Материальное стимулирование работников ЗАО 'Элга'
1. Материальное стимулирование работников организации:
сущность, виды, функции, роль в национальной экономике, методические подходы и
его анализ
.1 Сущность и
особенности организации материального стимулирования работников организации
Материальное стимулирование представляет собой совокупность форм и
методов обеспечения и повышения материальной заинтересованности работников в
достижении определенных индивидуальных и коллективных результатов.
Формирование
рыночных отношений и ориентация на экономические методы управления предполагает
использование принципиально новых подходов к оценке материального
стимулирования труда. Обзор научной литературы позволяет сделать вывод, что на
сегодняшний день не существует единой методики оценки эффективности
материального стимулирования труда работников. Анализ теории и практики
экономического управления показывает, что для оценки эффективности
стимулирования труда работников применяются следующие научные подходы:
системный, комплексный, интеграционный, функциональный, процессный,
административный, поведенческий, ситуационный и др. Однако современные условия
деятельности организаций делают предпочтительным использование
воспроизводственного, синергетического и компетентностного подходов.
. Воспроизводственный. Сущность подхода: ориентация на
постоянное возобновление рабочей силы как основы формирования человеческого
капитала для удовлетворения потребностей рынка труда с меньшими, по сравнению с
лучшим аналогичным объектом на данном рынке, совокупными затратами на единицу
полезного эффекта. Ценность: воспроизводство рабочей силы; формирование
человеческого капитала организации; минимизация затрат при максимизации
эффекта.
. Синергетический. Сущность подхода: ориентация на постоянные
изменения на рынке труда, т.е. закономерный процесс перехода от хаотичной
организации к упорядоченной, и наоборот. Ценность: влияние спроса и предложения
рабочей силы; системы норм и ценностей организации; культура организации.
.
Компетентностный. Сущность подхода: определение совокупности знаний, умений или
полномочий по управлению материальным стимулированием труда работников.
Ценность: совокупность знаний; умение управлять трудовым потенциалом
организации в целом и персоналом, в частности; современные системы мотивации
персонала, в т.ч. материальное стимулирование труда.
Современный этап развития социально ориентированной рыночной экономики в
Республике Беларусь диктует необходимость создания на предприятиях действенного
механизма мотивации труда, обеспечивающего повышение эффективности производства
при одновременном наиболее полном учете интересов всех работников.
В эпоху потребления материальное стимулирование является основным, а на
многих предприятиях и единовременным видом мотивации. Во времена, когда все
решает деньги, именно материальное благополучие является мерой не только
успеха, но часто и профессионализма и уровня квалификации и ума наконец [13, с.
49].
Материальное стимулирование труда работников на предприятии очень важно.
В материальной мотивации необходимо поддерживать баланс и делать это
руководителю достаточно сложно.
Принципы системы материального стимулирования:
- объективность: размер вознаграждения
работника должен определяться на основе объективной оценки результатов его
труда;
предсказуемость:
работник должен знать, какое вознаграждение он получит в зависимости от
результатов своего труда;
- адекватность: вознаграждение должно быть адекватно трудовому вкладу
каждого работника в результат деятельности всего коллектива, его опыту и уровню
квалификации;
своевременность: вознаграждение должно следовать за достижением
результата как можно быстрее (если не в форме прямого вознаграждения, то хотя
бы в виде учета для последующего вознаграждения);
справедливость: правила определения вознаграждения должны быть понятны
каждому сотруднику и быть справедливыми, в т.ч. с его точки зрения;
доступность: каждый стимул должен быть доступен для всех работников.
Условия стимулирования должны быть понятными и демократичными;
постепенность: материальное стимулы подвержены постоянной коррекции в
сторону повышения, что необходимо учитывать, однако резко завышенное, не
подтвержденное вознаграждение впоследствии отрицательно скажется на мотивации
работника в связи с формированием ожидания повышенного вознаграждения и
возникновением нового нижнего порога стимула, который устраивал бы работника;
- значимость: вознаграждение должно быть для сотрудника значимым.
Рассмотрим функции стимулирования труда:
Экономическая функция: содействует повышению
эффективности производства. Эта функция служит предметом экономической науки и
предполагает совершенствование распределительных отношений. Одна из актуальных
проблем более полной реализации этой функции - дифференциация заработной платы
в зависимости от реальных различий в труде, в его результатах.
Смысл социальной функции стимулирования труда в том,
что социально-экономическое положение работников в значительной степени
определяется комплексом тех экономических и социальных благ, которыми
располагает человек, занимая ту или иную роль - позицию в системе общественного
разделения труда.
Социально-психологическая функция стимулирования
заключается в том воздействии, которое оказывает вся организация системы
стимулирования на формирование внутреннего мира работника: его потребностей,
ценностей, ориентации, установок, на формирование того или иного типа отношения
к труду. Социально-психологическая функция тесно связана с нравственной,
воспитательной функцией стимулирования, отражающей «вклад» стимулирования в
формирование нравственных качеств работника, в формирование трудовой морали.
Виды стимулирования:
материальное денежное;
материальное не денежное (социальное);
моральное.
Материальное денежное стимулирование - это разновидность стимулирования,
регулирующая поведение объекта управления на основе использования различных денежных
выплат и санкций (оплата по тарифным ставкам и окладам, различные виды доплат,
премии, и т.д.). Материальное денежное стимулирование проявляется в следующих
формах: заработная плата, доплаты, надбавки, компенсации, бонусы. В системе
стимулирования труда заработная плата занимает ведущее место.
Материальное не денежное стимулирование - это разновидность
стимулирования, регулирующая поведение объекта управления на основе
использования тех материальных благ, которые в условиях конкретной системы
хозяйствования принципиально в рамках законного поведения не могут
приобретаться за деньги или же являются дефицитными, вследствие чего, право их
распределения предоставлено субъекту управления (распределения жилья, различных
путевок, дефицитных товаров и т.д.) Данный вид стимулирования обладает рядом
особенностей. Во-первых, материальные не денежные стимулы не обладают такой
универсальностью, как материальные денежные, т.е. в них испытывают потребность
не все. Во- вторых, длительность цикла воспроизводства потребности для
большинства стимулов ограничено. Большое количество материальных не денежных
стимулов имеют характер разового действия. И в этом случае поддержание
активности работников будет требовать применения других материальных не
денежных стимулов. В-третьих, материальные не денежные стимулы целесообразно
использовать в подкрепляющей форме стимулирования. До начала деятельности о
конкретных для работника последствиях успешных или неуспешных действий ему
ничего не известно. Он лишь может быть более или менее уверен в том, что его за
успешные действия могут как-нибудь поощрить, а за негативные результаты
соответственно может последовать наказание.
Многие авторы выделяют следующие группы материально-социальных (не
денежных) стимулов: создание необходимых условий высокопроизводительного труда;
возможность ухода от монотонного к более интересному, творческому,
содержательному трудовому процессу; стимулирование свободным временем;
улучшение отношений в коллективе; продвижение по службе.
Моральное стимулирование - это разновидность стимулирования, регулирующая
поведение объекта управления на основе использования предметов и явлений,
специально предназначенных для выражения общественного признания и
способствующих повышению или же снижению его престижа (благодарности, грамоты,
доски и книги почета, медали, замечания, выговоры и т.д.).
В соответствии с Трудовым кодексом Республики Беларусь заработная плата -
это совокупность вознаграждений, исчисляемых в денежных единицах или (и)
натуральной форме, которые наниматель обязан выплатить работнику за фактически
выполненную работу, а также за периоды, включаемые в рабочее время [4, с. 187].
Поскольку заработная плата выплачивается в основном в денежной форме,
изменение цен на товары широкого потребления и услуги, ставок налогов может
изменить ее реальное содержание. В связи с этим различают номинальную и
реальную заработную плату.
Номинальная (денежная) заработная плата - это количество денег,
полученных работником за выполненную работу.
Реальная заработная плата определяет конкретные функциональные
потребности человека в определенные отрезки времени, исходя из конкретных
условий и особенностей, сложившихся в Республике Беларусь.
Структура потребительской корзины:
расходы на питание;
одежда, белье, обувь;
лекарства, предметы санитарии и гигиены;
мебель, предметы культурно-бытового назначения;
жилье, коммунальные услуги;
культурно-просветительные мероприятия, отдых;
бытовые услуги, транспорт, связь;
содержание детей в дошкольном учреждении;
обязательны платежи, взносы.
Прожиточный минимум - набор материальных благ и услуг, необходимых для
обеспечения жизнедеятельности человека и сохранности его здоровья.
Бюджет прожиточного минимума - стоимостная величина прожиточного
минимума, а также обязательные платежи и взносы.
В связи с инфляцией, вызванной ростом цен на потребительские товары и
услуги, производится индексация заработной платы на величину индекса
потребительских цен с корректировкой для различных частей дохода по шкале
нормативов, устанавливаемой Правительством Республики Беларусь.
Индексации заработной платы - метод компенсации уменьшения доходов
граждан в случае повышения цен, приводящего к снижению уровня жизни. Индексация
заработной платы может осуществляться в виде единовременного пересмотра
размеров оплаты труда (ставок, окладов).
Система социального партнерства базируется на взаимодействии органов
государственного управления, объединений предпринимателей, профессиональных
союзов и иных представительных органов работников, которые уполномочены, в
соответствии в актами законодательства, представлять их интересы. Социальное
партнерство основано на учете интересов различных слоев и групп общества в
социально-трудовой сфере посредством переговоров, консультаций, отказа от
конфронтации и социальных конфликтов.
Система социального партнерства включает следующие элементы договорного
регулирования: генеральное соглашение; отраслевое соглашение; региональное
(территориальное) соглашение; коллективный договор; индивидуальный трудовой
договор.
Генеральное соглашение - соглашение между республиканскими объединениями
нанимателей и профсоюзами. В документе речь идет об экономической политике,
рассмотрены следующие вопросы: группировка отраслей исходя из учета различий в
сложности и условиях труда; соотношения минимальных тарифных ставок между этими
группами отраслей; порядок пересмотра минимального размера оплаты труда;
соотношение заработной платы работников промышленности и бюджетной сферы [4, с.
191].
Отраслевое соглашение - соглашение между отраслевыми профсоюзами (их
объединениями), объединениями нанимателей, республиканскими отраслевыми
органами государственного управления, которые определяют: величину межразрядных
соотношений тарифных коэффициентов; показатели, размеры и строки премирования
работников исходя из задач, стоящих перед отраслями; виды и минимальные размеры
компенсационных доплат и надбавок, отражающих производственную специфику; для
предприятий-монополистов - размер тарифной ставки 1-го разряда рабочих основной
профессии; минимальные гарантии оплаты труда, в качестве которых, например,
могут выступать республиканские тарифы оплаты труда [4, с. 191].
Региональные (территориальные) соглашения - соглашения между профсоюзами
(их объединениями), нанимателями (их объединениями), местными исполнительными
органами, которые определяют: размер тарифной ставки 1-го разряда основной
профессии базовой отрасли; перечень межотраслевых (сквозных) профессий и
должностей и единые тарифные ставки (оклады) для оплаты труда этих работников;
Коллективный договор регулирует трудовые и социально- экономические
отношения между нанимателем и работником. В части оплаты труда определяет:
формы, системы оплаты труда; размеры тарифных ставок и служебных окладов;
дифференцированные размеры премий.
Необходимым элементом организации заработной платы являются ее формы и
системы, которые определяют порядок начисления заработка отдельным категориям
работникам и категориям персонала.
В практике организации заработной платы наиболее широко используются две
формы - сдельная и повременная. Они базируются на единой тарифной системе, но
на различных подходах к определению нормы затрат труда.
Сдельная - форма оплаты труда, при которой размер заработной платы
работника зависит от количества произведенной продукции или объема выполненных
работ определенного качества [7, с. 93].
Повременная - такая форма оплаты труда, при которой размер
заработка зависит от его тарифной ставки, количества отработанного им времени,
нормированного задания и качества труда.
Предприятия самостоятельно выбирают приемлемые для них формы и системы
организации заработной платы. При этом необходимо соблюдение ряда условий,
которые определяют целесообразность их использования.
Сдельную оплату труда рекомендуется применять: при необходимости
увеличения объема выпуска продукции; наличии количественных показателей работы,
которые непосредственно зависят от конкретного работника (бригады); возможности
точного учета объемов выполняемых работ и качества произведенной продукции;
возможности у работников увеличить выработку или объем выполняемых работ; возможности
нормирования труда и установления тарификации работ в соответствии с
требованиями тарифно-квалификационных справочников.
Сдельную оплату труда не рекомендуется применять, если она ведет: к
ухудшению качества продукции; нарушению технологических режимов; ухудшению
обслуживания оборудования; нарушению требований техники безопасности;
перерасходу сырья и материалов.
Организация повременной оплаты труда требует: соблюдения высоких
требований к качеству продукции; надлежащего учета фактически отработанного времени;
наличия строго регламентированного процесса производства (например,
автоматизированное, поточное или конвейерное), где работник не может влиять на
время выполнения технологических операций; отсутствия необходимости форсировать
увеличение объемов выпуска продукции (что может привести к браку или ухудшению
качества продукции); установления и правильного применения таких трудовых норм
и нормативов, как нормированные производственные задания на смену, неделю,
месяц, которые целесообразно устанавливать для рабочих, обслуживающих поточные
и конвейерные линии, системы машин, агрегаты и установки, где показатели
каждого работника не учитываются и индивидуальные нормы выработки не вводятся;
наличия трудностей при количественном измерении результатов труда работников и
установлении количественных показателей выработки, необходимых для определения
сдельной расценки.
Сдельная и повременная формы оплаты труда имеют свои разновидности,
которые принято называть системами [7, с. 94].
Сдельная форма заработной платы подразделяется на системы по способам
определения сдельной расценки, расчета с работающими, материального поощрения.
По способу определения сдельной расценки выделяют прямые, косвенные,
прогрессивные, аккордные системы, по способу расчетов с работающими они бывают
индивидуальными и коллективными, по способу материального поощрения - простыми
и премиальными.
В организации заработной платы на предприятиях используются следующие
системы сдельной формы оплаты труда:
прямая сдельная (индивидуальная или бригадная);
сдельно-премиальная (индивидуальная или бригадная);
косвенная и косвенно-сдельно-премиальная (индивидуальная или бригадная);
аккордно-сдельная и аккордно-премиальная (индивидуальная или бригадная);
сдельно-прогрессивная (индивидуальная или бригадная).
В свою очередь, повременная форма имеет следующие системы оплаты труда:
- простая повременная;
- повременно-премиальная;
- штатно-окладная.
Прямая сдельная система оплаты, здесь используются расценки на 1
произведенной продукции, которые определяются делением тарифной ставки разряда
работы на соответствующую норму выработки или умножением тарифной ставки
разряда на соответствующую норму выработки.
При косвенно-сдельной системы оплаты размер заработка рабочего ставится в
прямую зависимость от результатов труда обслуживаемых им работников-сдельщиков
[4, с. 198].
При сдельно-премиальной системе оплаты рабочих сверх заработка по прямым
сдельным расценкам дополнительно получает премию за определенные количественные
и качественные показатели, предусмотренные действующими на предприятии
условиями премирования.
При сдельно-прогрессивной системе оплаты труд рабочего в пределах
выполнения норм оплачивается по прямым сдельным расценкам, а при выработке
сверх этих норм - по повышению.
При аккордно-сдельной системе оплаты труда расценка устанавливается на
весь объем работ, а не на отдельную операцию.
При коллективной системе оплаты труда применяются либо индивидуальные
расценки по конечным результатам работы, либо коллективной сдельной расценки.
Помимо основного заработка, учитывающего постоянные факторы (затраты
труда в пределах норм и заданий, качество труда), существует система доплат,
компенсации и надбавок.
Доплаты призваны обеспечивать возмещение дополнительных затрат труда,
вызванных объективными различиями в условиях и тяжести труда.
Компенсации дают возможность частично возмещать потери в заработке,
вызванные причинами, не зависящими от работников предприятия (например, рост
цен на товары, высокие тарифы на коммунальные услуги и т.п.) [7, с. 101].
Надбавки стимулируют проявление работниками инициативы при выполнении
поручений и заданий, добросовестное их отношение к труду, повышение
квалификации, интенсивности труда, выполнение трудовых обязанностей в
определенных условиях.
В рыночных отношениях государством законодательно регламентируется лишь
минимальный размер надбавок, компенсаций и доплат, которые наниматель обязан
предоставить работникам. Наряду с этим нанимателю предоставлено право
самостоятельно совместно с профсоюзами, исходя из доходов (прибыли) предприятия,
в коллективных договорах определять перечень, условия и размер выплаты доплат,
компенсаций и надбавок. Однако при этом выплаты должны быть не ниже
установленных в законодательных документах и не ниже, чем это предусмотрено
ранее действующими условиями оплаты [7, с. 102].
В практике получили распространение надбавки работникам, стимулирующие
овладение ими необходимыми знаниями и опытом работы за высокое профессиональное
мастерство, высокие квалификационные классы (водителям транспортных средств и
т.д.). Так, дифференцированные надбавки за профессиональное мастерство призваны
стимулировать улучшение профессионального уровня рабочих. Критериями оценки
этого уровня являются высокое качество выпускаемой продукции и выполняемых
работ, строгое соблюдение технологической дисциплины, систематическое
выполнение плановых заданий и норм выработки, наставничество.
Все доплаты начисляются сверх основного заработка и подразделяются на
доплаты, установленные в целях компенсации потерь в заработке, происходящих не
по вине работника. Для возмещения дополнительных затрат труда на предприятиях
применяются доплаты за работу во вредных, особо вредных, тяжелых и особо
тяжелых условиях труда; интенсивность труда; выполнение обязанностей бригадира;
совмещение профессий (должностей) и выполнение обязанностей временно
отсутствующего работника.
Доплаты за работу во вредных, особо вредных, тяжелых и особо тяжелых
условиях труда устанавливаются по конкретным рабочим местам на основе их
аттестации и дифференцируются в зависимости от общей оценки условий труда в
баллах. При последующей рационализации рабочих мест и улучшений условий труда
надбавки должны уменьшаться или отменяться.
С помощью доплат за интенсивность труда компенсируется более напряженный
ритм работы на конвейерах, поточных и автоматических линиях. В качестве
критерия, принимаемого для установления размера такой доплаты, используется
коэффициент занятости рабочего интенсивным трудом [7, с. 102].
Доплаты за выполнение обязанностей бригадира устанавливаются
дифференцированно в зависимости от численности бригады.
Стимулирование работников за совмещение профессий (должностей) и
выполнение обязанностей временно отсутствующего работника осуществляется
введением специальных доплат к тарифному заработку по основной профессии.
Размер этих доплат устанавливается руководителем предприятия по
согласованию с профсоюзами.
Надбавки к окладам руководителей и специалистов производятся: 1) за
высокие достижения в труде; 2) выполнение особо важных и ответственных работ;
3) труд линейных руководителей, работающих в цехах с вредными условиями труда;
4) непрерывную работу в отрасли, выслугу лет, стаж работы по профессии и др.
Первый вид надбавок призван стимулировать выполнение линейными руководителями
планов по производству и выпуску высококачественной и конкурентоспособной
продукции. Второй вид надбавок призван стимулировать решение важнейших для
предприятия задач, например задач по активизации инновационной деятельности
конструкторами и технологами. Доплаты за условия труда устанавливаются по
результатам аттестации рабочих мест, персонально и дифференцированно для тех
руководителей, у которых фактическое время работы во вредных условиях
составляет не менее 50% рабочего времени. Доплаты за непрерывный стаж работы в
отрасли, по профессии призваны стимулировать постоянство места работы.
Применяется также и ряд надбавок и доплат общих для рабочих,
руководителей и специалистов, носящих целевой характер: 1) надбавки за
подвижной и разъездной характер работы, производство работ вахтовым методом,
постоянную работу в пути; 2) доплаты за работу в ночное время и др.
Все надбавки, компенсации и доплаты являются непостоянными по своим
размерам. При улучшении или ухудшении условий труда они могут быть
пересмотрены.
Для обеспечения заинтересованности работников в улучшении экономических
показателей производства на предприятии используют премирование их за трудовые
достижения. Основными задачами системы премирования являются:
. стимулирование выполнения планов производства и договорных обязательств
по поставкам продукции;
. повышение заинтересованности в улучшении качества и повышении
конкурентоспособности продукции;
. стимулирование повышения производительности труда;
. повышение заинтересованности в снижении себестоимости производства
продукции и экономии всех видов материальных ресурсов;
. стимулирование инновационной деятельности по созданию новой продукции и
освоению новой технологии и техники и др.
Премирование за основные результаты производственной деятельности может
быть индивидуальным или коллективным [7, c. 104].
Индивидуальное премирование целесообразно применять там, где
стимулируется умение работать на специальном оборудовании, требующем особых
навыков, или в таких условиях организации производства, когда каждый рабочий
трудится независимо от других. Коллективное премирование имеет целью создать
заинтересованность членов трудового коллектива в общих результатах работы
бригадира, участка, цеха, предприятия. Организация премирования предполагает
установление круга лиц, подлежащих премированию, показателей, условий, размера
премий, периодичности премирования.
Показатели премирования должны соответствовать целям и видам
производства, отражать связь с трудовым вкладом каждого работника и коллектива
в целом. Это, как правило, производственные показатели, поддающиеся учету,
которые непосредственно зависят от усилий данного работника или группы
работников. Число показателей и условий премирования должно быть не более 3-4,
иначе может быть утеряна связь между системой премирования и основными целями
производства. Показатели не должны противоречить друг другу - улучшение одних
не должно способствовать ухудшению других. Уровень достижения показателя
премирования может быть установлен исходя из нормативного (планового) или
достигнутого в базовом периоде уровня. При достижении предельного значения
показателя размер премии целесообразно устанавливать за поддержание этого
высокого уровня (например, 100% выполнение плана - задания, выпуск изделий в
заданном ассортименте, отсутствие брака и др.).
Размер премии должен быть таким, чтобы создать заинтересованность в
улучшении показателей трудовой деятельности. Минимальный размер премии
определяется психологическим порогом ощутимости премий и измеряется величиной,
равной не менее 8-10% тарифа (оклада). Максимальный размер определяется экономической
целесообразностью системы и оптимальным уровнем надтарифной части заработной
платы - 35-40% тарифа (оклада) [7, с. 105].
Размеры премий необходимо дифференцировать с учетом напряженности
установленных показателей премирования посредством введения различных шкал с
пропорциональным или прогрессивным нарастанием размеров премий в зависимости от
степени улучшения показателей по сравнению с базовым уровнем. Современные
системы премирования делают акцент на стимулирование высоких коллективных
показателей работы. При этом размеры премий устанавливаются за каждый процент
(пункт) улучшения показателей по сравнению с нормативным (плановым) уровнем или
уровнем, достигнутым в предыдущем периоде. В соответствии с постановлением
Совета Министров Республики Беларусь от 27 апреля 2006 г. № 555 «О некоторых
мерах по совершенствования государственного регулирования оплаты труда»
установлен порядок премирования руководителей (их заместителей) и главных
специалистов коммерческих организаций по итогам работы за квартал, которым
предусматривается, что 30% начисленной премии резервируется и выплачивается при
отсутствии убытка от реализации продукции (работ, услуг) [25].
При выполнении показателей, условий и размеров премирования должно быть
обеспечена гарантированность источника выплаты премий. При премировании рабочих
основным источником выступает фонд заработной платы, а при премирования
служащих (руководителей и специалистов) - прежде всего чистая прибыль. Такая
дифференциация источников премирования способствует повышению объемов
производства и чистой прибыли. При организации участия в прибылях рабочих они
могут премироваться и за счет чистой прибыли.
Периодичность премирования (за месяц, квартал, год) должна учитывать
особенности организации производства, характер продукции, длительность
производственного цикла.
В момент разработки и введения системы премирования необходимо оценить
потенциальную эффективность этой системы, для чего нужно сравнить проектируемый
уровень показателя премирования с уровнем базового периода, рассчитать в
денежном выражении эффект, получаемый от его изменения [7, с. 105].
Показатели, условия и исходные уровни премирования рабочих определяются в
соответствии с плановыми показателями работы участка, цеха, с учетом степени
влияния труда рабочих на изменения этих показателей.
Показателями премирования рабочих занятых в основном производстве, могут
быть:
. выполнение и перевыполнение производственных заданий, технически
обоснованных норм, нормированных заданий;
. рост производительности труда, снижение трудоемкости изделий;
. экономия сырья, материалов, инструментов и других материальных
ценностей, использование которых сравнивается с нормами или планом;
. повышение качества продукции и выполняемых работ по сравнению с
нормативными и плановыми заданиями;
. соблюдение технологического режима, графиков работы, обеспечение
ритмичности производства.
При организации премирования рабочих, занятых обслуживанием основного
производства, в качестве показателей премирования могут быть:
. обеспечение бесперебойной и ритмичной работы оборудования по выпуску
продукции;
. улучшение коэффициента использования оборудования;
. увеличение межремонтного периода эксплуатации и сокращение затрат на
обслуживание и ремонт оборудования при соблюдении требований к качеству технического
его обслуживания;
. бесперебойное обеспечение рабочих мест инструментом и оснасткой и др.
В условиях рыночной экономики существенно меняются подходы к
стимулированию руководителей и специалистов. Главным направлением в
стимулировании работающих функциональных подразделений является премирование за
улучшение конечных результатов работы подразделений или предприятия. Например,
для служб конструктора, главного технолога в качестве показателей премирования
могут быть приняты: выполнение плана по ускорению научно-технического процесса;
разработка новой техники и прогрессивных высокоэффективных изделий, конструкций
и технологий новых товаров улучшенного качества; разработка изделий,
предназначенных для экспорта; повышение технологичности продукции [7, с. 107].
В практике работы предприятий используются варианты организации
премирования специалистов функциональных подразделений: по показателям,
отражающим результаты работы данного подразделения с использованием в качестве
дополнительных показателей (или условий) премирования основных результатов
деятельности по предприятию в целом; по показателям, отражающим основные
результаты деятельности предприятия с использованием в качестве дополнительных
показателей (или условий) премирования результаты работы данного подразделения.
Премирование руководителей предприятия по результатам
финансово-хозяйственной деятельности производится за счет роста объема
реализованной продукции, выполнении плана по прибыли, снижение себестоимости
Особое место в системе премирования занимает вознаграждение по итогам
работы за год, которое относится к особому виду материального поощрения,
поскольку выплачивается работнику сверх основной и дополнительной заработной
платы. Источником его выплаты является чистая прибыль предприятия. Размер этой
премии зависит от коллективных годовых результатов труда и производственного
стажа работников на предприятии.
В Германии заработная плата формируется и регулируется посредством
механизма социального партнерства между бизнесом, рабочей силой и правительством.
В реальном секторе экономике (например, для банковского дела, химической,
металлургической промышленности) основными работодателями и профсоюзами
разрабатываются различные тарифные соглашения (ставки и структура оплаты).
Базовая составляющая оплаты труда в Германии достигает 70-80% от общего уровня
оплаты работника, в зависимости от уровня его должности, включая описание
работы, оценку ее сложности и возраст работника. В Германии существует
тенденция к использованию премий за эффективность, хотя они все еще не являются
частью традиционной системы оплаты труда работников. Системы определение
показателей премирования по результатам эффективности согласуются с работниками
на каждом предприятии [32, с. 7].
На предприятиях Швеции, по приблизительным подсчетам, девствуют около
тысячи разнообразных систем материального поощрения, предусматривающих участие
работников в прибылях предприятиях. Такими системами охвачено до 200 тысяч
работников, но лишь 20% шведских предприятий ввели унифицированный порядок премирования,
предполагающий вознаграждение всех работников. Остальные предприятия
разработали подобные системы лишь для определенных групп персонала, обычно
представителей руководства. Оплата труда рабочих, занятых как ручным, так и
механизированным трудом, производится ежемесячно на основе сдельных и
повременных форм оплаты труда, также существуют бонусы за повышение
производительности и индивидуальные достижения в виде компенсации за чрезмерный
производственный шум в цехах и вредные условия труда.
Повышение заработной платы на предприятиях в Японии происходит ежегодно.
При этом могут учитываться профессиональное мастерство, должность и образование
работника. Однако все эти позиции не очень резко выделяют работника из общего
круга лиц своей группы, т.к. определяющими остаются возраст и выслуга лет на
предприятии.
Сегодня уровень оплаты труда в Японии едва ли не самый высокий в мире. В
соответствии с принципом роста оплаты в зависимости от стажа 50-летний
сотрудник получает ежемесячно около 482 тысячи иен (немного более 4000 $). В
Китае рабочий получает заработную плату в 30 раз меньше, чем в Японии [32, с.
9].
Системы оплаты труда уделяется больше внимания личности, а не должности,
стажу и квалификации, исполняемым обязанностям и выполняемой работе. Заработная
плата в Японии формируется, опираясь на 3 основные элемента: базовая
составляющая оплаты, премии и пособия (льготы). Базовая часть оплаты составляет
от 60 до 80% ежемесячных выплат работнику в зависимости от его положения в
организации и основана на сочетании характеристик работника: категории карьеры,
количество лет службы и уровня квалификации (эффективности).
Премии составляют от 20 до 40% годовой заработной платы и находятся в
прямой зависимости от положении, занимаемого работником в организации, выплачиваются,
как правило, дважды в год и при этом не зависят ни от финансовых условий, ни от
производительности. Размер премии определяется умножением базовой месячной
заработной платы на коэффициент определенный путем переговоров между
работодателями и профсоюзами каждой компании.
В США существует 3 основных вида оплаты труда: почасовая заработная плата
рабочих; годовое жалованье служащих; единовременное вознаграждение
административных руководителей. В части материального вознаграждения
американские организации уделяют внимание основному жалованью (окладу) и в
целом общему «набору» выплат сотрудникам. Одним из важнейших инструментов
установления заработной платы в США является система оценки заслуг, проводимая
на частных предприятиях. Результаты такой оценки используются не только для
определения размеров поощрения, но и учитываются при отборе кандидатов на
увольнение в период технического перевооружения производства. Эта система
материального стимулирования успешно существует в 47% американских организациях
обрабатывающий промышленности и 75% организаций непромышленного профиля [32, с.
12].
Рассмотренный зарубежный опыт свидетельствует, что политика оплаты труда
в организациях реального сектора экономики должна опираться на научно
обоснованный выбор форм и систем оплаты труда, являющихся наиболее эффективными
в данных условиях работы для достижения поставленных целей, и оказывается
воздействие на размер, состав и динамику заработной платы работников. Некоторые
из рассмотренных систем могут частично или полностью быть применены на
предприятиях реального сектора экономики Республики Беларусь.
Таблица 1.1 - Номинальная начисленная и реальная
заработная плата всего по области и г. Гомелю за 2014 г.
|
Показатели
|
Номинальная начисленная
среднемесячная заработная плата, тыс. р.
|
Реальная заработная плата
|
Номинальная начисленная
средняя заработная плата в декабре 2014 г. к среднеобсластному уровню, %
|
|
|
2014 г. К 2013г.,%
|
декабрь 2014 г. в % к
|
|
|
|
|
декабрю 2013 г.
|
ноябрю 2014 г.
|
|
|
2014 г.
|
декабрь 2014 г.
|
|
|
|
|
|
Всего по области
|
5725,2
|
6198,2
|
98,9
|
97,8
|
105,9
|
100
|
|
г. Гомель
|
6083,6
|
6673,3
|
98,1
|
96,6
|
107,4
|
107,7
|
Примечание - Источник: [8].
В 2014 г. по сравнению с 2013 г. реальная заработная плата по г.Гомелю
снизилась на 1,9%, а всего по области она снизилась на 1,1%. Номинальная начисленная
среднемесячная заработная плата в декабре 2014г. по сравнению с 2014 г. по
г.Гомелю увеличилась на 589,7 тысяч рублей.
Таблица 1.2 - Номинальная среднемесячная и реальная
заработная плата по Гомельской области за 2014 г.
|
Показатели
|
Годы
|
2014 г. К 2013 г., %
|
Декабрь 2014 г. в % к
|
Справочно 2013 г. к 2012
г., %
|
|
2014 г.
|
декабрь 2014 г.
|
|
декабрю 2013 г.
|
ноябрю 2014 г.
|
|
|
Номинальная начисленная
среднемесячная заработная плата, тыс. р.
|
5725,2
|
6198,2
|
116,8
|
113,7
|
106,5
|
136,6
|
|
Реальная заработная плата,
тыс. р.
|
-
|
-
|
98,9
|
97,8
|
105,9
|
115,5
|
Примечание - Источник: [19].
В 2014 г. по сравнению с 2013 г. численность населения снизилось на 0,1%.
Номинальная начисленная среднемесячная заработная плата в 2014 г. по сравнению
с 2013 г. увеличилась на 16,8%, а реальная заработная плата снизилась на 1,1%.
Таблица
1.3 - Начисленная среднемесячная заработная плата работников по Республики
Беларусь за январь-февраль 2015 г.
|
Регион
|
Номинальная начисленная
среднемесячная заработная плата, руб.
|
Изменение реальной заработной
платы к соответствующему периоду предыдущего года, %
|
|
январь- февраль 2015
г.
|
февраль 2015 г.
|
январь-февраль 2015
г.
|
февраль 2015 г.
|
|
1
|
2
|
3
|
4
|
5
|
|
Республика Беларусь
|
6 069 803
|
6 129 105
|
96,8
|
97,3
|
|
Брестская область
|
5 187 819
|
5 219 823
|
95,0
|
94,9
|
|
Витебская область
|
5 320 611
|
5 336 309
|
96,2
|
96,8
|
|
Гомельская область
|
5 569 463
|
5 590 690
|
95,0
|
94,5
|
|
Гродненская область
|
5 362 229
|
5 398 569
|
95,6
|
96,1
|
|
Могилевская область
|
5 266 551
|
5 289 804
|
95,0
|
94,9
|
|
Минская область
|
5 909 979
|
5 942 385
|
97,0
|
96,2
|
|
г. Минск
|
8 396 098
|
8 569 993
|
99,6
|
101,2
|
Примечание - Источник: [19].
Номинальная
начисленная среднемесячная заработная плата в феврале 2015 г. по Республике
Беларусь составила более 6 млн р., самая высокая номинальная начисленная
среднемесячная заработная плата в феврале 2015 г. в Минской области и г.
Минске.
Подведем итог: материальное стимулирование представляет собой
совокупность форм и методов обеспечения и повышения материальной
заинтересованности работников в достижении определенных индивидуальных и
коллективных результатов.
Анализ теории
и практики экономического управления показывает, что для оценки эффективности
стимулирования труда работников применяются следующие научные подходы:
системный, комплексный, интеграционный, функциональный, процессный, административный,
поведенческий, ситуационный и др. Однако современные условия деятельности
организаций делают предпочтительным использование воспроизводственного,
синергетического и компетентностного подходов.
Принципы системы материального стимулирования:
объективность;
предсказуемость;
адекватность;
своевременность;
справедливость;
доступность;
постепенность;
значимость.
Виды стимулирования: материальное денежное;
материальное не денежное (социальное); моральное.
В практике организации заработной платы используются
две формы повременная и сдельная.
1.2 Система показателей и методические подходы к анализу
материального стимулирования работников организации
В составе фонда заработной платы в соответствии с действующим
законодательством включается следующие элементы.
Зарплата за выполненную работу и отработанное время: заработная плата,
начисляемая работникам по тарифным ставкам и окладам, за отработанное время;
зарплата, начисляемая работникам по сдельным расценкам либо в процентах от
выручки при реализации продукции (работ, услуг); стоимость продукции,
выдаваемой в порядке натуральной оплаты работникам; сумма индексации зарплаты в
связи с повышением цен на товары и услуги; доплаты за совмещение профессией и
др.
Поощрительные выплаты включают:
регулярные поощрительные выплаты: надбавки к тарифным ставкам и окладам
за профессиональное мастерство, сложность выполняемых работ и т.д.;
ежемесячные и ежеквартальные надбавки за продолжительность непрерывной
работы (вознаграждения за выслугу лет, стаж работы);
премии, вознаграждения, которые носят регулярный или периодический
характер независимо от источника выплаты; премии по результатам
финансово-хозяйственной деятельности организации;
специальные выплаты премий за экономию топливно-энергетических и
материально-технических ресурсов, внедрение новой техники и др. [7, с. 198].
Единовременные поощрительные выплаты включают:
единовременные разовые премии и вознаграждения независимо от источника их
выплат;
вознаграждения по итогам работы за год, годовые вознаграждения за выслугу
лет (стаж работы);
единовременная материальная помощь (денежная компенсация); материальная
помощь к отпускам, юбилейным датам, праздникам, торжественным событиям (включая
подарки) и др.
Выплаты компенсирующего характера, связанные с режимом работы и условиями
труда включают:
доплаты за работу в особых (неблагоприятных) условиях труда;
доплаты к тарифным ставкам за работу в зонах радиоактивного загрязнения;
доплаты за работу в ночное время, при многосменном режиме и в режиме
разделения рабочего дня; оплата сверхурочных, выходных и праздничных
(нерабочих) дней и др.
Оплата за неотработанное время включает:
ежегодные и дополнительные отпуска;
оплата времени работника, привлекаемого на выполнение государственных и
общественных обязанностей и др.
Отдельные выплаты социального характера включают:
стоимость бесплатно предоставляемых работнику питания, пайков в отдельных
отраслях экономики;
средства на возмещение расходов работников по оплате коммунальных услуг,
найму жилья; стоимость, предоставляемых работнику товаров, продукции, услуг
бесплатно или по сниженным ценам;
оплата льгот по проезду в различных видах транспорта; оплата абонементов
групп здоровья, занятий в секциях и др. [4, с. 200].
Дополнительная заработная плата включает:
выплаты компенсирующего характера (надбавки к тарифным ставкам и окладам
за сложность и напряженность работы, режим работы, совмещение профессий,
сверхурочную работу и др.);
выплаты стимулирующего характера (надбавки или доплаты к тарифным ставкам
и окладам за профессиональное мастерство, творческое и производственные
достижения, выполнение особо важных заданий и др.);
выплаты дополнительной заработной платы могут быть постоянными (за
профессиональное мастерство, за сложность и напряженность труда и др.) или
носят разовый характер (за работу в выходные и праздничные дни, в ночное время,
за выполнения особо важного поручения и др.).
Оценка материального стимулирования труда работников организации,
включает 3 основных этапа: подготовительный, основной и заключительный.
Рисунок 1.1 - Основные элементы подготовительного этапа
Примечание - Источник: собственная разработка.
Рассмотрим содержание первого этапа исследования материального
стимулирования труда работников.
. Изучение анализа расходов на оплату труда.
Направление анализа: оплата труда по тарифным ставкам, окладам, сдельным
расценкам, компенсирующие выплаты, оплата неотработанного времени (отпуск,
простой не по вине работника), прочие выплаты.
Последовательность проведения анализа: оценка применяемых систем оплаты
труда для различных категорий персонала; анализ системы премирования по
основным направлениям (круг премируемых, периодичность выплат и т.п.); анализ
динамики расходов на оплату труда за ряд лет в действующих и сопоставимых
ценах; оценка состава и структуры расходов на оплату труда по его компонентам;
расчет абсолютной и относительной экономии (перерасхода) расхода на оплату
труда; анализ расходов на оплату труда по категориям работников; расчет и
анализ факторов, оказывающих влияние на изменение расходов на оплату труда;
анализ средней заработной платы и факторов, ее определяющих.
. Изучение и анализ прочих выплат материального стимулирования труда.
Направление анализа: выплаты в составе издержек обращения; социальные
выплаты работникам за счет финансовых результатов.
Последовательность проведения анализа: анализ общей суммы выплат в
динамике; анализ состава и структуры выплат в составе издержек обращения;
оценка состава и структуры обязательных социальных выплат работникам; анализ
среднего размера выплат в пользу работников и факторов, ее определяющих.
Анализ прочих выплат включает: премии, различные виды доплат и надбавок и
т.п.; оценка прочих выплат материального стимулирования труда по категориям
работников; оценка средней заработной платы с учетом выплат и факторов, ее
определяющих.
Важным этапом исследования является создание информационной базы,
представляющей собой систему показателей, позволяющих составить всестороннюю
количественную и качественную характеристику основных закономерностей и
особенностей материального стимулирования труда персонала организации.
Необходимость использования в деятельности организаций информации о состоянии
материального стимулирования труда предполагает использование системного
подхода к формированию информационной базы, включающей в себя совокупность
внутренней и внешней информации, результаты изучения системы материального
стимулирования труда и анализа информации.
Важными направлениями анализа материального стимулирования труда является
изучение: законодательных документов по вопросам учета численности организаций,
размера минимальной оплаты труда, расчета средней заработной платы и т.д.;
экономических показателей деятельности организации в динамике за ряд лет;
организации труда и обеспеченности рабочей силой; структуры кадров организации,
их профессионального и квалификационного состава; движения и текучести кадров;
использования рабочего времени; расчет и анализ производительности и
эффективности труда и т.д.
Рассмотрим блок-схему исследования системы материального стимулирования
труда работников организации который представлен на рисунке 1.2.
Рисунок 1.2 - Блок-схема исследования системы материального
стимулирования труда работников организации
Примечание - Источник: собственная разработка.
Второй блок основного этапа включает в себя расчет и анализ затрат на
рабочую силу. В белорусской практике показатель, включающий весь перечень
затрат на рабочую силу, организациями не рассчитывается - для этого нет
соответствующей нормативной базы. Организации рассчитывают так называемый
экономический элемент затрат - расходы на оплату труда. Состав таких затрат был
оговорен Положением о составе затрат, включаемых в себестоимость продукции.
Обращает на себя внимание то, что в затраты на рабочую силу включаются и
издержки, называемые в отечественной практике учета затрат отчислениями на
социальные нужды.
В зарубежной экономике затраты на рабочую силу являются основным
показателем, характеризующим материальное стимулирование труда работников.
Применение данного показателя в отечественной экономике позволит организациям
более полно и качественно проводить выявление и анализ затрат на рабочую силу с
целью рационального распределения имеющихся у работодателя средств,
направляемых на цели личного пользования работников и устойчивое
функционирование рабочей силы.
Средства, направленные на материальное стимулирование труда, являются
примененными ресурсами. В виде потребленных ресурсов данный показатель можно
назвать затратами на рабочую силу. Анализ затрат на рабочую силу включает:
оплату труда по тарифным ставкам, окладам, сдельным расценкам; компенсирующие и
стимулирующие выплаты; оплата неотработанного времени (отпуск, простой не по
вине работника); социальные выплаты в составе издержек обращения:
единый социальный налог;
взнос на социальное страхование от несчастных случаев и профессиональных
заболеваний;
расходы на подготовку и переподготовку кадров;
стоимость социальных льгот, включая взносы в страховые фонды, затраты на
медицинское обслуживание, бесплатное питание и т.д.;
затраты на спецодежду, обувь, оборудование бытовых помещений, остающихся
в личном пользовании работников и др..
Социальные выплаты работникам за счет финансовых результатов включают:
премии, различные виды доплат и надбавок и т.п.;
оплата путевок в санатории;
оплата летних лагерей детям работников;
страхование работников (различные его виды) и т.п.
Выплаты на социальное развитие предприятия включают:
кредитование работников;
предоставление жилья с полной или частичной компенсацией для работников;
содержание учреждений отдыха для работников (санаториев, профилакториев,
баз отдыха) и др.
Однако первый блок основного этапа позволяет оценить стимулирование с
точки зрения работников организации, а второй блок - с точки зрения
работодателя. Сопоставление показателей, характеризующих материальное
стимулирование труда и затраты на рабочую силу показывает их количественную
равнозначность, однако качественная сторона различна для пользователей
информации - работников и работодателей.
Работодатель, эффективно управляя затратами на рабочую силу, воздействует
на трудовую деятельность работника через размер материального стимулирования
труда в составе среднегодовой заработной платы и среднего размера социального
пакета одного работника, способствуя росту производительности, следовательно,
увеличению товарооборота и прибыли организации. Поэтому необходимо выделить
показатели, формирующие совпадение интересов работодателя и работника.
Рисунок 1.3 - Блок-схема исследования системы материального
стимулирования труда работников организации
Примечание - Источник: собственная разработка.
Третий блок основного этапа исследования системы материального
стимулирования труда работников организаций включает в себя оценку
эффективности материального стимулирования труда и ее влияния на результаты
работы персонала. Данный подэтап следует рассматривать как с точки зрения
работника, так и с точки зрения работодателя.
Важным этапом исследования материального стимулирования труда с точки
зрения работников является этап, включающий в себя два основных направления:
выявление и оценку размера и форм материального стимулирования труда
работников; выявление и оценку удовлетворенности работников уровнем оплаты
труда.
Оценка эффективности материального стимулирования труда работников с
точки зрения работодателя включает собственно анализ эффективности
материального стимулирования труда и построение системы обобщающих показателей
эффективности.
В систему обобщающих показателей должны входить: отдача материального
стимулирования труда; емкость материального стимулирования труда;
рентабельность материального стимулирования труда; коэффициент соотношения
темпов роста объема производства и материального стимулирования труда;
коэффициент соотношения темпов роста прибыли и материального стимулирования
труда; интегральный показатель эффективности использования общей суммы
материального стимулирования труда.
Для получения системной оценки эффективности материального стимулирования
труда предлагается комплексный подход с позиций заинтересованных групп: с точки
зрения работодателя и с точки зрения работника. В связи с этим определены
показатели, соответствующие каждой из заинтересованных групп.
Работники: среднегодовая заработная плата в целом на одного работника;
среднегодовые прочие выплаты материального стимулирования на одного работника;
затраты на обучение на одного работника; коэффициент соотношения темпов роста
производительности труда и темпов средней заработной платы; коэффициент
соотношения темпов роста производительности труда и темпов роста прочих выплат
материального стимулирования на одного работника.
Работодатели: уровень расходов на оплату труда; сумма относительной
экономии (перерасхода) расходов на оплату труда; уровень затрат на рабочую силу
в объеме производства продукции; доля работников, прошедших обучение;
коэффициент соотношения чистой прибыли и темпов роста материального
стимулирования труда; коэффициент соотношения темпов роста издержек обращения и
темпов роста расходов на оплату труда; коэффициент соотношения темпов роста
чистой прибыли и темпов роста прочих выплат материального стимулирования труда.
Работодателю требуется информация для оперативного управления средствами,
направленными на материальное стимулирование труда работников, и их возможными
изменениями в случае принятия соответствующего управленческого решения в
последующие периоды деятельности. Поэтому для работодателя важны показатели
материального стимулирования труда, прямо или косвенно оказывающие влияние на
издержки организации, следовательно, и на конечный показатель деятельности
организации - прибыль.
В первую очередь необходимо осуществить расчет показателей,
характеризующих соотношение материального стимулирования труда и объема
производства организации (уровень расходов на оплату труда, уровень затрат на
рабочую силу, уровень затрат на обучение). Это позволит работодателю определить
долю соответствующих средств, направленных на материальное стимулирование труда
в основном результативном показателе деятельности организации - производстве
товаров. Затем целесообразно рассчитать сумму относительной экономии
(перерасхода) расходов на оплату труда. В случае перерасхода работодателю
необходимо разработать меры, направленные на увеличение производительности
труда и экономию расходов на оплату труда, что будет способствовать снижению
издержек обращения организации и увеличению прибыли от продаж. Об эффективности
материального стимулирования свидетельствуют также такие обобщающие показатели
эффективности использования средств, направленных на материальное стимулирование
труда работников, которые позволяют оценить соотношение стимулирования объема
производства продукции и прибыли организации. Важными показателями являются:
соотношение темпов роста объема производства продукции и темпов роста
материального стимулирования труда; соотношение темпов роста материального
стимулирования труда и темпов роста чистой прибыли; коэффициент соотношения
темпов роста расходов на оплату труда и темпов роста издержек обращения;
коэффициент соотношения темпов роста прочих выплат материального стимулирования
труда и чистой прибыли. Между величиной указанных показателей должны
соблюдаться определенные пропорции, т.е. результативные показатели должны
увеличиваться более быстрыми темпами, чем соответствующие расходы. Не менее
важным показателем является доля работников, прошедших обучение (повышение
квалификации), в общей численности работников организации. Чем выше данный
показатель, тем выше интеллектуальный потенциал работающих, что может привести
к росту производительности труда, и соответственно, к повышению эффективности
организации.
Таким образом, информационная база для принятия управленческих решений по
материальному стимулированию труда позволит работодателю рационально
использовать средства, направленные на материальное стимулирование труда
работников, а, следовательно, приведет к повышению эффективности деятельности
организации в целом.
Другую, не менее важную группу субъектов деятельности организации,
составляют его работники, заинтересованные в своевременной выплате заработной
платы, в ее достойном размере, соответствии размера заработной платы количеству
и качеству затраченного труда и т.п. Поэтому наиболее важными для работников
являются: среднегодовая заработная плата в целом на одного работника;
среднегодовые прочие выплаты материального стимулирования труда на одного
работника, которые должны быть направлены на выполнение основных функций -
воспроизводственной, стимулирующей, регулирующей и др. Росту производительности
труда способствует также профессиональное обучение персонала, поэтому
необходимо знать, каковы затраты на обучение работника.
Работники организации должны знать, каким образом их заработная плата и
ее изменение зависят от конечных результатов деятельности организации. Для них
будут значимы такие показатели, как соотношение темпов роста производительности
труда и темпов роста среднегодовой заработной платы, соотношение темпов роста
производительности труда и темпов роста прочих выплат материального
стимулирования труда на одного работника.
Заключительный этап предполагает обобщение результатов анализа системы
материального стимулирования труда, т.е. выявление слабых и сильных сторон
управления применяемой системой, и разработку рекомендаций по ее
совершенствованию и по применению современных систем. Таким образом, применение
данной методики позволит организациям качественно проводить оценку
материального стимулирования труда с учетом всех выплат, оценить эффективность
применяемых систем материального стимулирования труда работников и увеличить
степень заинтересованности работодателя в самом работнике. Основными формами
материального стимулирования труда являются заработная плата, премии и
надбавки, характеризующие оценку вклада конкретного работника в результаты
деятельности организации, и система внутрифирменных льгот (социальный пакет), к
которым относятся частичная оплата питания или проезда к месту работы.
Далее рассмотрим систему показателей к анализу материального
стимулирования работников организации, которая включает:
1. Доходность расходов на материальное стимулирование:

, (1.1)
где
Др - доходность расходов на материальное стимулирование, млн р.;
В - выручка от реализации продукции, товаров, работ, услуг, млн р.;
Рмст - расходы на материальное стимулирование труда, млн р.;
Рмст = ФЗП × (Н + 1),
(1.2)
где Н - коэффициент, характеризующий уровень налоговых и неналоговых
отчислений от фонда заработной платы;
ФЗП - фонд заработной платы, млн р.;
. Прибыльность расходов на материальное стимулирование труда:

, (1.3)
где
Пр - прибыльность расходов, млн р.;
Преал
- прибыль от реализации продукции, товаров, работ, услуг, млн р.;
Пч
- чистая прибыль, млн р.;
Рмст - расходы на материальное стимулирование труда, млн р.;
3. Удельный вес фонда заработной платы в расходах на материальное
стимулирование, %:
(1.4)
где уд. вес - удельный вес фонда заработной платы в расходах на
материальное стимулирование, %;
ФЗП - фонд заработной платы, млн р.;
Рмст - расходы на материальное стимулирование труда, млн р.
4. Удельный вес расходов на оплату труда, относимых на себестоимость, в
общей сумме издержек производства, %:

(1.5)
где
уд. вес - удельный вес расходов на оплату труда, относимых на себестоимость, в
общей сумме издержек производства, %;
ФЗПс-фонда заработной платы, относимый на себестоимость, млн р.;
. Удельный вес потребленной части прибыли в чистой прибыли:
(1.6)
где уд. вес - удельный вес потребленной части прибыли в чистой прибыли,
%;
Пчп - потребленная часть чистой прибыли (заработная плата, выплаченная за
счет прибыли; дивиденды; прочие формы потребления прибыли), млн р.;
Пч - чистая прибыль, млн р.
. Удельный вес выплат стимулирующего характера в чистой прибыли:
(1.7)
где уд. вес - удельный вес выплат стимулирующего характера в чистой
прибыли, %;
ФЗПп - заработная плата, выплачиваемая за счет прибыли, млн р.;
Пч - чистая прибыль, млн р.
. Соотношение темпов роста производительности труда и средней заработной
платы:
(1.8)
где Тр. - темп роста, %;
ПТ- темпы роста производительности труда, %;
ЗП - темпы роста средней заработной платы, %.
. Индекс стоимости заработной платы:
(1.9)
где

- индекс
стоимости заработной платы;
ΔПТ - темп прироста производительности труда;
ΔЗП - темп прироста средней заработной платы.
9. Удельный вес расходов на оплату труда, относимых на себестоимость, в
чистой продукции:
(1.10)
где уд. вес - удельный вес расходов на оплату труда, относимых на
себестоимость, в чистой продукции, %;
ЧП - чистая продукция, млн р.;
ФЗПс-фонд заработной платы, относимый на себестоимость, млн р.
10. Средние затраты по использованию рабочей силы:
(1.11)
где З - средние затраты по использованию рабочей силы, млн р.;
Рмст - расходы на материальное стимулирование труда, млн р.;
Ч - среднесписочная численность работников, чел.
. Уровень расходов на материальное стимулирование труда:
(1.12)
где ур.расх-уровень расходов на материальное стимулирование труда,%;
Рмст - расходы на материальное стимулирование труда, млн р.;
В-выручка от реализации продукции, товаров, работ, услуг, млн р.
. Доходность фонда заработной платы:
(1.13)
где
Дфзп - доходность фонда заработной платы, млн р.;
В-выручка
от реализации продукции, товаров, работ, услуг, млн р.
ФЗП
- фонд заработной платы, млн р.
.
Прибыльность фонда заработной платы:
(1.14)
где Пфзп - прибыльность фонда заработной платы, млн р.;
Преал - прибыль от реализации продукции, товаров, работ, услуг, млн р.;
ФЗП - фонд заработной платы, млн р.
. Коэффициент участия работников в прибыли:
(1.15)
где Куч - коэффициент участия работников в прибыли;
Пчп - потребленная часть чистой прибыли (заработная плата, выпла-ченная
за счет прибыли; прочие формы потребления прибыли), млн р.;
Пч - чистая прибыль, млн р.
. Уровень конкурентоспособности заработной платы, %:
(1.16)
где Ур.з/п - уровень конкурентоспособности заработной платы, %;
ЗП - средняя заработная плата работников, тыс. р.;
ЗПотр - средняя заработная плата по отраслям экономики (отрасли,
подотрасли), тыс. р.
. Экономия (перерасход) средств фонда заработной платы:
(1.17)
где ±Э(П) - экономия
(перерасход) средств фонда заработной платы, млн р.;
ФЗП(факт) - фактический фонд заработной платы, млн р.;
- индекс
среднегодовой заработной платы;
IПТ - индекс производительности труда.
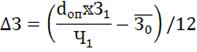
17. Изменение фонда заработной платы:
Δ ФЗП = ФЗП1 - ФЗП0, (1.18)
где Δ ФЗП - изменение фонда заработной платы, млн р.;
ФЗП - фонд заработной платы, млн р.;
. Изменение фонда заработной платы за счет уровень фонда заработной
платы:
(1.19)
где
Δ
ФЗП (У) - изменение фонда заработной
платы за счет уровень фонда заработной платы, млн р.;
У
- уровень фонда заработной платы, %;
В
- выручка от реализации продукции, товаров, работ, услуг, млн р.
.
Изменение фонда заработной платы за счет среднегодовой заработной платы:
Δ ФЗП (З) = (З1-З0) ×Ч1, (1.20)
где Δ ФЗП(З) - изменение фонда заработной платы за счет
среднегодовой заработной платы, млн р.; З - среднегодовая заработная плата,
тыс. р.; Ч - среднесписочная численность работников, чел..
20. Изменение фонда заработной платы за счет среднесписочной численности
работников:
Δ ФЗП (Ч) = (Ч1-Ч0)×З0, (1.21)
где Δ ФЗП(Ч) - изменение фонда заработной платы за счет
среднесписочной численности работников, млн р.;
Ч - среднесписочная численность работников, чел.;
З - среднегодовая заработная плата, тыс. руб.
21. Изменение прибыли от реализации продукции:
Δ П = П1-П0, (1.22)
где Δ П - изменение прибыли от реализации продукции, млн р.;
. Изменение прибыли от реализации продукции за счет фонда заработной
платы:
(1.23)
где Δ П (ФЗП) - изменение прибыли от реализации продукции за счет
фонда заработной платы, млн р.;
Р - рентабельность фонда заработной платы, %.
. Изменение прибыли от реализации продукции за счет рентабельности:
(1.24)
где Δ П(Р) - Изменение прибыли от реализации продукции за счет
рентабельности, млн р.;
ФЗП - фонда заработной платы, млн р.;
Р - рентабельность фонда заработной платы, %.
24. Уровень фонда заработной платы:
(1.25)
где Уфзп -уровень фонда заработной платы, %;
ФЗП - фонда заработной платы, млн р.;
В-выручка от реализации продукции, товаров, работ, услуг, млн р.
. Изменение выручки от реализации продукции:
Δ В = В1 - В0, (1.26)
где Δ В - изменение выручки от реализации продукции, товаров,
работ, услуг, млн р..
26. Изменение выручки от реализации продукции за счет фонда заработной
платы:
(1.27)
где

-
изменение выручки от реализации продукции за счет фонда заработной платы, млн
р.;
Вск
- скорректированный показатель;
В-выручка
от реализации продукции, товаров, работ, услуг, млн р.;
Уфзп
-уровень фонда заработной платы, %;
ФЗП
- фонда заработной платы, млн р..
27. Изменение выручки от реализации продукции за счет уровня фонда
заработной платы:
(1.28)
где ΔВ(Уфзп) - изменение выручки от реализации продукции за счет
уровня фонда заработной платы, млн р.;
В - выручка от реализации продукции, товаров, работ, услуг, млн р.;
Уфзп -уровень фонда заработной платы, %;
ФЗП - фонда заработной платы, млн р..
28. Прирост фонда заработной платы за счет изменения численности
работников:
ΔFТ = (Т1-Т0)×З0, (1.30)
где ΔFТ -
прирост фонда заработной платы за счет изменения численности работников, млн
р.;
Т- среднесписочная численность работников., чел.;
З - среднегодовая заработная плата, тыс. р..
. Прирост фонда заработной платы за счет изменения среднегодовой
заработной платы:
ΔFз = (З1-З0)×Т1 (1.31)
где ΔFз -
прирост фонда заработной платы за счет изменения среднегодовой заработной
платы, млн р.;
Т- среднесписочная численность работников., чел.;
З - среднегодовая заработная плата, тыс. р..
. Равенство между изменением численности работников и изменением
среднегодовой заработной платы:
ΔF = ΔFТ + ΔFз (1.32)
где ΔF -
равенство между изменением численности работников и изменением среднегодовой
заработной платы;
ΔFТ - изменением численности работников, чел.;
ΔFз - изменением среднегодовой заработной платы, тыс. руб.
31. Относительный прирост (сокращение) фонда заработной платы за счет
изменения численности работников и изменения среднегодовой заработной платы:
ΔIF(Т) = IТ-1; ΔIF(з) = IF-IТ, (1.33)
где ΔIF(Т)
- относительный прирост (сокращение) фонда заработной платы за счет изменения
численности работников, чел.;
ΔIF(з) - относительный прирост (сокращение) фонда заработной
платы за счет изменения среднегодовой заработной платы, тыс. руб.;
IТ -
индекс динамики среднесписочной численности работников;
IF -
индекс динамики фонда заработной платы.
. При однонаправленном действии каждого из факторов доля прироста фонда
заработной платы может быть определена следующим образом:
;
(1.34)
где dт - доля прироста фонда заработной
платы за счет изменения численности работников;
dз -
доля прироста фонда заработной платы за счет изменения среднегодовой заработной
платы;
IТ -
индекс динамики среднесписочной численности работников;
IF -
индекс динамики фонда заработной платы.
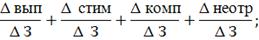
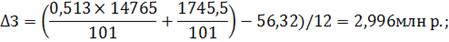
33. Аддитивная модель средней заработной платы:
(1.35)
где
Fвып - выплаты за выполненную работу, млн р.;
Fстим - выплаты
стимулирующего характера, млн р.;
Fком- выплаты
компенсирующего характера, млн р.;
Fнеотр - выплаты
за неотработанное, млн р.;
Fдр.в - другие
выплаты, млн р.;

-
средняя заработная плата одного работника, тыс. р.;

-
средняя заработная плата за фактически выполненную работу, тыс. р.;

-
средний размер выплат стимулирующего характера, млн р.;

-
средний размер выплат компенсирующего характера, млн р.;

-
средний размер выплат за неотработанное время, млн р.;

-
средний размер других выплат, млн р..
.
Мультипликативная модель средней заработной платы:
(1.36)
где
Fвып - выплаты за выполненную работу, млн р.;
Fстим - выплаты
стимулирующего характера, млн р.;
Fнеот - выплаты
за неотработанное время, млн р.;
Fком - выплаты
компенсирующего характера, млн р.;
Fнеотр - выплаты
за неотработанное время, млн р.;

- средняя
заработная плата одного работника, тыс. р.
.
Аддитивная индексная модель:
(1.37)
где Δвып - доля выплат за выполненную работу в общем приросте
средней заработной плате;
Δстим - доля выплат стимулирующего
характера в общем приросте средней заработной плате;
Δкомп - доля выплат компенсирующего
характера в общем приросте средней заработной плате;
Δнеотр - доля выплат за неотработанное
время в общем приросте средней заработной плате;
ΔЗ - средняя заработная плата, тыс. р.
36. Темп роста средней заработной платы за счет каждого элемента:
(1.38)
где З0 - средняя заработная плата в базисном периоде, тыс. р.;
ΔЗ - прирост средней заработной платы;
Δвып - темп роста средней заработной
платы за счет выплат за выполненную работу, %;
Δстим - темп роста средней заработной
платы за счет выплат стимулирующего характера, %;
Δкомп - темп роста средней заработной
платы за счет выплат компенсирующего характера, %;
Δнеотр - темп роста средней заработной
платы за счет неотработанного времени, %;
Δкомп - доля выплат компенсирующего
характера в общем приросте средней заработной плате;
Δнеотр - доля выплат за неотработанное
время в общем приросте средней заработной плате за неотработанное время.
. Изменение заработной платы в абсолютном выражении за счет каждого
элемента:
(1.39)
где З - средняя заработная плата в базисном периоде, тыс. р.;
Fвып -
выплаты за выполненную работу, млн р.;
Fстим
- выплаты стимулирующего характера, млн р.;
Fнеот
- выплаты за неотработанное время, млн р.;
Fком -
выплаты компенсирующего характера, млн р..
Таким образом, подводя итог изложенному в первой главе, необходимо
отметить, что материальное стимулирование является важнейшим видом
стимулирования труда, призванным играть ведущую роль в повышении трудовой активности
работников, состоящим из материально-денежного и материально-неденежного. Обзор
научной литературы позволяет сделать вывод, что на сегодняшний день не
существует единой методики оценки эффективности материального стимулирования
труда работников.
Современные условия деятельности организаций делают предпочтительным для
оценки эффективности стимулирования труда работников, использование
воспроизводственного, синергетического и компетентностного подходов. Их
применение позволит организациям качественно проводить оценку материального
стимулирования труда с учетом всех выплат, оценить эффективность применяемых
систем материального стимулирования труда работников и увеличить степень
заинтересованности работодателя в самом работнике.
2. Исследование материального стимулирования работников ЗАО
«ЭЛГА»
.1 Социально - экономическая характеристика деятельности ЗАО
«ЭЛГА»
Предприятие ЗАО «ЭЛГА» - современное производство, принцип работы
которого - оперативность и качество. В настоящее время ЗАО «ЭЛГА» является производителем
гидроаппаратуры, гидростанций, пневмораспределителей.
Предприятие имеет в своем составе конструкторское бюро, в котором
работают высококвалифицированные конструкторы, имеющие большой опыт в области
конструирования и разработки гидроаппаратуры.
В настоящее время в ЗАО «ЭЛГА» разработано более 3500 типоразмеров
различной гидроаппаратуры.
Предприятие располагает собственным технологическим оборудованием,
оснащенным необходимым инструментом и оснасткой, способное изготавливать детали
высокой степени точности по полному технологическому циклу. Квалификация
основных рабочих, как станочников, так и сборщиков, позволяет производить
гидроаппаратуру высокой степени надежности и качества.
Начало производственной деятельности предприятия приходится на 1989 год.
Основными тактическими принципами, лежащими в основе деятельности ЗАО
«ЭЛГА», является: постоянное расширение номенклатуры предлагаемой продукции,
непрерывное обновление конструкции изделий, поиск новых технологий и
материалов, позволяющих повысить качество и надёжность изделий, увеличить их
выпуск.
Совершено необходимой мерой является также тесное взаимодействие с
ведущими специалистами предприятий-потребителей, что позволяет оперативно и в
полной мере удовлетворять требования, предъявляемые к гидрооборудованию.
Постоянное увеличение доли экспортной продукции является подтверждением
потребительских качеств предлагаемых изделий.
Виды деятельности ЗАО «ЭЛГА»: производство общемашинострои-тельных узлов
и деталей; неспециализированная оптовая торговля непродовольственными товарами;
деятельность автомобильного грузового транспорта; деятельность по обеспечению
пожарной безопасности.
За весь период своей деятельности начиная с 2000 года предприятие
участвует в конкурсе «лучший предприниматель» и является неоднократным лауреатом
и победителем: «лучший предприниматель 2005 г. города Гомеля» в номинациях
«лучший предприниматель в сфере производства товаров промышленного назначения»,
«лучший предприниматель - организатор новых рабочих мест» и «лучший
предприниматель - экспортер».
Победитель конкурсов: «лучший предприниматель в 2003-2007 гг. города
Гомеля» в номинациях «лучший предприниматель в сфере производства товаров
промышленного назначения» и «лучший предприниматель - экспортер». Кроме того,
по итогам работы за 2004 и 2006 годы, предприятие является лауреатом
Республиканского конкурса.
Имеет диплом Гомельского отделения Белорусской торгово-промышленной
палаты за успехи в области развития новых технологий по итогам работы за 2003
год.
Занесение на Доску почета Гомельской области является подтверждением
достижений коллектива и правильности выбранной стратегии организации и развития
производства.
В настоящее время ЗАО «ЭЛГА» широко известно потребителям гидравлики, как
в Республику Беларусь, так и за ее пределами - в первую очередь в Российскую
Федерацию.
Свою продукцию ЗАО «ЭЛГА» поставляет предприятиям как Минский
автомобильный завод, Минский тракторный завод, Пинский завод средств малой
механизации, Смолевичское предприятие «Дорэлектромаш» и др., а также многим предприятиям
Российской Федерации, в числе которых Клинцовский автотракторный завод,
Донецкий машиностроительный завод, Брянский завод «Арсенал», Смоленский завод
комплексных дорожных машин и др.
Особое место в деятельности ЗАО «ЭЛГА» занимает участок по ремонту
гидравлических систем мобильной и стационарной техники. Комплекс услуг по
ремонту включает в себя различные виды работ- от простой диагностики до
капитального ремонта, а при необходимости и модернизации гидроэлементов,
вышедших из строя.
Наличие лицензии на право осуществления деятельности по обеспечению
пожарной безопасности позволяет ЗАО «ЭЛГА» осуществлять ремонт (модернизацию)
гидросистем техники, эксплуатируемой МЧС, такой как автогидроподъемники,
практически любой категории сложности.
Уровень устойчивого развития организаций ЗАО «ЭЛГА» находится в
непосредственной зависимости от влияния факторов внешней и внутренней среды.
Перечень потребителей продукции ЗАО «ЭЛГА» и ориентировочные суммы
заказов в месяц представлены в таблице 2.1.
Таблица 2.1 - Перечень потребителей продукции ЗАО «ЭЛГА» и
ориентировочные суммы заказов в месяц
|
№ п/п
|
Потребители
|
Суммы заказов, млн р.
|
|
|
Республика Беларусь
|
|
1
|
РУП «МАЗ» филиал
«Могилевтаснмаш»
|
600
|
|
2
|
ОАО «Белдортехника»
г.Смолевичи
|
70
|
|
3
|
СООО «Дорэлектромаш» г.
Смолевичи
|
70
|
|
4
|
Филиал ОМЗ г.Фаниполь
|
95
|
|
5
|
ОАО «Бобруйскагромаш»
|
120
|
|
Итого:
|
955
|
|
Российская Федерация
|
|
1
|
ОАО «Брянский Арсенал» г.
Брянск
|
1400
|
|
2
|
ОАО «ТоМеЗ» г. Тосно
|
1240
|
|
3
|
ОАО «Лесхозмаш» г. Великие
Луки»
|
237
|
|
4
|
ЗАО «ВЗПМ» г. Пермь
|
100
|
|
Итого:
|
2977
|
Примечание - Источник: собственная разработка на основе бизнес - плана.
Конкуренты ЗАО «ЭЛГА» представлены в таблице 2.2:
Таблица 2.2 - Предприятия - конкуренты ЗАО «ЭЛГА»
|
№ п/п
|
Предприятия
|
Страна
|
|
1
|
2
|
3
|
|
1
|
РУП «ГСКТБ ГА» с опытным
производством г.Гомель
|
Республика Беларусь
|
|
2
|
Ульяновское АО
«Гидроаппарат»
|
Российская Федерация
|
|
3
|
Гаврилоямовский завод
«АГАТ»
|
Российская Федерация
|
|
4
|
Одесский завод
«Стройгидравлика»
|
Украина
|
|
5
|
Харьковский завод
«Гидропривод»
|
Украина
|
|
6
|
Санкт-Петербургский
«Гидропривод»
|
Российская Федерация
|
|
7
|
Гомельский завод
«Гидропривод»
|
Республика Беларусь
|
|
8
|
Шахтинский завод
«Гидропривод»
|
Российская Федерация
|
|
9
|
ГРЗГ АООТ Гидравлики
«Гидропривод»г. Грязи
|
Российская Федерация
|
|
10
|
Фирма по производству
гидравлики «Салами»
|
Италия
|
|
11
|
Фирма по производству
гидравлики «Brivini»
|
Италия
|
|
12
|
Фирма по производству
гидравлики «Atos»
|
Италия
|
|
13
|
Фирма по производству
гидравлики «Bosch-Rexrotn»
|
Германия
|
|
14
|
Фирма по производству
гидравлики «Hoerbiger»
|
Германия
|
|
15
|
Фирма по производству
гидравлики «Ermeto»
|
Германия
|
Примечание - Источник: собственная разработка на основе бизнес - плана.
ЗАО «ЭЛГА» успешно конкурирует с вышеперечисленными предприятиями,
поскольку выполняет любые объемы заказов, даже единичные заказы. Вторым
существенным фактором конкурентоспособности является быстрота и качество
выполнения работ.
Если внутренний рынок ЗАО «ЭЛГА» практически завоевала, то на внешнем
рынке ниша этого предприятия довольно незначительная. Основная причина -
наличие устойчивых связей предприятий-потребителей гидроаппаратуры со своими
отечественными производителями гидроаппаратуры. И основной фактор
конкурентоспособности продукции предприятия на внешнем рынке - высокое качество
поставляемой ЗАО «ЭЛГА» продукции и быстрые сроки выполнения заказа.
Управление предприятием осуществляется в соответствии с действующим
законодательством Республики Беларусь и Уставом Общества на основе сочетания
прав и интересов трудового коллектива и собственника имущества. Органами
управления предприятием являются: общее собрание участников общества; директор
предприятия. Полномочия управляющих органом определены Уставом предприятия.
Исполнительным органом управления является директор предприятия.
Руководством общества определена структура управление предприятием,
обеспечивающая нормальное его функционирование. Имеющийся состав аппарата
управления обладает необходимыми знаниями и практическим опытом, обеспечивающим
хозяйственную деятельность ЗАО «ЭЛГА». Состав работников в разрезе должностей
представлена в приложении М.
Таблица 2.3 - Показатели экономической эффективности
деятельности организации ЗАО «ЭЛГА» за 2011 - 2013 гг.
|
Показатель
|
Годы
|
Отклонение, (+/ -)
|
Темп роста, %
|
|
2012
|
2013
|
2014
|
2013 г. от 2012 г.
|
2014 г. от 2013г.
|
2014 г. от 2012 г.
|
2013 г. к 2012 г.
|
2014 г. к 2013 г.
|
2014 г. к 2012 г.
|
|
1
|
2
|
3
|
4
|
5
|
6
|
7
|
8
|
9
|
10
|
|
1.Объем производства
продукции (работ, услуг) в текущих ценах за вычетом начисленных налогов и
сборов из выручки, млн р.
|
12366
|
15095
|
15099
|
2729
|
+2733
|
122,1
|
100,0
|
122,1
|
|
2.Выручка от реализации
продукции, товаров, работ, услуг, млн р.
|
12033
|
15120
|
14744
|
3087
|
-376
|
2711
|
125,6
|
97,5
|
122,5
|
|
3. Прибыль (убыток) от
реализации, млн р.
|
-1045
|
-899
|
829
|
146
|
1728
|
1874
|
-
|
-
|
-
|
|
4.Себестоимость
реализованной продукции, товаров, работ, услуг, млн р.
|
11526
|
13775
|
12675
|
2249
|
1100
|
-1149
|
119,5
|
92,0
|
109,9
|
|
5. Среднегодовая стоимость
основных средств, млн р.
|
2681
|
3421
|
3304
|
740
|
-117
|
623
|
127,6
|
96,5
|
175,5
|
|
6. Среднегодовая стоимость
оборотных средств, млн р.
|
2887,0
|
5371,5
|
4730,5
|
2484,5
|
-641
|
1843,5
|
186,0
|
88,0
|
163,8
|
|
7. Среднесписочная
численность работников, чел.
|
124
|
111
|
101
|
-13
|
-10
|
-23
|
89,51
|
90,99
|
81,45
|
|
8. Фонд заработной платы,
млн р.
|
5455,6
|
6740,9
|
5619,6
|
1285,3
|
-1121,3
|
164
|
123,5
|
83,3
|
103,0
|
|
9.Среднегодовая зарплата
одного работника, млн р.
|
43,99
|
6,72
|
55,63
|
16,73
|
-5,09
|
11,64
|
138,0
|
91,6
|
126,4
|
|
10.Производительность
труда, млн р.
|
99,72
|
135,99
|
149,49
|
36,27
|
13,5
|
49,77
|
136,3
|
109,9
|
149,9
|
|
11. Фондоотдача, р.
|
4,612
|
4,412
|
4,569
|
-0,2
|
0,517
|
-0,043
|
95,6
|
103,5
|
99,0
|
|
12. Фондоемкость, р.
|
0,216
|
0,226
|
0,218
|
0,01
|
-0,008
|
0,002
|
104,6
|
96,4
|
100,9
|
|
13.Фондовооруженность
труда, млн р.
|
21,62
|
30,81
|
32,71
|
9,19
|
1,9
|
11,09
|
142,50
|
106,16
|
151,29
|
|
14.Фондорентабель-ность, %
|
-27,32
|
-26,27
|
25,09
|
1,05
|
51,36
|
53,41
|
-
|
-
|
-
|
|
15.Рентабельность
(убыточность) оборотных средств, млн р.
|
-0,36
|
-0,16
|
0,17
|
0,19
|
0,34
|
0,53
|
-
|
-
|
-
|
|
16.Рентабельность
(убыточность) фонда заработной платы, млн р.
|
-0,19
|
-0,13
|
0,14
|
0,05
|
0,28
|
0,33
|
-
|
-
|
-
|
|
17.Рентабельность
(убыточность) продаж, млн р.
|
-0,08
|
-0,05
|
0,05
|
0,02
|
0,11
|
0,14
|
-
|
-
|
-
|
|
18.Рентабельность
(убыточность) затрат, млн р.
|
-0,090
|
0,065
|
-0,065
|
-0,025
|
-
|
-0,025
|
-
|
-
|
-
|
|
|
|
|
|
|
|
|
|
|
|
Примечание - Источник: собственная разработка на основе приложений А, Б,
В, Г, Д, Е, Ж, И, К, Л, М, Н.
В 2013 г. по сравнению с 2012 г. объем выпуска продукции в ЗАО «ЭЛГА»
увеличился на 22,06 % или на 2729 млн р., а в 2014 г. по сравнению с 2013 г.
увеличился на 0,02 % или на 4 миллиона рублей, в 2014 г. по сравнению с 2012 г.
объем выпуска продукции увеличился на 22,10% или на 2733 млн р.. Среднегодовая
стоимость основных средств в 2013 г. по сравнению с 2012 г. увеличилась на 27,60%
или на 740 млн р., в 2014 г. по сравнению с 2013 г. снизилась на 3,43% или на
117 млн р., а в 2014 г. по сравнению с 2012 г. она увеличилась на 75,76% или на
623 млн р.. Прибыль от реализации продукции в 2014 г. составила 829 млн р., а в
2013 г. убыток составил 899 млн р.. Фондоотдача в 2013 г. по сравнению с 2012
г. снизилась на 4,34% или на 0,2 рублей, в 2014 г. по сравнению с 2013 г.
фондоотдача увеличилась на 3,55% или на 0,157 рублей, а в 2014 г. по сравнению
с 2012 г. она снизилась на 0,94% или на 0,043 рублей.
Фондоемкость в 2013 г. по сравнению с 2012 г. увеличилась на 4,62% или на
0,01 рублей, а в 2014 г. по сравнению с 2013 г. она снизилась на 3,54% или на
0,008 рублей, в 2014 г. по сравнению с 2012 г. фондоемкость увеличилась на
0,92% или на 0,002 рублей. Фондорентабельность в 2013 г. по сравнению с 2012 г.
увеличилась на 1,05 п.п., а в 2014 г. по сравнению с 2013 г. увеличилась на
51,36 п.п., в 2014 г. по сравнению с 2012 г. фондорентабельность увеличилась на
53,41 п.п. Фондовооруженность в 2013 г.по сравнению с 2012 г. увеличилась на
42,50% или на 9,19 млн р., в 2014 г. по сравнению с 2013 г. она также
увеличилась на 6,16% или на 1,9 млн р., а в 2014 г. по сравнению с 2012 г.
увеличилась на 51,29% или на 11,09 млн р..
Среднегодовая заработная плата на одного работника в 2013 г. по сравнению
с 2012г. увеличилась на 38,03% или на 16,73 млн р., в 2014 г. по сравнению с
2013 г. снизилась на 8,39% или на 5,09 млн р., а в 2014 г. по сравнению с 2012
г. она увеличилась на 26,46% или на 11,64 млн р..
Среднесписочная численность работников в 2013 г. по сравнению с 2012 г.
сократилась на 10,49 % или на 13 человек, а в 2014 г. по сравнению с 2013 г.
сократилась на 9,01% или на 10 человек.
ЗАО «ЭЛГА» обеспечено высококвалифицированными кадрами для решения поставленных
задач. Их численность и структура представлены в таблице 2.4, составленной на
основании отчета о численности, составе и профессиональном обучении кадров
(форма № 6-т (кадры)).
Таблица 2.4 - Состав работников ЗАО «ЭЛГА» по категориям за
2012 г. и 2014 г.
|
Категории работников
|
Годы
|
Отклонение, (+/-)
|
|
2012
|
2014
|
чел.
|
по удельному весу, п.п.
|
|
чел.
|
уд. вес, %
|
чел.
|
уд. вес, %
|
2014 г. от 2012 г.
|
2014 г. от 2012 г.
|
|
Всего
|
122
|
100,00
|
105
|
100,00
|
-17
|
-
|
|
Рабочие
|
79
|
64,75
|
69
|
65,71
|
-10
|
0,96
|
|
Специалисты
|
27
|
22,13
|
24
|
22,85
|
-3
|
0,72
|
|
Руководители
|
16
|
13,11
|
12
|
11,42
|
-4
|
-1,69
|
Примечание - Источник: собственная разработка на основе приложений О, П.
На основании данных таблицы 2.4 можно сказать, что в 2014 г. по сравнению
с 2012 г. численность работников всего снизилась на 17 человек. Численность
рабочих в 2014 г. по сравнению с 2012 г. снизилась на 10 человек, по удельному
весу численность увеличилась на 0,96 п.п.
Численность руководителей в 2014 г. по сравнению с 2012 г. снизилась по
удельному весу на 1,69 п.п. или на 4 человека. Численность специалистов в 2014
г. по сравнению с 2012 г. увеличилась по удельному весу на 0,72 п.п.
Средний возраст работников ЗАО «ЭЛГА» в 2014 г. составил 48,7 лет.
В 2014 г. коэффициент по приему составил 17,43%, а в 2013 г 11,9%. Численность
уволенных в 2014 г. составило 24,77%, а в 2013 г. 19,6 %. Коэффициент текучести
> 1 (в 2014 г. - 4,58%, в 2013 г. - 3,4%), что означает отсутствие мотивации
у работников.
Таблица 2.5 - Состав работников ЗАО «ЭЛГА» по уровню
образования за 2012г2012 г. и 2014 г.
|
Показатели
|
Годы
|
Отклонение, (+/-)
|
|
|
чел.
|
по удельному весу, п.п.
|
|
2012
|
2014
|
2014 г. от 2012 г.
|
2014 г. от 2012 г.
|
|
чел.
|
уд. вес, %
|
чел.
|
уд. вес, %
|
|
|
|
1
|
2
|
3
|
4
|
5
|
6
|
7
|
|
Среднесписочная численность
работников, чел.
|
122
|
100,00
|
105
|
100,00
|
-17
|
0,00
|
|
в т.ч имеют образование:
высшее
|
37
|
30,32
|
33
|
31,42
|
-4
|
+1,1
|
|
в т.ч имеют образование:
высшее
|
37
|
30,32
|
33
|
31,42
|
-4
|
+1,1
|
|
среднее специальное
|
25
|
20,49
|
20
|
19,04
|
-5
|
-1,45
|
|
профессионально -
техническое
|
25
|
20,49
|
22
|
20,95
|
-3
|
+0,46
|
|
общее среднее
|
35
|
28,68
|
30
|
28,57
|
-5
|
-0,11
|
Примечание - Источник: собственная разработка на основе приложения И.
В 2014 г. по сравнению с 2012 г. среднесписочная численность работников
снизилась на 17 человек. Численность работников которые имеют высшее
образование в 2014 г. по сравнению с 2012 г. снизилась на 4 человека, их
удельный вес увеличился на 1,1 п.п. Численность работников которые имеют
среднее специальное образование в 2014 г. по сравнению с 2012 г. снизилась на 5
человек, их удельный вес снизился на 1,45 п.п. Численность работников которые
имеют профессионально-техническое образование в 2014 г. по сравнению с 2012 г.
снизилась на 3 человека, удельный вес этих работников увеличился на 0,46 п.п.
Численность работников в 2014 г. по сравнению с 2012 г. которые имеют общее среднее
образование снизилась на 5 человек, их удельный вес снизился на 0,11 п.п.
Рассмотрим показатели ликвидности и финансовой устойчивости ЗАО «ЭЛГА» за
2012-2014 гг.
Таблица 2.6 - Показатели ликвидности и финансовой
устойчивости ЗАО «ЭЛГА» за 2012-2014 гг.
|
Показатель
|
На начало года
|
Нормативное значение
показателей
|
|
2012
|
2013
|
2014
|
|
|
1
|
2
|
3
|
4
|
5
|
|
1. Денежные средства и их
эквиваленты (строка 270 актива бухгалтерского баланса)
|
1031
|
53
|
62
|
-
|
|
2. Финансовые вложения
(строка 260 актива бухгалтерского баланса)
|
-
|
-
|
-
|
-
|
|
3. Краткосрочные
обязательства (итог раздела V пассива бухгалтерского баланса)
|
7284
|
4762
|
6452
|
-
|
|
4. Резервы предстоящих
расходов (строка 660 пассива бухгалтерского баланса)
|
-
|
-
|
-
|
-
|
|
5. Краткосрочная
дебиторская задолженность (строка 250 актива бухгалтерского баланса)
|
475
|
512
|
437
|
-
|
|
6.Собственный капитал. Итог
по разделу III (строка 490 пассива бухгалтерского баланса )
|
2237
|
1173
|
1213
|
-
|
|
7.Краткосрочные активы.
Итог по разделу II (строка 290 актива бухгалтерского баланса)
|
3167
|
3800
|
437
|
-
|
|
8.Коэффициенты ликвидности:
|
|
|
|
|
|
абсолютной
|
0,020
|
0,141
|
0,007
|
>0,2-0,5
|
|
промежуточной
|
0,122
|
0,206
|
0,076
|
|
текущей
|
0,860
|
0,821
|
0,644
|
>2
|
|
9. Коэффициенты финансовой
устойчивости:
|
|
|
|
|
|
автономии
|
0,281
|
0,203
|
0,137
|
³0,5
|
|
финансовой независимости
|
0,307
|
0,137
|
0,158
|
0,5
|
|
финансовой зависимости
|
0,765
|
0,862
|
0,841
|
£1
|
|
обеспеченности собственными
оборотными средствами
|
0,455
|
0,311
|
0,246
|
0,3
|
|
финансовой устойчивости
|
0,307
|
0,158
|
0,188
|
>0,6-0,8
|
|
соотношения основных
средств и материальных оборотных активов
|
0,529
|
0,797
|
0,631
|
³0,5
|
Примечание - Источник: собственная разработка на основе приложения А.
Коэффициент абсолютной ликвидности не превышает нормативных значений 0,2
и 0,5 соответственно, это значит, что предприятие не имеет возможность
рассчитываться по своим краткосрочным обязательствам за счет денежных средств,
финансовых вложений и краткосрочной дебиторской задолженности. Коэффициент
финансовой независимости менее 0,5, это означает, что функционирование
организации зависит от заемных средств.
Сделаем обобщающий вывод, выручка от реализации продукции в 2014 г. по
сравнению с 2013 г. снизилась на 2,49% или на 376 млн р.. Среднегодовая
заработная плата снизилась на 8,39%; фонд заработной платы также снизился на
16,64%. Но не смотря на сложную экономическую ситуацию, прибыль от реализации
продукции, товаров, работ, услуг в 2014 г. составила 829 млн р. (в 2013 г.
убыток составил 899 млн р.). Коэффициент текущей ликвидности ниже нормативного
значения, показывает, что у предприятия недостаточно средств, которые могут
быть использованы для погашения краткосрочных обязательств.
Заключительным этапом анализа финансового состояния
является разработка мероприятий по улучшению финансового состояния организации.
К таким мероприятиям следует отнести: восстановление собственных оборотных
средств; сдача в аренду неиспользованных основных средств организации, что
может обеспечить увеличение доходов; продажи части основных средств.
2.2 Анализ формирования и эффективности использования
средств, направляемых на материальное стимулирование работников ЗАО «ЭЛГА»
Важнейшим элементом материального стимулирования работников является
организация заработной платы. Организация заработной платы на предприятии ЗАО
«ЭЛГА» регулируется положение об организации заработной платы, которое
представлено в приложении Л.
Положение об организации заработной платы в ЗАО «ЭЛГА» регулирует вопросы
применения систем оплаты труда и распространяется на административно
управленческий персонал, специалистов, основных и вспомогательных рабочих и
младший обслуживающий персонал.
Положение имеет цель повышение мотивации к труду работников предприятия,
обеспечение материальной заинтересованности работников в улучшении качественных
и количественных результатов труда: выполнении своих должностных обязанностей в
установленные сроки с высоким качеством, выполнении плановых заданий, снижении
затрат на производство единицы продукции (работ, услуг), совершенствовании
технологических процессов, творческом и ответственном отношении к труду,
проявлении инициативы, дисциплинированности, ответственности работников.
Положение об организации заработной платы разработаю в соответствии с
действующим Трудовым Кодексом Республики Беларусь, Уставом, внутренними
документами организации и иными правовыми актами, регулирующими оплату труда.
Оно состоит из 12 разделов:
1. Общие положения. Положение регулирует вопросы применения систем оплаты
труда и распространяется на административно управленческий персонал,
специалистов, основных и вспомогательных рабочих и младший обслуживающий
персонал.
. Организация заработной платы. Здесь рассматриваются принципы
организации заработной платы. Как формируется штатное расписание. Какие
рассчитываются повышения к тарифным ставкам (должностным окладам). Какие
системы оплаты труда применяются и как они рассчитываются. Рассмотрены и
описаны какие виды надбавок и доплат установлены на предприятии.
. Оплата труда при простое, невыполнении норм выработки, браке. Указано,
как производится оплата труда при простое, невыполнении норм выработки, браке.
. Оплата труда за работу в сверхурочное время, в государственные
праздники, праздничные и выходные дни. Указана какая оплата труда предусмотрена
за работу в сверхурочное время, работа в государственные праздники и
праздничные дни.
. Формы и системы оплаты труда основных производственных рабочих.
Рассматривается какая форма и система оплаты труда применяется для основных
производственных рабочих; показатели определения КТУ; основные показатели к
начислению дополнительной заработной платы основным производственным рабочим.
6. Формы и системы оплаты труда основных производственных рабочих и
специалистов участка по ремонту и обслуживанию гидроаппаратуры на станочной и
мобильной технике. Рассмотрены какие формы и системы оплаты труда применяются
для основных производственных рабочих и специалистов участка по ремонту и
обслуживанию гидроаппаратуры на станочной и мобильной технике.
. Формы и системы оплаты труда вспомогательных рабочих и специалистов
энерго-механического участка (ЭМУ), и специалистов бюро управления качеством
(БУК). Рассмотрены какие формы и системы оплаты труда применяются для
вспомогательных рабочих и специалистов энерго-механического участка (ЭМУ), и
специалистов бюро управления качеством (БУК).
. Организация заработной платы административно-управленческого персонала
и специалистов. Рассмотрено, как производится оплата труда
административно-управленческого персонала и специалистов.
. Организация заработной платы младшего обслуживающего персонала (МОП).
Указано, как производится оплата труда младшего обслуживающего персонала.
. Премирование работников. Дано определение премии; указаны основные
показатели премирования; как производится премирование
административно-управленческого персонала; на какой основе осуществляется
премирование; как производится выплата премии, если работник, проработавший
неполный месяц в связи с призывом в Армию, переводом на другую работу, и по
другим уважительным причинам.
11. Индексация заработной платы. Указано в каком случае производится
индексация заработной платы. Рассмотрено, в каком случае производится индексация
заработной платы и, что является основание для индексационных выплат.
. Порядок выплаты заработной платы. Рассматривается сколько раз
производится выплата заработной платы; в какой форме производятся выплаты.
Рассмотрим состав и структуру фонда заработной платы работников ЗАО
«ЭЛГА».
Таблица 2.7 - Состав и структура фонда заработной платы
работников ЗАО «ЭЛГА» за 2012 г. и 2014 г.
|
Показатели
|
Годы
|
Отклонение, (+/-)
|
|
2012
|
2014
|
по сумме, млн р.
|
по удельному весу, п.п.
|
|
сумма, млн р
|
уд. вес, %
|
сумма, млн р.
|
уд. вес, %
|
2014 г. от 2012 г.
|
2014 г. от 2012 г.
|
|
1
|
2
|
3
|
4
|
5
|
6
|
7
|
|
1.Заработная плата,
начисленная работникам по тарифным ставкам (окладам), сдельным расценкам с
учетом повышений, предусмотренных законодательством Республики Беларусь; в
процентах от выручки, в долях от прибыли, млн р.
|
4599,3
|
84,30
|
4864,6
|
86,56
|
256,3
|
2,26
|
|
2. Выплаты стимулирующего
характера, млн р.
|
597,1
|
10,94
|
209,5
|
3,72
|
-387,6
|
-7,22
|
|
3. Выплаты компенсирующего
характера, млн р.
|
25,3
|
0,46
|
99,3
|
1,76
|
74
|
1
|
|
4. Оплата за неотработанное
время, млн р.
|
379,4
|
6,95
|
515,1
|
9,16
|
135,7
|
2,21
|
|
5.Фонд заработной платы,
млн р.
|
5455,6
|
100,00
|
5619,6
|
100,00
|
+164
|
0,00
|
Примечание - Источник: собственная разработка на основе приложения Л, Н,
О, П.
В 2014 г. по сравнению с 2012 г. заработная плата, начисленная работникам
по тарифным ставкам (окладам), сдельным расценкам с учетом повышений
увеличилась на 253,6 млн р., их удельный вес снизился на 2,26 п.п. Выплаты
стимулирующего характера в 2014 г. по сравнению с 2012 г. увеличились на 387,6
млн р., их удельный вес снизился на 7,22 п.п. Выплаты компенсирующего характера
в 2014 г. по сравнению с 2012 г. увеличились на 74 млн р., их удельный вес
увеличился на 1 п.п. Оплата за неотработанное время в 2014 г. по сравнению с
2012 г. увеличилась на 135,7 млн р., их удельный вес увеличился на 2,21 п.п.
Расходы на профессиональное обучение в 2014 г. по сравнению с 2012 г. снизились
на 35,8 млн р., их удельный вес также снизился на 0,66 п.п.
Рисунок 2.1 - Структура фонда заработной платы ЗАО «ЭЛГА» за
2012 г. и 2014 г., %.
Примечание - Источник: собственная разработка на основании таблицы 2.1
Проведем сравнительный анализ динамики средней заработной платы и производительности труда
ЗАО «ЭЛГА» за 2012-2014 гг.
Таблица 2.8 - Сравнительный анализ динамики средней
заработной платы и производительности труда ЗАО «ЭЛГА» за 2012-2014 гг.
|
Показатели
|
Годы
|
Темп роста, %
|
|
2012
|
2013
|
2014
|
2013 г. К 2012 г.
|
2014 г. К 2013 г.
|
2014 г. к 2012 г.
|
|
1. Выручка от реализации
товаров, продукции, работ, услуг, млн р.
|
12366
|
15095
|
15099
|
125,65
|
97,51
|
122,52
|
|
2.Фонд заработной платы,
млн р.
|
5455,6
|
6740,9
|
5619,6
|
123,55
|
83,36
|
103,00
|
|
3. Среднесписочная
численность работников, чел.
|
124
|
111
|
101
|
89,51
|
90,99
|
81,45
|
|
4.Производительность труда,
млн р.
|
99,72
|
135,99
|
149,49
|
136,37
|
109,92
|
149,90
|
|
5.Среднегодовая заработная
плата, млн р.
|
43,99
|
60,72
|
55,63
|
138,03
|
91,61
|
126,46
|
|
6. Коэффициент соотношения
темпов роста производитель-ности труда и средней заработной платы
|
-
|
-
|
-
|
0,985
|
1,197
|
1,182
|
Примечание - Источник: собственная разработка на основе приложений Б, Г.
Производительность труда в 2014 г. по сравнению с 2013 г. увеличилась на
9,92%. Среднегодовая заработная плата на одного работника в 2014 г. по
сравнению с 2013 г. увеличилась на 54,89% или на 15,59 млн р., в 2013 г. по
сравнению с 2012 г. снизилась на 8,39%. Коэффициент соотношения темпов роста
производительности труда и средней заработной платы в 2014 г. по сравнению с
2013 г. составил 1,19.
В том случае, если наблюдается нарушение соотношения между темпами изменения
производительности труда и средней заработной платы, необходимо рассчитать
экономию (перерасход) средств фонда заработной платы в результате соблюдения
(нарушения) указанного соотношения по формуле (1.17):
2013 г. к 2012 г. = 6740,9×((1,38 - 1,36) / 1,38)) = +67409 млн
р.;
г. к 2013 г. = 5619,6×((0,91 - 1,09) / 0,91)) = -1067,72
млн р.;
г. к 2012 г. = 5619,6×((1,26 - 1,49) / 1,26)) = -1065,52
млн р.
В 2013 г. по сравнению с 2012 г. фонд заработной платы составил 67409 млн
р., что является неэффективным использованием фонда заработной платы. В 2014 г.
по сравнению с 2013 г. составил 1067,72 млн р., а в 2014 г. по сравнению с 2012
г. составил 1065,52 млн р., т.е. экономия фонда заработной платы.
Таблица 2.9 - Показатели эффективности использования фонда
заработной платы ЗАО «ЭЛГА» за 2012 - 2014 гг.
|
Показатели
|
Годы
|
Темп роста, %
|
Отклонение, (+/-)
|
|
2012
|
2013
|
2014
|
2013 г. к 2012 г.
|
2014 г. к 2013 г.
|
2014 г. к 2012 г.
|
2013 г. от 2012 г.
|
2014 г. от 2013 г.
|
2014 г. от 2012 г.
|
|
1. Объем производства продукции
(работ, услуг) в текущих ценах за вычетом начисленных налогов и сборов из
выручки, на 1 р. средств на оплату труда, млн р.
|
2,26
|
2,23
|
2,68
|
98,6
|
120,1
|
118,5
|
-0,03
|
+0,45
|
+0,42
|
|
2. Уровень фонда заработной
платы, % к объему производства продукции (работ, услуг)
|
44,11
|
44,65
|
37,21
|
-
|
-
|
-
|
+0,54
|
-7,44
|
-6,8
|
|
3. Выручка от реализации
продукции товаров (работ, услуг), на 1 р. средств на оплату труда, млн р.
|
2,20
|
2,24
|
2,68
|
101,8
|
116,9
|
119,1
|
+0,04
|
+0,38
|
+0,44
|
|
4. Прибыль (убыток) от
реализации на 1 р. средств на оплату труда, млн р.
|
-0,19
|
-0,13
|
+0,14
|
-
|
-
|
-
|
+0,06
|
+0,27
|
+0,33
|
|
5. Доля средств на оплату
труда в затратах на производство продукции (работ, услуг), %
|
38,25
|
38,37
|
38,06
|
-
|
-
|
-
|
+0,12
|
-0,31
|
-0,19
|
Примечание - Источник: собственная разработка на основе приложений Б, В,
Е.
Объем производства продукции (работ, услуг) на 1 р. средств на оплату
труда в 2013 г. по сравнению с 2012 г. снизился на 1,33% или на 0,03 млн р., а
в 2014 г. по сравнению с 2013 г. объем производства также увеличился на 20,17%
или на 0,45 миллионов рулей. Уровень фонда заработной платы к объему
производства продукции в 2013 г. по сравнению с 2012 г. увеличился на 0,54
п.п., в 2014 г. по сравнению с 2013 г. снизился на 7,44 п.п.
Выручка от реализации продукции на 1 р. средств на оплату труда в 2013 г.
по сравнению с 2012 г. увеличилась на 1,81% или на 0,04 млн р., а в 2014 г. по
сравнению с 2013 г. выручка увеличилась на 16,96% или на 0,38 млн р.. Доля
средств на оплату труда в затратах на производство продукции в 2013 г. по
сравнению с 2012 г. увеличилась на 0,12 п.п., в 2014 г. по сравнению с 2013 г.
она снизилась на 0,31 п.п., а в 2014 г. по сравнению с 2012 г. доля снизилась
на 0,19 п.п.
Таблица 2.10 - Влияние факторов на изменение фонда заработной платы ЗАО
«ЭЛГА» за 2011 - 2013 гг.
|
Показатели
|
Годы
|
Темп роста, %
|
Отклонение, (+/-)
|
|
2012
|
2013
|
2014
|
2013 г. К 2012 г.
|
2014 г. К 2013 г.
|
2013 г. От 2012 г.
|
2014 г. от 2013 г.
|
|
1.Фонд заработной платы,
млн р.
|
5455,6
|
6740,9
|
5619,6
|
123,55
|
83,36
|
+1285,3
|
-1121,3
|
|
2.Среднесписочная
численность работников, чел.
|
124
|
111
|
101
|
89,51
|
90,99
|
-13
|
-10
|
|
3.Среднегодовая заработная
плата на 1 работника, тыс. р
|
43,99
|
60,72
|
55,63
|
138,03
|
91,61
|
+16,73
|
-5,09
|
|
4.Уровень фонда заработной
платы, %
|
45,33
|
44,58
|
38,11
|
-
|
-
|
-0,75
|
-6,47
|
|
5.Выручка от реализации
продукции, товаров, работ, услуг, млн р.
|
12033
|
15120
|
14744
|
125,65
|
97,51
|
+3087
|
-376
|
Примечание - Источник: собственная разработка на основе приложений Б, Г.
. Изменение фонда заработной платы за 2014 г. найдем по формуле (1.18):
,6-6740,9 = -1121,3 млн р.;
в том числе за счет:
а) уровня фонда заработной платы по формуле (1.19):
((38,11-44,58):100)×14744 = -978,26 млн р.;
б) среднегодовой заработной платы по формуле (1.20):
(55,63-60,72)×124 = -631,16 млн р.;
в) среднесписочной численности работников по формуле (1.21):
(101-111)×60,72 = -607,2 млн р.;
В отчетном по сравнению с прошлым годом фонд заработной платы снизился на
1121,3 млн р., в т.ч. за счет уровня фонда заработной платы снизился на 978,26
млн р.; за счет среднегодовой заработной платы фонд заработной платы снизился
на 631,16 млн р.; а за счет среднесписочной численности работников также
снизился на 607,2 млн р..
Сделаем вывод: важнейшим элементом материального стимулирования
работников является организация заработной платы. На предприятии ЗАО «ЭЛГА»
организация заработной платы регулируется положением об организации заработной
платы. Положение об организации разработано в соответствии с действующим
Трудовым Кодексом Республики Беларусь, Уставом, внутренними документами
организации и иными правовыми актами, регулирующими оплату труда. В 2014 г.
выплаты стимулирующего характера составили 288 млн р., в выплаты
компенсирующего характера составили 12,4 млн р. Оплата за неотработанное время
составила 515,1 млн р.
2.3 Анализ влияния материального
стимулирования работников на результаты деятельности ЗАО «ЭЛГА»
Каждое предприятие испытывает сегодня международную конкуренцию. Поэтому
ему необходимо укреплять свое положение не за счет снижения и без того
невысокой оплаты труда, а путем повышения производительности труда, определяемой
трудовыми затратами на единицу продукции. Анализ использования средств на
оплату труда имеет большое значение. С ростом производительности труда
создаются предпосылки для повышения уровня его оплаты. При этом средства на
оплату труда нужно использовать таким образом, чтобы темпы роста
производительности труда обгоняли темпы роста его оплаты. Так как только при
таких условиях создаются возможности для наращивания темпов расширенного
воспроизводства. В процессе анализа следует осуществлять систематический
контроль за использованием фонда заработной платы, выявлять возможности
экономии средств за счет роста производительности труда и снижения трудоемкости
продукции.
Таблица 2.11 - Данные для оценки факторов на изменение
прибыли (убытка) от реализации продукции, товаров, работ, услуг ЗАО «ЭЛГА» за
2013г. и 2014г.
|
Показатели
|
Годы
|
Отклонение, (+/-)
|
|
2013
|
2014
|
2014 г. от 2013 г.
|
|
1.Фонд заработной платы,
всего
|
6740,9
|
5619,6
|
-1121,3
|
|
2.Среднесписочная
численность работников, чел.
|
111
|
101
|
-10
|
|
3.Прибыль (убыток) от
реализации продукции, товаров, работ, услуг, млн р.
|
-899
|
+829
|
+1728
|
|
4.Выручка от реализации
продукции, товаров, работ, услуг, млн р.
|
15120
|
14744
|
-376
|
|
5.Рентабельность фонда
заработной платы, %
|
-13,33
|
14,75
|
+28,08
|
Примечание - Источник: собственная разработка на основе приложений Б, Г.
1. Изменение прибыли от реализации продукции найдем по формуле (1.22):
- (-899) = +1728 млн р.;
2. Изменение прибыли от реализации продукции за счет фонда заработной
платы найдем по формуле (1.23):
(5619,6 - 6740,9) × (-13,33) / 100 = +149,46 млн р.;
3. Изменение прибыли от реализации продукции за счет рентабельности
найдем по формуле (1.24):
14,75 - (-13,33) × 5619,6 /100 = +1577,98 млн р.;
Проведем проверку: 149,46 + 1577,98 = +1728 млн р.;
В отчетном по сравнению с прошлым годом прибыль от реализации продукции
увеличилась на 1728 млн р., в том числе за счет влияния фонда заработной платы
она увеличилась на 149,46 млн р., а за счет рентабельности она увеличилась на
1577,98 млн р..
Далее произведем факторный анализ уровня фонда заработной платы.
Найдем изменение выручки от реализации продукции по формуле (1.26):
Уровень фонда заработной платы в отчетном и прошлом году найдем по
формуле (1.25):
,9 : 15120 ×100 = 44,58 %;
,6 : 14744 ×100 = 38,11 %.
Влияние фонда заработной платы на выручку от реализации.
1. Изменение выручки от реализации продукции за счет фонда заработной
платы найдем по формуле (1.27):
5619,6 : 44,58×100-15120 = -2514,34 п.п.
. Изменение выручки от реализации продукции за счет уровня фонда
заработной платы найдем по формуле (1.28):
-5619,6 / 44,58×100 = +2138,34 п.п.
Проведем проверку: -2514,34 + 2138,34 = -376 млн р.;
Выручка от реализации в отчетном по сравнению с прошлым годом снизилась
на 376 млн р.. В том числе за счет влияния фонда заработной платы она снизилась
на 2514,34 млн р., а за счет уровня фонда заработной платы она увеличилась на
2138,34 млн р..
Таблица 2.12 - Данные для оценки
влияния на динамику фонда заработной платы ЗАО «ЭЛГА» за 2013 г. и 2014 г.
|
Показатели
|
Годы
|
Индексы динамики
|
|
2013
|
2014
|
|
|
Фонд заработной платы, млн
р.
|
6740,9
|
5619,6
|
0,833
|
|
Среднесписочная численность
работников, чел.
|
111
|
101
|
0,909
|
|
Среднегодовая заработная
плата, млн р.
|
60,72
|
55,63
|
0,916
|
Примечание - Источник: собственная разработка на основе приложения Г.
Найдем общий прирост фонда заработной платы по формуле
(1.18):
,6-6740,9 = -1121,3 млн р.;
в том числе за счет изменения:
а) численности работников найдем по формуле (1.30):
(101-111) × 60,72 = -607,2 млн р.;
б) среднегодовой заработной платы найдем по формуле
(1.31):
(55,63-60,72) × 101 = -514,09 млн р.;
При этом должно соблюдаться равенство по формуле
(1.32):
,3 = -607,2+(-514,09).
Следовательно, в общем приросте фонда заработной
платы, равном 1121,3 млн р., на долю прироста за счет численности работников
приходится 54,15% ((-607,2 : (-1121,3)×100)), а на долю прироста за счет
среднегодовой заработной платы - 45,84% ((-514,09) : (-1121,3)×100)
Относительный прирост ( сокращение) фонда заработной
платы за счет каждого из факторов определяется по формуле (1.33):
ΔIF(T) = 0,909-1 = -0,091 или -9,1%;
ΔIF(З) = 0,833-0,909 = -0,076 или 7,6%.
При однонаправленном действии каждого из факторов доля
прироста фонда заработной платы может быть определена следующим образом:
а) за счет изменения численности работников по формуле
(1.33):
(0,909-1) : (0,833-1) = 0,544 или 54,59%.
б) за счет изменения среднегодовой заработной платы по
формуле (1.33):
((0,833-0,909) : (0,833-1)) = 0,455 или 45,50%.
Как видно из расчетов, влияние факторов распределилось
не поровну.
Таблица 2.13 - Структура формирования
фонда заработной платы ЗАО «ЭЛГА» за 2012-2014 гг.
|
Показатели
|
Годы
|
Отклонение, (+/-)
|
|
2012
|
2013
|
2014
|
по сумме, млн р.
|
по % к ФЗП, п.п.
|
|
сумма, млн р
|
в % к ФЗП
|
сумма, млн р
|
в % к ФЗП
|
сумма, млн р.
|
в % к ФЗП
|
2014 г. от 2013 г.
|
2014 г. от 2013 г.
|
|
Фонд заработ-ной платы, млн
р.
|
5600,0
|
100,00
|
6844,6
|
100,00
|
5688,5
|
100,00
|
-1121,3
|
-
|
|
Затраты на оплату труда,
млн р.
|
6679
|
119,26
|
5438
|
74,44
|
5556
|
97,67
|
118
|
18,23
|
|
Отчисления на социаль-ную
защиту, млн р.
|
1879
|
33,55
|
2257
|
32,97
|
1878
|
33,01
|
-379
|
0,04
|
|
Отчисления из прибыли, млн
р.
|
2958
|
52,82
|
850,4
|
12,42
|
1745,5
|
30,68
|
895,1
|
18,26
|
Примечание - Источник: собственная разработка на основе приложений Г, Ж,
И, К, Л, М.
Расходы на оплату труда в 2014 г. по сравнению с 2013 г. увеличились на
118 млн р. или на 18,23 п.п.; отчисления из прибыли в 2014 г. по сравнению с
2013 г. увеличились на 895,1 млн р. или на 18,26 п.п.
При анализе средней заработной платы работников организации могут быть
использованы аддитивные и мультипликационные индексные модели.
Аддитивные индексные модели - это модели, в которых результативный
показатель равен сумме показателей факторов.
В
данном случае в качестве показателей факторов выступают элементы заработной
платы, такие как заработная плата, начисленная работникам по тарифным ставкам
(окладам), сдельным расценкам с учетом повышений, предусмотренных
законодательством Республики Беларусь, в процентах от выручки, в долях от
прибыли; выплаты стимулирующего характера; выплаты компенсирующего характера; заработная
плата за неотработанное время. Расчеты проведем по литературе Дащинской Н.П.
Таблица
2.14 - Элементы заработной платы ЗАО «ЭЛГА» за 2012 г. и 2014 г.
|
Наименование показателей
|
Условные обозначения
|
Годы
|
|
|
2012 г.
|
2014 г.
|
|
1. Заработная плата,
начисленная работникам по тарифным ставкам (окладам), сдельным расценкам с
учетом повышений, предусмотренных законодательством Республики Беларусь, в
процентах от выручки, в долях от прибыли, млн р.
|
Fвып
|
4599,3
|
4864,6
|
|
2. Выплаты стимулирующего
характера, млн р.
|
Fстим
|
597,1
|
209,5
|
|
3. Выплаты компенсирующего
характера, млн р.
|
Fкомп
|
25,3
|
99,3
|
|
4.Выплаты за неотработанное
время, млн р.
|
Fнеотр
|
379,4
|
515,1
|
|
5.Среднесписочная
численность работников, чел.
|
Т
|
124
|
101
|
Примечание - Источник: собственная разработка на основе приложений О, П.
Рассчитаем среднюю заработную плату одного работника по формуле (1.35):
В 2012 г.:
45,17
= 37,09+4,81+0,20+3,05;
,17
= 45,15
В
2014 г.:
,32=48,16+2,07+0,98+5,1
,32=56,31
Мультипликативные
модели - это модели, в которых результативный показатель равен произведению
показателей факторов, который найдем по формуле (1.36):
В
2012 г.:
,17=37,09×1,129×1,005×1,080
В 2014 г.:
56,32=48,164×0,004×1,019×1,099
Результаты элементов, входящих в состав средней заработной платы ЗАО
«ЭЛГА» за 2012 г. и 2014 г.оформим в таблице 2.5.
Таблица 2.15 - Результаты элементов, входящих в состав
средней заработной платы ЗАО «ЭЛГА» за 2012 г. и 2014 г.
|
Наименование показателей
|
Абсолютные значения
элементов
|
Относительные значения
элементов
|
|
2012 г.
|
2014 г.
|
2012 г.
|
2014 г.
|
|
1
|
2
|
3
|
4
|
5
|
|
1. Заработная плата,
начисленная работникам по тарифным ставкам (окладам), сдельным расценкам с
учетом повышений, предусмотренных законодательством Республики Беларусь, в
процентах от выручки, в долях от прибыли
|
37,09
|
48,16
|
37,09
|
48,16
|
|
2. Выплаты стимулирующего
характера
|
4,81
|
2,07
|
1,129
|
0,004
|
|
3. Выплаты компенсирующего
характера
|
0,20
|
0,98
|
1,005
|
1,019
|
|
4.Выплаты за неотработанное
время
|
3,05
|
5,1
|
1,080
|
1,099
|
|
5.Средняя заработная плата
|
45,17
|
56,32
|
45,17
|
56,32
|
Примечание - Источник: собственная разработка на основе расчетов.
Это значит, что заработная плата в 2014 г. за выполненную работу
составляет 48,16 млн р. Выплаты стимулирующего характера увеличили ее на 2,07
млн р. или на 0,4 %; выплаты компенсирующего характера - на 0,98 млн р. или на
1,9%.
Изменение заработной платы в 2014 г. по сравнению с 2012 г. в абсолютном
выражении за счет каждого элемента определяется по формуле (1.39):
,32-45,17=(48,16-37,09) + (2,07-4,81) + (0,98-0,20) + (5,1-3,05)
,15=11,16
Доля влияния каждого фактора в общем приросте средней заработной платы
определяется по формуле (1.37):
,992+(-0,245)+0,069+0,183=0,999 или 99,9 %
Темп роста средней заработной платы за счет каждого элемента определяется
по формуле (1.38):
,246=0,245+(-0,060)+0,017+0,045
или в процентах: 24,6=24,5+(-6)+1,7+4,5
Влияние
факторов на динамику средней заработной платы ЗАО «ЭЛГА» за 2012 г. и 2014 г.
представлено в таблице 2.16.
Таблица
2.16 - Влияние факторов на
динамику средней заработной платы ЗАО «ЭЛГА» за 2012 г. и 2014 г.
|
Наименование показателей
|
Изменение средней
заработной платы за счет каждого элемента, %
|
|
Абсолютное, млн р.
|
К отчетному уровню
|
К общему приросту
|
|
1. Заработная плата,
начисленная работникам по тарифным ставкам (окладам), сдельным расценкам с
учетом повышений, предусмотренных законодательством Республики Беларусь, в
процентах от выручки, в долях от прибыли
|
11,07
|
2,45
|
99,2
|
|
2. Выплаты стимулирующего
характера
|
-2,74
|
6
|
-2,45
|
|
3. Выплаты компенсирующего
характера
|
0,78
|
1,7
|
6,9
|
|
4. Выплаты за
неотработанное время
|
2,05
|
4,5
|
1,83
|
|
Итого
|
11,16
|
14,73
|
105,48
|
Примечание - Источник: собственная разработка.
Данные таблицы показывают, что средняя заработная плата в отчетном по
сравнению с прошлым возросла на 11,16 млн р. или на 14,73%, в т.ч. за счет
выполненную работу на 99,2%; за счет неотработанного времени на 1,83%; за счет
выплат компенсирующего характера на 6,9%; за счет выплат стимулирующего
характера средняя заработная плата снизилась на 2,45%.
Подведем обобщающий итог: изменение прибыли от реализации продукции за
счет фонда заработной платы увеличилось на 149,46 млн р.. Отчисления из прибыли
в 2014 г. составили 1745,5 млн р.. Выплаты компенсирующего характера
увеличились на 74 млн р.; а выплаты стимулирующего характера также снизились на
387,6 млн р.
Выручка от реализации продукции, товаров, работ, услуг в 2014 г. по
сравнению с 2013 г. снизилась на 2,49% или на 376 млн р.. Прибыль в 2014 г.
составила 829 млн р. по сравнению с 2013 г. (убыток в размере 899 млн р.). Как
видно увеличился процент административно-управленческого аппарата за счет
снижения численности работников, занимающихся непосредственно созданием
материальных ценностей в виде продукции. Это является отрицательным фактом и
для поставленной задачи по выходу предприятия на требуемый уровень прибыли
необходимо наращивать численность основных рабочих за счет комплектования
рабочих мест, освободившихся за время кризисного периода. При этом, по
необходимости, производить набор работников вспомогательного производства,
административно-управленческого аппарата и других категорий работников. Фонд
заработной платы снизился на 1121,3 млн р..
Значение коэффициента текущей ликвидности ниже 1 говорит о высоком
финансовом риске, связанном с тем, что предприятие не в состоянии стабильно
оплачивать текущие счета. Средний возраст работников ЗАО «ЭЛГА» в 2014 г.
составил 48,7 лет.
3. Направления совершенствования материального стимулирования
работников ЗАО «ЭЛГА»
.1 Направления
совершенствования организации системы оплаты труда и премирования работников
организации в современных условиях
Значимым элементом в системе мотивации является экономическая мотивация,
которая должна удовлетворять следующим требованиям: соизмеримость заработной
платы работников предприятия с заработной платой для данной категории
работников, сформированный рынком труда; наличие единой системы формирования
материальных вознаграждений для каждой категории работников;
персонифицированность материального вознаграждения каждого специалиста по
конечным результатом труда; открытость (прозрачность) системы оплаты труда для
работников всех категорий.
Также не мало важным в мотивации труда работников является система
премирования. В настоящее время премирование специалистов осуществляется за
основные результаты текущей хозяйственной деятельности (выполнение прогнозных
показателей предприятия, увеличение прибыли) и по итогам работы за год.
Основными ее недостатками являются отсутствие:
дифференциации (все работники получают одинаковые проценты от своих тарифных
окладов, если они не допустили каких - либо нарушений технологической и
трудовой дисциплины); мотивационного характера (скорее она является
инструментом увеличения заработной платы работников до приемлемого уровня).
Поэтому предприятию целесообразно усовершенствовать действующую систему
премирования, основанную на оценке труда работников и разработать премиальное
положение предусматривающее начисление премий за достижение высоких результатов
труда конкретными членами трудового коллектива.
Положение об организации заработной платы является
локальным нормативным актом на предприятиях, где не заключается коллективный
договор. Если коллективный договор в организации есть, то положение об
организации заработной платы может быть приложением к коллективному
договору. Положение об организации заработной платы является основным
документом, в соответствии с которым рассчитывается заработная плата на
предприятии. Положение об оплате труда и премировании является документом,
регламентирующим:
принципы формирования системы оплаты труда;
порядок расчета денежного вознаграждения за труд;
критерии и процедуру оценки труда.
К числу конкретных предложения по совершенствованию организации
заработной платы следует отнести:
. расчет и формирование фондов заработной платы структурных подразделений
в зависимости от условий работы и структуры заработной платы, запланированного
роста объемов производства, заданий по снижению трудоемкости;
. контроль за расходованием фондов оплаты труда и материального
стимулирования, правильностью применения форм и систем заработной платы,
тарифных ставок и расценок, установления разрядов оплаты труда и окладов;
. оптимизация аппарата управления;
. разработка механизмов распределения дополнительных доходов, получаемых
в результате роста производительности труда, повышения качества продукции,
сокращения издержек производства;
. анализ эффективности применения действующих форм и систем оплаты труда,
материального и морального стимулирования;
. разработка предложений по внедрению прогрессивных форм оплаты и
стимулирования труда;
. разработка положений о премировании работников предприятия
применительно к конкретным условиям их деятельности и контроль за правильностью
их применения;
. разработка механизма снижения удельного веса материальных затрат;
. увеличить объем производства продукции, за счет приобретение
дополнительного технологического оборудования;
. обеспечение комплексности проводимых
усовершенствований в области организации заработной платы;
. более тесную увязку заработной платы
с результатами деятельности всего предприятия, его конкурентоспособностью,
эффективностью и получаемой прибыли;
12. расширение самостоятельности предприятий в области организации
заработной платы и, в частности, сочетание тарифной и бестарифной систем оплаты
труда, что будет способствовать достижению соответствия заработной платы
количеству и качеству труда и зависимости ее от конкретных результатов
деятельности предприятия;
. совершенствование положений по премированию работников (выбор
обоснованных показателей, условий, периодичности премирования, круга лиц,
подлежащих премированию, и размера премий). Важно при этом понимать, что
рабочие получают премии прежде всего за количество и качество (продукции)
труда, а служащие - за обеспечение прибыли и роста эффективности производства
[7, с. 109].
Со вступлением в силу Указа Президента Республики Беларусь от 10 мая 2011
г. № 181 «О некоторых мерах по совершенствованию государственного регулирования
в области оплаты труда», принятого в целях реализации положений, заложенных в
Директиве № 4, для организаций реального сектора экономики были сняты
практически все административные барьеры и ограничения по оплате
высокопроизводительного и эффективного труда, нормативная правовая база,
способствующая: свободному выбору систем оплаты труда работников; обеспечению
прозрачности и простоты начисления заработной платы; установлению уровню
заработной платы в зависимости от вклада каждого конкретного работника
(коллектива) в конечные результаты деятельности организации и в пределах
имеющихся у нее финансовых возможностей; повышению инициативы, качества,
производительности и мотивации труда; привлечению и удержанию
высококвалифицированных специалистов, а также улучшению инвестиционных
привлекательности для иностранных интересов.
Вместе с тем практика показывает, что большинство нанимателей и их
специалистов, занимающихся вопросами оплаты труда, не были готовы к полученной
свободе в данной области. До сих пор около 85% организаций сохранили системы
оплаты труда на основе ЕТС [30, с. 10].
Вопрос о том, как и кем должна быть организована оплата труда работников
в условиях рынка, какую систему заработной платы надо применить, чтобы она
эффективно работала, остается на уровне субъектов предпринимательской
деятельности крайне актуальным. Тратить значительны средства и время на
разработку эффективных систем оплаты труда их подвигает необходимость
обеспечить выполнение целей и задач в своей деятельности, среди которых, в
частности, наращивание объемов продаж, расширение рынков сбыта своей продукции
(услуг, работ), повышение рентабельности производства и мотивированности
персонала.
Работу по выбору системы оплаты труда в ЗАО «ЭЛГА» целесообразно начать с
анализа.
Анализу должно быть подвергнуты:
цели и задачи, определенные учредительными документами;
организационно-технические условия производства, особенности его
технологии и организации;
кадровый состав в части обеспеченности квалифицированной рабочей силой;
- качество применяемых норм и нормативов для нормирования
материальных, финансовых и трудовых ресурсов;
финансовые возможности;
другие факторы.
Особо остановиться следует на вопросах нормирования, в т.ч нормирования
труда, которое должно осуществляться нанимателями на новом качественном уровне,
поскольку именно оно лежит в основе эффективной организации труда и
производства, способствует высокой производительности труда, оптимизации
численности работников и как следствие сокращению материальных, финансовых и
трудовых затрат.
При этом следует помнить о том, что научно обоснованные нормы труда
являются действенным средством социальной защиты работников, направленным на
предотвращение чрезмерной интенсификации их труда, способствующим сохранению их
нормальной работоспособности на протяжении всего периода трудовой деятельности.
Руководителям организаций важно помнить о том, что любая система оплаты
труда работников, разработанная в организации, должна: во первых, и это
основное, быть экономически обоснованной, т.е. экономический эффект, получаемы
вследствие ее применения, должен превышать размер выплачиваемого
вознаграждения; во вторых, обеспечивать материальную заинтересованность
работников в повышении производительности труда, качества выпускаемой
продукции, выполняемых работ, оказываемых услуг, эффективности использования
оборудования, материальных, финансовых и трудовых ресурсов.
Процесс разработки и внедрения системы оплаты труда следует с создания
рабочей группы, в которую помимо работников, занятых вопросами оплаты труда
необходимо включить представителей кадровой, финансовой, производственной и
других служб.
Данный процесс многоэтапный, он, как правило, включает в себя 4 основных
этапа:
. анализ и осознание целей и задач;
. разработка перечня мероприятий;
реализация мероприятий;
. мониторинг результатов, изучения мнения работников о проведенных
преобразованиях.
Разработка системы оплаты труда работников ЗАО «ЭЛГА» предусматривает
пошаговую реализацию следующих основных мероприятий:
постановка целей (к каким результатам стремиться организация? Как
можно добиться их обеспечения? Какие действия работников организация
намерена стимулировать?);
проведение диагностики существующей системы оплаты труда и ее
мотивационных схем;
оценка удовлетворенности работников существующей системой оплаты труда и
отдельными направлениями его мотивации;
формирования перечня показателей для оценки эффективности
бизнес-процессов и отдельных работников;
- определение структуры заработной платы для различных категорий
работников;
- разработка методики расчета и мониторинга показателей для оценки
эффективности бизнес - процессов и отдельных сотрудников, положения об оплате и
стимулирования труда работников.
Применение системного подхода в разработке системы оплаты труда,
основного на единых принципах, позволит:
оценить готовность коллектива к преобразованиям;
добиться от работников ясного понимания целей их мотивации желаемых
результатов ее внедрения;
более полно оценить вклад каждого работника в конечные результаты
деятельности организации, обеспечить достойную заработную плату при их
эффективной и результативной работе;
разработать стратегию материального стимулирования работников;
проанализировать, оценить деловую среду и перспективы реализации проекта.
В то же время модель разработанной системы оплаты труда должна гармонично
сочетаться с остальными формами мотивации персонала и не должна дублировать их
[30, с. 11].
Необходимо отметить, что разработка и внедрение новой системы оплаты
труда обусловлены соблюдением следующих обязательных условий:
Первое условие - создание надежной информационной базы. Это означает, что
каждый этап разработки и внедрения новой модели гибкой системы оплаты труда
должен быть обеспечен достоверной, актуальной и оперативной информацией,
позволяющей на основе принимать необходимые управленческие решения. Постоянный
сбор и анализ информации организует наниматель.
Второе условие - организация открытого обмена и распространения
необходимой информации.
Работники должны иметь доступ к информации на основе которой определяется
как заработная плата. Процедуры сбора и использования этой информации должны быть
известны и вызывать доверие.
И третье условие - справедливость и объективность процедуры внедрения и
применения. Работники должны быть убеждены в том, что сбор информации и оценка
результатов их труда проводится объективно и справедливо, заработная плата
рассчитывается добросовестно и не подвергается произвольным корректировкам со
стороны управленческого персонала. Такой уверенности легче всего добиться,
привлекая работников к разработке и внедрению гибкой системы оплаты труда в
организации.
Чтобы обеспечить эффективность гибкой системы оплаты труда, необходимо
периодически пересматривать ее цели, структуру, критерии оценки деятельности,
анализировать степень ее восприятия и одобрение мониторинга результатов
внедрения новой системы оплаты труда, который обеспечивается обратной связью с
коллективом.
Мониторинг проводится постоянно, чтобы убедиться в том, что, во первых,
организация способна выплачивать обусловленные размеры вознаграждения; во
вторых, имеется связь между программой системы оплаты труда и темпами роста
производительности труда, рентабельности и других финансовых показателей,
характеризующих деятельность как организации в целом, так и ее структурных
подразделений [30, с. 12].
Обратная связь поможет получить информацию о том, как сотрудники оценивают
эффективность нововведений.
Основная цель мониторинга состоит в том, чтобы выявить возможные проблемы
на ранее стали их возникновения, прежде чем они окажут серьезное влияние на
эффективность системы оплаты труда или вообще на текущую деятельность организации.
По мере необходимости модель системы оплаты труда. Как уже отмечалась,
должна совершенствоваться, что предполагает периодический пересмотр ее целей,
структуры, критериев оценки деятельности, анализ степени ее восприятия и
одобрения работниками. Любые изменения должны соответствовать логике программы
стимулирования труда, подтверждаться результатами и быть глубоко продуманными.
При этом необходимо организовать широкое оповещение работников о предполагаемых
усовершенствованиях.
С учетом созданной в республике нормативной правовой базы наниматели
получили неограниченные права в выборе систем оплаты труда.
В этих условиях большое значение приобретают те документы по оплате
труда, которые действуют в организации.
Такими основными документами являются:
штатное расписание;
коллективный договор,
положение по оплате труда;
контракты.
Наличие в организации штатного расписания определено статьями 1 и 19
Трудового кодекса Республики Беларусь.
Поскольку согласно статье 194 Трудового кодекса штатное расписание
является локальным нормативным правовым актом, то его форма, порядок
составления, изменения и утверждения определяются в реальном секторе экономике
нанимателем самостоятельно.
Что касается раздела «Оплата труда» коллективного договор или положения
об оплате труда работников, то они должны содержать лаконичные, конкретные
нормы, которые должны быть понятны каждому работнику.
В соответствии со статьей 19 Трудового кодекса одним из обязательных
условия, которые должны содержаться в контракте, являются условия оплаты труда
(в т.ч. размер тарифной ставки (оклада) работника, доплаты, надбавки и
поощрительные выплаты) (п.7 ч. 2 ст. 19 Трудового кодекса) [30, с. 12].
При этом норма, содержащиеся в штатном расписании, коллективном договоре
(положении об оплате труда) и контракте, должны соответствовать друг другу.
Нельзя не акцентировать внимание на то, что в условиях либерализации
оплаты труда государство уделяется большое внимание социальной защите
работников посредством повышения статуса минимальной заработной платы (МЗП) -
государственного минимального социального стандарта в области оплаты труда в
нормальных условиях при выполнении установленной (месячной или часовой) нормы
труда в организациях любых организационно - правовых форм, в т.ч. в
общественных объединениях, товариществах собственников и иных потребительских
кооперативов.
Размер МЗП в качестве низшей границе оплаты труда работников является
обязательным для всех нанимателей, с которыми работники состоят в трудовых
отношениях, основанных на контракте, и не применяется в отношении лиц, с
которыми заключены иные договоры.
В Беларуси с 1 января 2015 г. месячная заработная плата установлена в
размере 2100100 тысяч рублей. Такое решение содержится в постановлении Совета
Министров от 9 декабря 2014 г. № 1151. Этот шаг позволил усилить социальную
защищенность низкооплачиваемых категорий работников всех отраслей экономики и
повысить роль МЗП как государственного минимального социального стандарта в
области оплаты труда.
В заключении следует отметить, что основополагающим фактором (условием) в
разработке и внедрении новых систем оплаты труда работников, гармонично
сочетающих цели, задачи, возможности организации и их коллективов, является
высокий профессионализм специалистов, занятых разработкой и внедрением систем оплаты
труда работников.
Для качественной реализации мероприятий по построению и внедрению
эффективных систем оплаты труда нанимателям необходимо внимательно подойти к
подбору и расстановке специалистов, занятых вопросами организации и оплаты
труда, повышению их профессиональной подготовки (переподготовки). Только
грамотные, высококвалифицированные специалисты смогут разработать и внедрить в
организациях гибкие системы оплаты труда работников, стимулирующие их к
высокопроизводительному и качественному труду. Изучив и проанализировав
основные экономические показатели ЗАО «ЭЛГА» целесообразно применить следующие
направления совершенствования материального стимулирования, главным образом
экономического характера, а именно: повышение материального стимулирования за
счет увеличения объема производства продукции вследствие приобретения нового
оборудования; повышение материального стимулирования за счет экономии средств
на оплату труда вследствие оптимизации численности аппарата управления;
совершенствование материального стимулирования через оптимизацию структуры
себестоимости продукции.
3.2 Резервы оптимизации средств фонда заработной платы и
повышения конечных результатов деятельности за счет совершенствования
материального стимулирования работников ЗАО «ЭЛГА»
При финансовых затруднениях организация может уменьшить размер выплат из
прибыли или совсем прекратить их до тех пор, пока производство вновь не станет
прибыльным.
Широко известны такие западные системы участия в прибыли, как система
Скэнлона, Ракера.
Система Скэнлона применяется на предприятиях, выпускающих трудоемкую
продукцию, где высока доля затрат на труд в общих издержках. Сущность ее
заключается в следующем.
. Определим долю заработной платы в выручке от реализации продукции,
товаров, работ, услуг:
dзп 2014
г. = ФЗПб : ОПб=5619,6 : 15099 = 0,372;
dзп
2013 г. = ФЗПб : ОП= 6740,9 : 15095 = 0,446;
Доля заработной платы в выручке от реализации продукции, товаров, работ,
услуг в 2013 г. составляет 0,446 р.п., а в 2014 г. доля составила 0,372 р.п.
. Рассчитаем экономию средств на оплату труда по формуле (3.1):
Эфзп2014 г.= (ОПФ × dзпб)
- ФЗПф; (3.1)
где Эфзп - экономия средств на оплату труда, млн р.;
ОПФ - фактический объем реализованной продукции, млн р.;
ФЗПф -фонд заработной платы фактический, млн р.;
dзпб -
доля заработной платы в объеме реализованной продукции.
(15099×0,446)-5619,6=1114,55 млн р.
Перерасход средств на оплату труда в 2014 г. составил 1114,55 млн р..
Далее рассмотрим систему Ракера. Система Ракера рекомендуется для
предприятий, производящих материало и капиталоемкую продукцию, в себестоимости
которой высока доля материальных затрат. Экономия средств на оплату труда
определяется по формуле (3.2).
При этом условно-чистая продукция определяется как выручка от реализации
за вычетом процентов за кредит выплат банкам, материальных затрат, стоимости
изменения товарных запасов, прочих выплат внешним организациям.
Эфзп = УЧПф × dзпб-ФЗПф;
(3.2)
где Эфзп - экономия средств на оплату труда, млн р.;
УЧПф - условно-чистая продукция фактическая, млн р.;
ФЗПф - фактические затраты на оплату труда в год, за который
осуществляется поощрение, млн р.
8850 × 0,446-5619,6 = -1672,5 млн р.
В 2013 г. экономия средств на оплату труда составила 1672,5 млн р..
Экономия образовалась за счет снижение затрат заработной платы на рубль УЧП со
стандартом Ракера. Это было вызвано снижением фонда заработной платы и
увеличением УЧП. Последнее во многом обусловливается экономией материальных
затрат.
Далее рассмотрим одно из направлений повышения материального
стимулирования за счет увеличения объема производства продукции вследствие
приобретения нового оборудования обрабатывающего центра ИР500, который может
заменить токарные, фрезерные, шлифовальные станки и позволит повысить
производительность труда через увеличение объема производства в натуральном
выражении на 7,5%.
Таблица 3.1. - Расчет дополнительного объема производства
продукции ЗАО «ЭЛГА» с учетом внедрения нового оборудования на 2015 год
|
Показатели
|
2014 год (до внедрения
станка)
|
После внедрения
|
|
Количество технологического
оборудования для металлообработки, ед.
|
3
|
1
|
|
Количество выпуска корпусов
в год, шт.
|
25225
|
|
Стоимость одного корпуса,
тыс. р.
|
250
|
300
|
|
Объем производства
продукции в стоимостном выражении, млн р.
|
5866,25
|
7567,5
|
Примечание - Источник: собственная разработка.
Стоимость нового оборудования 500 млн р. За счет реализации старого
оборудования на сумму 70 млн р., затраты на приобретение составят 430 млн р.
В результате роста объема производства продукции фонд заработной платы
увеличится на:
Влияние роста объема производства продукции за счет внедрения
обрабатывающего центра ИР500 на среднемесячную заработную плату составит 521
тыс. р.
При этом приобретение дополнительного технологического оборудования позволит
предприятию не только увеличить объемы производства гидрооборудования,
совершенствовать технологические процессы путем поэтапной модернизации и
обновления производства, а, следовательно, улучшать качество продукции,
повышая, тем самым, удовлетворенность потребителей.
Совершенствование системы материального стимулирования персонала ЗАО
«ЭЛГА» должно основываться на установлении зависимости между оплатой труда и
уровнем доходов организации, а также эффективностью труда самого работника.
При оптимизации аппарата управления экономится фонд заработной платы с
учетом отчислений на социальное страхование. А это в свою очередь приведет к
снижению себестоимости продукции. Предлагаем оптимизацию численности аппарата
управления:
сокращение должности заместителя директора по новой технике в следствии
перераспределения его обязанностей заместителю директора по развитию - главному
конструктору.
сокращение должности начальника бюро маркетинга в следствии
перераспределения его должностных обязанностей.
- сокращаем должность экономиста, в следствии приобретения
дополнительного программного обеспечения (1С Предприятие надо развить не только
для бухгалтера, но и для экономиста и специалиста по сбыту, в результате чего
произойдет увеличение производительности труда).
Все выше перечисленные сокращения административно- управленческого
персонала являются плановыми, в связи с выходом на пенсию.
Рассчитаем экономию фонда заработной платы по формуле (3.3):
(3.3)
где Эзп - экономия фонда заработной платы, млн р.;
Чсокр - число сокращаемых единиц аппарата управления, чел.;
Зср - среднегодовая заработная плата на одного работника аппарата
управления, тыс. р.;
Пс - процент отчисления на социальное страхование, %.
Эзп = 3×4215×(1+35:100) = 17070,75 тыс. р.;
Сокращение позволит сэкономить средства на оплату труда в сумме 17,07 млн
р., которую можно направить на увеличение материального стимулирования других
работников. Таким образом заработная плата может возрасти на:
Таким образом, при сокращении аппарата управления экономится фонд
заработной платы с учетом отчислений на социальное страхование в размере
17070,75 тыс. р. в год. Эти средства можно направить на увеличение
материального стимулирования персонала организации. В результате сокращения
трех единиц управленческого аппарата в организации среднемесячная заработная
плата сможет вырасти на 15 тыс. р.
От степени обоснованности выбранной системы в существенной мере зависит
эффективность деятельности предприятия, его способность оперативно реагировать
на меняющиеся рыночные условия и конкурентоспособность. При этом рекомендуется
соблюдать следующие условия функционирования премиальной системы: показатели
премирования должны быть ориентированы на решение задач предприятия; необходима
оценка показателей премирования, обеспечивающая более высокое вознаграждение за
труд большей напряженности; число показателей и условий премирования, как
правило, не должно превышать трех; между показателями и условиями премирования
не должно быть противоречий; напряженность показателей премирования должна
периодически проверяться; круг премируемых работников должен определяться их
влиянием на показатели премирования; периодичность премирования должна
постоянно стимулировать работников улучшать показатели их деятельности;
источники выплат премий должны соответствовать показателям и источникам
премирования и полностью обеспечивать потребности в финансовых средствах,
необходимых для выплаты премий; премиальная система должна быть экономически обоснованной,
что подтверждают оценкой эффективности ее применения.
Резервом роста заработной платы является оптимизация
структуры себестоимости продукции.
Если удельный вес материальных затрат снизить на 1%,
то это позволит увеличить удельный вес в затратах на оплату труда включая
отчисления на себестоимость тоже на 1%. Таким образом удельный вес заработной
платы в себестоимости промышленной продукции может увеличится в 2014 г. с 50,3%
до 51,3 в 2015 г. Проведем расчет увеличения среднемесячной заработной платы
работников в двух вариантах:
. с учетом отчислений из прибыли по формуле (3.4):

)/12
(3.4)
.
без отчислений из прибыли по формуле (3.5):
(3.5)
где
dоп- доля оплаты труда в себестоимости произведенной
продукции;
З
-затраты на производство продукции, товаров, работ, млн р.;
ОПр
- отчисления из прибыли, млн р.;
З
- среднегодовая заработная плата, млн р.;
Ч
- среднесписочная численность работников, чел.
С учетом отчислений из прибыли средняя заработная
плата увеличится на 3,054 млн р.; а без отчислений из прибыли 614млн р..
Таким образом снижение материалоемкости продукции является
мощным фактором роста заработной платы. К числу более эффективных предложений
по совершенствованию материального стимулирования оплаты труда ЗАО «ЭДГА»
следует отнести:
обеспечение комплексности проводимых
усовершенствований в области организации заработной платы;
более тесную увязку заработной платы с результатами
деятельности всего предприятия, его конкурентоспособностью, эффективностью и
получаемой прибылью;
совершенствование положений по премированию работников
(выбор обоснованных показателей, условий, периодичности премирования, круга
лиц, подлежащих премированию, и размера премий);
- создание комплексной системы мотивации
предпринимательской и инновационно-творческой (рисковой) деятельности на каждом
предприятии.
Заключение
Заработная плата - важнейшая часть системы оплаты и стимулирования труда,
один из инструментов воздействия на эффективность труда работников.
Эффективная система оплаты труда играет значительную роль в управлении
персонала, а именно в привлечении мотивации и сохранении в организации
сотрудников соответствующей квалификации, стимулирует работников к повышению
производительности труда, что ведет к повышению эффективности использования
человеческих ресурсов и снижению затрат на поиск, подбор и адаптацию вновь
принятого персонала организации.
Система стимулирования труда играет принципиально
важную роль в функционировании и развитии организации. Стимулирование -
основная функция, связанная с процессом активизации деятельности людей и
коллективов путем использования стимулов, рычагов и способов формирования
интересов и мотивов деятельности. Стимулирование труда - мощный рычаг
управления. Оно активно воздействует на сознание людей, на состояние
общественных отношений коллектива.
Цель стимулирования не вообще побудить человека работать,
а побудить его делать лучше (больше) того, что обусловлено трудовыми
отношениями. Эта цель может быть достигнута только при системном подходе
стимулировании труда.
На сегодняшний день основными видами стимулирования
работников принято считать: материальное, моральное и социальное.
Система материального стимулирования включает
заработную плату, денежные премии, дополнительную заработную плату, надбавки,
доплаты, скидки за услуги, предоставление дополнительных прав, льготы и т. п.
Система морального стимулирования не требует
значительных материальных затрат. Моральное стимулирование осуществляется
посредством знаков и символов отличия, к которым относятся награды, памятные
подарки, объявления благодарности, размещение фотографий на досках почета,
публичные поощрения.
Система социального стимулирования представляет собой
дополнительные неденежные компенсации работникам, это так называемый
компенсационный пакет (социальный пакет), предоставляемый работнику.
Основными источниками выплаты премий выступают фонд заработной платы,
прибыль, экономия оборотных средств, сырья, материалов, топлива, энергии.
Премирование на предприятиях и в организациях осуществляется на основе
положений о премировании различным категорий персонала.
Положение о премировании разрабатываются как в целом для организации, так
и для отдельных ее подразделений. Они утверждаются руководителем организации,
могут согласовываться с профсоюзной организацией и включаться в коллективный
договор. В подразделениях эти положения могут утверждаться их руководителями.
Анализ деятельности предприятия показывает, что на
предприятии не каких мероприятии по улучшению положения и поиску
внутрипроизводственных резервов стимулирования в последнее время не проводится.
Применяются не совершенные методы управления. У работников нет
заинтересованности в повышении эффективности производства. Низкая эффективность
внутрипроизводственных отношений обусловлена также тем, что:
инициатива и предприимчивость цехов не поощряются;
фонд экономического стимулирования в цехах не образуется,
а выделяется им из централизованных источников;
цеха не несут экономической ответственности за
эффективность использования производственных фондов, трудовых и материальных
ресурсов.
Обзор научной литературы позволяет сделать вывод, что на сегодняшний день
не существует единой методики оценки эффективности материального стимулирования
труда работников.
Анализ основных показателей финансово-хозяйственной деятельности ЗАО
«ЭЛГА» в течение всего исследуемого периода показывает, что организация работает
прибыльно в размере 829 млн р. (в 2013 г. убыток составил 899 млн р.). Вместе с
тем, отрицательным моментом является то, что снизилась выручка от реализации
товаров, продукции, работ, услуг.
ЗАО «ЭЛГА» является организацией с достаточно высоким уровнем образования
персонала: высшее образование в 2014 г. имеет 31 человек, среднее специальное -
5 человек, общее среднее - 30 человек.
Средний возраст работников ЗАО «ЭЛГА» в 2014 г. составил 48,7 лет.
В 2014 г. коэффициент по приему составил 17,43%, а в 2013 г 11,9%.
Численность уволенных в 2014 г. составило 24,77%, а в 2013 г. 19,6 %.
Коэффициент текучести > 1 (в 2014 г. - 4,58%, в 2013 г. - 3,4%), что
означает отсутствие мотивации у работников.
Основным элементом фонда заработной платы, выплачиваемой в денежной
форме, является оплата труда за фактически выполненную работу.
Следует отметить положительные тенденции в развитии показателей
производительности труда. В частности, за анализируемый период на фоне
увеличения объемов производства и сокращения среднесписочной численности
работников, наблюдается рост производительности труда - на 49,49 %.
Основными стратегическими направлениями, лежащими в основе деятельности
ЗАО «ЭЛГА» являются:
постоянное расширение номенклатуры предлагаемой продукции;
непрерывное обновление конструкций изделий;
поиск новых технологий и материалов, позволяющих повысить качество и
надежность изделий, увеличить их выпуск.
Кроме того, предприятие использует индивидуальный подход к каждому
заказчику. Размер партии определяет заказчик, и его индивидуальные пожелания к
модификации изделия учитываются при изготовлении изделия.
Управление предприятием осуществляется в соответствии с действующим
законодательством и Уставом общества на основе сочетания прав и интересов
трудового коллектива и собственников имущества.
ЗАО «ЭЛГА» имеет такие преимущества перед крупными предприятиями:
более низкий уровень цен, при улучшенном качестве;
возможность быстро реагировать на изменение спроса;
возможность удовлетворять индивидуальные запросы мелких потребителей.
Преимущество ЗАО «ЭЛГА» перед другими малыми предприятиями:
оснащенность технологическим оборудованием и наличие
высококвалифицированных специалистов;
более низкая себестоимость продукции за счет грамотно организованного
технологического процесса изготовления гидроаппаратуры, жесткого регулирования
расхода сырья и энергетических ресурсов, что позволяет устанавливать более
низкие цены при сопоставимом уровне качества;
высокое качество продукции за счет использования более нового и
прогрессивного оборудования, улучшенных технологий и сырья более высокого
качества.
Таким образом, ясно, что ЗАО «ЭЛГА» заняло хорошую конкурентную позицию
на рынке и имеет тенденцию к устойчивому росту и развитию.
Сильные стороны предприятия:
наличие собственной материально-технической базы;
высококвалифицированные кадры;
систематическая работа по повышению качества выпускаемой продукции;
постоянное расширение номенклатуры предлагаемой продукции, непрерывное
обновление конструкции изделий, поиск новых технологий и материалов, позволяющих
повысить качество и надежность изделия, увеличить их выпуск;
наличие собственного конструкторского бюро, в котором работают
высококвалифицированные конструктора, имеющие большой опыт в области
конструирования, разработки гидроаппаратуры;
тесная работа с заказчиком уже на стадии разработки заказа, что позволяет
разрабатывать модификации изделий, учитывающих конкретные условия эксплуатации;
выполнение единичных заказов и малых партий;
быстрота выполнения заказа.
Слабые стороны предприятия:
недостаточная производственная база, требующая переоснащения и
довооружения существующего производства с целью увеличения производительности
труда, качества и объемов выпускаемой гидроаппаратуры.
Предприятие проводит политику обеспечения высокого качества продукции при
умеренной цене. Предприятие старается закупать сырье и материалы высокого
качества, что улучшает качество конечной продукции. Уровень технологической
обработки изделий также выше у ЗАО «ЭЛГА» по сравнению с другими малыми
предприятиями. Возможность быстро, качественно и относительно недорого
выполнить заказ на предприятие - привлекает мелких потребителей, и поэтому ЗАО
«ЭЛГА» может конкурировать с крупными предприятиями, которым часто бывает
просто невыгодно изготавливать мелкие партии гидроаппаратуры под индивидуальный
заказ.
Контроль за качеством выпускаемой продукции осуществляется в соответствии
с системой менеджмента качества СТБ ИСО 9001-2001. В ЗАО «ЭЛГА» используются
следующие виды контроля: входной контроль поступающих на предприятие сырья и
материалов (выборочный); пооперационный контроль правильности выполнения
технологических операций; приемочный контроль (приемка готовой продукции).
Действующая система контроля позволяет обеспечивать необходимое качество
продукции. Тем не менее, еще остаются широкие возможности для дальнейшего
повышения качества выпускаемой продукции.
Основные направления повышения качества: замена морально устаревшего и
изношенного оборудования на более современное; замена низкоэффективного ручного
труда на высокотехнологичное производство с применением современных технологий;
повышение эргономических показателей и удобства пользования.
В некоторые периоды функционирования предприятия
ощущается временный недостаток трудовых ресурсов. Проблема осложняется тем, то
дополнительный набор кадров на предприятии не возможен по причине оптимального
количества производственного персонала в цехе. Таким образом, проблема состоит
в том, чтобы эффективным образом и с минимальным объемом затрат мотивировать
персонал для переработки в период резкого повышения спроса. В настоящий же
момент работник слабо заинтересован в повышении результативности
функционировании комбината. Данная экономическая ситуация сложилась в
результате неэффективной организации системы мотивации на предприятии, и как следствие,
несоответствия затрат работника получаемому материальному вознаграждению, все
это проявляется в существовании понижающего коэффициента при оплате
сверхурочного труда, отсутствии связи между заработком работника и финансовым
результатом деятельности предприятия и др. Отмеченные проблемы могут быть
решены с помощью разработки новой эффективной системы мотивации на предприятии.
Можно сделать вывод, что в любой организации необходима разработка и
внедрение системы стимулирования труда персонала, для того что бы предприятие
работало эффективнее и отдача от работников была выше, а не несло убытки,
связанные с оттоком неудовлетворенных специалистов. В противном случае
произойдет спад эффективности и производительности предприятия.
Изучив и проанализировав основные экономические
показатели ЗАО «ЭЛГА» целесообразно применить следующие направления
совершенствования материального стимулирования, главным образом экономического
характера, а именно:
. повышение материального стимулирования за счет
увеличения объема производства продукции вследствие приобретения нового
оборудования;
. повышение материального стимулирования за счет
экономии средств на оплату труда вследствие оптимизации численности аппарата
управления;
. совершенствование материального стимулирования через
оптимизацию структуры себестоимости продукции.
Таким образом, повышения эффективности материального стимулирования в ЗАО
«ЭЛГА» можно добиться при условии комплексного осуществления предложенных
мероприятий и использования всех выявленных резервов.
материальный стимулирование работник экономика
Список литературы
1 Алиев, И.
М. Экономика труда: учеб. для вузов / И. М. Алиев, И. А. Горелов, Л. О. Ильина.
- М.: Юрайт, 2011. - 671 с.
Беларусь и
страны мира / В. И. Зиновский [и др.] // стат. сборник. Минск, 2014 г. - 385 с.
Бякова, Е. О.
Организация, нормирование и оплата труда на предприятии: практ. пособие / Е. О.
Погодина. - М.: Экзамен, 2008. - 149 с.
Володько, О.
В. Экономика организации: учеб. пособие / О. В. Володько, Р. Н. Грабар, Т. В.
Зглюй; под ред. О. В. Вольдько. - Минск: Выш. шк., 2012. - 399 с.
Воробьев, И.
П. Экономика и упралвение организацией (предпрятием): учеб. пособие для вузов /
И. П. Воробьев, Е. И. Сидорова, А. Т. Глаз. - Минск: Изд-ль Квилория В. Т.,
2014. - 372 с.
Головачев, А.
С. Экономика предприятия: учеб. пособие для вузов. В 2 частях, часть 1 / А.С.
Головачев. - Минск: Высш. шк., 2011. - 463 с.
Головачев, А.
С. Экономика предприятия: учеб. пособие для вузов. В 2 частях, часть 2 / А.С.
Головачев. - Минск: Высш. шк., 2008. - 464 с.
Гомельская
область в цифрах / В. В. Перников [и др.] / [Электронный ресурс]. стат.
справочник глав. упр. Гом. обл. Гомель, 2014. - 102 с.
9 Дащинская,
Н.П. Статистика предприятия: учеб. Пособие / Н.П. Дащинская. - Минск: зд. Ценрт
БГУ, 2008. - 301 с.
Долинина,
Т.Н. Роль организации оплаты труда в повышении эффективности производства / Т.
Долинина // Директор. - 2012. - № 10. -С. 53-55.
Забродская,
Н. Г. Экономика и статистика предприятия: учеб. пособие для вузов / Н.Г.
Забродская. - М.: Деловая и учеб. лит., 2007. - 352 с.
Как повысить
мотивацию персонала, не увеличивая расходы / подготовил Николай Тарашкевич //
Финансовый директор. - 2012. - № 12. - С. 66 - 69.
Кардаш, Н.
Методы материального стимулирования труда / Наталья Кардаш // Кадровик.
Управление персоналом. - 2012. - № 17 (сентябрь). - С. 49 - 53.
Кибанов, А.Я.
Мотивация и стимулирования трудовой деятельности: учеб. для вузов / А.Я.
Кибанов [и др.]; под ред. А.Я. Кибанова - М.: ИНФРА - М, 2009. - 524 с.
Коледа, Е.
Способы премирования сотрудников: простые, но эффективные / Екатерина Коледа //
Финансовый директор. - 2014. - № 6. - С. 69 - 71.
Лебедева,
С.Н. Методология и механизм регулирования оплаты труда: монография / С.Н.
Лебедева, под ред. В.Н. Шимова.- Минск: БГЭУ, 2005. - 343 с.
Лебецкая, О.
Н. Комплексная система методов труда и пути повышения эффективности ее
воздействия на персонал организации: реферат / О. Н. Лебецкая; Белкоопсоюз,
БТЭУ; науч. рук. А. А. Титович. - Гомель: БТЭУ, 2008. - 50 с.
Лобан, Л. А.
Экономика предприятия: учеб. комплекс / Л. А. Лобан, В. Т. Пыко. - Минск:
Современная школа, 2011. - 432 с.
Мелешко, Н.
С. Статистический ежегодник // Статистический ежегодник Гомельской области
[Электронный ресурс]. - 2014. - 447 с.
Методика
формирования и оценки эффективности занятости персонала в организации: отчет о
НИР (промежуточ.) / Белкоопсоюз, БТЭУ, Каф. экон. И прав. дисц.; рук. П. Г.
Модели и
методы материального стимулирования. Теория и практика / О. Н. Васильева, В. В.
Засканов, Д. Ю. Иванов [ и др.]; М- во образ. И науки РФ, Рос. Академии наук. -
М.: Ленанд, 2007. - 288 с.
Мотивация и
стимулирование трудовой дисциплины: учеб. для вузов / А. Я. Кибанов, И. А.
Баткаева, Е. А. Митрофанова [ и др]; под. Ред. А. Я. Кибанова. - М.: ИНФРА - М,
2009. - 524 с.
Насонова,
И.В. Развитие системы мотивации работников предпряития как действенный способ
повышения эффективности производства / И. В. Насонова // Планово-экономический
отдел. - 2013. - № 10. - С. 63-73.
О
стимулирвоании в 2005 г. развития промышленного производства: Указ Перезидента Республики
Беларусь от 1 февр. 2005 г. № 57 // Вестн. М - ва по налогам и сборам
Республики Беларусь. - 2005. - № 7 - 8. - С. 11.
«О некоторых
мерах по совершенствования государственного регулирования оплаты труда» //
постановлением Совета Министров Республики Беларусь от 27 апреля 2006 г. № 555.
- Минск.
Программа
социально-экономического развития Республики Беларусь на 2011-2015 гг.: утв.
Указом Президента Респ. Беларусь от 11 апр. 2011 г., № 136 // Консультант Плюс
: Беларусь. Технология 3000 [Электронный ресурс] / ООО «ЮрСпектр», Нац. центр
правовой информ. Респ. Беларусь. - Минск, 2014.
Промышленность
Республики Беларусь / В. И. Зиновский [и др.] // стат. сборник, Минск, 2014. -
272 с.
Раковец, В.
Создание резервного фонда зарплаты и материального стимулирования работников /
Виталий Раковец // Налоговый Вестник. - 2013. № 9. - С. 66 -76.
Савицкая, Г.
В. Методика комплексного анализа хозяйственной деятельности: учеб. пособие для
вузов / Г. В. Савицкая. - М.: ИНФРА - М., 2007. - 384 с
Сидорович, В.
И. Каждому по труду, или Как построить в организации эффективную систему оплаты
труда / В. И. Сидорович // Бюллетень Министерства труда и социальной защиты
Республики Беларусь. - 2013. - № 6. - С. 10-16.
Сперанский,
А.А. Оптимизация системы оплаты труда и материального стимулирования / А.А.
Сперанский, Н.В. Драгункина. - М.: Альфа-Пресс, 2006. - 192 с.
Сулейменова,
Г. Эффективность системы мотивации управления персоналом / Г. Сулейменова //
Вестник Ассоциация белорусских банков. - 2012. - № 7. - С. 23 - 26.
Тарасова, Е.
Разнообразие систем оплаты труда. Зарубежная практика / Елена Тарасова //
Главный экономист. - 2013. - № 7. - С. 7- 18.
34 Тумасян,
А.А. Статистика промышленности: учебн. пособие / А.А.Тумасян, Л.И. Василевская.
- Мн : Новое знание; М. : ИНФРА-М, 2012. - 430 с.
35 Экономика
предприятия: учеб. пособие для вузов / Л.Н. Нехорошева [и др.]; под общ. ред.
Л.Н. Нехорошевой. - Минск: Выш. шк., 2005. - 463 с.