Окислительно-восстановительные превращения хинонов

  • Вид работы:
    Реферат
  • Предмет:
    Химия
  • Язык:
    Русский
    ,
    Формат файла:
    MS Word
    356,91 Кб
  • Опубликовано:
    2015-06-06
Вы можете узнать стоимость помощи в написании студенческой работы.
Помощь в написании работы, которую точно примут!

Окислительно-восстановительные превращения хинонов

Министерство науки и образования РФ

Федеральное государственное бюджетное образовательное учреждение высшего профессионального образования

«Кемеровский государственный университет»

Кафедра органической химии







Реферат по дисциплине «Химия хинонов»

«Окислительно-восстановительные превращения хинонов»


Проверил:

К.х.н. Ткаченко Т.Б.

Выполнил:

студент группы х-121

Никифоров В.Е.



Кемерово

Содержание

Введение

Хиноны

Восстановление хинонов

Окисление хинонов

Заключение

Список литературы

Введение

Химия хинонов и их производных давно выделилась в самостоятельную и обширную область органической химии, имеющую большое практическое значение. Хиноны, его производные и их соединения, вырабатываемые промышленностью, используют для получения органических красителей, пигментов, для синтеза лекарственных и природных соединений, антибиотиков, в качестве катализаторов, аналитических реагентов, средства защиты растений и т. д. В природе соединения хинонов встречаются в растениях, насекомых, морских животных, микроорганизмах.



Хиноны

Хиноны - циклические дикетоны, в молекулах которых кетогруппы входят в систему сопряженных двойных связей. Наиболее практическое значение имеют бензохиноны, нафтохиноны, 9,10-антрахинон а также 1,2- и 1,4-антрахиноны, 1,2-, 1,4- и 3,4-фенантрахиноны и некоторые дихиноны, например 1,4,5,8- нафтодихинон (VI).


Хиноны - окрашенные кристаллы. Окраска хинонов во многом зависит от взаимного расположения карбонильных групп в молекуле: 1,2-хиноны окрашены, как правило, в красный или оранжево-красный цвет, 1,4-хиноны окрашены менее интенсивно - в желтый или светло-желтый цвет. 1,4-Хиноны обладают большей летучестью и более резким запахом, чем 1,2-хиноны. [2]

Восстановление хинонов

Наиболее важной реакцией хинонов является их восстановление до двухатомных фенолов. Восстановление хинонов осуществляется в две стадии. На первой стадии в результате одноэлектронного восстановления образуются анион-радикалы, которые называют также семихинонами. Эти частицы могут быть легко зарегистрированы с помощью ЭПР-спекроскопии. На второй стадии анион-радикал присоединяет еще один электрон с образованием дианиона двухатомного фенола.

Способность хинона восстанавливаться до двухатомного фенола, т.е. свойство его как окислителя, оценивается с помощью нормального редокс-потенциала, определяемого из уравнения Нернста для реакции:


Величина Ео представляет собой нормальный потенциал, характерный для каждой системы хинон-гидрохинон, при равных концентрациях хинона и гидрохинона и концентрации ионов водорода, равной единице. Таким образом, Ео является количественной характеристикой окислительной способности хинона. В таблице 3 приведены значения нормальных редокс-потенциалов Ео для некоторых хинонов в воде при 25оС.

Таблица 1

Величины нормальных редокс-потенциалов Ео некоторых хинонов в воде при 25оС

Хинон

Ео в мв

Хинон

Ео в мв

1,2-бензохинон

783

2,3-дихлор-1,4-нафтохинон

499

1,4-бензохинон

700

9,10-антрахинон

130

2-метил-1,4-бензохинон

645

1,4-антрахинон

400

2-хлор-1,4-бензохинон

713

9,10-фенантренхинон

440

1,2-нафтохинон

566

1,4-фенантренхинон

520

1,4-нафтохинон

470

1,6-пиренхинон

610

2,6-нафтохинон

758

3,4,5,6-тетрахлор-1,4-бензохинон

740

2-метил-1,4-нафтохинон

422

дифенохинон

954


Из данных, представленных в таблице 1 следует, что 1,2-хиноны более сильные окислители, чем 1,4-хиноны, а бензохиноны превосходят по окислительной способности хиноны нафталинового ряда, которые в свою очередь превосходят антрахиноны и фенантренхиноны. Электроноакцепторные группы усиливают окислительные свойства хинонов. Высокие редокс-потенциалы хинонов определяются тем, что восстановление хинона в двухатомный фенол сопровождается превращением ненасыщенного кетона в ароматическое соединение.


Окрашенный в темно-зеленый цвет хингидрон представляет собой классический пример молекулярных комплексов, где один компонент служит донором, а другой - является акцептором электрона. Такие комплексы, где происходит перекрывание ВЗМО донора и НСМО акцептора, получили название комплексов с переносом заряда. К ним относятся -комплексы ароматических соединений с галогенами, катионами серебра и ртути; 1,3,5-тринитробензолом, пикриновой кислотой. Комплексы галогенов или тетрацианоэтилена с n-донорами (спиртами, простыми эфирами) или -донорами - (алкенами или алкинами), также следует рассматривать как комплексы с переносом заряда. В кристаллах хингидрона молекулы хинона и гидрохинона чередуются и располагаются в двух параллельных плоскостях друг над другом. Комплексы с переносом заряда часто интенсивно окрашены. Так, например, тетрацианоэтилен образует с дуролом (1,2,4,5-тетраметилбензолом) комплекс, окрашенный в красный цвет. Окраска комплексов обусловлена переносом заряда от ароматического донора к акцептору, хотя степень переноса заряда невелика и редко превышает 0,1 заряда электрона.

Восстановление хинонов до двухатомных фенолов проводят с помощью самых разнообразных восстановителей, среди которых в лабораторных условиях предпочтение отдается дитиониту натрия Na2S2O4 в щелочной среде.


Помимо дитионита натрия в качестве восстановителей употребляются алюмогидрид лития и боргидрид натрия, хлорид олова (II) в соляной кислоте, цинк в уксусной кислоте и др. В промышленности восстановление 1,4-бензохинона до гидрохинона осуществляется с помощью оксида серы (IY) и железа в воде при 70-80оС.


 9,10-Антрахинон при восстановлении дитионитом натрия образует 9,10-антрадиол (антрагидрохинон).


При восстановлении 9,10-антрахинона оловом в смеси соляной и уксусной кислот получается антрон - простейший кетон ряда антрацена.


Восстановление антрахиноновых и других кубовых красителей дитионитом натрия в щелочной среде используется для перевода этих нерастворимых в воде соединений в так называемую лейкоформу, которая в виде динатриевой соли хорошо растворима в воде. Таким образом, например, упомянутый выше индантрен восстанавливают в тетрагидропроизводное, имеющее четыре фенольных гидроксила. Это лейкопроизводное хорошо растворимое в воде. Хлопчатобумажную ткань пропитывают раствором лейкоформы и выдерживают на воздухе. Лейкоформа окисляется кислородом до исходного красителя.

[3]

Такой способ крашения гарантирует однородность окраски ткани. Он применяется при крашении индигоидными и другими кубовыми красителями.

Окисление хнонов

Окислительные превращения хинонов в большей степени затрагивают заместители в бензольном кольце:

восстановление хинон фенол


Окислению можно подвергать производные антрахиноны, в которых бензольное кольцо конденсировано с антрахиноновым ядром. При такой реакции будут образовываться и/или карбонильная и карбоксильная группы.

 

[O]= KMnO4,K2Cr2O7 (H2SO4)


Реакции дегидрирования заместителей так же относят к процессам окисления.


Превращения метильных групп в антрахинонах наряду с циклизацией бензоилбонзойных кислот - один из главных методов получения антрахинонкарбоновых кислот и практически единственный метод получения соответствующих альдегидов. Метилантрахиноны окисляют хромовой и азотной кислотами, диоксидом марганца, кислородом воздуха, озоном или галогенируют метильные группы с последующим гидролизом.

Окисление хромовой кислотой применяют в производстве 1-нитроантрахинон-2-карбоновой кислоты, обрабатывая 1-нитро-2-метилантрахинон CrO3 в концентрированной H2SO4 при 70 оC или K2Cr2O7 при 25-30 оC (выход >90%).

Окисление азотной кислотой осуществляют обычно под давлением при концентрациях HNO3 ~20% и 190-210 оС. Так, из 2,3,6,7-тетраметилантрахинона синтезирована антрахинон-2,3,6,7-тетракарбоновая кислота. 1-Метил-4-нитроантрахинон окислен в 4-нитроантрахинон-1-карбоновую кислоту в 47%-ной HNO3 при 170оС.

Диоксидом марганца в H2SO4 метилантрахиноны могут быть окислены как в альдегиды, так и в кислоты, причем метильные группы в α-положении окисляются легче, чем в β-положении. Взаимодействие 1-метилантрахинона с MnO2 в ~85%-ной H2SO4 при 50оС приводит к 1-формилантрахинону. При большем избытке MnO2 с хорошим выходом образуются карбоновые кислоты. Например, 2,3-диметиантрахинон при действии MnO2 в H2SO4 при 100 оС в присутствии NH4VO3 переходит в антрахинон-2,3-дикарбоновую кислоту.

Окисление кислородом воздуха β-антрахинонкарбоновые кислоты протекает в уксусной кислоте в присутствии ацетатов Co2+,Mn2+ и NaBr при 200 оС и ~2,5 МПа, окисление озоно-кислородной смесью - в уксусной кислоте в присутствии ацетата Co2+ или 70%-ной H2SO4 в присутствии солей Cr3+,Mn2+.

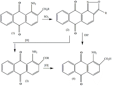
Практически важно внутримолекулярное окислительно-восстановительное превращение 2-метил-1-нитроантрахинона в 1-аминоантрахинон-2-карбоновую кислоту. При этом сначала идет циклизация . При этом сначала идет циклизация под действием 60-65%-ного олеума или SO3 в инертном растворителе при 5-15 оС в антра[1,2-с]изоксазол-6,11-дион , щелочной гидролиз которого дает кислоту.

-Аминоантрахинон-2-карбоновая кислота и 1-амино-2-формилантрахинон могут быть получены так же окислением 1-амино-2-гидроксиметилантрахинона, образующегося при гидроксиметилировании 1-аминоантрагидрохинона. 1-Амино-2-гидроксиметилантрахинон при нагревании с NaOH в водном диметилсульфокислоте (1:1) в атмосфере азота количественно перегруппировывается в 1-амино-2формил-9,10-антрагидрохинон, который после подкисления соляной кислотой окисляется воздухом в 1-амино-2-формилантрахинон (рис. 1).

рис. 1.

Из других реакций окисления следует отметить окисление аминогрупп в нитрогруппы пероксикислотами, имеющее препаративное значение для синтеза нитроантрахиноно, которые нельзя получить нитрованием. Так, кипячением соответствующего β-аминоантрахинона в смеси перуксусной и уксусной кислот или трифторперуксусной кислоты и хлороформа получены 2-нитро-1-хлорантрахинон (выход 82-90%), 2-бром-3-нитроантрахинон (61%), 2,3-динитроантрахинон (36%). Из 1,4-диамино-2,3-диметилантрахинона оксилением перуксусной кислотой синтезирован 2,3-диметил-1,4-динитроантрахинон, а из 1-амино-4-нитроантрахинона и его 5,8-дихлорзамещенного при обработке (NH4)2S2O8 и затем CrO3 - 1,4-динитро- и 1,4-динитро-5,8- дихлорантрахиноны. [4]

Заключение

Хиноны являются структурной основой пигментов. Восстановление хинонов используется для превращения красителей в лейкоформу, которые могут растворяться в воде и быть нанесенными на поверхность. Важнейший краситель - ализарин (1,2-диоксиантрахинон). Ализариновые красители светоустойчивы, применяются в лакокрасочной промышленности, полиграфии. Но из-за большой стоимости используются реже, чем азокрасители. Окислительные свойства хинонов проявляются в биохимических реакциях. Убихиноны (коферменты Q) распространены в животном и растительном мире, участвуют в переносе электронов и протонов в дыхательной цепи. [1]

Список литературы

[1] Википедия - свободная энциклопедия. - Хиноны: https://ru.wikipedia.org/wiki/Хиноны

[2]http://www.xumuk.ru/encyklopedia/2/5017.html ( Кэсон Д., в сб.: Органические реакции, пер. с англ., сб. 4, М., 1951, с. 270-336; Эфрос Л. С., Горелик М. В, Химия <http://www.xumuk.ru/encyklopedia/2/4995.html> и технология промежуточных продуктов, Л., 1980; Общая органическая химия, пер. с англ., т. 2, М., 1982, с. 830-47. См. также лит. при ст. Антрахиноновые красители <http://www.xumuk.ru/encyklopedia/341.html>.)

[3] Курц А. Л. Фенолы и Хиноны/ Курц А Л., Ливанцов М.В., Ливанцова Л.И. .- http://www.chem.msu.su/rus/teaching/phenol/6.html. (2.4.2015)

[4] Горелик М. В. - Химия антрахинонов и их производных. -М.: Химия, 1983.- 296 с.

Похожие работы на - Окислительно-восстановительные превращения хинонов

 

Не нашли материал для своей работы?
Поможем написать уникальную работу
Без плагиата!
Без нейросетей!