Национальное богатство
Введение
Актуальность темы. Национальное богатство
является одной из наиболее общих экономических категорий и интегральных
показателей оценки и сравнения хозяйственного потенциала и экономических
возможностей страны. Оно характеризует экономическую мощь страны и одновременно
является важным фактором повышения уровня жизни населения, используется для
оценки итоговых результатов развития страны за всю историю ее существования.
Основной целью при этом является выбор таких
однозначных макроэкономических индикаторов, которые бы позволяли оценивать
динамику продвижения к созданию экономики устойчивого развития и одновременно
измерять происходящие изменения физического состояния окружающей среды для
координации темпов макроэкономического развития, улучшения экологической
обстановки, а также колебаний стоимостных параметров человеческих и природных
ресурсов, входящих в полный состав национального богатства.
Дальнейшее развитие страны определяется
характером соотношения элементов богатства и динамики преобладающего элемента.
В настоящее время таким элементом является человеческий капитал. Цели
использования этой компоненты богатства становятся долгосрочными целями
развития экономической системы, а инструменты экономической политики
подчиняются решению задач эффективного его использования.
Целью курсовой работы является раскрыть
национальное богатство страны как макроэкономическую категорию.
К задачам курсовой работы относится:
раскрыть понятие, структуру элементов
национального богатства;
отметить методы оценки национального богатства;
рассмотреть национальное богатство в РФ;
обозначить проблемы национального богатства РФ.
Объектом курсовой работы следует обозначить
национальное богатство как макроэкономическая категория, а предмет курсовой
работы - национальное богатство РФ.
1. Теоретические аспекты национального богатства
.1 Понятие, состав элементов национального
богатства
Национальное богатство - это имеющиеся на данный
момент природные ресурсы, земля, леса, водные источники, животный и
растительный мир, другие ресурсы окружающей среды и накопленные за всю историю
материальные блага, человеческие ресурсы и нематериальные активы, другими
словами все то, что принадлежит народу определенной страны.
В современной экономической литературе не
сложилось единого подхода к определению структуры национального богатства.
Различные международные организации используют разнообразные элементы, которые
включаются в национальное богатство, в зависимости от цели исследования. В
качестве рабочей мы выбрали структуру, предложенную специалистами Всемирного
банка. В рамках данной концепции национальное богатство складывается из
следующих составляющих: природного капитала, произведенного капитала (активов)
и человеческого капитала (человеческих ресурсов). В рамках исследования
специалисты Всемирного банка получили следующие результаты: в структуре
национального богатства мира в целом природные ресурсы составляют 20%,
накопленные материальные блага - 16, а человеческий капитал - 64% [7, с.134].
Говорится еще об одном компоненте - социальном капитале, под которым в рамках
данного исследования подразумевается совокупность сетей, взаимоотношений, норм
и институтов, оказывающих воздействие на продуктивность экономики. Именно
посредством этого элемента и происходит взаимосвязь всех компонентов. Таким
образом, можно говорить о национальном богатстве как о социально-экономической
системе. Система - это взаимодействие отдельных компонентов, работающих вместе
для достижения общей цели [3, с.208]. Кроме того, системой надо управлять.
Управление национальным богатством
осуществляется государством через различные институты посредством проведения
социально-экономической политики. Чем сильнее компоненты зависят друг от друга,
тем больше потребность в коммуникации и сотрудничестве между ними, а, следовательно,
больше потребность в общем управлении.
Национальное богатство не является неизменным
параметром общественного развития. В эпоху меркантилизма правительство
заботилось о том, чтобы накапливать богатство, причем процесс видели в виде
преимуществ международной торговли, превосходстве экспорта над импортом,
привлечении в страну золота, драгоценных камней и металлов. Если рассмотреть
продолжительный тренд развития мирового хозяйства, то становится видно, что
происходила фундаментальная трансформация мирового богатства по его элементам,
а именно богатство в виде человеческого капитала увеличивалось, чему
свидетельствует рост населения и увеличение объема знаний, а вот природный
капитал существенно сократился. Относительно физического капитала можно
заметить, что его увеличение было пропорциональным росту численности населения,
так как потребности обслуживания большего числа людей порождали спрос на
дополнительный физический капитал и совершенствовании технологии, в том числе и
производственной. Исчерпание источников энергии чревато серьезным ударом по
современной экономической цивилизации. Поэтому в условиях, когда явно очевидна
иерархия элементов национального богатства, рост одного элемента за счет
другого представляет определенную опасность с точки зрения перспектив
экономического развития. Дальнейшие социально-экономические изменения должны
происходить в плоскости нивелирования разницы в использовании природного и
других видов богатства, в повышении эффективности владения богатства для
каждого субъекта хозяйства на любом уровне. Развитие должно происходить не
вширь, а вглубь, за счет увеличения качества социально-экономической структуры.
Понятно, что социально-экономические изменения затрагивают и изменения
институционального характера. Поэтому анализ динамики национального богатства
представляется отправным моментом при формировании экономической политики [11,
с.6].
Важным моментом является поэлементное
рассмотрение национального богатства, так как оно дает возможности экономики к
развитию и тем самым предопределяет потенциал конкретных моделей экономической
политики, которые могут быть применены. Так, если выделить три группы стран - с
низким, средним и высоким доходами, и взвесить долю каждого из трех элементов
богатства, то мы увидим следующую картину: высокий уровень доходов является
отражением преобладания человеческого капитала в структуре национального
богатства, однако, с другой стороны, он и способствует образованию такой
структуры. В странах с разным уровнем дохода и национального богатства на душу
населения доля произведенного капитала практически одинакова и существенные
различия касаются доли человеческого капитала и наличия полезных ископаемых
(природного капитала).
Национальное богатство - это не просто набор
элементов (ресурсов), это процесс, который схематично можно представить
следующим образом:
tn
tn
tn+1
tn+1
Рис. 1.1 Обращение элементов национального
богатства
Национальное богатство - это полная совокупность
стоимости абсолютно всех нефинансовых и финансовых активов, которые расположены
в пределах конкретной страны и находятся в собственности ее резидентов. Другими
словами, национальное богатство - это все природные ресурсы государства и
накопленные результаты труда его граждан. Размер национального богатства
является чрезвычайно важным показателем экономической мощи страны.
В 1664 году экономистом У. Петти было впервые
исчислено национальное богатство Великобритании. Со временем был исследован
размер французского национального богатства (в 1789 году), а потом
американского (в 1805 году) и российского (в 1864 году).
Начиная с 1853 года, проблема исследования
вышеуказанного показателя экономической мощи страны становится темой №1 на
международных конгрессах по статистическим данным.
В 1947 году была учреждена Ассоциация, которая
по сегодняшний день занимается вопросами измерения и оценки на международном
уровне богатства и дохода каждой нации без исключения. Результаты ее исследований
печатаются в специальном издании «The Review of Income and Wealth».
Согласно оценкам вышеуказанной Ассоциации и
Института экономики РАН, сегодня национальное богатство абсолютно всех
государств мира в общей сумме составляет 550 трлн. американских долларов, в
числе которых приблизительно половина находится в Германии, Франции, Канаде,
Италии, США, Японии и Соединенном Королевстве. Совокупный размер
общенационального богатства стран СНГ оценивается в сумму примерно равную 80
трлн. американских долларов.
Национальное богатство состоит из таких
компонентов, как:
• природных ресурсов;
• человеческого капитала;
• духовных ценностей;
• финансового капитала;
• физического капитала.
Исходя из системы национальных расчетов,
национальное богатство включает в себя:
• Активы нефинансового характера - это
активы производственные (ценности, основные фонды) и активы непроизводственные
(патенты, лицензии, материальные активы).
• Активы финансового характера (ценные
бумаги, депозиты, наличные деньги, монетарное золото, страховые технические
резервы, ссуды, другие счета кредиторов и должников).
Показатель национального богатства применяется
для осуществления характеристики имущественного положения определенного
государства. Поэтому национальное богатство как комплексная экономическая
категория отличается специальной системой статистических данных:
• эффективности его использования;
• состояния отдельных компонентов;
• динамики национального богатства;
• состава и структуры;
• способов его применения;
• расширенного и простого воспроизводства
национального богатства.
Показатели национального богатства служат одной
из чрезвычайно важных характеристик достигнутого государством уровня
социально-экономического развития.
Экономическая наука определяет более узкое
понятие национального богатства, к которому относит только те материальные и
нематериальные блага, которые созданы человеком за весь исторический период и
могут быть воспроизведены с помощью труда человека. Экономисты относят к
национальному богатству основные и оборотные производственные фонды,
непроизводственные фонды, материальные запасы и резервы во всех структурах
экономики, включая готовую продукцию в торговой сети, государственные резервы и
фонды страхования, разведанные и используемые в экономике природные ресурсы
Резервы и запасы обеспечивают стабильность
экономики при неблагоприятных условиях и природных катаклизмах. Страховые фонды
должны составлять ¼
производственных фондов для возможности покрытия убытков в страховых случаях. К
непроизводственным фондам относят жилищные и социально-культурные объекты.
Переход к постиндустриальному обществу связан с
включением в национальное богатство информации, которая является сырьем и
инструментом для принятия оптимальных управленческих, организационных,
технологических, политических решений и контроля их выполнения. Информация
имеет определенную стоимость, так как для ее сбора, получения, обработки и
обогащения затрачивается высококвалифицированный труд. Информация превратилась
в товар, который занимает существенную нишу на интеллектуальном рынке. Без
внедрения информационных технологий невозможно развитие постиндустриальной
экономики. Научно-техническая и деловая информация становится одной из основных
составляющих национального богатства.
Основой национального богатства в эпоху
постиндустриальной экономики становится человеческий капитал, т.к. развитие
экономики стало возможным только при условии производства высоконаучной
продукции с применением инновационных технологий, использующих достижения
фундаментальной и прикладной науки. Трудовой ресурс для производства
высоконаучной продукции должен обладать определенными качествами, которые не
были необходимы работнику в индустриальной экономике. Эти качества работник
может получить при возрастающих инвестициях в человеческий капитал. Трудовой
ресурс нового качества превратился в основной ресурс производства, поэтому
человеческий капитал составляет в постиндустриальной экономике основу
национального богатства.
Качественное изменение трудового ресурса влечет
за собой качественный рост благосостояния человека, в связи с ростом стоимости
наукоемкого человеческого труда. Повышение благосостояния населения становится
возможным в связи с экономическим ростом и увеличением национального богатства.
Стоимостное выражение годового производства
определяет ВВП, а рост благосостояния - показатели чистого благосостояния и
ВНД. Применение для оценки уровня благосостояния нового показателя (чистого
благосостояния) связано с тем, что ВВП и ВНД не учитывают ряд факторов,
определяющих истинное благосостояние.
К таким факторам относятся уход за больными и
престарелыми членами семьи, ремонт и благоустройство жилищных условий,
экологические проблемы, истощение природных ресурсов, сокращение
продолжительности рабочего дня, теневые доходы, период оборачиваемости средств,
изменение структуры потребностей, расслоение по социальному уровню и другие.
Ряд из этих факторов определяется показателем
чистого благосостояния, т.к. он учитывает сбережения населения, размер и
качество жилья, количество и качество предметов домашнего быта, услуги
образования и здравоохранения. Распределение доходов между социальными группами
учитывается коэффициентом Джини, который в пределах от 0 до 1 показывает
уровень расслоения общества. Чем больше величина коэффициента Джини, тем больше
разница доходов самых богатых и самых бедных слоев населения. Если коэффициент
Джини равен 0, доходы всех слоев одинаковы, т.е. расслоение общества
отсутствует. Если коэффициент Джини достигает 1, расслоение общества
максимальное.
Чем больше неучтенных факторов благосостояния,
тем менее достоверна информация о чистом благосостоянии. Недостоверность
информации о чистом благосостоянии приводит к ошибкам планирования уровня
инфляции, процентной ставки по кредитам, эмиссии денег.
Исследователи разных стран установили
статистическую зависимость изменения ВВП от уровня эмиссии денег, которая
показывает, что при эмиссии от 4 до 100% годовой прирост ВВП сокращается от 1,9
до 0,4 %, а при эмиссии более 100% наблюдается снижение ВВП на 2,2%. Эта
зависимость подтвердилась и в России.
На развитие экономики России значительное
влияние оказывают методика государственного регулирования, действующая система
налогообложения, соотношение ресурсов на потребление и инвестирование в
развитие производства, стремление предпринимателей занизить учет доходов и
минимизировать базу налогообложения. Эти факторы приводят к недостоверности
информации для прогнозирования объемов потребления, натуральных, финансовых и
ценовых показателей и их динамики, роста национального богатства страны.
Устранение перечисленных недостатков является необходимым условием роста
национального благосостояния и увеличения национального богатства.
.2 Методы оценки национального богатства
Современные методы оценки национального
богатства, прежде всего, должны отражать состав и взаимосвязи всех внутренних
компонентов национального богатства. Поскольку процесс устойчивого развития
экономики обеспечивается комплексным набором разнородных активов, которые
должны быть эффективно распределены во времени и пространстве, то кроме этого
необходимы механизмов управления такими активами для достижения оптимального
варианта экономического роста. Поэтому наиболее важное значение при расчетах
национального богатства имеет интегральная сумма следующих трех стоимостных составляющих:
природного капитала, который определяется
стоимостью запасов таких возобновляемых и невозобновляемых ресурсов, как
сельскохозяйственные земли, пастбищные угодья, продуктивные леса,
дополнительные природные продукты лесных площадей, природоохранные зоны,
месторождения нефти, угля, природного газа, металлов и ценных минералов;
производственных активов, представляющих собой
сумму стоимостей всех имеющихся в стране производственных объектов,
промышленного оборудования, транспортной инфраструктуры, различных объектов
недвижимости и коммунального хозяйства;
человеческих ресурсов, оценивающихся долей
национального продукта, непосредственно связанного с трудовыми затратами и их
эффективностью в различных секторах экономики.
Аналогичный подход был предложен и в России в
рамках общего определения расширенного состава национального богатства и
концепции его теририторально-компонентного потенциала.
Накопленное значение стоимости человеческих
ресурсов рассчитывается путем умножения его средней ежегодной величины за
вычетом стоимости отчужденных в процессе трудовой деятельности материальных
активов и недвижимости урбанизированных территорий на среднее значение числа
продуктивных лет трудовой деятельности всего имеющегося трудоспособного
населения. Кроме того в итоговый показатель совокупной стоимости человеческого
капитала включается накопленная стоимость в рамках имеющихся долгосрочных
общественных фондов социального обеспечения. Рассчитанная по такой методике
стоимость человеческих ресурсов в промышленно развитых странах, последовательно
объединяющая прибыль на затраченный физический труд, стоимость результатов
прямого и косвенного использования человеческого капитала и начисления
социальных фондов, является крупнейшим внутренним компонентом национального
богатства.
Следует подчеркнуть, что прежние традиционные
показатели стоимости природных ресурсов во второй половине прошлого века обычно
базировались на прямых ценовых параметрах отдельных компонентов сырьевых
потоков, вовлеченных в процесс производства потребительских товаров и услуг.
При этом не всегда учитывались важные экологические и жизнеобеспечивающие
функции природных систем, наличие которых в действительности является
неотъемлемым условием возможности осуществления любых производственных
процессов. В основном это происходило потому, что традиционные методы измерения
стоимости произведенных продуктов и услуг базировались на рыночных оценках
только тех переработанных сырьевых компонентов, которые оказывались
непосредственно вовлеченными в хозяйственный товарооборот. Кроме того в
итоговые суммы не включалась стоимость затрат на содержание национальных
природных парков, заповедников и прочих охраняемых территорий, а также
разнообразных местных рекреационных ресурсов, необходимых для организации
полноценного отдыха внутреннего населения и прибыльного международного туризма.
За последние годы под эгидой ООН и Всемирного
Банка реконструкции и развития были разработаны новые комплексные методики,
создавшие возможность проведения более точных оценок стоимости природного
капитала, как в отдельных странах, так и для всего мира в целом.
В силу значительной дифференциации национальных
экономических укладов и значений стоимости конечной обработанной продукции,
которая ранее считалась ведущим показателем успешного экономического роста,
доля стоимости используемых природных ресурсов в современном мире колеблется в
среднем диапазоне от 15% до 30%. Указанные соотношения также убедительно
свидетельствуют о важности интегрированного менеджмента и новых эффективных
методов государственного управления современным национальным экономическим
развитием.
человеческий ресурс национальный богатство
Диаграмма 1.1. Среднее соотношение
основных компонентов национального богатства в странах с преобладающей сырьевой
ориентацией экономики и внешней торговли к началу XXI века, %
Общепризнанным статистическим критерием
достижения состояния устойчивого и гармоничного экономического развития по
результатам ряда недавних исследований является следующее главное макроэкономическое
соотношение

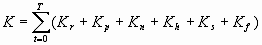
Внутренний многокомпонентный состав
национального богатства для любого конкретного отрезка времени детально
учитывается и суммируется при этом следующим образом:
где К - совокупное национальное
богатство страны, Kr - стоимость накопленных активов предшествующих лет, Kp -
стоимость произведенных товаров и услуг, Kn - стоимость используемого
природно-ресурсного капитала, Kh - стоимость активных человеческих ресурсов, Ks
- стоимость социально-культурного и научного капитала, Kf - стоимость
внутренних и зарубежных высоколиквидных финансовых активов, Т -
продолжительность условного расчетного периода.
Таким образом, важнейшей задачей
эффективного государственного экономического регулирования становится оценка
результативности не только по одному или нескольким показателям темпов роста
промышленной продукции, использовавшейся ранее, а по тому, насколько
национальная экономика в достаточной степени успешно использует и преумножает
природный капитал, промышленные активы и человеческие ресурсы. Следовательно, в
современных макроэкономических оценках национального богатства все большее
значение приобретают как качественные, так и точные количественные показатели,
отражающие важность, как человеческого фактора, так и совокупной стоимости всех
компонентов природных ресурсов, включая стоимость целостной и продуктивной
окружающей среды.
Оценка стоимостной доли
человеческого капитала в составе национальных производственных активов является
одной из наиболее трудных задач в процессе определения величины национального
богатства. Величина человеческого капитала зависит от стоимостным параметрам
трудовых затрат, величина которых непосредственно зависит от различий в уровнях
образования, квалификации и внутренней мотивации персонала, участвующего в
процессе производства. При определении доли стоимости человеческих ресурсов в
структуре национального богатства необходимо определить дополнительный прирост
производительности труда, связанный с профессиональным опытом и образованием, а
также с различными социальными факторами, которые оказывают прямое и косвенное
воздействие на процесс общественного воспроизводства. (Человеческий капитал -
экономический актив в форме интеллектуальных способностей и практических
навыков, полученных в процессе образования и практической деятельности и
определяющих способность людей к участию в процессе производства. Физический
производственный капитал, природный капитал и человеческий капитал в совокупности
образуют один из четырех классических факторов производства, в состав которых
входят земля, труд, капитал, а также предпринимательская способность.)
Если в прошлом веке экономическое
развитие в основном зависело от интенсивности накопления произведенных
физических активов, связанных с конечными продуктами овеществленного труда, то
в последнее время стало все более отчетливо выявляться растущее значение
характера использования и качества человеческих ресурсов. При этом
экономический рост начинает все более зависеть не только от количественных
параметров предметов и средств труда, но и от роста внутреннего качества
рабочей силы. Рост затрат на образование, профессиональную подготовку и
здравоохранение резко ускоряют темы экономического роста и гарантируют
продолжение поступления постоянных и устойчивых доходов для государства в
будущем гораздо надежнее, чем простое увеличение масштабов производства все
более жестко контролируемое ресурсными и природоохранными ограничениями. Таким
образом, для современных развитых стран рост качества человеческого фактора в
процессе производства становится более приоритетным инструментом обеспечения
устойчивого развития, чем непосредственные прямые традиционные инвестиции в
физический капитал. (Предметы труда включают сырье, энергия, конструкционные
материалы, полуфабрикаты и запасные части. Они полностью потребляются в одном
производственном цикле и целиком переносят свою стоимость на изготовляемую
продукцию. Средства труда - это орудия и инструменты, которые используются для
производства товаров и услуг и относятся к основным фондам. К активным
средствам труда относятся машины и оборудование; к пассивным - производственные
здания и сооружения. Предметы труда включаются в оборотные фонды и вместе со
средствами труда образуют средства производства.)
В основе такого подходе лежит новая
теоретическая модель пяти капиталов (Five Capitals Model), согласно которой
совокупный капитал общества в системе факторв производства в будущем будет
состоять уже не из 3, а из 5 видов капитала: природного, социального,
человеческого, инфраструктурного и финансового.
При оценке стоимостных параметров
человеческих ресурсов эконометрические расчеты могут осуществляться в три
стадии. Прежде всего, из стоимости чистого внутреннего национального продукта,
который отличается от полного ВВП на величину текущей амортизации произведенных
активов, вычитаются доходы от прямого использования всех видов первичных
природных ресурсов. Затем современная стоимость не ресурсных компонентов
национального продукта соотносится с величиной ожидаемой длительности периодов
продуктивной экономической активности для имеющегося населения с учетом
статистических показателей средней продолжительности жизни в отдельных странах.
После этого из полученной на первом этапе современной стоимости нересурсной
части национального продукта вычитается стоимость используемых в процессе
производства физических активов. Получаемая итоговая разность с определенными
допущениями можно считать эквивалентной стоимости человеческих ресурсов или
стоимости производительного человеческого капитала в структуре национального
богатства страны в номинальном денежном выражении.
Эти вычисления могут быть
представлены следующим уравнением
где H - стоимость человеческого
капитала в структуре национального богатства страны; Pr - номинальная стоимость
современной нересурсной части чистого внутреннего национального продукта; Kr -
накопленная стоимость всех имеющихся физических хозяйственных и
производственных структур, машин и оборудования; Ul - стоимость активно
используемых в общественном производстве урбанизированных земель; PPP -
коэффициент паритета покупательной способности национальной валюты. [1, c.114]
При оценке стоимости человеческого
капитала на основе чистого внутреннего национального продукта, для упрощения
расчетов доля затрат на заработную плату сельскохозяйственных рабочих обычно
считается примерно равной 45% от совокупных издержек на производство всей
сельскохозяйственной продукции. Так как в большинстве случаев данные по
сельскохозяйственной составляющей национального продукта включают сельское
хозяйство и рыболовство, то единственная дополнительная ресурсная рента,
которая при этом вычитается из исходного состава внутреннего национального
продукта - это совокупные кумулятивные доходы от использования подземных
минеральных ресурсов.
Величина периода продуктивного
использования трудовых ресурсов, естественным образом ограниченного рамками
человеческого жизненного цикла, вычисляется следующим образом: от среднего
условного значения ожидаемой продолжительности жизни в 65 лет для развитых
стран отнимается средний возраст имеющейся человеческой популяции в каждой
данной стране. Этот средний возраст вычисляется на основе стандартных
демографических данных о возрастной структуре имеющегося населения. Средняя
величина ожидаемого периода жизни не превышающего 65 лет выбирается исходя из
предположения о том, что, как правило, достигнув такого возраста, люди выходят
из процесса активного производства товаров и услуг.
2. Национальное богатство как
макроэкономическая категория в РФ
.1 Национальное богатство РФ
Российская академия наук оценила
совокупное мировое богатство национальное. Этот показатель был определен,
исходя из учетных данных Всемирного банка. Его величина на начало XXI века
совокупно для всех стран мира составила 550 трлн $.
Удельный вес человеческого капитала
в нем составляет большую часть - 350 трлн $, природных ресурсов - 95 трлн $,
производственных и непроизводственных фондов - 90 трлн $. Согласно статистике,
50% мирового национального богатства принадлежит развитым западноевропейским
странам, США, Канаде и Японии. НБ Соединенных Штатов оценивается в 24 трлн $,
95 трлн $ составляет национальное богатство стран ОПЕК, контролирующих
значительную часть мировых запасов нефти, 40% ее добычи и мировые цены на нее.
Странам бывшего СНГ принадлежит НБ, составляющее 80 трлн $. По вышеупомянутой
оценке ученых национальное богатство России составляет 60 трлн $. Составляющая
человеческого фактора в нем - 30 трлн $, природные ресурсы - 24 трлн $,
производственные и непроизводственные фонды - 6 трлн $.
Характерно, что России принадлежит
многократное преимущество над другими странами в части национального богатства,
приходящегося на одного гражданина (400 тыс. $), что вчетверо превышает
среднемировой показатель. Впрочем, и средняя плотность населения России на
квадратный километр составляет 8,39 человека в то время, когда для Франции этот
показатель составляет 119 человек, для Италии - 200,52, для Германии - 229,12.
Впечатляет оценка национального богатства РФ. Земельный фонд ее - 12,5 % от
мирового.
Таблица 2.1 Структура мирового
национального богатства
На территории России находится
половина мировых запасов пресной воды, более 50 % чернозема, более 60 % хвойных
лесов планеты. Запасы природных ископаемых России весьма значительны, они
занимают ощутимый удельный вес в мировых природных ресурсах. В частности,
запасы газа РФ составляют 32 % от мировых, нефти - 13 %; цинка - 15 %; железа -
26 %; угля - 11 %; цинка - 15 %; никеля - 36 %. Сырьевой характер экономики
Специалисты говорят, что экономика РФ в текущее время имеет сырьевой характер.
Что это значит? Значительный объем добываемой нефти и газа (порядка 75 %)
экспортируется и лишь четверть потребляется на внутреннем рынке.
В структуре ВВП РФ добываемые нефть
и газ занимают значительный удельный вес: около 32 %, в то же время продукция
машиностроения - около 5 %. Последний показатель, как мы понимаем, не
соответствует экономическому, а также научному потенциалу России. Все дело в
фактически предъявленном на мировом рынке спросе на сырьевую продукцию в связи
с протекционистской политикой Запада к науко- и фондоемкой продукции с надписью
"made in Russia". Динамика добычи нефти Россией отображает тенденцию
роста.
В настоящее время объем ее добычи
составляет достаточно впечатляющую цифру полмиллиарда тонн. Экономика РФ
чувствительна к поступлениям валюты от продажи нефти, в том числе и для
инвестиций в сектор машиностроения, позволяющим перейти к новым технологиям.
Большая часть российской нефти
(товарное название Urals) - 65 % - добывается в Тюменской области. Впрочем, в
перспективе добыча в этом регионе будет уменьшаться, в то же время как на
Дальнем Востоке и в Восточной Сибири прогнозируется ее рост.
Анализ экономических показателей
свидетельствует о тревожной тенденции: переориентация экономики на
эффективность сырьевой составляющей превышает темпы развития машиностроения.
Вместе с тем оценка национального богатства России была бы неполной без
указания факторов, сдерживающих интенсивность его приумножения. Они носят
системный характер. В России на человеческий капитал в структуре национального
богатства приходится 50 % удельного веса, на природные ресурсы - 32 % и на
капитал производственный и непроизводственный, соответственно, - 18 %. В то же
время для национального богатства западноевропейских стран доля человеческого
фактора составляет 78,4 %.
Как утверждают специалисты, не только
абсолютное стоимостное выражение, но и структура национального богатства
является важным фактором благосостояния государства. Экономисты чикагской школы
в 70-е годы прошлого века совершили существенное открытие: в структуре НБ
ведущую роль играет человеческий фактор. Мы уже упоминали, что его качество
определяется рядом составляющих: качеством и продолжительностью жизни,
образованием, валовым производством на одного человека. Если четверть века
назад РФ по этому показателю принадлежало 23 место, то нынче - 66-е.
Различные элементы национального
богатства обладают разным уровнем чувствительности к кризисным явлениям в
экономике. Отправной точкой для определения человеческого капитала является его
оценка на внутреннем рынке труда. Характерно, что во время перестройки эта
стоимость в секторе общественного производства была фактически обнулена. Такая
мизерная стоимость легла в основу ценообразования страны. В результате этого
предприниматель-посредник получил возможность зарабатывать спекуляцией в десятки
раз большую часть ВВП, чем квалифицированный промышленный рабочий. В ходе
приватизации производственных фондов СССР стоимость одной рабочей силы новыми
собственниками оценивалась в диапазоне 0,1 - 0,5 тыс. $. Для сравнения,
определение рыночной цены американского предприятия исходит из стоимости одной
рабочей силы в 100 тыс. $. В частности, предприятие ЗИЛ со стотысячным трудовым
коллективом было приватизировано за 16 млн $. Аналогичным образом
приватизировался Уралмаш, ГАЗ, а также многие другие системные предприятия.
Реформирование российской экономики, согласно положениям «Вашингтонского
консенсуса» 1990 г., не изменило эти диспропорции. Жесткая монетарная политика
вместе с либерализацией торговли не исправила ситуации. В настоящее время в РФ
20 % населения располагает доходами, не обеспечивающими прожиточный минимум на
одного члена семьи. Для репродуцирования роли человеческого фактора (особенно в
сфере производства) нужна целевая социальная и экономическая политика. Вывод
Национальное богатство РФ на современном этапе требует существенной переоценки
своих составляющих для получения устойчивой динамики роста. Ключевым является
увеличение удельного веса человеческого капитала. Для этого следует выделить
дополнительные средства и ресурсы. Олигархи должны будут поделиться своим
«куском пирога» от ВВП России, который они потребляют и переводят в депозиты
западных банков. Таким бизнесменам, увлекшимся максимизацией своих доходов,
предстоит практически ощутить, что инвестиции в человеческий капитал в России -
наиболее прибыльны, и научиться системно их совершать. Возможно, такую мысль
должно адекватно «объяснить» олигархам государство. С другой стороны, также
будет востребована и специальная инфраструктура, контролирующая и
обеспечивающая эффективность инвестиций в человеческий фактор.
.2 Проблемы национального богатства
РФ
Проблема использования природных
ресурсов и обеспеченности ими является центральной проблемой экономического
развития, важнейшим условием формирования конкурентоспособного типа
воспроизводства национального богатства.
Природно-ресурсный потенциал России,
включающий минерально-сырьевую базу экономики, водные, земельные, лесные и
климатические ресурсы, требует специальных правительственных мероприятий по
восстановлению. Он истощается довольно быстрым темпом в силу крайне
неэффективного использования.
Проблема сводится к необходимости:
ресурсосбережения (использование определенного количества ресурсов с
максимальной отдачей, с наименьшими затратами); обеспечения экологической
защиты; создания условий для возобновляемости ресурсов (создание заменителей
отдельных ресурсов); безотходности использования (создание безотходных
технологий); эффективного управления распределением природно-ресурсного
потенциала и рациональной эксплуатацией природных ресурсов.
Продвижение по указанным
направлениям зависит от комплекса мероприятий, способствующих увеличению отдачи
от использования природно-ресурсного потенциала с учетом ограничений,
вытекающих из каждой названной проблемы использования этого потенциала [14].
Чтобы воздействовать на структуру
национального богатства, необходимы специальные меры экономической и социальной
политики государства. В области экономической политики необходимо формирование
в соответствии с установленными целями и отобранными приоритетами эффективной
структуры, которая бы с наименьшими ресурсными тратами позволяла создавать
продукцию и услуги высокой добавленной стоимости. В области социальной политики
главным направлением является формирование новой социальной структуры общества
путем увеличения доли домашнего имущества (стимулирование кредитов для
жилищного строительство), путем снижения уровня дифференциации доходов
населения (установление прогрессивной шкалы налогообложения), путем повышения
эффективности функционирования и использования всех видов собственности и
защиты права собственности.
Однако новая социальная структура
должна отвечать складывающейся структуре экономики и позволять ей развиваться,
т. е. она должна воспроизводить такую систему ценностей и стимулов, которые бы
обеспечивали конкурентный процесс, позволяющий оценить и отобрать социально
значимые результаты.
В России очевиден недостаток
основного капитала социальной сферы.
Следовательно, увеличивать национальное богатство необходимо путем ее
модернизации. В табл. 2.2 приведен прогноз динамики структуры национального
богатства России до 2025 г. выполненный в рамках проекта под руководством Д.С.
Львова еще в 1999 г. Показательно, что предполагается увеличение
непроизводственных активов и потребительских активов (потребительский сектор,
домохозяйство) за счет сокращения элементов производственных фондов и
материальных запасов. Вместе с тем, не совсем ясно, является такое предвидение
благим пожеланием видеть подобную пропорцию или эти изменения связаны
конкретными инструментами макроэкономической политики правительства. Как
представляется, поскольку изменения охватывают довольно продолжительный период
(28 лет), приведенные цифры отражают скорее внутренний структурный генезис
экономики, чем учитывают правительственные воздействия в рамках структурной
политики, которая, кстати, даже не была обозначена и научно обоснована в
процессе трансформации 1990-х гг.
Таблица 2.2
Прогноз динамики и структуры
национального богатства РФ до 2025 г.
|
1997
г.
|
2000
г.
|
2005
г.
|
2010
г.
|
2015
г.
|
2020
г.
|
2025
г.
|
|
Национальное
богатство, %
|
100
|
102
|
105
|
108
|
112
|
116
|
120
|
|
Натурально-вещественная
структура НБ: основной капитал
|
66
|
65
|
65
|
65
|
64
|
65
|
65
|
|
Материальные
запасы
|
15
|
14
|
13
|
12
|
12
|
10
|
10
|
|
Домашнее
имущество
|
19
|
22
|
23
|
24
|
25
|
25
|
|
Производственные
фонды
|
56
|
55
|
54
|
52
|
51
|
51
|
50
|
|
Непроизводственные
фонды
|
44
|
45
|
46
|
48
|
49
|
49
|
50
|
Приведенные цифры имеют в том числе и оттенок
нормирования, а не только являются отражением общей более высокой
организованности экономической системы и целесообразной экономической политики.
В свою очередь последняя, будучи подвержена, как и любой экономический процесс,
“эффекту кумулятивной” причинности, выступает своеобразным общественным благом
и исполняет функцию фактора хозяйственного развития.
Итак, дав общую характеристику категории “национальное
богатство” и в достаточно общем виде оценив изменение отдельных элементов
национального богатства России в начале XXI в., необходимо перейти к вопросу
использования этой категории при разработке макроэкономической политики. Наша
позиция сводится к тому, что именно применение данной категории в названном
ракурсе позволит изменить представление об инструментах, целях и содержании
экономической политики, придав ей структурную направленность. Это позволит
воздействовать с применением известного макроэкономического инструментария на
фундаментальные пропорции экономической системы [15].
Следующим моментом проблемы использования
категории “национальное богатство” в экономическом анализе выступает влияние
экономико-политических мероприятий на возможность его накопления и
расходования.
Иными словами, каким образом те или иные меры
правительства определяют четыре типа выше указанных действий в отношении
национального богатства.
Кстати, долгосрочные оценки такого влияния могли
бы составить основу для измерения эффективности экономической политики.
Существующие теории экономической политики исходят из оценок изменения не
богатства как более широкой категории, а национального дохода. Однако
экономисты не всегда учитывают, что имеют дело с национальным доходом как
своеобразной расчетной моделью национального богатства, причем моделью иногда
весьма упрощенной.
При расчете национального продукта по видам его
использования, как правило, полагают, что сбережения - это есть инвестиции плюс
сальдо внешней торговли, т. е. экспорт минус импорт. Однако в
макроэкономическом смысле эти сбережения еще не идут на прирост национального
богатства, так как могут использовать в качестве инвестиционных расходов и
оплаты импортного потребления.
Национальное богатство РФ на современном этапе
требует существенной переоценки своих составляющих для получения устойчивой
динамики роста. Ключевым является увеличение удельного веса человеческого
капитала. Для этого следует выделить дополнительные средства и ресурсы.
Олигархи должны будут поделиться своим «куском пирога» от ВВП России, который
они потребляют и переводят в депозиты западных банков. Таким бизнесменам,
увлекшимся максимизацией своих доходов, предстоит практически ощутить, что
инвестиции в человеческий капитал в России - наиболее прибыльны, и научиться
системно их совершать.
Возможно, такую мысль должно адекватно
«объяснить» олигархам государство.
С другой стороны, также будет востребована и
специальная инфраструктура, контролирующая и обеспечивающая эффективность
инвестиций в человеческий фактор.
Заключение
На современном этапе мирового экономического
развития природный капитал, наряду с человеческими ресурсами несомненно
является важнейшим первичным фактором, оказывающим воздействие на сложный
процесс накопления и использования государствами своих экономических активов
для дальнейшего роста экономического благосостояния. Именно поэтому более
точные оценки стоимости природного богатства могут способствовать выработке
полезных рекомендаций по совершенствованию перспективной макроэкономической
политики.
Прежде всего, следует учитывать, что
сельскохозяйственные угодья и пастбища являются очень важным компонентом
естественного природного капитала, доля которого может составлять не менее 50%
от общей суммы его активов. Устаревшие и убыточные методы выращивания
сельскохозяйственных культур могут быстро и необратимо истощить
сельскохозяйственную продуктивность биологических систем и нарушить общее
экологическое равновесие, резко снижая возможности устойчивого экономического
роста для многих будущих поколений. Это особенно справедливо для стран с низким
уровнем национального дохода, где относительная доля сельскохозяйственных
земель и пастбищных угодий в составе национального богатства, по-прежнему,
превышает 85%.
Во-вторых, дополнительная прибыль, связанная с
качественными человеческими ресурсами, воспроизводство которых обеспечивают
вложения в образование, фондовооруженность труда и в сферу социального
обеспечения, также является доминирующим компонентом состава национального
богатства. Многолетняя практика подтвердила, что основная часть национального
богатства развитых стран заключается прежде всего в их человеческом потенциале
и в той расширенной совокупности индивидуальных возможностей и
институциональных общественных взаимоотношений, которые обычно называются
социальным капиталом.
Важность расширения выпуска наукоемкой товарной
продукции для роста национальной конкурентоспособности способствует выходу на
первый план в рамках государственных приоритетов повышения образовательного
уровня населения и совершенствования здравоохранения. В результате, объективная
необходимость ускоренного воспроизводства более производительного человеческого
капитала обуславливает поиск эффективных путей реализации результативной
социальной политики.
В-третьих, в странах богатых минеральными
ресурсами на первый план выходят задачи диверсификации источников привлечения
дополнительных инвестиций и их более равномерного размещения в различных
секторах национальной экономики. Сбалансированное и устойчивое разностороннее
развитие как природного, так и человеческого капитала, таким образом, является
не менее важным стратегическим фактором, чем стимулирование роста прибыли от
добычи и реализации нефти, газа, угля и других невозобновляемых видов природных
ресурсов.
Список литературы
1. Аненков Р.Д. Экономика.- М.: «Пересвет»,
2011.-479 с.
2.
Андрианов В. Государственное регулирование и механизмы саморегуляции в рыночной
экономике // Экономист. - 2010. - №5.
3. Архипов А.И. Экономический словарь. - М.:
Проспект, 2012. - 620с.
. Гвоздева Е.С., Штерцер Т.А. Человеческий
капитал как фактор развития России // ЭКО. - 2013. - № 7. - С. 134-138.
. Князев А. Национальное богатство РФ //
Экономика.-2014.- 30.07.2014
. Национальное богатство как макроэкономический
показатель: содержание, структура, принципы определения // Экономика.- 2014.-
июнь
. Нестеров Л.И. Особенности воспроизводства
национального богатства в начале XXI
века. - М.: Наука, 2015. - 215 с.
. Нестеров Л., Аширова Г. Национальное богатство
и человеческий капитал Вопросы экономики.- 2009.- № 2
. Никиточкин Р.Ю. Макроэкономика. М.: «АСТ»,
2011.- 369 с.
. Сильвестров С.Н. Национальное богатство:
оценка и управление экономическим развитием / С.Н. Сильвестров, Б.Н. Порфирьев;
под ред. С.М. Шахрая, Е.И. Ивановой; НИИ СП. - М.: Экон. Науки, 2010. - 100 с.
. Сухарев О.С. национальное богатство и природа
структурных изменений Бизнес и банки. 2010. №9 (845). С.6-8.
12.
Сухарев О.С. Национальное богатство и структурная политика // Бизнес и банки.
2013. №7 (743). С.10-12