Описание технологической схемы синтеза полимера

  • Вид работы:
    Курсовая работа (т)
  • Предмет:
    Химия
  • Язык:
    Русский
    ,
    Формат файла:
    MS Word
    335,01 Кб
  • Опубликовано:
    2015-06-04
Вы можете узнать стоимость помощи в написании студенческой работы.
Помощь в написании работы, которую точно примут!

Описание технологической схемы синтеза полимера

Содержание

Введение

. Литературный обзор

.1 Термостойкие и трудногорючие волокна и нити на основе ароматических полимеров

.2 Волокна из полигетероциклических полимеров

.3 Полибензоксазольные волокна

.3.1 Свойства полибензоксазольных волокон

. Выбор и обоснование технологического процесса

.1 Сырье для получения сополимера

.2 Описание технологической схемы синтеза полимера

.3 Подбор растворителя путем расчета параметров растворимости

Список использованных источников

синтез полимер волокно

Введение

Химические волокна ─ текстильные волокна, получаемые из природных и синтетических органических полимеров, а также неорганических соединений.

С 1990-х годов по настоящее время - идет современный (четвертый) этап развития производства химических волокон, появление новых способов модифицирования, создание новых видов многотоннажных волокон: «волокон будущего» или «волокон четвертого поколения». В их числе новые волокна на основе воспроизводимого растительного сырья (лиоцелл, полилактидные), новые мономеры и полимеры, получаемые путем биохимического синтеза и волокна на их основе. Проводятся исследования по применению новых принципов получения полимеров и волокон, основанных на методах генной инженерии и биомиметики [1].

Важные преимущества химических волокон перед волокнами природными - широкая сырьевая база, высокая рентабельность производства и его независимость от климатических условий. Многие химические волокна обладают также лучшими механическими свойствами (прочностью, эластичностью, износостойкостью) и меньшей сминаемостью. Среди

Термостойкое волокно <#"876526.files/image001.gif">

Полибензоксазольные волокна является термически стабильными волокнами, что значительно расширяет области их применения, однако с другой стороны создаёт принципиальные сложности при производстве данного волокна. Так, полибензоксазольные волокна растворимы только в сильных кислотах (серной, метансульфоновой и полифосфорной кислотах). Поэтому должен быть найден некий компромисс между термической стабильностью и производственными затратами.

Волокнообразующий полимер синтезируется по реакции поликонденсации тетрафункционального соединения - бис-о-оксидиаминов с дихлорангидридом изо- или терефталевой кислоты или 4,4’-дифенилоксикарбоновой кислоты. Реакция протекает по схеме



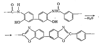
Обычно этот класс гетероциклических полимеров получают взаимодействием 3,3’-диоксибензидина и дихлорангидрида изофталевой

кислоты:

Путем дегидратации полибензоксамида получается гетероциклический полимер - полибензоксазол:


Как видно из этой схемы, поликонденсация проводится в таких условиях, при которых из двух типов функциональных групп, входящих в молекулу 3,3’-диоксибензидина, в реакцию вступают только более реакционноспособные группы NH2. В образующемся линейном полимере содержатся реакционноспособные группы ОН.

При поликонденсацни в растворе получается концентрированный раствор полимера в апротонном растворителе (преимущественно в диметилацетамиде). Формование полибензоксазольногр волокна, так же как и других полигетероциклических термостойких волокон, проводится мокрым способом во избежание преждевременной частичной циклизации, которая может иметь место при формовании волокна сухим способом при повышенных температурах.

Сформованное полибензоксазольное волокно подвергается вытягиванию обычно также в две стадии. Затем при повышенной температуре происходит циклизация, или, точнее, циклодегидратация волокна. Этот процесс начинается еще при вытягивании волокна при повышенной температуре. Циклизация может проводиться в вакууме или при нормальном давлении в атмосфере инертного газа. Химическая циклизация этого волокна пока не была осуществлена. Реакция термической дегидратации без одновременного разложения образующегося полимера циклической структуры начинается с заметной скоростью при 200 °С и завершается при 300-400 °С.

Полибензоксазольные волокна рекомендуется вытягивать на 100-300% при комнатной температуре и дополнительно на 15- 50% при высокой температуре (490-500°С).

Этот тип полигетероциклических волокон, впервые полученный в СССР, по-видимому, не сможет в ближайшие годы получить практического применения из-за того, что один из исходных продуктов, используемых для синтеза полимера, - 3,3 -диоксибенз-идин - является канцерогенным продуктом. Производство этого волокна станет возможным только в том случае, если удастся найти неканцерогенные тетрафункциональные соединения.

1.3.1 Свойства полибензоксазольных волокон

Полибензоксазольное волокно является одним из наиболее термостойких гетероцепных волокон. После нагрева в течение 48 ч при 300 С прочность волокна снижается всего на 23 %, а после нагрева при 400 С в течение 3 5 ч оно сохраняет более 55 % исходной прочности. Это волокно обладает высокой стойкостью к ультрафиолетовому излучению, к действию концентрированных растворов щелочей и серной кислоты, но нестойко к сильным окислителям. [2]

Сформованное полибензоксазольное волокно подвергается вытягиванию обычно также в две стадии. Затем при повышенной температуре происходит циклизация, или, точнее, циклодегидратация волокна. Этот процесс начинается еще при вытягивании волокна при повышенной температуре. Циклизация может проводиться в вакууме или при нормальном давлении в атмосфере инертного газа. Химическая циклизация этого волокна пока не была осуществлена [3].

Из данных таблицы видно, что теплостойкость некоторых сополимерных полиоксадиазольных и полибензоксазольных волокон в области температур 300 - 350 С близка к теплостойкости гомополиоксадиазоль-ных и полиимидных волокон.

Так, например, у волокон, сформованных из смеси полиоксадиазола и полипиперазинтерефталамида (в соотношении 80: 20) прочность после прогрева в течение 1000 ч при 250 С на воздухе не только падает, но и увеличивается с 40 0 до 43 2 сН / текс; волокна из гомополимеров, прогретые в тех же условиях, теряют от 15 до 25 % прочности. Свежесформованное волокно вытягивали на воздухе, а затем дополнительно при 500 С. Прочность полибензоксазольного волокна, не содержащего добавки ПАН, составляет около 40 сН / текс, эластичность 45 %, волокно разрушается после 300 двойных изгибов и теряет половину прочности после прогрева при 300 С.

2. Выбор и обоснование технологического процесса

Общий подход для синтеза полибензоксазольных волокн ─ это синтез более гибких полимерных прекурсоров, которые подвергаются циклизации, при последующей тепловой обработке, приводящей к получению термически стабильных полимерных волокон.

.1 Сырьё для получения полимера

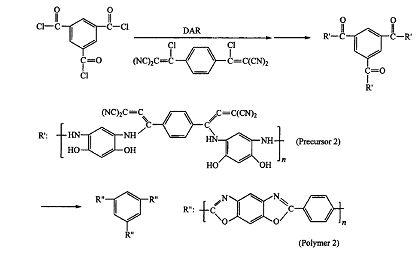
,3,5 - бензолтрикарбоксихлорид (ВТС) и р-фталоил хлорид (ТАР) получают из Acros и рециклизируют с сухим гексаном, а затем высушивают под ваккумом при 60 °C в течении 24 часов перед использованием. 1,4 -бис(1-хлор-2,2 дициановинил)бензол (ССВ) были приготовлены в соответствии с подифицированным методом [5] как показано на схеме 1.


.2 Описание технологической схемы синтеза полимера

Синтез полибензоксазольного прекурсора (РВО)

Реакцию полимеризации и циклизации проводим в соответствии со схемой 2. Типичная процедура для синтеза прекурсора заключается в следующем: в сухую трёхгордую колбу продуваемую азотом и оснащённую магнитный перемешиванием добавляем 1,12г 4,6 - диаминорезорцин дигидрохлорида, 2,25 г пиридина, 30 мл N,N-диметилацетамида и перемешивают в течении 10 минут при 30 оС. В полученной смеси добавлют 1,56 г 1,4 -бис(1-хлор-2,2 дициановинил)бензол (ССВ) и перемешивают в течении 12 часов при 70оС.


Полученную реакционную смесь выливают в большую ёмкость наполненную водой. Преципитат отфильтровывают и промывают несколько раз водой и метиловым спиртом, а затем высушивают под вакуумом при 80оС в течении 24 часов. Циклизация проводиться при 400оС в течении 15 минут в инертной атмосфере(N2). Приготовление полибензоксазольного прекурсора 2 содержащего остатки 1,3,5 бензолтрикарбоновой кислоты проводили по схеме 3.


Априорный анализ характеристик полимера (Тс, Тпл и Ттд) и анализ вариантов переработки полимера в волокнистые материалы.

Температура стеклования

Температура стеклования является характеристикой перехода полимера из стеклообразного состояния в высокоэластическое.

Для априорной оценки Тс предложен метод «инкрементов».

(1)

Где vi - Ван-дер-Ваальсовы объемы атомов i - го вида [4, с.93] - инкременты, характеризующие энергию слабых (дисперсионных) межмолекулярных взаимодействий в виде усредненного вклада каждого атома в это взаимодействие;инкременты, характеризующие энергию сильных (водородных, диполь-дипольных и др.) межмолекулярных взаимодействий [4, с. 38].

aC=0,021·10-3 1/K=19,92·10-3 1/K,б=7,03·10-31/K=6,35·10-31/K= VC,35+VO,135+ +VC,59+VN,155+VC,61+3·VC,16+VC,15+ 3·VH,128=

=7,25+2,1+14,1+6,1+12,5+3*13,1+9,0+3*2,0=96,35Å3

ai·Vi=aC·(VC,35+VC,59+VC,61+3·VC,16+VC,15)+aH·3·VH,128+aO,oVO,135+aN VN,155=0,021·10-3·(7,25+14,1+12,5+3*13,1+9,0)+19,92·10-3·3·2,0+7,03·10-3·2,1+6,35*6,1=174,74 Å3/К

Тс=Vi/(ai*Vi+bi)= 96,35/(174.74·10-3)=551К

Тс=551К - 273 =278ºС

Температура плавления

Температура термической деструкции

Влияние нагревания на физические, физико-химические и химические свойства полимеров определяется несколькими терминами, характеризующими глубину происходящих при этом изменений полимерного субстрата.

Термодеструкция полимеров - под влиянием тепла происходит отщепление боковых групп, разрыв цепей главных валентностей (макромолекул), а также их деполимеризация. Начало такого процесса характеризуется температурой начала термодеструкции, Ттд.

Интенсивная термическая деструкция протекает в достаточно узком температурном диапазоне. Согласно А. Аскадскому, оценить Ттд можно из соотношения:

(4)

Где Vi - инкремент Ван-дер-Ваальсового объема каждого атома, входящего в повторяющееся звено полимера;

 - параметр, характерный для каждого атома и типа межмолекулярного взаимодействия и зависящей от энергии химических связей, распадающихся в процессе деструкции. [4, с.58]

Vi=96,35Å3

=1,150·10-3 1/K

=2,307·10-3 1/K

=0,058·10-3 1/K

=2,520·10-3 1/K

=·(VC,35+VC,59+VC,61+3·VC,16+VC,15) +·3·VH,128+·VO,135+

+*VN,155=1,150·10-3··(7,25+14,1+12,5+3*13,1+9,0)+

+2,307·10-3·3·2,0+0,058·10-3·2,1+2,520·10-3·6,1=0,110065Å/K

Ттд=96,35/0,110065=875K =875-273=602ºС

Формовать можно двумя способами: из расплава или из раствора. Наиболее простой метод формования из расплава. Однако температура деструкции в нашем случает ниже температуры плавления, что не дает нам возможности использовать расплавный метод.

.3 Подбор растворителя путем расчета параметров растворимости

Учет характера упаковки молекул в жидкостях и полимерах приводит к следующему уравнению:


где  - число Авогадро;

 - вклад каждого атома и типа межмолекулярного взаимодействия в ;

 - инкремент ван-дер-ваальсового объема, входящего в состав мономерного звена макромолекулы [6].

Рассчитаем мольные доли компонентов:

ΣΔE1 = 7 +  7=6389,6(кал/моль)

ΣΔE2=2+4+2=2∙550,7+4∙47,7+2∙142,6 =1577,4 (кал/моль)

Проверим растворимость данного сополимера в серной кислоте

ΣΔE = +2∙++=1750+2∙47,7+4*142,6+1623=

= 4038,8(кал/моль)

∑ΔV=ΔVS+2∙ΔVH,129+2ΔVО,145 +2ΔVО=17,7+2∙4,7+2∙5,5+2∙6,6=51,3 Ǻ3


ǀ=ǀ11,106 - 11,4ǀ=0,384; т.к. эти величины отличаются не более чем на 2 (кал/см3)0,5, то можно считать, что полимер растворяется в данном растворителе.


Список использованных источников

Перепелкина, К.Е. Армирующие волокна и волокнистые линейные композиты / К.Е. Перепелкина // Технический текстиль. - 2009. - Вып.21. - С. 17─124.

Несмелов Н.М. Товароведение и экспертиза текстильных товаров: учебное пособие / Н.М. Несмелов, В.В. Садовский; под ред. В.В. Садовского. - Минск: БГЭУ, 2012. - 523 с.

Гальбрайх, Л.С. Химические волокна / Л.С. Гальбрайх // моск. гос. текстиль. ак-я [Электронный ресурс]. - Литературный интернет-журнал «Русский переплёт» - Режим доступа: <http://www.pereplet.ru/obrazovanie/stsoros/59.html> - Дата доступа: 04.04.2014.

Cassidy, P.E.,"Thermally Stable Polymers",Marcel Dekker, New York,1980,p.2, H., Kobayashi, H., Hattori, T. and Kagawa, K., J. Polym. Sci., Part B., 1999, 37: 19

Похожие работы на - Описание технологической схемы синтеза полимера

 

Не нашли материал для своей работы?
Поможем написать уникальную работу
Без плагиата!
Без нейросетей!