыта (обозн. V ).

Два и более событий называются невозможными, если они не могут произойти одновременно в рассматриваемом опыте.

Событие А благоприятствует событию В, если из того что произошло событие А следует также, что произошло и событие В. Записывается это так AВ.

Множество событий А12,…Аn рассматриваемого опыта, одно из которых в результате опыта обязательно происходит, а любые два из которых несовместны, называются множеством исходов опыта.

При этом говорят, что события Ах2,...Ап образуют полную группу попарно несовместных событий.

Вероятность случайного события

В обыденной жизни очень часто произносятся фразы так или иначе связанные с вероятностью того или иного события: очень вероятно, что первого июля будет плюсовая температура (это событие практически достоверно) и т.д. Во всех оценках событий как - бы присутствует некоторая степень вероятности наступления того или иного события. Напрашивается введение некоторой числовой оценки наступления того или иного события.

Классическое определение вероятности

Пусть события Ах2,...Ап образуют полную группу попарно несовместных равновозможных событий. Пусть событие А разлагается на т частных событий из этой группы

А = А12 +… + Аm

События А12,....Ат будем называть событиями, благоприятствующими появлению события А, события Am+1т+2,...Аn не благоприятствуют появлению события А . Вероятность события А обозначается через Р(А).

Вероятность события А равна отношению числа событий, благоприятствующих появлению этого события к общему числу исходов опыта


Свойства вероятности

·   Р(А)≥ 0 ,т.к. т>0, n>0

·   P(U) = 1, т.к. в этом случае т = п

·   Р(V) = О, т.к. в этом случае т = 0

·   0 ≤ Р(А)≤1

·   Теорема о вероятности суммы двух несовместных событий: если события А и В несовместны, то Р(А + В) = Р(А) + Р(В)

·   Если событие A влечет за собой событие B, т.е. А В, то P(A) ≤ Р(В)

Два события А и  называются взаимообратными, если A +  = U и А*= V, в этом случае справедливо Р(А) = 1- Р().

Случайные величины

Случайной величиной X называется величина, которая в результате опыта может принимать то или иное значение, причем неизвестно заранее какое именно.

Множество числовых значений, которые может принимать случайная величина, называется спектром случайной величины.

Дискретная случайная величина- величина, принимающая только отделенные друг от друга значения, которые можно заранее перечислить.

Непрерывная случайная величина имеет бесчисленное множество возможных значений сплошь заполняющих некоторый промежуток.

Если дискретная случайная величина X принимает возможные значения х12,...,хп с заданными вероятностями p12,...,pn , то таблица

Таблица 1

х

x1

x2

…..

xn

p

p1

p2

…..

pn


называется законом распределения случайной величины.

Если случайная величина имеет счетный спектр, то закон распределения задается в виде двух бесконечных последовательностей:


Спектральное значение, обладающее наибольшей вероятность реализации, называется наивероятнейшим значением случайной величины.

Числовые характеристики дискретных случайных величин

Математическим ожиданием дискретной случайной величины называется сумма ее всевозможных значений умноженная на соответствующие вероятности

M(X) =

Дисперсией случайной величины X называют математическое ожидание квадрата отклонения случайной величины от ее математического ожидания

D(X) = M [X-M(X)]2. Средним квадратическим отклонением случайной величины X называют квадратный корень из дисперсии

у(X)=

Принцип равных возможностей

Этот принцип используют в случае, когда нет оснований отдавать предпочтение какому-либо одному исходу эксперимента перед другими. В этом случае считают, что имеются равные возможности для любого исхода эксперимента и всем им следует предписывать одинаковые вероятности.

 Р1 = Р2 =…= Рn =>  pi = i =

Для равновозможной случайной величины справедливо

M(x)=, D(X) =

Для двух равновозможных случайных величин вводится числовой коэффициент - коэффициент корреляции, который используется для определения взаимосвязи между двумя случайными величинами. Пусть случайные величины заданы своими возможными числовыми значениями

X= {хi} Y ={уi} i = .

Коэффициент корреляции вычисляется по формуле

 

5.2 Прогнозирование уровня электропотребления на промышленном предприятии

По результатам наблюдений за выработкой продукции завода и потребляемой им электроэнергии из системы в течение п лет получена количественная зависимость П = f(W), отраженная в таблице. Здесь П- объем произведенной продукции в некоторых условных единицах, W- объем потребленной электроэнергии в МВт.ч. Через год намечается увеличение выпуска продукции до некоторой конкретной величины. Требуется определить, какое количество электроэнергии будет потреблено из системы в этот расчетный год. Для прогноза следует использовать линейное уравнение регрессии

.


W = f(П) = k*П + b.

5.3 Вычисление числовых характеристик случайных величин в системе MATLAB

Никакой анализ статистических данных не может обойтись без предварительной их обработки: max (А) , min(A) - поиск экстремальных элементов по столбцам массива А; тах(А,В) , min(A,B) - формирование массива с элементами, равными экстремальным из соответствующих элементов массивов; теап(Х) , mean (X,dim) -средние значения, в случае равновозможных значений случайной величины дискретного типа с помощью этих функций вычисляют математическое ожидание.

std(X), std(X,flag), std(X,flag,dim) - стандартное отклонение (flag=0 -несмещенная оценка □ ; flag=l - смещенная оценка s):

;

Для статистической обработки в MATLAB-e имеются две основные функции для вычисления ковариации и коэффициентов корреляции:

·   cov - в случае вектора данных эта функция выдает дисперсию, то есть меру распределения (отклонения) наблюдаемой переменной от ее среднего значения

·   corrcoef (X,Y) - коэффициенты корреляции, нормализованная мера линейной вероятностной зависимости между переменными.

6. Расчетная часть

Задание №1

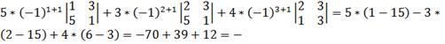
1.Вычислить определитель квадратной матрицы A 3 порядка 2 способами:

Дано:

A=

.1      Классический способ:

 

.2      Путем разложения определителя по столбцу или строке:

Расчет проводим по разложению 1-ой строки.

=

19

. Найти определитель матрицы А в системе MATLAB.

>> a=[5 2 3; 3 1 3; 4 5 1]=

2 3

1 3

5 1

>> det(a)

ans = -19

. Найти обратную матрицу матрицы A классическим способом.

A=;

Заменим каждый элемент определителем, полученным при вычеркивании соответствующей строки и столбца:

 

15= - 13

Поменяем знаки у элементов с нечетной суммой индексов:

Разделим все элементы матрицы  на определитель ∆= - 19. В результате получим обратную матрицу:


.Вычислить обратную матрицу матрицы А в системе MATLAB:

>> a= [5 2 3; 3 1 3; 4 5 1]=

2 3

1 3

5 1

>> inv(a)=

.7368 -0.6842 -0.1579

.4737 0.3684 0.3158

.5789 0.8947 0.0526

Задание №2

Для схемы представленной на рисунке 2 найти токи в ветвях разомкнутой электрической сети, используя матричную форму записи 1-го закона Кирхгофа.

Рис. 2

Токи нагрузки узлов равны:

 

Матрица задающих токов принимает вид:


Матрица токов равна матрице токов нагрузок, взятой с противоположным знаком. Выберем в качестве балансирующего узла- узел 4.

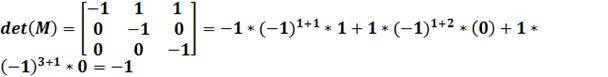
Обозначим через М матрицу инциденций без балансирующего узла:

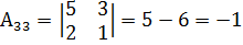
, вычисли обратную матрицу классическим методом:

Определитель матрицы

, заменим каждый элемент определителем, полученным при вычеркивании соответствующей строки и столбца:

Поменяем знаки у элементов с нечетной суммой индексов:

Разделим все элементы матрицы  на определитель ∆=-1. В результате получим обратную матрицу:

Из обобщенного уравнения состояния, токи в ветвях:


Проделаем то же самое с помощью MATLAB:

Первая матрица инциденций:

>> M=[-1 1 1;0 -1 0;0 0 -1]=

1 1

-1 0

0 -1 Обратная матрица матрицы М:

>> inv(M)=

-1 -1

-1 0

0 -1

Матрица задающих токов:

>> J=-[12+14i;15+16i;5.5+6i]

=

.0000 -14.0000i

.0000 -16.0000i

.5000 - 6.0000i

Токи в ветвях:

>> I=inv(M)*J

I =

.5000 +36.0000i

.0000 +16.0000i

.5000 + 6.0000i

Ответ: Токи в ветвях вычисленные аналитически равны I,

с помощью MATLAB I =

.2 Для схемы представленной на рисунке 3 определить токи в ветвях схемы, напряжение в узлах, сеть 3х-фазная

Дано:


Рис. 3

.Составим первую и вторую матрицу инциденций:

Столбцы в этой матрицы можно условно пронумеровать как связи (1-2), (1-4), (3-4), (2-3).

Первая матрица инциденций без балансирующего узла будет иметь вид:

В нашей схеме один независимый контур, вторая матрица инциденций принимает вид:

2.Запишем обобщенное уравнение для нашей схемы:


Решим данную систему методом Гаусса:



Найденные токи принимают значение:


. По закону Ома определим падение напряжения на ветвях схемы:


Используя уравнение

Перемножая матрицы в матричном уравнении, получаем 4 уравнения с 3 неизвестными, т.е. данная система переопределена.

В результате перемножения получаем:


Из 2 и 3 уравнения соответственно напряжения , подставляя в 1 уравнение , находим что  таким образом, напряжение в узлах:

.Решение обобщенного уравнения состояния методом обратной матрицы в MATLAB:

Зададим матрицы  и в MATLAB:

Пусть , F=Z

>>v=[1 -1 0 0;-1 0 0 -1;0 0 -1 1;-1 -1 1 1];

v =

-1 0 0

0 0 -1

0 -1 1

-1 1 1

>>z=[-100;-120;-50;0];

z =




Обратная матрица матрицы V=:

>> inv(v)

ans =

.2500 -0.5000 -0.2500 -0.2500

.7500 -0.5000 -0.2500 -0.2500

.2500 -0.5000 -0.7500 0.2500

.2500 -0.5000 0.2500 0.2500

Умножаем обратную матрицу матрицы V на Z, получаем токи нагрузок:

>> inv(v)*z

ans =

.5000

.5000

.5000

.5000

По закону Ома определим падение напряжения в ветвях:

Для этого в MATLAB зададим матрицу токов нагрузки и матрицу сопротивлений: =T и =I

Матрица сопротивлений:

>> T=[4 0 0 0;0 1 0 0;0 0 3 0;0 0 0 3]=

0 0 0

1 0 0

0 3 0

0 0 3

Матрица токов нагрузки:

>> I=[47.5;147.5;122.5;72.5]=

.5000

.5000

.5000

.5000

Перемножая матрицы I и T получаем падение напряжение на ветвях схемы:

>> E=T*I

=

.0000

.5000

.5000

.5000

Задание №3

Дано:


. Исследуем данную систему на совместимость c помощью, для этого вычислим ранг матрицы коэффициентов А и ранг расширенной матрицы с помощью MATLAB:

Ранг матрицы коэффициентов А:

>> a=[2 5 4 1;1 3 2 1;2 10 9 9;3 8 9 2]

a =

5 4 1

3 2 1

10 9 9

8 9 2

>> rank(a)

ans = 4

Ранг расширенной матрицы А:

>> c=[2 5 4 1 2;1 3 2 1 -4;2 10 9 9 -4;3 8 9 2 1]=

5 4 1 2

3 2 1 -4

10 9 9 -4

8 9 2 1

>> rank(c)= 4

Аналитическое решение системы линейных алгебраических уравнений методом Гаусса


=

Пошаговое описание:

.        Поменяем местами уравнение 1 и 2(порядок уравнений не имеет значения)

.        Умножаем коэффициенты уравнения 1 на -2 и прибавим получившееся уравнение к уравнению 2.

.        Умножим коэффициенты уравнения 1 на -2 и прибавим получившееся уравнение к уравнению 3.

.        Умножим коэффициенты уравнения 1 на -3 и прибавим получившееся уравнение к уравнению 4.

.        Умножим коэффициенты уравнения 2 на 4 и прибавим получившееся уравнение к уравнению 3.

.        Умножим коэффициенты уравнения 2 на -1 и прибавим получившееся уравнение к уравнению 4

7.      Умножим коэффициенты уравнения 4 на -2 и прибавим получившееся уравнение к уравнению 3

8.      Умножим коэффициенты уравнения 3 на 3 и прибавим получившееся уравнение к уравнению 4

9.      2 уравнение у множим на -1, 3 уравнение умножим на -1 и 4 уравнение разделим на 9.

Находим:

Из 4-го уравнения , подставляем в 3;

Получаем: x3+(-3x4)= -38; x3=-38+39=1, подставляем во 2;

Получаем: x2+x4=-10; x2=-13+(-10)=-23, подставляем в 1;

Получаем x1+3x2+2x3+x4=-4; x1=-4+69-2-13=50.

Решение системы линейных алгебраических уравнений методом Жордана-Гаусса в системе MATLAB

Задаем матрицу А:

>> a=[2 5 4 1;1 3 2 1;2 10 9 9;3 8 9 2]=

5 4 1

3 2 1

10 9 9

8 9 2

Задаем матрицу В:

>>b=[2;-4;-4;1];=



Объединяем матрицу А и B:

>> ab=[a b]

ab =

5 4 1 2

3 2 1 -4

10 9 9 -4

8 9 2 1

Функцией rref() задаем решение методом Жордана-Гаусса:

>> rref(ab)

ans =

0 0 0 50

1 0 0 -23

0 1 0 1

0 0 1 13

Получаем :

Задание №4

Метод деления отрезка пополам

Дано:


Функция на отрезке [-7; -6] меняет знак, корень находится на отрезке [-7; -6].

.делим отрезок [-7; -6] пополам находим что

.Делим отрезок  пополам, находим что

3. Делим отрезок

.Делим отрезок

. Делим отрезок

6. Делим отрезок

7.Делим отрезок

8.Делим отрезок

9.Делим отрезок

10. Делим отрезок

. Делим отрезок

Середина отрезка .

X=-6.76806640625

Метод Ньютона

Дано:


. Из метода деления отрезка пополам нашли, что корень находится на отрезке

Для нахождения начального

Производная


 Так как находим



3. Так как находим

Так как находим

Расчет на этом можно закончить, окончательный ответ:

X=

Метод простой итерации

Дано:


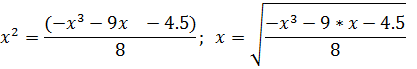
Преобразуем заданное уравнение применительно к методу простой итерации. Оставим слагаемоев левой части уравнения, остальные слагаемые перенесем в правую часть с противоположными знаками и поделим на 8:


Из этой таблицы мы видим, что перемена знака у функции происходит при

,8<x<-6,725

-6,8 -6,775 -6,75 -6,725

,212 -0,24673 0,703125 1,637672

Проанализируем, как ведет себя функция  на отрезке , расчет проводим в Microsoft Excel, получаем:

-6,8 -6,775 -6,75 -6,725

,479242269 -0,478316686 -0,47738946 -0,47646

Из таблицы видно, что концы отрезка, на котором выполняется условие соответственно равны а = -6,8; b= -6.725.

Таким образом будем уточнять корень на отрезке  с помощью следующего рекуррентного уравнения:


Выберем в качестве начального приближения расчет проведем в Microsoft Excel, получим:

Таблица 2

xn

xn+1

f(x)=x3+8x2+9x+4.5

1

-6.775

-6,773207725

-0,178126459

2

-7,15042176

-7,041753546

-11,35989246

3

-7,04175355

-6,964545642

-7,956304835

4

-6,96454564

-6,909433692

-5,620968922

5

-6,90943369

-6,869961758

-3,995947686

6

-6,86996176

-6,841622882

-2,853517248

7

-6,84162288

-6,821241417

-2,044320382

8

-6,82124142

-6,806564472

-1,468023897

9

-6,80656447

-6,795985802

-1,055967155

10

-6,7959858

-6,788356024

-0,760496092

11

-6,78835602

-6,782850498

-0,548183261

12

-6,7828505

-6,778876438

-0,395394468

13

-6,77887644

-6,776007126

-0,285321688

14

-6,77600713

-6,773935084

-0,205960053


На шаге 14 выполняется условие выхода из итерационного процесса . Отсюда следует, что корень уравнения, найденный по методу простой итерации с точностью  равен:

x= -6,77600713

Решение нелинейных алгебраических уравнений в системе MATLAB

Дано:


Зададим данную функцию в MATLAB:

y=x.^3-8*x.^2+9*x+4,5;

Задаем шаг и отрезок на котором хотим увидеть график функции:

>> x=-10:0.01:10;

С помощью оператора plot построим график функции:

>> plot(x,y)

>> grid on

Рис. 3

Из графика видим, что функция меняет знак на отрезке [-7 , -6].

Уменьшим шаг и интервал отделения корня:

>> x= -7:0.01:-6;

>> y=x.^3+8*x.^2+9*x+4,5;

>> plot(x,y)

>> grid on

Рис. 4

Из графика функции видно, что приближенное значение корня

x= -6.768f(-6.768)=

Найдем все корни нелинейного уравнения с помощью MATLAB оператора solve()

>> solve('x^3+8*x^2+9*x+4.5')  =

.768544762760516177725848933277

0.534527457739585590387398815907*i - 0.61572761861974191113707553336152

.534527457739585590387398815907*i - 0.61572761861974191113707553336152

Таким образом получили один действительный корень:

X1=-6.768544762760516177725848933277

И 2 комплексно-сопряженных:

X2= - 0.61572761861974191113707553336152- 0.534527457739585590387398815907*i

X3= - 0.61572761861974191113707553336152+0.534527457739585590387398815907*i

Сравнительный анализ полученных результатов

Метод деления отрезка пополам X=-6.76806640625

Метод Ньютона X= -

Метод простой итерации X=-0.5215.

Решение нелинейных алгебраических уравнений в системе MATLAB

X=-6.768544762760516177725848933277

Задание №5

Таблица 3 Дано:

П

51

31

35

33

40

41

42

40

45

50

W

20

12

13

15

12

16

17

18

15

19


Прогнозируемое значение:55


Таблица 4 Расчет проведем в Microsoft Excel в виде таблицы:

104,04

96,04

33,64

60,84

0,64

0,04

1,44

0,64

17,64

84,64

Сумма

399.6


39,96


Расчет проведем в Microsoft Excel в виде таблицы:

Таблица 5

18,49

13,69

7,29

0,49

13,69

0,09

1,69

5,29

0,49

10,89

Сумма

72.1


7,21

6,321392

2,685144

Вычислим коэффициент корреляции:


С помощью Microsoft Excel вычислим значение для каждого значения W и П

Таблица 6

43,86

36,26

15,66

5,46

2,96

0,06

1,56

-1,84

-2,94

30,36


0,774132

20,36937

При увеличении выработки продукции до 55 условных единиц в год из системы будет потребляться 20,36937 МВт. Ч

Применение стандартных статистических функций системы MATLAB.

>> A=[51 31 35 33 40 41 42 40 45 50]

A =

31 35 33 40 41 42 40 45 50

>> W=[20 12 13 15 12 16 17 18 15 19]

W =

12 13 15 12 16 17 18 15 19

>> mean(A)= 40.8

>> mean(W)= 15.70

>> std(A,1)= 6.3214

>> std(W,1)= 2.6851

>> corrcoef(A,W)=

1.0000 0.7741

.7741 1.0000

Заключение

В результате выполнения данной курсовой работы были получены практические навыки для составления схем замещения электроэнергетических систем. Были усвоены приемы расчета установившихся режимов:

·        разомкнутой электрической сети,

·        замкнутой электрической сети.

Были изучены и применены для решения систем линейных алгебраических уравнений методы:

·        метод Гаусса,

·        метод Жордана - Гаусса.

Были изучены и применены для решения нелинейных алгебраических уравнений методы:

·        метод деления отрезка пополам,

·        метод Ньютона,

·        метод простой итерации.

Во втором разделе курсовой работы «Стохастическое моделирование задач электроэнергетики» была решена задача прогнозирования уровня электропотребления на промышленном предприятии с помощью уравнения линейной регрессии.

Результатом выполнения данной курсовой работы является знакомство с системой компьютерной математики MATLAB. Эта система имеет мощный математический аппарат, позволяющий выполнять символьные вычисления, решать системы алгебраических уравнений, проводить операции с векторами и матрицами, строить графики функций, писать программы на встроенных языках программирования, пользоваться пакетами математической статистики. Все эти возможности системы были опробованы и применены для выполнения данной курсовой работы.

Список используемой литературы

1. Электрические системы. Математические задачи электроэнергетики/ Под ред. В.А. Веникова. Т.1 - М.: Высшая школа, 2011. - 334с.

. Курбацкий В.Г., Томин Н.В. Математические задачи электроэнергетики Ч.1: учеб. пособие для вузов/ Курбацкий В.Г. и др.- ГОУ ВПО «БрГУ», 2009.-142с.

. Гмурман В.Е. Руководство к решению задач по теории вероятностей и математической статистике: учеб. Пособие для вузов/ Гмурман В.Е. - М.: Высшая школа, 2008.-400с.

. Кривелев А.В. Основы компьютерной математики с использованием MATLAB: учеб. Пособие для вузов/ Кривелев А.В. - М.: Лекс-Книга, 2011.- 496с.

Похожие работы на - Математическое моделирование задач электроэнергетики с помощью аппарата линейной алгебры и теории графов

 

Не нашли материал для своей работы?
Поможем написать уникальную работу
Без плагиата!
Без нейросетей!